Патент на изобретение №2295524
|
||||||||||||||||||||||||||||||||||||||||||||||||||||||||||||||||
(54) ГИДРОБРОМИД 5
(57) Реферат:
Изобретение относится к новому химическому соединению, конкретно к биологически активному соединению, обладающему антиаритмической активностью – гидробромиду 5′-бромлаппаконитина. Соединение является в 4,8 раза менее токсичным по сравнению с используемым в медицинской практике аналогом по строению и свойствам гидробромидом лаппаконитина, а также обладает выраженной антиаритмической активностью на моделях хлоридкальциевой и адреналиновой аритмии, обеспечивая полное блокирование обоих типов аритмии при введении в дозе на порядок ниже терапевтической дозы гидробромида лаппаконитина. 2 табл.
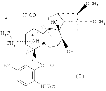
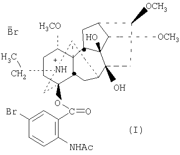
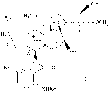
Изобретение относится к новому химическому соединению, конкретно к гидробромиду 5′-бромлаппаконитина, формулы (I),
обладающему антиаритмической активностью. Указанное свойство позволяет предполагать возможность использования соединения (I) в медицине в качестве фармацевтического препарата. В настоящее время достигнуты значительные успехи в разработке антиаритмических препаратов, относящихся к различным классам химических соединений. Относительно большой набор таких препаратов необходим для усовершенствования терапии и профилактики различного рода нарушений ритма сердца. Аналогом по свойствам и по структуре заявляемого соединения является препарат аллапинин (II), относящийся к группе мембраностабилизирующих средств и применяемый в медицинской практике в качестве антиаритмического агента с 1987 г. [1-8]. По химической структуре аллапинин представляет собой гидробромид лаппаконитина (III), алкалоида с аконитановым скелетом, выделяемого из воздушно-сухих корней борца северного Aconitum septentrionale Koelle и ряда родственных борцов. Многолетние клинические исследования показали высокую противоаритмическую эффективность аллапинина при лечении больных с желудочковыми и наджелудочковыми экстрасистолиями, пароксизмами мерцания и трепетания предсердий, пароксизмальной желудочковой и наджелудочковой тахикардией, в том числе при синдроме Вольфа-Паркинсона-Уайта [7]. Обнаружено также психотропное [9] и обезболивающее [10] действие лаппаконитина.
Основным недостатком для применения аллапинина (II) является его высокая токсичность [10, 11]. Задачей изобретения является создание химического соединения, обладающего эффективной и низкодозной антиаритмической активностью по отношению к различным формам аритмии. Поставленная задача достигается новым химическим соединением гидробромидом 5′-бромлаппаконитина формулы (I), обладающим выраженной антиаритмической активностью. Способ получения соединения (I) заключается в селективном методе введения атома брома в ароматическое кольцо лаппаконитина (III) и получении его водорастворимой формы путем перевода в гидробромид. Путь синтеза (I) из лаппаконитина (III) приведен на схеме 1. Во избежание модификации лаппаконитина по гетероциклическому фрагменту под воздействием окислителя, как описано для процесса бромирования в работе [12], а также для исключения органического растворителя в качестве реакционной среды бромирование проводится с использованием растворов лаппаконитина и брома в конц. соляной кислоте. В результате реакции образуется 5′-бромлаппаконитин (IV) с выходом 76%. В качестве побочного продукта выделен N-дезацетил-3‘,5′-дибромлаппаконитин (V) (выход 4%). Гидробромид 5′-бромлаппаконитина (I) получен при обработке раствора соединения (IV) в хлористом метилене 46%-ной HBr в этаноле. Эта соль, в отличие от аллапинина, хорошо растворима в воде, что позволяет готовить ее инъекционные формы для фармакологических исследований. Физико-химические константы новых, впервые полученных в этой работе соединений (IV), (V) и (I), приведены в примерах 1, 2. Схема 1 Биологическая активность соединения (I) изучалась путем определения токсичности и антиаритмической активности на моделях хлоридкальцевой и адреналиновой аритмии. Острую токсичность определяли на крысах линии Вистар массой 180-200 г при однократном внутривенном способе введения. Параметры токсичности рассчитывали по методу Кербера. LD50 соединения (I) составила 28,7 мг/кг. Для исходного 5′-бромлаппаконитина (IV) LD50 составляет 14,0 мг/кг. Эталонный препарат – гидробромид лаппаконитина (аллапинин) имеет LD50 6,0 мг/кг [11]. Таким образом, среднесмертельная доза заявляемого агента (I) в 4,8 раза ниже, чем у препарата сравнения. Для исследования антиаритмического эффекта заявляемого соединения были использованы стандартные модели экспериментальных аритмий: адреналиновая (0,3 мг/кг, внутривенно) и хлоридкальциевая (250 мг/кг, внутривенно). Для определения эффекта оценивали параметры электрокардиограммы [значения частоты сердечных сокращений и амплитуду зубца (RR)]. Результаты определения антиаритмической активности приведены в табл.1 и 2. Из данных табл. 1 видно, что соединение (I) в исследуемой терапевтической дозе 0,330 мг/кг, а также в дозе в 10 раз меньшей (0,033 мг/кг) предотвращает и блокирует развитие хлоридкальциевой аритмии, восстанавливая показатели ЭКГ до нормы в 100% случаях при введении его как до инъекции аритмогена, так и после воспроизведения аритмии. Эталон сравнения аллапинин, введенный животным в терапевтической дозе 0,290 мг/кг до инъекции аритмогена, обеспечивает защиту от развития хлоридкальциевой аритмии на 80%. При введении аллапинина после воспроизведения аритмии защита наблюдается только в 50% случаях.
Из данных табл.2 видно, что гидробромид 5′-бромлаппаконитина (I) в дозах 0,330 мг/кг и 0,033 мг/кг предотвращает и блокирует развитие адреналиновой аритмии, восстанавливая показатели ЭКГ до нормы в 100% случаях. Эталон сравнения – препарат аллапинин (II) в дозе 0,290 мг/кг предотвращает развитие адреналиновой аритмии на 80%, а блокирует ее развитие только в 20% случаев. Таким образом, новое соединение – гидробромид 5′-лаппаконитана (I) обладает выраженной антиаритмической активностью, предотвращает развитие хлоридкальциевой и адреналиновой аритмии, при введении в дозе на порядок ниже терапевтической дозы используемого в медицинской практике препарата аллапинина. Заявляемое соединение имеет в 4,8 раза более низкую токсичность, чем аллапинин. Указанное соединение получается достаточно простым технологичным способом на основе доступного растительного алкалоида лаппаконитина. Данное изобретение иллюстрируется примерами. Пример 1. Получение 4- Приготовление раствора А. К 57 мл конц. соляной кислоты (d=1,19) прибавляют порциями при перемешивании 22,4 г (38,3 ммоля) порошкообразного лаппаконитина, при этом происходит слабая экзотермическая реакция и образование геля. Гель растворяют при перемешивании в течение 45 мин. Приготовление раствора Б. К навеске 7,38 г (46,2 ммоля) Br2 приливают 45 мл конц. соляной кислоты (d=1,19) при активном перемешивании. Бромирование. Раствор Б прибавляют порциями ( Т.пл. 202-204°С. Найдено, %: С 57.55; Н 6.73; Br 12.40; N 4.41. С32Н43BrN2O8. Вычислено, %: С 57.92; Н 6.53; Br 12.04; N 4.22. Спектр ЯМР 1H (CDCl3, 400.13 МГц, Спектр ЯМР 13С ( ИК-спектр (KBr), Осадок технического дибромида (V) промывают на фильтре горячим спиртом, высушивают и перекристаллизовывают из бензола. Получают 0,97 г (выход 4%) чистого соединения (V), т.пл. 255-260°С (с разл.). Найдено, %: С 51.55; Н, 5.80; Br 22.49; N 4.10. С30Н40Br2N2О7. Вычислено, %: С 51.44; Н 5.76; Br 22.82; N, 4.00. Спектр ЯМР 1H (CDCl3, 400.13 МГц, Спектр ЯМР 13С ( ИК-спектр (KBr), Пример 2. Гидробромид 5′-бромлаппаконитина (I). К раствору 1,11 г (1,67 ммоля) основания (IV) в 2,5 мл СН3Cl2 добавляют по каплям при перемешивании раствор 0,295 г (1,70 ммоль) 46%-ной HBr в 5,0 мл 95%-ного EtOH (мольное соотношение соединение (IV) / HBr=1:1,02) (до рН 4). Растворитель отгоняют в вакууме при 50°С/30 Торр, смолистый остаток растирают с 5 мл эфира, получают кристаллический бесцветный порошок. Суспензию в эфире оставляют герметично закрытой на 15 ч. Осадок соли отфильтровывают, промывают эфиром, высушивают на воздухе. Получают 1,25 г соли (I) (выход 99%). Т.пл. 208-210°С (с разл.). Найдено, %: Br (ионный) 11.04. С32Н43BrN2O8·HBr. Вычислено, %: Br (ионный), 10.74. Спектр ЯМР H1 (D2O, 400.13 МГц, ИК-спектр (KBr), Пример 3. Оценка антиаритмической активности гидробромида 5′-бром-лаппаконитина (I) на модели хлоридкальциевой аритмии. Опыты проводили на нормотензивных, наркотизированных тиопенталом натрия (в дозе 30 мг/кг внутрибрюшинно) половозрелых крысах самцах массой 190-220 г. Аритмия вызывалась путем однократного введения в бедренную вену 10%-ного раствора CaCl2 (250 мг/кг; данная концентрация CaCl2 является летальной для крыс в 100% случаях). Для оценки антиаритмической активности использовали две схемы эксперимента: введение CaCl2 до и после введения исследуемого агента. На протяжении всего эксперимента (10 мин) ЭКГ записывали во втором стандартном отведении и регистрировали показатели на приборе фирмы “Coulboum instruments” (США.). Оценивали параметры ЭКГ – частоту сердечных сокращений и амплитуду пика зубца (RR). Обработку данных вели с помощью программы “Statistica 6.0”. В качестве отклонения от среднего значения использовалась средняя статистическая ошибка, в качестве критерия достоверности был взят t-критерий Стьюдента. Гидробромид 5′-бромлаппаконитина (I) вводился внутривенно в дозах 0,330 мг/кг и 0,033 мг/кг. Эталон сравнения – аллапинин, вводили внутривенно в терапевтической дозе 0,290 мг/кг. Исследуемый агент (I) в обеих дозах предотвращает и блокирует развитие хлоридкальциевой аритмии, восстанавливая показатели ЭКГ до нормы в 100% случаях. Эталон сравнения аллапинин, введенный животным в терапевтической дозе 0,290 мг/кг до введения аритмогена, обеспечивает защиту от развития хлоридкальциевой аритмии на 80%, а введенный после аритмогена – только на 50%. Результаты приведены в таблице 1. Пример 4. Оценка антиаритмического эффекта гидробромида 5′-бромлаппаконитина (I) на модели адреналиновой аритмии. Аритмия вызывалась путем однократного введения в бедренную вену адреналина в дозе 0,3 мг/кг, что является летальной для крыс в 100% случаях. Для оценки антиаритмической активности использовали две схемы эксперимента: введение адреналина до и после введения исследуемого агента. На протяжении всего эксперимента (10 мин) ЭКГ записывали во втором стандартном отведении и регистрировали показатели на приборе фирмы “Coulboum instruments” (США). Оценивали параметры ЭКГ – частоту сердечных сокращений и амплитуду пика зубца (RR). Обработку данных вели с помощью программы “Statistica 6.0”. В качестве отклонения от среднего значения использовалась средняя статистическая ошибка, в качестве критерия достоверности был взят t-критерий Стьюдента. Гидробромид 5′-бромлаппаконитина (I) вводился внутривенно в дозах 0,330 мг/кг и 0,033 мг/кг. Эталон сравнения – препарат аллапинин вводили внутривенно в терапевтической дозе 0,290 мг/кг. Показано, что гидробромид 5′-бромлаппаконитина (I) в дозах 0,330 мг/кг и 0,033 мг/кг предотвращает и блокирует развитие адреналиновой аритмии, восстанавливая показатели ЭКГ до нормы в 100% случаях. Эталон сравнения – препарат аллапинин в дозе 0,290 мг/кг предотвращает развитие адреналиновой аритмии на 80%, а блокирует ее развитие только в 20% случаев. Таким образом, новое соединение – гидробромид 5′-бромлаппаконитина (I) имеет фармакологические преимущества перед известным антиаритмическим препаратом, заключающиеся в том, что при введении в дозах на порядок ниже, чем терапевтическая доза препарата сравнения – аналога по структуре и свойствам, заявляемое соединение обеспечивает полную защиту от развития хлоридкальциевой и адреналиновой аритмий. Кроме того, соединение является в 4,8 раза менее токсичным по сравнению с используемым в медицинской практике аллапинином. Источники информации 1. М.Д.Машковский. Лекарственные средства, в двух томах, изд. “Торсинг”, Харьков, 1998, т.1, 380. 2. Р.Д.Курбанов, Т.А.Абдуллаев. Фармакодинамика и эффективность аллапинина у больных с нарушением ритма сердца. Клиническая медицина, 1988, 66, №10, 52-55. 3. А.С.Сметнев, С.П.Голицин, Э.З.Левин. Изучение сравнительной антиаритмической эффективности аллапинина, этазицина и мекситила у больных с желудочковыми нарушениями ритма сердца. Терапевтический архив. 1988, 60, №8, 34-38. 4. B.C.Гасилин, Е.В.Дорофеев, Н.И.Розова. Опыт длительного применения аллапинина в поликлинической практике. Кардиология, 1990, 30, №9, 30-32. 5. М.С.Юнусов. Башкирский хим. жури. 1997, 4, №4, 16-18. 6. Ф.Н.Джахангиров, М.Н.Султанхаджаев, Б.Ташходжаев, Б.Т.Салимов. Химия природ. соединений, 1997, 254-270. 7. Н.К.Desai. B.P.Hart, R.W.Caldwell, J.Huang, S.W.Pelletier. J. Nat. Prod., 1998, 61, 743-748. 8. Ф.Н.Джахангиров. Дитерпеновые алкалоиды – новый класс природных веществ с антиаритмической активностью. В кн. “Азотистые гетероциклы и алкалоиды”, под ред. В.Г.Карцева и Г.А.Толстикова. Изд. “Иридиум-пресс”, 2001, У2, 296-299. 9. L.N.Popova, M.P.Dolgich, N.A.Deys, T.G.Tolstikova, N.A.Pankrushina, E.E.Shults. Lappaconitine and its derivatives – psychotropic agents. International Conference on Natural Products and Physiologically Active Substances, Novosibirsk, 1998, p.172. 10. U.T.Gutser, J.Friese, J.F.Heubach, T.Matthiesen, N.Selve, B.Wilffert, J.Gleitz. Mode of antinociceptive and toxic action of alkaloids of Aconitum sp. Arch. Pharmacol. 1998, 357, 39-48. 11. Патент РФ №2180583 от 20.03.2002, БИПМ, 2002, №8, 148 12. Q.-H. Chen, F.-P. Wang. Chin. Chem. Lett. 2001, 12, №5, 421-424.
Формула изобретения
Гидробромид 5′-бромлаппаконитина формулы (I)
обладающий антиаритмической активностью.
|
||||||||||||||||||||||||||||||||||||||||||||||||||||||||||||||||

-БРОМЛАППАКОНИТИНА, ОБЛАДАЮЩИЙ АНТИАРИТМИЧЕСКОЙ АКТИВНОСТЬЮ



-(2-ацетиламино-5-бромбензоилокси)-20-этил-1
,14
по 3 мл) к раствору А, образуется обильный слипающийся в комки бурый осадок. После прибавления всего количества брома колбу герметично закрывают и интенсивно встряхивают в течение 1 ч до практически полного растворения осадка. Реакционную массу выливают в 350 мл воды. К образовавшейся желтоватой суспензии при охлаждении сосуда проточной водой (температура воды 13°С) порциями (3×50 мл) приливают 25%-ный раствор аммиака до установления щелочной реакции (рН
(с 5.3, CHCl3).
, м. д., J/Гц): 1.09 (т, 3Н, С (22) Ме, J=7); 1.51 (д.д., 1Н, Н (6b), J=15 и J=8); 1.82 (м; 1Н, Н (3b)); 2.17 (с, 3Н, NHCOCH3); 2.68 (д.д., 1Н, Н (6а), J=15, J=7); 2.98 (с, 1Н, Н (17)); 3.16 (д.д., 1Н, Н (1), J=10, J=7); 3.26, 3.27 и 3.37 (все с, по 3Н, 1-, 16-, и 14-ОМе соответственно); 7.54 (д.д., 1Н, Н (4‘), J=9 и J=2); 7.94 (д, 1Н, Н (6‘), J=2); 8.56 (д, 1Н, Н (3‘), J=9) и 10.90 (c, 1 H, NHCOCH3).
/см-1: 789, 837, 875, 899, 945, 968, 995, 1035, 1087, 1146, 1231, 1256, 1287, 1312, 1366, 1394, 1447. 1467, 1509, 1580, 1597; 1694 и 1710 (NHC=O), 2819, 2927 и 2962. УФ-спектр (EtOH),
max/нм (lg
): 225 (4.40), 258 (4.17), 321 (3.65).
(с 3.1, CHCl3).
(с 5.6, H2O).