Патент на изобретение №2295529
|
||||||||||||||||||||||||||||||||||
(54) СПОСОБ ПОЛУЧЕНИЯ 10-ХЛОРО-1,7,8,9-ТЕТРААЛКИЛ-4-МЕТИЛ-4-АЗА-10-АЛЮМИНАТРИЦИКЛО [5.2.1.02,6]ДЕЦ-8-ЕН-3,5-ДИОНОВ
(57) Реферат:
Изобретение относится к способу получения новых алюминийорганических соединений общей формулы I, где R-Et, н-Pr, н-Bu. Способ заключается во взаимодействии дизамещенных ацетиленов с треххлористым алюминием в присутствии металлического Mg (в порошке) и катализатора (Cp2ZrCl2) в атмосфере аргона при атмосферном давлении и комнатной температуре в течение 8 часов с последующим добавлением N-метилмалеинимида и перемешиванием реакционной массы в течение 6-8 часов при комнатной температуре. Выход целевого продукта составляет 76-85%. Соединения могут найти применение в тонком органическом и металлоорганическом синтезе, а также в качестве сокатализаторов в процессах олиго- и полимеризации олефинов и сопряженных диенов. 1 табл.
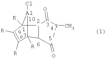
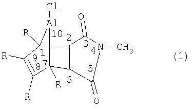
Предлагаемое изобретение относится к способам получения новых алюминийорганических соединений (АОС), конкретно к способу получения 10-хлоро-1,7,8,9-тетраалкил-4-метил-4-аза-10-алюминатрицикло[5.2.1.02,6]дец-8-ен-3,5-дионов общей формулы (1):
где R=Et, н-Pr, н-Bu Предлагаемые соединения могут найти применение в тонком и металлоорганическом синтезе, а также в качестве сокатализаторов в процессах олиго- и полимеризации олефинов и сопряженных диенов. Известен способ [1, У.М.Джемилев, А.Г.Ибрагимов, А.П.Золотарев, P.P.Маслухов, Г.А.Толстиков. Синтез и превращения металлоциклов. Сообщение 5. Региоселективный синтез Известный способ не позволяет получать 10-хлоро-1,7,8,9-тетраалкил-4-метил-4-аза-10-алюминатрицикло[5.2.1.02,6]дец-8-ен-3,5-дионы (1). Известен способ [2, У.М.Джемилев, А.Г.Ибрагимов, Л.О.Хафизова, Л.Р.Якупова, Л.М.Халилов. Циклоалюминирование ацетиленов и 1,4-енинов с участием Zr-содержащих катализаторов. Журнал органической химии, 2005, 41, 684] получения циклических алюминийорганических соединений (3) взаимодействием дизамещенных ацетиленов с этилалюминийдихлоридом (EtAlCl2) в присутствии катализатора цирконацендихлорида (Cp2ZrCl2) с последующим добавлением малеинового ангидрида и проведением реакции при температуре 25°С по схеме: Известным способом не могут быть получены 10-хлоро-1,7,8,9-тетраалкил-4-метил-4-аза-10-алюминатрицикло[5.2.1.02,6]дец-8-ен-3,5-дионы (1). Таким образом, в литературе отсутствуют сведения по селективному получению 10-хлоро-1,7,8,9-тетраалкил-4-метил-4-аза-10-алюминатрицикло[5.2.1.02,6]дец-8-ен-3,5-дионов (1). Предлагается новый способ получения 10-хлоро-1,7,8,9-тетраалкил-4-метил-4-аза-10-алюминатрицикло[5.2.1.02,6]дец-8-ен-3,5-дионов (1). Сущность способа заключается во взаимодействии диалкилзамещенных ацетиленов общей формулы 10-Хлоро-1,7,8,9-тетраалкил-4-метил-4-аза-10-алюминатрицикло-[5.2.1.02,6]дец-8-ен-3,5-дионы (1) образуются только лишь с участием AlCl3, дизамещенных ацетиленов, металлического Mg, циркониевого катализатора Cp2ZrCl2 и N-метилмалеинимида. В присутствии других соединений алюминия (например, AlEt3, Bui 3Al, Bui 2AlH), других ацетиленов (например, терминальных), других металлов в качестве акцептора галогенид-ионов (например, Zn, Fe, Al), других катализаторов (например, Zr(acac)4, Cp2TiCl2, Pd(acac)2, Ni(acac)2, NiCl2, Fe(acac)2), других дикетонов (например, о-бензохинон или 9,10-антрахинон), целевые продукты (1) не образуются. Реакцию проводили при комнатной температуре (20°С). При более высокой температуре (например, 40°С) не наблюдается существенного увеличения выхода целевых продуктов (1), а при меньшей температуре (например, 0°С) снижается скорость реакции. Изменение соотношения исходных реагентов (AlCl3, Mg, N-метилмалеинимида) и катализатора (Cp2ZrCl2) в сторону их увеличения по отношению к исходному дизамещенному ацетилену Реакцию проводили с использованием ТГФ в качестве растворителя. В других растворителях (например, алифатических или ароматических) реакция не идет. Существенные отличия предлагаемого способа. В предлагаемом способе для получения циклических кислородсодержащих АОС используются в качестве исходных соединений соль – треххлористый алюминий (AlCl3) и N-метилмалеинимид, а в известном способе – алюминийорганическое соединение этилалюминийдихлорид (EtAlCl2) и малеиновый ангидрид. Предлагаемый способ обладает следующими преимуществами. Способ позволяет получать с высокой селективностью 10-хлоро-1,7,8,9-тетраалкил-4-метил-4-аза-10-алюминатрицикло[5.2.1.02,6]дец-8-ен-3,5-дионы (1), синтез которых в литературе не описан. Способ поясняется следующими примерами. ПРИМЕР 1. В стеклянный реактор объемом 50 мл, установленный на магнитной мешалке, в атмосфере аргона помещают 10 мл ТГФ, 20 ммолей гекс-1-ина, 12 мг-ат. Mg (порошок) при температуре 0°С 0.5 ммолей катализатора Cp2ZrCl2 и 12 ммолей AlCl3, перемешивают 8 часов при 20°С, добавляют 12 ммолей N-метилмалеинимида, перемешивают 7 часов при комнатной температуре. Получают 10-хлоро-1,7,8,9-тетраэтил-4-метил-4-аза-10-алюминатрицикло[5.2.1.02,6]дец-8-ен-3,5-дион (1) с выходом 85%. Выход целевого продукта и его строение определены по продукту гидролиза (4). Спектральные характеристики 4,5,6,7-тетраэтил-2-метил-3а,4,7,7а-тетрагидро-1-H-изоиндол-1,3(2Н)-диона (4): Спектр ЯМР 13С ( Другие примеры, подтверждающие способ, приведены в табл.1.
Реакции проводили при комнатной температуре (20°С) в ТГФ.
Формула изобретения
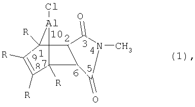
Способ получения 10-хлоро-1,7,8,9-тетраалкил-4-метил-4-аза-10-алюминатрицикло[5.2.1.02,6]дец-8-ен-3,5-дионов (1) общей формулы
где R=Et, н-Pr, н-Bu, характеризующийся тем, что дизамещенные ацетилены общей формулы
где R – Et, н-Pr, н-Bu, взаимодействуют с треххлористым алюминием AlCl3 в присутствии металлического Mg (порошок) и катализатора цирконацендихлорида (Cp2ZrCl2) в мольном соотношении
MM4A – Досрочное прекращение действия патента СССР или патента Российской Федерации на изобретение из-за неуплаты в установленный срок пошлины за поддержание патента в силе
Дата прекращения действия патента: 18.10.2007
Извещение опубликовано: 27.06.2009 БИ: 18/2009
|
||||||||||||||||||||||||||||||||||



-замещенных алюмациклопентанов циклометаллированием
-олефинов с помощью Et3Al в присутствии Cp2ZrCl23) в присутствии катализатора цирконацендихлорида (Cp2ZrCl2) по схеме:

где R=Et, н-Pr, н-Bu с треххлористым алюминием (AlCl3) в присутствии металлического Mg (порошок) и катализатора цирконацендихлорида (Cp2ZrCl2), взятыми в мольном соотношении
: AlCl3: Mg : Cp2ZrCl2, равном 20:12:12:0.5, в атмосфере аргона при комнатной температуре (20°С) и атмосферном давлении в тетрагидрофуране (ТГФ) в качестве растворителя в течение 8 часов с последующим добавлением N-метилмалеинимида в эквимольном по отношению к AlCl3 количестве с перемешиванием реакционной массы 6-8 часов, предпочтительно 7 часов, при комнатной температуре (20°С). Реакция протекает с образованием 10-хлоро-1,7,8,9-тетраалкил-4-метил-4-аза-10-алюминатрицикло[5.2.1.02,6]дец-8-ен-3,5-дионов (1) с выходом 76-85% по схеме:
не приводит к существенному повышению выхода целевых продуктов (1). Изменение соотношения исходных реагентов и катализатора в сторону их уменьшения по отношению к исходному дизамещенному ацетилену снижает выход целевых продуктов (1).
, м.д.): 12.26(C8), 14.29(С6), 19.92(С5), 23.31(С7), 24.06(С9), 40.96(С3), 41.35(С2), 136.88(С4), 178.08(C1).
гексин-3
октин-4
децин-5

AlCl3:Mg:Cp2ZrCl2, равном 20:12:12:0.5, в атмосфере аргона при атмосферном давлении и комнатной температуре в тетрагидрофуране в качестве растворителя в течение 8 ч с последующим добавлением N-метилмалеинимида, взятого в эквимольном по отношению к AlCl3 количестве, и перемешиванием реакционной массы в течение 6-8 ч при комнатной температуре (20°С).