|
|
(21), (22) Заявка: 2005108904/28, 28.03.2005
(24) Дата начала отсчета срока действия патента:
28.03.2005
(43) Дата публикации заявки: 10.09.2006
(46) Опубликовано: 20.03.2007
(56) Список документов, цитированных в отчете о поиске:
JP 111121343 А, 30.04.1999. US 6353582 B1, 05.03.2002. US 6498330 B1, 24.12.2002. SU 1377644 A1, 28.02.1988. WO 2004/038707 A1, 06.05.2004. RU 99116918 A1, 10.07.2001.
Адрес для переписки:
305040, г.Курск, ул. 50 лет Октября, 94, КГТУ, ОИС
|
(72) Автор(ы):
Бугаенко Елена Ивановна (RU), Титов Виталий Семенович (RU), Труфанов Максим Игоревич (RU)
(73) Патентообладатель(и):
Государственное образовательное учреждение высшего профессионального образования Курский государственный технический университет (RU)
|
(54) СПОСОБ ОПРЕДЕЛЕНИЯ КОЭФФИЦИЕНТОВ СФЕРИЧЕСКОЙ АБЕРРАЦИИ
(57) Реферат:
Способ определения коэффициентов сферической аберрации включает освещение исследуемой оптической системы оптико-электронного датчика, содержащей одну или несколько линз и диафрагму, квазимонохроматическим источником, обладающим малыми угловыми размерами и размещенным на заданном расстоянии от оптико-электронного датчика. После чего ориентируют оптико-электронный датчик таким образом, чтобы квазимонохроматический источник занимал центральное положение в кадре, устанавливают радиус диафрагмы в два или более заданных значения, измеряют радиусы кружков рассеяния при различных значениях радиусов диафрагмы и определяют коэффициенты сферической аберрации оптической системы оптико-электронного датчика. Технический результат – снижение сложности, расширение области применения и повышение скорости определения коэффициентов сферической аберрации. 1 ил.
Изобретение относится к вычислительной технике и может быть использовано для определения коэффициентов сферической аберрации объектива оптико-электронного датчика (ОЭД) при разработке и исследовании систем технического зрения.
Известен способ измерения аберраций оптических систем (патент РФ №2077809, МПК G 01 M 11/02, опубликованный 20.04.1997), заключающийся в том, что путем диафрагмирования выделяют из пучков лучей, проходящих через контролируемую оптическую систему, узкие пучки, регистрируют изображение, сформированное узкими пучками лучей, измеряют смещения элементов этого изображения и преобразуют смещения элементов изображения в характеристики аберраций, на контролируемую оптическую систему направляют излучение от протяженного неоднородного объекта, регистрируют также сформированное недиафрагмированными пучками лучей изображение, диафрагмирование пучков лучей производят с помощью экрана с отверстием, устанавливаемого в плоскость, в которой диаметр сечения каждого из пучков лучей, формирующих изображения точек объекта, не превышает ширины зоны изопланатизма, а смещения элементов изображения, сформированного узкими пучками лучей, оценивают относительно этих же элементов в изображении, сформированном недиафрагмированными пучками лучей.
Недостатком этого способа является низкая точность определения коэффициентов аберрации, обусловленная необходимостью формирования пучков лучей заданного диаметра, не превышающего ширины зоны изопланатизма, и узкая область применения, требующая наличия специальных знаний обслуживающего персонала.
Наиболее близким к предлагаемому является способ исследования аберраций объективов и линз (заявка РФ №99116918, МПК G 03 H 1/00, опубликованная 07.10.2001), заключающийся в том, что исследуемый объектив или линзу освещают квазимонохроматическим источником, обладающим малыми угловыми размерами, диафрагмируют объектив или линзу непрозрачным экраном с двумя отверстиями, диаметры которых существенно меньше диаметра объектива или линзы, и анализируют интерферограммы, которые получают в плоскости изображения источника при различных положениях отверстий в экране, анализируемые интерферограммы получают на изображениях, восстановленных двукратно экспонированными голограммами, зарегистрированными в плоскости изображения источника при двух различных положениях отверстий в непрозрачном экране.
Недостатком данного способа является высокая сложность, обусловленная необходимостью анализа интерферограмм, и невозможность применения способа для определения коэффициентов аберрации объективов, которые не могут быть отделены по каким-либо причинам от ОЭД.
Технической задачей изобретения является снижение сложности, расширение области применения (способ может быть применен для определения коэффициентов аберраций объективов видеокамер и фотоаппаратов без их разбора) и повышение скорости определения коэффициентов сферической аберрации.
Задача решается тем, что в известный способ исследования аберраций объективов и линз, включающий освещение исследуемого объектива квазимонохроматическим источником (КМИ), обладающим малыми угловыми размерами, введены размещение на заданном расстоянии от оптико-электронного датчика КМИ, ориентация ОЭД таким образом, чтобы КМИ занимал центральное положение в кадре, установка заданных значений радиуса диафрагмы, измерение радиусов кружков рассеяния при различных значениях радиусов диафрагмы, определение коэффициентов сферической аберрации.
Изобретение может быть использовано для контроля качества изображения широкого класса оптических систем, как при их изготовлении, так и при их эксплуатации, и соответствует критерию «промышленная применимость”.
Сущность изобретения поясняется чертежом, где приведена схема, поясняющая процесс определения сферической аберрации.
Оптическая система состоит из одной или нескольких линз и диафрагмы.
Сферическая аберрация является одним из видов монохроматических аберраций и вызывает нарушение гомоцентричности пучков лучей, прошедших через оптическую систему при сохранении симметрии их относительно оптической оси.
Наличие сферической аберрации в системе приводит к тому, что вместо резкого изображения точки в плоскости изображения получается кружок рассеяния, радиус которого равен значению у.
Сферическая аберрация подразделяется на поперечную yi, и продольную gi которые связаны между собой:

где i – угол, образованный лучом MS и оптической осью OO/.
Продольная сферическая аберрация представляется многочленом:

где k1, k2, k3,… – постоянные для данной системы коэффициенты, характеризующие аберрацию, mi, – радиус диафрагмы.
Продольная сферическая аберрация достаточно точно определяется двумя первыми слагаемыми [Теория оптических систем. Учебник для вузов/ Б.Н.Бегунов, Н.П.Заказнов, С.И.Кирюшин, В.И.Кузичев.- 2-е изд., перераб. и доп. – М.: Машиностроение, 1981. – С.157].
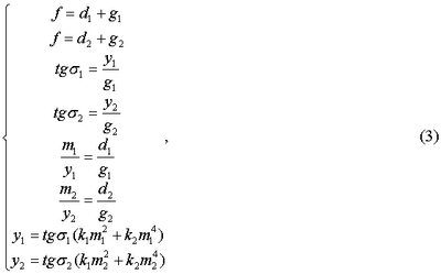
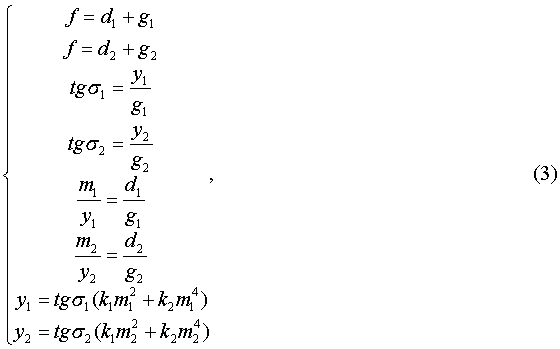
Для определения коэффициентов k1, k2 сферической аберрации составим систему уравнений, используя соотношения из треугольников MOS и SO/P/ и выражения (1), (2):

где f – фокусное расстояние оптической системы.
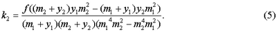
Из системы уравнений получаем:


Для определения коэффициентов k1, k2 на некотором расстоянии от оптико-электронного датчика размещают КМИ, ОЭД ориентируют так, чтобы КМИ занимал центральное положение в кадре, устанавливают радиус диафрагмы равным m1, измеряют на изображении радиус кружка рассеяния y1, устанавливают радиус диафрагмы равным m2 и вновь на изображении измеряют радиус кружка рассеяния y2, подставляют полученные значения m1, m2, y1, y2 в (4), (5) и определяют k1, k2.
Использование определенных по формулам (4), (5) коэффициентов k1, k2 сферической аберрации позволяет рассчитывать по выражениям (1), (2) величину искажений, вносимых сферической аберрацией в изображение, после чего может быть сделан вывод о соответствии параметров объектива требованиям и возможности его использования в той или иной оптической системе. Причем в отличие от традиционных подходов, требующих для аналогичного расчета знания геометрических (уравнений поверхностей линз или в простейшем случае радиусов кривизны) и оптических (показателей преломления материала линз и др.) параметров линз объектива, которые в ряде случаев могут быть неизвестны, изобретение позволяет определять величину сферической аберрации, зная только радиус mi диафрагмы и коэффициенты k1, k2.
Точность определения коэффициентов k1, k2 может быть повышена путем определения коэффициентов k1j, k2j и их усреднения при различных значениях m1j, m2j (j – количество пар измерений) радиусов диафрагмы.
Точность определения сферической аберрации может быть повышена путем определения дополнительных коэффициентов k3, k4,… в выражении (2) путем введения в систему (3) дополнительных уравнений и проведения дополнительных измерений параметров m3…n y3…n.
Таким образом, изобретение позволяет снизить сложность, расширить область применения (способ может быть использован для определения коэффициентов сферической аберрации объективов видеокамер и фотоаппаратов без их разбора) и повысить скорость определения коэффициентов сферической аберрации.
Формула изобретения
Способ определения коэффициентов сферической аберрации, в котором освещают исследуемую оптическую систему, содержащую одну или несколько линз и диафрагму, и определяют коэффициенты сферической аберрации, отличающийся тем, что освещают исследуемую оптическую систему оптико-электронного датчика квазимонохроматическим источником, обладающим малыми угловыми размерами и размещенным на заданном расстоянии от оптико-электронного датчика, ориентируют оптико-электронный датчик таким образом, чтобы квазимонохроматический источник занимал центральное положение в кадре, устанавливают радиус диафрагмы в два или более заданных значения, измеряют радиусы кружков рассеяния при различных значениях радиусов диафрагмы и определяют коэффициенты сферической аберрации оптической системы оптико-электронного датчика.
РИСУНКИ
MM4A – Досрочное прекращение действия патента СССР или патента Российской Федерации на изобретение из-за неуплаты в установленный срок пошлины за поддержание патента в силе
Дата прекращения действия патента: 29.03.2007
Извещение опубликовано: 10.07.2008 БИ: 19/2008
|
|