Патент на изобретение №2295531
|
||||||||||||||||||||||||||||||||||
(54) СПОСОБ ПОЛУЧЕНИЯ 15-ХЛОРО-1,12,13,14-ТЕТРААЛКИЛ-15-АЛЮМИНАТЕТРАЦИКЛО[10.2.1.02,11.04,9]ПЕНТАДЕКА-4(9),5,7,13-ТЕТРАЕН-3,10-ДИОНОВ
(57) Реферат:
Изобретение относится к способу получения новых алюминийорганических соединений общей формулы (I): R=Et, н-Pr, н-Bu. Способ заключается во взаимодействии дизамещенных ацетиленов с треххлористым алюминием в присутствии металлического Mg (в порошке) и катализатора Cp2ZrCl2 в атмосфере аргона при атмосферном давлении и комнатной температуре в течение 8 часов с последующим добавлением 1,4-нафтахинона и перемешиванием реакционной массы в течение 6-8 часов при комнатной температуре. Выход целевого продукта составляет 64-75%. Соединения могут найти применение в тонком органическом и металлоорганическом синтезе, а также в качестве сокатализаторов в процессах олиго- и полимеризации олефинов и сопряженных диенов. 1 табл.
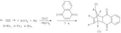
Предлагаемое изобретение относится к способам получения новых алюминийорганических соединений (АОС), конкретно к способу получения 15-хлоро-1,12,13,14-тетраалкил-15-алюминатетрацикло[10.2.1.02,11.04,9]пентадека-4(9),5,7,13-тетраен-3,10-дионов общей формулы (1):
Предлагаемые соединения могут найти применение в тонком и металлоорганическом синтезе, а также в качестве сокатализаторов в процессах олиго- и полимеризации олефинов и сопряженных диенов. Известен способ [1, У.М.Джемилев, А.Г.Ибрагимов, А.П.Золотарев, P.P.Маслухов, Г.А.Толстиков. Синтез и превращения металлоциклов. Сообщение 5. Региоселективный синтез Известный способ не позволяет получать 15-хлоро-1,12,13,14-тетраалкил-15-алюминатетрацикло[10.2.1.02,1104,9]пентадека-4(9),5,7,13-тетраен-3,10-дионы (1). Известен способ [2, У.М.Джемилев, А.Г.Ибрагимов, Л.О.Хафизова, Л.Р.Якупова, Л.М.Халилов. Циклоалюминирование ацетиленов и 1,4-енинов с участием Zr-содержащих катализаторов. Журнал органической химии, 2005, 41, 684] получения циклических алюминийорганических соединений (3) взаимодействием дизамещенных ацетиленов с этилалюминийдихлоридом (EtAlCl2) в присутствии катализатора цирконацендихлорида (Cp2ZrCl2) с последующим добавлением малеинового ангидрида при температуре 25°С по схеме: Известным способом не могут быть получены 15-хлоро-1,12,13,14-тетраалкил-15-алюминатетрацикло[10.2.1.02,11.04,9]пентадека-4(9),5,7,13-тетраен-3,10-дионы (1). Таким образом, в литературе отсутствуют сведения по селективному получению 15-хлоро-1,12,13,14-тетраалкил-15-алюминатетрацикло[10.2.1.02,11.04,9]пентадека-4(9),5,7,13-тетраен-3,10-дионов (1). Предлагается новый способ получения 15-хлоро-1,12,13,14-тетраалкил-15-алюминатетрацикло[10.2.1.02,11.04,9]пентадека-4(9),5,7,13-тетраен-3,10-дионов (1). Сущность способа заключается во взаимодействии диалкилзамещенных ацетиленов общей формулы 15-Хлоро-1,12,13,14-тетраалкил-15-алюминатетрацикло-[10.2.1.02,11.04,9]пентадека-4(9),5,7,13-тетраен-3,10-дионы (1) образуются только лишь с участием AlCl3, дизамещенных ацетиленов, металлического Mg, циркониевого катализатора Cp2ZrCl2 и 1,4-нафтахинона. В присутствии других соединений алюминия (например, AlEt3, Bui 3Al, Bui 2AlH), других ацетиленов (например, терминальных), других металлов в качестве акцептора галогенид-ионов (например, Zn, Fe, Al), других катализаторов (например, Zr(acac)4, Cp2TiCl2, Pd(acac)2, Ni(acac)2, NiCl2, Fe(acac)2), других дикетонов (например, о-бензохинон или 9,10-антрахинон), целевые продукты (1) не образуются. Реакцию проводили при комнатной температуре (20°С). При более высокой температуре (например, 40°С) не наблюдается существенного увеличения выхода целевых продуктов (1), а при меньшей температуре (например, 0°С) снижается скорость реакции. Изменение соотношения исходных реагентов (AlCl3, Mg, 1,4-нафтахинон) и катализатора (Cp2ZrCl2) в сторону их увеличения по отношению к исходному дизамещенному ацетилену Реакцию проводили с использованием ТГФ в качестве растворителя. В других растворителях (например, алифатических или ароматических) реакция не идет. Существенные отличия предлагаемого способа. В предлагаемом способе для получения циклических кислородсодержащих АОС используются в качестве исходных соединений соль – треххлористый алюминий (AlCl3) и 1,4-нафтахинон, а в известном способе – алюминийорганическое соединение этилалюминийдихлорид (EtAlCl2) и малеиновый ангидрид. Предлагаемый способ обладает следующими преимуществами. Способ позволяет получать с высокой селективностью 15-хлоро-1,12,13,14-тетраалкил-15-алюминатетрацикло[10.2.1.02,11.04,9]пентадека-4(9),5,7,13-тетраен-3,10-дионы (1), синтез которых в литературе не описан. Способ поясняется следующими примерами. Пример 1. В стеклянный реактор объемом 50 мл, установленный на магнитной мешалке, в атмосфере аргона помещают 10 мл ТГФ, 20 ммолей гекс-1-ина, 12 мг-ат. Mg (порошок) при температуре 0°С 0.5 ммолей катализатора Cp2ZrCl2 и 12 ммолей AlCl3, перемешивают 8 часов при 20°С, добавляют 12 ммолей 1,4-нафтахинона, перемешивают 7 часов при комнатной температуре. Получают 15-хлоро-1,12,13,14-тетраалкил-15-алюминатетрацикло[10.2.1.02,11.04,9]пентадека-4(9),5,7,13-тетраен-3,10-дион (1) с выходом 75%. Выход целевого продукта и его строение определены по продукту гидролиза (4). Спектральные характеристики 1,2,3,4-тетраэтил-1,4,4а,9а-тетрагидроантрацен-9,10-диона (4): Спектр ЯМР 13С ( Другие примеры, подтверждающие способ, приведены в таблице.
Реакции проводили при комнатной температуре (20°С) в ТГФ.
Формула изобретения
Способ получения 15-хлоро-1,12,13,14-тетраалкил-15-алюминатетрацикло[10.2.1.02,11.04,9]пентадека-4(9),5,7,13-тетраен-3,10-дионов (1) общей формулы 1
где R=Et, н-Pr, н-Bu отличающийся тем, что дизамещенные ацетилены общей формулы
где R=Et, н-Pr, н-Bu, взаимодействуют с треххлористым алюминием AlCl3 в присутствии металлического Mg (порошок) и катализатора цирконацендихлорида (Cp2ZrCl2) в мольном соотношении
MM4A – Досрочное прекращение действия патента СССР или патента Российской Федерации на изобретение из-за неуплаты в установленный срок пошлины за поддержание патента в силе
Дата прекращения действия патента: 18.10.2007
Извещение опубликовано: 27.06.2009 БИ: 18/2009
|
||||||||||||||||||||||||||||||||||


, где R=Et, н-Pr, н-Bu
-замещенных алюмациклопентанов циклометаллированием
-олефинов с помощью Et3Al в присутствии Cp2ZrCl23) в присутствии катализатора цирконацендихлорида (Cp2ZrCl2) по схеме:

, где R=Et, н-Pr, н-Bu, с треххлористым алюминием (AlCl3) в присутствии металлического Mg (порошок) и катализатора цирконацендихлорида (Cp2ZrCl2), взятыми в мольном соотношении
: AlCl3 : Mg : Cp2ZrCl2 равном 20:12:12:0.5 в атмосфере аргона при комнатной температуре (20°С) и атмосферном давлении в тетрагидрофуране (ТГФ) в качестве растворителя в течение 8 часов с последующим добавлением 1,4-нафтахинона в эквимольном по отношению к AlCl3 количестве с перемешиванием реакционной массы в течение 6-8 часов, предпочтительно 7 часов, при комнатной температуре (20°С). Реакция протекает с образованием 15-хлоро-1,12,13,14-тетраалкил-15-алюминатетрацикло[10.2.1.02,11.04,9]пентадека-4(9),5,7,13-тетраен-3,10-дионов (1) с выходом 64-75% по схеме:
не приводит к существенному повышению выхода целевых продуктов (1). Изменение соотношения исходных реагентов и катализатора в сторону их уменьшения по отношению к исходному дизамещенному ацетилену снижает выход целевых продуктов (1).
, м.д.): 13.54 (C8), 13.74 (С6), 20.28 (С5), 25.58 (C7), 38.93 (C2), 40.27 (С3), 126.37 (С10), 133.46 (С11), 134.48 (С9), 139.92 (C4), 200.05 (C1).

октин-4
децин-5

AlCl3:Mg:Cp2ZrCl2, равном 20:12:12:0,5, в атмосфере аргона при атмосферном давлении и комнатной температуре в тетрагидрофуране в качестве растворителя в течение 8 ч с последующим добавлением 1,4-нафтахинона, взятого в эквимольном по отношению к AlCl3 количестве, и перемешиванием реакционной массы в течение 6-8 ч при комнатной температуре (20°С).