Патент на изобретение №2296115
|
|||||||||||||||||||||||||||||||||||||||||||||||||||||||||||||||||||||||||||||||||||||||||||||||||||||||||||||||||||||||||||||||||||||||||||||||||||||||||||||||||||||||||||||||||||||||||||||||||||||||||||||||||||||||||||||||||||||||||||||||||||||||||||||||||||||||||||||||||||||||||||||||
(54) МЕТАЛЛИЧЕСКИЕ СОЛИ ГЕКСАГИДРОФТАЛЕВОЙ КИСЛОТЫ КАК ЗАТРАВОЧНЫЕ ДОБАВКИ ДЛЯ КРИСТАЛЛИЧЕСКИХ ТЕРМОПЛАСТОВ
(57) Реферат:
Изобретение относится к новым соединениям – металлической соли соединения, соответствующего формуле (I) (I)
в которой M1 и М2 оба означают литий или объединены с образованием одного катиона металла кальция, стронция, или моногидроксид алюминия, и в которой R1, R2, R3, R4, R5, R6, R7, R8, R9 и R10, одинаковые или различные, выбраны по отдельности из группы, состоящей из водорода, C1-C9 алкила, и два фрагмента карбокси расположены в виде цис-конфигурации, если катион металла является моногидроксидом алюминия. Предлагаемые соединения могут быть использованы в качестве затравочных и/или осветляющих агентов для термопластов. Такие соединения обеспечивают нужную температуру кристаллизации, жесткость и совместимость поглотителя кислоты в получаемых полиолефинах, а также имеют очень низкую гигроскопичность и, следовательно, хорошую устойчивость при хранении в виде порошковых или гранулированных составов. Изобретение также относится к изделию из термопластичного полимера и термопластичной композиции, включающих по меньшей мере одно заявленное соединение. 3 н. и 6 з.п. ф-лы, 6 табл.
Область техники Данное изобретение относится к соединениям и композициям, включающим определенные металлические соли гексагидрофталевой кислоты (в дальнейшем обозначена как ННРА), с целью получения в высшей степени желаемых свойств термопластичных изделий. Предлагаемые производные ННРА могут быть использованы в качестве затравочных и/или осветляющих агентов для таких термопластов; их получение и транспортировка экономичны. Указанные соединения обеспечивают нужную температуру кристаллизации, жесткость и совместимость поглотителей кислоты в получаемых полиолефинах. Такие соединения также имеют очень низкую гигроскопичность и, следовательно, хорошую устойчивость при хранении в виде порошковых или гранулированных составов. Композиции, содержащие добавку для термопластов, и способы получения полимеров с такими соединениями также входят в объем данного изобретения. Предшествующий уровень техники Все цитируемые ниже патенты США приведены здесь во всей своей полноте в качестве ссылки. В данном описании термин «термопласт» означает полимерный материал, плавящийся под воздействием достаточного нагревания, но сохраняющий свое твердое состояние при достаточном охлаждении, но не свою предыдущую форму, без использования пресс-формы или подобного устройства. В частности, данный термин также относится только к полимерам, отвечающим такому широкому определению, также имеющим кристаллическую или полукристаллическую морфологию при охлаждении после плавления. Конкретные виды полимеров, подпадающих под такое определение, включают, без ограничений, полиолефины (такие как полиэтилен, полипропилен, полибутилен и любые их сочетания), полиамиды (такие как найлон), полиуретаны, сложные полиэфиры (такие как полиэтилентерефталат) и т.п. (а также любые их сочетания). Термопласты применяют для получения изделий, имеющих различное назначение, включая емкости для хранения, медицинские приборы, упаковку для пищевых продуктов, пластиковые трубы и трубопроводы, стеллажи для хранения и т.п. Однако такие базовые составы должны иметь определенные физические характеристики, обеспечивающие их широкое применение. В частности, к примеру, в полиолефинах равномерность распределения кристаллов при кристаллизации является необходимой для получения эффективного, прочного и многоцелевого полиолефинового изделия. Известно, что для того чтобы обеспечить такие желательные физические свойства, определенные соединения и составы во время формования или изготовления образуют центры кристаллизации для роста полиолефиновых кристаллов. В целом, составы, содержащие такие зародышеобразующие соединения, кристаллизуются намного быстрее, чем не содержащий затравку полиолефин. Такая кристаллизация при высокой температуре приводит к сокращению циклов производства и к различным улучшениям физических свойств, к примеру, таких как жесткость. Таким образом, соединения и композиции, обеспечивающие более быстрые и/или более высокие температуры кристаллизации полимера, хорошо известны как инициаторы образования зародышей или затравки. Как следует из их названия, такие соединения применяют для образования центров кристаллизации, обеспечивающих рост кристаллов во время охлаждения термопластичного расплавленного состава. В целом, наличие таких центров кристаллизации приводит к получению большего количества более мелких кристаллов. Образование в них более мелких кристаллов может привести к осветлению получаемого термопласта, хотя и не всегда к полному его осветлению. Чем однороднее и, предпочтительно, меньше размер кристалла, тем меньше света рассеивается. Таким способом может быть улучшено осветление самого термопластичного изделия. Таким образом, зародышеобразующие соединения для термопластов очень важны для термопластичной промышленности, обеспечивая улучшенную прозрачность, физические свойства и/или более быструю обработку. Примером обычных зародышеобразующих соединений могут служить производные дибензилиденсорбита, особенно для конечных продуктов полипропилена. Соединения, такие как 1,3-О-2,4-бис(3,4-диметилбензилиден)сорбит (в дальнейшем обозначен как DMDBS), выпускаемый Milliken Chemical под торговым названием Millad® 3988, обеспечивают хорошие затравочные и осветляющие характеристики получаемых полипропиленов и других полиолефинов. Другие хорошо известные зародышеобразующие соединения включают бензоат натрия, 2,2′-метилен-бис-(4,6-ди-трет-бутилфенил) фосфат натрия (от Asahi Denka Kogyo К.К., известный как NA-11), бис-[2,2′-метилен-бис(4,6-ди-трет-бутилфенил)фосфат алюминия] (также от Asahi Denka Kogyo К.К., известный как NA-21), тальк и т.п. Все указанные соединения обеспечивают высокую температуру кристаллизации полиолефина, однако каждый из них имеет свой собственный недостаток при широкомасштабном промышленном применении. К примеру, большой интерес представляет совместимость таких соединений с различными добавками, широко используемыми при получении пластмассовых изделий из обычного полиолефина (например, полипропилена, полиэтилена и т.п.). К примеру, стеарат кальция является очень известным кислотным нейтрализатором, присутствующим в обычных полипропиленовых составах, с целью защиты стабилизирующих добавок (таких как светостабилизаторы, антиоксиданты и т.д.) от воздействия остатков катализатора. К сожалению, большая часть вышеуказанных зародышеобразующих соединений также вступает в нежелательное взаимодействие со стеаратом кальция в полиолефиновых изделиях. Что касается натрия и других подобных ионов металлов, оказывается ион кальция из стеарата переносит позиции с ионами натрия затравочных агентов, лишая затравочные агенты возможности выполнять свою функцию. В результате такие соединения иногда приводят к нежелательному загрязнению форм и к общему уменьшению числа центров кристаллизации (определяемых, к примеру, по снижению температуры кристаллизации во время и после обработки полиолефина). Другие проблемы обработки таких соединений также очевидны. Другие затруднения, вызываемые применением вышеуказанных стандартных затравок, включают непоследовательное образование центров кристаллизации из-за проблем с диспергированием, что приводит к жесткости и снижению прочности полиолефинового изделия. Высокая равномерность при получении полиолефинов весьма желательна, поскольку она приводит к относительной равномерности готовых полиолефиновых изделий. В том случае, если полученное изделие не содержит хорошо диспергированный затравочный агент, то все изделие целиком может иметь недостаточную жесткость и низкую ударную вязкость. Кроме того, устойчивость при хранении затравочных соединений и композиций представляет собой другую потенциальную проблему для термопластичных затравок и, следовательно, также имеет огромное значение. Поскольку затравочные соединения, предназначенные для получения полиолефина, обычно имеют вид порошка или гранул и поскольку равномерность мелких частиц затравочных агентов важна для получения необходимой равномерной дисперсии и нужных свойств, такие соединения должны при хранении оставаться в виде мелких частиц. Некоторые затравки, такие как бензоат натрия, имеют высокую степень гигроскопичности, поэтому получаемые из них порошки легко гидратируются, что приводит к агломерации микрочастиц. Такие агломерированные частицы могут потребовать дальнейшего измельчения или иной обработки с целью деагломерации для получения желаемой равномерной дисперсии в получаемом термопласте. Кроме того, такая нежелательная агломерация по причине гидратации может также вызвать у потребителя проблемы с подачей и/или транспортировкой. Таким образом, указанные существенные проблемы вызвали в термопластичной промышленности постоянную необходимость разработки затравочных/осветляющих агентов, не создающих вышеперечисленных проблем и обеспечивающих высокие пиковые температуры кристаллизации для самих получаемых термопластов, особенно включающих самые различные обычные и необходимые добавки для поглощения кислоты. До настоящего времени наилучшими соединениями для указанной цели остаются вышеперечисленные соединения. К сожалению, затравки, обеспечивающие исключительно высокие пиковые температуры кристаллизации, низкую гигроскопичность, высокую диспергируемость и сопутствующие им прозрачность и жесткость, а также совместимость с большей частью стандартных полиолефиновых добавок (важнейшими из которых являются такие добавки, как поглощающие кислоту органические соли кальция), не подходили для использования в различных видах термопластичной промышленности. Указанные проблемы не ограничиваются полиолефинами, а являются общими для всех видов применения термопластов, в которых применяют затравочные агенты. Сущность изобретения Задачей данного изобретения является разработка затравочного соединения и композиций на его основе, проявляющих высокую степень совместимости стеарата кальция в получаемых термопластичных изделиях и композициях. Другой задачей данного изобретения является разработка затравочного агента для термопластов, обеспечивающего высокие пиковые температуры кристаллизации, например, полипропиленовых изделий и составов, а также имеющего чрезвычайно низкую гигроскопичность для того, чтобы соответствовать чрезвычайно эффективной, устойчивой при хранении композиции. Следующей задачей данного изобретения является разработка легко диспергируемого затравочного соединения, придающего указанному полиолефину очень высокую жесткость и хорошую прозрачность. Кроме того, задачей данного изобретения является разработка затравочного соединения или композиции, которые могут быть использованы в различных термопластичных средах, предназначенных для самых разнообразных видов назначения. Соответственно, данное изобретение предусматривает металлические соли соединения, соответствующего формуле (I)
в которой M1 и М2, одинаковые или различные, выбраны из по меньшей мере одного катиона металла кальция, стронция, лития и моногидроксида алюминия, и в которой R1, R2, R3, R4, R5, R6, R7, R8, R9 и R10, одинаковые или различные, выбраны по отдельности из группы, включающей водород, C1-С9алкил, и два фрагмента карбокси расположены в виде цис-конфигурации, если катион металла является моногидроксидом алюминия. Термин «моногидроксид алюминия» хорошо известен и означает алюминиевую гидроксидную группу в виде одного катиона, связанную с двумя остатками карбоновой кислоты. Кроме того, у каждой из указанных возможных солей стереохимия асимметричных атомов углерода может иметь цис- или транс-форму, несмотря на то, что предпочтительной является цис-форма. Подробное описание изобретения Как указано выше, для того чтобы разработать нужную затравку для термопластов для промышленного применения, необходимо выполнить ряд важных требований. Соли кальция, стронция, моногидроксида алюминия и лития ННРА по изобретению отвечают всем данным важным требованиям. К примеру, указанные предлагаемые соединения не гидратируются с легкостью, таким образом, гранулированные или порошковые составы такой соли не агломерируются и не комкуются. Выгоды от такой устойчивости при хранении очевидны, поскольку почти отсутствует необходимость разделения агломерированных порошков при их подаче в оборудование для обработки термопластов. Кроме того, в соответствии с нижеприведенным подробным описанием, указанные предлагаемые соли обеспечивают высокие пиковые температуры кристаллизации различных полиолефиновых и полиэфирных композиций, в частности, статистического сополимера полипропилена (в дальнейшем обозначен как RCP), гомополимера полипропилена (в дальнейшем обозначен как HP), сополимера ударопрочного полипропилена (в дальнейшем обозначен как ICP), синдиотактического полипропилена (s-РР), полиэтилентерефталата (в дальнейшем обозначен как PET), полиамидов (таких как найлон) и любых их сочетаний. Кроме того, такие предлагаемые соли обеспечивают высокую жесткость (модуль) всего конечного полиолефинового продукта в целом без необходимости применения дополнительных наполнителей и упрочняющих агентов. И, наконец, что имеет важное значение для полипропиленовой промышленности, такие предлагаемые соли не вступают в нежелательное взаимодействие с содобавками из стеарата кальция. Такое свойство, в сочетании с другими характеристиками, является в высшей степени неожиданным и непредсказуемым. Таким образом, предлагаемые соединения обеспечивают высокую затравочную способность. Натриевые соли некоторых ароматических и циклоалифатических карбоновых кислот были описаны ранее, особенно в патенте США №3207739 на имя Wales. В широком смысле патентовладелец включает металлические соли ряда подобных соединений, в частности натрия, хотя также широко описаны металлы групп I и II. Однако патентовладелец конкретно указывает, что ароматические бензоаты, в частности, бензоат натрия, представляют собой наилучшие соединения для затравки полиолефина. Более того, патентовладелец упоминает стронций в качестве катиона только для бензоата, в частности, предупреждая о нежелательности применения солей кальция из-за трудностей, возникающих при тепловой обработке. Кроме того, патентовладелец уравнивает металлы групп I и II в качестве катионов для его предпочтительных бензоатов; однако из подробного нижеприведенного описания очевидно, что другие металлы группы II, такие как магний и барий, крайне неэффективны с ННРА в качестве затравок для полиолефина. Наконец, было установлено, что по сравнению с бензоатом натрия, определенно предпочтительным для патентовладельца, предлагаемые соединения обеспечивают более выгодные свойства, включая, без ограничения, меньшую степень загрязнения и образования налета на форме во время изготовления полиолефинового изделия, более низкую гигроскопичность и опять же, что еще важнее, более низкую способность взаимодействовать со стеаратом кальция, тем самым обеспечивая выполнение нужных функций большим количеством обоих соединений в получаемом полиолефиновом составе. Далее заявитель представляет схему технологического процесса для общего способа синтеза для получения заявленных соединений. Основой соединений формулы изобретения данной патентной заявки являются металлические соли ангидрида гексагидрофталевой кислоты. Гексагидрофталевый ангидрид или ННРА продемонстрирован ниже, и он является коммерчески доступным:
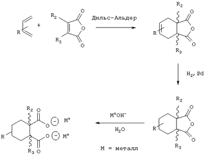
Где R, R2, R3=H Еще одним коммерчески доступным ангидридом является 4-метильное производное ННРА (CAS Reg. №19438-60-9), где R=Me, а R1, R2=H:
Где R=CH3, R2, R3=H Многие гексагидрофталевые ангидриды легко синтезируют по механизму реакции Дильса-Альдера. Данные замещенные производные ННРА, где R является переменным, легко получают, а затем превращают в металлические соли при использовании соответствующих гидроксидов металлов в водной среде. Типичная последовательность реакций продемонстрирована ниже: Конечная структура металлических солей ННРА зависит от того, какой был выбран замещенный бутадиен, а также от того какой замещенный малеиновый ангидрид использовали в синтезе Дильса-Альдера. Таким образом, предлагаемые соли ННРА добавляют к получаемому термопласту в количестве приблизительно от 0,01 до 2,0% мас., более предпочтительно, приблизительно от 0,2 до 1,5%, и, наиболее предпочтительно, от 0,05 до 1,0%, для того чтобы обеспечить вышеуказанные полезные свойства. До 50 и более процентов активного соединения могут быть также добавлены к маточной смеси, хотя это и не является обязательным. Необязательные добавки к предлагаемой солесодержащей композиции ННРА или к изготавливаемому из нее конечному термопластичному изделию могут включать пластификаторы, стабилизаторы, поглотители ультрафиолетовых лучей и другие подобные стандартные термопластичные добавки. Данная композиция может также включать другие добавки, особенно антиоксиданты, антимикробные агенты (например, соединения на основе серебра, предпочтительно, ионообменные соединения, такие как бактерицидные вещества ALPHASAN® от Milliken & Company), антистатические соединения, отдушки, поглотители хлора и т.п., пластификаторы, поглотители кислоты, антиоксиданты, бактерицидные добавки, антипирены, светостабилизаторы, антистатики, порообразователи, цветные пигменты, а также любое их сочетание. Указанные содобавки, наряду с затравочными агентами, могут присутствовать в виде примеси в порошковом, жидком или в прессованном/гранулированном виде с целью облегчения их загрузки. Желательным может оказаться применение веществ для улучшения диспергирования, таких как полиолефиновые (к примеру, полиэтиленовые) воски, сложные стеаратные эфиры глицерина, горные воски и минеральное масло. Как правило, предлагаемые металлические соединения ННРА для стандартной термопластичной композиции могут присутствовать (до 20% мас. или выше) в любом виде (к примеру, наиболее предпочтительно, полиолефин), включая, но не ограничиваясь ими, порошок, гранулы, агломерат, жидкую суспензию и т.п., особенно включая описанные выше вещества для улучшения диспергирования. Также могут быть использованы составы, получаемые в результате смешивания, агломерации, прессования и/или экструзии. Термин «полиолефин» или «полиолефиновая смола» означает любые материалы, включающие по меньшей мере один полукристаллический полиолефин. Предпочтительные примеры включают изотактический и синдиотактический полипропилен, полиэтилен, поли(4-метил)пентен, полибутилен, а также их любые смеси или сополимеры, независимо от того, является ли их плотность в составе высокой или низкой. Полиолефиновые полимеры в соответствии с настоящим изобретением могут содержать алифатические полиолефины и сополимеры, включающие по меньшей мере один алифатический олефин и один или несколько этилен-ненасыщенных сомономеров. В целом, сомономеры, при их использовании, присутствуют в небольшом количестве, к примеру, около 10% или менее или даже около 5% или менее, от массы полиолефина. Такие сомономеры могут способствовать улучшению прозрачности полиолефина либо улучшению других свойств полимера. Полиолефин может также включать большее количество сомономера (к примеру, этилена; например 10-15% или более) с целью повышения ударной прочности (в дальнейшем ударопрочный сополимер или ICP). Другие полимеры или каучуки (такие как EPDM или EPR) также могут быть смешаны с полиолефином. Другие примеры сомономера включают акриловую кислоту, винилацетат и т.п. Примеры олефиновых полимеров, прозрачность и температура кристаллизации которых может быть при желании улучшена в соответствии с настоящим изобретением, включают полимеры и сополимеры алифатических моноолефинов, содержащих от 2 до приблизительно 6 атомов углерода, имеющих среднюю молекулярную массу приблизительно от 10000 до 2000000, предпочтительно, приблизительно от 30000 до 300000, такие как, без ограничений, полиэтилен (РЕ), линейный полиэтилен низкой плотности (LLDPE), изотактический полипропилен (I-PP), синдиотактический полипропилен (s-РР), статистический сополимер полипропилена (RCP), кристаллический этиленпропиленовый сополимер (ICP), поли(1-бутен), поли(4-метилпентен), поли(1-гексен), поли(1-октен) и поли(винилциклогексен). Полиолефины в соответствии с настоящим изобретением могут быть описаны как, в основном, линейные упорядоченные полимеры, необязательно содержащие боковые цепи, к примеру, присутствующие в известном полиэтилене низкой плотности. Несмотря на то, что предпочтительными являются полиолефины, затравочные агенты в соответствии с настоящим изобретением не ограничены полиолефинами и также способны передавать полезные затравочные свойства полимерам, таким как полиэтилентерефталат (PET), полибутилентерефталат (РВТ) и полиэтиленнафталат (PEN), а также полиамидам, таким как найлон 6, найлон 6,6 и др. В целом, любой термопластичный состав, содержащий некоторое количество кристаллического вещества, может быть улучшен при помощи затравочного агента в соответствии с настоящим изобретением. Композиции в соответствии с настоящим изобретением могут быть получены путем добавления предлагаемой соли ННРА (либо сочетания солей или состава, включающего такие соли) к термопластичному полимеру или сополимеру и простого перемешивания полученной композиции любыми подходящими способами. Затем композицию можно обработать и из нее могут быть получены готовые изделия с применением различных способов, включая, без ограничений, литье под давлением, литье под давлением с раздувкой, литье под давлением с вытяжкой и раздувкой, центробежное формование, экструзию, пневмоформование с экструзией, изготовление листов экструзией, изготовление пленки экструзией, изготовление пленки литьем, изготовление пены экструзией, формование листовых термопластов (например, пленок; пленок, полученных экструзией с раздувкой; двухосно-ориентированных пленок), тонкостенное литье под давлением и т.д. Содержащий затравку термопластик может быть, к примеру и без ограничения, использован как медицинские устройства, такие как предварительно наполненные шприцы для реторт, емкости для внутривенных вливаний и устройства для забора крови; упаковки для пищевых продуктов; емкости для жидких продуктов, таких как напитки, лекарственные препараты, шампуни и т.п.; чехлы для одежды; посуда для микроволновых печей; полки; двери для шкафов; механические детали; автомобильные детали; листы; трубы и трубопроводы; изделия, получаемые центробежным формованием; изделия, полученные формованием раздувом; волокна (формованные или нетканые); изделия, получаемые прямым прессованием; практически любое термопластичное изделие, образование центров кристаллизации в котором является целесообразным. Предпочтительные варианты осуществления изобретения Ниже представлены примеры особенно предпочтительных металлических солей ННРА и их составов в пределах объема настоящего изобретения. Общая методика синтеза для получения металлических солей транс-1,2-циклогександикарбоновой кислоты В химический стакан объемом 250 мл с магнитной мешалкой добавляли 100 мл дистиллированной воды и соответствующий гидроксид металла. К данному раствору/суспензии добавляли транс-1,2-циклогександикарбоновую кислоту в количестве, требуемом для протекания эквимолярной реакции с основанием в водной среде. В некоторых случаях соответствующая металлическая соль ННРА была растворимой в воде, что для выделения соединения требовало использования роторного испарителя. В нескольких случаях (алюминий, стронций) белое соединение при использовании фильтрования с отсасыванием выделяли и промывали, пользуясь обильным количеством дистиллированной воды. Все соединения высушивали в сушильном шкафу при 120 градусах по Цельсию. Получение солей ННРА по изобретению ПРИМЕР 1 Цис-кальциевая ННРА В 8-л цилиндрический реактор, оборудованный механической лопастной мешалкой и градусником, помещают воду (4 л) и гидрохлорид кальция (481 г, 6,49 мол.), перемешивая их при комнатной температуре. К полученной взвеси добавляют цис-гексагидрофталевый ангидрид (1 кг, 6,49 мол.) и взвесь нагревают до 50°С. После перемешивания при нагревании в течение 5 часов смесь густеет, при этом рН водной фазы составляет около 7. Продукт белого цвета собирают фильтрацией с отсосом, промывают большими порциями воды и сушат в вакуумной печи в течение ночи при 140°С. Масса сухого продукта составляет 1270 г (выход 93%), а температура плавления – выше приблизительно 400°С. ИК- и ЯМР-спектры соответствуют ожидаемому продукту. ПРИМЕР 2 Цис-стронциевая ННРА В 500-мл круглодонную колбу, оборудованную механической мешалкой и дефлегматором, помещают цис-гексагидрофталевый ангидрид (15,4 г, 100 ммол.), воду (200 мл) и гидроксид натрия (16 г, 400 ммол.) и смесь нагревают до 50°С. После перемешивания при нагревании в течение 2 часов добавляют раствор гексагидрата хлорида стронция (26,7 г, 168 ммол.), при этом сразу же образуется белый флоккулят. Продукт белого цвета собирают фильтрацией с разрежением, промывают большими порциями воды и сушат в вакуумной печи в течение ночи при 110°С. Масса сухого продукта составляет 25 г (выход 97%), а температура плавления – выше приблизительно 400°С. ИК- и ЯМР-спектры соответствуют ожидаемому продукту. ПРИМЕР 3 Цис-дилитиевая ННРА В литровую 3-горлую круглодонную колбу, оборудованную дефлегматором, механической мешалкой и градусником, помещают воду (300 мг), моногидрат гидроксида лития (17,7 г, 421 ммол.) и цис-гексагидрофталевый ангидрид (30,8 г, 200 ммол.). После нагревания с обратным холодильником в течение 3 часов реакционную смесь охлаждают, а затем выливают в ацетон (500 мл). Осадка не образуется, и растворители удаляют роторным выпариванием, получая белый порошок. Порошок промывают на фильтре 50 мл холодной воды, а твердый остаток сушат в вакуумной печи в течение ночи при 85°С. Масса сухого продукта составляет около 37 г (100%), а температура плавления – выше приблизительно 350°С. ИК- и ЯМР-анализы соответствуют анализам ожидаемого продукта. ПРИМЕР 4 Цис-одноатомная алюминиевая ННРА В 500-мл круглодонную колбу с механической мешалкой помещают цис-динатриевую ННРА (10 г, 46,2 ммол.) и воду (100 мл). После получения гомогенного раствора добавляют раствор сульфата алюминия (15,4 г, 23 ммол.) в воде (100 мл), при этом сразу же образуется белый флоккулят. После перемешивания при 50°С в течение 30 минут рН доводят до 9, твердый продукт белого цвета собирают фильтрацией с отсосом, промывают водой (200 мл) и сушат в вакуумной печи в течение ночи при 100°С. Масса сухого продукта составляет 8,7 г (88%), а температура плавления – выше приблизительно 400°С. ИК- и ЯМР-анализы соответствуют анализам ожидаемой структуры. ПРИМЕР 5 (сравнительный) Цис-магниевая ННРА: В 500-мл колбу Эрленмейера с магнитной планкой для перемешивания помещают воду (200 мл) и цис-динатриевую ННРА (20 г, 92,4 ммол.), перемешивая их. После получения гомогенного раствора медленно добавляют раствор сульфата магния (11,1 г, 92,4 ммол.) в воде (100 мл). После перемешивания в течение 3 часов растворитель выпаривают роторным испарением, получая белый твердый продукт. Побочный продукт, сульфат натрия, удаляют, воздействуя на порошок в метаноле (300 мл) ультразвуком, фильтруя его и подвергая сушке в вакуумной печи в течение ночи при 110°С. Сухая масса =17 г (95%), температура плавления >400°С. ИК- и ЯМР-анализы соответствуют анализам ожидаемого продукта. ПРИМЕР 6 (сравнительный) Цис-бариевая ННРА В 500-мл круглодонную колбу с механической мешалкой помещают цис-гексагидрофталевый ангидрид ННРА (15,4 г, 100 ммол.), воду (200 мл) и гидроксид натрия (16 г, 400 мл). После получения гомогенного раствора добавляют раствор хлорида бария (20,8 г, 100 ммол.) в воде (50 мл), при этом сразу же образуется белый флоккулят. После перемешивания в течение 30 минут твердый продукт белого цвета собирают фильтрацией с отсосом, промывают водой (100 мл) и сушат в вакуумной печи в течение ночи при 115°С. Сухая масса =30,7 г (99%), температура плавления >400°С. ИК- и ЯМР-анализы соответствуют анализам ожидаемой структуры. ПРИМЕР 7 (сравнительный) Цис-дисеребряная ННРА В 500-мл круглодонную колбу с механической мешалкой помещают цис-динатриевую ННРА (20 г, 92,4 ммол.) и воду (100 мл). После получения гомогенного раствора добавляют раствор нитрата серебра (31,39 г, 184,8 ммол.) в воде (100 мл), при этом сразу же образуется белый флоккулят. После перемешивания в течение 30 минут твердый продукт белого цвета собирают фильтрацией с отсосом, промывают водой (200 мл) и сушат в вакуумной печи в течение ночи при 110°С. Сухая масса =27,8 г (78%), температура плавления >400°С. ИК- и ЯМР-анализы соответствуют анализам ожидаемой структуры. ПРИМЕР 8 (сравнительный) Цис-дикалиевая ННРА В 500-мл круглодонную колбу с планкой для перемешивания и дефлегматором помещают цис-гексагидрофталевый ангидрид (44 г, 285,4 ммол.), воду (200 мл) и гидроксид калия (32 г, 570,8 ммол.). После получения гомогенного раствора его нагревают с обратным холодильником в течение 2 часов. Раствор охлаждают, а растворитель удаляют роторным испарением. Белый твердый остаток промывают ацетоном (250 мл), фильтруют и сушат в вакуумной печи в течение ночи при 100°С. Сухая масса =59,8 г (84%), температура плавления >400°С. ИК- и ЯМР-анализы соответствуют анализам ожидаемой структуры. Образец оказался слишком гигроскопичным для тестирования в пластмассе (данные по гигроскопичности указаны в таблице 3). Получение содержащих затравку полиолефинов с применением солей ННРА по изобретению Перед формованием в полипропиленовые диски получают килограммовые партии готовых полипропиленовых гранул в соответствии со следующей таблицей:
Основную смолу (полипропиленовый гомополимер, в дальнейшем обозначен как HP) взвешивают, а затем перемешивают в смесителе Welex в течение 1 минуты со скоростью около 1600 об/мин. Затем все образцы смешивают, расплавляя их в одночервячном экструдере Killion при температуре, изменяющейся приблизительно от 204 до 232°С на протяжении четырех зон нагревания. Температура расплава при выходе из головки экструдера составляет около 246°С. Червяк имеет диаметр 2,54 см и отношение длина/диаметр 24:1. После плавления расплавленный полимер фильтруют через сито размером 60 меш (250 микрон). Затем получают диски из полипропилена путем экструзии на 25-тонной машине для литья под давлением Arburg. Машину настраивают на температуру от 190 до 260°С, при этом предпочтительным является интервал от 190 до 240°С, наиболее предпочтительным, приблизительно от 200 до 230°С (в приведенных ниже таблицах стандартная температура составляет 220°С). Диски имеют размеры приблизительно 51×76×1,27 мм, при этом благодаря форме, имеющей зеркальную полировку, получаемые диски также имеют зеркальную полировку. Температуру охлаждающей форму циркулирующей воды поддерживают на уровне около 25°С. Такую же базовую методику применяют для получения дисков из ударопрочного полипропиленового сополимера (ICP, таблица 2). Полученные диски подвергают испытанию упругости при изгибе (обозначенному как 1% секущий модуль), применяя MTS Sintech 1/S:40″ инструмент с зевом 49 мм, постоянная скорость измерения 1,28 мм/мин, номинальная толщина образца 1,27 мм и номинальная ширина образца 50 мм в соответствии с ASTM D790. Затравочную способность измеряют в виде температуры перекристаллизации полимера (показывающей скорость образования кристаллов полимера, обеспечиваемого присутствием затравочной добавки), расплавляя полученные диски, охлаждая их со скоростью около 20°С/мин и записывая температуру, при которой происходит повторное образование кристаллов полимера (Тс). Полупериод кристаллизации (Т1/2) также является нужным параметром, помогающим определить до какой степени затравочный агент может сократить время формовочного цикла. В соответствии с данным испытанием полученные диски (ICP) расплавляют при 220°С, затем подвергают закалке при номинальной скорости 200°С/мин до 140°С, после чего измеряют температуру кристаллизации на середине уровня. Для сравнения изготавливают также контрольные диски без затравочных добавок, а для некоторых или всех из вышеописанных измерений также диски, содержащие Na-11, Na-21 (от Asahi Denka) и бензоат натрия. Приведенные ниже таблицы 1 и 2 представляют данные по свойствам нескольких предлагаемых солей ННРА относительно пиковой температуры кристаллизации (Тс), процента помутнения, модуля упругости при изгибе (все указанные ниже температуры имеют статистическую погрешность +/-0,5°С, а все измерения помутнения имеют статистическую погрешность +/-0,25 единиц помутнения) и полупериода кристаллизации (Т1/2). Добавляют следующие поглотители кислоты: стеарат кальция (CS), дигидроталькит (коммерческий продукт от Kyowa Chemical, известный как DHT4-A) и стеарат лития (LS); указанные соединения добавляют к готовым полипропиленовым составам для получения подвергаемых испытаниям дисков в количестве 400-800 м.д., в то время как предлагаемые соли ННРА добавляют в концентрации 0,25% мас., если не указано иначе. Звездочка (*) показывает, что измерения не проводились.
*CS = стеарат кальция в количестве 800 м.д., LS = стеарат лития в количестве 800 м.д., DHT4-A = дигидроталькит в количестве 400 м.д. N.D. = не определен. Таким образом, предлагаемые соли ННРА обеспечивают более постоянные высокие пиковые температуры кристаллизации, а также более низкий уровень помутнения и более постоянные высокие значения модуля упругости при изгибе, чем сравнительные примеры, особенно после введения в высшей степени желательных поглотителей кислоты.
Таким образом, предлагаемая кальциевая соль ННРА обеспечивает приемлемые пики температур кристаллизации и значения полупериода кристаллизации по сравнению с известными затравками. Соли цис- и транс-гексагидрофталевой кислоты («ННРА») синтезировали из соответствующих цис- и транс-1,2-циклогександикарбоновых кислот, которые являются коммерчески доступными в компании Aldrich. Использованным гомополимером являлся НРР 6301. В условиях, идентичных условиям примеров настоящей заявки, формовали пластинки толщиной пятьдесят (50) милов. Результаты:
Исследование гигроскопичности Данным исследованиям подвергают измельченные продукты с целью получения достаточной площади поверхности для поглощения влаги. По два грамма каждого образца распределяют на часовом стекле и взвешивают сразу же после сушки в вакуумной печи. Затем образцы помещают в емкость с контролируемой влажностью (65%) и взвешивают их каждый день в течение 7 дней. Процент увеличения веса определяют как процент поглощения влаги за 7 дней. Результаты суммированы в таблице 4.
Из вышеприведенных данных понятно, что предлагаемое соединение из примера 1 имеет гораздо более низкую гигроскопичность, чем известные соединения, а также более высокую молекулярную массу соли металла группы I (дикалий). Получение содержащего затравку PET в примере 1 (5000 м.д.) Добавки смешивают во вращающемся со скоростью 5000 об/мин реометре C.W. Brabender с PET смолой, предназначенной для изготовления бутылей Shell Cleartuff
Таким образом, предлагаемое соединение из примера 1 обеспечивает намного более высокую затравку полиэфира по сравнению с соединением, не содержащим затравочного соединения. Изучив подробное описание настоящего изобретения, специалист в данной области, несомненно, сможет найти его варианты и модификации, не отклоняясь от объема настоящего изобретения. Соответственно, объем данного изобретения определяется только прилагаемой к нему формулой изобретения.
Формула изобретения
1. Металлическая соль соединения, соответствующего формуле (I)
в которой M1 и М2 оба означают литий или объединены с образованием одного катиона металла кальция, стронция, или моногидроксид алюминия; R1, R2, R3, R4, R5, R6, R7, R8, R9 и R10, одинаковые или различные, выбраны по отдельности из группы, состоящей из водорода, C1-C9 алкила, и два фрагмента карбокси расположены в виде цис-конфигурации, если катион металла является моногидроксидом алюминия. 2. Соединение по п.1, в котором каждый из R1, R2, R3, R4, R5, R6, R7, R8, R9 и R10 представляет водород, a M1 и М2 объединены в виде одного иона кальция. 3. Соединение по п.1, в котором каждый из R1, R2, R3, R4, R5, R6, R7, R8, R9 и R10 представляет водород, a M1 и М2 объединены в виде одного иона стронция. 4. Соединение по п.1, в котором каждый из R1, R2, R3, R4, R5, R6, R7, R8, R9 и R10 представляет водород, a M1 и М2 оба представляют литий. 5. Соединение по п.1, в котором каждый из R1, R2, R3, R4, R5, R6, R7, R8, R9 и R10 представляет водород, a M1 и М2 объединены в виде одного иона моногидроксида алюминия. 6. Изделие из термопластичного полимера, включающее по меньшей мере одно соединение по любому из пп.1-5. 7. Изделие из термопластичного полимера по п.6, в котором указанный полимер включает полипропилен. 8. Изделие из термопластичного полимера по п.6, в котором указанный полимер включает сложный полиэфир. 9. Термопластичная композиция, включающая по меньшей мере одно соединение, указанное в любом из пп.1-5, где указанная композиция присутствует в виде, выбранном из группы, включающей порошок, гранулы или жидкость, и указанная композиция также включает по меньшей мере один термопластичный полимер и, необязательно, по меньшей мере одно соединение, выбранное из группы, включающей пластификаторы, поглотители кислоты, антиоксиданты, бактерицидные добавки, антипирены, светостабилизаторы, антистатики, порообразователи, цветные пигменты, а также любое их сочетание.
|
|||||||||||||||||||||||||||||||||||||||||||||||||||||||||||||||||||||||||||||||||||||||||||||||||||||||||||||||||||||||||||||||||||||||||||||||||||||||||||||||||||||||||||||||||||||||||||||||||||||||||||||||||||||||||||||||||||||||||||||||||||||||||||||||||||||||||||||||||||||||||||||||






8006 и имеющей IV 0,80. Всю смолу сушат до содержания менее 20 м.д. воды. Отбирают образцы, прессуют их и быстро охлаждают полученные 20-40 мил пленки. Перед анализом все образцы сушат при 150°С в вакууме в течение 6 часов. Образцы массой 5 мг подвергают анализу в атмосфере азота в дифференциальном сканирующем калориметре Perkin Elmer System 7, применяя скорость охлаждения 20°С/мин. После выдерживания образцов при 290°С в течение 2 минут перед охлаждением, измеряют Тс. Полученные данные представлены в таблице 5: