Патент на изобретение №2295525
|
||||||||||||||||||||||||||||||||||||||||||||||||||||||||||||||||||||||||||||||||||||||||||||||||||||||||||||||||||||||||||||||||||||||||||||||||||||||||||||||||||||||||||||||||||||||||||||||||||||||||||||||||||||||||||||||||||||||||||||||||||||||||||
(54) АМИДОЗАМЕЩЕННЫЕ ПРОИЗВОДНЫЕ КСАНТИНА, ОБЛАДАЮЩИЕ ИНГИБИРУЮЩИМ ДЕЙСТВИЕМ ФОСФОЕНОЛПИРУВАТКАРБОКСИКИНАЗЫ (ФЕПКК), СПОСОБ ИХ ПОЛУЧЕНИЯ, ФАРМАЦЕВТИЧЕСКАЯ КОМПОЗИЦИЯ И ПРИМЕНЕНИЕ
(57) Реферат:
Изобретение относится к новым производным ксантина формулы I, обладающим ингибирующим действием фосфоенолпируваткарбоксикиназы (ФЕПКК). В соединении формулы
R1 выбран из группы, содержащей низший алкенил, низший алкинил, низший алкенил, замещенный галогеном, фенил и фенил, замещенный одним или двумя заместителями, независимо выбранными из группы, содержащей галоген, гидрокси, низшую алкоксигруппу, нитрогруппу, аминогруппу и 5- или 6-членное ароматическое гетероциклическое кольцо, имеющее 1, 2, 3 или 4 атома азота, присоединенное к фенилу посредством атома углерода кольца; R2 выбран из группы, содержащей незамещенный низший алкил, низший алкил, замещенный низшей алкоксигруппой или гидрокси, низший алкенил, фенил, -(СН2)n-незамещенный низший циклоалкил и -(CH2)n-низший циклоалкил, замещенный по меньшей мере одним заместителем, выбранным из группы, содержащей карбоксигруппу, низший алкил, карбокси-низший алкил и низший алкил, замещенный гидрокси, -(СН2)n-С(O)Rb, где Rb выбран из группы, содержащей гидроксил, низшую алкоксигруппу, водород, бензил, низший алкил и -NHRb, при этом Rb выбран из группы, содержащей гидроксил, низшую алкоксигруппу, -NHRc, где Rc выбран из группы, содержащей водород, бензил, низший алкил и -NHRd, при этом Rd выбран из групп содержащей водород и карбокси-низший алкил; -(СН2)n-незамещенное ароматическое пятичленное гетероциклическое кольцо, содержащее один атом кислорода или серы, -(СН2)n-ароматическое пятичленное гетероциклическое кольцо, содержащее один атом кислорода или серы, причем кольцо замещено остатком карбоновой кислоты, -(СН2)n-незамещенное ароматическое пятичленное гетероциклическое кольцо, содержащее 1, 2 или 3 атома азота, -(СН2)n-неароматическое пяти- или шестичленное гетероциклическое кольцо, содержащее по меньшей мере один атом кислорода и не одного или два атома азота, причем неароматическое гетероциклическое кольцо не имеет заместителей либо содержит один из углеродных атомов кольца в форме карбонила, и в котором R3 обозначает
и др. Изобретение также относится к фармацевтически приемлемым солям соединений, фармацевтической композиции на их основе, применению и ингибированию активности ФЕПКК. 6 н. и 26 з.п. ф-лы, 1 табл.
Настоящее изобретение относится к 1,3,8-замещенным производным ксантина формулы I
Соединения формулы I и их фармацевтически приемлемые соли являются модуляторами биосинтеза глюкозы из неуглеводных субстратов (глюконеогенезиса) и используются для лечения диабета 2 типа. Контроль вырабатывания глюкозы представляет собой один из ключевых аспектов противодиабетической терапии. У больных диабетом 2 типа повышенные уровни глюкозы в крови возникают после приема пищи и натощак (A. Consoli, N. Nurjhan, F. Capani и J. Gerich, Diabetes, 1989, т.38, сс.550-7; G.I.Shulman, Am. J. Card., 1999, т.84 (Прилож. 1А): 3J-10J). Избыточная выработка глюкозы печенью (ВГП) способствует гипогликемии натощак, наблюдаемой у пациентов с диабетом 2 типа (Т2Д) (A.Gastadelli, S.Baldi, M.Pettiti, E.Toschi, S.Camastra, A. Natali, B.R.Landau и Е.Ferranini, Diabetes, 2000, т.49, сс.1367-1373). Полагают, что главным метаболическим путем данной повышенной выработки глюкозы является биосинтез глюкозы из неуглеводных субстратов (R.A Defronzo, R.C. Bonadonna и E.Ferrannini, Diabetes Care, 1992, т.15, сс.318-367). Фосфоенолпируватная карбоксикиназа (ФЕПКК) представляет собой основной регуляторный фермент метаболического пути биосинтеза глюкозы из неуглеводных субстратов. Полагают, что ФЕПКК является ферментом, регулирующим избыточное выделение и ограничивающим скорость данного метаболического пути (A.N.Cimbala, W.H.Lamers, J.E.Nelson, J.E.Monahan, H.Yoo-Warren и R.W.Hanson, J.Biol. Chem., 1982, т.257, сс.7629-7636), следовательно, ингибирование данного фермента представляет собой новый путь улучшения гомеостаза глюкозы. До сих пор попытки регулирования выработки глюкозы печенью посредством ингибирования биосинтеза глюкозы из неуглеводных субстратов ограничивались бигуанидами, такими как метформин (R.A.Defronzo, Diabetes Reviews, 1998, т.6, сс.89-131). Метформин ингибирует ВГП, но механизм его действия неизвестен. Кроме того, он имеет такие побочные эффекты, как желудочно-кишечные (ЖК) нарушения и ацидоз молочной кислоты. Ингибирование ФЕПКК обеспечивает превосходное действие и, в совокупности с пониженными побочными эффектами, представляет собой новый путь лечения диабета 2 типа. Настоящее изобретение направлено на соединение формулы
в которой R1 выбран из группы, содержащей (низш.)алкенил, (низш.)алкинил, (низш.)алкенил, замещенный галогеном, фенил и фенил, замещенный одним или двумя заместителями, независимо выбранными из группы, содержащей галоген, гидрокси, (низш.)алкоксигруппу, нитрогруппу, аминогруппу и 5- или 6-членное ароматическое гетероциклическое кольцо, имеющее 1, 2, 3 или 4 атома азота, присоединенное к фенилу посредством циклического атома углерода; R2 выбран из группы, содержащей незамещенный (низш.)алкил, (низш.)алкил, замещенный (низш.)алкоксигруппой или гидрокси, (низш.)алкенил, фенил, -(СН2)n-незамещенный (низш.)циклоалкил, -(СН2)n-(низш.)циклоалкил, замещенный по меньшей мере одним заместителем, выбранным из группы, содержащей карбоксигруппу, (низш.)алкил, карбокси-(низш.)алкил и (низш.)алкил, замещенный гидрокси, -(CH2)n-C(O)Rb, где Rb выбран из группы, содержащей гидроксил, (низш.)алкоксигруппу, -NHRc, где Rc выбран из группы, содержащей водород, бензил, (низш.)алкил и -NHRd где Rd представлен водородом или карбокси-(низш.)алкилом; -(СН2)n-незамещенное ароматическое пятичленное гетероциклическое кольцо, содержащее кислород или серу, -(СН2)n-ароматическое пятичленное гетероциклическое кольцо, содержащее один гетероатом, представленный кислородом или серой, причем кольцо замещено остатком карбоновой кислоты, -(СН2)n-незамещенное ароматическое пятичленное гетероциклическое кольцо, содержащее 1, 2 или 3 атома азота, -(СН2)n-неароматическое пяти- или шестичленное гетероциклическое кольцо, содержащее, по меньшей мере, один атом кислорода и не одного или два атома азота, причем неароматическое гетероциклическое кольцо не имеет заместителей либо содержит один из углеродных атомов кольца в форме карбонила, и в котором R3 обозначает
где Q означает N или СН, при условии, что когда Q означает N, то Re представлен -NH-С(O)-СН3 и Rf представлен Н, когда Q означает СН, то Re представлен -NRg-C(O)-Rh или
а Rf выбран из группы, содержащей Н, -NH2 и -NH-С(O)-СН3, Rg выбран из группы, содержащей Н, (низш.)алкил и -(СН2)n-незамещенный(низш.)циклоалкил, Rh выбран из группы, содержащей -(СН2)n– 5- или 6-членное ароматическое гетероциклическое кольцо, содержащее один, два или три гетероатома, независимо выбранных из группы, содержащей N, О и S, причем ароматическое гетероциклическое кольцо не замещено или имеет, по меньшей мере, один заместитель, независимо выбранный из группы, содержащей (низш.)алкил, (низш.)алкоксигруппу, гидрокси, галоген, -NH2, -NH-С(O)-(низш.)алкил, -CN, -C(O)-NH2 и -SO2-(низш.)алкил, (низш.)алкил, (низш.)алкил замещенный, по меньшей мере, одним заместителем, независимо выбранным из группы, содержащей галоген, фенил и -(CH2)nNRiRi, где Ri независимо выбран из группы, содержащей Н, (низш.)алкил и карбонилоксибензильную группу (КБЗ), -NHRj, где Rj выбран из группы, содержащей 5- или 6-членное ароматическое гетероциклическое кольцо, содержащее один, два или три гетероатома, независимо выбранных из группы, содержащей N, О и S, причем гетероциклическое кольцо замещено, по меньшей мере, одним заместителем, выбранным из группы, содержащей галоген, (низш.)алкил и фенил, -C(O)-Rk, где Rk обозначает 5- или 6-членное ароматическое гетероциклическое кольцо, содержащее один, два или три гетероатома, независимо выбранных из группы, содержащей N, О и S, причем ароматическое гетероциклическое кольцо является незамещенным или замещено, по меньшей мере, одним (низш.)алкилом, незамещенный фенил, фенил, замещенный, по меньшей мере, одним заместителем, независимо выбранным из группы, содержащей (низш.)алкил, (низш.)алкоксигруппу, -(CH2)m-NHR1, где R1 выбран из группы, содержащей Н, (низш.)алкил, и карбонилоксибензильную группу (КБЗ), в котором Т обозначает NH или CH2, и если Т означает NH, то Rw и Rx совместно с атомом углерода, к которому они присоединены, образуют -С(O)-, a Ry обозначает -(CH2)ORz, где Rz выбран из группы, содержащей водород и (низш.)алкил, а если Т означает СН2, то Rw и Rx оба обозначают водород или совместно с атомом углерода, к которому они присоединены, образуют -С(O)-; n означает 0, 1 или 2; m означает 0 или 1; или их фармацевтически приемлемые соли. Фосфоенолпируваткарбоксикиназа (ФЕПКК) является ключевым регуляторным ферментом пути биосинтеза глюкозы из неуглеводных субстратов. Как отмечено выше, полагают, что ФЕПКК является ферментом, контролирующим избыточное выделение и ограничивающим интенсивность этого пути, следовательно, ингибирование этого фермента представляет собой новый путь улучшения гомеостаза глюкозы. Предшествующие попытки регулирования выработки глюкозы печенью (ВГП) посредством ингибирования биосинтеза глюкозы из неуглеводных субстратов ограничивались бигуанидами, такими как метформин, ингибирующий ВГП, но по неизвестному механизму. Ингибирование ВГП специфично направленным ферментом, ФЕПКК, участвующим, как известно, в пути биосинтеза глюкозы из неуглеводных субстратов, посредством введения терапевтически эффективного количества соединения формулы I или его фармацевтически эффективной соли представляет собой альтернативную терапию. В дополнение к этому, ингибирование ФЕПКК посредством введения терапевтически эффективного количества соединения формулы I обеспечивает превосходную эффективность действия и, в сочетании с пониженными побочными эффектами, представляет новое лечение диабета типа 2 (инсулиннезависимого). Данное изобретение направлено также на фармацевтические композиции, содержащие терапевтически эффективное количество одного или нескольких соединений формулы I и фармацевтически приемлемый носитель или наполнитель. Данное изобретение далее направлено на способ лечения диабета типа 2, включающий введение терапевтически эффективного количества соединения формулы I или его фармацевтически приемлемой соли пациенту, нуждающемуся в таком лечении. В представленном описании используются следующие определения общих терминов, вне зависимости от того, применяются ли эти термины по одному или в комбинации. “(Низш.)алкил” включает углеводородные группы как с прямой, так и с разветвленной цепью, имеющей от одного до семи атомов углерода, такие как метил, этил, пропил, бутил, изопропил, изобутил и т.п. Предпочтительные алкильные группы представлены метилом, этилом, бутилом и изопропилом. Термин “(низш.)алкоксигруппа” обозначает группу, в которой алкильные остатки определены, как указано выше, и они соединены через атом кислорода. Термин “алкенил” относится к углеводородной цепи, определенной выше для алкила, имеющей, по меньшей мере, одну олефиновую двойную связь, например винил, аллил, бутенил и т.п. Термин “алкинил” относится к углеводородной цепи, определенной выше для алкила, имеющей, по меньшей мере, одну ацетиленовую тройную связь, например пропинил и т.п. Термин “(низш.)циклоалкил” и “циклоалкил” относится к насыщенным циклическим углеводородам, имеющим от трех до семи углеродных атомов, таким как циклопропил, циклобутил, циклопентил и т.п. Циклопропил, циклобутил и циклопентил являются предпочтительными, а циклопропил наиболее предпочтительным. Эти циклоалкильные группы могут быть незамещенными или замещенными одним или несколькими заместителями. Термин “незамещенный” означает, что к цепи или кольцу не присоединены какие-либо атомы, отличные от водорода. Термин “замещенный”, как замещенный алкил или замещенный ароматический гетероцикл, означает, что могут быть заместители в одном или нескольких положениях и, если не указано иначе, что заместители в каждом положении замещения независимо выбраны из указанных вариантов выбора. Термин “по меньшей мере, один” замещенный обозначает один, два или три заместителя. Как использовано в данном контексте, термин “галоген” означает фтор, хлор, бром и йод. Предпочтительными галогенами являются фтор и хлор. Другие химические и структуральные термины, использованные в описании, следует интерпретировать в соответствии с их нормальными значениями, принятыми в области органической химии. Термины “аминогруппа” и формула “-NH2” могут использоваться взаимозаменяемо. Термин “пяти- или шестичленное гетероциклическое кольцо” означает неароматическое кольцо с одним, двумя или тремя гетероатомами, независимо выбранными из группы, содержащей азот, серу и кислород. В качестве примера пяти- или шестичленных гетероциклических колец можно привести тетрагидрофуранил (ТГФ), тетрагидропиранил (ТГП), тетрагидротиофенил и т.п. Термин “пяти- или шестичленное гетероароматическое кольцо” означает ароматическое кольцо с одним, двумя или тремя гетероатомами, независимо выбранными из группы, содержащей азот, серу и кислород. В качестве примера пяти- или шестичленных гетероароматических колец можно привести пиразол, имидазол, тиазол, изоксазол, пиридин, пиразин, пиримидин, триазол, тиофен и т.п. “Фармацевтически приемлемые соли” относятся к традиционным кислым солям присоединения или основным солям присоединения, которые сохраняют биологическую эффективность и свойства соединений формулы I и образуются из подходящих нетоксичных органических или неорганических кислот, либо органических или неорганических оснований. Примеры кислых солей присоединения включают соли, полученные из неорганических кислот, таких как соляная кислота, бромистоводородная кислота, йодистоводородная кислота, серная кислота, сульфамовая кислота, фосфорная кислота и азотная кислота, и соли, полученные из органических кислот, таких как п-толуолсульфокислота, салициловая кислота, метансульфоновая кислота, щавелевая кислота, янтарная кислота, лимонная кислота, яблочная кислота, молочная кислота, фумаровая кислота и т.п. Примеры основных солей присоединения включают соли, полученные из аммониевого, калиевого, натриевого и четвертичного аммониевого гидроксидов, таких как, например, гидроксид тетраметиламмония. Химическое преобразование фармацевтического соединения (т.е. лекарства) в соль является техническим приемом, хорошо известным специалисту-химику, работающему в области фармакологии, с получением улучшенной физической и химической устойчивости, гридроскопичности, текучести и растворимости соединений. См, например, Н.Ansel и соавт. “Фармацевтические лекарственные формы и системы доставки лекарственных веществ” (Pharmaceutical Dosage Forms and Drug Delivery Systems) (6-е изд., 1995), сс.196 и 1456-1457. “Пролекарство” означает соединение, которое может быть переведено при физиологических условиях или посредством сольволиза в фармацевтически активное соединение. Пролекарство при введении субъекту может быть неактивным, но оно превращается in vivo в активное соединение. Это означает, что пролекарство может выступать в качестве неактивного продукта в анализах на клетках in vitro, но оно превращается в активный продукт in vivo в организме субъекта. “Терапевтически эффективное количество” означает такое количество, которое эффективно для предотвращения, облегчения или улучшения симптомов заболевания или продления жизни субъекта, подверженного лечению. Вопрос об установлении терапевтически эффективного количества находится в пределах компетенции специалиста в данной области. В одном варианте осуществления изобретение направлено на соединение формулы
в котором R1 выбран из группы, содержащей (низш.)алкенил, (низш.)алкинил, (низш.)алкенил, замещенный галогеном, фенил и фенил, замещенный одним или двумя заместителями, независимо выбранными из группы, содержащей галоген, гидрокси, (низш.)алкоксигруппу, нитрогруппу, аминогруппу и 5- или 6-членное ароматическое гетероциклическое кольцо, имеющее 1, 2, 3 или 4 атома азота, присоединенное к фенилу посредством циклического атома углерода; R2 выбран из группы, содержащей (низш.)алкил, (низш.)алкил, замещенный (низш.)алкоксигруппой или гидрокси, (низш.)алкенил, фенил, -(СН2)n-незамещенный (низш.)циклоалкил и -(СН2)n-(низш.)циклоалкил, замещенный по меньшей мере одним заместителем, выбранным из группы, содержащей карбоксигруппу, (низш.)алкил, карбокси-(низш.)алкил и (низш.)алкил, замещенный гидрокси, -(CH2)n-C(O)Rb, где Rb выбран из группы, содержащей гидроксил, (низш.)алкоксигруппу, -NHRc, где Rc выбран из группы, содержащей водород, бензил, (низш.)алкил и -NHRd где Rd представлен водородом или карбокси-(низш.)алкилом; -(СН2)n-незамещенное ароматическое пятичленное гетероциклическое кольцо, содержащее один гетероатом, представленный кислородом или серой, -(СН2)n-ароматическое пятичленное гетероциклическое кольцо, содержащее один гетероатом, представленный кислородом или серой, причем кольцо замещено остатком карбоновой кислоты, -(СН2)n-незамещенное ароматическое пятичленное гетероциклическое кольцо, содержащее 1, 2 или 3 атома азота, -(СН2)n-неароматическое пяти- или шестичленное гетероциклическое кольцо, содержащее, по меньшей мере, один атом кислорода и не одного или два атома азота, причем неароматическое гетероциклическое кольцо не имеет заместителей либо содержит один из углеродных атомов кольца в форме карбонила, и в котором R3 обозначает
где Q означает N или СН, когда Q означает N, то Re представлен -NH-С(O)-СН3 и Rf представлен Н, когда Q означает СН, то Re представлен -NRg-C(O)-Rh или
где Rf выбран из группы, содержащей Н, -NH2 и -NH-C(O)-CH3, Rg выбран из группы, содержащей Н, (низш.)алкил и -(СН2)n-незамещенный(низш.)циклоалкил, Rh выбран из группы, содержащей -(СН2)n– 5- или 6-членное ароматическое гетероциклическое кольцо, содержащее один, два или три гетероатома, независимо выбранных из группы, содержащей N, О и S, причем ароматическое гетероциклическое кольцо не замещено или имеет, по меньшей мере, один заместитель, независимо выбранный из группы, содержащей (низш.)алкил, (низш.)алкоксигруппу, гидрокси, галоген, -NH2, -NH-С(O)-(низш.)алкил, -CN, -C(O)-NH2 и -SO2-(низш.)алкил, (низш.)алкил замещенный, по меньшей мере, одним заместителем, независимо выбранным из группы, содержащей галоген, фенил и -(CH2)nNRiRi, где Ri независимо выбран из группы, содержащей Н, (низш.)алкил и карбонилоксибензильную группу (КБЗ), -NHRj, где Rj выбран из группы, содержащей 5- или 6-членное ароматическое гетероциклическое кольцо, содержащее один, два или три гетероатома, независимо выбранных из группы, содержащей N, О и S, причем гетероциклическое кольцо замещено, по меньшей мере, одним заместителем, выбранным из группы, содержащей галоген, (низш.)алкил и фенил, -C(O)-Rk, где Rk обозначает 5- или 6-членное ароматическое гетероциклическое кольцо, содержащее один, два или три гетероатома, независимо выбранных из группы, содержащей N, О и S, причем ароматическое гетероциклическое кольцо является незамещенным или замещено, по меньшей мере, одним (низш.)алкилом, незамещенный фенил, фенил, замещенный, по меньшей мере, одним заместителем, независимо выбранным из группы, содержащей (низш.)алкил, (низш.)алкоксигруппу и -(CH2)m-NHR1, где R1 выбран из группы, содержащей Н, (низш.)алкил и карбонилоксибензильную группу (КБЗ), и в котором Т обозначает NH или СН2, при условии, что если Т означает NH, то Rw и Rx совместно с атомом углерода, к которому они присоединены, образуют -С(O)-, a Ry обозначает Н или -(СН2)ORz, где Rz выбран из группы, содержащей водород и (низш.)алкил, а если Т означает СН2, то Rw и Rx оба обозначают водород или совместно с атомом углерода, к которому они присоединены, образуют -С(O)-; и n означает 0, 1 или 2; m означает 0 или 1; или их фармацевтически приемлемые соли. В одном предпочтительном варианте осуществления соединений формулы I R1 выбран из группы, содержащей (низш.)алкенил, (низш.)алкенил, замещенный галогеном, и (низш.)алкинил. Представители соединений формулы I данного предпочтительного варианта осуществления изобретения выбраны из группы, содержащей: N-{4-[1-аллил-3-(2-метоксиэтил)-2,6-диоксо-2,3,6,7-тетрагидро-1H-пурин-8-илметил] фенил} ацетамид, N-{4-[3-бутил-1-(3-метил-бут-2-енил)-2,6-диоксо-2,3,6,7-тетрагидро-1H-пурин-8-илметил]фенил} ацетамид, N-[4-(1-бут-2-енил-3-бутил-2,6-диоксо-2,3,6,7-тетрагидро-1H-пурин-8-илметил)фенил]ацетамид, N-[4-(1-аллил-3-бутил-2,6-диоксо-2,3,6,7-тетрагидро-1H-пурин-8-илметил)фенил]ацетамид, N-{4-[1-(3-бромаллил)-3-бутил-2,6-диоксо-2,3,6,7-тетрагидро-1H-пурин-8-илметил]фенил}ацетамид и N-[4-(3-бутил-2,6-диоксо-1-проп-2-инил-2,3,6,7-тетрагидро-1H-пурин-8-илметил)фенил]ацетамид. В другом предпочтительном варианте осуществления изобретения соединения формулы I R1 выбран из группы, содержащей фенил и фенил, замещенный заместителем, выбранным из группы, содержащей галоген, аминогруппу, (низш.)алкоксигруппу гидрокси, нитрогруппу и 5- или 6-членное гетероциклическое кольцо, имеющее 1, 2, 3 или 4 атома азота, гетероциклическое кольцо, присоединенное к фенилу посредством атома углерода кольца. Далее, предпочтительными являются соединения формулы I, если R1 выбран из группы, содержащей В качестве примеров этих дополнительных предпочтительных соединений формулы I можно назвать соединения, выбранные из группы, содержащей: N-[4-(1-бензил-3-метоксиметил-2,6-диоксо-2,3,6,7-тетрагидро-1H-пурин-8-илметил)фенил]ацетамид, [4-(1-бензил-3-бутил-2,6-диоксо-2,3,6,7-тетрагидро-1H-пурин-8-илметил)фенил]карбаминовой кислоты трет-бутиловый эфир, N-[4-(1-бензил-3-метил-2,6-диоксо-2,3,6,7-тетрагидро-1H-пурин-8-илметил)фенил]ацетамид, N-[3-(1-бензил-3-фуран-3-илметил-2,6-диоксо-2,3,6,7-тетрагидро-1H-пурин-8-илметил)фенил]ацетамид, N-(4-{3-бутил-1-[4-(1-метил-1H-тетразол-5-ил)бензил]-2,6-диоксо-2,3,6,7-тетрагидро-1H-пурин-8-илметил}фенил)-ацетамид, N-[4-(1-бензил-3-бутил-2,6-диоксо-2,3,6,7-тетрагидро-1H-пурин-8-илметил)фенил]ацетамид, N-[5-(1-бензил-3-бутил-2,6-диоксо-2,3,6,7-тетрагидро-1H-пурин-8-илметил)пиридин-2-ил]ацетамид, N-{4-[3-бутил-1-(3-фторбензил)-2,6-диоксо-2,3,6,7-тетрагидро-1H-пурин-8-илметил]фенил}ацетамид, N-{4-[3-бутил-1-(2,6-дифторбензил)-2,6-диоксо-2,3,6,7-тетрагидро-1H-пурин-8-илметил]фенил}ацетамид, 5-[8-(4-ацетиламинобензил)-1-бензил-2,6-диоксо-1,2,6,7-тетрагидропурин-3-илметил]фуран-2-карбоновую кислоту, соединенную с трифторуксусной кислотой, N-[4-(1-бензил-2,6-диоксо-3-тиофен-2-илметил-2,3,6,7-тетрагидро-1H-пурин-8-илметил)фенил]ацетамид, N-[6-(1-бензил-3-бутил-2,6-диоксо-2,3,6,7-тетрагидро-1H-пурин-8-илметил)пиридин-3-ил]ацетамид, N-[4-(1-бензил-3-фуран-3-илметил-2,6-диоксо-2,3,6,7-тетрагидро-1H-пурин-8-илметил)фенил]ацетамид, 1-бензил-3-бутил-8-[4-(2,5-диоксопирролидин-1-ил)бензил]-3,7-дигидропурин-2,6-дион, N-{4-[1-(5-амино-2-фторбензил)-3-бутил-2,6-диоксо-2,3,6,7-тетрагидро-1H-пурин-8-илметил]фенил}ацетамид, соединенный с трифторуксусной кислотой, N-{4-[3-бутил-1-(2-гидроксибензил)-2,6-диоксо-2,3,6,7-тетрагидро-1H-пурин-8-илметил]фенил}ацетамид, 1-бензил-3-бутил-8-[4-(2-оксопирролидин-1-ил)бензил]-3,7-дигидропурин-2,6-дион и N-{4-[1-(5-метокси-2-фторбензил)-3-бутил-2,6-диоксо-2,3,6,7-тетрагидро-1H-пурин-8-илметил]фенил}ацетамид, соединенный с трифторуксусной кислотой. Другие предпочтительные соединения формулы I представлены формулой
в которой R2 и R3 имеют значения, определенные выше. Особенно предпочтительными среди соединений формулы Ia являются соединения, в которых R2 выбран из группы, содержащей фенил, -(СН2)n-незамещенное ароматическое 5-членное гетероциклическое кольцо, содержащее один гетероатом, выбранный из группы, состоящей из О и S, -(СН2)n-ароматическое 5-членное гетероциклическое кольцо, содержащее один гетероатом, выбранный из группы, состоящей из О и S, где 5-членное гетероциклическое кольцо замещено карбоновой кислотой, -(СН2)n-незамещенное ароматическое гетероциклическое кольцо, содержащее один, два или три N-атома и -(СН2)n-неароматическое 5- или 6-членное гетероциклическое кольцо, содержащее, по меньшей мере, один атом кислорода и ни одного, либо два атома азота, причем неароматическое гетероциклическое кольцо не содержит заместителей, либо содержит один атом углерода в кольце в форме карбонила. Примеры данных особо предпочтительных соединений формулы Ia выбраны из группы, содержащей N-{4-[1-(2-фторбензил)-2,6-диоксо-3-(1H-[1,2,4]триазол-3-илметил)-2,3,6,7-тетрагидро-1H-пурин-8-илметил]фенил}ацетамид, соединенный с трифторуксусной кислотой, N-{4-[1-(2-фторбензил)-2,6-диоксо-3-(тетрагидропиран-2-илметил)-2,3,6,7-тетрагидро-1H-пурин-8-илметил]фенил}ацетамид, N-(4-{1-(2-фторбензил)-2,6-диоксо-3-[2-(5-оксо-4,5-дигидро-[1,3,4]оксадиазол-2-ил)этил]-2,3,6,7-тетрагидро-1H-пурин-8-илметил} фенил)ацетамид, N-(4-{1-(2-фторбензил)-2,6-диоксо-3-[3-(5-оксо-4,5-дигидро-[1,3,4]оксадиазол-2-ил)пропил]-2,3,6,7-тетрагидро-1H-пурин-8-илметил}фенил)ацетамид, N-{4-[1-(2-фторбензил)-3-фенил-2,6-диоксо-2,3,6,7-тетрагидро-1H-пурин-8-илметил]фенил}ацетамид, N-{4-[1-(2-фторбензил)-3-фуран-3-илметил-2,6-диоксо-2,3,6,7-тетрагидро-1H-пурин-8-илметил]фенил}ацетамид, N-{4-[1-(2-фторбензил)-3-(тетрагидрофуран-2-илметил)-2,6-диоксо-2,3,6,7-тетрагидро-1H-пурин-8-илметил]фенил}ацетамид и N-{4-[1-(2-фторбензил)-2,6-диоксо-3-тиофен-2-илметил-2,3,6,7-тетрагидро-1H-пурин-8-илметил]фенил}ацетамид. Особенно предпочтительными являются соединения формулы Ia, в которых R2 выбран из группы, содержащей (низш.)алкил, (низш.)алкил, замещенный (низш.)алкоксигруппой или гидрокси, и (низш.)алкенил, более конкретно незамещенный (низш.)алкил и (низш.)алкенил. Примеры данных особо предпочтительных соединений выбраны из группы, содержащей: N-{4-[1-(2-фторбензил)-3-гексил-2,6-диоксо-2,3,6,7-тетрагидро-1H-пурин-8-илметил]фенил}ацетамид, N-{3-ацетиламино-4-[3-бутил-1-(2-фторбензил)-2,6-диоксо-2,3,6,7-тетрагидро-1H-пурин-8-илметил]фенил}ацетамид, 3-хлор-4-(пропан-2-сульфонил)тиофен-2-карбоновой кислоты {4-[3-бутил-1-(2-фторбензил)-2,6-диоксо-2,3,6,7-тетрагидро-1H-пурин-8-илметил]фенил}амид, N-{5-амино-2-[3-бутил-1-(2-фторбензил)-2,6-диоксо-2,3,6,7-тетрагидро-1H-пурин-8-илметил]фенил}ацетамид, N-{6-[3-бутил-1-(2-фторбензил)-2,6-диоксо-2,3,6,7-тетрагидро-1H-пурин-8-илметил]пиридин-3-ил}ацетамид, N-{4-[1-(2-фторбензил)-3-(3,3-диметилбутил)-2,6-диоксо-2,3,6,7-тетрагидро-1H-пурин-8-илметил]фенил}ацетамид, N-{5-[3-бутил-1-(2-фторбензил)-2,6-диоксо-2,3,6,7-тетрагидро-1H-пурин-8-илметил]пиридин-2-ил}ацетамид, N-{4-[3-бутил-1-(2-фторбензил)-2,6-диоксо-2,3,6,7-тетрагидро-1H-пурин-8-илметил]фенил}-3,4-диметоксибензамид, N-{4-[1-(2-фторбензил)-3-(3-метилбутил)-2,6-диоксо-2,3,6,7-тетрагидро-1H-пурин-8-илметил]фенил}ацетамид, N-{4-[1-(2-фторбензил)-3-бутил-2,6-диоксо-2,3,6,7-тетрагидро-1H-пурин-8-илметил]фенил} ацетамид, N-{4-[1-(2-фторбензил)-3-бутил-2,6-диоксо-2,3,6,7-тетрагидро-1H-пурин-8-илметил]фенил}-2,2,2-трифторацетамид, N-{4-[1-(2-фторбензил)-3-изобутил-2,6-диоксо-2,3,6,7-тетрагидро-1H-пурин-8-илметил]фенил}ацетамид, {4-[3-бутил-1-(2-фторбензил)-2,6-диоксо-2,3,6,7-тетрагидро-1H-пурин-8-илметил]фенил}мочевина, 1H-имидазол-4-карбоновой кислоты {4-[3-бутил-1-(2-фторбензил)-2,6-диоксо-2,3,6,7-тетрагидро-1H-пурин-8-илметил]фенил}амид, соединенный с трифторуксусной кислотой, 1H-[1,2,4]триазол-3-карбоновой кислоты {4-[3-бутил-1-(2-фторбензил)-2,6-диоксо-2,3,6,7-тетрагидро-1H-пурин-8-илметил]фенил}амид, соединенный с трифторуксусной кислотой, N-{4-[1-(2-фторбензил)-3-пропил-2,6-диоксо-2,3,6,7-тетрагидро-1H-пурин-8-илметил]фенил}ацетамид, N-{4-[3-бутил-1-(2-фторбензил)-2,6-диоксо-2,3,6,7-тетрагидро-1H-пурин-8-илметил]фенил}-6,N-диметилникотинамид, N-бутил-N-{4-[3-бутил-1-(2-фторбензил)-2,6-диоксо-2,3,6,7-тетрагидро-1Н-пурин-8-илметил]фенил}-6-метилникотинамид и N-{4-[1-(2-фторбензил)-3-(3-метил-бут-2-енил)-2,6-диоксо-2,3,6,7-тетрагидро-1H-пурин-8-илметил]фенил}ацетамид. Далее, предпочтительными соединениями формулы Ia являются те, в которых R2 представлен (низш.)алкилом, замещенным гидрокси или (низш.)алкоксигруппой. Представители таких соединений выбраны из группы, содержащей: N-{4-[1-(2-фторбензил)-3-(2-гидроксиметилбутил)-2,6-диоксо-2,3,6,7-тетрагидро-1H-пурин-8-илметил]фенил}ацетамид, N-{4-[1-(2-фторбензил)-3-(4-гидроксипропил)-2,6-диоксо-2,3,6,7-тетрагидро-1H-пурин-8-илметил]фенил}ацетамид и N-{4-[1-(2-фторбензил)-3-(4-гидроксибутил)-2,6-диоксо-2,3,6,7-тетрагидро-1H-пурин-8-илметил]фенил}ацетамид. Далее предпочтительными соединениями формулы Ia являются те, в которых R2 представлен -(CH2)n-C(O)Rb, где Rb выбран из группы, содержащей гидроксил, (низш.)алкоксигруппу, -NHRc, где Rc выбран из группы, содержащей водород, бензил, (низш.)алкил, и -NHRd, где Rd обозначает водород или карбокси-(низш.)алкил. В качестве примеров таких соединений формулы Ia можно привести соединения, выбранные из группы, содержащей: N-{4-[1-(2-фторбензил)-3-(2-гидразинокарбонилэтил)-2,6-диоксо-2,3,6,7-тетрагидро-1H-пурин-8-илметил]фенил}ацетамид, 3-[8-(4-ацетиламинобензил)-1-(2-фторбензил)-2,6-диоксо-1,2,6,7-тетрагидропурин-3-ил]пропионовой кислоты метиловый эфир, 4-[8-(4-ацетиламинобензил)-1-(2-фторбензил)-2,6-диоксо-1,2,6,7-тетрагидропурин-3-ил]-N-бутилбутирамид, 4-[8-(4-ацетиламинобензил)-1-(2-фторбензил)-2,6-диоксо-1,2,6,7-тетрагидропурин-3-ил]масляной кислоты метиловый эфир, 4-[8-(4-ацетиламинобензил)-1-(2-фторбензил)-2,6-диоксо-1,2,6,7-тетрагидропурин-3-ил]бутирамид, N-{4-[8-(4-ацетиламинобензил)-1-(2-фторбензил)-2,6-диоксо-1,2,6,7-тетрагидропурин-3-ил]бутирил}гидразинкарбоновой кислоты этиловый эфир, 4-[8-(4-ацетиламинобензил)-1-(2-фторбензил)-2,6-диоксо-1,2,6,7-тетрагидропурин-3-ил]-N-бензилбутирамид, 4-[8-(4-ацетиламинобензил)-1-(2-фторбензил)-2,6-диоксо-1,2,6,7-тетрагидропурин-3-ил]пропионовую кислоту, N-{4-[1-(2-фторбензил)-3-(3-гидразинокарбонилпропил)-2,6-диоксо-2,3,6,7-тетрагидро-1H-пурин-8-илметил]фенил}ацетамид и 4-[8-(4-ацетиламинобензил)-1-(2-фторбензил)-2,6-диоксо-1,2,6,7-тетрагидропурин-3-ил]масляную кислоту. Другими предпочтительными соединениями формулы Ia являются те, в которых R2 представлен -(CH2)n-замещенным (низш.)циклоалкилом. Другими предпочтительными соединениями формулы Ia являются те, в которых R2 представлен замещенным циклоалкилом. В качестве примеров таких соединений формулы Ia можно привести соединения, выбранные из группы, содержащей: 2-[8-(4-ацетиламинобензил)-1-(2-фторбензил)-2,6-диоксо-1,2,6,7-тетрагидропурин-3-илметил]циклопропанкарбоновую кислоту, N{4-[1-(2-фторбензил)-3-(2-метилциклопропилметил)-2,6-диоксо-2,3,6,7-тетрагидро-1H-пурин-8-илметил]фенил}ацетамид, N-{4-[3-(2,2-бис-гидроксиметилциклопропилметил)-1-(2-фторбензил)-2,6-диоксо-2,3,6,7-тетрагидро-1H-пурин-8-илметил]фенил}ацетамид, N-{4-[1-(2-фторбензил)-3-(2-гидроксиметилциклопропилметил)-2,6-диоксо-2,3,6,7-тетрагидро-1H-пурин-8-илметил]фенил}ацетамид и 2-[8-(4-ацетиламинобензил)-1-(2-фторбензил)-2,6-диоксо-1,2,6,7-тетрагидропурин-3-илметил]циклопропанкарбоновой кислоты метиловый эфир. Далее, предпочтительными соединениями формулы Ia являются такие соединения, в которых R2 представлен -(СН2)n-незамещенным циклоалкилом. Другими предпочтительными соединениями формулы Ia являются такие соединения, в которых R2 представлен незамещенным циклоалкилом. Среди незамещенных циклоалкильных соединений формулы Ia предпочтительными являются те, в которых R2 представлен -СН2-циклопентилом. Предпочтительными среди незамещенных циклоалкильных соединений формулы Ia являются те, в которых R2 обозначает циклопентил, пример которых представлен N-{4-[3-циклопентилметил-1-(2-фторбензил)-2,6-диоксо-2,3,6,7-тетрагидро-1H-пурин-8-илметил]фенил}ацетамидом. Далее, предпочтительными соединениями формулы Ia являются те, в которых R2 обозначает -(СН2)n-циклоалкил, причем R2 представлен -(СН2)-циклобутилом. Другими предпочтительными соединениями формулы Ia являются те, в которых R2 обозначает циклоалкил, причем R2 представлен циклобутилом. В качестве примеров представителей таких соединений можно назвать соединения, выбранные из группы, содержащей: N-{4-[3-циклобутилметил-1-(2-фторбензил)-2,6-диоксо-2,3,6,7-тетрагидро-1Н-пурин-8-илметил]фенил}-6,N-диметилникотинамид, N-циклобутилметил-Н-{4-[3-циклобутилметил-1-(2-фторбензил)-2,6-диоксо-2,3,6,7-тетрагидро-1Н-пурин-8-илметил]фенил}-6-метилникотинамид и N-{4-[3-циклобутилметил-1-(2-фторбензил)-2,6-диоксо-2,3,6,7-тетрагидро-1Н-пурин-8-илметил]фенил}ацетамид. Дополнительное предпочтительное соединение формулы Ia, в которой R2 означает -(СН2)n-циклоалкил, представлено соединением, где R2 является -(СН2)-циклопропилом. Особенно предпочтительными являются соединения, производные от соединений формулы Ia, в которых R2 представлен незамещенным циклоалкилом, имеющие формулу
в которой R3 обозначает
где Q обозначает N или СН, при условии, что когда Q означает N, Re обозначает -NH-С(O)-СН3 и Rf обозначает Н, когда Q означает СН, Rg обозначает -NRg-С(O)-Rh или
а Rf выбран из группы, содержащей Н, -NH2 и -NH-С(O)-СН3, Rg выбран из группы, содержащей Н, (низш.)алкил и -(СН2)n-незамещенный (низш.)циклоалкил, Rh выбран из группы, содержащей -(СН2)n– 5- или 6-членное ароматическое гетероциклическое кольцо, содержащее один, два или три гетероатома, независимо выбранных из группы, содержащей N, О и S, причем ароматическое гетероциклическое кольцо не замещено или имеет, по меньшей мере, один заместитель, независимо выбранный из группы, содержащей (низш.)алкил, (низш.)алкоксигруппу, гидрокси, галоген, -NH2, -NH-С(O)-(низш.)алкил, -CN, -C(O)-NH2 и -SO2-(низш.)алкил, (низш.)алкил, (низш.)алкил замещенный, по меньшей мере, одним заместителем, независимо выбранным из группы, содержащей галоген, фенил, и -(CH2)nNRiRi, где Ri независимо выбран из группы, содержащей Н, (низш.)алкил и карбонилоксибензильную группу (КБЗ), -NHRj, где Rj выбран из группы, содержащей 5- или 6-членное ароматическое гетероциклическое кольцо, содержащее один, два или три гетероатома, независимо выбранных из группы, содержащей N, О и S, причем гетероциклическое кольцо замещено, по меньшей мере, одним заместителем, выбранным из группы, содержащей галоген, (низш.)алкил и фенил, -C(O)-Rk, где Rk обозначает 5- или 6-членное ароматическое гетероциклическое кольцо, содержащее один, два или три гетероатома, независимо выбранных из группы, содержащей N, О и S, причем ароматическое гетероциклическое кольцо является незамещенным или замещено, по меньшей мере, одним (низш.)алкилом, незамещенный фенил, фенил, замещенный заместителем, независимо выбранным из группы, содержащей (низш.)алкил, (низш.)алкоксигруппу и -(CH2)m-NHR1, где R1 выбран из группы, содержащей Н, (низш.)алкил и карбонилоксибензильную группу (КБЗ), в котором Т обозначает NH или СН2, при условии, что если Т означает NH, то Rw и Rx совместно с атомом углерода, к которому они присоединены, образуют -С(O)-, a Ry обозначает -(CH2)ORz, где Rz выбран из группы, содержащей водород и (низш.)алкил, а если Т означает СН2, то Rw и Rx оба обозначают водород или совместно с атомом углерода, к которому они присоединены, образуют -С(O)-; и n означает 0, 1 или 2; m означает 0 или 1; или их фармацевтически приемлемые соли. Предпочтительные соединения формулы Ib представлены формулой
в которой Rg выбран из группы, содержащей Н, (низш.)алкил и -(СН2)n-незамещенный (низш.)циклоалкил, Rh выбран из группы, содержащей -(СН2)n– 5- или 6-членное ароматическое гетероциклическое кольцо, содержащее один, два или три гетероатома, независимо выбранных из группы, содержащей N, О и S, причем ароматическое гетероциклическое кольцо не замещено или имеет, по меньшей мере, один заместитель, независимо выбранный из группы, содержащей (низш.)алкил, (низш.)алкоксигруппу, гидрокси, галоген, -NH2, -НН-С(O)-(низш.)алкил, -CN, -C(O)-NH2 и -SO2-(низш.)алкил, (низш.)алкил, (низш.)алкил замещенный, по меньшей мере, одним заместителем, независимо выбранным из группы, содержащей галоген, фенил, и -(CH2)nNRiRi, где Ri независимо выбран из группы, содержащей Н, (низш.)алкил, (низш.)алкил, замещенный галогеном, и карбонилоксибензильную группу (КБЗ), -NHRj, где Rj выбран из группы, содержащей 5- или 6-членное ароматическое гетероциклическое кольцо, содержащее один, два или три гетероатома, независимо выбранных из группы, содержащей N, О и S, причем гетероциклическое кольцо замещено, по меньшей мере, одним заместителем, выбранным из группы, содержащей галоген, (низш.)алкил и незамещенное 6-членное ароматическое кольцо, -C(O)-Rk, где Rk обозначает 5- или 6-членное ароматическое гетероциклическое кольцо, содержащее один, два или три гетероатома, независимо выбранных из группы, содержащей N, О и S, причем ароматическое гетероциклическое кольцо является незамещенным или замещено, по меньшей мере, одним (низш.)алкилом, незамещенный фенил или фенил, замещенный заместителем, независимо выбранным из группы, содержащей (низш.)алкил, (низш.)алкоксигруппу и -(CH2)m-NHR1, где R1 выбран из группы, содержащей Н, (низш.)алкил и карбонилоксибензильную группу (КБЗ), и n означает 0, 1 или 2; m означает 0 или 1; или их фармацевтически приемлемые соли. Особенно предпочтительным является соединение формулы Ic, в котором Rg, представлен (низш.)алкилом. Более предпочтительные соединения формулы Ic, в которых Rg представлен низшим алкилом, имеют формулу
в которой Rh выбран из группы, содержащей -(СН2)n– 5- или 6-членное ароматическое гетероциклическое кольцо, содержащее один, два или три гетероатома, независимо выбранных из группы, содержащей N, О и S, причем ароматическое гетероциклическое кольцо не замещено или имеет, по меньшей мере, один заместитель, независимо выбранный из группы, содержащей (низш.)алкил, (низш.)алкоксигруппу, гидрокси, галоген, -NH2, -NH-С(O)-(низш.)алкил, -CN, -C(O)-NH2 и -SO2-(низш.)алкил, (низш.)алкил, (низш.)алкил, замещенный, по меньшей мере, одним заместителем, независимо выбранным из группы, содержащей галоген, фенил, и -(CH2)nNRiRi, где Ri независимо выбран из группы, содержащей Н, (низш.)алкил и карбонилоксибензильную группу (КБЗ), -NHRj, где Rj выбран из группы, содержащей 5- или 6-членное ароматическое гетероциклическое кольцо, содержащее один, два или три гетероатома, независимо выбранных из группы, содержащей N, О и S, причем гетероциклическое кольцо замещено, по меньшей мере, одним заместителем, выбранным из группы, содержащей галоген, (низш.)алкил и фенил, -C(O)-Rk, где Rk обозначает 5- или 6-членное ароматическое гетероциклическое кольцо, содержащее один, два или три гетероатома, независимо выбранных из группы, содержащей N, О и S, причем ароматическое гетероциклическое кольцо является незамещенным или замещено, по меньшей мере, одним (низш.)алкилом, незамещенный фенил, фенил, замещенный заместителем, независимо выбранным из группы, содержащей (низш.)алкил, (низш.)алкоксигруппу и -(CH2)n-NHR1, где R1 выбран из группы, содержащей Н, (низш.)алкил и карбонилоксибензильную группу (КБЗ), и n означает 0, 1 или 2; и m означает 0 или 1; или их фармацевтически приемлемые соли. Предпочтительными являются соединения формулы Id, в которых Rh обозначает -СН2)n– 5- или 6-членное ароматическое гетероциклическое кольцо, содержащее 1, 2 или 3 гетероатома, независимо выбранных из группы, содержащей N, О и S, причем ароматическое гетероциклическое кольцо является незамещенным или имеет, по меньшей мере, один заместитель, выбранный из группы, содержащей (низш.)алкил, (низш.)алкоксигруппу, гидрокси, галоген, аминогруппу, NH-С(O)-(низш.)алкил, -CN, -C(O)-NH2 и -SO2-(низш.)алкил. Более предпочтительными являются соединения формулы Id, в которых Rh обозначает незамещенное -(СН2)n– 5- или 6-членное ароматическое гетероциклическое кольцо, содержащее 1, 2 или 3 гетероатома, независимо выбранных из группы, содержащей N, О и S. Представителями более предпочтительных соединений формулы Id являются соединения, выбранные из группы, содержащей: {4-[3-циклопропилметил-1-(2-фторбензил)-2,6-диоксо-2,3,6,7-тетрагидро-1H-пурин-8-илметил]фенил}метиламидпиримидин-5-карбоновой кислоты, N-{4-[3-циклопропилметил-1-(2-фторбензил)-2,6-диоксо-2,3,6,7-тетрагидро-1H-пурин-8-илметил]фенил}-N-метил-2-пиридин-3-ил-ацетамид, N-{4-[3-циклопропилметил-1-(2-фторбензил)-2,6-диоксо-2,3,6,7-тетрагидро-1H-пурин-8-илметил]фенил}-N-метилникотинамид, {4-[3-циклопропилметил-1-(2-фторбензил)-2,6-диоксо-2,3,6,7-тетрагидро-1H-пурин-8-илметил]фенил}метиламид пиразин-2-карбоновой кислоты и {4-[3-циклопропилметил-1-(2-фторбензил)-2,6-диоксо-2,3,6,7-тетрагидро-1H-пурин-8-илметил]фенил}метиламид[1,2,3]тиадиазол-4-карбоновой кислоты. Другими предпочтительными соединениями формулы Id являются такие соединения, в которых Rh представлен -(СН2)n– 5- или 6-членным ароматическим гетероциклическим кольцом, имеющим 1, 2 или 3 гетероатома, независимо выбранных из группы, содержащей N, О и S, причем ароматическое гетероциклическое кольцо замещено (низш.)алкилом. Примером данных предпочтительных соединений является соединение, выбранное из группы, содержащей: {4-[3-циклопропилметил-1-(2-фторбензил)-2,6-диоксо-2,3,6,7-тетрагидро-1H-пурин-8-илметил]фенил}метиламид 1,3,5-триметил-1H-пиразол-4-карбоновой кислоты, {4-[3-циклопропилметил-1-(2-фторбензил)-2,6-диоксо-2,3,6,7-тетрагидро-1H-пурин-8-илметил]фенил}метиламид 2,4-диметилтиазол-5-карбоновой кислоты, {4-[3-циклопропилметил-1-(2-фторбензил)-2,6-диоксо-2,3,6,7-тетрагидро-1H-пурин-8-илметил]фенил}метиламид 4-амино-1-метил-1H-пиразол-3-карбоновой кислоты, {4-[3-циклопропилметил-1-(2-фторбензил)-2,6-диоксо-2,3,6,7-тетрагидро-1H-пурин-8-илметил]фенил}метиламид 3-метилизоксазол-4-карбоновой кислоты, {4-[3-циклопропилметил-1-(2-фторбензил)-2,6-диоксо-2,3,6,7-тетрагидро-1H-пурин-8-илметил]фенил}метиламид 2,4-диметилтиазол-5-карбоновой кислоты, {4-[3-циклопропилметил-1-(2-фторбензил)-2,6-диоксо-2,3,6,7-тетрагидро-1H-пурин-8-илметил]фенил}метиламид 3,5-диметилизоксазол-4-карбоновой кислоты, N-{4-[3-циклопропилметил-1-(2-фторбензил)-2,6-диоксо-2,3,6,7-тетрагидро-1H-пурин-8-илметил]фенил}-5,N-диметилникотинамид, N-(4-[3-циклопропилметил-1-(2-фторбензил)-2,6-диоксо-2,3,6,7-тетрагидро-1Н-пурин-8-илметил]фенил}-6,N-диметилникотинамид, {4-[3-циклопропил-метил-1-(2-фторбензил)-2,6-диоксо-2,3,6,7-тетрагидро-1H-пурин-8-илметил]фенил}метиламид 4-метил-[1,2,3]тиадиазол-5-карбоновой кислоты, (4-[3-циклопропилметил-1-(2-фторбензил)-2,6-диоксо-2,3,6,7-тетрагидро-1H-пурин-8-илметил]фенил}метиламид 1,3-диметил-1H-пиразол-4-карбоновой кислоты, {4-[3-циклопропилметил-1-(2-фторбензил)-2,6-диоксо-2,3,6,7-тетрагидро-1Н-пурин-8-илметил]фенил}метиламид 1-метил-1Н-пиразол-4-карбоновой кислоты и {4-[3-циклопропилметил-1-(2-фторбензил)-2,6-диоксо-2,3,6,7-тетрагидро-1Н-пурин-8-илметил]фенил}метиламид 5-метил-изоксазол-4-карбоновой кислоты. Другими предпочтительными соединениями формулы Id являются такие соединения, в которых 5- или 6-членное ароматическое гетероциклическое кольцо замещено галогеном и (низш.)алкилом или аминогруппой, или аминогруппой и (низш.)алкилом, или (низш.)алкоксигруппой, или -CN. Другими предпочтительными соединениями формулы Id являются такие соединения, в которых 5- или 6-членное ароматическое гетероциклическое кольцо замещено галогеном и (низш.)алкилом. Примером данных предпочтительных соединений является {4-[3-циклопропил-метил-1-(2-фторбензил)-2,6-диоксо-2,3,6,7-тетрагидро-1Н-пурин-8-илметил]фенил}метиламид 3-хлор-1,5-диметил-1Н-пиразол-4-карбоновой кислоты. Другими предпочтительными соединениями формулы Id являются такие соединения, в которых 5- или 6-членное ароматическое гетероциклическое кольцо замещено гидроксигруппой. Примером данных предпочтительных соединений являются соединения, выбранные из группы, содержащей: N-{4-[3-циклопропилметил-1-(2-фторбензил)-2,6-диоксо-2,3,6,7-тетрагидро-1H-пурин-8-илметил]фенил}-6-гидрокси-N-метилникотинамид и 4-[3-циклопропилметил-1-(2-фторбензил)-2,6-диоксо-2,3,6,7-тетрагидро-1H-пурин-8-илметил]фенил}-2-гидрокси-N-метилникотинамид. Более предпочтительными соединениями формулы Id являются такие соединения, в которых 5- или 6-членное ароматическое гетероциклическое кольцо замещено -NH2. Представители таких более предпочтительных соединений формулы Id выбраны из группы, содержащей: 2-амино-N-{4-[3-циклопропилметил-1-(2-фторбензил)-2,6-диоксо-2,3,6,7-тетрагидро-1H-пурин-8-илметил]фенил}-N-метилникотинамид и 6-амино-N-{4-[3-циклопропилметил-1-(2-фторбензил)-2,6-диоксо-2,3,6,7-тетрагидро-1H-пурин-8-илметил]фенил}-N-метилникотинамид. Другими предпочтительными соединениями формулы Id являются такие соединения, в которых 5- или 6-членное ароматическое гетероциклическое кольцо замещено аминогруппой и алкилом. В качестве примера данных предпочтительных соединений формулы Id можно назвать соединения, выбранные из группы содержащей: {4-[3-циклопропилметил-1-(2-фторбензил)-2,6-диоксо-2,3,6,7-тетрагидро-1H-пурин-8-илметил]фенил}метиламид 2-амино-4-метилтиазол-5-карбоновой кислоты и {4-[3-циклопропилметил-1-(2-фторбензил)-2,6-диоксо-2,3,6,7-тетрагидро-1H-пурин-8-илметил]фенил}метиламид 4-амино-1-метил-1H-пиразол-3-карбоновой кислоты. Другими предпочтительными соединениями формулы Id являются такие соединения, в которых 5- или 6-членное ароматическое гетероциклическое кольцо замещено (низш.)алкоксигруппой. Представителем таких соединений является N-{4-[3-циклопропилметил-1-(2-фторбензил)-2,6-диоксо-2,3,6,7-тетрагидро-1H-пурин-8-илметил]фенил}-2,6-диметокси-N-метилникотинамид. В следующем предпочтительном воплощении соединений формулы Id 5-или 6-членное ароматическое гетероциклическое кольцо замещено -CN. Представителем этого следующего предпочтительного воплощения является 6-циано-N{4-(3-циклопропилметил-1-(2-фторбензил)-2,6-диоксо-2,3,6,7-тетрагидро-1H-пурин-8-илметил]фенил}-N-метилникотинамид. Кроме этого, предпочтительными соединениями формулы Id являются такие соединения, в которых 5- или 6-членное гетероароматическое кольцо замещено -NH-С(O)-(низш.)алкилом. В качестве примера данных дополнительных предпочтительных соединений можно назвать соединения, выбранные из группы, содержащей: 6-ацетиламино-N-{4-[3-циклопропилметил-1-(2-фторбензил)-2,6-диоксо-2,3,6,7-тетрагидро-1H-пурин-8-илметил]фенил}-N-метилникотинамид, {4-[3-циклопропилметил-1-(2-фторбензил)-2,6-диоксо-2,3,6,7-тетрагидро-1H-пурин-8-илметил]фенил}метиламид 6-ацетиламинопиридин-2-карбоновой кислоты и {4-[3-циклопропилметил-1-(2-фторбензил)-2,6-диоксо-2,3,6,7-тетрагидро-1H-пурин-8-илметил]фенил}метиламид4-ацетиламино-2-метилтиофен-3-карбоновой кислоты. Другими дополнительными предпочтительными соединениями формулы Id являются такие соединения, в которых 5- или 6-членное гетероароматическое кольцо замещено (низш.)алкилом и -NH-С(O)-(низш.)алкилом. Представителем таких дополнительных предпочтительных соединений является 2-ацетамино-N-{4-[3-циклопропилметил-1-(2-фторбензил)-2,6-диоксо-2,3,6,7-тетрагидро-1H-пурин-8-илметил]фенил}-4,6,N-триметилникотинамид. Далее дополнительными предпочтительными соединениями формулы Id являются такие соединения, в которых 5- или 6-членное гетероароматическое кольцо замещено -C(O)-NH2. Представителем таких предпочтительных соединений формулы Id является 2-({4-[3-циклопропилметил-1-(2-фторбензил)-2,6-диоксо-2,3,6,7-тетрагидро-1H-пурин-8-илметил]фенил}метиламид 3-амида тиофен-2,3-дикарбоновой кислоты. Дополнительными предпочтительными соединениями формулы Id являются такие соединения, в которых Rh обозначает -C(O)-Rk, где Rk обозначает 5- или 6-членное ароматическое гетероциклическое кольцо, содержащее один, два или три гетероатома, независимо выбранных из группы, содержащей N, О и S, причем ароматическое гетероциклическое кольцо является незамещенным или замещено, по меньшей мере, одним (низш.)алкилом. Представителем таких дополнительных предпочтительных соединений является N-{4-[3-циклопропилметил-1-(2-фторбензил)-2,6-диоксо-2,3,6,7-тетрагидро-1H-пурин-8-илметил]фенил}-N-метил-2-оксо-2-(1,3,5-триметил-1H-пиразол-4-ил)ацетамид. Дополнительными предпочтительными соединениями формулы Id являются такие соединения, в которых Rh обозначает фенил, замещенный посредством заместителя, независимо выбранного из группы, содержащей (низш.)алкил, (низш.)алкоксигруппу и -(CH2)n-NHR1, где R1 выбран из группы, содержащей Н, (низш.)алкил и кабонилоксибензил (КБЗ). Представители данных предпочтительных соединений формулы Id выбраны из группы, содержащей: бензиловый эфир [4-({4-[3-циклопропил-1-(2-фторбензил)-2,6-диоксо-2,3,6,7-тетрагидро-1H-пурин-8-илметил]фенил}метилкарбамоил)бензил]карбаминовой кислоты, 4-аминометил-N-{4-[3-циклопропилметил-1-(2-фторбензил)-2,6-диоксо-2,3,6,7-тетрагидро-1H-пурин-8-илметил]фенил-4-этиламинометил-N-метилбензамид, соединенный с трифторуксусной кислотой, и 4-аминометил-N-{4-[3-циклопропилметил-1-(2-фторбензил)-2,6-диоксо-2,3,6,7-тетрагидро-1H-пурин-8-илметил]фенил}-N-метилбензамид, соединенный с трифторуксусной кислотой. Следующими предпочтительными соединениями формулы Id являются такие соединения, в которых Rh обозначает (низш.)алкил, замещенный -(СН2)n-NHRj, где Rj независимо выбран из группы, содержащей Н, (низш.)алкил и карбонилоксибензильную группу (КБЗ). Примеры данных следующих предпочтительных соединений выбраны из группы, содержащей: 2-амино-N-{4-[3-циклопропилметил-1-(2-фторбензил)-2,6-диоксо-2,3,6,7-тетрагидро-1H-пурин-8-илметил]фенил}-N-метил-2-фенилацетамид и бензиловыйэфир[({4-[3-циклопропилметил-1-(2-фторбензил)-2,6-диоксо-2,3,6,7-тетрагидро-1H-пурин-8-илметил]фенил}метилкарбамоил)фенилметил]карбаминовой кислоты. Кроме этого, предпочтительными соединениями формулы Ic являются такие соединения, в которых Rg означает этил. Примером такого соединения является {4-[3-циклопропилметил-1-(2-фторбензил)-2,6-диоксо-2,3,6,7-тетрагидро-1Н-пурин-8-илметил]-фенил}этиламид 1,3,5-триметил-1Н-пиразол-4-карбоновой кислоты. Другими предпочтительными соединениями формулы Ic являются такие соединения, в которых Rg означает изопропил. Примеры данных дополнительных предпочтительных соединений выбраны из группы, содержащей: N-{4-[3-циклопропилметил-1-(2-фторбензил)-2,6-диоксо-2,3,6,7-тетрагидро-1Н-пурин-8-илметил]фенил}-N-изопропил-6-метилникотинамид, N-{4-[3-циклопропилметил-1-(2-фторбензил)-2,6-диоксо-2,3,6,7-тетрагидро-1Н-пурин-8-илметил]фенил}-N-изопропил-2-пиридин-3-ил-ацетамид. N-{4-[3-Циклопропилметил-1-(2-фторбензил)-2,6-диоксо-2,3,6,7-тетрагидро-1H-пурин-8-илметил]фенил}-N-изопропил-6-метилникотинамид представляет собой особенно предпочтительное воплощение соединений формулы Ic. Другим особенно предпочтительным соединением формулы Ic является N-{4-[3-циклопропилметил-1-(2-фторбензил)-2,6-диоксо-2,3,6,7-тетрагидро-1H-пурин-8-илметил]фенил}-N-изопропил-2-пиридин-3-ил-ацетамид. Другими предпочтительными соединениями формулы Ic являются такие соединения, в которых Rg означает Н и Rh означает (низш.)алкил, замещенный галогеном. Примером такого предпочтительного соединения является N-{4-[3-циклопентилметил-1-(2-фторбензил)-2,6-диоксо-2,3,6,7-тетрагидро-1H-пурин-8-илметил]фенил}-2,2,2-трифторацетамид. Следующими дополнительными предпочтительными соединениями формулы Ic являются такие соединения, в которых Rg обозначает Н и Rh обозначает -(СН2)n– 5- или 6-членное ароматическое гетероциклическое кольцо, содержащее один, два или три гетероатома, независимо выбранных из группы, содержащей N, О и S, причем ароматическое гетероциклическое кольцо замещено (низш.)алкилом. Примером такого дополнительного предпочтительного соединения является {4-[3-циклопропилметил-1-(2-фторбензил)-2,6-диоксо-2,3,6,7-тетрагидро-1H-пурин-8-илметил]-фенил}амид 1-метил-1H-пиразол-4-карбоновой кислоты. Другими предпочтительными соединениями формулы Ic являются такие соединения, в которых Rg обозначает Н и Rh обозначает -NHRj, где Rj выбран из группы, содержащей 5- или 6-членное ароматическое гетероциклическое кольцо, содержащее один, два или три гетероатома, независимо выбранных из группы, содержащей N, О и S, причем гетероциклическое кольцо замещено, по меньшей мере, одним заместителем, выбранным из группы, содержащей галоген, (низш.)алкил и фенил. Представители таких предпочтительных соединений выбраны из группы, содержащей: 1-{4-[3-циклопропилметил-1-(2-фторбензил)-2,6-диоксо-2,3,6,7-тетрагидро-1H-пурин-8-илметил]фенил}-3-(2,6-дихлорпиридин-4-ил)мочевину и 1-{4-[3-циклопропилметил-1-(2-фторбензил)-2,6-диоксо-2,3,6,7-тетрагидро-1H-пурин-8-илметил]фенил}-3-(3,5-диметил-1-фенил-1H-пиразол-4-ил)мочевину. Следующими предпочтительными соединениями формулы Ic являются такие соединения, в которых Rg обозначает Н и Rh обозначает -NH-C(O)-(низш.)алкил. Примером такого предпочтительного соединения является N-{4-[3-циклопропилметил-1-(2-фторбензил)-2,6-диоксо-2,3,6,7-тетрагидро-1H-пурин-8-илметил]фенил}ацетамид. Кроме того, предпочтительными соединениями формулы Ic являются такие соединения, в которых Rg обозначает Н и Rh обозначает (низш.)алкил, замещенный, по меньшей мере, одним заместителем, независимо выбранным из группы, содержащей галоген, фенил и -(CH2)nNRiRi, где Ri независимо выбран из группы, содержащей Н, (низш.)алкил и карбонилоксибензильную группу (КБЗ). Примером такого предпочтительного соединения является N-{4-[3-циклопропилметил-1-(2-фторбензил)-2,6-диоксо-2,3,6,7-тетрагидро-1H-пурин-8-илметил]фенил}-2-диметиламиноацетамид, соединенный с трифторуксусной кислотой. Далее, предпочтительными соединениями формулы Ib являются такие соединения, в которых R3 обозначает
Q обозначает СН, и Re обозначает
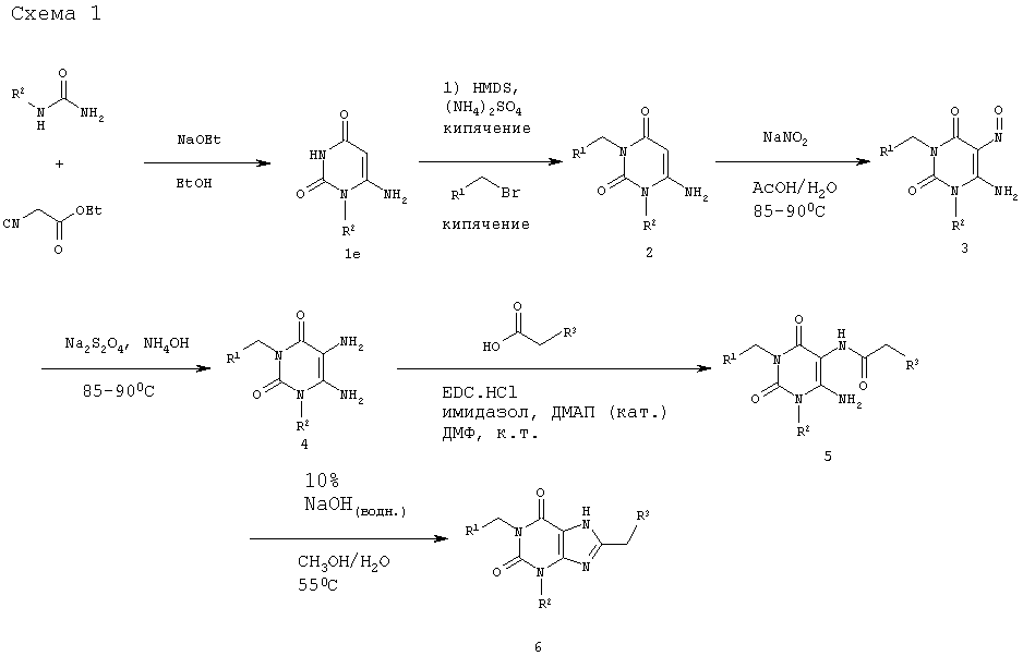
а Rf выбран из группы, содержащей Н, -NH2 и -NH-С(O)-СН3, причем Т обозначает NH или СН2, при условии, что когда Т означает NH, то Rw и Rx совместно с атомом углерода, к которому они присоединены, образуют -С(O)- и Ry означает -(CH2)ORz, где Rz выбран из группы, содержащей водород и (низш.)алкил. Представители этих предпочтительных соединений, выбраны из группы, содержащей: 8-[4-(4-трет-бутоксиметил-2,5-диоксоимидазолидин-1-ил)бензил]-3-циклопропилметил-1-(2-фторбензил)-3,7-дигидропурин-2,6-дион и 3-циклопропилметил-1-(2-фторбензил)-8-[4-(4-(S)-гидроксиметил-2,5-диоксоимидазолидин-1-ил)бензил]-3,7-дигидропурин-2,6-дион. Предпочтительное воплощение данного изобретения относится к соединениям, определенным выше, выбранным группы, содержащей: N-{4-[3-циклопропилметил-1-(2-фторбензил)-2,6-диоксо-2,3,6,7-тетрагидро-1Н-пурин-8-илметил]фенил}-5,N-диметилникотинамид, N-{4-[3-циклопропилметил-1-(2-фторбензил)-2,6-диоксо-2,3,6,7-тетрагидро-1Н-пурин-8-илметил]фенил}-6,N-диметилникотинамид, N-{4-[3-циклобутилметил-1-(2-фторбензил)-2,6-диоксо-2,3,6,7-тетрагидро-1Н-пурин-8-илметил]фенил}-6,N-диметилникотинамид, N-{4-[3-циклопропилметил-1-(2-фторбензил)-2,6-диоксо-2,3,6,7-тетрагидро-1Н-пурин-8-илметил]фенил}-2,6-диметокси-N-метил-никотинамид, N-{4-[3-циклопропилметил-1-(2-фторбензил)-2,6-диоксо-2,3,6,7-тетрагидро-1Н-пурин-8-илметил]фенил}-N-метил-2-пиридин-3-ил-ацетамид, 6-циано-N-{4-[3-циклопропилметил-1-(2-фторбензил)-2,6-диоксо-2,3,6,7-тетрагидро-1Н-пурин-8-илметил]фенил}-N-метилникотинамид, 2-амино-N-{4-[3-циклопропилметил-1-(2-фторбензил)-2,6-диоксо-2,3,6,7-тетрагидро-1Н-пурин-8-илметил]фенил}-N-метилникотинамид, 6-амино-N-{4-[3-циклопропилметил-1-(2-фторбензил)-2,6-диоксо-2,3,6,7-тетрагидро-1Н-пурин-8-илметил]фенил}-N-метилникотинамид, N-{4-[3-циклопропилметил-1-(2-фторбензил)-2,6-диоксо-2,3,6,7-тетрагидро-1Н-пурин-8-илметил]фенил}-2,N-диметилникотинамид, {4-[3-циклопропилметил-1-(2-фторбензил)-2,6-диоксо-2,3,6,7-тетрагидро-1Н-пурин-8-илметил]фенил}метиламид пиримидин-5-карбоновой кислоты, N-{4-[3-циклопропилметил-1-(2-фторбензил)-2,6-диоксо-2,3,6,7-тетрагидро-1Н-пурин-8-илметил]фенил}-N-метилникотинамид, {4-[3-циклопропилметил-1-(2-фторбензил)-2,6-диоксо-2,3,6,7-тетрагидро-1Н-пурин-8-илметил]фенил}метиламид 1,3,5-триметил-1Н-пиразол-4-карбоновой кислоты, N-{4-[3-циклопропилметил-1-(2-фторбензил)-2,6-диоксо-2,3,6,7-тетрагидро-1Н-пурин-8-илметил]фенил}-N-метил-2-оксо-2-(1,3,5-триметил-1Н-пиразол-4-ил)ацетамид, {4-[3-циклопропилметил-1-(2-фторбензил)-2,6-диоксо-2,3,6,7-тетрагидро-1Н-пурин-8-илметил]фенил}метиламид 3-хлор-1,5-диметил-1Н-пиразол-4-карбоновой кислоты, {4-[3-циклопропилметил-1-(2-фторбензил)-2,6-диоксо-2,3,6,7-тетрагидро-1Н-пурин-8-илметил]фенил}метиламид 2,4-диметилтиазол-5-карбоновой кислоты, {4-[3-циклопропилметил-1-(2-фторбензил)-2,6-диоксо-2,3,6,7-тетрагидро-1Н-пурин-8-илметил]фенил}метиламид 2-амино-4-метилтиазол-5-карбоновой кислоты, {4-[3-циклопропйлметил-1-(2-фторбензил)-2,6-диоксо-2,3,6,7-тетрагидро-1Н-пурин-8-илметил]фенил}этиламид 1,3,5-триметил-1Н-пиразол-4-карбоновой кислоты, N-{4-[3-циклопропилметил-1-(2-фторбензил)-2,6-диоксо-2,3,6,7-тетрагидро-1Н-пурин-8-илметил]фенил}-N-изопропил-6-метил-никотинамид, N-(4-[3-циклопропилметил-1-(2-фторбензил)-2,6-диоксо-2,3,6,7-тетрагидро-1H-пурин-8-илметил]фенил}-N-изопропил-2-пиридин-3-ил-ацетамид и N-циклобутилметил-N-{4-[3-циклобутилметил-1-(2-фторбензил)-2,6-диоксо-2,3,6,7-тетрагидро-1Н-пурин-8-илметил]фенил}-6-метилникотинамид, или их фармацевтически приемлемые соли. Пролекарства соединений, соответствующих данному изобретению, являются предпочтительными воплощениями изобретения. Как уже определено выше, пролекарство представляет собой соединение, которое при физиологических условиях или сольволизом может быть превращено в фармацевтически активное соединение. В основном пролекарства известны в уровне техники. Например, см. Hans Bundgaard “Подбор состава пролекарств”, изд-во Neth, 1985, с.360, Elsevier, Amsterdam. В соответствии с этим соединения данного изобретения включают их пролекарственные формы. Следующее воплощение данного изобретения относится к способу приготовления соединений формулы I, определенных выше, который включает циклизацию соединения формулы II
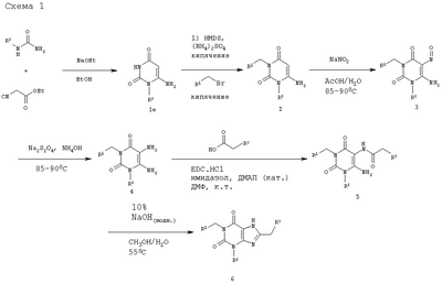
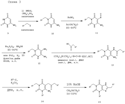
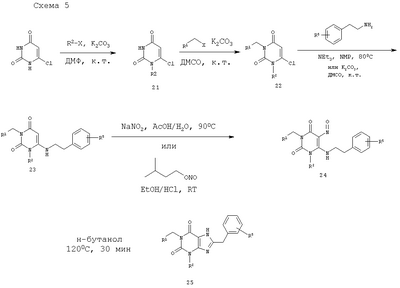
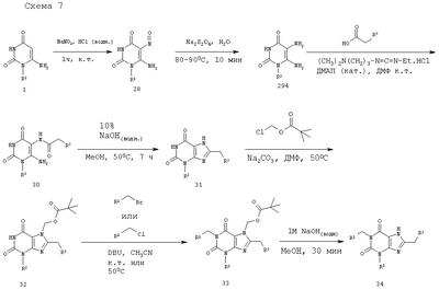
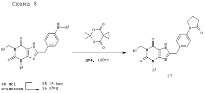
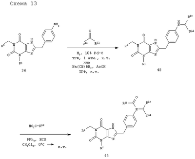
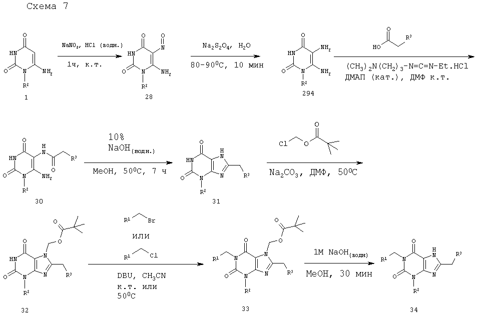
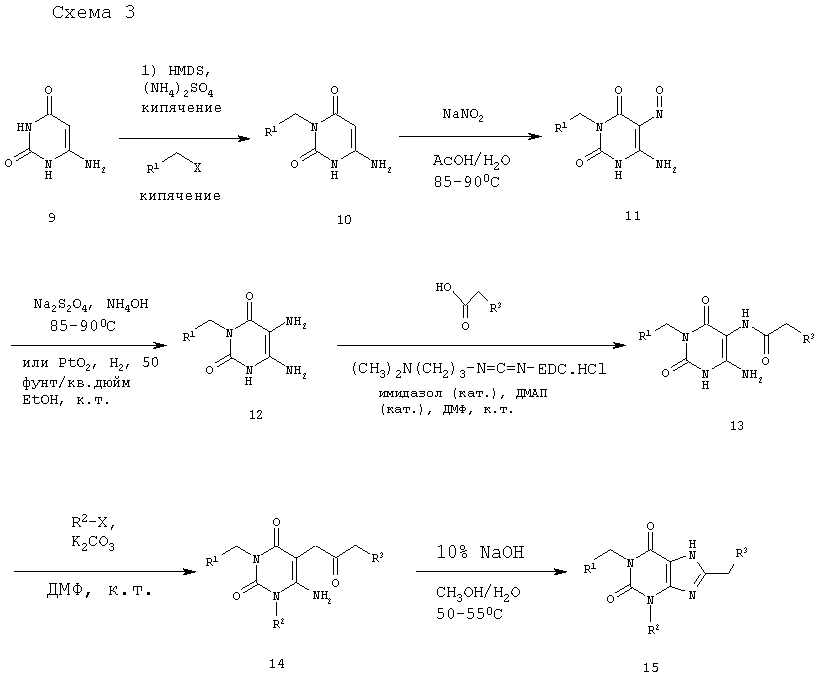
где R1, R2 и R3 определены выше, с получением соединения формулы I. В уровне техники известны соответствующие условия реакции для такой циклизации, например, как это будет описано ниже в примерах или по аналогии с этим. Соединения, определенные выше, полученные способом, описанным выше, также составляют воплощение настоящего изобретения. Как описано выше, соединения формулы (I), соответствующие данному изобретению, могут быть использованы в качестве лекарственных средств для лечения и/или профилактики заболеваний, ассоциированных с фосфоенолпируваткарбоксикиназой (ФЕПКК), таких как диабет типа 2 (инсулинонезависимый сахарный диабет). Следовательно, изобретение относится также к фармацевтическим композициям, содержащим соединение, описанное выше, и фармацевтически приемлемый носитель и/или адъювант. Далее, изобретение относится к соединениям, описанным выше, для применения их в качестве терапевтически активных веществ, в частности в качестве терапевтически активных веществ для лечения и/или профилактики заболеваний, ассоциированных с фосфоенолпируваткарбоксикиназой (ФЕПКК), в особенности диабета типа 2 (инсулинонезависимый сахарный диабет). В другом варианте воплощения изобретение относится к способу лечения и/или профилактики заболеваний, ассоциированных с фосфоенолпируваткарбоксикиназой (ФЕПКК), таких как диабет типа 2 (инсулинонезависимый сахарный диабет), при этом способ включает введение соединения, описанного выше, человеку или животному. Далее изобретение относится к применению соединений, описанных выше, лечению и/или профилактике заболеваний, ассоциированных с фосфоенолпируваткарбоксикиназой (ФЕПКК), таких как диабет типа 2 (инсулинонезависимый сахарный диабет). Кроме этого, изобретение относится к применению соединений, описанных выше, для приготовления лекарственных средств для лечения и/или профилактики заболеваний, ассоциированных с фосфоенолпируваткарбоксикиназой (ФЕПКК), таких как диабет типа 2 (инсулинонезависимый сахарный диабет). Такие лекарственные средства содержат соединение, описанное выше. Очистка GST (глутатион-S-трансфераза (ГСТ))-ФЕПКК Клетки Е.coli, экспрессирующие ГСТ-ФЕПКК, суспендируют в 5 объемах лизисного буфера (50 мМ трис-гидроксиметиламинометила (ТРИС), 150 мМ хлорида натрия (NaCl), 10 мМ этилендиаминтетрауксусной кислоты (ЭДТУ), 5 мМ дитиотреитола (ДТТ), 1% Nonidet P-40, рН 7.4) в присутствии ингибиторов протеазы инкубируют с лизоцимом в концентрации 200 мкг/мл в течение 30 мин при комнатной температуре (к.т.) и обрабатывают ультразвуком 4×30 секунд при 4°С. После центрифугирования при 12,000×g в течение 20 мин для удаления нерастворенных веществ супернатант загружают на глутатионовую сефарозу (Pharmacia), промывают лизисным буфером с последующим промыванием лизисным буфером без NP-40. ГСТ-ФЕПКК элюируют тем же буфером, содержащим 20 мМ глутатиона. Элюированный белок концентрируют и подвергают диализу против буфера 25 мМ Hepes (N-[2-гидроксиэтил]пиперазин-N'[2-этансульфоновая кислота], 150 мМ NaCl, 2,5 мМ ЭДТУ, 5 мМ ДТТ, 30% глицерин, рН 7,4 и выдерживают при -20°С. Испытание с ферментом ФЕПКК Ингибирующее действие соединений настоящего изобретения на ферментативную активность ФЕПКК исследуют с использованием рекомбинантной цитозольной ФЕПКК человека, экспрессированной и очищенной из E.coli, в виде слитой с ГСТ. Гуанозинтрифосфат (ГТФ) и Mn-зависимая ферментативная активность ФЕПКК катализируют декарбоксилирование оксалацетата, что приводит к образованию гуанозиндифосфата (ГТФ) и фосфоенолпирувата (ФЕП). Эта реакция соединяется с реакциями, катализируемыми пируваткиназой и лактатдегидрогеназой, и определяется общая скорость реакции посредством измерения изменения поглощения при 340 нМ (Н.С.Chang и M.D.Lane, J.Biol.Chem., 1966, т.241, сс.2413-2420). В методике были произведены следующие модификации: 2,5 мкг рекомбинантной цитозольной глутатион-S-трансферазфы (ГСТ)-ФЕПКК человека добавляют при к.т. в реакционную смесь, содержащую 0,3 мМ ГТФ, 0,3 мМ оксалоацетата (ОА), 3 мМ хлорида магния (MgCl2), 0,075 мМ хлорида марганца (MnCl2), 30 мМ фосфата калия (КРО4), рН 7,6, 1 мМ дитиотреитола (ДТТ), 0,2 мМ аденозиндифосфата (АДФ), 1 мМ никотинамида адениндинуклеотида, восстановленной формы (NADH), по 0,9 единиц/мл каждой из пируваткиназы и лактатдегидрогеназы и 1 мг/мл бычьего сывороточного альбумина (БСА). Тест-соединения добавляют таким образом, чтобы конечная концентрация в ДМСО составляла 10%. Реакции проводят в течение двадцати минут. Значения Кm для ГТФ и ОА определяют, следуя условиям Michelis-Menton, описанным в книге Cornish-Bowden “Основы кинетики ферментов”, 1995, и, в особенности, условиям совместного анализа, описанным выше. Для определения концентраций, при которых тест-соединения ингибируют 50% фермента (IC50), применяют реакционные смеси, содержащие 3-кратный и 10-кратный избыток ГТФ и ОА, соответственно, рассчитанные для значений Km. Тест-соединения добавляют в реакционные смеси в количествах, превышающих диапазон концентраций, и вычисляют значения IC50 из графиков зависимости ингибирующей концентрации от дозы фермента. Этот метод определения значений IC50 в равной мере применим к расчетам, основанным на клеточном анализе ФЕПКК. В Таблице 1 представлена биологическая активность in vitro нескольких представителей предпочтительных соединений данного изобретения, исследованных в вышеприведенном ферментативном анализе ФЕПК. Соединения, соответствующие настоящему изобретению, обычно демонстрируют значения IC50 в диапазоне менее 10 мкМ, предпочтительно менее 1 мкМ.
Соединения формулы I и/или их фармацевтически приемлемые соли могут быть использованы в качестве лекарственных средств, например, в форме фармацевтических препаратов для энтерального, парентерального или местного введения. К примеру, они могут быть введены перорально, например, в форме таблеток, таблеток, покрытых оболочкой, драже, твердых и мягких желатиновых капсул, растворов, эмульсий или суспензий, ректально, например, в форме суппозиториев, парентерально, например, в виде растворов для инъекций или растворов для инфузии (вливания), или местно, например, в форме мазей, кремов или масел. Введение через рот (перорально) является предпочтительным. Производство фармацевтических препаратов может быть осуществлено методами, известными любому компетентному специалисту в данной области посредством приведения описанных соединений формулы I и/или их фармацевтически приемлемых солей, при необходимости, в комбинации с другими терапевтически полезными веществами, в галеновую форму для введения совместно с подходящими нетоксичными инертными терапевтически совместимыми твердыми или жидкими носителями и, при необходимости, обычными фармацевтическими адъювантами. Подходящие носители представлены не только неорганическими материалами, но также органическими материалами носителей. Так, например, лактоза, кукурузный крахмал или их производные, тальк, стеариновая кислота и ее соли могут быть использованы в качестве материалов носителей для таблеток, покрытых таблеток, драже и твердых желатиновых капсул. Подходящие материалы носителей для мягких желатиновых капсул представлены, например, растительными маслами, восками, жирами и полутвердыми и жидкими полиолами (однако, в зависимости от природы активного компонента, в случае мягких желатиновых капсул может вообще не требоваться носитель). Подходящими материалами для носителя при производстве растворов и сиропов являются, например, вода, полиолы, сахароза, инвертный сахар и т.п.Подходящими материалами для носителя растворов для инъекций являются, например, вода, спирты, полиолы, глицерин и растительные масла. Подходящими материалами для носителя при изготовлении суппозиториев являются, например, природные или затвержденные масла, воски, жиры и полутвердые или жидкие полиолы. Подходящие материалы для носителя при производстве препаратов местного применения представлены глицеридами, полусинтетическими и синтетическими глицеридами, гидрогенированными маслами, жидкими восками, жидкими парафинами, жидкими жирными спиртами, стеролами, полиэтиленгликолями и производными целлюлозы. В качестве фармацевтических адъювантов должны приниматься во внимание обычные стабилизаторы, консерванты, увлажнители и эмульсификаторы, агенты, улучшающие консистенцию, запах, соли для варьирования осмотического давления, вещества для буфера, солюбилизаторы, красители и маскирующие агенты и антиоксиданты. Дозировка соединений формулы I может изменяться в широких пределах в зависимости от заболевания, которое нужно контролировать, возраста и индивидуальных особенностей пациента и режима введения и, конечно, будет подбираться исходя из индивидуальных потребностей в каждом конкретном случае. Для взрослых пациентов суточная доза составляет приблизительно от 1 до 1000 мг, особенному рассмотрению подлежит доза приблизительно от 1 до 100 мг. В зависимости от тяжести заболевания и на основании точного фармакокинетического профиля соединение может быть введено посредством одной или нескольких суточных стандартных доз, например от 1 до 3 стандартных доз. Для удобства фармацевтические препараты содержат приблизительно 1-500 мг, предпочтительно 1-100 мг, соединения формулы I. Следующие примеры служат для более подробной иллюстрации данного изобретения. Однако они ни коим образом не предназначены для ограничения объема притязаний изобретения. Все реагенты закуплены у одной из следующих фирм: Fisher Scientific, Sigma, Pharamacia, Molecular Probes and Roche Mannheim Biochemicals и имеют самое высокое качество из имеющегося в данный момент времени. Соединения настоящего изобретения могут быть получены в соответствии с приведенными ниже способами или с помощью примеров, или по аналогии с ними. Исходные материалы и вещества могут быть получены приведенными ниже способами или с помощью примеров, или методами, хорошо известными в уровне техники. Амидные производные ФЕПКК. Общее описание схем синтеза Один путь синтеза, использованный для получения некоторых 1,3,8-тризамещенных производных ксантина, соответствующих данному изобретению, показан на схеме 1. Конденсируют имеющийся в продаже этиловый эфир цианоуксусной кислоты и соответственно замещенную имеющуюся в продаже монозамещенную мочевину в присутствии этоксида натрия в кипящем этаноле в соответствии с методикой Papesch и Schroeder, описанной в J.Org.Chem., 1951, т.16, с.1879, с получением 1-замещенного-6-амино-1Н-пиримидин-2,4-диона (соединения общей формулы 1е на схеме 1). Алкилируют 1-замещенный-6-амино-1Н-пиримидин-2,4-дион в положении 3 с использованием метода Müller и соавт., описанного в J. Med. Chem., 1993, т.36, с.3341. Соединения общей формулы I кипятят с обратным холодильником в течение 4 ч в имеющемся в продаже 1,1,1,3,3,3-гексаметилдисилазане (ГМДС) в присутствии каталитического количества имеющегося в продаже сульфата аммония в атмосфере инертного газа с образованием пер-силилированного производного. Пер-силилированные производные соединений общей формулы I выделяют концентрированием в вакууме и сразу же вводят в реакцию с требуемым имеющимся в продаже алкилирующим агентом (обычно алкилом, аллилом или бензилбромидом) и каталитическим количеством имеющегося в продаже элементарного йода при кипячении с обратным холодильником. Реакцию считают завершенной, когда достигнут достаточный уровень превращения 3-замещенного производного общей формулы 2, о чем судят по тонкослойной хроматографии (ТСХ) (пластинки ТСХ ЕМ Science, номер по каталогу 5719-2), и прежде, чем образуются значительные количества нежелательных побочных продуктов. Оставшиеся силильные группы удаляют обработкой метанолом перед выделением и очисткой. Нитрозилирование 1,3-дизамещенных 6-амино-1Н-пиримидин-2,4-дионов общей формулы 2 осуществляют по методике Müller и соавт., описанной в J.Med.Chem., 1993, т.36, с.3341. Соединения общей формулы 2 нагревают в водной уксусной кислоте и обрабатывают имеющимся в продаже нитритом натрия с образованием оранжево-красного 6-амино-5-нитрозо-1H-пиримидин-2,4-диона общей формулы 3, который выделяют в виде твердого вещества после охлаждения до 0°С. 6-амино-5-нитрозо-1Н-пиримидин-2,4-дионы (3) восстанавливают до 5,6-диамино-1Н-пиримидин-2,4-дионов общей формулы 4. Химическое восстановление нитрозогруппы в соединениях, имеющих общую структуру 3, осуществляют в соответствии с методикой Müller и соавт., описанной в J.Med.Chem., 1993, т.36, с.3341. Имеющийся в продаже дигидросульфит натрия добавляют порциями к раствору нитрозного производного 3 в 10%-ном водном гидроксиде аммония при 90°С. Реакцию считают завершенной, когда полностью исчезает цвет нитрозного производного. 5,6-Диамино-1Н-пиримидин-2,4-дионы общей формулы 4 являются сравнительно неустойчивыми и их используют сразу же в следующей стадии синтеза без дополнительной очистки. Ацилирование 5,6-диамино-1Н-пиримидин-2,4-дионов общей формулы 4 осуществляют по методике Jacobson и соавт., описанной в J.Med.Chem., 1993, т.36(10), с.1333. Обрабатывают смесь диамина общей формулы 4 соответствующим замещенным производным уксусной кислоты в присутствии имеющегося в продаже гидрохлорида 1-(3-диметиламинопропил)-3-этилкарбодиимида (ЭДЦ) с селективным образованием амида в положении 5 кольца 1Н-пиримидин-2,4-диона. Производные амида общей формулы 5 являются устойчивыми продуктами, которые обычно не очищают, с последующим выделением необработанного продукта реакции. 5-ацетамидо-6-амино-производные общей формулы 5 подвергают циклизации посредством нагревания до приблизительно 50°С в метаноле, содержащем 10%-ный водный раствор гидроксида натрия, с образованием 1,3,8-тризамещенных ксантинов общей формулы 6 по методике, описанной Müller и соавт. в Synthesis, 1995, с.1295. Реакцию контролируют с помощью ТСХ до полного потребления всего исходного 5-ацетамидо-6-амино-производного (5). Чистые продукты получают с помощью стандартных химических методик очистки, таких как хроматография или кристаллизация. В том случае, когда радикал R3 в структуре (5) представлен замещенной фенилуксусной кислотой, и заместитель является неустойчивым в условиях циклизации, образующиеся производные ксантина содержат заместители на фенильном кольце, которые являются продуктами щелочного гидролиза. Как показано на схеме 2, для соединений общей формулы 7, в которых фенильный заместитель представлен 2,2,2-трифторацетамидом, амидную группу гидролизуют в условиях, применяемых для циклизации, и после циклизации получают первичные анилины общей формулы 8. Из образованных таким образом анилинов далее получают различные производные, применяя одну или несколько методик, показанных на схемах 8-13. Второй путь синтеза, используемый для получения некоторых 1,3,8-тризамещенных производных ксантина, соответствующих данному изобретению, показан на схеме 3. Алкилируют имеющийся в продаже 6-амино-1H-пиримидин-2,4-дион (9) по атому азота в положении 3 с использованием методики Müller, описанной в Tetrahedron Lett., 1991, т.32(45), с.6539, и получают соединения общей структуры 10. Нитрозилирование по положению 5 с получением соединений общей структуры 11, восстановление до 5,6-диаминопроизводных общей структуры 12 и селективное ацилирование 5-аминогруппы с получением соединений общей структуры 13 осуществляют с использованием тех же условий, что описаны для схемы 1, и со ссылкой на методику Müller и соавт., как описано в Synthesis, 1995, с.1295, где осуществляли трансформации производных мочевины, замещенных подобным образом. Альтернативный метод восстановления нитрозопроизводных общей формулы 11 представлен каталитическим восстановлением с использованием оксида платины в этаноле в качестве катализатора при давлении водорода 50 фунт/кв.дюйм по методике, похожей на методику Wells и соавт., как описано в J. Mod. Chem., 1981, т.24(8), с.954. Гидрирование нитрозогруппы не является допустимой альтернативрой, когда на заместителях R1 и R2 соединений общей формулы 11 присутствуют функциональные группы, чувствительные к данным условиям. 5-ацетамидо-6-аминопроизодные мочевины общей формулы 13 селективно алкилируют в положении 1 1H-пиримидин-2,4-диона и получают соединения общей формулы 14 с использованием соответствующего алкилирующего агента (обычно алкила, аллила или бензилбромидов или бензилйодидов) в присутствии безводного карбоната калия в ДМФ по аналогии с методом Müller и соавт., как описано в Synthesis, 1995, с.1295. 1-Алкил-5-ацетамидо-6-аминопроизводные мочевины общей формулы 14 подвергают циклизации с образованием 1,3,8-тризамещенных ксантинов общей формулы 15 посредством метода, используемого для превращения соединений общей формулы 5 в соединения общей формулы 6, как показано на схеме 1. Соединения общей формулы 14 и 15, показанные на схеме 3, являются эквивалентными соединениям общей формулы 5 и 6, соответственно, показанным на схеме 1. Однако путь синтеза, показанный на схеме 3, допускает изменения для R2 на предпоследней стадии. На схеме 1 заместитель R2 вводят на первой стадии синтеза. Также, если заместитель R2 в соединениях общей формулы 14 не может быть введен алкилированием (т.е. является нереакционноспособным по отношению к нуклеофильному замещению), возможно образовать такое соединение, когда на первой стадии Схемы 1 используется требуемая мочевина. Как показано на схеме 4, когда заместитель R3 представлен фенильным кольцом, содержащим 2,2,2-трифторацетамидные группы, алкилирование идет по атому азота ацетанилида. Таким образом, алкилирование соединений общей формулы 16 с использованием условий, описанных на схеме 3, приводит к смеси моноалкилированных соединений общей формулы 17 и диалкилированных соединений общей формулы 18. В процессе циклизации трифторацетамидная группа гидролизуется в условиях, применяемых для циклизации, и полученные производные анилина 19 и алкилированные аналоги 20 выделяют, разделяют и последовательно по отдельности получают из них производные с применением методик, показанных на схемах 8-13. Третий путь, используемый с целью получения некоторых 1,3,8-тризамещенных производных ксантина, соответствующих данному изобретению, показан на схеме 5. Исходя из имеющегося в продаже 6-хлор-1H-пиримидин-2,4-диона добиваются селективного алкилирования атома азота в положении 1 пиримидинового кольца посредством соответствующего алкилирующего агента и получают соединения общей формулы 21 с использованием метода, подобного методу Ishikawa и соавт., описанному в Heterocycles, 1990, т.31(9), с.1641. Применяя те же условия реакции и второй алкилирующий агент (или второй эквивалент первого алкилирующего агента), можно ввести заместитель в положение 3 пиримидинового кольца и получить соединения общей формулы 22. Замена хлорида в соединениях общей формулы 22 на соответствующий замещенный фенилтиламин в присутствии карбоната калия в диметилсульфоксиде (ДМСО) при температуре окружающей среды или в присутствии триэтиламина в N-метилпирролидиноне (NMP) при 80°С приводит к образованию соединений общей формулы 23. По своей природе данные методы похожи на методы, описанные ранее Müller и соавт. в J.Med.Chem., 1993, т.36, с.3341 и Shamine и соавт. в J.Med.Chem., 1989, т.32(6), с.1231, при которых происходят подобные трансформации на N1-незамещенных урацилах. При отсутствии в продаже требуемых фенилэтиламинов их без труда получали из соответствующих бензильных галоидпроизводных в 2 стадии посредством замены на цианид с последующим восстановлением в присутствии никеля Ренея и гидразина. Обработка соединений общей формулы 23 нитритом натрия в водной уксусной кислоте (как ранее обсуждалось для схемы 1) или посредством обработки имеющимся в продаже изоамилнитритом приводит к введению нитрозогруппы в положение 5 кольца урацила, как соединения общей формулы 24. Циклизацию 5-нитрозо-6-аминозамещенных производных урацила общей формулы 24 до тризамещенных ксантинов общей формулы 25 осуществляют в кипящем н-бутаноле, как показано на схеме 5. Соединения общей формулы 25 являются эквивалентными тризамещенным ксантинам 6 и 15, показанным на схемах 1 и 3, соответственно. Однако из-за других условий реакций, используемых в схеме 5, и других компонентов, применяемых для образования 1,3,8-тризамещенных ксантинов общей формулы 25, диапазон возможных легкодоступных структурных вариаций дополняет диапазон, вытекающий из путей синтеза, показанных на схемах 1 и 3. В случае, когда R5 на схеме 5 представлен 4-нитрозаместителем, конечными продуктами схемы 5 являются соединения общей формулы 26, как показано на схеме 6. Соединения общей формулы 26 восстанавливают до соответствующих анилинов общей формулы 27 с помощью порошка цинка и хлорида аммония в водном метаноле. Из образованных таким образом анилинов далее получают производные с помощью методов, обозначенных на схемах 8-13. Четвертый путь, который также применяется с целью получения некоторых 1,3,8-тризамещенных ксантинов, соответствующих настоящему изобретению, показан на схеме 7. Первую, вторую, третью и четвертую стадии схемы 7 осуществляют по аналогии с третьей, четвертой, пятой и шестой стадиями схемы 1. В соединениях общей формулы 28, 29, 30 и 31, показанных на схеме 7, отсутствуют R1-(СН2)-заместители, которые присутствуют в аналогичных соединениях на схеме 1. В соединения общей формулы 31 вводят селективную защиту в положение N7 посредством обработки хлорметиловым эфиром 2,2-диметилпропионовой кислоты (пивалоилоксиметилхлорид, РОМ-Cl) в присутствии карбоната натрия, используя методику М.W.Hu и соавт., описанную в J.Org.Chem., 1980, т.45(9), с.1711. Имея РОМ-защитную группу, присоединенную в положении N7, возможно селективно алкилировать соединения общей формулы 32 в положении N1 соответствующим алкилирующим агентом в присутствии сильного органического основания, такого как 1,8-диазабицикло[5.4.0]ундек-7-ен (ДБУ) с образованием соединений общей формулы 33. После N1-алкилирования пивалоилоксиметильную защитную группу удаляют с положения N7 обработкой водным гидроксидом натрия в метаноле посредством методики, подобной методу Dhanak и соавт., описанному в J. Chem. Soc., Perkin Trans., 1986, т.1, с.2181, с высвобождением тризамещенного ксантина общей формулы 34. Соединения общей формулы 34 представляют собой эквиваленты тризамещенных ксантинов общих формул 6, 15 и 25, показанных на Схемах 1, 3 и 5, соответственно. Применяя последовательность реакционных стадий, показанных на Схеме 7, возможно ввести N1-заместитель, R1-(CH2)- в соединения общей формулы 34 на предпоследней стадии синтеза, а не в его начале. В тех случаях, когда заместитель R3 в соединениях общих формул 6, 15 или 34 из Схемы 1, 3 или 7, соответственно, представлен фенильным кольцом, несущим защищенный амин, возможны дальнейшие химические модификации продуктов данных трех схем синтеза. В тех случаях, когда R3 представлен трет-бутилкарбонилокси (БОК)-защищенным анилином общей формулы 35, соответствующий первичный анилин общей формулы 36 может быть выделен в кислотных условиях, как показано на Схеме 8. Первичные анилины общей формулы 36 идентичны первичным анилинам общей формулы 8, 19 и 27, показанным на Схемах 2, 4 и 6, соответственно. Первичные анилины общей формулы 36 дериватизируют с помощью ряда различных способов. Первичные анилины общей формулы 36 превращают в соответствующие производные Первичные анилины общей формулы 36 превращают в соответствующие сукцинимидные производные 38 посредством двухстадийного процесса, показанного на схеме 9. Обработка первичных анилинов общей формулы 36 имеющимся в продаже сукциновым ангидридом приводит к образованию промежуточных моноамидов янтарной кислоты. Взаимодействие необработанных моноамидов с имеющимся в продаже ацетилхлоридом приводит in situ к образованию ангидрида и последующей циклизации сукцинимидных производных общей формулы 38. Первичные анилины общей формулы 36 превращают в производные ацетанилида общей формулы 39 одним или двумя путями, как это изображено на схеме 10. Методы, эффективные для осуществления данного превращения, представлены образованием in situ хлорида кислоты производных алифатических, замещенных алифатических, гетероциклических или замещенных гетероциклических карбоновых кислот посредством обработки кислоты имеющимся в продаже трифенилфосфином и N-хлорсукцинимидом (NCS) перед добавлением анилинов общей формулы 36, либо взаимодействием анилина с предварительно образованным хлоридом кислоты в пиридине. Таким путем получают ацилированные анилины общей формулы 39. Первичные анилины общей формулы 36 превращают в соответствующие производные мочевины общей формулы 40 посредством конденсации с соответствующим производным изоцианата, как изображено на схеме 11. Первичные анилины общей формулы 36 превращают в соответствующие производные гидантоина общей формулы 41, применяя методику, изображенную на схеме 12. Конденсация первичных анилинов общей формулы 36 с подходящим образом защищенной аминокислотой с использованием стандартных методов пептидной химии приводит к образованию амида. Удаление защитных групп с последующим образованием мочевины и циклизацией с имеющимся в продаже карбонилдиимидазолом (КДИ) приводит к образованию замещенных гидантоинов общей формулы 41. Если заместитель R9 в гидантоинах общей формулы 41 является реакционноспособным, возможны дальнейшие модификации этого заместителя с помощью стандартных химических превращений. Первичные анилины общей формулы 36 превращают в соответствующие N-алкилированные анилины и N-алкилированные анилиды общих формул 42 и 43, соответственно, посредством применения синтетических путей, изображенных на схеме 13. Восстановление промежуточного имина, образованного из первичных анилинов общей формулы 36 и простых алкилальдегидов, осуществляют каталитическим гидрированием с использованием 10% палладия на угле при атмосферном давлении с получением алкилзамещенных производных анилина общей формулы 42, где R11 обозначает водород или алкил, a R10 представлен водородом. Восстановление промежуточного имина, образованного из первичных анилинов общей формулы 36 и простых алкилкетонов осуществляют с использованием цианборгидрида натрия в качестве восстанавливающего агента в присутствии уксусной кислоты с получением производных алкилзамещенного анилина общей формулы 42, где оба заместителя R10 и R11 представлены алкилом. Применение цианборгидрида натрия для восстановления простых алкилальдегидиминовых производных соединений общей формулы 36 приводит к образованию диалкилированного анилина в значительном количестве. Каталитическое гидрирование с использованием производных имина формулы 36, полученных из простых алкилкетонов, проходит непригодно медленно. N-алкилированные анилины общей формулы 42 превращают в соответствующие N-алкилированные анилиды общей формулы 43 посредством ацилирования рядом алифатических, замещенных алифатических, гетероциклических или замещенных гетероциклических карбоновых кислот с применением условий, ранее обозначенных на Схеме 10 для ацилирования первичных анилинов общей формулы 36. Если заместитель R12 в соединениях общей формулы 43 содержит реакционноспособные функциональные группы, то возможны дальнейшие модификации заместителя посредством применения соответствующих стандартных методов химических превращений. Следующие примеры иллюстрируют предпочтительные способы синтеза соединений и композиций настоящего изобретения. Все перечисленные ниже соединения получены и охарактеризованы, как описано, с использованием обычных химических методов. ПРИМЕРЫ Пример 1 N-[4-(1-Аллил-3-бутил-2,6-диоксо-2,3,6,7-тетрагидро-1Н-пурин-8-илметил)фенил]ацетамид
Данное соединение получено путем синтеза, изображенного на Схеме 1. Стадия 1: Получение 6-Амино-1-бутил-1Н-пиримидин-2,4-диона.
Данное соединение получено методом, подобным методу В, описанному V.Papesch, E.F.Schroeder в J. Org. Chem., 1951, т.16, с.1879, за исключением того, что стадия фильтрации заменена концентрированием. В колбу объемом 1 л помещают 330 мл абсолютного (абс.) этанола и добавляют маленькими кусками металлический натрий (11,5 г, 0,5 мол). После того как весь натрий прореагирует, добавляют имеющуюся в продаже N-бутилмочевину (34,9 г, 0,3 мол) и имеющийся в продаже этилцианоацетат (33 мл, 35 г, 0,31 мол). Полученную смесь перемешивают при комнатной температуре в течение 1/2 ч и затем нагревают с обратным холодильником в течение 25 ч. После охлаждения до комнатной температуры (к.т.) полученную смесь упаривают под вакуумом и получают маслянисто-твердый остаток. Этот остаток растворяют в воде, подкисляют добавлением 6 н. водного раствора соляной кислоты (при этом выпадает твердое вещество) и смесь охлаждают в течение ночи в холодильнике при 0°С. Твердое вещество отфильтровывают и промывают ледяной водой, а затем высушивают под вакуумом с получением продукта в виде грязно-белого твердого вещества. 1Н-ЯМР (ДМСО-d6): 0,85 (t, 3Н), 1,22 и 1,45 (2 m, 4H), 3,7 (m, 2Н), 4,5 (s, 1H), 6,79 (ушир. s, 2H), 10,25 (s, 1H). Стадия 2: Получение 3-аллил-6-амино-1-бутил-1Н-пиримидин-2,4-диона.
Данное соединение получено методом, подобным методу, описанному С.Müller и соавт., в J. Med. Chem., 1993, т.36, с.3341. В колбу объемом 250 мл в атмосфере азота помещают 6-амино-1-бутил-1Н-пиримидин-2,4-дион (5,0 г, 0,0273 мол) и имеющийся в продаже 1,1,1,3,3,3-гексаметилдисилазан (70 мл) с каталитическим количеством имеющегося в продаже сульфата аммония (0,1 г). Полученную смесь нагревают под азотом и кипятят в течение 4 ч. Затем удаляют 1,1,1,3,3,3-гексаметилдисилазан под вакуумом с получением дисилилированного промежуточного в виде белого твердого вещества. К этому твердому веществу добавляют имеющийся в продаже аллилбромид (5 мл, 7 г, 0,058 мол) и несколько кристаллов йода, и теплый раствор нагревают с обратным холодильником в течение 16 ч. Реакционную смесь охлаждают в ледяной бане и осторожно добавляют метанол, полученный раствор перемешивают при комнатной температуре в течение 1 ч, после чего концентрируют до коричневого масла, которое разбавляют 150 мл хлороформа и ставят в холодильник. Продукт отделяют фильтрацией и после хроматографии на силикагеле при элюировании смесью хлороформ/метанол 95:5 получают 4,2 г соединения 2 в виде светло-желтого твердого вещества. 1Н-ЯМР (CDCl3): 0,97 (t, 3Н), 1,42 и 1,65 (2m, 4H), 3,94 (t, 2H), 4,40 (ушир. s, 2H), 4,52 (d, 2H), 5,0 (s, 1H), 5,2 (m, 2H), 5,9 (m, 1H). Стадия 3: Получение 3-Аллил-6-амино-1-бутил-5-нитрозо-1Н-пиримидин-2,4-диона.
Данное соединение получено методом, подобным методу, описанному Müller и соавт. в J. Med. Chem., 1993, т.36, с.3341. 3-Аллил-6-амино-1-бутил-1Н-пиримидин-2,4-дион (1,2 г, 5,37 ммол) растворяют в смеси 1:1 уксусной кислоты и воды (общий объем 40 мл). Полученный желтый раствор нагревают в масляной бане при 95°С и добавляют порциями имеющийся в продаже нитрит натрия (0,76 г, 11 ммол) в течение 40 мин. После окончания добавления реакционный раствор охлаждают при 0°С, фильтруют и получают нитрозопроизводное в виде твердого вещества красного цвета. 1H-ЯМР (ДМСО-d6): 1,85 (t, 3Н), 1,25 и 1,45 (2m, 4H), 3,8 (t, 2H), 4,5 (m, 2H), 5,15 (m, 2H), 5,85 (m, 1H), 9,18 (ушир. s, 2H). Стадия 4: Получение 3-аллил-5,6-диамино-1 -бутил- 1H-пиримидин-2,4-диона.
Данное соединение получено методом, подобным методу, описанному Müller и соавт. в J. Med. Chem., 1993, т.36, с.3341. 3-Аллил-6-амино-1-бутил-5-нитрозо-1Н-пиримидин-2,4-дион (410 мг, 1,63 ммол) растворяют в 10% водном растворе гидроксида аммония и полученный раствор красного цвета нагревают при 95°С в масляной бане, добавляя порциями имеющийся в продаже дигидросульфит натрия (1,2 г, 7,0 ммол) до исчезновения розового цвета. После охлаждения раствора его экстрагируют хлороформом, экстракты высушивают и концентрируют с получением диамина (390 мг) в виде твердого вещества светло-желтого цвета (которое быстро темнеет на воздухе). 3-Аллил-5,6-диамино-1-бутил-1Н-пиримидин-2,4-дион немедленно используют на следующей стадии синтеза без дальнейшей очистки. Стадия 5: Получение 2-(4-Ацетиламинофенил)-N-(3-аллил-6-амино-1-бутил-2,4-диоксо-1,2,3,4-тетрагидропиримидин-5-ил)ацетамида. Соединение получено методом, подобным методу К.А.Jacobson и соавт., описанному в J. Med. Chem., 1993, т.36, с.1333. 3-Аллил-5,6-диамино-1-бутил-1Н-пиримидин-2,4-дион (360 мг, 1,51 ммол) и N-ацетил-4-аминофенилуксусную кислоту [полученную методом, аналогичным методу К.D.Janda и соавт., описанному в J. Amer. Chem. Soc., 1991, т.113, с.291 для получения [[4-(2,2,2-трифторацетиламино)фенил]уксусной кислоты] (0,29 г, 1,5 ммол) растворяют в атмосфере азота в сухом N,N-диметилформамиде (12 мл) и затем добавляют имеющийся в продаже гидрохлорид 1-(3-диметиламинопропил)-3-этилкарбодиимида (0,3 г, 1,58 ммол) с последующим добавлением имеющегося в продаже 4-диметиламинопиридина (70 мг) и имеющегося в продаже имидазола (40 мг). Полученный раствор перемешивают при к.т. в течение 12 часов. Затем добавляют насыщенный водный раствор хлорида натрия и смесь распределяют между хлороформом и водой. Экстракты хлороформа объединяют, сушат и концентрируют с получением желтого масла (460 мг), которое подвергают циклизации до N-[4-(1-аллил-3-бутил-2,6-диоксо-2,3,6,7-тетрагидро-1Н-пурин-8-илметил)фенил]ацетамида без дальнейшей очистки. Масс-спектрометрия низкого разрешения (LRMS), m/z (М+Н)=414,5. Стадия 6: N-[4-(1-Аллил-3-бутил-2,6-диоксо-2,3,6,7-тетрагидро-1Н-пурин-8-илметил)фенил]ацетамид.
Данное соединение получено методом, подобным методу, описанному Müller и соавт. в Synthesis, 1995, с.1295. 2-(4-Ацетиламинофенил)-N-(3-аллил-6-амино-1-бутил-2,4-диоксо-1,2,3,4-тетрагидропиримидин-5-ил)ацетамид (310 мг) обрабатывают 3 н. водным гидроксидом натрия (11 мл) и метанолом (11 мл), которые добавляют, пока твердое вещество не растворится. Полученный раствор нагревают при 50°С в масляной бане до тех пор, пока данные тонкослойной хроматографии (ТСХ) не покажут полное прохождение реакции. Раствор охлаждают и подкисляют 6 н. водной соляной кислотой до кислого рН по индикаторной бумаге, при этом образуется осадок при рН 6. Полученную смесь экстрагируют хлороформом. Экстракты высушивают и концентрируют с получением твердого вещества желтого цвета (190 мг). 1H-ЯМР (ДМСО-d6): 0,87 (t, 3Н), 1,26 (m, 2H), 1,61 (m, 2H), 2,00 (s, 3Н), 3,94 (t, 2H), 3,97 (s, 2H), 4,44 (ушир. d, 2H), 5,06 (m, 2H), 5,82 (m, 1H), 7,17 (d, 2H), 7,47 (d, 2H), 9,89 (s, 1H) and 13,4 (s, 1H). Масс-спектрометрия (MC) MS, m/z (M+)=395,1947. Пример 2 N-[4-(1-Бензил-3-бутил-2,6-диоксо-2,3,6,7-тетрагидро-1Н-пурин-8-илметил)-фенил]ацетамид
Данное соединение получено путем, подобным синтезу, использованному для получения соединения в примере 1, и как показано на схеме 1. Стадия 1: Получение 6-амино-3-бензил-1-бутил-1Н-пиримидин-2,4-диона.
6-Амино-1-бутил-1Н-пиримидин-2,4-дион (1,72 г, 9,4 ммол), 1,1,1,3,3,3-гексаметилдисилазан (30 мл) и сульфат аммония (0,03 г, 0,2 ммол) нагревают в атмосфере азота с обратным холодильников в течение 24 ч. После охлаждения до комнатной температуры 1,1,1,3,3,3-гексаметилдисилазан удаляют под вакуумом с получением светло-коричневого масла, к которому добавляют бензилбромид (1,1 мл, 1,58 г, 9,2 ммол) и кристаллический йод. Полученную смесь нагревают на масляной бане при 110°С в течение 1 ч. Смесь охлаждают в ледяной бане, при этом осторожно добавляют метанол. После концентрирования, растирания в хлороформе и охлаждения в холодильнике при -20°С твердый продукт отделяют фильтрованием. Этот продукт пропускают через слой силикагеля 60 (35-70 меш) при элюировании смесью 9:1 хлороформ/метанол и получают 1,0 г чистого 6-амино-3-бензил-1-бутил-1Н-пиримидин-2,4-диона. LRMS m/z (M+H)=274,4. Стадия 2: Получение 3-бензил-6-амино-1-бутил-5-нитрозо-1Н-пиримидин-2,4-диона.
Данное соединение получают методом, подобным методу, описанному для стадии 3 примера 1, за исключением того, что вместо 3-аллил-6-амино-1-бутил-1Н-пиримидин-2,4-диона используют 6-амино-3-бензил-1-бутил-1H-пиримидин-2,4-дион. 3-Бензил-6-амино-1-бутил-5-нитрозо-1Н-пиримидин-2,4-дион получают в виде красного твердого вещества. Это вещество немедленно подвергают условиям, соответствующим следующей стадии синтетического пути, без дальнейшей очистки. LRMS, m/z (M+H)=303,4. Стадия 3: Получение 3-бензил-5,6-диамино-1-бутил-1H-пиримидин-2,4-диона.
Данное соединение получают методом, подобным методу, описанному для стадии 4 Примера 1, за исключением того, что вместо 3-аллил-6-амино-1-бутил-5-нитрозо-1Н-пиримидин-2,4-диона используют 3-бензил-6-амино-1-бутил-5-нитрозо-1Н-пиримидин-2,4-дион. 3-Бензил-5,6-диамино-1-бутил-1H-пиримидин-2,4-дион немедленно используют на следующей стадии синтетического пути без дальнейшей очистки. Стадия 4: Получение 2-(4-ацетиламинофенил)-N-(6-амино-3-бензил-1-бутил-2,4-диоксо-1,2,3,4-тетрагидропиримидин-5-ил)ацетамид. Данное соединение получают методом, подобным методу, описанному для стадии 5 Примера 1, за исключением того, что вместо 3-аллил-5,6-диамино-1-бутил-1Н-пиримидин-2,4-диона используют 3-бензил-5,6-диамино-1-бутил-1Н-пиримидин-2,4-дион и реакцию проводят в течение 24 ч при к.т. перед ее обработкой. После добавления водного раствора хлорида натрия полученную смесь охлаждают до 0°С в течение 0,5 ч и затем фильтрованием отделяют целевой продукт и высушивают его. Используют сырой продукт без очистки. 1Н-ЯМР (ДМСО-d6): 0,86 (t, 3Н), 1,28 (m, 2Н), 1,45 (m, 2H), 2,01 (s, 3Н), 3,49 (s, 2H), 3,83 (t, 2H), 4,90 (s, 2H), 6,66 (ушир. s, 2H), 7,23 (m, 7H), 7,47 (d, 2H), 8,60 (s, 1Н), 9,92 (s, 1H). Стадия 5: Получение N-[4-(1-бензил-3-бутил-2,6-диоксо-2,3,6,7-тетрагидро-1Н-пурин-8-илметил)фенил]ацетамид. Данное соединение получают методом, подобным методу, описанному для стадия 6 Примера 1, за исключением того, что вместо 2-(4-ацетиламинофенил)-N-(3-аллил-6-амино-1-бутил-2,4-диоксо-1,2,3,4-тетрагидропиримидин-5-ил)ацетамида используют 2-(4-ацетиламинофенил)-N-(6-амино-3-бензил-1-бутил-2,4-диоксо-1,2,3,4-тетрагидропиримидин-5-ил)ацетамид. Продукт очищают кристаллизацией из смеси метанол/вода. Масс-спектрометрия (MC=MS), m/z (M+)=446,2199. Пример 3 N-[5-(1-Бензил-3-бутил-2,6-диоксо-2,3,6,7-тетрагидро-1Н-пурин-8-илметил)пиридин-2-ил]ацетамид
Данное соединение получают методом, подобным методу, описанному в примере 2, за исключением того, что вместо N-ацетил-4-аминофенилуксусной кислоты на стадии 4 используют соль гидрохлорид (6-ацетиламинопиридин-3-ил)уксусной кислоты и конденсацию проводят с помощью гексафторфосфата O-бензотриазол-1-ил-N,N,N’,N’-тетраметилурония и диизопропилэтиламина в N,N-диметилформамиде. МС, m/z (M+)=446,2067. [(6-Ацетиламинопиридин-3-ил)уксусную кислоту получают из 2-амино-5-бромпиридина (фирмы Aldrich) с помощью следующей 5-стадийной методики: (1) окисление 30%-ной перекисью водорода в концентрированной серной кислоте, в соответствии с методикой G.J.Fox и соавт., описанной в J. Chem. Soc. Perkin Trans. I, 1973, т.68, с образованием 5-бром-2-нитропиридина в виде твердого вещества бледно-желтого цвета (63%); (2) замену бромида малонатом проводят в соответствии с методикой М.А.Е.Bowman и соавт., описанной в Org. Prep. Proc. Int., 1990, т.22(5), с.636, с получением диэтилового эфира 2-(6-нитропиридин-3-ил)малоновой кислоты в виде желтого масла (67%); (3) восстановление нитрогруппы с помощью 10 эквивалентов цинковой пыли (с размером частиц <10 микрон) и 25 эквивалентов хлорида аммония в смеси 2:1 метанол/вода 45 (количественное); (4) ацетилирование уксусным ангидридом в присутствии триэтиламина в дихлорметане; (5) гидролиз и декарбоксилирование диэтилмалоната с помощью 3М водного гидроксида лития в тетрагидрофуране с последующим подкислением водной соляной кислотой (количественное).] Пример 4 N-[6-(1-Бензил-3-бутил-2,6-диоксо-2,3,6,7-тетрагидро-1Н-пурин-8-илметил)пиридин-3-ил]ацетамид
Данное соединение получают методом, подобным методу, описанному в примере 3, за исключением того, что вместо соли гидрохлорида (6-ацетиламинопиридин-3-ил)уксусной кислоты используют соль гидрохлорида (5-ацетиламинопиридин-2-ил)уксусной кислоты. МС, m/z (M+)=446,2063. [(5-Ацетиламинопиридин-2-ил)уксусная кислота получена из 2-хлор-5-нитропиридина (фирмы Aldrich) методом, аналогичным методу, используемому для получения (6-ацетиламинопиридин-3-ил)уксусной кислоты за исключением замены хлорида диэтилмалонатом, осуществленной в соответствии с методикой М.С.Liu и соавт., как описано в Synth. Commun., 1990, т.20(19), с.2965.] Пример 5 N-[4-(1-Бензил-3-фуран-3-илметил-2,6-диоксо-2,3,6,7-тетрагидро-1Н-пурин-8-илметил)фенил]ацетамид
Данное соединение получено тем синтетическим путем, который показан на схеме 3. Стадия 1: Получение 6-амино-3-бензил-1Н-пиримидин-2,4-диона.
Данное соединение получают методом, подобным методу Müller и соавт., описанному в Tetrahedron Lett., 1991, т.36(45), с.6539. В колбу объемом 250 мл помещают имеющийся в продаже 6-амино-1H-пиримидин-2,4-дион 9 (10 г, 0,08 мол), 1,1,1,3,3,3-гексаметилдисилазан (50 мл) и сульфат аммония (80 мг). Полученную смесь нагревают с обратным холодильником под азотом в течение 2,5 ч и концентрируют под высоким вакуумом с получением трисилилированного производного в виде белого твердого вещества. К этому веществу сразу добавляют бензилбромид (17 г, 11,8 мл, 0,1 мол) и несколько кристаллов I2 и полученную смесь кипятят с обратным холодильником в течение 2 ч. К реакционной смеси осторожно добавляют метанол (120 мл), охлаждают в ледяной бане, а затем позволяют ей нагреться до к.т. и перемешивают в течение еще 2 ч. Добавляют насыщенный водный раствор карбоната натрия, затем все твердые вещества отфильтровывают, промывают ледяной водой и высушивают под вакуумом с получением 7,8 г сырого продукта. Данный продукт далее очищают кристаллизацией из смеси ацетон-вода и получают 6,5 г 6-амино-3-бензил-1Н-пиримидин-2,4-диона в виде белого твердого вещества. 1Н-ЯМР (ДМСО-d6): 4,59 (s, 1H), 4,82 (s, 2H), 6,30 (ушир. s, 2H), 7,23 (m, 5H), 10,59 (ушир. s, 1H). Стадия 2: Получение 6-амино-3-бензил-5-нитрозо-1Н-пиримидин-2,4-диона.
Данное соединение получают методом, подобным методу Müller и соавт., описанному в Synthesis, 1995, с.1295. 6-Амино-3-бензил-1Н-пиримидин-2,4-дион (1,0 г, 4,6 ммол) растворяют в ледяной уксусной кислоте (11 мл) и воде (11 мл), затем нагревают в масляной бане при 98°С, при этом небольшими порциями добавляют нитрит натрия (0,68 г, 9,9 ммол) в течение 40 мин. После завершения добавления продолжают перемешивание в течение 15 мин, затем смесь охлаждают при 0°С в течение ночи, а затем твердые вещества отделяют фильтрованием, промывают водой и высушивают под высоким вакуумом с получением 6-амино-3-бензил-5-нитрозо-1Н-пиримидин-2,4-диона в виде твердого вещества оранжевого цвета (0,92 г). 1H-ЯМР (ДМСО-d6-D2O): 5,0 (s, 2H), 7,23 (m, 5H). Стадия 3: Получение 3-бензил-5,6-диамино-1Н-пиримидин-2,4-диона.
Метод 1: Данное соединение получают методом, подобным методу Müller и соавт., описанному в Synthesis, 1995, с.1295. Используемый метод подобен методу, показанному на Схеме 1 для получения 3-аллил-5,6-диамино-1-бутил-1Н-пиримидин-2,4-диона, за исключением того, что вместо 3-аллил-6-амино-1-бутил-5-нитрозо-1Н-пиримидин-2,4-диона в качестве субстрата реакции используют 6-амино-3-бензил-5-нитрозо-1Н-пиримидин-2,4-дион и концентрирование проводят только до появления твердого осадка. Затем реакционную смесь охлаждают в течение ночи при 0°С и твердые вещества отделяют фильтрованием в атмосфере азота с получением 3-бензил-5,6-диамино-1Н-пиримидин-2,4-диона. Метод 2: Данное соединение может быть также получено методом, подобным методу Wells и соавт., описанному в J. Med. Chem., 1981, т.24(8), с.954. Проводят каталитическое восстановление 6-амино-3-бензил-5-нитрозо-1Н-пиримидин-2,4-диона с использованием PtO2 в этаноле при давлении водорода 50 фунт/кв.дюйм и к.т. После окончания восстановления катализатор отфильтровывают через слой целлита, а фильтрат упаривают с получением 3-бензил-5,6-диамино-1Н-пиримидин-2,4-диона в виде твердого вещества желтовато-коричневого цвета. 3-Бензил-5,6-диамино-1Н-пиримидин-2,4-дион получают одним из этих двух методов и немедленно используют на следующей стадии синтеза без дополнительной очистки. Стадия 4: Получение 2-(4-ацетиламинофенил)-N-(6-амино-3-бензил-2,4-диоксо-1,2,3,4-тетрагидропиримидин-5-ил)ацетамида. В колбу объемом 50 мл помещают сырой продукт со стадии 3 (0,252 г, 1,09 ммол) и N-ацетил-4-аминофенилуксусную кислоту (полученную, как описано в примере 1) (0,235 г, 1,22 ммол), растворенную в сухом N,N-диметилформамиде (10 мл) и затем добавляют имеющийся в продаже гидрохлорид 1-(3-диметиламинопропил)-3-этилкарбодиимида (0,24 г, 1,24 ммол), 4-диметиламинопиридин (28 мг) и имидазол (18 мг). Полученный раствор перемешивают при к.т. в течение 29 часов. Затем добавляют воду (10 мл) и смесь перемешивают при к.т. в течение 1/2 ч с получением мутной смеси. Добавление хлороформа приводит к нерастворимому твердому веществу, которое отфильтровывают с получением сырого продукта, который используют без дальнейшей очистки (0,26 г). МС m/z (M-H)=406,3. Стадия 5: Получение 2-(4-ацетиламинофенил)-N-(6-амино-3-бензил-1-фуран-3-илметил-2,4-диоксо-1,2,3,4-тетрагидропиримидин-5-ил)ацетамид. В колбу объемом 10 мл помещают сырой продукт со стадии 4 (75 мг, 0,18 ммол), растворенный в техническом N,N-диметилформамиде (2 мл), и добавляют к этой смеси порошок карбоната калия (90 мг) и имеющийся в продаже 3-бромметилфуран (41 мг, 0,26 ммол), после чего колбу закрывают и смесь перемешивают при к.т. в течение 18 ч. Добавляют насыщенный водный раствор хлорида натрия (5 мл) и продолжают перемешивание при к.т. в течение 1/2 ч. Полученный мутный желтый раствор экстрагируют хлороформом. Экстракты объединяют, сушат и концентрируют с получением сырого продукта, который используют без дальнейшей очистки (110 мг). Стадия 6: Получение N-[4-(1-бензил-3-фуран-3-илметил-2,6-диоксо-2,3,6,7-тетрагидро-1Н-пурин-8-илметил)фенил]ацетамида. Неочищенный продукт со стадии 5 (110 мг) растворяют в метаноле (6 мл) и добавляют 10% водный раствор гидроксида натрия (3 мл), затем полученную смесь нагревают при 55°С на масляной бане в течение 2,5 ч. Реакционный раствор экстрагируют хлороформом и объединенные экстракты сушат и упаривают с получением 78 мг маслянистого вещества. Данное вещество очищают хроматографией с использованием силикагеля при элюировании смесью 9:1 хлороформ/метанол с получением N-[4-(1-бензил-3-фуран-3-илметил-2,6-диоксо-2,3,6,7-тетрагидро-1Н-пурин-8-илметил)фенил]ацетамида в виде грязно-белого твердого вещества (40 мг). МС, m/z (M+)=469,1748. Пример 6 N-[4-(1-Бензил-3-метоксиметил-3-ил-метил-2,6-диоксо-2,3,6,7-тетрагидро-1H-пурин-8-ил-метил)фенил]ацетамид
Данное соединение получено методом, подобным методу, описанному в примере 5, за исключением того, что вместо 3-бромметилфурана используют простой метиловый эфир бромметила. Кристаллизацию проводят из метанола. МС, m/z (M+Na)=456,1656. Пример 7 N-[4-(1-Бензил-2,6-диоксо-3-тиофен-2-ил-метил-2,3,6,7-тетрагидро-1H-пурин-8-ил-метил)фенил]ацетамид
Данное соединение получают методом, подобным методу, описанному в примере 5, за исключением того, что вместо 3-бромметилфурана используют 2-тиофенилметилбромид. МС, m/z (M+H)=486,1593. [2-Тиофенилметилбромид получают из тиофен-2-метанола (фирмы Fluka) в присутствии четырехбромистого углерода и трифенилфосфина с использованием общей методики Hulin и соавт., описанной в J. Med. Chem., 1992, т.35(10), с.1853.] Пример 8 5-[8-(4-Ацетиламинобензил)-1-бензил-2,6-диоксо-1,2,6,7-тетрагидропурин-3-ил-метил]фуран-2-карбоновой кислоты, соединенный с трифторуксусной кислотой Данное соединение получают методом, подобным методу, описанному в примере 5, за исключением того, что вместо 3-бромметилфурана используют метиловый эфир 5-хлорметилфуран-2-карбоновой кислоты. В процессе циклизации метиловый эфир гидролизуют до карбоновой кислоты с образованием ксантина. МС, m/z (M+)=513,1654. Пример 9 N-[3-(1-Бензил-3-фуран-3-илметил-2,6-диоксо-2,3,6,7-тетрагидро-1H-пурин-8-илметил)фенил]ацетамид Данное соединение получают методом, подобным методу, описанному в примере 5, за исключением того, что вместо N-ацетил-4-аминофенилуксусной кислоты используют N-ацетил-3-аминофенилуксусную кислоту. МС, m/z (M+H)=470,1832. [N-ацетил-3-аминофенилуксусную кислоту получают методом, подобным методу, описанному для получения N-ацетил-4-аминофенилуксусной кислоты в примере 1, стадия 5.] Пример 10 N-{4-[1-(2-фторбензил)-3-фуран-3-илметил-2,6-диоксо-2,3,6,7-тетрагидро-1H-пурин-8-илметил]фенил}ацетамид
Данное соединение получают методом, подобным методу, описанному в примере 5, за исключением того, что на стадии 1 вместо бензилбромида используют 2-фторбензилбромид (фирмы Aldrich). MC, m/z (M+)=488,1748. Пример 11 N-{4-[1-(2-фторбензил)-3-бутил-2,6-диоксо-2,3,6,7-тетрагидро-1H-пурин-8-илметил]фенил}ацетамид
Данное соединение получают одним из двух следующих методов. Метод 1: Используемый метод представлен на схеме 3. Данное соединение получают методом, подобным методу, описанному в примере 5, за исключением того, что вместо 3-бромметилфурана используют н-бутилбромид (фирмы Aldrich). MC, m/z (M+)=464,2086. Метод 2: Используемый метод представлен на схеме 5. Стадия 1: Получение 1-бутил-6-хлор-1H-пиримидин-2,4-диона.
Данное соединение получено методом Ishikawa и соавт., как описано в Heterocycles, 1990, т.31(9), с.1641. 4-Хлорурацил (фирмы Lancaster) (23,36 г, 0,16 мол) растворяют в диметилсульфоксиде (100 мл) и обрабатывают карбонатом калия (11,2 г, 0,08 мол) и 1-йодбутаном (фирмы Aldrich) (52,8 мл, 0,48 мол). После перемешивания при 23°С в течение 18 ч реакционную смесь смешивают с водой и экстрагируют этилацетатом (3 р.). Объединенные слои этилацетата затем промывают разбавленным водным раствором хлорида натрия и солевым раствором, сушат (сульфат натрия) и упаривают досуха с получением неочищенного продукта в виде грязно-белого твердого вещества (27,34 г, 85%). 1H ЯМР (CDCl3, 200 МГц): Стадия 2: Получение 1-бутил-6-хлор-3-(2-фторбензил)-1H-пиримидин-2,4-диона.
Неочищенный продукт со стадии 1 (3,0 г, 14,8 ммол) растворяют в N,N-диметилформамиде (30 мл) и обрабатывают карбонатом калия (4,08 г, 29,6 ммол) и 2-фторбензилбромидом (фирмы Aldrich) (1,8 мл, 14,8 ммол). Реакционную смесь перемешивают при 23°С в течение 2 ч и затем при 48°С в течение 3 часов. Реакционную смесь смешивают с разбавленным солевым раствором и экстрагируют этилацетатом (3 р.). Объединенные слои этилацетата затем промывают разбавленным водным раствором хлорида натрия и солевым раствором, сушат (сульфат натрия) и упаривают с получением 1-бутил-6-хлор-3-(2-фторбензил)-1H-пиримидин-2,4-диона в виде желтого масла (4,07 г, 89%). 1Н ЯМР (CDCl3, 200 МГц): Стадия 3: Получение N-(4-{2-[3-бутил-1-(2-фторбензил)-2,6-диоксо-1,2,3,6-тетрагидропиримидин-4-иламино]этил}фенил)ацетамид. Смесь N-[4-(2-аминоэтил)фенил]ацетамида (53 мг, 0,3 ммол), неочищенного продукта со стадии 2 (77 мг, 0,25 ммол) и триэтиламин (90 мкл, 0,5 ммол) в N-метилпирролидин-2-оне (2,5 мл) перемешивают при 75°С в течение 4 часов. Затем реакционную смесь загружают на ионообменную колонку (CUBCX12M6 фирмы United Chemical Technologies, Inc., Бристоль, Пенсильвания) и элюируют ее метанолом для удаления избытка амина. Упаривание метанольного элюента при пониженном давлении приводит к сырому продукту, который сразу же используют на следующей стадии. [N-[4-(2-аминоэтил)фенил]ацетамид получают из N-(4-цианометил-фенил)ацетамид (фирмы Transworld) по методике Kornet и соавт., как описано в J. Med. Chem., 1977, т.20(3), с.405.] Стадия 4: Получение N-{4-[1-(2-фторбензил)-3-бутил-2,6-диоксо-2,3,6,7-тетрагидро-1H-пурин-8-илметил]фенил}ацетамида.
Сырой продукт со стадии 3 растворяют в этаноле (2 мл) и обрабатывают изоамилнитритом (170 мкл, 1,25 ммоль). К реакционной смеси добавляют концентрированную соляную кислоту (2 капли) и реакцию перемешивают при 23°С в течение 40 минут. Этанол удаляют при пониженном давлении, а остаток промывают Et2O (эфиром). Затем твердый остаток растворяют в н-бутаноле (2 мл) и смесь кипятят 30 минут. После охлаждения до к.т. растворитель удаляют при пониженном давлении. Затем остаток очищают обращенной высокоэффективной жидкостной хроматографией с получением целевого продукта. Жидкостная хроматография – Масс-спектроскопия (LCMS), m/z (M+H)=464,17. Пример 12 N-{4-[1-(2-фторбензил)-3-бутил-2,6-диоксо-2,3,6,7-тетрагидро-1H-пурин-8-илметил]фенил}-2,2,2-трифторацетамид Данное соединение получают методом, подобным методу, описанному в примере 11 (метод 1), за исключением того, что вместо (4-ацетиламинофенил)уксусной кислоты используют [4-(2,2,2-трифторацетиламино)фенил]уксусную кислоту (полученную методом К.D.Janda и соавт, описанном в J. Amer. Chem. Soc., 1991, т.113, с.291). Трифторацетильную группу гидролизуют в условиях, используемых для инициирования циклизации до ксантина. Следовательно, трифторацетильную группу вводят вновь при помощи N-(трифторацетокси)сукцинимида в соответствии с общей методикой Bergeron и соавт., как описано в J. Org. Chem., 1988, т.53, с.3108. МС, m/z (M+)=517,1737. Пример 13 N-{5-[3-Бутил-1-(2-фторбензил)-2,6-диоксо-2,3,6,7-тетрагидро-1H-пурин-8-илметил]пиридин-2-ил}ацетамид
Данное соединение получают методом, подобным методу, описанному в примере 11 (метод 1), за исключением того, что вместо N-ацетил-(4-аминофенил)уксусной кислоты используют солянокислую соль (6-ацетиламинопиридин-3-ил)уксусной кислоты, а конденсацию с 5,6-диамино-1-бутил-3-(2-фторбензил)-1H-пиримидин-2,4-дионом осуществляют в присутствии гексафторфосфата О-бензотриазол-1-ил-N,N,N’,N’-тетраметилурония и диизопропилэтиламина в N,N-диметилформамиде. МС, m/z (M+)=464,1971. [(6-ацетиламинопиридин-3-ил)уксусную кислоту получают, как описано в примере 3.] Пример 14 N-{6-[3-Бутил-1-(2-фторбензил)-2,6-диоксо-2,3,6,7-тетрагидро-1H-пурин-8-илметил]пиридин-3-ил)ацетамид
Данное соединение получено методом, подобным методу, описанному в примере 11 (метод 1) за исключением того, что вместо гидрохлоридной соли (6-ацетиламинопиридин-3-ил)уксусной кислоты используют гидрохлоридную соль (5-ацетиламинопиридин-2-ил)уксусной кислоты. МС, m/z (M+)=464,1975. [(5-Ацетиламинопиридин-2-ил)уксусная кислота получена, как описано в примере 4.] Пример 15 N-{4-[1-(2-фторбензил)-2,6-диоксо-3-(тетрагидропиран-2-илметил)-2,3,6,7-тетрагидро-1H-пурин-8-илметил]фенил}ацетамид
Данное соединение получают методом, подобным описанному в Примере 10 за исключением того, что вместо 3-бромметилфурана используют 2-(бромметил)тетрагидро-2H-пиран (фирмы Aldrich). МС, m/z (M+)=506,2211. Пример 16 N-{4-[1-(2-фторбензил)-2,6-диоксо-3-тиофен-2-илметил-2,3,6,7-тетрагидро-1H-пурин-8-илметил]фенил}ацетамид
Данное соединение получают методом, подобным методу, описанному в примере 10 за исключением того, что вместо 3-бромметилфурана используют 2-бромметилтиофен. МС, m/z (M+)=503,1436. [2-Бромметилтиофен получают, как описано в примере 7.] Пример 17 N-{4-[1-(2-фторбензил)-3-(тетрагидрофуран-2-илметил)-2,6-диоксо-2,3,6,7-тетрагидро-1H-пурин-8-илметил]фенил}ацетамид
Данное соединение получают методом, подобным методу, описанному в примере 10, за исключением того, что вместо 3-бромметилфурана используют тетрагидрофурфурилбромид (фирмы Lancaster). МС, m/z (M+)=492,2054. Пример 18 N-{4-[1-(2-фторбензил)-2,6-диоксо-3-(1H-[1,2,4]триазол-3-илметил)-2,3,6,7-тетрагидро-1H-пурин-8-илметил]фенил}ацетамид, соединенный с трифторуксусной кислотой Стадия 1: Получение метилового эфира 1-тритил-1H-[1,2,4]триазол-3-карбоновой кислоты
Раствор метилового эфира 1H-[1,2,4]триазол-3-карбоновой кислоты (3,0 г, 0,23 моль) в N,N-диметилформамиде (76 мл) при 25°С обрабатывают трифенилметилхлоридом (7,2 г, 0,23 моль) и триэтиламином (6,41 мл, 0,23 моль). Реакционную смесь перемешивают при 25°С в течение 4 дней и затем разбавляют этилацетатом. Затем смесь промывают разбавленным водным раствором соляной кислоты. В это время к органическому слою добавляют метанол. Выпавший осадок отделяют фильтрованием. Органический слой далее промывают насыщенным водным раствором хлорида натрия, высушивают над сульфатом магния, фильтруют и упаривают под вакуумом. Полученное твердое вещество затирают с диэтиловым эфиром. Твердое вещество отделяют фильтрованием и вновь промывают диэтиловым эфиром с получением метилового эфира 1-тритил-1H-[1,2,4]триазол-3-карбоновой кислоты в виде белого твердого вещества (2,45 г, 84%), которое используют без дальнейшей очистки: низкое разрешение – бомбардировка быстрыми атомами (LR-FAB) для C23H19N3O2 (М+) при m/z=369. Стадия 2: Получение (1-тритил-1H-[1,2,4]триазол-3-ил)метанола.
Раствор метилового эфира 1-тритил-1H-[1,2,4]триазол-3-карбоновой кислоты (4,7 г, 0,12 моль) в ТГФ добавляют по каплям к суспензии алюмогидрида лития (724 мг, 0,12 моль) в тетрагидрофуране (63 мл), охлажденном до 0°С. Дают постепенно нагреться реакционной смеси до 25°С. Затем реакцию перемешивают при 25°С в течение 48 ч. На этот раз реакцию охлаждают до 0°С и разбавляют этилацетатом (140 мл). Затем реакционную смесь последовательно обрабатывают водой (0,925 мл), 15% водным раствором гидроксида натрия (0,925 мл) и водой (2,8 мл). Эту смесь перемешивают при 0°С в течение 15 мин. После этого добавляют сульфат магния. Полученную смесь фильтруют для удаления твердых веществ. Твердые вещества промывают тетрагидрофураном и дихлорметаном. Фильтрат концентрируют в вакууме и получают (1-тритил-1H-[1,2,4]триазол-3-ил)метанол (2,2 г, 51%) в виде твердого вещества белого цвета. 1H ЯМР (ДМСО-d6, 300 МГц): Стадия 3: Получение 2-(4-ацетиламинофенил)-N-[6-амино-3-(2-фторбензил)-2,4-диоксо-1-(1-тритил-1H-[1,2,4]триазол-3-илметил)-1,2,3,4-тетрагидропиримидин-5-ил]ацетамид Смесь (1-тритил-1H-[1,2,4]триазол-3-ил)метанола (320 мг, 0,47 ммоль) и трифенилфосфина (136 мг, 0,47 ммоль) в тетрагидрофуране (9,4 мл) охлаждают до 0°С и обрабатывают диэтилазодикарбоксилатом (0,82 мл, 0,47 ммоль). Этот раствор нагревают до 25°С в течение 5 мин и затем вновь охлаждают до 0°С и перемешивают при такой температуре в течение еще 10 мин. После этого реакцию обрабатывают 2-(4-ацетиламинофенил)-N-[6-амино-3-(2-фторбензил)-2,4-диоксо-1,2,3,4-тетрагидропиримидин-5-ил]ацетамидом (200 мг, 0,47 ммоль) и позволяют медленно нагреться до 25°С. Образующиеся твердые вещества удаляют фильтрацией. Фильтрат разбавляют этилацетатом, промывают водой и насыщенным водным раствором хлорида натрия, сушат над сульфатом магния, отфильтровывают и концентрируют в вакууме. Экспресс-хроматография (силикагель 60 фирмы Merck, 230-400 меш) приводит к 2-(4-ацетиламинофенил)-N-[6-амино-3-(2-фторбензил)-2,4-диоксо-1-(1-тритил-1H-[1,2,4]триазол-3-илметил)-1,2,3,4-тетрагидропиримидин-5-ил]ацетамиду (55 мг, 15,6%) в виде желтой пены: LR-APCI для С43Н37FN8O4 (М+Н)+ при m/z=749. Стадия 4: Получение N-{4-[1-(2-фторбензил)-2,6-диоксо-3-(1-тритил-1H-[1,2,4]триазол-3-илметил)-2,3,6,7-тетрагидро-1H-пурин-8-илметил]-фенил}ацетамида
Раствор 2-(4-ацетиламинофенил)-N-[6-амино-3-(2-фторбензил)-2,4-диоксо-1-(1-тритил-1H-[1,2,4]триазол-3-илметил)-1,2,3,4-тетрагидропиримидин-5-ил]ацетамида (50 мг, 0,06 ммоль) в метаноле (2,0 мл) обрабатывают 10% водным раствором гидроксида натрия (0,8 мл). Реакционную смесь нагревают до 50°С в течение 8 ч. После этого реакцию охлаждают до 0°С, подкисляют 3 н. водной соляной кислотой, отфильтровывают и промывают водой с получением N-{4-[1-(2-фторбензил)-2,6-диоксо-3-(1-тритил-1H-[1,2,4]триазол-3-илметил)-2,3,6,7-тетрагидро-1H-пурин-8-илметил]фенил}ацетамида (36 мг, 75%) в виде грязно-белого твердого вещества: 1H ЯМР (ДМСО-d6, 300 МГц): (13,45 (шир. s, 1H), 9,87 (s, 1H), 7,94 (s, 1H), 7,47-6,89 (m, 23H), 5,21 (s, 2H), 5,07 (s, 2H), 3,95 (s, 2H), 2,48 (s, 3H). Стадия 5: Получение N-{4-[1-(2-фторбензил)-2,6-диоксо-3-(1H-[1,2,4]триазол-3-илметил)-2,3,6,7-тетрагидро-1H-пурин-8-илметил]-фенил}ацетамида Суспензию N-{4-[1-(2-фторбензил)-2,6-диоксо-3-(1-тритил-1Н-[1,2,4]триазол-3-илметил)-2,3,6,7-тетрагидро-1Н-пурин-8-илметил]фенил}-ацетамида (47 мг, 0,06 ммоль) в дихлорметане (1,0 мл) обрабатывают при 25°С трифторуксусной кислотой (1,0 мл). Реакционную смесь перемешивают при 25°С в течение 1 ч. После этого реакцию обрабатывают триэтилсиланом (0,01 мл, 0,06 ммоль) и затем концентрируют в вакууме. Полученный остаток подвергают очистке с помощью высокоэффективной жидкостной хроматографии высокого давления (ЖХВД) (15-60% ацетонитрил/вода (0,075% трифторуксусной кислоты в обоих растворителях) в течение 40 мин). Фракции, содержащие целевой продукт, объединяют и упаривают под вакуумом. Полученный остаток разбавляют дихлорметаном (100 мл) и промывают насыщенным водным раствором бикарбоната натрия (25 мл). Водный слой еще раз экстрагируют дихлорметаном (1×50 мл). Объединенные органические слои сушат над сульфатом магния, отфильтровывают и концентрируют в вакууме. Полученное твердое вещество высушивают в вакууме в течение 24 ч и получают N-{4-[1-(2-фторбензил)-2,6-диоксо-3-(1H-[1,2,4]триазол-3-илметил)-2,3,6,7-тетрагидро-1H-пурин-8-илметил]фенил}ацетамид (12 мг, 26%) в виде твердого вещества белого цвета: LR-MS для C24H21FN8O3 (M+H)+ при m/z=489. S, m/z (ион)=503,1436. Пример 19 4-[8-(4-Ацетиламинобензил)-1-(2-фторбензил)-2,6-диоксо-1,2,6,7-тетрагидропурин-3-ил]пропионовая кислота
Данное соединение получают методом, подобным методу, описанному в примере 10 за исключением того, что вместо 3-бромметилфурана используют этиловый эфир 3-бромпропионовой кислоты (фирмы Aldrich). В условиях, применяемых для инициирования циклизации до ксантина (стадия 6), этиловый эфир гидролизуется до карбоновой кислоты. МС, m/z (M+H)=480,1684. Пример 20 4-[8-(4-Ацетиламинобензил)-1-(2-фторбензил)-2,6-диоксо-1,2,6,7-тетрагидропурин-3-ил]масляная кислота
Данное соединение получают методом, подобным методу, описанному в примере 10 за исключением того, что вместо 3-бромметилфурана используют этиловый эфир 4-броммасляной кислоты (фирмы Aldrich). В условиях, применяемых для инициирования циклизации до ксантина (стадия 6), этиловый эфир гидролизуется до карбоновой кислоты. МС, m/z (M+)=494,1823. Пример 21 Метиловый эфир 3-[8-(4-Ацетиламинобензил)-1-(2-фторбензил)-2,6-диоксо-1,2,6,7-тетрагидропурин-3-ил]пропионовой кислоты
Данное соединение получают методом, подобным методу, описанному в примере 10 за исключением того, что вместо 3-бромметилфурана используют этиловый эфир 3-бромпропионовой кислоты (фирмы Aldrich). После стадии 6 (циклизация в ксантин) сырой продукт кипятят в метаноле с каталитическим количеством водной соляной кислоты с образованием сложного метилового эфира. МС, m/z (M+)=493. Пример 22 Метиловый эфир 4-[8-(4-ацетиламинобензил)-1-(2-фторбензил)-2,6-диоксо-1,2,6,7-тетрагидропурин-3-ил]масляной кислоты
Получен при взаимодействии 4-[8-(4-ацетиламинобензил)-1-(2-фторбензил)-2,6-диоксо-1,2,6,7-тетрагидропурин-3-ил]масляной кислоты с тионилхлоридом в смеси дихлорметан/тетрагидрофуран при к.т. и последующей реакцией с избытком метанола. Кристаллизацией из метанола получают продукт в виде бесцветного твердого вещества. МС, m/z (M+H)=508,1986. Пример 23 N-{4-[1-(2-фторбензил)-3-(4-гидроксибутил)-2,6-диоксо-2,3,6,7-тетрагидро-1H-пурин-8-илметил]-фенил}ацетамид
Получен восстановлением метилового эфира 4-[8-(4-ацетиламинобензил)-1-(2-фторбензил)-2,6-диоксо-1,2,6,7-тетрагидропурин-3-ил]масляной кислоты боргидридом лития в тетрагидрофуране. Продукт очищают хроматографией на силикагеле при элюировании смесью 9:1 хлороформ/метанол. МС, m/z (M+)=479,1967. Пример 24 N-{4-[1-(2-фторбензил)-3-(4-гидроксипропил)-2,6-диоксо-2,3,6,7-тетрагидро-1H-пурин-8-илметил]-фенил}ацетамид
Данное соединение получают методом, подобным методу, описанному в примере 23, за исключением того, что вместо метилового эфира 4-[8-(4-ацетиламинобензил)-1-(2-фторбензил)-2,6-диоксо-1,2,6,7-тетрагидропурин-3-ил]масляной кислоты используют метиловый эфир 3-[8-(4-ацетиламинобензил)-1-(2-фторбензил)-2,6-диоксо-1,2,6,7-тетрагидропурин-3-ил]пропионовой кислоты. Продукт очищают кристаллизацией из смеси метанол/простой диэтиловый эфир. МС, m/z (M+)=465,1813. Пример 25 4-[8-(4-Ацетиламинобензил)-1-(2-фторбензил)-2,6-диоксо-1,2,6,7-тетрагидропурин-3-ил]-N-бензилбутирамид
4-[8-(4-Ацетиламинобензил)-1-(2-фторбензил)-2,6-диоксо-1,2,6,7-тетрагидропурин-3-ил]масляную кислоту превращают в N-бензиламид, применяя методику Back и соавт., описанную в Synthesis, 1995, т.162. Более конкретно, исходную масляную кислоту обрабатывают 4 эквивалентами (экв.) тионилхлорида в тетрагидрофуране при к.т. в течение 2 часов и образованный при этом хлорангидрид кислоты вводят в реакцию с 4 экв. бензиламина (фирмы Aldrich). После перемешивания при к.т. в течение 2 часов продукт выделяют и очищают хроматографией с использованием силикагеля при элюировании 9:1 хлороформ/метанол. МС, m/z (M+H)=583,2480. Пример 26 4-[8-(4-Ацетиламинобензил)-1-(2-фторбензил)-2,6-диоксо-1,2,6,7-тетрагидропурин-3-ил]-N-бутилбутирамид
Данное соединение получают методом, подобным методу, описанному в примере 25, за исключением того, что вместо бензиламина используют бутиламин (фирмы Aldrich). МС, m/z (M+H)=549,2628. Пример 27 4-[8-(4-Ацетиламинобензил)-1-(2-фторбензил)-2,6-диоксо-1,2,6,7-тетрагидропурин-3-ил]бутирамид
Данное соединение получают методом, подобным методу, описанному в примере 25, за исключением того, что вместо бензиламина используют концентрированный водный гидроксид аммония. МС, m/z (M+H)=493,1979. Пример 28 Этиловый эфир N’-{4-[8-(4-Ацетиламинобензил)-1-(2-фторбензил)-2,6-диоксо-1,2,6,7-тетрагидропурин-3-ил]бутирил}гидразинкарбоновой кислоты
Данное соединение получают методом, подобным методу, описанному в примере 25, за исключением того, что перед добавлением этилового эфира гидразинкарбоновой кислоты в тетрагидрофуране удаляют тионилхлорид. МС, m/z (M+H)=580,2293. Пример 29 N-{4-[1-(2-фторбензил)-3-(3-гидразинокарбонилпропил)-2,6-диоксо-2,3,6,7-тетрагидро-1H-пурин-8-илметил]фенил}ацетамид
Получен при взаимодействии метилового эфира 4-[8-(4-ацетиламинобензил)-1-(2-фторбензил)-2,6-диоксо-1,2,6,7-тетрагидропурин-3-ил]масляной кислоты с гидразином (10 экв.) в смеси метанол/тетрагидрофуран, в соответствии с общим методом Kramer и соавт., описанным в J.Heterocyclic Chem., 1994, т.31, с.1439. МС, m/z (M+H)=508,2111. Пример 30 N-(4-{1-(2-фторбензил)-2,6-диоксо-3-[3-(5-оксо-4,5-дигидро[1,3,4]оксадиазол-2-ил)пропил]-2,3,6,7-тетрагидро-1H-пурин-8-илметил}фенил)ацетамид
Получен при взаимодействии N-{4-[1-(2-фторбензил)-3-(3-гидразинокарбонилпропил)-2,6-диоксо-2,3,6,7-тетрагидро-1H-пурин-8-илметил]фенил}ацетамида с фосгеном, в соответствии с общим методом Kramer и соавт., описанным в J.Heterocyclic Chem., 1994, т.31, с.1439. МС, m/z (M+H)=533,1821. Пример 31 N-{4-[1-(2-фторбензил)-3-(2-гидразинокарбонилэтил)-2,6-диоксо-2,3,6,7-тетрагидро-1H-пурин-8-илметил]фенил}ацетамид
Данное соединение получают методом, подобным методу, описанному в примере 29, за исключением того, что вместо метилового эфира 4-[8-(4-ацетиламинобензил)-1-(2-фторбензил)-2,6-диоксо-1,2,6,7-тетрагидропурин-3-ил]масляной кислоты используют метиловый эфир 3-[8-(4-ацетиламинобензил)-1-(2-фторбензил)-2,6-диоксо-1,2,6,7-тетрагидропурин-3-ил]пропионовой кислоты. МС, m/z (M+H)=494,1975. Пример 32 N-(4-{1-(2-фторбензил)-2,6-диоксо-3-[2-(5-оксо-4,5-дигидро-[1,3,4]оксадиазол-2-ил)этил]-2,3,6,7-тетрагидро-1H-пурин-8-илметил}фенил)ацетамид
Данное соединение получают методом, подобным методу, описанному в примере 31, за исключением того, что вместо N-{4-[1-(2-фторбензил)-3-(3-гидразинокарбонилпропил)-2,6-диоксо-2,3,6,7-тетрагидро-1H-пурин-8-илметил]фенил}ацетамида используют N-{4-[1-(2-фторбензил)-3-(2-гидразинокарбонилэтил)-2,6-диоксо-2,3,6,7-тетрагидро-1H-пурин-8-илметил]фенил}ацетамид. МС, m/z (M+H)=519,1668. Пример 33 N-[4-(1-Бензил-3-метил-2,6-диоксо-2,3,6,7-тетрагидро-1H-пурин-8-илметил)фенил]ацетамид
Данное соединение получают методом, подобным методу, описанному в примере 5, за исключением того, что вместо 3-бромметилфурана используют имеющийся в продаже метилйодид. Продукт очищают хроматографией с использованием силикагеля при элюировании смесью 95:5 хлороформ/метанол. МС, m/z (M+H)=404. Пример 34 N-{4-[1-(2-фторбензил)-3-пропил-2,6-диоксо-2,3,6,7-тетрагидро-1H-пурин-8-илметил]фенил}-ацетамид
Данное соединение получают методом, подобным методу, описанному в примере 10, за исключением того, что вместо 3-бромметилфурана используют пропилбромид (фирмы Aldrich). MC, m/z (M+)=449,1868. Пример 35 N-{4-[1-(2-фторбензил)-3-гексил-2,6-диоксо-2,3,6,7-тетрагидро-1H-пурин-8-илметил]фенил}ацетамид
Данное соединение получают методом, подобным методу, описанному в примере 10, за исключением того, что вместо 3-бромметилфурана используют 1-йодгексан (фирмы Aldrich). MC, m/z (M+)=491,2332. Пример 36 N-{4-[1-(2-фторбензил)-3-изобутил-2,6-диоксо-2,3,6,7-тетрагидро-1H-пурин-8-илметил]фенил}-ацетамид
Данное соединение получают методом, подобным методу, описанному в примере 10, за исключением того, что вместо 3-бромметилфурана используют изобутилбромид (фирмы Aldrich). MC, m/z (M+)=463,2029. Пример 37 N-{4-[1-(2-фторбензил)-3-(3-метилбутил)-2,6-диоксо-2,3,6,7-тетрагидро-1H-пурин-8-илметил]фенил}ацетамид
Данное соединение получают методом, подобным методу, описанному в примере 10, за исключением того, что вместо 3-бромметилфурана используют 1-йод-3-метилбутан (фирмы Lancaster). MC, m/z (M+)=477,2179. Пример 38 N-{4-[1-(2-фторбензил)-3-(3,3-диметилбутил)-2,6-диоксо-2,3,6,7-тетрагидро-1H-пурин-8-илметил]фенил}ацетамид
Данное соединение получают методом, подобным методу, описанному в примере 10, за исключением того, что вместо 3-бромметилфурана используют 1-бром-3,3-диметилбутан (фирмы Wiley). MC, m/z (M+)=491,2335. Пример 39 N-{4-[1-(2-фторбензил)-3-(2-гидроксиметилбутил)-2,6-диоксо-2,3,6,7-тетрагидро-1H-пурин-8-илметил]фенил}ацетамид
Данное соединение получают методом, подобным методу, описанному в примере 10, за исключением того, что вместо 3-бромметилфурана используют (2-бромметилбутокси)трет-бутилдиметилсилан. МС, m/z (M+)=493,2133. [(2-Бромметилбутокси)трет-бутилдиметилсилан получен в соответствии с методикой Ihara и соавт., описанной в J.Org.Chem., 1994, т.59, с.5317.] Пример 40 N-{4-[1-(2-фторбензил)-3-(3-метил-бут-2-енил)-2,6-диоксо-2,3,6,7-тетрагидро-1H-пурин-8-илметил]фенил}ацетамид
Данное соединение получают методом, подобным методу, описанному в примере 10, за исключением того, что вместо 3-бромметилфурана используют 1-бром-3-метил-2-бутен (фирмы Aldrich). МС, m/z (M+)=475,2021. Пример 41 N-{4-[1-(2-фторбензил)-3-фенил-2,6-диоксо-2,3,6,7-тетрагидро-1H-пурин-8-илметил]фенил}ацетамид
Данное соединение получают методом, подобным методу, описанному в примере 1, за исключением того, что вместо н-бутилмочевины используют имеющуюся в продаже фенилмочевину, а вместо аллилбромида используют 2-фторбензилбромид (фирмы Aldrich). MC, m/z (M+)=484. Пример 42 N-{4-[3-Циклопропилметил-1-(2-фторбензил)-2,6-диоксо-2,3,6,7-тетрагидро-1H-пурин-8-илметил]фенил}ацетамид
Данное соединение получают методом, подобным методу, описанному в примере 10, за исключением того, что вместо 3-бромметилфурана используют циклопропилметилбромид (фирмы Lancaster). MC, m/z (M+)=461,1863. Пример 43 N-{4-[3-Циклопентилметил-1-(2-фторбензил)-2,6-диоксо-2,3,6,7-тетрагидро-1H-пурин-8-илметил]фенил}-2,2,2-трифторацетамид Данное соединение получают методом, подобным методу, описанному в примере 42, за исключением того, что вместо (4-ацетиламинофенил)уксусной кислоты используют [4-(2,2,2-трифторацетиламино)фенил]уксусную кислоту. Трифторацетильная группа гидролизуется в условиях, применяемых для инициирования циклизации в ксантин. Следовательно, трифторацетильную группу вводят повторно с помощью N-(трифторацетокси)сукцинимида в соответствии с общей методикой, Bergeron и соавт., описанной в J. Org. Chem., 1988, т.53, с.3108. MC, m/z (M+)=516,1656. [[4-(2,2,2-трифторацетиламино)фенил]уксусную кислоту получают методом К.D.Janda и соавт., описанным в J. Amer. Chem. Soc., 1991, т.113, с.291.] Пример 44 N-{4-[3-Циклобутилметил-1-(2-фторбензил)-2,6-диоксо-2,3,6,7-тетрагидро-1H-пурин-8-илметил]фенил}ацетамид
Данное соединение получают методом, подобным методу, описанному в примере 10, за исключением того, что вместо 3-бромметилфурана используют циклобутилметилбромид (фирмы Aldrich). MC, m/z (M+)=475,2028. Пример 45 N-{4-[3-Циклопентилметил-1-(2-фторбензил)-2,6-диоксо-2,3,6,7-тетрагидро-1H-пурин-8-илметил]фенил}ацетамид
Данное соединение получают методом, подобным методу, описанному в примере 10, за исключением того, что вместо 3-бромметилфурана используют циклопентилметилйодид. MC, m/z (M+)=489,2170. [Циклопентилметилйодид получают в соответствии с методикой Bizzarro и соавт., описанной в публикации международной заявки WO 0058293(A2).] Пример 46 N-{4-[1-(2-фторбензил)-3-(2-метилциклопропилметил)-2,6-диоксо-2,3,6,7-тетрагидро-1H-пурин-8-илметил]фенил}ацетамид
Данное соединение получают методом, подобным методу, описанному в примере 10, за исключением того, что вместо 3-бромметилфурана используют 2-метилциклопропилметилбромид. МС, m/z (M+)=475,2025. [2-Метилциклопропилметилбромид получают из 2-метилциклопропилметанола (фирмы Aldrich) с использованием четырехбромистого углерода и трифенилфосфина по методу Gurjar и соавт., описанному в Tetrahedron Lett,. 1997, т.38(39), с.6885]. Пример 47 2-[8-(4-Ацетиламинобензил)-1-(2-фторбензил)-2,6-диоксо-1,2,6,7-тетрагидропурин-3-илметил]циклопропанкарбоновой кислоты
Данное соединение получают методом, подобным методу, описанному в примере 10, за исключением того, что вместо 3-бромметилфурана используют 2-карбоксиметилциклопропилметилбромид. Метиловый сложный эфир гидролизуют до карбоновой кислоты в условиях, применяемых для инициирования циклизации в ксантин (стадия 6). МС, m/z (M+)=506,1826. 2-Карбоксиметилциклопропилметилбромид получают из 3-оксабицикло[3.1.0]гексан-2,4-диона (фирмы Aldrich) посредством открытия цикла ангидрида обработкой метанолом с последующим восстановлением карбоновой кислоты с помощью боран-тетрагидрофурана, в соответствии с методикой Schroff и соавт, J.Org.Chem., 1971, т.36 (22), с.1971. Затем спирт превращают в бромид с использованием метода В.Hulin и соавт., описанного в J. Med. Chem., 1992, т.35, с.1853.] Пример 48 Метиловый эфир 2-[8-(4-ацетиламинобензил)-1-(2-фторбензил)-2,6-диоксо-1,2,6,7-тетрагидропурин-3-илметил]циклопропанкарбоновой кислоты
Данное соединение получают при взаимодействии 2-[8-(4-ацетиламинобензил)-1-(2-фторбензил)-2,6-диоксо-1,2,6,7-тетрагидропурин-3-илметил]циклопропанкарбоновой кислоты с тионилхлоридом с образованием хлорангидрида кислоты, который затем реагирует с метанолом. МС, m/z (M+)=519,1916. Пример 49 N-{4-[1-(2-фторбензил)-3-(2-гидроксиметилциклопропилметил)-2,6-диоксо-2,3,6,7-тетрагидро-1H-пурин-8-илметил]фенил}ацетамид
Данное соединение получают восстановлением метилового эфира 2-[8-(4-ацетиламинобензил)-1-(2-фторбензил)-2,6-диоксо-1,2,6,7-тетрагидропурин-3-илметил]циклопропанкарбоновой кислоты боргидридом лития в тетрагидрофуране. МС, m/z (M+)=491,1966. Пример 50 N-{4-[3-(2,2-Бис-гидроксиметилциклопропилметил)-1-(2-фторбензил)-2,6-диоксо-2,3,6,7-тетрагидро-1H-пурин-8-илметил]фенил}ацетамид
Данное соединение получают методом, подобным методу, описанному в примере 10, за исключением того, что вместо 3-бромметилфурана используют сложный эфир дибензойной кислоты 2,2-бис-гидроксиметилциклопропилметилбромида. МС, m/z (M+)=543,1973. [Сложный эфир дибензойной кислоты 2,2-бис-гидроксиметилциклопропилметилбромида получают из 1-аллил-2,2-дикарбоэтоксициклопропана (полученного по методике Kierstead и соавт., описанной в J. Chem. Soc., 1952, с.3610) восстановлением до диола, защитой в виде дибензоата, озонолизом и восстановлением в соответствии с методикой Ashton и соавт., описанной в J. Med. Chem., 1988, т.31, с.2304. Превращение спирта в бромид осуществляют по методу В.Hulin и соавт., как описано в J. Med. Chem., 1992, т.35, с.1853.] Пример 51 N-{4-[1-Аллил-3-(2-метоксиэтил)-2,6-диоксо-2,3,6,7-тетрагидро-1H-пурин-8-илметил]фенил}ацетамид
Данное соединение получают методом, подобным методу, описанному в примере 5, за исключением того, что вместо бензилбромида используют аллилбромид (фирмы Aldrich), а вместо 3-бромметилфурана используют метоксиэтилбромид (фирмы Aldrich). MC, m/z (M+H)=398,1834. Пример 52 N-[4-(1-Бут-2-енил-3-бутил-2,6-диоксо-2,3,6,7-тетрагидро-1H-пурин-8-илметил)фенил]ацетамид
Данное соединение получают методом, подобным методу, описанному в примере 11 (метод 2), за исключением того, что вместо 2-фторбензилбромида используют 1-бром-бут-2-ен (фирмы Aldrich). LCMS, m/z (M+H)=410,23. Пример 53 N-{4-[1-(3-Бромаллил)-3-бутил-2,6-диоксо-2,3,6,7-тетрагидро-1H-пурин-8-илметил]фенил}ацетамид Данное соединение получают методом, подобным методу, описанному в примере 11 (метод 2), за исключением того, что вместо 2-фторбензилбромида используют 1,3-дибром-1-пропен (фирмы Aldrich). LCMS, m/z (M+H)=474.09, Пример 54 N-{4-[3-Бутил-1-(3-метил-бут-2-енил)-2,6-диоксо-2,3,6,7-тетрагидро-1H-пурин-8-илметил]фенил}ацетамид
Данное соединение получают методом, подобным методу, описанному в примере 11 (метод 2), за исключением того, что вместо 2-фторбензилбромида используют 1-бром-3-метил-2-бутен (фирмы Aldrich). LCMS, m/z (M+H)=424,17. Пример 55 N-[4-(3-Бутил-2,6-диоксо-1-проп-2-инил-2,3,6,7-тетрагидро-1H-пурин-8-илметил)фенил]ацетамид
Данное соединение получают методом, подобным методу, описанному в примере 11 (метод 2), за исключением того, что вместо 2-фторбензилбромида используют пропаргилбромид (фирмы Aldrich). LCMS, m/z (M+H)=394,20. Пример 56 N-{4-[3-Бутил-1-(3-фторбензил)-2,6-диоксо-2,3,6,7-тетрагидро-1H-пурин-8-илметил]фенил}ацетамид Данное соединение получают методом, подобным методу, описанному в примере 1, за исключением того, что вместо аллилбромида используют 3-фторбензилбромид. МС, m/z (M+)=463,2018. Пример 57 N-{4-[3-Бутил-1-(2,6-дифторбензил)-2,6-диоксо-2,3,6,7-тетрагидро-1H-пурин-8-илметил]фенил}ацетамид
Данное соединение получают методом, подобным методу, описанному в примере 11 (метод 2), за исключением того, что вместо 2-фторбензилбромида используют 2,6-дифторбензилбромид (фирмы Aldrich). LCMS, m/z (M+H)=482,14. Пример 58 N-{4-[3-Бутил-1-(2-фтор-6-нитробензил)-2,6-диоксо-2,3,6,7-тетрагидро-1H-пурин-8-илметил]фенил}ацетамид
Данное соединение получают методом, подобным методу, описанному в примере 11 (метод 2), за исключением того, что вместо 2-фторбензилбромида используют 2-фтор-6-нитробензилбромид (фирмы Lancaster). LCMS, m/z (M+H)=509,15. Пример 59 N-(4-{3-Бутил-1-[4-(1-метил-1H-тетразол-5-ил)бензил]-2,6-диоксо-2,3,6,7-тетрагидро-1H-пурин-8-илметил}фенил)ацетамид Данное соединение получают методом, подобным методу, описанному в примере 11 (метод 2), за исключением того, что вместо 2-фторбензилбромида используют 5-(4-хлорметилфенил)-1-метил-1H-тетразол. LCMS, m/z (M+H)=528,13. Пример 60 N-{4-[1-(5-Амино-2-фторбензил)-3-бутил-2,6-диоксо-2,3,6,7-тетрагидро-1H-пурин-8-илметил]фенил}ацетамид, соединенный с трифторуксусной кислотой
Данное соединение получают путем синтеза, изображенного на Схеме 7. Стадия 1: Получение 6-амино-1-бутил-5-нитрозо-1H-пиримидин-2,4-диона
Суспензию 6-амино-1-бутил-1H-пиримидин-2,4-диона (3,0 г, 16,4 ммоль) в 1 н. водном растворе соляной кислоты (33 мл) при 25°С обрабатывают порциями нитрита натрия (1,47 г, 21,32 ммоль). Доводят рН до рН5 добавлением гидроксида аммония (22 мл). Реакционную смесь перемешивают при 25°C в течение 10 мин. После этого полученное твердое вещество собирают фильтрованием, промывают водным буфером с рН5 и затем высушивают под вакуумом с получением 6-амино-1-бутил-5-нитрозо-1H-пиримидин-2,4-диона (2,89 г, 83%) – твердого вещества пурпурного цвета: LR-MS для C8H12N4O3 (M+H)+ при m/z=213. Стадия 2: Получение 5,6-диамино-1-бутил-1H-пиримидин-2,4-диона
Суспензию 6-амино-1-бутил-3-нитрозо-1H-пиримидин-2,4-диона (500 мг, 2,36 ммоль) в воде (8,3 мл) обрабатывают при 85°С гидросульфатом натрия (1,23 г, 7,08 ммоль). Реакционную смесь перемешивают при 85°С в течение 20 мин. После этого реакцию охлаждают до 0°С. Полученное зеленое твердое вещество собирают фильтрованием, промывают водой и высушивают на воздухе в течение 30 мин с получением 5,6-диамино-1-бутил-1H-пиримидин-2,4-диона (304 мг, 65%) в виде твердого вещества бледно-зеленого цвета: LR-MS для C8H14N4O2 (M+H)+ при m/z=199. Стадия 3: Получение 2-(4-ацетиламинофенил)-N-(6-амино-1-бутил-2,4-диоксо-1,2,3,4-тетрагидропиримидин-5-ил)ацетамида
Раствор (4-ацетиламинофенил)уксусной кислоты (348 мг, 1,65 ммоль) в N,N-диметилформамиде (2,5 мл) обрабатывают гидрохлоридом 1-(3-диметиламинопропил)-3-этилкарбодиимида (316 мг, 1,80 ммоль). Полученную смесь перемешивают при 25°С в течение 20 мин. После этого реакционную смесь обрабатывают 5,6-диамино-1-бутил-1H-пиримидин-2,4-дионом (300 мг, 1,5 ммоль), а затем 4-диметиламинопиридином (37 мг, 0,3 ммоль). Реакцию перемешивают при 25°С в течение 18 ч. После этого реакционную смесь концентрируют в вакууме. Остаток разбавляют водой (5,0 мл) и доводят рН до рН5 с помощью 1 н. водного раствора соляной кислоты. Полученное твердое вещество собирают фильтрованием, промывают водой и высушивают в вакууме с получением 2-(4-ацетиламинофенил)-N-(6-амино-1-бутил-2,4-диоксо-1,2,3,4-тетрагидропиримидин-5-ил)ацетамида (330 мг, 59%) в виде твердого вещества желтовато-коричневого цвета: LR-MS для C18H23N5O4 (M+H) при m/z=374. Стадия 4: Получение N-[4-(3-бутил-2,6-диоксо-2,3,6,7-тетрагидро-1H-пурин-8-илметил)фенил]ацетамида
Раствор 2-(4-ацетиламинофенил)-N-(6-амино-1-бутил-2,4-диоксо-1,2,3,4-тетрагидро-пиримидин-5-ил)ацетамида (330 мг, 0,88 ммоль) в метаноле (7,0 мл) обрабатывают 10% водным раствором гидроксида натрия (3,54 мл). Полученный раствор перемешивают при 25°С в течение 5 мин и затем нагревают до 50°С в течение 3 ч. После этого добавляют другую порцию 10% водного раствора гидроксида натрия (3,54 мл). Реакционную смесь нагревают при 50°С в течение еще 4 ч, затем реакцию концентрируют в вакууме. Остаток охлаждают до 0°С и затем обрабатывают 1 н. водным раствором соляной кислоты. Полученный осадок отфильтровывают, промывают водой и высушивают под вакуумом с получением N-[4-(3-бутил-2,6-диоксо-2,3,6,7-тетрагидро-1H-пурин-8-илметил)фенил]ацетамида (196 мг, 62%) в виде твердого вещества желто-оранжевого цвета: 1Н ЯМР (ДМСО-d6, 300 МГц): Стадия 5: Получение 8-(4-ацетиламинобензил)-3-бутил-2,6-диоксо-1,2,3,6-тетрагидропурин-7-ил-метилового эфира 2,2-диметилпропионовой кислоты
Смесь N-[4-(3-бутил-2,6-диоксо-2,3,6,7-тетрагидро-1H-пурин-8-илметил)фенил]ацетамида (196 мг, 0,55 ммоль) в N,N-диметилформамиде (5,0 мл) обрабатывают при 25°С карбонатом натрия (117 мг, 0,55 ммоль) и хлорметиловым эфиром 2,2-диметилпропионовой кислоты (0,10 мл, 0,55 ммоль). Полученную смесь нагревают до 50°С в течение 8 ч. После этого реакционную смесь выливают в раствор воды (2,5 мл), содержащей 1 н. водный раствор соляной кислоты (1,65 мл) и этот раствор экстрагируют этилацетатом. Органические слои промывают водой (1×100 мл) и насыщенным водным раствором хлорида натрия (1×100 мл), сушат над сульфатом магния, отфильтровывают и концентрируют в вакууме. Экспресс-хроматография (силикагель 60 фирмы Merck, 230-400 меш, 3:2 этилацетат/петролейный эфир) приводит к 8-(4-ацетиламинобензил)-3-бутил-2,6-диоксо-1,2,3,6-тетрагидропурин-7-ил-метиловому эфиру 2,2-диметилпропионовой кислоты (107 мг, 41,4%) в виде желтой пены: (бомбардировка быстрыми атомами – масс-спектрометрия высокого разрешения) FAB-HRMS m/e рассчитано для C24H31N5O5 (М+H)+ 470,2403, обнаружено 470,2408. Стадия 6: Получение 8-(4-ацетиламинобензил)-3-бутил-1-(2-фтор-5-нитробензил)-2,6-диоксо-1,2,3,6-тетрагидропурин-7-ил-метилового эфира 2,2-диметилпропионовой кислоты
Раствор 8-(4-ацетиламинобензил)-3-бутил-2,6-диоксо-1,2,3,6-тетрагидропурин-7-ил-метилового эфира 2,2-диметилпропионовой кислоты (104 мг, 0,22 ммоль) в ацетонитриле (2,0 мл) обрабатывают 1,8-диазабицикло[5.4.0]ундец-7-еном (0,03 мл, 0,24 ммоль) и 2-бромметил-1-фтор-4-нитробензолом (56,6 мг, 0,24 ммоль). Полученный раствор нагревают до 50°С в течение 6 ч, после чего добавляют другую порцию 1,8-диазабицикло[5.4.0]ундец-7-ена (0,03 мл, 0,24 ммоль). Реакционную смесь перемешивают при 25°С в течение 18 ч. После этого реакцию выливают в этилацетат (200 мл) и промывают 1 н. водным раствором соляной кислоты (1×50 мл) и насыщенным водным раствором хлорида натрия (1×50 мл). Органические слои сушат над сульфатом магния, отфильтровывают и концентрируют в вакууме. Экспресс-хроматография (силикагель 60 фирмы Merck, 230-400 меш, 1:1 этилацетат/петролейный эфир) приводит к 8-(4-ацетиламинобензил)-3-бутил-1-(2-фтор-5-нитробензил)-2,6-диоксо-1,2,3,6-тетрагидропурин-7-ил-метиловому эфиру 2,2-диметилпропионовой кислоты (45,3 мг, 33%) в виде твердого вещества желтовато-коричневого цвета: ионизация бомбардировкой быстрыми атомами – масс-спектрометрия высокого разрешения (FAB-HRMS), m/e рассчитано для C31H35N6O7F (M+H)+ 623,2630, обнаружено 623,2631. Стадия 8: Получение 8-(4-ацетиламинобензил)-1-(5-амино-2-фторбензил)-3-бутил-2,6-диоксо-1,2,3,6-тетрагидропурин-7-ил-метилового эфира 2,2-диметилпропионовой кислоты
Смесь 8-(4-ацетиламинобензил)-3-бутил-1-(2-фтор-5-нитробензил)-2,6-диоксо-1,2,3,6-тетрагидропурин-7-ил-метилового эфира 2,2-диметилпропионовой кислоты (45 мг, 0,07 ммоль) в метаноле (30 мл) обрабатывают 10% паладием на угле (45 мг). Реакционную смесь помещают на 2 ч в аппарат Парра в атмосферу водорода при давлении 48 фунт/кв.дюйм. После этого реакционную смесь фильтруют через слой целита и промывают метанолом. Фильтрат концентрируют в вакууме и получают 8-(4-ацетиламинобензил)-1-(5-амино-2-фторбензил)-3-бутил-2,6-диоксо-1,2,3,6-тетрагидропурин-7-ил-метиловый эфир 2,2-диметилпропионовой кислоты (39,8 мг, 92,9%) в виде грязно-белого твердого вещества: LR-MS для C31H37FN6O5 (M-H)+ при m/z=591. Стадия 9: Получение N-{4-[1-(5-амино-2-фторбензил)-3-бутил-2,6-диоксо-2,3,6,7-тетрагидро-1H-пурин-8-илметил]фенил}ацетамида, соединенного с трифторуксусной кислотой Раствор 8-(4-ацетиламинобензил)-1-(5-амино-2-фторбензил)-3-бутил-2,6-диоксо-1,2,3,6-тетрагидропурин-7-ил-метилового эфира 2,2-диметилпропионовой кислоты (39,7 мг, 0,06 ммоль) в метаноле (1,5 мл) при 25°С обрабатывают 1 н. водным раствором гидроксида натрия (0,33 мл). Реакционную смесь перемешивают при 25°С в течение 30 мин, после чего концентрируют в вакууме. Полученный остаток очищают ЖХВД (20-70% ацетонитрил/вода (0,075% трифторуксусной кислоты в обоих растворителях) в течение 20 мин). Фракции, содержащие целевой продукт, объединяют и концентрируют в вакууме. Полученный остаток разбавляют ацетонитрилом и водой и сушат вымораживанием с получением N-{4-[1-(5-амино-2-фторбензил)-3-бутил-2,6-диоксо-2,3,6,7-тетрагидро-1H-пурин-8-илметил]фенил}ацетамида трифторуксусной кислоты (25 мг, 78%) в виде белого твердого вещества: ионизация электронным ударом – масс-спектрометрия высокого разрешения (EI-HRMS), m/e рассчитано для С25Н27Н6О3F (М+) 478,2129, обнаружено 478,2139. Пример 61 N-{4-[1-(5-Метокси-2-фторбензил)-3-бутил-2,6-диоксо-2,3,6,7-тетрагидро-1H-пурин-8-илметил]фенил}ацетамид, соединенный с трифторуксусной кислотой
Стадия 1: Получение 8-(4-ацетиламинобензил)-3-бутил-1-(2-фтор-5-метоксибензил)-2,6-диоксо-1,2,3,6-тетрагидропурин-7-ил-метилового эфира 2,2-диметилпропионовой кислоты
Раствор 8-(4-ацетиламинобензил)-3-бутил-1-(2-фтор-5-метоксибензил)-2,6-диоксо-1,2,3,6-тетрагидропурин-7-ил-метилового эфира 2,2-диметилпропионовой кислоты (100 мг, 0,21 ммоль) и 2-бромметил-1-фтор-4-метоксибензола (56 мг, 0,25 ммоль) в ацетонитриле (2,0 мл) обрабатывают 1,8-диазабицикло[5.4.0]ундец-7-еном (0,06 мл, 0,45 ммоль). Реакционную смесь перемешивают при 25°С. Реакцию разбавляют этилацетатом и промывают 1 н. водным раствором соляной кислоты и насыщенным водным раствором хлорида натрия. Органические слои сушат над сульфатом магния, отфильтровывают и концентрируют в вакууме. Экспресс-хроматография (силикагель 60 фирмы Merck, 230-400 меш, 1:1 этилацетат/петролейный эфир) приводит к 8-(4-ацетиламинобензил)-3-бутил-1-(2-фтор-5-метоксибензил)-2,6-диоксо-1,2,3,6-тетрагидропурин-7-ил-метиловому эфиру 2,2-диметилпропионовой кислоты (26 мг, 20%) в виде желтого твердого вещества. Это вещество используют без дальнейшей очистки или определения характеристик. Стадия 2: Получение N-{4-[3-бутил-1-(2-фтор-5-метоксибензил)-2,6-диоксо-2,3,6,7-тетрагидро-1H-пурин-8-илметил]фенил}ацетамида трифторуксусной кислоты Раствор 8-(4-ацетиламинобензил)-3-бутил-1-(2-фтор-5-метоксибензил)-2,6-диоксо-1,2,3,6-тетрагидропурин-7-ил-метилового эфира 2,2-диметилпропионовой кислоты (25 мг, 0,04 ммоль) в метаноле (1,0 мл) обрабатывают 1 н. водным раствором гидроксида натрия (0,12 мл, 0,12 ммоль). Реакционную смесь перемешивают при 25°С в течение 3 ч, после чего реакцию концентрируют в вакууме. Остаток разбавляют ацетонитрилом и водой и затем подкисляют трифторуксусной кислотой. Полученный остаток очищают ЖХВД (20-70% ацетонитрил/вода (0,075% трифторуксусной кислоты в обоих растворителях) более 30 мин). Фракции целевого продукта объединяют и концентрируют в вакууме. Полученный остаток разбавляют ацетонитрилом и водой и высушивают вымораживанием с получением N-{4-[3-бутил-1-(2-фтор-5-метоксибензил)-2,6-диоксо-2,3,6,7-тетрагидро-1H-пурин-8-илметил]фенил}ацетамида трифторуксусной кислоты (9,0 мг, 36%) в виде светло-лилового твердого вещества: EI-HRMS m/e рассчитано для C26H28N5O4F (М+) 493,2125, обнаружено 493,2121. Пример 62 N-{4-[3-Бутил-1-(2-гидроксибензил)-2,6-диоксо-2,3,6,7-тетрагидро-1H-пурин-8-илметил]фенил}ацетамид
Стадия 1: Получение 8-(4-ацетиламинобензил)-3-бутил-1-[2-(трет-бутилдиметилсиланилокси)-бензил]-2,6-диоксо-1,2,3,6-тетрагидропурин-7-ил-метилового эфира 2,2-диметилпропионовой кислоты Раствор 8-(4-ацетиламинобензил)-3-бутил-2,6-диоксо-1,2,3,6-тетрагидропурин-7-ил-метилового эфира 2,2-диметилпропионовой кислоты (100 мг, 0,21 ммоль) в N,N-диметилформамиде (2,0 мл) обрабатывают карбонатом натрия (68 мг, 0,64 ммоль), (2-бромметилфенокси)трет-бутилдиметил-силаном (70,6 мг, 0,23 ммоль) в N,N-диметилформамиде (0,5 мл) и йодидом тетрабутиламмония (24 мг, 0,06 ммоль). Реакционную смесь нагревают при 50°С в течение 4 ч, после чего реакцию выливают в раствор воды (125 мл) и 1 н. водный раствор соляной кислоты (1,28 мл). Продукт экстрагируют этилацетатом. Органические слои промывают водой (1×100 мл) и насыщенным водным раствором хлорида натрия (1×100 мл), сушат над сульфатом магния, отфильтровывают и концентрируют в вакууме. Экспресс-хроматография (силикагель 60 фирмы Merck, 230-400 меш, 4:1 этилацетат/петролейный эфир) приводит к 8-(4-ацетиламинобензил)-3-бутил-1-[2-(трет-бутилдиметилсиланилокси)-бензил]-2,6-диоксо-1,2,3,6-тетрагидропурин-7-ил-метиловому эфиру 2,2-диметилпропионовой кислоты (91,9 мг, 63%) в виде грязно-белой пены: FAB-HRMS m/e рассчитано для C37H51N5O6Si (M+H)+ 690,3687, обнаружено 690,3685. Стадия 2: Получение натриевой соли N-(4-{3-бутил-1-[2-(трет-бутилдиметилсиланилокси)бензил]-2,6-диоксо-2,3,6,7-тетрагидро-1Н-пурин-8-илметил} фенил)ацетамида Раствор 8-(4-ацетиламинобензил)-3-бутил-1-[2-(трет-бутилдиметилсиланилокси)бензил]-2,6-диоксо-1,2,3,6-тетрагидропурин-7-ил-метилового эфира 2,2-диметилпропионовой кислоты (91 мг, 0,13 ммоль) в метаноле (5,0 мл) при 25°С обрабатывают 1 н. водным раствором гидроксида натрия (0,39 мл, 0,39 ммоль). Реакционную смесь перемешивают при 25°С в течение 45 мин. После этого реакцию концентрируют в вакууме с получением натриевой соли N-(4-{3-бутил-1-[2-(трет-бутилдиметилсиланилокси)бензил]-2,6-диоксо-2,3,6,7-тетрагидро-1Н-пурин-8-илметил}фенил)-ацетамида (75 мг, 95%). Это вещество используют без дальнейшей очистки или определения характеристик. Стадия 3: Получение N-{4-[3-бутил-1-(2-гидроксибензил)-2,6-диоксо-2,3,6,7-тетрагидро-1Н-пурин-8-илметил]фенил}ацетамида Суспензию натриевой соли N-(4-{3-бутил-1-[2-(трет-бутилдиметилсиланилокси)бензил]-2,6-диоксо-2,3,6,7-тетрагидро-1Н-пурин-8-илметил}фенил)ацетамида (75 мг, 0,12 ммоль) в тетрагидрофуране, охлажденную до 0°С, обрабатывают фторидом тетрабутиламмония. Реакционную смесь перемешивают при 0°С в течение 1,5 ч. После этого реакционную смесь обрабатывают насыщенным водным раствором хлорида аммония (1,0 мл) и затем разбавляют этилацетатом (50 мл). Этот раствор промывают водой и солевым раствором. Органические слои сушат над сульфатом магния, отфильтровывают и концентрируют в вакууме. Полученный остаток разбавляют ацетонитрилом. Нерастворимое вещество собирают, промывают ацетонитрилом и сушат под вакуумом в течение 24 часов с получением N-{4-[3-бутил-1-(2-гидроксибензил)-2,6-диоксо-2,3,6,7-тетрагидро-1Н-пурин-8-илметил]фенил}ацетамида (11,4 мг, 19%) в виде белого твердого вещества: EI-HRMS m/e рассчитано для C25H27N5O4 (М+) 461,2063, обнаружено 461,2073. Пример 63 Трет-бутиловый эфир [4-(1-бензил-3-бутил-2,6-диоксо-2,3,6,7-тетрагидро-1H-пурин-8-илметил)фенил]карбаминовой кислоты Данное соединение получают методом, подобным методу, описанному в примере 2, за исключением того, что вместо N-ацетил-4-аминофенилуксусной кислоты используют (4-трет-бутоксикарбониламинофенил)уксусную кислоту. МС, m/z (M+H)=504,2599. [(4-Трет-бутоксикарбониламинофенил)уксусную кислоту получают в соответствии с методом Rai и соавт., описанным в J. Med. Chem., 1992, т.35, с.4150.] Пример 64 1-Бензил-3-бутил-8-[4-(2-оксопирролидин-1-ил)бензил]-3,7-дигидропурин-2,6-дион
Данное соединение получено, как показано на схеме 8. Стадия 1: Получение 8-(4-аминобензил)-1-бензил-3-бутил-3,7-дигидропурин-2,6-диона
Трет-бутиловый эфир [4-(1-бензил-3-бутил-2,6-диоксо-2,3,6,7-тетрагидро-1H-пурин-8-илметил)фенил]карбаминовой кислоты (303 мг) суспендируют в п-диоксане (3 мл) и добавляют 4М HCl в п-диоксане (фирмы Aldrich, 5 мл). Через 17 ч реакционную смесь выливают в воду и смесь осторожно нейтрализуют насыщенным водным бикарбонатом натрия. К смеси добавляют солевой раствор, который затем тщательно экстрагируют дихлорметаном. Объединенные органические экстракты высушивают (сульфатом натрия) и концентрируют в вакууме с получением желаемого продукта в виде твердого вещества оранжевого цвета (241 мг). Стадия 2: Получение 1-бензил-3-бутил-8-[4-(2-оксопирролидин-1-ил)бензил]-3,7-дигидропурин-2,6-диона К раствору 8-(4-аминобензил)-1-бензил-3-бутил-3,7-дигидропурин-2,6-диона (60 мг) в N,N-диметилформамиде (2 мл) добавляют 6,6-диметил-5,7-диокса-спиро[2.5]октан-4,8-дион (фирмы Lancaster) (34 мг) и смесь нагревают до 100°С под аргоном в течение 16 часов. Реакционную смесь охлаждают до к.т. и выливают в насыщенный водный хлорид аммония, разбавляют водой и экстрагируют этилацетатом. Объединенные органические экстракты промывают солевым раствором, высушивают (сульфатом натрия) и концентрируют в вакууме. Очистка с помощью хроматотрона с использованием пластинки со слоем диоксида кремния толщиной 2 мм при элюировании смесью 95:5 хлороформ/метанол приводит к требуемому продукту в виде бледно-желтого твердого вещества (36 мг). МС, m/z (M+)=471,2272. Пример 65 1-Бензил-3-бутил-8-[4-(2,5-диоксопирролидин-1-ил)бензил]-3,7-дигидропурин-2,6-дион
К раствору 8-(4-аминобензил)-1-бензил-3-бутил-3,7-дигидропурин-2,6-диона (60 мг) (полученного, как описано в примере 64) в N,N-диметилформамиде (2 мл) добавляют сукциновый ангидрид (фирмы Aldrich) (20 мг) и смесь перемешивают при к.т. под аргоном в течение 48 ч. Реакционную смесь концентрируют в вакууме и к остатку добавляют ацетилхлорид (фирмы Aldrich) (2 мл). После перемешивания при к.т. в течение дополнительных 70 ч в реакционную смесь осторожно добавляют насыщенный водный бикарбонат натрия (5 мл). Смесь выливают в воду и экстрагируют этилацетатом. Объединенные органические экстракты промывают солевым раствором, сушат (сульфатом натрия) и концентрируют в вакууме. Очистка кристаллизацией из метанола/воды приводит желаемому продукту в виде бледно-желтого твердого вещества (36%). Т.пл.=208-212°С. МС, m/z (M+)=485,2064. Пример 66 1H-[1,2,4]Триазол-3-карбоновой кислоты {4-[3-бутил-1-(2-фторбензил)-2,6-диоксо-2,3,6,7-тетрагидро-1H-пурин-8-илметил]фенил}амид, соединенный с трифторуксусной кислотой Стадия 1: Получение метилового эфира 1-тритил-1Н-[1,2,4]триазол-3-карбоновой кислоты
Раствор метилового эфира 1Н-[1,2,4]триазол-3-карбоновой кислоты (3,0 г, 0,023 моль) в N,N-диметилформамиде при 25°С обрабатывают трифенилметилхлоридом (7,2 г, 0,025 моль) и триэтиламином (6,41 мл, 0,046 моль). Реакционную смесь перемешивают при 25°С в течение 4 суток. После этого реакцию концентрируют в вакууме. Остаток разбавляют этилацетатом и затем промывают разбавленным 1 н. водным раствором соляной кислоты и насыщенным водным раствором хлорида натрия. Органические слои сушат над сульфатом магния, отфильтровывают и концентрируют в вакууме. Полученное твердое вещество разбавляют простым эфиром, собирают фильтрованием, промывают эфиром и высушивают в вакууме с получением метилового эфира 1-тритил-1Н-[1,2,4]триазол-3-карбоновой кислоты (2,45 г, 84%) в виде белого твердого вещества: бомбардировка быстрыми атомами низкого разрешения (LR-FAB) для C23H19N3O2 (M+H)+ при m/z=370. Стадия 2: Получение 1-тритил-1H-[1,2,4]триазол-3-карбоновой кислоты
Смесь метилового эфира 1-тритил-1H-[1,2,4]триазол-3-карбоновой кислоты (500 мг, 1,35 ммоль) в метаноле при 25°С обрабатывают 1 н. водным раствором гидроксида натрия (4,0 мл). Реакцию перемешивают при 25°С в течение 24 ч. После этого реакционную смесь выливают в воду (100 мл) и подкисляют 1 н. водным раствором соляной кислоты. Раствор экстрагируют этилацетатом (2×150 мл). Органические слои промывают насыщенным водным раствором хлорида натрия (1×150 мл), сушат над сульфатом магния, отфильтровывают и концентрируют в вакууме с получением 1-тритил-1H-[1,2,4]триазол-3-карбоновой кислоты (326 мг, 67%) в виде белого твердого вещества: 1Н ЯМР (ДМСО-d6, 300 МГц): (8,37 (s, 1H), 7,39 (m, 9H), 7,05 (m, 6H), 3,82 (s, 3H). Стадия 3: Получение 1-тритил-1Н-[1,2,4]триазол-3-карбоновой кислоты (4-{[6-амино-1-бутил-3-(2-фторбензил)-2,4-диоксо-1,2,3,4-тетрагидропиримидин-5-илкарбамоил]метил}фенил)амида Раствор 1-тритил-1Н-[1,2,4]триазол-3-карбоновой кислоты (51 мг, 0,65 ммоль) в N,N-диметилформамиде (0,8 мл) при 25°С обрабатывают гидратом 1-гидроксибензотриазола (19,3 мг, 0,14 ммоль) и гексафторфосфатом O-бензотриазол-1-ил-N,N,N’N’-тетраметилурония (54 мг, 0,14 ммоль). Полученную смесь охлаждают до 0°С и затем обрабатывают солянокислой солью N-[6-амино-1-бутил-3-(2-фторбензил)-2,4-диоксо-1,2,3,4-тетрагидропиримидин-5-ил]-2-(4-аминофенил)ацетамида (62 мг, 0,13 ммоль) и N,N-диизопропилэтиламином (0,11 мл, 0,65 ммоль). Реакцию перемешивают при 0°С в течение 1 ч и затем при 25°С в течение 4,5 ч. После этого реакцию концентрируют в вакууме. Остаток растворяют в дихлорметане (50 мл) и промывают насыщенным водным раствором бикарбоната натрия (1×15 мл) и насыщенным водным раствором хлорида натрия (1×20 мл). Органические слои сушат над сульфатом магния, отфильтровывают и концентрируют в вакууме. Экспресс-хроматография (силикагель 60 фирмы Merck, 230-400 меш, 93:7 дихлорметан/метанол) приводит к (4-{[6-амино-1-бутил-3-(2-фторбензил)-2,4-диоксо-1,2,3,4-тетрагидропиримидин-5-илкарбамоил]метил}фенил)амиду 1-тритил-1H-[1,2,4]триазол-3-карбоновой кислоты (67,9 мг, 68%) в виде бледно-желтого твердого вещества: FAB-HRMS m/e рассчитано для C45H41N8O4F (M+Na)+ 799,3133, обнаружено 799,3113. Стадия 4: Получение {4-[3-бутил-1-(2-фторбензил)-2,6-диоксо-2,3,6,7-тетрагидро-1Н-пурин-8-илметил]фенил}амида 1-тритил-1Н-[1,2,4]триазол-3-карбоновой кислоты Раствор (4-{[6-амино-1-бутил-3-(2-фторбензил)-2,4-диоксо-1,2,3,4-тетрагидропиримидин-5-илкарбамоил]метил}фенил)амида 1-тритил-1H-[1,2,4]триазол-3-карбоновой кислоты (70 мг, 0,09 ммоль) в метаноле (3,0 мл), нагретый до 50°С, обрабатывают 10% водным раствором гидроксида натрия (1,08 мл). Реакционную смесь нагревают при 50°С в течение 4 ч. После этого реакцию обрабатывают 3 н. водным раствором соляной кислоты (0,9 мл). Данный раствор перемешивают при 25°С в течение 30 мин. Полученное твердое вещество собирают фильтрованием, промывают водой и высушивают в вакууме с получением {4-[3-бутил-1-(2-фторбензил)-2,6-диоксо-2,3,6,7-тетрагидро-1Н-пурин-8-илметил]фенил}амида 1-тритил-1Н-[1,2,4]триазол-3-карбоновой кислоты (41,3 мг, 60,5%) в виде твердого вещества бледно-желтого цвета: EI-HRMS m/e рассчитано для С45Н39N8O3F (M+Na)+ 781,3027, обнаружено 781,3039. Стадия 5: Получение {4-[3-бутил-1-(2-фторбензил)-2,6-диоксо-2,3,6,7-тетрагидро-1H-пурин-8-илметил]фенил}амида 1H-[1,2,4]триазол-3-карбоновой кислоты, соединенного с трифторуксусной кислотой Раствор {4-[3-бутил-1-(2-фторбензил)-2,6-диоксо-2,3,6,7-тетрагидро-1H-пурин-8-илметил]-фенил}амида 1-тритил-1Н-[1,2,4]триазол-3-карбоновой кислоты (15 мг, 0,02 ммоль) в дихлорметане (1,0 мл) при 25°С обрабатывают трифторуксусной кислотой (1,0 мл). Полученный раствор перемешивают при 25°С в течение 45 мин. После этого реакционную смесь обрабатывают триэтилсиланом (0,003 мл, 0,02 ммоль). Этот раствор перемешивают при 25°С в течение 5 мин и затем концентрируют в вакууме. Полученный остаток очищают при помощи ЖХВД (20-90% ацетонитрил/вода (0,075% трифторуксусной кислоты в обоих растворителях) в течение 30 мин). Фракции целевого продукта сушат вымораживанием и получают {4-[3-бутил-1-(2-фторбензил)-2,6-диоксо-2,3,6,7-тетрагидро-1H-пурин-8-илметил]фенил}амид 1H-[1,2,4]триазол-3-карбоновой кислоты, соединенный с трифторуксусной кислотой (4,5 мг, 40%), в виде белого рыхлого вещества: EI-HRMS m/e рассчитано для C26H25N8O3F (M+) 516,2033, обнаружено 516,2027. Пример 67 {4-[3-бутил-1-(2-фторбензил)-2,6-диоксо-2,3,6,7-тетрагидро-1H-пурин-8-илметил]фенил}амид 1H-имидазол-4-карбоновой кислоты, соединенный с трифторуксусной кислоты Стадия 1: Получение метилового эфира 1-тритил-1H-имидазол-4-карбоновой кислоты
Раствор метилового эфира 1H-имидазол-4-карбоновой кислоты (1,0 г, 7,93 ммоль) в N,N-диметилформамиде при 25°С обрабатывают триэтиламином (2,2 мл, 15,86 ммоль) и трифенилметилхлоридом (2,43 г, 8,72 ммоль). Реакционную смесь перемешивают при 25°С в течение 8 ч и затем концентрируют в вакууме. Остаток разбавляют этилацетатом и затем промывают водой, 1 н. водным раствором соляной кислоты, водой и насыщенным водным раствором хлорида натрия. Органические слои сушат над сульфатом магния, отфильтровывают и концентрируют в вакууме. Экспресс-хроматография (силикагель 60 фирмы Merck, 230-400 меш, 50:50 этилацетат/петролейный эфир) приводит к метиловому эфиру 1-тритил-1H-имидазол-4-карбоновой кислоты (2,88 г, 98,6%) в виде белой пены: 1Н ЯМР (ДМСО-d6, 300 МГц): (7,56 (s, 1H), 7,47 (m, 10Н), 7,09 (m, 6H), 3,69 (s, 3Н). Стадия 2: Получение 1-тритил-1H-имидазол-4-карбоновой кислоты
Раствор метилового эфира 1-тритил-1H-имидазол-4-карбоновой кислоты (1,75 г, 4,60 ммоль) в метаноле (50 мл) при 25°С обрабатывают 1 н. водным раствором гидроксида натрия (13,8 мл, 13,8 ммоль). Реакционную смесь перемешивают при 25°С в течение 18 ч и затем нагревают до 50°С в течение 1,5 ч. После этого реакцию охлаждают до 25°С и разбавляют водой (150 мл). Водный слой доводят до рН 1 обработкой 1 н. водным раствором соляной кислоты и затем разбавляют этилацетатом (250 мл). Полученный выпавший в осадок продукт собирают фильтрованием. Фильтрат экстрагируют этилацетатом (1×150 мл). Объединенные органические экстракты промывают затем насыщенным водным раствором хлорида натрия (1×100 мл), сушат над сульфатом магния, отфильтровывают и концентрируют в вакууме. Объединяют две порции продукта и получают 1-тритил-1H-имидазол-4-карбоновую кислоту (1,55 г, 95,1%) в виде белого твердого вещества: LR-MS для C23H18N2O2 (M+H)+ при m/z=355. Стадия 3: Получение (4-{[6-амино-1-бутил-3-(2-фторбензил)-2,4-диоксо-1,2,3,4-тетрагидропиримидин-5-илкарбамоил]метил} фенил)амида 1-тритил-1H-имидазол-4-карбоновой кислоты Раствор 1-тритил-1H-имидазол-4-карбоновой кислоты (67 мг, 0,19 ммоль) в N,N-диметилформамиде (1,0 мл) при 25°С обрабатывают гидратом 1-гидроксибензотриазола (25,4 мг, 0,19 ммоль) и гексафторфосфатом O-бензотриазол-1-ил-N,N,N’,N’-тетраметилурония (71 мг, 0,19 ммоль). Этот раствор охлаждают до 0°С и затем обрабатывают солянокислой солью N-[6-амино-1-бутил-3-(2-фтор-бензил)-2,4-диоксо-1,2,3,4-тетрагидропиримидин-5-ил]-2-(4-аминофенил)ацетамида (81,5 мг, 0,17 ммоль) и N,N-диизопропилэтиламином (0,15 мл, 0,85 ммоль). Реакционную смесь перемешивают при 0°С в течение 1 ч и затем при 25°С в течение 4 ч. После этого реакцию концентрируют в вакууме. Остаток растворяют в этилацетате (100 мл) и промывают насыщенным водным раствором бикарбоната натрия (1×25 мл). Некоторые оставшиеся твердые вещества удаляют фильтрацией. Фильтрат промывают насыщенным водным раствором хлорида натрия. Органические слои сушат над сульфатом магния, фильтруют и концентрируют в вакууме с получением (4-{[6-амино-1-бутил-3-(2-фторбензил)-2,4-диоксо-1,2,3,4-тетрагидропиримидин-5-илкарбамоил]метил}-фенил)амида 1-тритил-1H-имидазол-4-карбоновой кислоты (147 мг, количественный выход) в виде бледно-желтой пены: LR-MS для C23H18N2O2 (М-Н)+ при m/z=353. Стадия 4: Получение {4-[3-бутил-1-(2-фторбензил)-2,6-диоксо-2,3,6,7-тетрагидро-1Н-пурин-8-илметил]фенил}амида 1-тритил-1Н-имидазол-4-карбоновой кислоты Раствор (4-{[6-амино-1-бутил-3-(2-фторбензил)-2,4-диоксо-1,2,3,4-тетрагидропиримидин-5-илкарбамоил]метил}фенил)амида 1-тритил-1Н-имидазол-4-карбоновой кислоты (68,5 мг, 0,09 ммоль) в метаноле (2,0 мл) при 25°С обрабатывают 10% водным раствором гидроксида натрия (1,06 мл, 0,26 ммоль). Затем реакционную смесь нагревают до 50°С в течение 1 ч. После этого добавляют еще метанол (1,0 мл). Реакцию продолжают при 50°С в течение 2,5 ч, после чего обрабатывают 3 н. водным раствором соляной кислоты (0,88 мл) и перемешивают 10 мин. Полученное твердое вещество собирают фильтрованием, промывают водой и высушивают под вакуумом с получением {4-[3-бутил-1-(2-фторбензил)-2,6-диоксо-2,3,6,7-тетрагидро-1Н-пурин-8-илметил]фенил}амида 1-тритил-1H-имидазол-4-карбоновой кислоты (46,6 мг, 69,6%): EI-HRMS m/e рассчитано для C46H40N7O3F (M+) 757,3177, обнаружено 757,3160. Стадия 5: Получение {4-[3-бутил-1-(2-фторбензил)-2,6-диоксо-2,3,6,7-тетрагидро-1H-пурин-8-илметил]фенил}амида 1H-имидазол-4-карбоновой кислоты, соединенного с трифторуксусной кислотой Раствор {4-[3-бутил-1-(2-фторбензил)-2,6-диоксо-2,3,6,7-тетрагидро-1Н-пурин-8-илметил]-фенил}амида 1-тритил-1Н-имидазол-4-карбоновой кислоты (46 мг, 0,06 ммоль) в дихлорметане (1,0 мл) при 25°С обрабатывают трифторуксусной кислотой (1,0 мл). Реакционную смесь перемешивают при 25°С в течение 30 мин. После этого реакцию обрабатывают триэтилсиланом (20 мкл, 0,12 ммоль) и затем концентрируют в вакууме. Полученный остаток очищают при помощи ЖХВД (20-95% ацетонитрил/вода (0,075% трифторуксусной кислоты в обоих растворителях) в течение 20 мин). Фракции, содержащие требуемый продукт, сушат вымораживанием и получают {4-[3-бутил-1-(2-фторбензил)-2,6-диоксо-2,3,6,7-тетрагидро-1Н-пурин-8-илметил]фенил}амид 1Н-имидазол-4-карбоновой кислоты, соединенный с трифторуксусной кислотой (27,8 мг, 74%) в виде белого твердого вещества: EI-HRMS m/e рассчитано для C27H26N7O3F (M+) 515,2081, обнаружено 515,2083. Пример 68 N-{4-[3-Бутил-1-(2-фторбензил)-2,6-диоксо-2,3,6,7-тетрагидро-1H-пурин-8-илметил]фенил}-3,4-диметоксибензамид К раствору 8-(4-аминобензил)-3-бутил-1-(2-фторбензил)-3,7-дигидропурин-2,6-диона (полученного, как описано в Примере 72) в пиридине (1 мл) добавляют 3,4-диметоксибензоилхлорид (фирмы Aldrich) (13 мг, 0,06 ммоль). Реакционную смесь перемешивают при к.т. в течение 1 ч и затем концентрируют при пониженном давлении. Остаток очищают обращенной ЖХВД и получают продукт. LCMS, m/z (M+H)=586,33. Пример 69 {4-[3-бутил-1-(2-фторбензил)-2,6-диоксо-2,3,6,7-тетрагидро-1H-пурин-8-илметил]фенил}амид 3-хлор-4-(пропан-2-сульфонил)тиофен-2-карбоновой кислоты Данное соединение получают методом, подобным методу, описанному в примере 68, за исключением того, что вместо 3,4-диметоксибензоилхлорида используют 3-хлор-4-(пропан-2-сульфонил)тиофен-2-карбонил хлорид (фирмы Maybridge International). LCMS, m/z (M+H)=671,99. Пример 70 {4-[3-циклопропилметил-1-(2-фторбензил)-2,6-диоксо-2,3,6,7-тетрагидро-1H-пурин-8-илметил]-фенил}амид 1-метил-1H-пиразол-4-карбоновой кислоты Стадия 1: Получение этилового эфира 1-метил-1H-пиразол-4-карбоновой кислоты
Смесь гидрида натрия (3,24 г, 12,84 ммоль) в тетрагидрофуране (35 мл) охлаждают до 0°С и обрабатывают раствором этилового эфира 1H-пиразол-4-карбоновой кислоты (1,5 г, 10,7 ммоль) в тетрагидрофуране (10 мл). Реакционную смесь нагревают до 25°С и перемешивают при 25°С в течение 1 ч. После этого реакцию обрабатывают метил йодидом (1,0 мл, 16,05 ммоль) и затем перемешивают при 25°С в течение 18 ч. Затем реакцию охлаждают до 0°С и обрабатывают насыщенным водным раствором хлорида аммония. Полученную смесь разбавляют этилацетатом (150 мл). Этот раствор промывают водой (1×50 мл) и насыщенным водным раствором хлорида натрия (1×50 мл), сушат над сульфатом магния, отфильтровывают и концентрируют в вакууме с получением этилового эфира 1-метил-1H-пиразол-4-карбоновой кислоты (1,48 г, 89,7%) в виде желтого масла: 1H ЯМР (ДМСО-d6, 300 МГц): (8,27 (s, 1H), 7,80 (s, 1H), 4,18 (q, J=7,32 Гц, 2Н), 3,84 (s, 3Н), 1,24 (t, J=6,96 Гц, 3Н). Стадия 2: Получение 1-метил-1H-пиразол-4-карбоновой кислоты
Раствор этилового эфира 1-метил-1Н-пиразол-4-карбоновой кислоты (480 мг, 3,1 ммоль) в этаноле охлаждают до 0°С и обрабатывают 1 н. водным раствором гидроксида натрия (9,3 мл, 9,3 ммоль). Реакционную смесь перемешивают при 25°С в течение 18 ч. После этого реакцию концентрируют в вакууме и затем подкисляют до рН 2 при помощи 1 н. водного раствора соляной кислоты. Продукт экстрагируют в этилацетат (2×50 мл). Органические слои промывают насыщенным водным раствором хлорида натрия (1×25 мл), сушат над сульфатом магния, отфильтровывают и высушивают в вакууме с получением 1-метил-1H-пиразол-4-карбоновой кислоты (293 мг, 74,6%) в виде белого твердого вещества: EI-HRMS m/e рассчитано для C5H6N2O2 (М+) 126,0429, обнаружено 126,0429. Стадия 3: Получение {4-[3-циклопропилметил-1-(2-фторбензил)-2,6-диоксо-2,3,6,7-тетрагидро-1H-пурин-8-илметил]фенил}амида 1-метил-1H-пиразол-4-карбоновой кислоты Раствор 8-(4-аминобензил)-3-циклопропилметил-1-(2-фторбензил)-3,7-дигидропурин-2,6-диона (50 мг, 0,12 ммоль) в N,N-диметилформамиде при 25°С обрабатывают раствором 1-метил-1H-пиразол-4-карбоновой кислоты (15 мг, 0,12 ммоль), гексафторфосфатом О-бензотриазол-1-ил-N,N,N’,N’-тетраметилурония (49,7 мг, 0,13 ммоль) и N,N-диизопропилэтиламином (62 мкл, 0,36 ммоль). Полученный раствор перемешивают при 25°С в течение 18 ч. После этого реакцию концентрируют в вакууме. Остаток растворяют в хлороформе и затем промывают 1 н. водным раствором соляной кислоты (1×10 мл) и насыщенным водным раствором хлорида натрия (1×10 мл). Органические слои сушат над сульфатом магния, отфильтровывают и концентрируют в вакууме. Экспресс-хроматография (силикагель 60 фирмы Merck, 230-400 меш, 5:95 метанол/дихлорметан) приводит к {4-[3-циклопропилметил-1-(2-фторбензил)-2,6-диоксо-2,3,6,7-тетрагидро-1H-пурин-8-илметил]-фенил}амиду 1-метил-1Н-пиразол-4-карбоновой кислоты (13,5 мг, 21,5%) в виде твердого вещества желтовато-коричневого цвета: EI-HRMS m/e рассчитано для С28Н26Н7O3 (М+) 527,2081, обнаружено 527,2083. Пример 71 N-{4-[3-Циклопропилметил-1-(2-фторбензил)-2,6-диоксо-2,3,6,7-тетрагидро-1H-пурин-8-илметил]-фенил}-2-диметиламиноацетамид, соединенный с трифторуксусной кислотой Раствор 8-(4-аминобензил)-3-циклопропилметил-1-(2-фторбензил)-3,7-дигидропурин-2,6-диона (45 мг, 0,11 ммоль) в N,N-диметилформамиде (1,0 мл) при 25°С обрабатывают диметиламиноуксусной кислотой (11 мг, 0,11 ммоль), гексафторфосфатом O-бензотриазол-1-ил-N,N,N’,N’-тетраметилурония (45 мг, 0,12 ммоль) и N,N-диизопропилэтиламином (56 мкл, 0,32 ммоль). Полученный раствор перемешивают при 25°С в течение 48 ч. После этого реакцию концентрируют в вакууме. Остаток растворяют в хлороформе и затем промывают насыщенным водным раствором хлорида натрия (1×10 мл). Органические слои сушат над сульфатом магния, отфильтровывают и концентрируют в вакууме. Полученный остаток очищают при помощи ЖХВД (15-60% ацетонитрил/вода/0,075% трифторуксусная кислота в течение 30 мин). Фракции желаемого продукта объединяют и концентрируют в вакууме. Полученный остаток разбавляют дихлорметаном (100 мл) и промывают насыщенным водным раствором бикарбоната натрия (25 мл). Водный слой повторно экстрагируют дихлорметаном (1×50 мл). Объединенные органические слои сушат над сульфатом магния, отфильтровывают и концентрируют в вакууме. Полученное твердое вещество сушат в вакууме в течение 24 ч и получают Н-{4-[3-циклопропилметил-1-(2-фторбензил)-2,6-диоксо-2,3,6,7-тетрагидро-1Н-пурин-8-илметил] фенил}-2-диметиламиноацетамид (24 мг, 44,3%) в виде грязно-белого твердого вещества: LR-MS для С27Н29FN6О3 (М+Н)+ при m/z=505. Пример 72 {4-[3-Бутил-1-(2-фторбензил)-2,6-диоксо-2,3,6,7-тетрагидро-1H-пурин-8-илметил]фенил}мочевина Данное соединение получено согласно путям синтеза, изображенного на схемах 5, 6 и 11. Стадия 1: Получение 1-бутил-3-(2-фторбензил)-6-[2-(4-нитрофенил)этиламино]-1H-пиримидин-2,4-диона. Данное соединение получают из 1-бутил-6-хлор-3-(2-фторбензил)-1H-пиримидин-2,4-диона методом, подобным описанному в примере 11 (метод 2), за исключением того, что вместо N-[4-(2-аминоэтил)фенил]ацетамида используют солянокислую соль 2-(4-нитрофенил)этиламина. Смесь солянокислой соли 2-(4-нитрофенил)этиламина (фирмы Fluka) (7,85 г, 38,7 ммоль), 1-бутил-6-хлор-3-(2-фторбензил)-1H-пиримидин-2,4-диона (8,0 г, 25,8 ммоль) и триэтиламина (10,7 мл, 77 ммоль) в N-метилпирролидин-2-оне (200 мл) перемешивают при 75°С в течение 16 часов. Затем реакционную смесь смешивают с водой и экстрагируют этилацетатом (3 раза). Объединенные слои этилацетата сушат (сульфат магния) и концентрируют. После колоночной хроматографии получают 1-бутил-3-(2-фторбензил)-6-[2-(4-нитрофенил)этиламино]-1H-пиримидин-2,4-дион (4,7 г, 41%) в виде твердого вещества. 1H ЯМР (CDCl3, 200 МГц): Стадия 2: Получение 3-бутил-1-(2-фторбензил)-8-(4-нитробензил)-3,7-дигидропурин-2,6-диона.
1-Бутил-3-(2-фторбензил)-6-[2-(4-нитрофенил)этиламино]-1H-пиримидин-2,4-дион (2,3 г, 5,2 ммоль) растворяют в этаноле (20 мл) и обрабатывают изоамилнитритом (фирмы Aldrich) (3,6 мл, 26 ммоль). В реакционную смесь добавляют концентрированную водную соляную кислоту (1 мл). Реакционную смесь перемешивают при 23°С в течение 40 мин. Этанол удаляют при пониженном давлении и остаток промывают простым диэтиловым эфиром. Затем остаток твердого вещества растворяют в н-бутаноле (15 мл) и смесь кипятят с обратным холодильником в течение 30 мин. После охлаждения до к.т. выделяют 1-бутил-3-(2-фторбензил)-6-[2-(4-нитрофенил)этиламино]-1H-пиримидин-2,4-дион в виде бледно-желтых кристаллов, которые собирают фильтрацией (1,91 г, 81%). LCMS, m/z (M+H)=452,24. Стадия 3: Получение 8-(4-аминобензил)-3-бутил-1-(2-фторбензил)-3,7-дигидропурин-2,6-диона.
1-Бутил-3-(2-фторбензил)-6-[2-(4-нитрофенил)этиламино]-1H-пиримидин-2,4-дион (2,0 г, 4,46 ммоль) растворяют в метаноле (100 мл) и обрабатывают цинковой пылью (<10 мкм, фирмы Aldrich; 2,91 г) с последующим добавлением раствора хлорида аммония (5,96 г, 112 ммоль) в воде (50 мл). Реакционную смесь перемешивают при к.т. в течение 3 ч. Затем реакционную смесь фильтруют через слой цеолита. Фильтрат концентрируют для удаления метанола и оставшийся водный раствор экстрагируют этилацетатом (3 раза). Объединенные органические экстракты промывают солевым раствором, сушат (сульфатом натрия) и концентрируют в вакууме с получением 8-(4-аминобензил)-3-бутил-1-(2-фторбензил)-3,7-дигидропурин-2,6-диона в виде твердого вещества бледно-желтого цвета (1,64 г, 87%). LCMS, m/z (M+H)=422,18. Стадия 4: Получение {4-[3-Бутил-1-(2-фторбензил)-2,6-диоксо-2,3,6,7-тетрагидро-1H-пурин-8-илметил]фенил}мочевины. 8-(4-Аминобензил)-3-бутил-1-(2-фторбензил)-3,7-дигидропурин-2,6-дион (25 мг, 0,06 ммоль) растворяют в смеси 95:5 дихлорметан/N,N-диметилформамид (2 мл) и обрабатывают триметилсилилизоцианатом (фирмы Aldrich) (47 мкл, 0,3 ммоль). Реакционную смесь перемешивают при к.т. в течение 18 ч. Затем реакцию упаривают при пониженном давлении и остаток очищают при помощи обращенной ЖХВД с получением желаемого продукта. LCMS, m/z (M+H)=464,98. Пример 73 1-{4-[3-Циклопропилметил-1-(2-фторбензил)-2,6-диоксо-2,3,6,7-тетрагидро-1H-пурин-8-илметил]-фенил}-3-(2,6-дихлорпиридин-4-ил)мочевина Данное соединение получают методом, подобным методу, описанному в примере 72, за исключением того, что вместо 1-йодбутана используют циклопропилметилбромид (фирмы Lancaster), а вместо триметилсилилизоцианата используют 2,6-дихлор-4-изоцианатопиридин (фирмы Maybridge International) в присутствии диизопропилэтиламина (1,3 экв.). LCMS, m/z (M+H)=608,08. Пример 74 1-{4-[3-Циклопропилметил-1-(2-фторбензил)-2,6-диоксо-2,3,6,7-тетрагидро-1H-пурин-8-илметил]-фенил}-3-(3,5-диметил-1-фенил-1H-пиразол-4-ил)мочевина Данное соединение получают методом, подобным методу, описанному в примере 72, за исключением того, что вместо 2,6-дихлор-4-изоцианатопиридина используют 4-изоцианато-3,5-диметил-1-фенил-1H-пиразол (фирмы Chembridge), LCMS, m/z (M+H)=633,22. Пример 75 8-[4-(4-трет-бутоксиметил-2,5-диоксоимидазолидин-1-ил)бензил]-3-циклопропилметил-1-(2-фторбензил)-3,7-дигидропурин-2,6-дион Данное соединение получают методом, изображенным на схеме 12. 8-(4-Аминобензил)-3-циклопропилметил-1-(2-фторбензил)-3,7-дигидропурин-2,6-дион (100 мг, 0,24 ммоль) растворяют в N,N-диметилформамиде (5 мл) и обрабатывают 2S-3-трет-бутокси-2-(9H-флуорен-9-илметоксикарбониламино)пропионовой кислотой (фирмы Bachem) (96 мг, 0,25 ммоль), гексафторфосфатом бензотриазол-1-илокси-трис-(пирролидино)фосфония (фирмы AdvancedChemtech) (248 мг, 0,48 ммоль) и диизопропилэтиламином (131 мкл, 0,75 ммоль). Реакционную смесь перемешивают при 23°С в течение 3 ч и затем смешивают с водой и экстрагируют этилацетатом (3 раза). Объединенные слои этилацетата высушивают (сульфат натрия) и концентрируют в вакууме досуха. Затем полученный остаток растворяют в 20% пиперазине в дихлорметане (5 мл) и перемешивают в течение 1 ч при к.т. Реакцию смешивают с водой и экстрагируют этилацетатом. Органический раствор высушивают (сульфат натрия) и упаривают. Хроматография с использованием силикагеля при элюировании смесью 10% метанол/дихлорметан приводит к чистому промежуточному [8-(4-Аминобензил)-3-циклопропилметил-1-(2-фторбензил)-3,7-дигидропурин-2,6-дион получают методом, подобным описанному в Примере 71, за исключением того, что вместо 1-бутил-6-хлор-3-(2-фторбензил)-1H-пиримидин-2,4-диона используют 6-хлор-1-циклопропилметил-3-(2-фторбензил)-1H-пиримидин-2,4-дион. [6-Хлор-1-циклопропилметил-3-(2-фторбензил)-1H-пиримидин-2,4-дион получают методом, подобным описанному в Примере 11 (метод 2), за исключением того, что вместо бутилйодида используют циклопропилметилбромид.] Пример 76 3-Циклопропилметил-1-(2-фторбензил)-8-[4-(4-(S)-гидроксиметил-2,5-диоксоимидазолидин-1-ил)-бензил]-3,7-дигидропурин-2,6-дион
8-[4-(4-трет-Бутоксиметил-2,5-диоксоимидазолидин-1-ил)-бензил]-3-циклопропилметил-1-(2-фторбензил)-3,7-дигидропурин-2,6-дион обрабатывают трифторуксусной кислотой (2 мл). После перемешивания при к.т. в течение 2 ч реакционную смесь упаривают и остаток очищают при помощи ЖХВД с обращенной фазой. LCMS, m/z (M+H)=533,12. Пример 77 N-{3-Ацетиламино-4-[3-бутил-1-(2-фторбензил)-2,6-диоксо-2,3,6,7-тетрагидро-1H-пурин-8-илметил]-фенил}ацетамид
Данное соединение получают методом, подобным методу, описанному в примере 11, за исключением того, что вместо 4-ацетиламинофенилуксусной кислоты используют (2,4-бис-ацетиламинофенил)уксусную кислоту. МС, m/z (M+H)=521,2307. [(2,4-Бис-ацетиламинофенил)уксусную кислоту получают из 2,4-динитрофенилуксусной кислоты путем восстановления нитрогруппы с помощью 10 экв. цинковой пыли (с размером частиц <10 мкм) и 15 экв. хлорида аммония в смеси 2:1 метанол/вода, с последующим ацетилированием уксусным ангидридом в смеси 20:1 ацетонитрил/вода.] Пример 78 N-{5-Амино-2-[3-бутил-1-(2-фторбензил)-2,6-диоксо-2,3,6,7-тетрагидро-1H-пурин-8-илметил]фенил}-ацетамид
Получен из N-{3-ацетиламино-4-[3-бутил-1-(2-фторбензил)-2,6-диоксо-2,3,6,7-тетрагидро-1H-пурин-8-илметил]фенил}ацетамида кипячением с 20% водным гидроксидом калия. Продукт очищают хроматографией на силикагеле при элюировании смесью 92:8 хлороформ/метанол. МС, m/z (M+)=478,2132. Пример 79 {4-[3-Циклопропилметил-1-(2-фторбензил)-2,6-диоксо-2,3,6,7-тетрагидро-1H-пурин-8-илметил]-фенил}метиламид 6-ацетиламинопиридин-2-карбоновой кислоты Данное соединение получают в соответствии с методом, показанным на схеме 13. Стадия 1: Получение 3-циклопропилметил-8-[4-(метиламино)бензил]-1-(2-фторбензил)-3,7-дигидропурин-2,6-диона.
К суспензии 10% палладия на угле (0,50 г) в тетрагидрофуране (тетрагидрофуран) (500 мл) добавляют 3-циклопропилметил-8-[4-аминобензил]-1-(2-фторбензил)-3,7-дигидропурин-2,6-дион (полученный, как описано в Примере 63) (2,10 г, 5,00 ммоль) и 37% водный раствор формальдегида (237 мкл, 8,5 ммоль). Смесь встряхивают в атмосфере водорода при давлении 1 атм. и температуре окружающей среды в течение 63 часов. Катализатор удаляют фильтрацией через целит, промывают слой фильтра тетрагидрофураном и метанолом. Объединенный фильтрат концентрируют в вакууме и остаток очищают хроматографией с использованием силикагеля при элюировании смесью 1:2 гексан/этилацетат. Концентрирование соответствующих фракций приводит к продукту в виде бесцветного твердого вещества (1,40 г, 65%). МС, m/z (M+H)=434. Стадия 2: Получение 6-ацетиламинопиридин-2-карбоновой кислоты {4-[3-циклопропилметил-1-(2-фторбензил)-2,6-диоксо-2,3,6,7-тетрагидро-1H-пурин-8-илметил]фенил}метиламида. N-Ацетил-6-амино-пиридин-2-карбоновой кислоты (12,4 мг, 0,069 ммоль) помещают в колбу и добавляют сухой дихлорметан (1 мл). Полученную суспензию перемешивают в ледяной водяной бане и добавляют PPh3 (18,5 мг, 0,071 ммоль), а затем N-хлорсукцинимид (8,9 мг, 0,067 ммоль). Смесь перемешивают в охлаждающей бане в течение 1/2 ч и затем убирают охлаждающую баню. После перемешивания при к.т. в течение 15 мин добавляют 3-циклопропилметил-8-[4-(метиламино)-бензил]-1-(2-фторбензил)-3,7-дигидропурин-2,6-дион (57,7 мг, 0,131 ммоль). Реакционную смесь затем перемешивают при к.т. в течение 48 ч. Твердые вещества отфильтровывают и промывают дихлорметаном, а фильтрат разбавляют дихлорметаном (20 мл) и промывают один раз насыщенным водным бикарбонатом натрия, сушат и упаривают с получением 55,6 мг желтой пены. Продукт очищают хроматографией с использованием силикагеля при элюировании смесью 96:4 хлороформ/метанол с получением восстановленного исходного вещества и указанного продукта (6,6 мг). МС, m/z (M+)=618,2237. [N-Ацетил-6-аминопиридин-2-карбоновая кислота получена из 2-амино-6-метилпиридина посредством ацетилирования уксусным ангидридом и последующего окисления перманганатом калия.] Пример 80 Бензиловый эфир [4-({4-[3-циклопропил-1-(2-фторбензил)-2,6-диоксо-2,3,6,7-тетрагидро-1H-пурин-8-илметил]фенил}метилкарбамоил)бензил]карбаминовой кислоты Данное соединение получают методом, подобным методу, описанному в примере 79, за исключением того, что вместо N-ацетил-6-амино-2-пиридин карбоновой кислоты используют N-карбобензилоксикарбонил-4-аминометилбензойную кислоту, 0,62 экв. 3-циклопропилметил-8-[4-(метиламино)бензил]-1-(2-фторбензил)-3,7-дигидропурин-2,6-диона, и 0,68 экв. 4-диметиламинопиридина добавляют в качестве конечных реагентов. Продукт очищают хроматографией с использованием силикагеля при элюировании смесью 95:5 хлороформ/метанол с последующей кристаллизацией из ацетонитрила. МС, наблюдается m/z (М+Н)=701,3 и m/z (M-H)=699,4. [N-Карбобензилоксикарбонил-4-аминометилбензойную кислоту получают из 4-аминометилбензойной кислоты (фирмы Aldrich) в соответствии с общей методикой М.Bergmann и соавт., изложенной в Вег., 1932, т.65, с.1192.] Пример 81 4-Аминометил-N-{4-[3-циклопропилметил-1-(2-фторбензил)-2,6-диоксо-2,3,6,7-тетрагидро-1H-пурин-8-илметил]фенил}-N-метилбензамид, соединенный с трифторуксусной кислотой Данное соединение получают гидрогенолизом бензилового эфира [4-({4-[3-циклопропил-1-(2-фторбензил)-2,6-диоксо-2,3,6,7-тетрагидро-1H-пурин-8-илметил]фенил}метилкарбамоил)бензил]карбаминовой кислоты с использованием 10% палладия на угле в абсолютном этаноле при давлении водорода 53 фунта/кв.дюйм. С помощью ЖХВД с обращенной фазой было выделено два продукта. Первым элюированным продуктом оказался 4-аминометил-N-{4-[3-циклопропилметил-1-(2-фторбензил)-2,6-диоксо-2,3,6,7-тетрагидро-1H-пурин-8-илметил]фенил}-N-метилбензамид, который был выделен в виде соли трифторуксусной кислоты. МС, m/z (M+H)=567,3. Пример 82 4-Аминометил-N-{4-[3-циклопропилметил-1-(2-фторбензил)-2,6-диоксо-2,3,6,7-тетрагидро-1H-пурин-8-илметил]фенил-4-этиламинометил-N-метилбензамид, соединенный с трифторуксусной кислотой Данное соединение получают, как описано в Примере 81. С помощью ЖХВД с обращенной фазой было выделено два продукта. Вторым элюированным продуктом оказался 4-аминометил-N-{4-[3-циклопропилметил-1-(2-фторбензил)-2,6-диоксо-2,3,6,7-тетрагидро-1H-пурин-8-илметил]фенил-4-этиламинометил-N-метилбензамид, который был выделен в виде соли трифторуксусной кислоты. МС, m/z (M+H)=595,3. Пример 83 Бензиловый эфир [({4-[3-циклопропилметил-1-(2-фторбензил)-2,6-диоксо-2,3,6,7-тетрагидро-1H-пурин-8-илметил]фенил}метилкарбамоил)фенилметил]карбаминовой кислоты Данное соединение получают методом, подобным методу, описанному в примере 79, за исключением того, что вместо N-ацетил-6-амино-2-пиридинкарбоновой кислоты используют имеющийся в продаже N-карбобензилоксикарбонил-D,L-фенилглицин. Реакцию проводят только с 0,67 экв. 3-циклопропилметил-8-[4-(метиламино)бензил]-1-(2-фторбензил)-3,7-дигидропурин-2,6-диона и с 0,74 экв. 4-диметиламинопиридина, которые добавляют в качестве конечных реагентов. Продукт очищают хроматографией с использованием силикагеля при элюировании смесью 97:3 хлороформ/метанол. МС, m/z (M+H)=701,4. Пример 84 2-Амино-N-{4-[3-циклопропилметил-1-(2-фторбензил)-2,6-диоксо-2,3,6,7-тетрагидро-1H-пурин-8-илметил]фенил}-N-метил-2-фенилацетамид Данное соединение получают методом, подобным методу, описанному в примере 81, за исключением того, что вместо бензилового эфира [4-({4-[3-циклопропил-1-(2-фторбензил)-2,6-диоксо-2,3,6,7-тетрагидро-1H-пурин-8-илметил]-фенил}метилкарбамоил)бензил]карбаминовой кислоты используют бензиловый эфир [({4-[3-циклопропилметил-1-(2-фторбензил)-2,6-диоксо-2,3,6,7-тетрагидро-1H-пурин-8-илметил]фенил}метилкарбамоил)фенилметил]карбаминовой кислоты. Продукт очищают хроматографией на силикагеле при элюировании смесью 92:8 хлороформ/метанол. МС, m/z (M+)=567,2496. Пример 85 N-{4-[3-Циклопропилметил-1-(2-фторбензил)-2,6-диоксо-2,3,6,7-тетрагидро-1H-пурин-8-илметил]фенил}-5,N-диметил-никотинамид Данное соединение получают методом, подобным методу, описанному в примере 79, за исключением того, что вместо N-ацетил-6-амино-2-пиридин карбоновой кислоты используют 5-метилникотиновую кислоту (фирмы Lancaster) и 2 экв. 3-циклопропилметил-8-[4-(метиламино)бензил]-1-(2-фторбензил)-3,7-дигидропурин-2,6-диона. Продукт очищают хроматографией на силикагеле при элюировании смесью 96:4 хлороформ/метанол. МС, m/z (M+) 553,2365. Пример 86 N-{4-[3-Циклопропилметил-1-(2-фторбензил)-2,6-диоксо-2,3,6,7-тетрагидро-1H-пурин-8-илметил]фенил}-6,N-диметилникотинамид Данное соединение получают методом, подобным методу, описанному в примере 79, за исключением того, что вместо N-ацетил-6-амино-2-пиридинкарбоновой кислоты используют имеющуюся в продаже 6-метилникотиновую кислоту, и реакцию проводят с использованием 0,54 экв. 3-циклопропилметил-8-[4-(метиламино)бензил]-1-(2-фторбензил)-3,7-дигидропурин-2,6-диона и 1,2 экв. триэтиламина, которые добавляют в качестве конечных реагентов в реакционную смесь. Продукт очищают хроматографией на силикагеле при элюировании смесью 95:5 хлороформ/метанол и последующей кристаллизацией из ацетонитрила. МС, m/z (M+)=553,2365. Пример 87 N-{4-[3-Бутил-1-(2-фторбензил)-2,6-диоксо-2,3,6,7-тетрагидро-1H-пурин-8-илметил]фенил}-6,N-диметилникотинамид Данное соединение получают с помощью методов, изображенных на схемах 4 и 13. Стадия 1: Получение 8-(4-аминобензил)-3-бутил-1-(2-фторбензил)-3,7-дигидропурин-2,6-диона.
Данное соединение получают методом, подобным методу, описанному в примере 11 (метод 1), за исключением того, что вместо (4-ацетиламинофенил)уксусной кислоты используют [4-(2,2,2-трифторацетиламино)фенил]уксусную кислоту (полученную методом К.D.Janda и соавт., как описано в J. Amer. Chem. Soc., 1991, т.113, с.291). Получают смесь продуктов, образованных в результате моно-алкилирования в положении 1 1Н-пиримидин-2,4-диона и бис-алкилирования как положения 1 1H-пиримидин-2,4-диона, так и атома азота ацетанилида. Когда эту смесь продуктов непосредственно подвергают условиям, используемым для инициирования циклизации в ксантин, трифторацетильные группы удаляются гидролизом. Получают смесь 2:1 8-(аминобензил)-3-бутил-1-(2-фторбензил)-3,7-дигидропурин-2,6-диона и 3-бутил-8-(4-бутиламинобензил)-1-(2-фторбензил)-3,7-дигидропурин-2,6-диона, которую разделяют хроматографией с использованием силикагеля при элюировании смесью 96:4 хлороформ/метанол. МС, m/z (М+)=421,1914. Стадия 2: Получение 3-бутил-8-[4-(метиламино)бензил]-1-(2-фторбензил)-3,7-дигидропурин-2,6-диона.
Данное соединение получают методом, подобным методу, описанному в примере 79 (стадия 1), за исключением того, что вместо 3-циклопропилметил-8-[4-аминобензил]-1-(2-фторбензил)-3,7-дигидропурин-2,6-диона используют 3-бутил-8-[4-аминобензил]-1-(2-фторбензил)-3,7-дигидропурин-2,6-дион. Моно-метильный продукт выделяют из основной массы ди-метильного побочного продукта посредством хроматографии с использованием силикагеля при элюировании смесью 98:2 хлороформ/метанол. Это вещество используют без дальнейшей очистки. Стадия 3: Получение N-{4-[3-бутил-1-(2-фторбензил)-2,6-диоксо-2,3,6,7-тетрагидро-1H-пурин-8-илметил]фенил}-6,N-диметилникотинамида Данное соединение получают методом, подобным методу, описанному в примере 86, за исключением того, что вместо 3-циклопропилметил-8-[4-(метиламино)бензил]-1-(2-фторбензил)-3,7-дигидропурин-2,6-диона используют 3-бутил-8-[4-(метиламино)бензил]-1-(2-фторбензил)-3,7-дигидропурин-2,6-дион и в качестве конечных реагентов в реакционную смесь добавляют избыток триэтиламина и каталитическое количество 4-диметиламинопиридина. Продукт очищают хроматографией на силикагеле при элюировании смесью 4:1 этилацетат/гексан. МС, m/z (M+)=553,3. Пример 88 N-{4-[3-Циклобутилметил-1-(2-фторбензил)-2,6-диоксо-2,3,6,7-тетрагидро-1H-пурин-8-илметил]фенил}-6,N-диметил-никотинамид Данное соединение получают методами синтеза, изображенного на схемах 4 и 13. Стадия 1: Получение 8-(4-аминобензил)-3-циклобутилметил-1-(2-фторбензил)-3,7-дигидропурин-2,6-диона
Данное соединение получают методом, подобным методу, описанному в примере 87 (стадия 1), за исключением того, что вместо бутилбромида используют циклобутилметилбромид (фирмы Aldrich). Получают смесь продуктов, образующихся в результате моно-алкилирования в положении 1 1Н-пиримидин-2,4-диона и бис-алкилирования как в положении 1 1H-пиримидин-2,4-диона, так и атома азота ацетанилида. Когда эту смесь продуктов непосредственно подвергают условиям, используемым для инициирования циклизации в ксантин, трифторацетильные группы удаляются гидролизом. Получают смесь 4:1 8-(4-аминобензил)-3-циклобутилметил-1-(2-фторбензил)-3,7-дигидропурин-2,6-диона и 3-циклобутилметил-8-[4-(циклобутилметиламино)бензил]-1-(2-фторбензил)-3,7-дигидропурин-2,6-диона, которую разделяют хроматографией с использованием силикагеля при элюировании смесью 5:2 этилацетат/гексан. МС, m/z (M+)=434,1990. Стадия 2: Получение 3-циклобутилметил-1-(2-фторбензил)-8-(4-метиламинобензил)-3,7-дигидропурин-2,6-диона
Данное соединение получают методом, подобным методу, описанному в примере 87 (стадия 2), за исключением того, что вместо 3-бутил-8-[4-аминобензил]-1-(2-фторбензил)-3,7-дигидропурин-2,6-диона используют 8-(4-амино-бензил)-3-циклобутилметил-1-(2-фторбензил)-3,7-дигидропурин-2,6-дион. Моно-метильный продукт отделяют из основной массы ди-метильного побочного продукта посредством хроматографии с использованием силикагеля при элюировании смесью 98:2 хлороформ/метанол. Это вещество используют без дальнейшей очистки. 1H ЯМР (ДМСО-d6): Стадия 3: Получение N-{4-[3-циклобутилметил-1-(2-фторбензил)-2,6-диоксо-2,3,6,7-тетрагидро-1Н-пурин-3-илметил]-фенил}-6,N-диметилникотинамида Данное соединение получают методом, подобным методу, описанному в примере 86, за исключением того, что вместо 3-циклопропилметил-8-[4-(метиламино)бензил]-1-(2-фторбензил)-3,7-дигидропурин-2,6-диона используют 3-циклобутилметил-1-(2-фторбензил)-8-(4-метиламинобензил)-3,7-дигидропурин-2,6-дион, и в реакционную смесь добавляют избыток триэтиламина и каталитическое количество 4-диметиламинопиридина в качестве конечных реагентов. Продукт очищают хроматографией на силикагеле при элюировании смесью 96:4 хлороформ/метанол. МС, m/z (M+)=567,2511. Пример 89 2-Ацетамино-N-{4-[3-циклопропилметил-1-(2-фторбензил)-2,6-диоксо-2,3,6,7-тетрагидро-1H-пурин-8-илметил]фенил}-4,6,N-триметилникотинамид Данное соединение получают методом, подобным методу, описанному в примере 79, за исключением того, что вместо N-ацетил-6-амино-2-пиридина карбоновой кислоты используют 2-ацетиламино-4,6-диметилникотиновую кислоту, и реакцию проводят с использованием 1 экв. 3-циклопропилметил-8-[4-(метиламино)бензил]-1-(2-фторбензил)-3,7-дигидропурин-2,6-диона и в качестве конечных реагентов в реакционную смесь добавляют избыток триэтиламина и каталитическое количество 4-диметиламинопиридина. Продукт очищают хроматографией на силикагеле при элюировании смесью 93:7 хлороформ/метанол. МС, m/z (M+)=624,4 и m/z (М–)=622,5. [2-Ацетиламино-4,6-диметилникотиновую кислоту получают из гидрохлорида 2-амино-4,6-диметилникотиновой кислоты (фирмы Acres) посредством обработки 2 экв. уксусного ангидрида и 24 экв. карбоната натрия в ацетонитриле, содержащем небольшое количество воды, при 0°С в течение 2 часов. Продукт распределяют между этилацетатом и водой, экстракт этилацетата промывают 0,1М водной соляной кислотой, солевым раствором, сушат и концентрируют в вакууме с получением бесцветного твердого вещества, которое используют без дальнейшей очистки.] Пример 90 N-{4-[3-Циклопропилметил-1-(2-фторбензил)-2,6-диоксо-2,3,6,7-тетрагидро-1H-пурин-3-илметил]фенил}-2,6-диметокси-N-метилникотинамид Данное соединение получают методом, подобным методу, описанному в примере 79, за исключением того, что вместо N-ацетил-6-амино-2-пиридинкарбоновой кислоты используют 2,6-диметоксиникотиновую кислоту (фирмы Aldrich), реакцию проводят с использованием 1 экв. 3-циклопропилметил-8-[4-(метиламино)бензил]-1-(2-фторбензил)-3,7-дигидропурин-2,6-диона и в качестве конечных реагентов в реакционную смесь добавляют избыток триэтиламина и каталитическое количество 4-диметиламинопиридина. Продукт очищают хроматографией на силикагеле при элюировании смесью 9:1 этилацетат/гексан с последующей кристаллизацией из ацетонитрила. МС, m/z (M+)=599,2417. Пример 91 N-{4-[3-Циклопропилметил-1-(2-фторбензил)-2,6-диоксо-2,3,6,7-тетрагидро-1H-пурин-8-илметил]фенил}-N-метил-2-пиридин-3-ил-ацетамид Данное соединение получают методом, подобным методу, описанному в примере 79, за исключением того, что вместо N-ацетил-6-амино-2-пиридинкарбоновой кислоты используют имеющуюся в продаже 3-пиридилуксусную кислоту, реакцию проводят с использованием 0,69 экв. 3-циклопропилметил-8-[4-(метиламино)бензил]-1-(2-фторбензил)-3,7-дигидропурин-2,6-диона и в качестве конечного реагента в реакционную смесь добавляют 0,78 экв. триэтиламина. Продукт очищают хроматографией на силикагеле при элюировании смесью 93:7 хлороформ/метанол с последующей кристаллизацией из ацетонитрила. МС, m/z (M+)=553,2364. Пример 92 6-Циано-N-{4-[3-циклопропилметил-1-(2-фторбензил)-2,6-диоксо-2,3,6,7-тетрагидро-1H-пурин-3-илметил]фенил}-N-метилникотинамид Данное соединение получают методом, подобным методу, описанному в примере 79, за исключением того, что вместо N-ацетил-6-амино-2-пиридинкарбоновой кислоты используют 6-цианоникотиновую кислоту (фирмы Lancaster), реакцию проводят с использованием 0,66 экв. 3-циклопропилметил-8-[4-(метиламино)бензил]-1-(2-фторбензил)-3,7-дигидропурин-2,6-диона и в качестве конечного реагента в реакционную смесь добавляют 0,68 экв. 4-диметиламинопиридина. Продукт очищают хроматографией на силикагеле при элюировании смесью 5:95 гексан/этилацетат с последующей кристаллизацией из ацетонитрила. МС, m/z (M+)=564,2161. Пример 93 2-Амино-N-{4-[3-циклопропилметил-1-(2-фторбензил)-2,6-диоксо-2,3,6,7-тетрагидро-1H-пурин-8-илметил]фенил}-N-метилникотинамид Данное соединение получают методом, подобным методу, описанному в примере 79, за исключением того, что вместо N-ацетил-6-аминопиридин-2-карбоновой кислоты используют 2-ацетиламиноникотиновую кислоту. При этом никакого ожидаемого 2-ацетиламино-N-{4-[3-циклопропилметил-1-(2-фторбензил)-2,6-диоксо-2,3,6,7-тетрагидро-1H-пурин-8-илметил]фенил}-N-метилникотинамида не образуется. Реакционную смесь очищают хроматографией на силикагеле при элюировании смесью 9:1 дихлорметан/метанол с получением указанного в заголовке продукта в виде твердого вещества бледно-желтого цвета, с последующей лиофилизацией его из смеси ацетонитрил/вода (4%). МС, m/z (M+H)=554,2317. [2-Ацетиламиноникотиновую кислоту получают в соответствии с методикой A.Stempel и L.Н.Sternbach, как описано в патенте US 3415835.] Пример 94 6-Амино-N-{4-[3-циклопропилметил-1-(2-фторбензил)-2,6-диоксо-2,3,6,7-тетрагидро-1H-пурин-8-илметил]фенил}-N-метилникотинамид Данное соединение получают методом, подобным методу, описанному в примере 79, за исключением того, что вместо N-ацетил-6-амино-2-пиридинкарбоновой кислоты используют 6-трет-бутоксикарбониламиноникотиновую кислоту. После проведения стандартной обработки БОК-производное очищают хроматографией с использованием силикагеля при элюировании смесью 98:2 этилацетат/метанол (95%). БОК-производное нагревают с обратным холодильником в 4М хлористом водороде в п-диоксане в течение 3 часов под аргоном. Затем реакционную смесь охлаждают до температуры окружающей среды и упаривают досуха под вакуумом. Остаток нейтрализуют 0,1М водной гидроокисью натрия и экстрагируют этилацетатом. Органические экстракты высушивают (сульфат натрия) и концентрируют в вакууме. Хроматографическая очистка с использованием силикагеля при элюировании смесью 97:3 дихлорметан/метанол приводит к продукту в виде бесцветного твердого вещества (53%). МС, m/z (M+H)=554,2313. [6-трет-бутоксикарбониламиноникотиновую кислоту получают из 6-аминоникотиновой кислоты (фирмы Acros) в 3 стадии посредством: (i) образования сложного метилового эфира обработкой хлористым водородом, растворенным в метаноле (66%), (ii) введения БОК-защиты первичного амина обработкой БОК-ангидридом и гексаметилдисилазидом натрия в соответствии с общей методикой Т.A.Kelly и соавт., описанной в Tetrahedron Lett., 1994, т.35(48), с.9003 (72%), (iii) омыления сложного метилового эфира 3М водным гидроксидом лития в тетрагидрофуране (86%).] Пример 95 N-{4-[3-Циклопропилметил-1-(2-фторбензил)-2,6-диоксо-2,3,6,7-тетрагидро-1H-пурин-8-илметил]фенил}-2,N-диметил-никотинамид Данное соединение получают методом, подобным методу, описанному в примере 79, за исключением того, что вместо N-ацетил-6-амино-2-пиридинкарбоновой кислоты используют 2-метилникотиновую кислоту (фирмы Aldrich), вместо N-хлорсукцинимида используют N-бромсукцинимид, реакцию проводят с использованием 0,66 экв. 3-циклопропилметил-8-[4-(метиламино)бензил]-1-(2-фторбензил)-3,7-дигидропурин-2,6-диона и в качестве конечного реагента в реакционную смесь добавляют 1 экв. триэтиламина. Хроматографическая очистка с использованием силикагеля при элюировании смесью 95:5 этилацетат/метанол приводит к продукту в виде твердого вещества светло-коричневого цвета (34%). МС, (М+Н)=553,2361. Пример 96 Пиримидин-5-карбоновой кислоты {4-[3-циклопропилметил-1-(2-фторбензил)-2,6-диоксо-2,3,6,7-тетрагидро-1H-пурин-8-илметил]фенил}метиламид Данное соединение получают методом, подобным методу, описанному в примере 79, за исключением того, что вместо N-ацетил-6-амино-2-пиридинкарбоновой кислоты используют пиримидин-5-карбоновую кислоту, реакцию проводят с использованием 0,75 экв. 3-циклопропилметил-8-[4-(метиламино)бензил]-1-(2-фторбензил)-3,7-дигидропурин-2,6-диона и в качестве конечного реагента в реакционную смесь добавляют 1,5 экв. 4-диметиламинопиридина. Очистка с использованием хроматографии на силикагеле при элюировании смесью 94:6 этилацетат/метанол с последующим затиранием с горячим ацетонитрилом приводит к продукту в виде бесцветного твердого вещества (72%). МС, m/z (M+H)=540,2161. [Пиримидин-5-карбоновую кислоту получают в 2 стадии из 5-бромпиримидина (фирмы Aldrich) посредством: (i) образования сложного этилового эфира с использованием бис(трифенилфосфин)палладия дихлорида, триэтиламина и монооксида углерода в абсолютном этаноле при давлении 60 фунт/кв.дюйм и температуре 85°С в течение 17 часов {подобная методика описана для образования сложного метилового эфира J.R.Young и соавт., Bioorg. Med. Chem. Lett., 2000, т.10(15), с.1723}, (ii) омыления сложного этилового эфира с использованием 2 М водного гидроксида лития в тетрагидрофуране.] Пример 97 N-{4-[3-Циклопропилметил-1-(2-фторбензил)-2,6-диоксо-2,3,6,7-тетрагидро-1H-пурин-8-илметил]фенил}-N-метилникотинамид Данное соединение получают методом, подобным методу, описанному в примере 95, за исключением того, что вместо 2-метилникотиновой кислоты используют никотиновую кислоту (фирмы Aldrich). Очистка с помощью хроматографии на силикагеле при элюировании смесью 97:3 этилацетат/метанол приводит к продукту в виде твердого вещества светло-коричневого цвета (79%). МС, m/z (M+H)=539,2199. Пример 98 6-Ацетиламино-N-{4-[3-циклопропилметил-1-(2-фторбензил)-2,6-диоксо-2,3,6,7-тетрагидро-1H-пурин-8-илметил]фенил}-N-метилникотинамид Данное соединение получают методом, подобным методу, описанному в примере 95, за исключением того, что вместо 2-метилникотиновой кислоты используют 6-ацетиламиноникотиновую кислоту и реакцию проводят с использованием 1,2 экв. ксантина, а в качестве конечных реагентов в реакционную смесь добавляют 1,5 экв. триэтиламина и каталитическое количество 4-диметиламинопиридина. Очистка с помощью хроматографии на силикагеле при элюировании смесью 97:3 этилацетат/метанол приводит к продукту в виде бесцветного твердого вещества (70%). МС, m/z (M+H)=596,2423. Пример 99 {4-[3-Циклопропилметил-1-(2-фторбензил)-2,6-диоксо-2,3,6,7-тетрагидро-1H-пурин-8-илметил]фенил}метиламидпиразин-2-карбоновой кислоты Данное соединение получают методом, подобным методу, описанному в примере 95, за исключением того, что вместо 2-метилникотиновой кислоты используют пиразин-2-карбоновую кислоту (фирмы Aldrich), реакцию проводят с использованием 1,2 экв. ксантина и в качестве конечных реагентов в реакционную смесь добавляют 1,5 экв. триэтиламина и каталитическое количество 4-диметиламинопиридина. Очистка с помощью хроматографии на силикагеле при элюировании смесью 97:3 этилацетат/метанол приводит к продукту в виде бесцветного твердого вещества (83%). МС, m/z (M+Na)=562,1980. Пример 100 N-{4-[3-Циклопропилметил-1-(2-фторбензил)-2,6-диоксо-2,3,6,7-тетрагидро-1H-пурин-8-илметил]фенил}-6-гидрокси-N-метил-никотинамид Данное соединение получают методом, подобным методу, описанному в примере 95, за исключением того, что вместо 2-метилникотиновой кислоты используют 6-гидроксиникотиновую кислоту (фирмы Aldrich), а вместо N-хлорсукцинимида используют N-бромсукцинимид. Очистка хроматографией на силикагеле при элюировании смесью 9:1 хлороформ/метанол приводит к продукту в виде твердого вещества светло-зеленого цвета с выходом 23%. МС, m/z (М+Н)=555,2155. Пример 101 N-{4-[3-Циклопропилметил-1-(2-фторбензил)-2,6-диоксо-2,3,6,7-тетрагидро-1H-пурин-8-илметил]фенил}-2-гидрокси-N-метилникотинамид Данное соединение получают методом, подобным методу, описанному в примере 95, за исключением того, что вместо 2-метилникотиновой кислоты используют 2-гидроксиникотиновую кислоту (фирмы Aldrich), вместо N-хлорсукцинимида используют N-бромсукцинимид, и реакцию проводят с использованием 0,67 эквивалентов ксантина и 1 эквивалента триэтиламина (ТЭА), которые добавляют к реакционной смеси в качестве конечных реагентов. Очистка хроматографией на силикагеле при элюировании смесью 9:1 хлороформ/метанол приводит к продукту в виде твердого вещества желтоватого цвета с выходом 51%. МС, m/z (M+H)=555,2158. Пример 102 {4-[3-Циклопропилметил-1-(2-фторбензил)-2,6-диоксо-2,3,6,7-тетрагидро-1H-пурин-8-илметил]фенил}метиламид 1,3,5-триметил-1H-пиразол-4-карбоновой кислоты Смесь 1,3,5-триметил-1Н-пиразол-4-карбоновой кислоты (71 мг, 0,46 ммоль) в дихлорметане (2,5 мл) при 0°С обрабатывают трифенилфосфином (145 мг, 0,55 ммоль) и N-хлорсукцинимидом (74 мг, 0,55 ммоль). Эту смесь перемешивают при 0°С в течение 30 минут и согревают до 25°С в течение 10 минут. После этого реакционную смесь обрабатывают раствором 3-циклопропилметил-1-(2-фторбензил)-8-(4-метиламинобензил)-3,7-дигидропурин-2,6-диона (400 мг, 0,92 ммоль) в дихлорметане (2,5 мл). Реакционную смесь перемешивают при 25°С в течение 24 часов. После этого реакционную смесь разбавляют дихлорметаном (50 мл) и затем промывают насыщенным водным раствором бикарбоната натрия (1×50 мл). Водный слой повторно экстрагируют дихлорметаном (2×50 мл). Объединенные органические слои сушат над сульфатом магния, фильтруют и концентрируют в вакууме. После экспресс-хроматографии (Силикагель 60 фирмы Merck, 230-400 меш, 3:97 метанол/дихлорметан) получают неочищенный продукт. Полученный остаток очищают ЖХВД (15-60% ацетонитрил/вода (0,075% трифторуксусной кислоты в обоих растворителях) более 40 минут). Фракции с целевым продуктом объединяют и концентрируют в вакууме. Полученный остаток разбавляют дихлорметаном (50 мл) и промывают насыщенным водным раствором бикарбоната натрия (50 мл). Водный слой повторно экстрагируют дихлорметаном (2×50 мл). Органические слои объединяют и сушат над сульфатом магния, фильтруют и концентрируют при пониженном давлении. Образовавшееся твердое вещество высушивают в вакууме в течение 24 часов и получают {4-[3-циклопропилметил-1-(2-фторбензил)-2,6-диоксо-2,3,6,7-тетрагидро-1Н-пурин-8-илметил]фенил}метиламид 1,3,5-триметил-1Н-пиразол-4-карбоновой кислоты (169 мг, 65%) в виде твердого вещества белого цвета: (ионизация в электроспрее) + -массспектрометрия высокого разрешения ((ES)+-HRMS) m/e рассчитано для C31H32N7O3F (M+H)+ 570,2623, обнаружено 570,2619. Пример 103 N-{4-[3-Циклопропилметил-1-(2-фторбензил)-2,6-диоксо-2,3,6,7-тетрагидро-1H-пурин-8-илметил]фенил}-N-метил-2-оксо-2-(1,3,5-триметил-1H-пиразол-4-ил)ацетамид Стадия 1: Получение оксо(1,3,5-триметил-1H-пиразол-4-ил)уксусной кислоты
1,3,5-Триметил-1H-пиразол (630 мг, 5,71 ммоль), охлажденный до 0°С, обрабатывают оксалилхлоридом (7,0 мл). Реакционную смесь согревают до 25°С и затем нагревают до кипения в течение 4 часов. После этого реакционную смесь охлаждают до 25°С и перемешивают при этой температуре (25°С) в течение 24 часов. После этого избыток оксалилхлорида удаляют упариванием. Полученный остаток охлаждают до 0°С и обрабатывают ледяной водой (15 мл). Смесь медленно нагревают до 25°С в течение более 4 часов. После этого образовавшееся твердое вещество собирают фильтрацией, промывают водой и высушивают в вакууме с получением оксо(1,3,5-триметил-1H-пиразол-4-ил)уксусной кислоты (700 мг, 70%) в виде твердого вещества коричневого цвета: LR-MS для C8H10N2O3 (M-H)+ при m/z=181. Стадия 2: Получение N-{4-[3-Циклопропилметил-1-(2-фторбензил)-2,6-диоксо-2,3,6,7-тетрагидро-1H-пурин-8-илметил]фенил}-N-метил-2-оксо-2-(1,3,5-триметил-1H-пиразол-4-ил)ацетамида Смесь оксо(1,3,5-триметил-1H-пиразол-4-ил)уксусной кислоты (134 мг, 0,87 ммоль) в дихлорметане (4,0 мл) при 25°С обрабатывают трифенилфосфином (145 мг, 0,55 ммоль). Реакционную смесь охлаждают до 0°С и обрабатывают N-хлорсукцинимидом (74 мг, 0,55 ммоль). Эту смесь перемешивают при 0°С в течение 30 минут и затем согревают до 25°С в течение 20 минут. После этого реакционную смесь обрабатывают 3-циклопропилметил-1-(2-фторбензил)-8-(4-метиламинобензил)-3,7-дигидропурин-2,6-дионом (290 мг, 0,69 ммоль) и ТЭА (0,23 мл, 1,67 ммоль). Реакционную смесь перемешивают при 25°С в течение 24 ч. После этого реакционную смесь разбавляют дихлорметаном и затем промывают 1 н. водным раствором соляной кислоты (2×50 мл), после чего промывают насыщенным раствором бикарбоната натрия (2×50 мл). Органический слой сушат над сульфатом магния, фильтруют и концентрируют в вакууме. После экспресс-хроматографии (Силикагель 60 фирмы Merck, 230-400 меш, 2:98 метанол/дихлорметан) получают неочищенный продукт. Полученный остаток очищают ЖХВД (15-60% ацетонитрил/вода (0,075% трифторуксусной кислоты в обоих растворителях) более 40 минут). Фракции с целевым продуктом объединяют и концентрируют в вакууме. Полученный остаток разбавляют дихлорметаном (50 мл) и промывают насыщенным водным раствором бикарбоната натрия (50 мл). Органический слой сушат над сульфатом магния, фильтруют и концентрируют в вакууме. Образовавшееся твердое вещество высушивают в вакууме в течение 24 часов и получают N-{4-[3-циклопропилметил-1-(2-фторбензил)-2,6-диоксо-2,3,6,7-тетрагидро-1H-пурин-8-илметил]фенил}-N-метил-2-оксо-2-(1,3,5-триметил-1H-пиразол-4-ил)ацетамид (183 мг, 45,8%) в виде твердого вещества белого цвета: (ES)+-HRMS m/e рассчитано для C32H32N7O4F (M+H)+ 598,2573, обнаружено 598,2578. Пример 104 {4-[3-Циклопропилметил-1-(2-фторбензил)-2,6-диоксо-2,3,6,7-тетрагидро-1H-пурин-8-илметил]фенил}метиламид 3-хлор-1,5-диметил-1H-пиразол-4-карбоновой кислоты Смесь 5-хлор-1,3-диметил-1H-пиразол-4-карбоновой кислоты (40 мг, 0,231 ммоль) в дихлорметане (2,0 мл) при 25°С обрабатывают трифенилфосфином (72 мг, 0,28 ммоль). Реакционную смесь охлаждают до 0°С и затем обрабатывают N-хлорсукцинимидом (37 мг, 0,28 ммоль). Эту смесь перемешивают при 0°С в течение 5 минут и затем согревают до 25°С в течение 15 минут. После этого реакционную смесь обрабатывают 3-циклопропилметил-1-(2-фторбензил)-8-(4-метиламинобензил)-3,7-дигидропурин-2,6-дионом (100 мг, 0,23 ммоль) и ТЭА (0,04 мл, 0,28 ммоль). Эту смесь перемешивают при 25°С в течение 24 часов. После этого реакционную смесь разбавляют дихлорметаном (50 мл) и затем промывают 1 н. водным раствором соляной кислоты (1×50 мл) и насыщенным водным раствором бикарбоната натрия (1×50 мл). Органический слой сушат над сульфатом магния, фильтруют и концентрируют в вакууме. После экспресс-хроматографии (Силикагель 60 фирмы Merck, 230-400 меш, 1:99 метанол/дихлорметан) получают {4-[3-циклопропилметил-1-(2-фторбензил)-2,6-диоксо-2,3,6,7-тетрагидро-1H-пурин-8-илметил]фенил}метиламид 5-хлор-1,3-диметил-1H-пиразол-4-карбоновой кислоты (54 мг, 48%) в виде твердого вещества белого цвета: LR-MS для C30H29ClFN7O3 (M+H)+ при m/z=590. Пример 105 {4-[3-Циклопропилметил-1-(2-фторбензил)-2,6-диоксо-2,3,6,7-тетрагидро-1H-пурин-8-илметил]фенил}металамид 2,4-диметилтиазол-5-карбоновой кислоты Смесь 2,4-диметилтиазол-5-карбоновой кислоты (18,1 мг, 0,11 ммоль) в дихлорметане (3,0 мл) при 25°С обрабатывают трифенилфосфином (33 мг, 0,13 ммоль). Реакционную смесь охлаждают до 0°С и обрабатывают N-хлорсукцинимидом (19,9 мг, 0,15 ммоль). Эту смесь перемешивают при 0°С в течение 20 минут и затем согревают до 25°С в течение 20 минут. После этого реакционную смесь обрабатывают N-хлорсукцинимидом (5,0 мг, 0,04 ммоль) и 3-циклопропилметил-1-(2-фторбензил)-8-(4-метиламинобензил)-3,7-дигидропурин-2,6-дионом (100 мг, 0,23 ммоль) и перемешивают при 25°С в течение 2 дней. После этого реакционную смесь разбавляют дихлорметаном (100 мл) и затем промывают насыщенным водным раствором бикарбоната натрия (1×20 мл). Органический слой сушат над сульфатом натрия, фильтруют и концентрируют в вакууме. После экспресс-хроматографии (Силикагель 60 фирмы Merck, 230-400 меш, 5:95 метанол/дихлорметан) получают неочищенный продукт. Полученный остаток очищают ЖХВД (15-60% ацетонитрил/вода (0,075% трифторуксусной кислоты в обоих растворителях) более 40 минут). Фракции с целевым продуктом объединяют и концентрируют в вакууме. Полученный остаток разбавляют хлороформом (100 мл) и промывают насыщенным водным раствором бикарбоната натрия (25 мл). Водные слои повторно экстрагируют хлороформом (1×50 мл). Объединенные органические слои сушат над сульфатом натрия, фильтруют и концентрируют в вакууме. Образовавшееся твердое вещество высушивают в вакууме в течение 24 часов и получают {4-[3-циклопропилметил-1-(2-фторбензил)-2,6-диоксо-2,3,6,7-тетрагидро-1H-пурин-8-илметил]фенил}метиламид 2,4-диметилтиазол-5-карбоновой кислоты (30,2 мг, 45,8%) в виде твердого вещества белого цвета: EI-HRMS m/e рассчитано для С30Н29Н6О3FS (М+H)+ 573,2079, обнаружено 573,2083. Пример 106 {4-[3-Циклопропилметил-1-(2-фторбензил)-2,6-диоксо-2,3,6,7-тетрагидро-1H-пурин-8-илметил]фенил}метиламид 2-амино-4-метилтиазол-5-карбоновой кислоты Стадия 1: Получение этилового эфира 4-метил-2-(тритиламино)тиазол-5-карбоновой кислоты.
Смесь этилового эфира 2-амино-4-метилтиазол-5-карбоновой кислоты (1,0 г, 5.4 ммоль) в N,N-диметилформамиде при 25°С обрабатывают ТЭА (1,89 мл, 13,5 ммоль) и трифенилметилхлоридом (1,66 г, 5,94 ммоль). Реакционную смесь перемешивают при 2°С в течение 2 дней. После этого реакционную смесь концентрируют в вакууме. Остаток растворяют в дихлорметане (100 мл) и промывают 1н. водным раствором соляной кислоты (1×20 мл), насыщенным водным раствором бикарбоната натрия (1×20 мл) и насыщенным водным раствором хлорида натрия (1×20 мл). Органический слой сушат над сульфатом магния, фильтруют и концентрируют в вакууме с получением этилового эфира 4-метил-2-(тритиламино)тиазол-5-карбоновой кислоты (2,3 г, количественный). Продукт используют без дальнейшей очистки: LR-MS для C26H24N2O2S (М-Н)+ при m/z=427. Стадия 2: Получение 4-метил-2-(тритиламино)тиазол-5-карбоновой кислоты.
Смесь этилового эфира 4-метил-2-(тритиламино)тиазол-5-карбоновой кислоты (500 мг, 1,17 ммоль) в этаноле (10 мл) при 25°С обрабатывают 1 н. водным раствором гидроокиси натрия (3,51 мл, 3,51 ммоль). Полученную смесь нагревают до 50°С в течение 18 часов. После этого реакционную смесь обрабатывают дополнительным количеством 1 н. водного раствора гидроокиси натрия (3,6 мл, 3,6 ммоль). Эту смесь нагревают при 50°С в течение дополнительных 8 дней. После этого реакционную смесь разбавляют водой (100 мл), подкисляют до рН 5 и обрабатывают этилацетатом. Образовавшееся твердое вещество белого цвета собирают фильтрацией и сушат в вакууме. Фильтрат экстрагируют этилацетатом. Органический слой сушат над сульфатом магния, фильтруют и концентрируют в вакууме с получением 4-метил-2-(тритиламино)тиазол-5-карбоновой кислоты (55,7 мг, 11,9%) в виде твердого вещества белого цвета:. 1H ЯМР (ДМСО=d6, 300 МГц): Стадия 3: Получение {4-[3-циклопропилметил-1-(2-фторбензил)-2,6-диоксо-2,3,6,7-тетрагидро-1H-пурин-8-илметил]фенил}метиламида4-метил-2-(тритиламино)тиазол-5-карбоновой кислоты Смесь 4-метил-2-(тритиламино)тиазол-5-карбоновой кислоты (46 мг, 0,11 ммоль) в дихлорметане (1,0 мл) при 25°С обрабатывают трифенилфосфином (36 мг, 0,14 ммоль). Реакционную смесь охлаждают до 0°С и обрабатывают N-хлорсукцинимидом (18 мг, 0,14 ммоль). Эту смесь перемешивают при 0°С в течение 30 минут и затем согревают до 25°С в течение 20 минут. После этого реакционную смесь обрабатывают 3-циклопропилметил-1-(2-фторбензил)-8-(4-метиламинобензил)-3,7-дигидропурин-2,6-дионом (100 мг, 0,23 ммоль) и дихлорметаном (2,5 мл). Реакционную смесь перемешивают при 25°С в течение 18 часов. После этого реакционную смесь обрабатывают другой порцией трифенилфосфина (36 мг, 0,14 ммоль) и N-хлорсукцинимида (18 мг, 0,14 ммоль). Реакционную смесь перемешивают при 25°С в течение 1 часа. После этого реакционную смесь разбавляют дихлорметаном (100 мл) и затем промывают насыщенным водным раствором бикарбоната натрия (1×25 мл). Органический слой сушат над сульфатом магния, фильтруют и концентрируют в вакууме. После экспресс-хроматографии (Силикагель 60 фирмы Merck, 230-400 меш, 80:20 этилацетат/петролейный эфир) получают {4-[3-циклопропилметил-1-(2-фторбензил)-2,6-диоксо-2,3,6,7-тетрагидро-1H-пурин-8-илметил]фенил}метиламид 4-метил-2-(тритиламино)тиазол-5-карбоновой кислоты (75,1 мг, 80,0%). Продукт используют без дальнейшей очистки и определения характеристик. Стадия 4: Получение {4-[3-циклопропилметил-1-(2-фторбензил)-2,6-диоксо-2,3,6,7-тетрагидро-1H-пурин-8-илметил]фенил}метиламида 2-амино-4-метилтиазол-5-карбоновой кислоты. Раствор {4-[3-циклопропилметил-1-(2-фторбензил)-2,6-диоксо-2,3,6,7-тетрагидро-1H-пурин-8-илметил]фенил}метиламида 4-метил-2-(тритиламино)тиазол-5-карбоновой кислоты (74,0 мг, 0,09 ммоль) в дихлорметане (1,0 мл) при 25°С обрабатывают трифторуксусной кислотой (1,0 мл). Реакционную смесь перемешивают при 25°С в течение 1 часа. После этого реакционную смесь обрабатывают триэтилсиланом (16 мкл, 0,10 ммоль). Реакционную смесь концентрируют в вакууме. Полученный остаток очищают ЖХВД (15-60% ацетонитрил/вода (0,075% трифторуксусной кислоты в обоих растворителях) более 40 минут). Фракции с целевым продуктом объединяют и концентрируют в вакууме. Полученный остаток разбавляют дихлорметаном (100 мл) и промывают насыщенным водным раствором бикарбоната натрия (25 мл). Водный слой повторно экстрагируют дихлорметаном (1×50 мл). Объединенные органические слои сушат над сульфатом магния, фильтруют и концентрируют в вакууме. Образовавшееся твердое вещество высушивают в вакууме в течение 24 часов и получают {4-[3-циклопропилметил-1-(2-фторбензил)-2,6-диоксо-2,3,6,7-тетрагидро-1H-пурин-8-илметил]фенил}метиламид 2-амино-4-метилтиазол-5-карбоновой кислоты (3,0 мг, 5,8%) в виде твердого вещества белого цвета: (ES)+-HRMS m/e рассчитано для C29H28N7O3SF (M+H)+ 574,2031, обнаружено 574,2035. Пример 107 {4-[3-Циклопропилметил-1-(2-фторбензил)-2,6-диоксо-2,3,6,7-тетрагидро-1H-пурин-8-илметил]фенил}метиламид 1,3-диметил-1H-пиразол-4-карбоновой кислоты Смесь {4-[3-циклопропилметил-1-(2-фторбензил)-2,6-диоксо-2,3,6,7-тетрагидро-1H-пурин-8-илметил]фенил}метиламида 5-хлор-1,3-диметил-1H-пиразол-4-карбоновой кислоты (81,5 мг, 0,14 ммоль) (получают по методу, описанному в Примере 104), 10% палладия на угле (313 мг) и ацетата натрия (28,3 мг, 0,35 ммоль) в дихлорметане (25 мл) и метаноле (25 мл) гидрируют при 50 фунт/кв.дюйм в аппарате Парра в течение 8 дней. После этого реакционную смесь фильтруют через слой целита и промывают раствором 90/10 дихлорметан/метанол (100 мл). Фильтрат концентрируют в вакууме. Полученный остаток очищают ЖХВД (15-60% ацетонитрил/вода (0,075% трифторуксусной кислоты в обоих растворителях) более 40 минут). Фракции с целевым продуктом объединяют и концентрируют в вакууме. Полученный остаток разбавляют дихлорметаном (100 мл) и промывают насыщенным водным раствором бикарбоната натрия (25 мл). Органический слой сушат над сульфатом магния, фильтруют и концентрируют в вакууме. Образовавшееся твердое вещество высушивают в вакууме в течение 24 часов и получают {4-[3-циклопропилметил-1-(2-фторбензил)-2,6-диоксо-2,3,6,7-тетрагидро-1H-пурин-8-илметил]фенил}метиламида 1,3-диметил-1H-пиразол-4-карбоновой кислоты (7,0 мг, 9,1%) в виде твердого вещества белого цвета: 1Н ЯМР (ДМСО-d6, 300 МГц): Пример 108 {4-[3-Циклопропилметил-1-(2-фторбензил)-2,6-диоксо-2,3,6,7-тетрагидро-1H-пурин-8-илметил]фенил}метиламид 4-метил-[1,2,3]тиадиазол-5-карбоновой кислоты Смесь 4-метил-[1,2,3]тиадиазол-5-карбоновой кислоты (12 мг, 0,08 ммоль) в дихлорметане (2,0 мл), охлажденную до 0°С, обрабатывают трифенилфосфином (27 мг, 0,10 ммоль) и N-хлорсукцинимидом (14 мг, 0,10 ммоль). Эту смесь перемешивают при 0°С в течение 30 минут и при 25°С в течение 10 минут. После этого реакционную смесь обрабатывают 3-циклопропилметил-1-(2-фторбензил)-8-(4-метиламинобензил)-3,7-дигидропурин-2,6-дионом (75 мг, 0,17 ммоль). Затем реакционную смесь перемешивают при 25°С в течение 18 часов. После этого реакционную смесь разбавляют дихлорметаном. Органический слой промывают насыщенным водным раствором бикарбоната натрия. Этот раствор экстрагируют смесью 90/10 дихлорметан/метанол. Органические слои сушат над сульфатом магния, фильтруют и концентрируют в вакууме. Полученный остаток очищают ЖХВД (15-60% ацетонитрил/вода (0,075% трифторуксусной кислоты в обоих растворителях) более 40 минут). Фракции целевого продукта объединяют и концентрируют в вакууме. Полученный остаток разбавляют дихлорметаном (100 мл) и промывают насыщенным водным раствором бикарбоната натрия (25 мл). Водный слой повторно экстрагируют дихлорметаном (1×50 мл). Объединенные органические слои сушат над сульфатом магния, фильтруют и концентрируют в вакууме. Образовавшееся твердое вещество высушивают в вакууме в течение 24 часов и получают {4-[3-циклопропилметил-1-(2-фторбензил)-2,6-диоксо-2,3,6,7-тетрагидро-1Н-пурин-8-илметил]фенил}метиламид 4-метил-[1,2,3]тиадиазол-5-карбоновой кислоты (7,0 мг, 14,5%) в виде твердого вещества белого цвета: 1Н ЯМР (ДМСО-d6, 300 МГц): Пример 109 {4-[3-Циклопропилметил-1-(2-фторбензил)-2,6-диоксо-2,3,6,7-тетрагидро-1H-пурин-8-илметил]фенил}метиламид 3-метилизоксазол-4-карбоновой кислоты Смесь 3-метилизоксазол-4-карбоновой кислоты (7,3 мг, 0,057 ммоль) в дихлорметане (1,0 мл), охлажденную до 0°С, обрабатывают трифенилфосфином (17 мг, 0,063 ммоль) и N-хлорсукцинимидом (10 мг, 0,074 ммоль). Эту смесь перемешивают при 0°С в течение 15 минут и при 25°С в течение 20 минут. После этого реакционную смесь обрабатывают 3-циклопропилметил-1-(2-фторбензил)-8-(4-метиламинобензил)-3,7-дигидропурин-2,6-дионом (50 мг, 0,11 ммоль). Затем реакционную смесь перемешивают при 25°С в течение 18 часов. После этого реакционную смесь разбавляют дихлорметаном (50 мл) и промывают насыщенным водным раствором бикарбоната натрия (1×10 мл). Органический слой сушат над сульфатом магния, фильтруют и концентрируют в вакууме. Полученный остаток очищают ЖХВД (15-60% ацетонитрил/вода (0,075% трифторуксусной кислоты в обоих растворителях) более 40 минут). Фракции целевого продукта объединяют и концентрируют в вакууме. Полученный остаток разбавляют дихлорметаном (100 мл) и промывают насыщенным водным раствором бикарбоната натрия (25 мл). Водный слой повторно экстрагируют дихлорметаном (1×50 мл). Объединенные органические слои сушат над сульфатом магния, фильтруют и концентрируют в вакууме. Образовавшееся твердое вещество высушивают в вакууме в течение 24 часов и получают {4-[3-циклопропилметил-1-(2-фторбензил)-2,6-диоксо-2,3,6,7-тетрагидро-1H-пурин-8-илметил]фенил}метиламид 3-метилизоксазол-4-карбоновой кислоты (6,8 мг, 21,8%) в виде твердого вещества желтоватого цвета: EI-HRMS m/e рассчитано для C29H27N6O4 (М+) 542,2078, обнаружено 542,2077. Пример 110 {4-[3-Циклопропилметил-1-(2-фторбензил)-2,6-диоксо-2,3,6,7-тетрагидро-1Н-пурин-8-илметил]фенил}метиламид 3,5-диметилизоксазол-4-карбоновой кислоты Смесь 3,5-диметилизоксазол-4-карбоновой кислоты (8,1 мг, 0,057 ммоль) в дихлорметане (1,5 мл), охлажденную до 0°С, обрабатывают трифенилфосфином (17 мг, 0,063 ммоль) и N-хлорсукцинимидом (10 мг, 0,074 ммоль). Эту смесь перемешивают при 0°С в течение 15 минут и при 25°С в течение 20 минут. После этого реакционную смесь обрабатывают 3-циклопропилметил-1-(2-фторбензил)-8-(4-метиламинобензил)-3,7-дигидропурин-2,6-дионом (50 мг, 0,11 ммоль). Реакционную смесь перемешивают при 25°С в течение 18 часов. После этого реакционную смесь разбавляют дихлорметаном (50 мл) и промывают насыщенным водным раствором бикарбоната натрия (1×10 мл). Органический слой сушат над сульфатом магния, фильтруют и концентрируют в вакууме. После экспресс-хроматографии (Силикагель 60 фирмы Merck, 230-400 меш, 2:98 метанол/дихлорметан) получают {4-[3-циклопропилметил-1-(2-фторбензил)-2,6-диоксо-2,3,6,7-тетрагидро-1H-пурин-8-илметил]фенил}метиламид 3,5-диметилизоксазол-4-карбоновой кислоты (7,4 мг, 23,2%) в виде твердого вещества желтоватого цвета: EI-HRMS m/e рассчитано для C30H29N6O4F (M+) 556,2234, обнаружено 556,2229. Пример 111 {4-[3-Циклопропилметил-1-(2-фторбензил)-2,6-диоксо-2,3,6,7-тетрагидро-1H-пурин-8-илметил]фенил}метиламид [1,2,3]тиадиазол-4-карбоновой кислоты Смесь [1,2,3]тиадиазол-4-карбоновой кислоты (29 мг, 0,30 ммоль) в дихлорметане (6 мл) при 25°С обрабатывают трифенилфосфин-полистиреном 100-200 меш (372 мг, 0,46 ммоль). Эту смесь охлаждают до 0°С и затем обрабатывают N-хлорсукцинимидом (49 мг, 0,37 ммоль). Эту смесь перемешивают при 0°С в течение 15 минут и при 25°С в течение 15 минут. После этого реакционную смесь обрабатывают 3-циклопропилметил-1-(2-фторбензил)-8-(4-метиламинобензил)-3,7-дигидропурин-2,6-дионом (55 мг, 0,12 ммоль) и ТЭА (96 мкл, 0,69 ммоль). Затем реакционную смесь перемешивают при 25°С в течение 3 дней. После этого реакционную смесь фильтруют для удаления твердых частиц и промывают дихлорметаном. Фильтрат промывают насыщенным водным раствором бикарбоната натрия и насыщенным водным раствором хлорида натрия. Органический слой сушат над сульфатом магния, фильтруют и концентрируют в вакууме. После экспресс-хроматографии (Силикагель 60 фирмы Merck, 230-400 меш, 1:99 метанол/дихлорметан) получают {4-[3-циклопропилметил-1-(2-фторбензил)-2,6-диоксо-2,3,6,7-тетрагидро-1H-пурин-8-илметил]фенил}метиламид [1,2,3]тиадиазол-4-карбоновой кислоты (17 мг, 24,7%): LR-MS для C27H24FN7O3S (М+Н)+ при m/z=546. Пример 112 {4-[3-Циклопропилметил-1-(2-фторбензил)-2,6-диоксо-2,3,6,7-тетрагидро-1H-пурин-8-илметил]фенил}метиламид 1-метил-1H-пиразол-4-карбоновой кислоты Стадия 1: Получение этилового эфира 1-метил-1H-пиразол-4-карбоновой кислоты
Смесь гидрида натрия (216 мг, 8,57 ммоль) в тетрагидрофуране (ТГФ) (10 мл), охлажденную до 0°С, обрабатывают раствором этилового эфира 1H-пиразол-4-карбоновой кислоты (1,0 г, 7,14 ммоль) в ТГФ (10 мл). Реакционную смесь согревают до 25°С и перемешивают при 25°С в течение 45 минут. После этого реакционную смесь обрабатывают метил йодидом (0,67 мл, 10,71 ммоль). Реакционную смесь перемешивают при 25°С в течение 18 часов. После этого реакционную смесь охлаждают до 0°С и реакцию гасят, добавляя по каплям насыщенный водный раствор хлорида аммония. Эту смесь разбавляют этилацетатом (150 мл). Органический слой промывают водой (1×50 мл) и насыщенным водным раствором хлорида натрия (1×50 мл), сушат над сульфатом магния и концентрируют в вакууме. После экспресс-хроматографии (Силикагель 60 фирмы Merck, 230-400 меш, 40:60 этилацетат/петролейный эфир) получают этиловый эфир 1-метил-1H-пиразол-4-карбоновой кислоты (897 мг, 81,5%) в виде прозрачного масла: 1Н ЯМР (ДМСО-d6, 300 МГц): Стадия 2: Получение 1-метил-1H-пиразол-4-карбоновой кислоты
Раствор этилового эфира 1-метил-1H-пиразол-4-карбоновой кислоты (300 мг, 1,95 ммоль) в этаноле, охлажденный до 0°С, обрабатывают 1 н. водным раствором гидроокиси натрия. Затем реакционную смесь согревают до 25°С и перемешивают при 25°С в течение 18 часов. После этого реакционную смесь концентрируют в вакууме и подкисляют до рН 2 1 н. водным раствором соляной кислоты. Этот раствор экстрагируют этилацетатом (3×50 мл). Органический слой промывают насыщенным водным раствором хлорида натрия, сушат над сульфатом магния, фильтруют и высушивают в вакууме с получением 1-метил-1H-пиразол-4-карбоновой кислоты (193 мг, 78,5%) в виде твердого вещества белого цвета: LR-MS для C5H6N2O2 (M-H)+ при m/z=125. Стадия 3: Получение {4-[3-циклопропилметил-1-(2-фторбензил)-2,6-диоксо-2,3,6,7-тетрагидро-1H-пурин-8-илметил]фенил}метиламида 1-метил-1H-пиразол-4-карбоновой кислоты Смесь 1-метил-1H-пиразол-4-карбоновой кислоты (22 мг, 0,17 ммоль) в дихлорметане (2,0 мл) при 25°С обрабатывают трифенилфосфином (54 мг, 0,21 ммоль). Эту смесь охлаждают до 0°С и затем обрабатывают N-хлорсукцинимидом (28 мг, 0,21 ммоль). Эту смесь перемешивают при 0°С в течение 30 минут и затем согревают до 25°С. После этого реакционную смесь обрабатывают 3-циклопропилметил-1-(2-фторбензил)-8-(4-метиламинобензил)-3,7-дигидропурин-2,6-дионом (150 мг, 0,34 ммоль). Затем реакционную смесь перемешивают при 25°С в течение 2 дней. После этого реакционную смесь разбавляют дихлорметаном и затем промывают насыщенным водным раствором бикарбоната натрия. Органический слой сушат над сульфатом магния, фильтруют и концентрируют в вакууме. После экспресс-хроматографии (Силикагель 60 фирмы Merck, 230-400 меш, 3:97 метанол/дихлорметан) получают {4-[3-циклопропилметил-1-(2-фторбензил)-2,6-диоксо-2,3,6,7-тетрагидро-1H-пурин-8-илметил]фенил}метиламид 1-метил-1H-пиразол-4-карбоновой кислоты (87 мг, 92,8%) в виде твердого вещества желтоватого цвета: LR-MS для C29H28FN7O3 (M+H)+ при m/z=542. Пример 113 {4-[3-Циклопропилметил-1-(2-фторбензил)-2,6-диоксо-2,3,6,7-тетрагидро-1H-пурин-8-илметил]фенил}метиламид 4-ацетиламино-2-метилтиофен-3-карбоновой кислоты Стадия 1: Получение 4-ацетиламино-2-метилтиофен-3-карбоновой кислоты
Смесь метилового эфира 4-ацетиламино-2-метилтиофен-3-карбоновой кислоты (250 мг, 1,17 ммоль) в метаноле (4,0 мл) при 25°С обрабатывают 1 н. водным раствором гидроокиси натрия (3,5 мл, 3,51 ммоль). Реакционную смесь перемешивают при 25°С в течение 28 часов. После этого реакционную смесь концентрируют в вакууме, разбавляют водой (15 мл) и затем подкисляют до рН 2 добавлением 1 н. водного раствора соляной кислоты. Образовавшуюся жидкую массу охлаждают до 0°С. Твердое вещество собирают фильтрацией, промывают водой и высушивают в вакууме с получением 4-ацетиламино-2-метилтиофен-3-карбоновой кислоты (212 мг, 90,9%) в виде твердого вещества рыжевато-коричневого цвета: LR-MS для C8H9NO3 (M-H)+ при m/z=198. Стадия 2: Получение {4-[3-циклопропилметил-1-(2-фторбензил)-2,6-диоксо-2,3,6,7-тетрагидро-1H-пурин-8-илметил]фенил}метиламида 4-ацетиламино-2-метилтиофен-3-карбоновой кислоты Смесь 4-ацетиламино-2-метилтиофен-3-карбоновой кислоты (45 мг, 0,17 ммоль) в дихлорметане (3 мл) при 25°С обрабатывают трифенилфосфином (71 мг, 0,22 ммоль). Эту смесь охлаждают до 0°С и затем обрабатывают N-хлорсукцинимидом (36 мг, 0,22 ммоль). Эту смесь перемешивают при 0°С в течение 15 минут и затем согревают до 25°С в течение 15 минут. После этого реакционную смесь обрабатывают 3-циклопропилметил-1-(2-фторбензил)-8-(4-метиламинобензил)-3,7-дигидропурин-2,6-дионом (75 мг, 0,17 ммоль). Этот раствор затем охлаждают до 0°С и обрабатывают ТЭА (38 мкл, 0,22 ммоль). Реакционную смесь согревают до 25°С и перемешивают при 25°С в течение 18 часов. После этого реакционную смесь разбавляют дихлорметаном (100 мл) и промывают насыщенным водным раствором бикарбоната натрия (1×50 мл). Органический слой сушат над сульфатом магния, фильтруют и концентрируют в вакууме. Полученный остаток очищают ЖХВД (15-60% ацетонитрил/вода (0,075% трифторуксусной кислоты в обоих растворителях) более 40 минут). Фракции с целевым продуктом объединяют и концентрируют в вакууме. Полученный остаток разбавляют дихлорметаном (100 мл) и промывают насыщенным водным раствором бикарбоната натрия (1×25 мл). Водный слой повторно экстрагируют дихлорметаном (1×50 мл). Объединенные органические слои сушат над сульфатом магния, фильтруют и концентрируют в вакууме. Образовавшееся твердое вещество высушивают в вакууме в течение 24 часов и получают {4-[3-циклопропилметил-1-(2-фторбензил)-2,6-диоксо-2,3,6,7-тетрагидро-1H-пурин-8-илметил]-фенил}метиламид 4-ацетиламино-2-метилтиофен-3-карбоновой кислоты (27,8 мг, 26,1%): EI-HRMS m/e рассчитано для C32H31N6O4SF (M+Na)+ 637,2004, обнаружено 637, 2018. Пример 114 {4-[3-Циклопропилметил-1-(2-фторбензил)-2,6-диоксо-2,3,6,7-тетрагидро-1H-пурин-8-илметил]фенил}метиламид 5-метилизоксазол-4-карбоновой кислоты Смесь 5-метилизоксазол-4-карбоновой кислоты (7,3 мг, 0,05 ммоль) в дихлорметане (1,0 мл) при 25°С обрабатывают трифенилфосфином (17 мг, 0,06 ммоль). Эту смесь охлаждают до 0°С и затем обрабатывают N-хлорсукцинимидом (10 мг, 0,07 ммоль). Эту смесь перемешивают при 0°С в течение 15 минут и затем согревают до 25°С в течение 20 минут. После этого реакционную смесь обрабатывают 3-циклопропилметил-1-(2-фторбензил)-8-(4-метиламинобензил)-3,7-дигидропурин-2,6-дионом (50 мг, 0,11 ммоль). Реакционную смесь перемешивают при 25°С в течение 18 часов. После этого реакционную смесь разбавляют дихлорметаном (50 мл) и затем промывают насыщенным водным раствором бикарбоната натрия (1×10 мл). Органический слой сушат над сульфатом магния, фильтруют и концентрируют в вакууме. После экспресс-хроматографии (Силикагель 60 фирмы Merck, 230-400 меш, 3:97 метанол/дихлорметан) получают неочищенный продукт. Полученный остаток очищают ЖХВД (15-60% ацетонитрил/вода (0,075% трифторуксусной кислоты в обоих растворителях) более 40 минут). Фракции с целевым продуктом объединяют и концентрируют в вакууме. Полученный остаток разбавляют дихлорметаном (100 мл) и промывают насыщенным водным раствором бикарбоната натрия (25 мл). Водный слой повторно экстрагируют дихлорметаном (1×50 мл). Объединенные органические слои сушат над сульфатом магния, фильтруют и концентрируют в вакууме. Образовавшееся твердое вещество высушивают в вакууме в течение 24 часов и получают {4-[3-циклопропилметил-1-(2-фторбензил)-2,6-диоксо-2,3,6,7-тетрагидро-1H-пурин-8-илметил]фенил}метиламид 5-метилизоксазол-4-карбоновой кислоты (7,6 мг, 24,4%) в виде твердого вещества желтоватого цвета: EI-HRMS m/e рассчитано для C29H27N6O4F (M+) 542,2078, обнаружено 542,2083. Пример 115 3-Амид-2-({4-[3-Циклопропилметил-1-(2-фторбензил)-2,6-диоксо-2,3,6,7-тетрагидро-1H-пурин-8-илметил]фенил}метиламид)тиофен-2,3-дикарбоновой кислоты Стадия 1: Получение 3-карбамоилтиофен-2-карбоновой кислоты.
Раствор метилового эфира 3-карбамоилтиофен-2-карбоновой кислоты (125 мг, 0,67 ммоль) в метаноле (2,0 мл) при 25°С обрабатывают 1 н. водным раствором гидроокиси натрия (2,0 мл, 2,02 ммоль). Реакционную смесь перемешивают при 25°С в течение 18 часов. После этого реакционную смесь концентрируют в вакууме. Остаток разбавляют водой (10 мл) и затем подкисляют до рН 2 1 н. водным раствором соляной кислоты. Образовавшуюся жидкую массу охлаждают до 0°С. Осадок собирают фильтрацией, промывают водой и высушивают в вакууме с получением 3-карбамоилтиофен-2-карбоновой кислоты (102 мг, 88,3%) в виде твердого вещества желтоватого цвета: LR-MS для С6Н5NO3S (М-Н)+ при m/z=170. Стадия 2: Получение 3-амида 2-({4-[3-циклопропилметил-1-(2-фторбензил)-2,6-диоксо-2,3,6,7-тетрагидро-1Н-пурин-8-илметил]фенил}метиламида)тиофен-2,3-дикарбоновой кислоты Смесь 3-карбамоилтиофен-2-карбоновой кислоты (38 мг, 0,22 ммоль) в дихлорметане (3,0 мл) при 25°С обрабатывают трифенилфосфином (71 мг, 0,27 ммоль). Эту смесь охлаждают до 0°С и затем обрабатывают N-хлорсукцинимидом (36 мг, 0,27 ммоль). Эту смесь перемешивают при 0°С в течение 15 минут и затем согревают до 25°С в течение 15 минут. После этого реакционную смесь обрабатывают 3-циклопропилметил-1-(2-фторбензил)-8-(4-метиламинобензил)-3,7-дигидропурин-2,6-дионом (75 мг, 0,17 ммоль). Реакционную смесь охлаждают до 0°С и затем обрабатывают ТЭА (38 мкл, 0,27 ммоль). Реакционную смесь перемешивают при 25°С в течение 18 часов. После этого реакционную смесь разбавляют дихлорметаном (100 мл) и затем промывают насыщенным водным раствором бикарбоната натрия (1×25 мл). Органический слой сушат над сульфатом магния, фильтруют и концентрируют в вакууме. После экспресс-хроматографии (Силикагель 60 фирмы Merck, 230-400 меш, 1:99 метанол/дихлорметан) получают 3-амид 2-({4-[3-циклопропилметил-1-(2-фторбензил)-2,6-диоксо-2,3,6,7-тетрагидро-1H-пурин-8-илметил]фенил}метиламид)тиофен-2,3-дикарбоновой кислоты (37 мг, 36,5%) в виде твердого вещества белого цвета: EI-HRMS m/e рассчитано для C30H27N6O4SF (M+Na)+ 609,1691, обнаружено 609, 1698. Пример 116 {4-[3-Циклопропилметил-1-(2-фторбензил)-2,6-диоксо-2,3,6,7-тетрагидро-1H-пурин-8-илметил]фенил}метиламид 4-амино-1-метил-1H-пиразол-3-карбоновой кислоты Стадия 1: Получение метилового эфира 4-нитро-1H-пиразол-3-карбоновой кислоты
Смесь 4-нитро-1H-пиразол-3-карбоновой кислоты (2,0 г, 12,7 ммоль) в дихлорметане при 25°С обрабатывают гидрохлоридом 1-(3-диметиламинопропил)-3-этилкарбодиимида (2,68 г, 14,0 ммоль), метанолом (8,2 мл) и 4-диметиламинопиридином (155 мг, 1,27 ммоль). Реакционную смесь перемешивают при 25°С в течение 18 часов. После этого реакционную смесь разбавляют дихлорметаном и промывают 1 н. водным раствором соляной кислоты (1×50 мл). Органический слой сушат над сульфатом магния, фильтруют и концентрируют в вакууме. После экспресс-хроматографии (Силикагель 60 фирмы Merck, 230-400 меш, 45:55 этилацетат/петролейный эфир) получают метиловый эфир 4-нитро-1H-пиразол-3-карбоновой кислоты (1,06 г, 48,8%) в виде твердого вещества белого цвета: LR-MS для С5Н5N3О4 (М-Н)+ при m/z=170. Стадия 2: Получение метилового эфира 1-метил-4-нитро-1H-пиразол-3-карбоновой кислоты
Смесь гидрида натрия (167 мг, 6,96 ммоль) в ТГФ (15 мл), охлажденную до 0°С, обрабатывают раствором метилового эфира 4-нитро-1H-пиразол-3-карбоновой кислоты (1,0 г, 5,8 ммоль) в ТГФ (10 мл). Эту смесь перемешивают при 0°С в течение 1 часа. Затем смесь обрабатывают метилйодидом (0,54 мл, 8,7 ммоль). Реакционную смесь перемешивают при 25°С в течение 18 часов. После этого реакционную смесь охлаждают до 0°С, затем гасят насыщенным водным раствором хлорида аммония и разбавляют этилацетатом (200 мл). Этот раствор промывают водой (1×100 мл) и насыщенным водным раствором хлорида натрия (1×100 мл). Органический слой сушат над сульфатом магния, фильтруют и концентрируют в вакууме. Образовавшееся твердое вещество размешивают в 40% этилацетате/петролейном эфире и охлаждают в морозильнике в течение 15 минут. После этого осадок собирают фильтрацией и получают метиловый эфир 1-метил-4-нитро-1H-пиразол-3-карбоновой кислоты (889 мг, 82,8%) в виде твердого вещества белого цвета: 1Н ЯМР (ДМСО-d6, 300 МГц): Стадия 3: Получение метилового эфира 4-амино-1-метил-1H-пиразол-3-карбоновой кислоты
Смесь метилового эфира 1-метил-4-нитро-1H-пиразол-3-карбоновой кислоты (500 мг, 2,7 ммоль) и 10% палладия на угле (50 мг) в метаноле (25 мл) взаимодействует с газообразным водородом под давлением 60 фунт/кв.дюйм в аппарате Парра в течение 24 часов. После этого реакционную смесь фильтруют через слой целлита и промывают метанолом. Фильтрат концентрируют в вакууме с получением метилового эфира 4-амино-1-метил-1H-пиразол-3-карбоновой кислоты (402 мг, 96%) в виде твердого вещества желтоватого цвета: 1Н ЯМР (ДМСО-d6, 300 МГц): Стадия 4: Получение метилового эфира 1-метил-4-(тритиламино)-1H-пиразол-3-карбоновой кислоты
Раствор метилового эфира 4-амино-1-метил-1H-пиразол-3-карбоновой кислоты (160 мг, 1,03 ммоль) в N,N-диметилформамиде (ДМФА) (1,0 мл) при 25°С обрабатывают ТЭА (0,35 мл, 2,6 ммоль) и трифенилметилхлоридом (316 мг, 1,13 ммоль). Для лучшего перемешивания к реакционной смеси добавляют дополнительно 2,0 мл ДМФА. Реакционную смесь перемешивают при 25°С в течение 18 часов. После этого реакционную смесь концентрируют в вакууме. Остаток растворяют в дихлорметане (50 мл) и затем промывают 1 н. водным раствором соляной кислоты (1×10 мл), насыщенным водным раствором бикарбоната натрия (1×10 мл) и насыщенным водным раствором хлорида натрия (1×10 мл). Органический слой сушат над сульфатом магния, фильтруют и концентрируют в вакууме с получением метилового эфира 1-метил-4-(тритиламино)-1H-пиразол-3-карбоновой кислоты (373 мг, 91,1%) в виде твердого вещества желтоватого цвета: 1Н ЯМР (ДМСО-d6, 300 МГц): Стадия 5: Получение 1-метил-4-(тритиламино)-1H-пиразол-3-карбоновой кислоты
Раствор метилового эфира 1-метил-4-(тритиламино)-1H-пиразол-3-карбоновой кислоты (70 мг, 0,18 ммоль) в метаноле (2,0 мл), охлажденный до 0°С, обрабатывают 1н. водным раствором гидроокиси натрия (0,7 мл, 0,70 ммоль). Реакционную смесь перемешивают при 25°С в течение 18 часов. После этого реакционную смесь обрабатывают другой порцией 1н. водного раствора гидроокиси натрия (0,7 мл, 0,70 ммоль). Реакционную смесь перемешивают в течение 24 часов. После этого реакционную смесь нагревают при 50°С в течение 5 дней. Затем реакционную смесь концентрируют в вакууме. Остаток растворяют в дихлорметане и метаноле и затем доводят рН раствора до 4 добавлением 1н. водного раствора соляной кислоты. Полученную смесь концентрируют в вакууме. Осадок размешивают в холодной воде, собирают фильтрацией, промывают водой и высушивают в вакууме с получением 1-метил-4-(тритиламино)-1H-пиразол-3-карбоновой кислоты (60 мг, 88,9%) в виде твердого вещества желтоватого цвета: EI-HRMS m/e рассчитано для С24Н21N3O2 (M+Na)+ 406,1526, обнаружено 406,1526. Стадия 6: Получение {4-[3-циклопропилметил-1-(2-фторбензил)-2,6-диоксо-2,3,6,7-тетрагидро-1H-пурин-8-илметил]фенил}метиламида4-амино-1-метил-1H-пиразол-3-карбоновой кислоты Смесь 1-метил-4-(тритиламино)-1H-пиразол-3-карбоновой кислоты (44 мг, 0,46 ммоль) в дихлорметане (1,0 мл) при 25°С обрабатывают трифенилфосфином (40 мг, 0,30 ммоль). Эту смесь охлаждают до 0°С и затем обрабатывают N-хлорсукцинимидом (20 мг, 0,30 ммоль). Эту смесь перемешивают при 0°С в течение 15 минут и затем согревают до 25°С в течение 15 минут. После этого реакционную смесь обрабатывают 3-циклопропилметил-1-(2-фторбензил)-8-(4-метиламинобензил)-3,7-дигидропурин-2,6-дионом (100 мг, 0,23 ммоль). Реакционную смесь перемешивают при 25°С в течение 4 дней. После этого реакционную смесь разбавляют дихлорметаном и затем промывают насыщенным водным раствором бикарбоната натрия (1×25 мл). Органический слой сушат над сульфатом магния, фильтруют и концентрируют в вакууме. После экспресс-хроматографии (Силикагель 60 фирмы Merck, 230-400 меш, 2:98 метанол/дихлорметан) получают {4-[3-циклопропилметил-1-(2-фторбензил)-2,6-диоксо-2,3,6,7-тетрагидро-1H-пурин-8-илметил]фенил}метиламид 4-амино-1-метил-1Н-пиразол-3-карбоновой кислоты (17 мг, 13,3%): 1H ЯМР (ДМСО-d6, 300 МГц): Пример 117 {4-[3-Циклопропилметил-1-(2-фторбензил)-2,6-диоксо-2,3,6,7-тетрагидро-1H-пурин-8-илметил]фенил}этиламид 1,3,5-триметил-1H-пиразол-4-карбоновой кислоты Данное соединение получают методом, показанным на схеме 13. Стадия 1: Получение 3-циклопропилметил-8-[4-(этиламино)бензил)]-1-(2-фторбензил)-3,7-дигидропурин-2,6-диона
К суспензии 10% палладия на угле (0,10 г) в ТГФ (50 мл) добавляют 3-циклопропилметил-8-[4-аминобензил]-1-(2-фторбензил)-3,7-дигидропурин-2,6-дион (получают по методу, описанному в примере 64, стадия 1) (0,21 г, 0,50 ммоль) и ацетальдегид (72,6 мкл, 1,3 ммоль). Смесь перемешивают в атмосфере водорода при давлении 1 атмосфера и комнатной температуре в течение 3 дней. Катализатор удаляют фильтрацией через целит, промывают осадок на фильтре ТГФ и метанолом. Объединенный фильтрат концентрируют в вакууме и остаток очищают хроматографией на силикагеле при элюировании смесью 1:1 гексан/этилацетат. Концентрация соответствующих фракций приводит к продукту в виде бесцветного твердого вещества (0,14 г, 62%). МС, m/z (M+H)=553. Стадия 2: Получение {4-[3-циклопропилметил-1-(2-фторбензил)-2,6-диоксо-2,3,6,7-тетрагидро-1H-пурин-8-илметил]фенил}этиламида 1,3,5-триметил-1H-пиразол-4-карбоновой кислоты. Суспензию трифенилфосфина (59,3 мг, 0,226 ммоль) и 1,3,5-триметил-1H-пиразол-4-карбоновой кислоты (фирмы SALOR) (26,8 мг, 0,174 ммоль) в дихлорметане охлаждают и добавляют N-хлорсукцинимид. Смесь перемешивают при 0°С в течение 0,5 часа, затем при комнатной температуре дополнительно 0,5 часа. 3-Циклопропилметил-8-[4-(этиламино)бензил]-1-(2-фторбензил)-3,7-дигидропурин-2,6-дион (93,4 мг, 0,209 ммоль) добавляют после ТЭА (30,2 мг, 0,226 ммоль) и 4-диметиламинопиридина (несколько кристаллов). Реакционную смесь перемешивают при комнатной температуре в течение ночи, затем промывают 1М водным раствором соляной кислоты, насыщенным водным раствором бикарбоната натрия, органический экстракт сушат над сульфатом натрия и концентрируют в вакууме. Очистка хроматографией на силикагеле при элюировании смесью 5:9 метанол/дихлорметан приводит к продукту в виде бесцветного твердого вещества (83,5 мг, 69%). МС, m/z (M+H)=584,2787. Пример 118 N-Бутил-N-{4-[3-бутил-1-(2-фторбензил)-2,6-диоксо-2,3,6,7-тетрагидро-1H-пурин-8-илметил]фенил}-6-метилникотинамид Данное соединение получают методами, показанными на схемах 4 и 13. Стадия 1: Получение 3-бутил-8-(4-бутиламинобензил)-1-(2-фторбензил)-3,7-дигидропурин-2,6-диона. Данное соединение выделяют как побочный продукт в примере 87 (стадия 1). Получают смесь 2:1 8-(аминобензил)-3-бутил-1-(2-фторбензил)-3,7-дигидропурин-2,6-диона и 3-бутил-8-(4-бутиламинобензил)-1-(2-фторбензил)-3,7-дигидропурин-2,6-диона, которую разделяют хроматографией на силикагеле при элюировании смесью 96:4 хлороформ/метанол. МС, m/z (M+H)=478,2. Стадия 2: Получение N-бутил-N-{4-[3-бутил-1-(2-фторбензил)-2,6-диоксо-2,3,6,7-тетрагидро-1H-пурин-8-илметил]фенил}-6-метилникотинамида. Данное соединение получают методом, подобным методу, описанному в примере 86, за исключением того, что вместо 3-циклопропилметил-8-[4-(метиламино)бензил]-1-(2-фторбензил)-3,7-дигидропурин-2,6-диона используют 3-бутил-8-(4-бутиламинобензил)-1-(2-фторбензил)-3,7-дигидропурин-2,6-дион и в качестве конечных реагентов к реакционной смеси добавляют избыток ТЭА и каталитическое количество 4-диметиламинопиридина. Продукт очищают хроматографией на силикагеле при элюировании смесью 96:4 хлороформ/метанол. МС, m/z (M+)=597,2990. Пример 119 N-{4-[3-Циклопропилметил-1-(2-фторбензил)-2,6-диоксо-2,3,6,7-тетрагидро-1H-пурин-8-илметил]фенил}-N-изопропил-6-метилникотинамид Данное соединение получают методом, показанным в схеме 13. Стадия 1: Получение 3-циклопропилметил-8-[4-((1-метил)этиламино)бензил]-1-(2-фторбензил)-3,7-дигидропурин-2,6-диона.
К раствору 3-циклопропилметил-8-[4-аминобензил]-1-(2-фторбензил)-3,7-дигидропурин-2,6-диона (0,21 г, 0,50 ммоль) в ТГФ (5 мл) добавляют ацетон (36,7 мкл, 5,0 ммоль) и цианоборогидрид натрия (фирмы Aldrich, номер по каталогу 15,615-9) (94,3 мг, 1,5 ммоль). Смесь интенсивно перемешивают при комнатной температуре и добавляют ледяную уксусную кислоту (J.T.Baker, номер по каталогу 9508-5) (50 мкл, 0,87 ммоль). Через 3 часа дополнительно добавляют ледяную уксусную кислоту (50 мкл, 0,87 ммоль) и смесь дополнительно перемешивают при комнатной температуре в течение 1 часа. Реакционную смесь разбавляют дихлорметаном и промывают 1М водным раствором гидроокиси натрия (2 р.), рассолом (насыщенным водным раствором хлорида натрия), сушат над сульфатом натрия и концентрируют в вакууме. Остаток очищают хроматографией на кремнеземе силикагеле при элюировании смесью 1:2 гексан/этилацетат. Концентрация соответствующих фракций приводит к продукту в виде бесцветного твердого вещества (0,055 г, 23%). 1Н ЯМР, Стадия 2: Получение N-{4-[3-циклопропилметил-1-(2-фторбензил)-2,6-диоксо-2,3,6,7-тетрагидро-1H-пурин-8-илметил]фенил}-N-изопропил-6-метилникотинамида. Данное соединение получают методом, подобным методу, описанному в Примере 86, за исключением того, что вместо 3-циклопропилметил-8-[4-(метиламино)бензил]-1-(2-фторбензил)-3,7-дигидропурин-2,6-диона используют 3-циклопропилметил-8-[4-((1-метил)этиламино)бензил]-1-(2-фторбензил)-3,7-дигидропурин-2,6-дион. После добавления анилина к реакционной смеси добавляют 1,5 экв. ТЭА и каталитическое количество 4-диметиламинопиридина и проводят реакцию в течение 96 часов при комнатной температуре, после чего применяют стандартную процедуру обработки. После очистки хроматографией на силикагеле при элюировании смесью 4:96 метанол/дихлорметан получают продукт в виде бесцветного твердого вещества с выходом 14%. МС, m/z (M+H)=581,2673. Пример 120 N-{4-[3-Циклопропилметил-1-(2-фторбензил)-2,6-диоксо-2,3,6,7-тетрагидро-1H-пурин-8-илметил]фенил}-N-изопропил-2-пиридин-3-илацетамид Данное соединение получают методом, подобным методу, описанному в примере 91, за исключением того, что вместо 3-циклопропилметил-8-[4-(метиламино)бензил]-1-(2-фторбензил)-3,7-дигидропурин-2,6-диона используют 3-циклопропилметил-8-[4-((1-метил)этиламино)бензил]-1-(2-фторбензил)-3,7-дигидропурин-2,6-дион. ТЭА опускают и 1,5 экв. 4-диметиламинопиридина добавляют к реакционной смеси после добавления анилина. Реакцию проводят в течение 24 часов при к.т., после чего применяют стандартную процедуру обработки. Продукт очищают хроматографией на силикагеле при элюировании смесью 6:94 метанол/дихлорметан. Для дальнейшей очистки продукта используют Хроматотрон, оборудованный 2 мм кремниевыми платами, при элюировании смесью 9:1 2-пропанол/дихлорметан. После лиофилизации от смеси ацетонитрил/вода получают продукт в виде бесцветного твердого вещества с выходом 8%. МС, m/z (M+H)=581,2666. Пример 121 N-Циклобутилметил-N-{4-[3-циклобутилметил-1-(2-фторбензил)-2,6-диоксо-2,3,6,7-тетрагидро-1H-пурин-8-илметил]фенил}-6-метилникотинамид Данное соединение получают методами, показанными на схемах 4 и 13. Стадия 1: Получение 3-циклобутилметил-8-[4-(циклобутилетиламино)бензил]-1-(2-фторбензил)-3,7-дигидропурин-2,6-диона Данное соединение выделяют как побочный продукт в примере 88 (стадия 1). Получают 4:1 смесь 8-(4-аминобензил)-3-циклобутилметил-1-(2-фторбензил)-3,7-дигидропурин-2,6-диона и 3-циклобутилметил-8-[4-(циклобутилметиламино)бензил]-1-(2-фторбензил)-3,7-дигидропурин-2,6-диона. 3-Циклобутилметил-8-[4-(циклобутилметиламино)бензил]-1-(2-фторбензил)-3,7-дигидропурин-2,6-дион выделяют хроматографией на силикагеле при элюировании смесью 5:2 этилацетат/гексан. МС, m/z (M+H)=502,2. Стадия 2: Получение N-циклобутилметил-N-{4-[3-циклобутилметил-1-(2-фторбензил)-2,6-диоксо-2,3,6,7-тетрагидро-1H-пурин-8-илметил]фенил}-6-метилникотинамид Данное соединение получают методом, подобным методу, описанному в Примере 86, за исключением того, что вместо 3-циклопропилметил-8-[4-(метиламино)бензил]-1-(2-фторбензил)-3,7-дигидропурин-2,6-диона используют 3-циклобутилметил-8-[4-(циклобутилметиламино)бензил]-1-(2-фторбензил)-3,7-дигидропурин-2,6-дион и в качестве конечных реагентов к реакционной смеси добавляют избыток ТЭА и каталитическое количество 4-диметиламинопиридина. Продукт очищают хроматографией на силикагеле при элюировании смесью 7:3 этилацетат/гексан. МС, m/z(M+)=621,2981. В соответствии с настоящим изобретением терапевтически эффективное количество соединения может варьироваться в широких пределах и может быть определено известным в данной области методом. Такая дозировка подбирается в соответствии с индивидуальными требованиями в каждом конкретном случае, включая специфическое соединение или соединения, которые принимаются пациентом, путь введения, состояние больного. В целом, в случае парентерального введения, для взрослых с массой тела приблизительно 70 кг суточная доза должна составлять от приблизительно 10 мг до приблизительно 10000 мг, предпочтительно от приблизительно 200 мг до приблизительно 1000 мг, хотя верхний предел может быть превышен по показаниям. Суточная доза может быть принята в виде разовой или раздельных доз или, в случае парентерального введения, в виде продолжительного вливания. Приведенные примеры представляют изобретение, но не ограничивают его возможности. Пример А Таблеточная форма
Технология производства Смешивают №№1, 2 и 3 в соответствующем смесителе в течение 15 минут. Гранулируют смесь порошков со стадии 1 с 20% раствором Повидона К30 (№4). Высушивают гранулят со стадии 2 при 50°С. Пропускают гранулят со стадии 3 через соответствующую мельницу. Добавляют №5 к смолотому грануляту стадии 4 и смешивают в течение 3 минут. Прессуют гранулят со стадии 5 на соответствующем прессе. Пример Б Капсулированная форма
Технология производства Смешивают №№1, 2 и 3 в соответствующем смесителе в течение 15 минут. Добавляют №№4 и 5 и смешивают в течение 3 минут. Наполняют соответствующую капсулу. Пример В Приготовление инъекционного раствора/эмульсии
Технология производства Растворяют №1 в №2. Добавляют №№3, 4 и 5 к №6 и смешивают до однородной массы, затем гомогенизируют. Добавляют раствор со стадии 1 к смеси со стадии 2 и гомогенизируют до тех пор, пока дисперсия не станет прозрачной. Стерильно фильтруют через 0,2 мкм фильтр и заполняют пробирки. Пример Г Приготовление инъекционного раствора/эмульсии
Технология производства: Растворяют №1 в №2. Добавляют №№3, 4 и 5 к №6 и смешивают до однородной массы, затем гомогенизируют. Добавляют раствор со стадии 1 к смеси со стадии 2 и гомогенизируют до тех пор, пока дисперсия не станет прозрачной. Стерильно фильтруют через 0,2 мкм фильтр и заполняют пробирки. Хотя изобретение проиллюстрировано со ссылкой на специфические и предпочтительные варианты его выполнения, квалифицированным специалистам в данной области понятно, что в процессе обычного экспериментирования и практического осуществления изобретения могут возникнуть изменения и модификации. Таким образом, изобретение не должно быть ограничено вышеприведенным описанием, но его объем определяется прилагающимися пунктами формулы изобретения и их эквивалентами.
Формула изобретения
1. Соединение формулы
в котором R1 выбран из группы, содержащей низший алкенил, низший алкинил, низший алкенил, замещенный галогеном, фенил и фенил, замещенный одним или двумя заместителями, независимо выбранными из группы, содержащей галоген, гидрокси, низшую алкоксигруппу, нитрогруппу, аминогруппу и 5-или 6- членное ароматическое гетероциклическое кольцо, имеющее 1, 2, 3 или 4 атома азота, присоединенное к фенилу посредством атома углерода кольца; R2 выбран из группы, содержащей незамещенный низший алкил, низший алкил, замещенный низшей алкоксигруппой или гидрокси, низший алкенил, фенил, -(СН2)n– незамещенный низший циклоалкил и -(СН2)n– низший циклоалкил, замещенный по меньшей мере одним заместителем, выбранным из группы, содержащей карбоксигруппу, низший алкил, карбокси-низший алкил и низший алкил, замещенный гидрокси, -(СН2)n-С(O)Rb, где Rb выбран из группы, содержащей гидроксил, низшую алкоксигруппу, -NHRc, где Rc выбран из группы, содержащей водород, бензил, низший алкил и -NHRd, и при этом Rd выбран из группы, содержащей водород и карбокси-низший алкил; -(СН2)n– незамещенное ароматическое пятичленное гетероциклическое кольцо, содержащее один атом кислорода или серы, -(СН2)n– ароматическое пятичленное гетероциклическое кольцо, содержащее один атом кислорода или серы, причем кольцо замещено остатком карбоновой кислоты, -(СН2)n– незамещенное ароматическое пятичленное гетероциклическое кольцо, содержащее 1, 2 или 3 атома азота, -(СН2)n– неароматическое пяти- или шестичленное гетероциклическое кольцо, содержащее по меньшей мере один атом кислорода и ни одного или два атома азота, причем неароматическое гетероциклическое кольцо не имеет заместителей либо содержит один из углеродных атомов кольца в форме карбонила, и в котором R3 обозначает
где Q означает N или CH при условии, что когда Q означает N, то Re представлен -NH-С(O)-СН3 и Rf представлен H, когда Q означает СН, то Re представлен -NRg-С(О)-Rf или
a Rf выбран из группы, содержащей Н, -NH2 и -NH-С(O)-СН3, Rg выбран из группы, содержащей Н, низший алкил и -(CH2)n-незамещенный низший циклоалкил, Rh выбран из группы, содержащей -(СН2)n– 5- или 6-членное ароматическое гетероциклическое кольцо, содержащее один, два или три гетероатома, независимо выбранных из группы, содержащей N, О и S, причем ароматическое гетероциклическое кольцо незамещено или имеет по меньшей мере один заместитель, независимо выбранный из группы, содержащей низший алкил, низшую алкоксигруппу, гидрокси, галоген, -NH2, -NH-С(O)-низший алкил, -CN, -C(O)-NH2 и SO2-низший алкил, низший алкил, низший алкил замещенный по меньшей мере одним заместителем, независимо выбранным из группы, содержащей галоген, фенил и -(CH2)nNRiRi, где Ri независимо выбран из группы, содержащей H, низший алкил и карбоксибензильную группу, -NHRj, где Rj выбран из группы, содержащей 5- или 6-членное ароматическое гетероциклическое кольцо, содержащее один, два или три гетероатома, независимо выбранных из группы, содержащей N, О и S, причем гетероциклическое кольцо замещено по меньшей мере одним заместителем, выбранным из группы, содержащей галоген, низший алкил и фенил, C(O)Rk, где Rk обозначает 5- или 6-членное ароматическое гетероциклическое кольцо, содержащее один, два или три гетероатома, независимо выбранных из группы, содержащей N, О и S, причем гетероциклическое кольцо является незамещенным или замещено по меньшей мере одним низшим алкилом, фенил, фенил, замещенный по меньшей мере одним заместителем, независимо выбранным из группы, содержащей низшую алкил, низший алкоксигруппу, -(CH2)m-NHR1, где R1 выбран из группы, содержащей Н, низший алкил и карбоксибензильную группу, и в котором Т обозначает NH или СН2 при условии, что если Т означает NH, то Rw и Rx совместно с атомом углерода, к которому они присоединены, образуют -С(O)-, а Ry выбран из группы, содержащей H и -(CH2)ORz,где Rz выбран из группы, содержащей водород и низший алкил, а если Т означает СН2, то Rw и Rx обозначают водород или совместно с атомом углерода, к которому они присоединены, образую -С(O)-; и n означает 0,1 или 2; m означает 0 или 1, или их фармацевтически приемлемые соли. 2. Соединение по п.1, в котором R1 обозначает незамещенный фенил или фенил, замещенный по меньшей мере одним заместителем, выбранным из группы, содержащей галоген, аминогруппу, низшую алкоксигруппу, гидрокси, нитрогруппу и 5- или 6-членное гетероциклическое кольцо, содержащее 1, 2, 3 или 4 атома азота, причем гетероциклическое кольцо присоединено к фенилу посредством атома углерода кольца. 3. Соединение по п.2, в котором R1 выбран из группы, содержащей 4. Соединение по п.1, представленное формулой
где R2,R3 имеют значения, указанные в п.1. 5. Соединение по п.4, в котором R2 выбран из группы, содержащей фенил, -(СН2)n– незамещенное ароматическое 5-членное гетероциклическое кольцо, содержащее один гетероатом, выбранный из О или S, -(СН2)n– ароматическое 5-членное гетероциклическое кольцо, содержащее один гетероатом, выбранный из группы, состоящей из О и S, причем 5-членное гетероциклическое кольцо, замещено остатком карбоновой кислоты, -(CH2)n– незамещенное ароматическое гетероциклическое кольцо, содержащее один, два или три атома азота, и -(СН2)n– неароматическое гетероциклическое кольцо, содержащее по меньшей мере один атом кислорода и ни одного или два атома азота, причем неароматическое гетероциклическое кольцо не содержит заместителей или имеет один углеродный атом в кольце в виде карбонила. 6. Соединение по п.4, в котором R2 выбран из группы, содержащей низший алкил, низший алкил, замещенный низшей алкоксигруппой или гидроксигруппой, и низший алкенил. 7. Соединение по п.6, в котором R2 обозначает незамещенный низший алкил или низший алкенил. 8. Соединение по п.6, в котором R2 обозначает низший алкил, замещенный гидроксигруппой или низшей алкоксигруппой. 9. Соединение формулы 1а в соответствии с п.4, в котором R2 обозначает -(СН2)n-C(O)Rb, где Rb выбран из группы, содержащей гидроксил, низшую алкоксигруппу, и -NHRc, где Rc выбран из группы, содержащей водород, бензил, низший алкил и -NHRd, где Rd обозначает водород или карбокси-низший алкил. 10. Соединение по п.4, в котором R2 обозначает -(СН2)n– незамещенный циклоалкил. 11. Соединение по п.10, в котором R2 обозначает -СН2-циклобутил. 12. Соединение по п.10, в котором R2 обозначает -СН2-циклопропил. 13. Соединение по п.10, представленное формулой
где R3 обозначает
где Q обозначает N или СН при условии, что когда Q означает N, Re обозначает -NH-С(O)-СН3 и Rf обозначает H, когда Q означает СН, Re обозначает -NRg-С(O)-Rh или
a Rf выбран из группы, содержащей H, -NH2 и -NH-C(O)-CH3, Rg выбран из группы, содержащей Н, низший алкил и -(СН2)n– незамещенный низший циклоалкил, Rh выбран из группы, содержащей -(СН2)n– 5- или 6-членное ароматическое гетероциклическое кольцо, содержащее один, два или три гетероатома, независимо выбранные из группы, содержащей N, О и S, причем ароматическое гетероциклическое кольцо незамещено или имеет по меньшей мере один заместитель, независимо выбранный из группы, содержащей низший алкил, низшую алкоксигруппу, гидрокси, галоген, -NH2, -NH-С(O)-низший алкил, -CN, -C(O)-NH2, низший алкил и SO2-низший алкил, низший алкил, низший алкил, замещенный по меньшей мере одним заместителем, независимо выбранным из группы, содержащей галоген, фенил и -(CH2)nNRiRi, где Ri независимо выбран из группы, содержащей Н, низший алкил и карбонилоксибензил, -NHRj, где Rj выбран из группы, содержащей 5- или 6-членное ароматическое гетероциклическое кольцо, содержащее один, два или три гетероатома, независимо выбранные из группы, содержащей N, О и S, причем гетероциклическое кольцо замещено по меньшей мере одним заместителем, выбранным из группы, содержащей галоген, низший алкил и фенил, -C(O)-Rk, где Rk обозначает 5- или 6-членное ароматическое гетероциклическое кольцо, содержащее один, два или три гетероатома, независимо выбранных из группы, содержащей N, О и S, причем ароматическое гетероциклическое кольцо является незамещенным или замещено по меньшей мере одним низшим алкилом, незамещенный фенил, фенил, замещенный заместителем, независимо выбранным из группы, содержащей низший алкил, низшую алкоксигруппу, -(CH2)m-NHR1, где R1 выбран из группы, содержащей Н, низший алкил и карбонилоксибензил, и в котором Т обозначает NH или СН2 при условии, что если Т означает NH, то Rw и Rx совместно с атомом углерода, к которому они присоединены, образуют группу -С(O)-, a Ry обозначает -(CH2)ORz, где Rz выбран из группы, содержащей водород и низший алкил, а если Т означает СН2, то Rw и Rx оба обозначают водород или совместно с атомом углерода, к которому они присоединены, образуют группу -С(O)-; и n означает 0,1 или 2; m означает 0 или 1, или их фармацевтически приемлемые соли. 14. Соединение по п.13, представленное формулой
в которой Rg выбран из группы, содержащей Н, низший алкил и -(СН2)n– незамещенный низший циклоалкил; и Rh выбран из группы, содержащей -(СН2)n– 5- или 6-членное ароматическое гетероциклическое кольцо, содержащее один, два или три гетероатома, независимо выбранные из группы, содержащей N, О и S, причем ароматическое гетероциклическое кольцо незамещено или замещено по меньшей мере одним заместителем, независимо выбранным из группы, содержащей низший алкил, низшую алкоксигруппу, гидрокси, галоген, -NH2, -NH-С(O)-низший алкил, -CN, -C(O)-NH2 и -SO2-низший алкил, низший алкил, низший алкил, замещенный по меньшей мере одним заместителем, независимо выбранным из группы, содержащей галоген, фенил и (CH2)nNRiRi, где Ri независимо выбран из группы, содержащей Н, низший алкил, низший алкил, замещенный галогеном и карбонилоксибензильной группой, -NHRj, где Rj выбран из группы, содержащей 5- или 6-членное ароматическое гетероциклическое кольцо, содержащее один, два или три гетероатома, независимо выбранные из группы, содержащей N, О и S, причем ароматическое гетероциклическое кольцо замещено по меньшей мере одним заместителем, выбранным из группы, содержащей галоген, низший алкил и незамещенное 6-членное ароматическое кольцо, -C(O)Rk, где Rk обозначает 5- или 6-членное ароматическое гетероциклическое кольцо, содержащее один, два или три гетероатома, независимо выбранных из группы, содержащей N, О и S, причем гетероциклическое кольцо является незамещенным или замещено по меньшей мере одним низшим алкилом, фенил, замещенный фенил, имеющий заместитель, независимо выбранный из группы, содержащей низший алкил, низшую алкоксигруппу, -(CH2)m-NHR1, где R1 выбран из группы, содержащей Н, низший алкил; и n обозначает 0, 1 или 2; m обозначает 0 или 1, или его фармацевтически приемлемые соли. 15. Соединение формулы Ic по п.14, в котором Rg обозначает низший алкил. 16. Соединение по п.14, в котором Rg обозначает этил. 17. Соединение по п.14, в котором Rg обозначает изопропил. 18. Соединение по п.14, в котором Rh обозначает -(СН2)т-5- или 6-членное ароматическое гетероциклическое кольцо, содержащее один, два или три гетероатома, независимо выбранные из группы, содержащей N, О и S, причем ароматическое гетероциклическое кольцо незамещено или имеет по меньшей мере один заместитель, выбранный из группы, содержащей низший алкил, низшую алкоксигруппу, гидрокси, галоген, аминогруппу, -NH-С(O)-низший алкил, -CN, -C(O)-NH2 и -SO2-низший алкил. 19. Соединение по п.18, в котором Rh обозначает незамещенное -(СН2)n– 5- или 6-членное незамещенное ароматическое гетероциклическое кольцо, содержащее один, два или три гетероатома, независимо выбранные из группы, содержащей N, О и S. 20. Соединение по п.15, в котором Rh обозначает -(СН2)n– 5- или 6-членное ароматическое гетероциклическое кольцо, содержащее один, два или три гетероатома, независимо выбранные из группы, содержащей N, О и S, причем ароматическое гетероциклическое кольцо замещено низшим алкилом. 21. Соединение по п.18, в котором 5- или 6-членное ароматическое гетероциклическое кольцо замещено галогеном и низшим алкилом, или аминогруппой, или аминогруппой и низшим алкилом, или низшей алкоксигруппой, или -CN. 22. Соединение по п.15, в котором Rh обозначает -C(O)-Rk, где Rk обозначает 5- или 6-членное ароматическое гетероциклическое кольцо, содержащее один, два или три гетероатома. 22. Соединение по п.15, в котором Rh обозначает -C(O)-Rk, где Rk обозначает 5- или 6-членное ароматическое гетероциклическое кольцо, содержащее один, два или три гетероатома, независимо выбранные из группы, содержащей N, О и S, причем ароматическое гетероциклическое кольцо незамещено или замещено по меньшей мере одним низшим алкилом. 23. Соединение по п.14, в котором Rg обозначает Н и Rh обозначает низший алкил, замещенный галогеном. 24. Соединение по п.14, в котором Rg обозначает Н и Rh обозначает -NHRj, где Rj выбран из группы, содержащей 5- или 6-членное ароматическое гетероциклическое кольцо, содержащее один, два или три гетероатома, независимо выбранные из группы, содержащей N, О и S, причем гетероциклическое кольцо замещено по меньшей мере одним заместителем, выбранным из группы, содержащей галоген, низший алкил и фенил. 25. Соединения по п.1, выбранные из группы, содержащей N-{4-[3-циклопропилметил-1-(2-фторбензил)-2,6-диоксо-2,3,6,7-тетрагидро-1Н-пурин-8-илметил]фенил}-5,N-диметил-никотинамид, N-{4-[3-циклопропилметил-1-(2-фторбензил)-2,6-диоксо-2,3,6,7-тетрагидро-1Н-пурин-8-илметил]фенил}-6,N-диметил-никотинамид, N-{4-[3-циклобутилметил-1-(2-фторбензил)-2,6-диоксо-2,3,6,7-тетрагидро-1Н-пурин-8-илметил]фенил}-6,N-диметил-никотинамид, N-{4-[3-циклопропилметил-1-(2-фторбензил)-2,6-диоксо-2,3,6,7-тетрагидро-1Н-пурин-8-илметил]фенил}-2,6-диметокси-N-метил-никотинамид, N-{4-[3-циклопропилметил-1-(2-фторбензил)-2,6-диоксо-2,3,6,7-тетрагидро-1Н-пурин-8-илметил]фенил}-Н-метил-2-пиридин-3-ил-ацетамид, 6-циано-N-{4-[3-циклопропилметил-1-(2-фторбензил)-2,6-диоксо-2,3,6,7-тетрагидро-1Н-пурин-8-илметил]фенил}-N-метил-никотинамид, 2-амино-N-(4-[3-циклопропилметил-1-(2-фторбензил)-2,6-диоксо-2,3,6,7-тетрагидро-1Н-пурин-8-илметил]фенил}-N-метил-никотинамид, 6-амино-N-{4-[3-циклопропилметил-1-(2-фторбензил)-2,6-диоксо-2,3,6,7-тетрагидро-1Н-пурин-8-илметил]фенил}-1H-метил-никотинамид, N-{4-[3-циклопропилметил-1-(2-фторбензил)-2,6-диоксо-2,3,6,7-тетрагидро-1Н-пурин-8-илметил]фенил}-2,N-диметил-никотинамид, {4-[3-циклопропилметил-1-(2-фторбензил)-2,6-диоксо-2,3,6,7-тетрагидро-1Н-пурин-8-илметил]фенил}метиламид пиримидин-5-карбоновой кислоты, N-{4-[3-циклопропилметил-1-(2-фторбензил)-2,6-диоксо-2,3,6,7-тетрагидро-1Н-пурин-8-илметил]фенил}-N-метил-никотинамид, {4-[3-циклопропилметил-1-(2-фторбензил)-2,6-диоксо-2,3,6,7-тетрагидро-1Н-пурин-8-илметил]фенил}метиламид 1,3,5-триметил-1Н-пиразол-4-карбоновой кислоты, N-{4-[3-циклопропилметил-1-(2-фторбензил)-2,6-диоксо-2,3,6,7-тетрагидро-1Н-пурин-8-илметил]фенил}-N-метил-2-оксо-2-(1,3,5-триметил-1Н-пиразол-4-ил)ацетамид, {4-[3-циклопропилметил-1-(2-фторбензил)-2,6-диоксо-2,3,6,7-тетрагидро-1Н-пурин-8-илметил]фенил}метиламид 3-хлор-1,5-диметил-1Н-пиразол-4-карбоновой кислоты, {4-[3-циклопропилметил-1-(2-фторбензил)-2,6-диоксо-2,3,6,7-тетрагидро-1Н-пурин-8-илметил]фенил}метиламид 2,4-диметилтиазол-5-карбоновой кислоты, {4-[3-циклопропилметил-1-(2-фторбензил)-2,6-диоксо-2,3,6,7-тетрагидро-1Н-пурин-8-илметил]фенил}метиламид 2-амино-4-метилтиазол-5-карбоновой кислоты, {4-[3-циклопропилметил-1-(2-фторбензил)-2,6-диоксо-2,3,6,7-тетрагидро-1Н-пурин-8-илметил]фенил}этиламид 1,3,5-триметил-1Н-пиразол-4-карбоновой кислоты, N-{4-[3-циклопропилметил-1-(2-фторбензил)-2,6-диоксо-2,3,6,7-тетрагидро-1Н-пурин-8-илметил]фенил}-N-изопропил-6-метилникотинамид, N-{4-[3-циклопропилметил-1-(2-фторбензил)-2,6-диоксо-2,3,6,7-тетрагидро-1Н-пурин-8-илметил]фенил}-Н-изопропил-2-пиридин-3-ил-ацетамид, и N-циклобутилметил-N-{4-[3-циклобутилметил-1-(2-фторбензил)-2,6-диоксо-2,3,6,7-тетрагидро-1Н-пурин-8-илметил]-фенил}-6-метил-никотинамид, или их фармацевтически приемлемые соли. 26. Способ получения соединения формулы I по любому из пп.1-25, включающий циклизацию соединения формулы II
где R1, R2 и R3 определены в любом из пп.1-25. 27. Соединения по любому из пп.1-25, полученные способом по п.26. 28. Фармацевтическая композиция, обладающая ингибирующим действием фосфоенолпируваткарбоксикиназы (ФЕПКК), содержащая соединение по любому из пп.1-25 и фармацевтически приемлемый носитель и/или адъювант. 29. Соединения по любому из пп.1-25, обладающие активностью, ингибирующей ФЕПКК. 30. Применение соединений по любому из пп.1-25 для ингибирования активности фосфоенолпируваткарбоксикиназы. 31. Применение соединений по любому из пп.1-25 для получения лекарственных средств для лечения и/или профилактики заболеваний, ассоциированных с фосфоенолпируваткарбоксикиназой. 32. Способ ингибирования активности фосфоенолпируваткарбоксикиназы, включающий введение эффективного количества соединения формулы I по п.1 или его фармацевтически приемлемой соли пациенту.
|
||||||||||||||||||||||||||||||||||||||||||||||||||||||||||||||||||||||||||||||||||||||||||||||||||||||||||||||||||||||||||||||||||||||||||||||||||||||||||||||||||||||||||||||||||||||||||||||||||||||||||||||||||||||||||||||||||||||||||||||||||||||||||




















-лактама общей формулы 37, применяя методику, показанную на Схеме 8. Когда соединения общей формулы 36 обрабатывали 6,6-диметил-5,7-диокса-спиро[2.5]октан-4,8-дионом в ДМФ при 100°С в соответствии с методикой Danishefsky и соавт., как описано в J.Am.Chem. Soc., 1975, т.97(11), с.3239, описанные первоначально формирующиеся производные 































н 0,95 (t, 3H), 1,40 (m, 2H), 1,58 (m, 2H), 4,02 (t, 2H), 5,80 (s, 1H), 8,93 (ушир. s, 1H).





























































































-аминоамиду, который добавляют к раствору диимидазол-1-ил-метанона (фирмы Aldrich) (40 мг, 0,24 ммоль) и диизопропилэтиламина (76 мкл, 0,44 ммоль) в дихлорметане (2 мл). Реакционную смесь перемешивают при к.т. в течение 3 ч и затем концентрируют в потоке азота. Сухую смесь очищают обращенной ЖХВД и получают продукт. LCMS, m/z (M+H)=589,20.










































































