|
|
(21), (22) Заявка: 2004114553/04, 07.11.2002
(24) Дата начала отсчета срока действия патента:
07.11.2002
(30) Конвенционный приоритет:
13.11.2001 US 10/008,787
(43) Дата публикации заявки: 10.09.2005
(46) Опубликовано: 20.03.2007
(56) Список документов, цитированных в отчете о поиске:
GB 2338955 А, 12.01.2000. DD 156372 А, 18.08.1982. DD 153690 A, 27.01.1982. RU 94032148 A1, 10.07.1996. RU 2191179 C1, 20.10.2002. SU 950721 A1, 15.08.1982.
(85) Дата перевода заявки PCT на национальную фазу:
12.05.2004
(86) Заявка PCT:
US 02/35571 (07.11.2002)
(87) Публикация PCT:
WO 03/042195 (22.05.2003)
Адрес для переписки:
129010, Москва, ул. Б.Спасская, 25, стр.3, ООО “Юридическая фирма Городисский и Партнеры”, пат.пов. Е.Е.Назиной, рег. № 517
|
(72) Автор(ы):
ЧЖАО Вэйли (CH), КАРРЕЙРА Эрик М. (CH)
(73) Патентообладатель(и):
ЭССИЛОР ЭНТЕРНАСЬОНАЛЬ (КОМПАНИ ЖЕНЕРАЛЬ Д ОПТИК) (FR)
|
(54) ФОТОХРОМНЫЕ ОКСАЗИНОВЫЕ СОЕДИНЕНИЯ И СПОСОБЫ ИХ ПРОИЗВОДСТВА
(57) Реферат:
Изобретение относится к химии фотохромных соединений, в частности, к способу получения оксазиновых фотохромных соединений. Описываются два варианта способа получения фотохромного соединения, один из которых заключается во взаимодействии изоцианатного производного формулы IX с симметричным хиноном таким, как замещенным или не замещенным 9,10-фенантрен-9,10-дионом или 9,10-1,10-фенантролин-5,6-дионом при нагревании, предпочтительно, при 40°-120°С в течение 2-24 ч в присутствии каталитического количества трифениларсеноксида. Другой способ заключается во взаимодействии азаилидного соединения формулы XIV с указанным симметричным хиноном при нагревании, предпочтительно, при 60°-120°С в течение 4-24 ч. Предложенные способы обеспечивают получение эффективных фотохромных соединений по упрощенной технологии. 2 н. и 4 з.п. ф-лы.
Область изобретения
Настоящее изобретение касается оксазиновых соединений. В частности, изобретение касается оксазиновых соединений и способов их производства, указанные соединения полезны в качестве фотохромных соединений.
Обоснование изобретения
Различные классы фотохромных соединений были синтезированы и предложены к применению в областях, где обратимые изменения цвета или затемнение вызываются действием солнечного света. Например, спирооксазин и соединения хромена известны как обладающие превосходной усталостной прочностью. Кроме того, известны фотохромные 2,2-дизамещенные соединения [2H-1,4]-нафтоксазина, такие как соединения, описанные в патенте США № 5801243. Такие соединения обладают большей усталостной прочностью, чем соединения хромена, но невыгодны по причине того, что способы их получения крайне ограничены. Таким образом, существует потребность в дополнительных фотохромных оксазиновых соединениях, позволяющих преодолеть недостатки известных соединений.
Описание изобретения и предпочтительные варианты выполнения
Настоящее изобретение касается оксазиновых соединений, имеющих ароматический заместитель в положении 2 оксазиновой группы, а также способов синтеза таких соединений.
По одному из вариантов выполнения настоящее изобретение касается соединения, включающего в себя как часть, состоящего по существу из соединения и состоящего полностью из соединения формулы I:

где X означает азот или углерод; R1, R2, R3 и R4 являются идентичными или различными и каждый независимо может означать водород, гидрокси, галоген, бензил, формил, трифторметил, нитро, циано, арил, арил(C1-С4)алкил, арилокси, цикло(C3-С6)алкил, (C1–18)алкокси, галоген(C1-С6)алкокси, (C1-С4)алкоксикарбонил или гетероциклический азотсодержащий заместитель с 5 или 6 атомами в цикле, такой как, не в порядке ограничения, пирролидино, пиперидино и морфолино; и n равно 1 или 2. Когда n равно 1, существует один заместитель в фенильной группе или пиридиновой группе и R1 и R2 могут находиться в орто-, мета- или пара- положении фенильного кольца.
В предпочтительном варианте выполнения X означает углерод или азот; каждый из R1, R2, R3 и R4 независимо означает водород, гидрокси, фтор, хлор, бром, бензил, формил, трифторметил, нитро, циано, арил, арил(C1-С4)алкил, арилокси, цикло(C3-С6)алкил, (C1–4)алкокси, (C1-С4)алкоксикарбонил или гетероциклический азотсодержащий заместитель с 5 или 6 атомами в цикле, такой как, не в порядке ограничения, пирролидино, пиперидино и морфолино; и n равно 1 или 2. Более предпочтительно, X означает углерод или азот, каждый из R1, R2, R3 и R4 означает водород, фтор, хлор, метил, метокси, этокси, метоксикарбонил, этоксикарбонил, пиперидино, морфолино или пирролидино; и n равно 1 или 2.
В более предпочтительном варианте выполнения изобретение касается соединения, которое означает 2,2-дифенилфенантро(9,10)-2H-[1,4]-оксазин, 2-(4-метоксифенил)-2-фенилфенантро(9,10)-2H-[1,4]-оксазин, 2-(4-фторфенил)-2-(4-метоксифенил)фенантро(9,10)-2H-[1,4]-оксазин или 2,2′-бис-(4-метоксифенил)фенантро(9,10)-2H-[1,4]-оксазин.
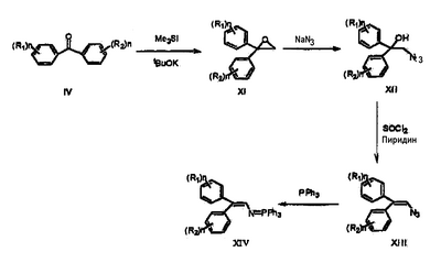
Соединение формулы I может быть получено по схемам реакций А-E. При всех взаимодействиях R1, R2 и “n” принимают вышеуказанные значения. Бензофеноны, представленные ниже формулой IV, выпускаются промышленно либо могут быть получены по реакции Фриделя-Крафтса с использованием бензоилхлорида формулы II и бензола формулы III. Реакция Фриделя-Крафтса описана в George A, Olah, “Friedel-Crafts and Related Reactions” (Vol.3, 1964).
Согласно схеме реакций A соединения формул II и III растворяют в дихлорметане и подвергают взаимодействию в присутствии кислоты Льюиса, включающей, но не в порядке ограничения, хлорид алюминия, с образованием соответствующего замещенного бензофенона.
Схема реакций A

Дизамещенная акриловая кислота, представленная формулой VI, может быть получена по альтернативным схемам реакций, представленным на схемах реакций B и C. По схеме реакций B бензофенон подвергают взаимодействию с ацетонитрилом в присутствии избыточного количества гидроксида натрия с образованием 2,2-дизамещенного акрилонитрила формулы V, указанный способ описан в J. Org. Chem., 44 (25), 4640-4649 (1979). Затем гидролизом гидроксидом натрия в этиленгликоле с последующим подкислением может быть получена дизамещенная акриловая кислота.
Альтернативно, по схеме реакций C, реакция Хорнера-Эммонса, описанная в Tetrahedron, 52 (31), 10455-10472 (1996), может быть осуществлена исходя из бензофенона. Полученный этиловый эфир 3,3-дизамещенной акриловой кислоты формулы VII может быть гидролизован с образованием дизамещенной акриловой кислоты, представленной формулой VI. R1, R2 и “n” принимают вышеуказанные значения.
Схема реакций B

Схема реакций С

Согласно схеме реакций D 3,3-дизамещенную акриловую кислоту обрабатывают тионилхлоридом, с последующим взаимодействием с азидом натрия, что приводит к образованию 3,3-дизамещенного бут-2-еноилазида формулы VIII. При нагревании в неполярном растворителе, включающем, но не в качестве ограничения, бензол или толуол, 3,3-дизамещенный бут-2-еноилазид перегруппировывается с образованием изоцианата формулы IX.
Схема реакций D

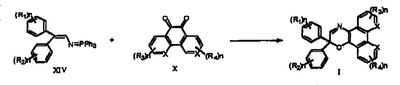
Решающая стадия синтеза фотохромных оксазинов формулы I представлена схемой реакций Е, где изоцианатное производное формулы IX подвергают взаимодействию с симметричным хиноном, включающим, но не в порядке ограничения, замещенный или незамещенный фенантрен-9,10-дион и замещенный или незамещенный 1,10-фенантролин-5,6-дион формулы X, в присутствии каталитического количества трифениларсеноксида в подходящем органическом растворителе в мягких условиях в течение времени, достаточного для завершения взаимодействия, обычно приблизительно от 2 до 10 часов. Органические растворители, которые могут быть использованы, включают, но не в порядке ограничения, бензол, диоксан, тетрагидрофуран (“ТГФ”), толуол и тому подобное, и их комбинации. Температуры реакции варьируются и обычно находятся в пределах приблизительно от 40°С до 120°С. В предпочтительном варианте выполнения используют растворитель, такой как бензол или толуол, и взаимодействие осуществляют приблизительно при 50-110°С в течение 1-15 ч. Более предпочтительно растворитель означает толуол или бензол и взаимодействие осуществляют приблизительно при 60-80°С в течение 2-4 ч.
Схема реакций Е

Альтернативно, фотохромные оксазиновые соединения по настоящему изобретению могут быть получены, как показано на схемах реакций F и G. R1, R2 и “n” принимают вышеуказанные значения. Согласно реакционной схеме F бензофенон формулы IV превращают в 1,1-дизамещенный эпоксид формулы XI обработкой иодидом триметилсульфоксония и трет-бутилатом калия в диметилсульфоксиде (“ДМСО”). Такое взаимодействие описано в Org. Chem., 62 (19), 6547-6561 (1997). Обработка замещенного эпоксида азидом натрия в N,N-диметиформамиде (“ДМФА”) в присутствии хлорида лития приводит к образованию замещенного 2-азидо-1,1-дизамещенного этилена формулы XII.
Согласно методике, описанной в J. Org. Chem., 33 (6), 2411-2416 (1968), дегидратация 2-азидо-1,1-дизамещенного этилена при обработке тионилхлоридом в пиридине приводит к 2-азидо-1,1-дизамещенному этилену формулы XIII. Последующая реакция Штаудингера, осуществляемая обработкой 2-азидо-1,1-дизамещенного этилена трифенилфосфином, приводит к образованию илида, представленного формулой XIV.
Нагревание илида с симметричным хиноном формулы X в любом подходящем растворителе в течение достаточного для завершения взаимодействия времени дает требуемый оксазин формулы I. Используемым органическим растворителем может являться, но не в порядке ограничения, бензол, диоксан, тетрагидрофуран, толуол и тому подобное, и их комбинации. Температура реакции варьируется и обычно находится в пределах приблизительно от 60°С до 120°С, и время реакции составляет примерно от 2 до 24 ч. В предпочтительном варианте выполнения используемым растворителем является бензол или толуол, и взаимодействие осуществляют приблизительно при 70-100°С в течение 5-15 ч.
Схема реакций F

Схема реакций G

Оксазины по изобретению можно использовать в любых областях, где органические фотохромные вещества обычно находят применение, включая, но не в порядке ограничения, офтальмологические линзы, окна, остекление автомобиля, полимерные пленки и тому подобное. Оксазины по изобретению могут быть использованы в органическом растворителе или в органической полимерной основе. Органическим растворителем может быть любой подходящий растворитель, включающий, но не в порядке ограничения, бензол, толуол, метилэтилкетон, ацетон, этанол, метанол, тетрагидрофуран, диоксан, этилацетат, этиленгликоль, ксилол, циклогексан, N-метилпирролидон и тому подобное, и их комбинации. Полимерной основой может быть прозрачный полимер, такой как полиметакрилат, полистирол, поликарбонат и ацетат целлюлозы. Количество используемого оксазина подбирается таким, чтобы материал органической основы, на который фотохромное соединение наносят или в который соединения включают, имел требуемый результирующий цвет, например, по существу нейтральный цвет при активации под действием нефильтрованного солнечного света. Количество фотохрома, используемого в растворе или полимерной матрице, зависит от степени требуемого затемнения и обычно составляет приблизительно от 0,001 до 20 мас.% от массы основного полимера.
Далее изобретение поясняется путем рассмотрения следующих нелимитирующих примеров.
Пример 1
Стадия 1
В трехгорлую колбу объемом 100 мл загружают твердый KOH (3,30 г, 0,05 моль) и 25 мл ацетонитрила в атмосфере аргона, после чего содержимое нагревают до температуры кипения с обратным холодильником. Бензофенон (9,1 г, 0,05 моль) в 20 мл ацетонитрила добавляют при перемешивании. После 8 ч нагревания до температуры кипения с обратным холодильником горячий реакционный раствор выливают на 100 г колотого льда и экстрагируют дихлорметаном (3Ч15 мл). Объединенные органические экстракты промывают водой, сушат над безводным сульфатом натрия и фильтруют. Растворитель удаляют, остаток очищают флэш-хроматографией на силикагеле (смесь диэтиловый эфир-гексан 1:5 в качестве элюента), получают 7,9 г бесцветного масла (выход: 77%). 1H ЯМР свидетельствует о том, что продукт имеет структуру, отвечающую 3,3-дифенилакрилонитрилу. 1H ЯМР (CDCl3): 5,75 (с, 1Н), 7,27-7,50 (м, 10Н).
Стадия 2
3,3-Дифенилакрилонитрил (5,76 г, 2,81 ммоль), полученный на стадии 1, и гидроксид натрия (11,2 г, 280 ммоль) нагревают до температуры кипения с обратным холодильником в смеси из 180 мл этиленгликоля и 1 мл воды в течение 3 дней. Реакционную смесь охлаждают и разбавляют 100 мл воды, подкисляют 5M хлористоводородной кислотой до pH<1, фильтруют при разрежении и тщательно промывают водой. Твердые вещества в виде пасты растворяют в этилацетате и промывают разбавленной хлористоводородной кислотой. Органический слой отделяют и водный слой экстрагируют дважды этилацетатом. Объединенный этилацетатный раствор сушат над безводным сульфатом натрия и фильтруют. Растворитель удаляют в вакууме до достижения общего объема порядка 40 мл. Раствор фильтруют через короткую колонку с силикагелем и промывают этилацетатом. После удаления растворителя в вакууме остаток растирают с небольшим объемом смеси гексан-этилацетат (4:1), перекристаллизовывают из смеси этилацетат/гексан. Получают (выход: 84,8%) бесцветные кристаллы (5,34 г). 1H ЯМР свидетельствует о том, что продукт имеет структуру, отвечающую 3,3-дифенилакриловой кислоте.
1H ЯМР (CDCl3): 6,38 (с, 1Н), 7,24-7,35 (м, 1Н), 7,40-7,46 (м, 3Н).
Стадия 3
Суспензию акриловой кислоты (225 мг, 1 ммоль) в безводном бензоле (4 мл) нагревают до температуры кипения с обратным холодильником с избытком тионилхлорида (0,20 мл) в течение двух часов. Удаление растворителя и избыточного тионилхлорида при пониженном давлении дает требуемый хлорангидрид 3,3-ифенилакриловой кислоты. Ацилхлорид в безводном ТГФ (2,5 мл) охлаждают до 0°C и обрабатывают раствором азида натрия (130 мг, 2 ммоль) в воде (2 мл). Смесь перемешивают при 0°C в течение 2 ч, прежде чем добавить воду (10 мл). Смесь экстрагируют диэтиловым эфиром (2Ч10 мл) и сушат безводным сульфатом натрия.
Удаление растворителя при пониженном давлении дает желтое масло (200 мг), которое нагревают до 80°C в течение ночи вместе с 9,10-фенантренхинолином (146 мг, 0,7 ммоль) и трифениларсеноксидом (16 мг) в безводном толуоле (12 мл). После очистки хроматографией (силикагель, смесь дихлорметан-гексан 2:1 в качестве элюента) и перекристаллизации из смеси дихлорметан-гексан получают 203 мг требуемого фотохромного оксазина в виде белых (слегка бледно-желтых) кристаллов (выход: 52,7%).
Пример 2
Иодид триметилсульфоксония (1,12 Г, 5 ммоль) и трет-бутилат калия (0,59 г, 5 ммоль) перемешивают в ДМСО (10 мл) при комнатной температуре в течение 10 мин. Добавляют бензофенон (0,77 г, 4,2 ммоль) и смесь перемешивают при 40°C в течение 24 ч, после чего указанную смесь охлаждают, добавляют колотый лед и воду и экстрагируют диэтиловым эфиром (3Ч15 мл). Объединенные эфирные растворы промывают водой, сушат над безводным сульфатом магния и фильтруют. Растворитель удаляют и получают бледно-желтое масло, содержащее главным образом 1,1-ифенилоксиран, которое используют непосредственно на стадии 2 без очистки.
1H ЯМР (CDCl3): 3,29 (с, 2Н), 7,30-7,40 (м, 10Н).
Стадия 2
Масло, полученное на стадии 1, вместе с азидом натрия (0,36 г, 5,5 ммоль) и хлоридом лития (0,32 г, 7,5 ммоль) в ДМФА (20 мл) перемешивают при 80°C в атмосфере азота в течение 24 ч, охлаждают, добавляют воду (20 мл) и смесь экстрагируют диэтиловым эфиром (3Ч20 мл). Объединенные эфирные растворы промывают водой, сушат над безводным сульфатом магния и фильтруют. После удаления растворителя в вакууме остаток очищают хроматографией на силикагеле (смесь дихлорметан-гексан 1:2 в качестве элюента). Получают бесцветное масло (0,64 г). Инфракрасный спектр указывает на сильное поглощение при 2100 см-1.
1H ЯМР (CDCl3): 2,91 (с, 2H), 4,02 (с, 2H), 7,27-7,45 (м, 10Н).
13С ЯМР (CDCl3): 60,4, 78,2, 126,3, 127,8, 128,5, 143,8.
Стадия 3
2-Азидо-1,1-дифенилметанол, полученный на стадии 2 (160 мг, 0,67 ммоль), тионилхлорид (0,2 мл) и пиридин (2 мл) нагревают до температуры кипения с обратным холодильником в течение 2 ч. После охлаждения в реакционную смесь осторожно добавляют воду (10 мл) при охлаждении смесью лед-вода и экстрагируют диэтиловым эфиром (3Ч5 мл). Объединенные эфирные растворы промывают 4М хлористоводородной кислотой, водой и насыщенным раствором соли, сушат над безводным сульфатом магния и фильтруют. После удаления растворителя получают желтое масло (120 мг). Инфракрасный спектр указывает на сильное поглощение при 2097 см-1. 1H ЯМР свидетельствует о том, что полученный продукт является весьма чистым 2-азидо-1,1-дифенилэтиленом.
1H ЯМР (CDCl3): 6,69 (с, 1Н), 7,18-7,42 (м, 10Н).
Стадия 4
К 2-азидо-1,1-дифенилэтилену, полученному на стадии 3, в безводном толуоле (5 мл) добавляют трифенилфосфин (157 мг, 0,6 ммоль) при комнатной температуре в атмосфере азота. После перемешивания в течение 0,5 ч добавляют 9,10-фенантрен-9,10-дион (104 мг, 0,5 ммоль). Смесь нагревают до 80°С в течение ночи. Фотохромный продукт получают хроматографией на силикагеле (дихлорметан-гексан 1:1 в качестве элюента) и перекристаллизацией из смеси дихлорметан-гексан в виде бледно-желтых кристаллов (45 мг).
1H ЯМР (CDCl3): 7,24-7,29 (м, 6H), 7,46-7,70 (м, 8H), 8,12 (с, 1H), 8,43-8,52 (м, 1H), 8,53-8,62 (м, 3H).
13С ЯМР (CDCl3): 79,5, 122,5, 122,7, 122,8, 123,0, 125,1, 126,9, 126,9, 127,1, 127,3, 127,6, 128,4, 128,6, 129,8, 131,3, 128,0, 141,4, 155,7.
Пример 3
Стадия 1
К перемешиваемой суспензии гидрида натрия (95%, 0,507 г, 20 ммоль) в ТГФ (15 мл) добавляют 2-3 мл раствора триэтилфосфоноацетата (4,48 г, 20 ммоль) в ТГФ (20 мл). Для инициирования реакции добавляют каплю этанола, затем оставшуюся часть триэтилфосфоноацетатного раствора добавляют по каплям за 40 мин при охлаждении смесью лед-вода. После перемешивания в течение 15 мин реакционную смесь переносят в капельную воронку и добавляют по каплям к кипящему раствору 4-метоксибензофенона (4,38 г, 20 ммоль) в ТГФ (20 мл). После нагревания до температуры кипения с обратным холодильником в течение 24 ч большую часть растворителя удаляют. К охлажденному остатку добавляют насыщенный водный раствор хлорида натрия (20 мл) и экстрагируют дихлорметаном. Удаление дихлорметана дает бледно-желтое масло (5,42 г), содержащее главным образом этиловый эфир (E)- и (Z)-3-п-метоксифенил-3-фенилакриловой кислоты, как установлено 1H ЯМР, которое используют непосредственно на стадии 2 без дополнительной очистки.
Стадия 2
Масло, полученное на стадии 1, гидролизуют в растворе KOH (5,07 г, метанол (30 мл)) при нагревании до температуры кипения с обратным холодильником в течение 1 ч. Охлажденную реакционную смесь выливают в смесь лед-вода, подкисляют разбавленной хлористоводородной кислотой до рН<1 и экстрагируют этилацетатом (3Ч20 мл). Объединенный органический раствор сушат над безводным раствором сульфата натрия, растворитель удаляют, остаток перекристаллизовывают из смеси этилацетат/гексан и получают белый твердый продукт. Маточный раствор подвергают хроматографии и перекристаллизации. Всего получают 3,826 г требуемого продукта в виде белого твердого вещества и выделяют 0,677 г непрореагировавшего кетона (выход: 75,3%). 1H ЯМР свидетельствует о том, что выделенный продукт является смесью (E)- и (Z)-3-п-метоксифенил-3-фенилакриловой кислоты.
Стадия 3
Повторяют методику для стадии 3 примера 1 за тем исключением, что используют 3-п-метоксифенил-3-фенилакриловую кислоту (254,5 мг, 1 ммоль) вместо 3,3-дифенилакриловой кислоты для взаимодействия с 9,10-фенантренхиноном (44 мг, 0,21 ммоль) и трифениларсеноксидом (5 мг). Обработка дает 23,5 мг требуемого фотохромного оксазина в виде желтых кристаллов (выход: 5,66%).
1H ЯМР (CDCl3): 3,74 (с, 3H), 6,84 (д, 2H, J=8,7 Гц), 7,29-7,42 (м, 5H), 7,50-7,60 (м, 3Н), 7,61-7,66 (м, 3Н), 8,07 (с, 1Н), 8,42-8,62 (м, 4Н).
13С ЯМР (CDCl3): 55,2, 79,4, 114,0, 122,5, 122,7, 122,8, 122,8, 122,9, 125,1, 125,2, 126,8 126,9, 127,0, 127,5, 128,3, 128,6, 129,8, 131,2, 133,3, 138,0, 141,6, 155,9, 159,7.
Пример 4
Стадия 1
К смеси анизола (11,9 г, 0,11 моль) и п-фторбензоилхлорида (97%, 16,34 г, 0,1 моль) в дихлорметане (50 мл) добавляют хлорид алюминия (14,67 г, 0,11 моль), небольшими порциями, при перемешивании и охлаждении смесью лед-вода. После добавления реакционную смесь перемешивают при комнатной температуре в течение 1 часа, выливают в смесь из колотого льда (400 г) и хлористоводородной кислоты (20 мл) и перемешивают до исчезновения оранжевой окраски. Смесь экстрагируют дихлорметаном, сушат над сульфатом натрия, пропускают через короткую колонку с силикагелем и промывают дихлорметаном. Растворитель удаляют, остаток перекристаллизовывают из смеси дихлорметан-гексан, получают 21,96 г бесцветных кристаллов (выход: 95,4%). 1H ЯМР свидетельствует о том, что продукт имеет структуру, отвечающую п-фторфенил-п-метоксифенилкетону.
1H ЯМР (CDCl3): 3,89 (с, 3Н), 6,97 (д, 2H, J=8,7 Гц), 7,13 (дд, 2H, J=8,7 Гц), 7,76-7,84 (м, 4H).
Стадия 2
Повторяют методику для стадии 1 примера 1 за тем исключением, что используют п-фторфенил-п-метоксифенилкетон (4,60 г, 20 ммоль) вместо бензофенона, и время реакции равно 48 часам. Образующееся масло содержит в основном этиловый эфир (E)- и (Z)-3-п-метоксифенил-3-п-метоксифенилакриловой кислоты, который используют на стадии 3 без дополнительной очистки.
Стадия 3
Масло, полученное на стадии 2, гидролизуют в смеси KOH (5,2 г) и метанола (30 мл) в течение 80 минут и растворитель удаляют в вакууме. Добавляют воду (30 мл), смесь фильтруют при разрежении и промывают водой. Фильтрат экстрагируют диэтиловым эфиром (15 мл) и водный слой отделяют и подкисляют 4М хлористоводородной кислотой до рН<1. Твердый продукт отфильтровывают и перекристаллизовывают из смеси дихлорметан/гексан, получают 4,8 г белых кристаллов (выход: 88,1%). 1H ЯМР свидетельствует о том, что продукт имеет структуру, отвечающую смеси (E)- и (Z)-3-п-фторфенил-п-метоксифенилакриловой кислоты.
Стадия 4
Повторяют методику для стадии 3 примера 1 за тем исключением, что используют 3-п-фторфенил-п-метоксифенилакриловую кислоту (272,5 мг, 1 ммоль) вместо 3,3-ифенилакриловой кислоты для взаимодействия с 9,10-енантренхиноном (60 мг, 28,8 ммоль) и трифениларсеноксидом (5 мг). Обработка дает 75 мг требуемого фотохромного оксазина в виде желтых кристаллов (выход: 17,3%).
1H ЯМР (CDCl3): 3,74 (с, 3Н), 6,85 (м, 2Н), 7,04 (м, 2Н), 7,38 (м, 2H), 7,46-7,60 (м, 3Н), 7,62-7,70 (м, 3Н), 8,02 (с, 1Н), 8,43-8,47 (м, 1Н), 8,54-8,63 (м, 3Н).
13С ЯМР (CDCl3): 55,2, 79,0, 114,0, 115,3, 115,6, 115,6, 122,6, 122,7, 122,8, 125,0, 125,0, 125,1, 126,8, 127,3, 127,6, 128,4, 128,8, 128,9, 129,5, 131,1, 132,8, 137,2, 137,7, 155,4, 159,6, 164,1.
Пример 5
Стадия 1
К перемешиваемой суспензии гидрида натрия (0,48 г, 20 ммоль) в ТГФ (20 мл) добавляют по каплям раствор триэтилфосфоноацетата (4,48 г, 20 ммоль) в безводном ТГФ (25 мл) в атмосфере азота и при охлаждении на бане со смесью лед-вода. Спустя 40 мин раствор переносят в капельную воронку и добавляют по каплям к кипящему раствору бис(п-метоксифенил)кетона в безводном ТГФ (20 мл) за 20 мин. Реакционную смесь нагревают до температуры кипения с обратным холодильником в течение 48 ч и затем гидролизуют насыщенным раствором хлорида натрия (40 мл). Водную фазу экстрагируют диэтиловым эфиром (3Ч70 мл). Объединенные органические экстракты сушат, фильтруют и концентрируют, получая остаток, который очищают хроматографией, элюируя смесью метиленхлорид/гексан (1:2). Получают (выход: 67,8%) бесцветное масло (4,23 г). 1H ЯМР свидетельствует о том, что выделенный продукт имеет структуру, отвечающую этиловому эфиру 3,3-бис(п-метоксифенил)акриловой кислоты.
1H ЯМР (CDCl3): 1,16 (т, 3Н, J=7,1 Гц), 3,81 (с, 3Н), 3,84 (с, 3Н), 4,07 (кв, 2Н, J=7,1 Гц), 6,22 (с, 1Н), 6,84 (д, 2Н, J=9,1 Гц), 6,90 (д, 2Н, J=9,1 Гц), 7,15 (д, 2Н, J=9,1 Гц), 7,24 (д, 2Н, J=9,1 Гц).
Стадия 2
Этиловый эфир 3,3-бис(п-метоксифенил)акриловой кислоты (4,23 г, 13,5 ммоль), полученный на стадии 1, гидролизуют в 22 мл метанола в присутствии гидроксида калия (3,7 г, 66 ммоль) в течение 1 часа при нагревании до температуры кипения с обратным холодильником. Охлажденную реакционную смесь выливают в смесь лед-вода (50 мл), подкисляют разбавленной хлористоводородной кислотой до рН<1. Полученный твердый продукт фильтруют, промывают водой и перекристаллизовывают из смеси этилацетат/гексан. Получают (выход: 93,78%) белое твердое вещество (3,6 г). 1H ЯМР свидетельствует о том, что продукт имеет структуру, отвечающую 3,3-бис(п-метоксифенил)акриловой кислоте.
1H ЯМР (CDCl3): 3,82 (с, 3Н), 3,85 (с, 3Н), 6,22 (с, 1Н), 6,85 (д, 2Н, J=9,0 Гц), 6,91 (д, 2Н, J=8,7 Гц), 7,17 (д, 2Н, J=8,7 Гц), 7,24 (д, 2Н, J=8,7 Гц).
Стадия 3
Повторяют методику для стадии 3 примера 1 за тем исключением, что используют 3,3-бис(п-метоксифенил)акриловую кислоту (284,3 мг, 1 ммоль) вместо 3,3-дифенилакриловой кислоты для взаимодействия с 9,10-фенантренхиноном (43 мг, 0,2 ммоль) и трифениларсеноксидом (5 мг). Обработка дает 8 мг требуемого фотохромного оксазина в виде желтых кристаллов (выход: 1,8%).
1H ЯМР (CDCl3): 3,75 (с, 6Н), 6,85 (д, 2Н, J=8,7 Гц), 7,41 (д, 2Н, J=9,1 Гц), 7,52-7,60 (м, 1Н), 7,62-7,68 (м, 3Н), 8,03 (с, 1Н), 8,43-8,47 (м, 1Н), 8,54-8,63 (м, 3Н).
13С ЯМР (CDCl3): 55,2, 79,3, 113,0, 122,5, 122,7, 122,8, 122,9, 125,1, 126,8, 127,3, 127,5, 128,5, 129,8, 131,2, 133,5, 156,1, 159,7.
Пример 6
Оксазиновые соединения, полученные в примерах 1, 3, 4 и 5, растворяют в органическом растворителе, затем облучают УФ-светом при 365 нм в течение 15 с. Каждый из растворов приобретает интенсивное окрашивание и затем теряет окраску сразу после прекращения УФ-облучения. Максимальные поглощения в видимой области приведены ниже в таблице. Характерное поглощение имеет две полосы. Сильное поглощение около 450-490 нм зависит от структуры фотохрома и растворителя вместе с более слабым поглощением при длине волны, большей приблизительно на 100 нм.
| Таблица 1 |
| |
макс (нм) |
| |
Гексан |
Толуол |
Диоксан |
Ацетонитрил |
Метанол |
| 1 |
451 |
456 |
447 |
444 |
448 |
| 3 |
474 |
478 |
469 |
466 |
471 |
| 4 |
473 |
478 |
468 |
465 |
470 |
| 5 |
487 |
493 |
486 |
483 |
487 |
Формула изобретения
1. Способ получения фотохромного соединения формулы (I)

включающий стадию нагревания изоцианатного производного формулы

с симметричным хиноном формулы

где в каждой формуле Х означает азот или углерод; каждый из R1, R2, R3 и R4 независимо означает водород, гидрокси, галоген, бензил, формил, трифторметил, нитро, циано, арил, арил(С1-С4)алкил, арилокси, цикло(С3-С6)алкил, (C1-C18)алкокси, галоген(С1-С6)алкокси, (С1-С4)алкоксикарбонил или гетероциклический азотсодержащий заместитель с 5 или 6 атомами в цикле и n равно 1 или 2,
и где нагревание осуществляют в присутствии каталитического количества трифениларсеноксида.
2. Способ по п.1, где хинон означает замещенный или незамещенный 9,10-фенантрен-9,10-дион или замещенный или незамещенный 9,10-1,10-фенантролин-5,6-дион.
3. Способ по п.1, где нагревание осуществляют при температуре приблизительно от 40 до 120°С в течение 2-24 ч.
4. Способ получения фотохромного соединения формулы (I)

включающий нагревание азаилидного соединения формулы XIV

с симметричным хиноном формулы

где в каждой формуле Х означает азот или углерод; каждый из R1, R2, R3 и R4 независимо означает водород, гидрокси, галоген, бензил, формил, трифторметил, нитро, циано, арил, арил(С1-С4)алкил, арилокси, цикло(С3-С6)алкил, (C1-C18)алкокси, галоген(С1-С6)алкокси, (С1-С4)алкоксикарбонил или гетероциклический азотсодержащий заместитель с 5 или 6 атомами в цикле и n равно 1 или 2.
5. Способ по п.4, где хинон означает замещенный или незамещенный 9,10-фенантрен-9,10-дион или замещенный или незамещенный 9,10-1,10-фенантролин-5,6-дион.
6. Способ по п.4, где взаимодействие осуществляют при температуре приблизительно от 60 до 120°С в течение 4-24 ч.
MM4A – Досрочное прекращение действия патента СССР или патента Российской Федерации на изобретение из-за неуплаты в установленный срок пошлины за поддержание патента в силе
Дата прекращения действия патента: 08.11.2008
Извещение опубликовано: 27.07.2010 БИ: 21/2010
|
|