|
|
(21), (22) Заявка: 2005113823/12, 05.05.2005
(24) Дата начала отсчета срока действия патента:
05.05.2005
(43) Дата публикации заявки: 10.11.2006
(46) Опубликовано: 20.03.2007
(56) Список документов, цитированных в отчете о поиске:
МАТУКОНИС А.В. Производство, свойства и применение неоднородных нитей. – M.: Легпромиздат, 1987, с.53-54. Текстильная промышленность. № 6, информационно-издательская фирма «ЛЕГА». 1996. SU 44162 А1, 31.08.1935. SU 339860 A1, 04.09.1972. GB 257634 A, 21.04.1927.
Адрес для переписки:
191186, Санкт-Петербург, ул. Б. Морская, 18, СПГУТД, Патентно-лицензионный отдел
|
(72) Автор(ы):
Петрова Лариса Николаевна (RU), Демидов Алексей Вячеславович (RU), Макаров Авинир Геннадьевич (RU), Сталевич Аркадий Михайлович (RU)
(73) Патентообладатель(и):
Государственное образовательное учреждение высшего профессионального образования “Санкт-Петербургский государственный университет технологии и дизайна” (RU)
|
(54) СПОСОБ ОЦЕНКИ ДЕФОРМАЦИОННЫХ СВОЙСТВ ШВЕЙНЫХ ЛАВСАНОВЫХ НИТЕЙ С РАЗЛИЧНОЙ СТЕПЕНЬЮ КРУТКИ В ПРОЦЕССЕ ЭКСПЛУАТАЦИИ
(57) Реферат:
Изобретение относится к отраслям текстильной и легкой промышленности и может быть использовано как в производстве крученых швейных лавсановых нитей, так и в швейном и обувном производстве. Сущность способа оценки деформационных свойств швейных лавсановых нитей с различной степенью крутки в процессе эксплуатации заключается в получении зависимости минутной деформации образцов швейных лавсановых нитей с различной степенью крутки от степени крутки при постоянном растягивающем напряжении, одинаковом для всех испытываемых образцов. Одинаковая для всех образцов с различной степенью крутки величина растягивающего напряжения достигается путем приложения к образцам растягивающих грузов, величина которых определяется с учетом линейной плотности образцов. Зависимости минутных деформаций образцов швейных лавсановых нитей с различной степенью крутки от степени крутки были получены для нескольких уровней растягивающих напряжений, величина которых в свою очередь выбиралась из диаграмм растяжения швейных лавсановых нитей. Влияние степени крутки на деформационные свойства образцов швейных лавсановых нитей определяли путем сравнения коэффициентов вариации для каждого уровня растягивающих напряжений с предельно допустимым коэффициентом вариации. Техническим результатом изобретения является возможность подбора таких рабочих напряжений на нить, при которых влияние крутки на ее деформационные свойства исключаются, то есть целесообразно выбирать нить с низкой степенью крутки, производство которой гораздо экономичнее, чем нити с высокой степенью крутки. 1 табл., 2 ил.
Изобретение относится к отраслям текстильной и легкой промышленности и может быть использовано как в производстве крученых швейных лавсановых нитей, так и в швейном и обувном производстве.
Известен способ получения кривых ползучести t=f(t) образцов тканей, простроченных лавсановыми нитями различной степени крутки (две степени крутки (Погорелова М.Л. Анализ механизма деформирования ниточных соединений. Канд. дисс., Кострома, 2002.)). Недостатком данного способа является отсутствие анализа влияния крутки на деформационные свойства, в работе проводится сравнение прочностных свойств строчных швов швейных лавсановых нитей при разном растягивающем напряжении образцов.
Также в качестве аналога можно сослаться на работу (Цобкалло Е.С.Характеристики механических свойств деформированных волокнистых материалов, методы их оценки и прогнозирования. Докт. дисс., С.-Пб., СПГУТД, 2002. Рег. № 30Д/62 от 12.07.2002, в которой получены диаграммы растяжения лавсановых нитей различной линейной плотности. В работе проведен анализ различных участков диаграммы с позиций накопления разрывов валентных связей, установлены пределы безопасных уровней напряжений для лавсановых нитей (участки I и II диаграммы растяжения – фиг.1). Однако в данном способе рассмотрено поведение под нагрузкой некрученых лавсановых нитей, то есть влияние крутки на механические свойства нитей не рассматривается.
В качестве прототипа взят известный способ оценки качества швейных нитей в зависимости от крутки (Матуконис А.В. Производство, свойства и применение неоднородных нитей. М., Легпромиздат, 1987).
В указанном способе проводится анализ диаграмм растяжения вискозно-капроновых и триацетат-лавсановых нитей с различной величиной крутки. Показано, что при величине крутки до 1000 кр./м диаграмма растяжения имеет характер двухступенчатого разрыва, при крутке К>1000 кр./м диаграмма растяжения имеет характер многоступенчатого разрыва. Объяснение этому эффекту дается с позиций рассмотрения различных свойств вискозной и капроновой составляющих этой нити. Показано изменение модуля упругости Е (жесткости) нити от величины крутки. Однако, как известно, величина модуля упругости Е в процессе растяжения нити не является постоянной величиной. Приводятся графики зависимости разрывного напряжения р. и разрывного удлинения р. от величины крутки, в то время как рабочие нагрузки и удлинения, как правило, достигают величин до 50% от разрывных. Не рассматривается также связь рабочих нагрузок с диаграммами растяжения. Кроме того, не рассматривается растяжение нитей с различной величиной крутки в режиме ползучести t=f(t) при =const, где наиболее ярко проявляются деформационные свойства нитей, по которым судят о поведении нити при ее работе в узлах швейных машин.
Техническим результатом изобретения является возможность подбора таких рабочих напряжений на нить, при которых влияние крутки на ее деформационные свойства исключаются, то есть целесообразно выбирать нить с низкой степенью крутки, производство которой гораздо экономичнее, чем нити с высокой степенью крутки.
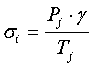
Поставленная задача достигается тем, что способ оценки деформационных свойств швейных лавсановых нитей с различной степенью крутки в процессе эксплуатации, включающий растяжение с постоянной скоростью m образцов синтетических нитей с различной степенью крутки до разрыва с получением диаграмм растяжения “ – ” (где – растягивающее напряжение в нити; – относительная деформация нити, соответствующая этому напряжению), анализ зависимости механических характеристик синтетических нитей от величины крутки, по которому судят о влиянии крутки на механические свойства нитей. Растяжению подвергают образцы швейных лавсановых нитей с различной степенью крутки K1, К2, …, Kj, …, Km и линейной плотности T1, T2, …, Tj, …, Tm. Полученные диаграммы по меняющейся жесткости нити, связанной с изменением модуля упругости Е в процессе растяжения, условно разделяют на три участка I, II, III, каждый из которых характеризуется своим интервалом рабочих напряжений пред. и деформацией пред. при соблюдении условия пред.I,< пред.II< пред.III и пред.I,< пред.II< пред.III. В пределах первых двух участков выбирают ряд значений рабочих растягивающих напряжений 1, 2, …, i, …, n. Величина выбранных рабочих напряжений не превышает 50% от разрывных напряжений лавсановых нитей, что соответствует рабочим напряжениям в нитях в швейных машинах. Затем последовательно при каждом из этих напряжений испытывают образцы этих же нитей с различной степенью крутки Kj (j=1, 2, …, m) и линейной плотности Tj в режиме ползучести в течение времени действия растягивающего груза Pj на нить, равном 1 мин, а величину растягивающего груза Pj, которое создает в каждой нити с соответствующей величиной крутки Kj (j=1, 2, …, m) и линейной плотности Tj одинаковые рабочие напряжения 1=const, определяют из формулы
,
где i – величина выбранного рабочего напряжения с диаграммы растяжения; для всех испытываемых образцов i=const;
Pj – величина растягивающего груза j-го образца со степенью крутки Kj и линейной плотности Tj, создающего в образце рабочее напряжение i=const;
Tj – величина линейной плотности j-го образца;
– удельная плотность лавсана =1,36 г/см3.
Откуда

Испытания образцов швейных лавсановых нитей в режиме ползучести проводят на релаксометре деформаций.
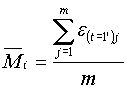
В результате испытания получают для каждой нити с соответствующей степенью крутки Kj и линейной плотности Tj значения минутной деформации (t=1′)j=Mj при выбранном рабочем напряжении i; строят график зависимости полученной минутной деформации (t=1′)j от степени крутки Kj швейных лавсановых нитей при напряжении i, то есть (t=1′)j=f(Kj), затем вычисляют среднее значение минутной деформации (t=1′)jcp=Mi для всех полученных значений (t=1′)j, при выбранном значении рабочего напряжения 1, с последующим графическим построением этой величины и сравнением ее с величиной минутной деформации каждого из образцов соответствующей степенью крутки, испытанных при выбранном рабочем напряжении i. Среднее значение минутной деформации (t=1′)jcp=Mi рассчитывают как среднее арифметическое значений минутных деформаций испытанных m образцов при выбранном рабочем напряжении i.
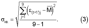
Графически зависимость (t=1′)jcp.=f(Kj) представляет собой горизонтальную прямую; затем для данного уровня выбранного рабочего напряжения i рассчитываю величину среднего квадратического отклонения i.кв. от средней величины минутной деформации Mj по формуле
,
где Mj – величина минутной деформации j-го образца Mj= (t=1′)j;
– средняя величина минутной деформации испытанных m образцов с различной степенью крутки и линейной плотности при уровне рабочего напряжения i;
m – число последовательно испытанных образцов,
после чего для этого уровня напряжения i определяют величину коэффициента вариации С по формуле
.
далее последовательно испытывают швейные лавсановые нити с различной степенью крутки и линейной плотности в режиме ползучести при других выбранных с диаграмм растяжения рабочих напряжениях 1, 2, …, i, …, n, с последующим получением для каждого уровня рабочего напряжения 1кв., 2кв., …, iкв., …, nкв. и коэффициентов вариации C1, C2, …, Сi, …, Сn, затем сравнивают полученные значения коэффициентов вариации с величиной технически допустимого коэффициента вариации Сдоп.=10%. Выбор швейных лавсановых нитей с любой степенью крутки, при которой деформация нити не зависит от степени крутки, осуществляют при условии Сi<Сдоп..
Ценность данного вывода заключается в том, что экспериментально определена область рабочих напряжений, при которой деформирование швейных лавсановых нитей не зависит от степени крутки. При наличии на складе швейных лавсановых нитей с различной степенью крутки K1, К2, …, Kj, …, Km для данных рабочих напряжений можно выбрать швейную лавсановую нить с любой степенью крутки, кроме того, полученный вывод позволяет предприятиям, производящим швейные лавсановые нити, выпускать нити с наименьшей степенью крутки, сэкономив на времени, затраченном на крутку.
Если при каких-то выбранных рабочих напряжениях с диаграммы растяжения величина коэффициента вариации С окажется выше 10% (С>10%), а это, естественно, соответствует большим величинам рабочих напряжений, выбранных из диаграмм растяжения швейных лавсановых нитей, то при выборе швейной лавсановой нити необходимо учитывать степень крутки. Опыт показывает, что такие напряжения практически превышают рабочие напряжения, возникающие в швейных лавсановых нитях при работе в швейных машинах.
В том случае, когда величина рабочего напряжения в нити определяется условиями ее работы, данный способ позволяет оценить безопасность ее работы и выбрать нить с соответствующей круткой.
1, 2, …, j, …, n, значения которых выбирают из предварительно полученных диаграмм растяжения этих образцов на приборе “Instron” в координатах “ – “. Полученные диаграммы швейных лавсановых нитей по меняющейся жесткости их в процессе растяжения, связанной с изменением модуля упругости Е, условно разделяют на три участка, каждый из которых характеризуется своим интервалом рабочих напряжений пред. и деформаций пред. при соблюдении условия пред.I,< пред.II< пред.III и пред.I,< пред.II< пред.III. Выбор значений рабочих напряжений 1, 2, …, i, …, n осуществляется в безопасных участках диаграмм с точки зрения накопления разрывов валентных связей в лавсановых нитях пред.I< пред.II. Величина выбранных рабочих напряжений не превышает 50% от разрывных напряжений лавсановых нитей, что соответствует рабочим напряжениям в нитях в швейных машинах. За оценку деформационных свойств швейных лавсановых нитей с различной степенью крутки Kj (j=1, 2, …, m) и линейной плотности Tj выбрано значение минутной деформации t=1′ при условии, что выбранное с диаграммы растяжения рабочее напряжение i для всех испытываемых образцов швейных лавсановых нитей, отличающихся степенью крутки Kj и линейной плотностью Tj, является при испытании на ползучесть постоянным. Для выполнения поставленного условия для выбранного рабочего напряжения i определяют для каждого образца с круткой Kj и линейной плотностью Tj величину растягивающего груза из зависимости

где i – величина рабочего напряжения, взятая из диаграммы растяжения для всех образцов (j=1, 2, …, m), с различной степенью крутки Кj и линейной плотности Tj в процессе испытания, является постоянной величиной;
Pj – величина растягивающего груза j-го образца с линейной плотностью Tj;
Tj – линейная плотность j-го образца;
– удельная плотность лавсана =7,36 г/см3.
Для всех m образцов с различной степенью крутки и линейной плотности при выбранном значении рабочего напряжения i определяют свои значения растягивающих грузов P1, P2, …, Pj, …, Pm, которые создают в испытываемых образцах одинаковое напряжение i. При этом выбранном напряжении для каждого образца получают свое значение минутной деформации (t=1′)1, (t=1′)2, …, (t=1′)j, …, (t=1′)m, затем для выбранного значения рабочего напряжения i рассчитывают среднюю величину минутной деформации (t=1′)ср.= как среднее арифметическое минутных деформаций испытанных m образцов
.
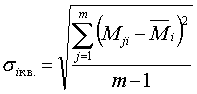
Для данного уровня выбранного рабочего напряжения i строят график зависимости минутных деформаций испытанных образцов от степени их крутки (t=1′)j=f(Ki), затем на данном графике проводят горизонтальную прямую (t=1′)ср.= =const, после чего для этого уровня напряжения i рассчитывают величину среднего квадратического отклонения iкв. от этой прямой, т.е. от средней величины минутной деформации по формуле
,
где Mji – величина минутной деформации j-го образца Mji= (t=1′)j при уровне рабочего напряжения i;
– средняя величина минутной деформации испытанных m образцов с различной степенью крутки Kj (j=1, 2, …, m) и линейной плотности Tj при уровне рабочего напряжения i;
m – число последовательно испытанных образцов.
Определив значение iкв. для m образцов при выбранном значении рабочего напряжения i, определяют величину коэффициента вариации Сi для этого уровня напряжения i

Такие испытания образцов швейных лавсановых нитей с различной степенью крутки и линейной плотности проводят далее последовательно при всех значениях выбранных рабочих напряжений 1, 2, …, i, …, n, получая для каждого уровня рабочих напряжений значение коэффициентов вариации C1, C2, …, Ci, …, Cn.
Затем проводят сравнение значений полученных коэффициентов вариации с величиной технически допустимого коэффициента вариации С=10% (Боровков А.А. Математическая статистика. Оценка параметров. Проверка гипотез. М., Наука, 1985).
При каких-то выбранных значениях рабочих напряжений коэффициенты вариации получаются ниже 10% (С<10%), это указывает на то, что деформационные свойства нити не зависят от степени крутки, то есть график зависимости минутной деформации швейных лавсановых нитей с различной степенью крутки Kj и линейной плотности Тj для данных уровней напряжений представляет собой горизонтальную прямую в координатах ( (t=1′)j, Kj). Это говорит о том, что если при работе швейной лавсановой нити в швейной машине рабочее напряжение в ней будет равно напряжению, которому соответствует коэффициент вариации менее 10%, то швейную нить целесообразно выбирать с наименьшей степенью крутки, так как деформационные свойства нити при этих напряжениях не зависят от степени крутки швейной лавсановой нити.
Ценность данного вывода заключается в том, что экспериментально определена область рабочих напряжений, при которой деформирование швейных лавсановых нитей не зависит от степени крутки. При наличии на складе швейных лавсановых нитей с различной степенью крутки K1, K2, …, Кj, …, Кm для данных рабочих напряжений можно выбрать швейную лавсановую нить с любой степенью крутки, кроме того, полученный вывод позволяет предприятиям, производящим швейные лавсановые нити, выпускать нити с наименьшей степенью крутки, сэкономив на времени, затраченном на крутку.
Если при каких-то выбранных рабочих напряжениях с диаграммы растяжения величина коэффициента вариации С окажется выше 10% (C>10%), а это, естественно, соответствует большим величинам рабочих напряжений, выбранных из диаграмм растяжения швейных лавсановых нитей, то при выборе швейной лавсановой нити необходимо учитывать степень крутки. Опыт показывает, что такие напряжения практически превышают рабочие напряжения, возникающие в швейных лавсановых нитях при работе в швейных машинах.
Приводим пример осуществления способа оценки деформационных свойств швейных лавсановых нитей.
Образцы крученых швейных лавсановых нитей девяти вариантов одинаковой рабочей длины lo различаются степенью крутки Kj (j=1, 2, …, m), (m=9)
K12<…j<…m
и величиной линейной плотности Тj
Т1<Т2<…<Тj<…<Тm,
испытывают на растяжение в режиме активного нагружения на приборе “Instron”, получают диаграммы растяжения в координатах “ – ” (фиг.1). Полученные диаграммы по меняющейся жесткости нитей в процессе растяжения, что соответствует изменению модуля упругости Е, условно делят на три участка, каждому из которых соответствует величина предельного напряжения прел. и величина предельной деформации пред. при условии пред.I,< пред.II< пред.III и пред.I,< пред.II< пред.III.
Выбирают ряд рабочих растягивающих напряжений в пределах двух первых участков, которые считают безопасными для нити с точки зрения накопления разрывов в швейных лавсановых нитях: 1=50 МПа, 1=82,2 МПа, 1=100 МПа, 1=125 МПа.
Затем последовательно проводят испытания образцов швейных нитей на растяжение в режиме ползучести на релаксометре деформаций при каждом из выбранных рабочих напряжений i при условии, что выбранная величина рабочего растягивающего напряжения является величиной постоянной для всех образцов нитей в процессе испытания на ползучесть. Для выполнения этого условия для каждого варианта нити (j=1, 2, …, m) подбирают величину растягивающего груза Pj, который создает в нити выбранную величину растягивающего напряжения, то есть i=const.
Подбор растягивающего груза для каждого варианта нити производят по формуле

откуда

Рассчитанные значения грузов Pj для всех девяти вариантов образцов швейных лавсановых нитей для каждого уровня, выбранного с диаграммы растяжения рабочих напряжений, приведены в таблице.
| |
| Значения минутных деформаций 9-ти вариантов швейных лавсановых нитей с различной степенью крутки при разных величинах растягивающих напряжений. |
, МПа/вар. |
£t=r, % |
(t=1′)ср.= |
aкв. |
С |
| 1 |
2 |
3 |
4 |
5 |
6 |
7 |
8 |
9 |
| 50 |
1,34 |
1,45 |
1,62 |
1,48 |
1,48 |
1,48 |
1,30 |
1,48 |
1,47 |
1,46 |
0,092 |
5,5 |
| 82,2 |
2,78 |
3,25 |
3,38 |
3,40 |
3,30 |
3,24 |
2,96 |
3,41 |
3,19 |
3,21 |
0,21 |
6,6 |
| 100 |
4,52 |
4,84 |
5,20 |
3,92 |
4,58 |
4,48 |
4,12 |
4,85 |
4,76 |
4,65 |
0,41 |
8,7 |
| 125 |
5,68 |
8,28 |
9,06 |
9,54 |
7,62 |
7,12 |
7,11 |
8,28 |
8,71 |
7,93 |
1,18 |
14,9 |
| К, кр/м |
576 |
530 |
546 |
579 |
575 |
575 |
558 |
549 |
545 |
|
Затем при каждом уровне выбранного рабочего напряжения 1, 2, 3, 4 последовательно проводят испытания образцов швейных лавсановых нитей в режиме ползучести при нагрузках на нити Р1, Р2, …, Рj, …, Р9, соответствующих данному уровню выбранного напряжения и рассчитанных по вышеприведенной формуле (2). Получают для данного уровня выбранного рабочего напряжения величины минутных деформаций (t=1′) для каждого образца швейной нити: (t=1′)1, (t=1′)2, …, (t=1′)j, …, (t=1′)9.
Значения минутных деформаций для каждого уровня выбранного рабочего напряжения представлены в таблице. После чего последовательно для каждого уровня рабочих напряжений определяют среднее арифметическое значение минутной деформации (t=1′)ср.= , получают , , , .
Строят графики зависимости минутной деформации (t=1′) от степени крутки Кj швейной лавсановой нити для каждого уровня рабочего напряжения (фиг.2), проводят на этом графике горизонтальные прямые для каждого уровня рабочего напряжения (t=1′)ср.= =const; после чего для каждого уровня рабочего напряжения рассчитывают величину среднего квадратического отклонения кв. по формуле

Затем определяют для каждого уровня выбранного рабочего напряжения коэффициент вариации по формуле

значения кв. и коэффициентов вариации С для каждого уровня рабочего напряжения C1, С2, С3, С4 представлены в таблице.
Сравнивают значения коэффициентов C1, С2, С3, С4 для каждого уровня выбранного рабочего напряжения 1, 2, 3, 4 с величиной технически допустимого коэффициента вариации Сдоп.=10%. Для вычисления этих значений была составлена программа “Определение доверительной области прогнозирования нелинейно-наследственной вязкоупругости текстильных материалов”.
При сравнении полученных результатов вариации для всех четырех уровней рабочих напряжений следует, что при рабочих напряжениях 1, 2, 3 величина коэффициента вариации С меньше величины технически допустимого значения, то есть С<10%. Это говорит о том, что при значениях рабочих напряжений до 100 МПа и деформациях швейных лавсановых нитей примерно до 2,8% деформационные свойства крученых швейных лавсановых нитей не зависят от степени крутки К, это соответствует напряжениям и деформациям первого участка диаграммы растяжения. При рабочих напряжениях >100 МПа С>10% – это соответствует второму участку диаграммы растяжения и в этом случае необходимо при выборе швейной лавсановой нити учитывать степень крутки. Таким образом, проведенные исследования позволяют определить по диаграммам растяжения швейных лавсановых нитей величину предельных рабочих напряжений, при которых деформационные свойства этих нитей не зависят от степени крутки.
Указанные в описании величины и их размерность:
– относительная деформация, %,
К – крутка нити – (кр/м), Т – линейная плотность нити, Текс,
– нормальное напряжение, МПа,
Е – модуль нормальной упругости, МПа,
Р – величина растягивающего груза, Н,
– удельная плотность нити, г/см3,
С – коэффициент вариации, %.
Формула изобретения
Способ оценки деформационных свойств швейных лавсановых нитей с различной степенью крутки в процессе эксплуатации, включающий растяжение с постоянной скоростью образцов синтетических нитей с различной степенью крутки до разрыва с получением диаграмм растяжения, анализ зависимости механических характеристик синтетических нитей от величины крутки, по которому судят о влиянии крутки на механические свойства нитей, отличающийся тем, что растяжению подвергают образцы швейных лавсановых нитей с различной степенью крутки и линейной плотности, получают диаграммы растяжения этих образцов, полученные диаграммы по меняющейся жесткости нити, связанной с величиной модуля упругости в процессе растяжения, условно разделяют на три участка I, II, III, каждый из которых характеризуется своим интервалом рабочих напряжений пред. и деформацией пред. при соблюдении условия пред.I< пред.II< пред.III и пред.I< пред.II< пред.III, затем в пределах первых двух участков выбирают ряд значений рабочих растягивающих напряжений, затем последовательно при каждом из этих напряжений испытывают образцы этих же нитей с различной степенью крутки и линейной плотности в режиме ползучести в течение времени действия растягивающего груза на нить, равном одной минуте, а величину растягивающего груза для каждой нити с соответствующей величиной крутки и линейной плотности определяют из условия создания этим грузом в каждой испытываемой нити одинаковой величины ранее выбранного рабочего напряжения

где i – величина выбранного рабочего напряжения с диаграммы растяжения; для всех испытываемых образцов i=const;
Pj – величина растягивающего груза j-го образца со степенью крутки Kj и линейной плотности Tj, создающего в образце рабочее напряжение i=const;
Тj – величина линейной плотности j-го образца;
– удельная плотность лавсана, =1,36 г/см3;
из этих условий определяют величину Pj для каждого образца со степенью крутки Kj и линейной плотности Tj

в результате испытания получают для каждой нити с соответствующей степенью крутки и линейной плотности значение минутной деформации при выбранном напряжении; строят график зависимости полученной минутной деформации от степени крутки швейных лавсановых нитей при том же напряжении, затем вычисляют среднее значение минутной деформации для всех полученных значений деформации при выбранном значении рабочего напряжения с последующим графическим построением этой величины и сравнением ее с величиной минутной деформации каждого из образцов с соответствующей степенью крутки, испытанных при выбранном рабочем напряжении, затем для данного уровня выбранного рабочего напряжения i рассчитывают величину среднего квадратического отклонения от средней величины минутной деформации по формуле

где Mj – величина минутной деформации j-го образца, Mj=е(t=1′)j;
– средняя величина минутной деформации испытанных m образцов с различной степенью крутки и линейной плотности при уровне рабочего напряжения i;
m – число последовательно испытанных образцов;
затем для выбранного уровня напряжения i определяют величину коэффициента вариации Сi по формуле

далее последовательно испытывают швейные лавсановые нити с различной степенью крутки и линейной плотности в режиме ползучести при других значениях выбранных с диаграмм растяжения рабочих напряжениях с последующим получением для каждого уровня рабочего напряжения и коэффициентов вариации, затем сравнивают полученные значения коэффициентов вариации с величиной технически допустимого коэффициента вариации Сдоп=10%, а выбор швейных лавсановых нитей с любой степенью крутки, при которой деформация нити не зависит от степени крутки, осуществляют при условии Сi<Сдоп..
РИСУНКИ
|
|