|
|
(21), (22) Заявка: 2005119535/28, 23.06.2005
(24) Дата начала отсчета срока действия патента:
23.06.2005
(46) Опубликовано: 20.03.2007
(56) Список документов, цитированных в отчете о поиске:
RU 2193188 С2, 20.11.2001. RU 2166768 C2, 10.05.2001. SU 1746281 A1, 07.07.1992. ЕР 0558972 В1, 12.08.1998.
Адрес для переписки:
392006, г.Тамбов, ТВАИИ, научно-исследовательский отдел, В.А. Ивановскому
|
(72) Автор(ы):
Ивановский Василий Андреевич (RU)
(73) Патентообладатель(и):
Тамбовский военный авиационный инженерный институт (RU)
|
(54) СПОСОБ ОПРЕДЕЛЕНИЯ ДИЭЛЕКТРИЧЕСКИХ ХАРАКТЕРИСТИК ПОЛИМЕРОВ
(57) Реферат:
Изобретение относится к измерительной технике и может быть использовано при производстве высокомолекулярных соединений, а также для прогнозирования изменения физических свойств полимеров при различных условиях эксплуатации. Техническим результатом изобретения является расширение частотного диапазона измерения диэлектрических характеристик полимерных диэлектриков, обусловленных их внутренним флуктуационным электромагнитным полем в сторону частот, меньших 100 кГц. Сущность изобретения состоит в том, что помещают исследуемый материал толщиной d при известной температуре Т в конденсаторный первичный измерительный преобразователь, определяют его электрофлуктуационные параметры и вычисляют диэлектрические характеристики по результатам измерений. Преобразователь содержит три параллельных потенциальных электрода, образующих рабочие емкости с фиксированным соотношением и параллельно подключаемых к входу малошумящего усилителя, измеряют средние квадраты напряжения тепловых электромагнитных флуктуации , , на зажимах каждого электрода на частоте f, в полосе f, и по измеренным данным рассчитывают значение флуктуационной диэлектрической проницаемости ‘ и тангенса угла диэлектрических потерь tg . 1 ил.
Изобретение относится к измерительной технике и может быть использовано при производстве высокомолекулярных соединений, а также для диагностики и прогнозирования изменения физических свойств полимеров при различных условиях эксплуатации.
Известны способы измерения диэлектрических характеристик полимеров путем помещения исследуемого материала в конденсаторный первичный измерительный преобразователь, определения его электрических параметров при приложении электрического поля к его электродам, по которым рассчитывают диэлектрическую проницаемость ‘ и тангенс угла диэлектрических потерь tg (см. Эме Ф. Диэлектрические измерения. – М.: Химия, 1967. – 223 с.). Однако определение электрических параметров конденсаторного первичного измерительного преобразователя известными методами и устройствами, по которым рассчитываются диэлектрические характеристики, связанных с приложением к исследуемому материалу переменного электрического поля, изменяет характер молекулярных движений структурных единиц полимерных диэлектриков и приводит к искажению измерительной информации.
Известны также способы определения диэлектрических характеристик полимерных систем без приложения внешних электрических полей к испытуемому материалу (см. патенты РФ №1746281 по классу G 01 N 27/22; №2166768 по классу G 01 R 27/26, G 01 N 27/22. Способ определения диэлектрических характеристик полимеров / Ивановский В.А. Опубл. 10.05.01. Бюл. №13). Однако они предназначены для измерений в области частот, больших 100 кГц.
Наиболее близким техническим решением к изобретению является способ определения диэлектрических характеристик без воздействия на испытуемый материал внешнего электрического поля (см. Патент РФ №2193188, МПК G 01 R 27/26, G 01 N 27/22. Способ определения диэлектрических характеристик полимеров / Ивановский В.А. – Опубл. 20.11.02. Бюл. №32.). Сущность способа состоит в том, что помещают исследуемый материал толщиной d при известной температуре Т в адаптивный конденсаторный первичный измерительный преобразователь, соединенный с входом предварительного малошумящего усилителя и содержащий n параллельных потенциальных электродов, и, изменяя их число, параллельно подключаемых к входу усилителя, определяют максимальное число электродов nmax, соответствующих максимуму напряжения электрических флуктуации на зажимах адаптивного преобразователя, измеряют, подключают к входу усилителя один из первичных преобразователей , параллельно ему подключают активное добавочное сопротивление Rdm и, изменяя его величину, находят максимальное значение среднего квадрата напряжения электрических флуктуации на зажимах одного из указанных первичных преобразователей, соответствующее Rdm, измеряют Rdm, рассчитывают по измеренным данным значение флуктуационной диэлектрической проницаемости ‘ и тангенса угла диэлектрических потерь по формулам


где d – толщина исследуемого материала,
D – диаметр электродов,
f – частота измерений,
0 – электрическая постоянная,
C0 – входная емкость измерительной системы,
– рабочая емкость первичного преобразователя,
bx=2 nfCp ‘ – реактивная проводимость первичного преобразователя,
gx – его активная проводимость – положительное решение уравнения

k – постоянная Больцмана,
– средний квадрат шума предварительного малошумящего усилителя,
gВХ – его входная проводимость,
f – полоса частот измерений.
Основным недостатком данного способа является применимость его к частотам большим 100 кГц.
Техническим результатом изобретения является расширение частотного диапазона измерения диэлектрических характеристик полимерных диэлектриков, обусловленных их внутренним флуктуационным электромагнитным полем в сторону частот, меньших 100 кГц.
Сущность изобретения состоит в том, что помещают исследуемый материал толщиной d при известной температуре Т в конденсаторный первичный измерительный преобразователь, определяют его электрофлуктуационные параметры и вычисляют диэлектрические характеристики по результатам измерений. Преобразователь содержит три параллельных потенциальных электрода, образующих рабочие емкости с фиксированным соотношением и параллельно подключаемых к входу малошумящего усилителя, измеряют средние квадраты напряжения тепловых электромагнитных флуктуации на зажимах каждого электрода на частоте f, в полосе f, и по измеренным данным рассчитывают значение флуктуационной диэлектрической проницаемости ‘ и тангенса угла диэлектрических потерь tg по формулам

CP1=CP, CP2= CP, CP3= CP,

где >1, >1 – положительные числа, < , D – диаметр первого потенциального электрода,
,


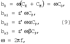
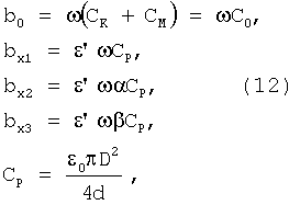
,


где – круговая частота, СP, С0, СK, СM – емкости рабочая преобразователя, входная, кабеля и монтажа измерительной системы, b0, bx1, bx2, bx3 – соответствующие реактивные и gx – активная проводимости.
Предложенный способ поясняется нижеследующим.
Основой для определения диэлектрических характеристик полимерных систем является выражение, определяющее – средний квадрат напряжения тепловых электромагнитных флуктуации на входе предварительного усилителя на частоте и в полосе  , зависит как от ‘, так и от “:

где Rx, RВХ – активные сопротивления и , – средние квадраты тока тепловых электромагнитных флуктуаций полимерной системы и входной части усилителя, – средний квадрат шума усилителя, приведенный к входу.
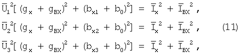
В данных выражениях неизвестными являются ‘, “, – средний квадрат тока электрических флуктуаций. Для определения данных неизвестных необходимо, как минимум, составить систему из 3 уравнений:

где

реактивные и

активные проводимости входной части предварительного усилителя, CP, C0, CK, CM, – емкости рабочая преобразователя, входная кабеля и монтажа измерительной системы, D – диаметр потенциального электрода первого преобразователя.
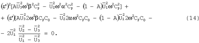
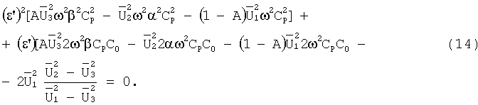
Решая систему (11), приходим к квадратному уравнению относительно ‘ 
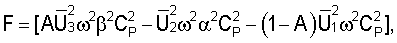
Вводя обозначения
,



Выражение (13) записывается в виде

Решение последнего уравнения позволяет определить как диэлектрическую проницаемость ‘

так и тангенс угла диэлектрических потерь

где активная проводимость первичного преобразователя определяется как

Способ определения диэлектрических характеристик представлен принципиальной схемой (см.чертеж).
Первичный преобразователь 1 – это трехэлектродная система с соотношением рабочих емкостей

где >1, >1 – положительные числа, причем < .
Флуктуационное напряжение каждого канала u1, u2, u3 поступает к входу предварительного малошумящего усилителя ПУ-2 и обрабатывается блоком обработки информации БОИ-3, включающим аналого-цифровой преобразователь (АЦП) и компьютер. Для каждого канала определяется средний квадрат напряжения электрических флуктуаций на зажимах ПУ.
Предлагаемый способ определения диэлектрических характеристик полимерных материалов позволяет существенно расширить экспериментальные возможности анализа высокомолекулярных соединений.
Формула изобретения
Способ определения диэлектрических характеристик полимеров, заключающийся в том, что помещают исследуемый материал толщиной d при известной температуре Т в конденсаторный первичный измерительный преобразователь, определяют его электрофлуктуационные параметры и вычисляют диэлектрические характеристики по результатам измерений, отличающийся тем, что преобразователь содержит три параллельных потенциальных электрода, образующих рабочие емкости с фиксированным соотношением и параллельно подключаемых к входу малошумящего усилителя, измеряют средние квадраты напряжения тепловых электромагнитных флуктуаций , , на зажимах каждого электрода на частоте f, в полосе f, и по измеренным данным рассчитывают значение флуктуационной диэлектрической проницаемости ‘ и тангенса угла диэлектрических потерь tg по формулам


СР1=СР, СР2= СР, СР3= СР,

где >1, >1 – положительные числа, < , D – диаметр первого потенциального электрода,





b0= (CK+CM)= C0,
bx1= ‘ CP,
bx2= ‘ CP,
bx3= ‘ CP,
=2 f,
где – круговая частота, СР, С0, СК, СМ, – емкости рабочая преобразователя, входная, кабеля и монтажа измерительной системы, b0, bx1, bx2, bх3 – соответствующие реактивные и gx – активная проводимости.
РИСУНКИ
MM4A – Досрочное прекращение действия патента СССР или патента Российской Федерации на изобретение из-за неуплаты в установленный срок пошлины за поддержание патента в силе
Дата прекращения действия патента: 24.06.2007
Извещение опубликовано: 20.02.2009 БИ: 05/2009
|
|