|
|
(21), (22) Заявка: 2004119036/04, 24.04.2002
(24) Дата начала отсчета срока действия патента:
24.04.2002
(30) Конвенционный приоритет:
21.11.2001 US 09/990,421 10.04.2002 US 10/121,216
(43) Дата публикации заявки: 27.05.2005
(46) Опубликовано: 20.03.2007
(56) Список документов, цитированных в отчете о поиске:
US 5367058, 22.11.1994. WO 99/41216, A1 19.08.1999. RU, 98119085, 10.10.2000.
(85) Дата перевода заявки PCT на национальную фазу:
21.06.2004
(86) Заявка PCT:
US 02/13061 (24.04.2002)
(87) Публикация PCT:
WO 03/046200 (05.06.2003)
Адрес для переписки:
101000, Москва, М.Златоустинский пер., 10, кв.15, “ЕВРОМАРКПАТ”, пат.пов. И.А.Веселицкой, рег. № 11
|
(72) Автор(ы):
ЭРЛАНСОН Даниел А. (US), БРАЙСТЕД Эндрью С. (US), УЭЛЛС Джеймс (US)
(73) Патентообладатель(и):
СЬЮНЕСИС ФАРМАСЬЮТИКАЛС, ИНК. (US)
|
(54) СПОСОБ НАХОЖДЕНИЯ ЛИГАНДОВ
(57) Реферат:
Настоящее изобретение относится к конъюгату мишень соединению, выбранному из группы


и 
где
означает мишень,
R и R’ каждый независимо означает незамещенную (C1-С20)алифатическую группу, замещенную (С1-С20)алифатическую группу, незамещенный арил или замещенный арил, где арил является радикалом, выбранным из группы, включающей фенил, нафтил, тетрагидронафтил, инданил, инденил, пиридил, пиразинил, пиримидинил, пирролил, пиразолил, имидазолил, тиазолил, оксазолил, изооксазолил, тиадиазолил, оксадиазолил, тиофенил, фуранил, хинолинил, изохинолинил; m означает 0, 1 или 2; и n означает 1 или 2. Описаны также библиотека соединений, способ идентификации соединений, способ идентификации потенционального лиганда. Настоящее изобретение может способствовать открытию лекарственных препаратов. 5 н. и 15 з.п. ф-лы, 8 ил., 4 табл.
Предпосылки создания изобретения
Способ открытия лекарственных препаратов обычно начинается с широкого функционального скрининга библиотек соединений с целью идентификации ограниченных примеров сродства для последующей оптимизации в медицинской химии. Однако, не все представляющие интерес мишени поддаются такому скринингу. В некоторых случаях анализ, который ответственен за высокоэффективный скрининг, недоступен. В других случаях мишень может характеризоваться многочисленными типами связывания, так что результаты таких скринингов неоднозначны и их трудно интерпретировать. В других случаях условия анализов для проведения высокоэффективных испытаний являются такими, что они способны привести к случайным ошибочным результатам. В результате, существует необходимость в альтернативных способах нахождения лигандов, которые необязательно зависят от функциональных испытаний.
Описание чертежей
Фиг.1А является схематической иллюстрацией одного варианта осуществления способа присоединения. Белок, содержащий группу -SH, реагирует с множеством потенциальных лигандов. Определяется потенциальный лиганд, который обладает присущим ему сродством к связыванию с мишенью, и лиганд превращается во включающий идентифицированную связующую детерминанту (представлено кругом), которая не включает дисульфидную составляющую.
Фиг.1Б является схематическим изображением теории после присоединения. Когда белок, содержащий группу -SH, уравновешивается, как минимум, одним содержащим дисульфид потенциальным лигандом, наиболее предпочтительно в присутствии восстанавливающего агента, устанавливается равновесие между модифицированным и не модифицированным белком. Если потенциальный лиганд не обладает свойственным ему сродством к связыванию с белком-мишенью, равновесие смещается в сторону не модифицированного белка. И наоборот, если потенциальный лиганд обладает свойственным ему сродством к белку, равновесие смещается в сторону модифицированного белка.
Фиг.2А и 2Б представляют пример эксперимента по присоединению. Фигура 2А представляет разрешенный масс-спектр реакции тимидилатсинтазы (“TS”) с пулом 10 различных потенциальных лигандов с небольшим или вообще с отсутствующим сродством к связыванию с TS. Фиг.2В представляет разрешенный масс-спектр реакции TS с пулом 10 различных потенциальных лигандов, где один из потенциальных лигандов характеризуется присущим ему сродством к связыванию с ферментом.
Фиг.3А, 3Б и 3В демонстрируют влияние концентрации восстанавливающего агента в приведенном в качестве иллюстрации эксперименте по присоединению. Фиг.3А представляет разрешенный масс-спектр, когда реакция проводится без 2-меркаптоэтанола. Фиг.3Б представляет разрешенный масс-спектр, когда такая же реакция проходит в присутствии 0,2 мМ 2-меркаптоэтанола. Фиг.3В представляет разрешенный масс-спектр, когда та же реакция проводится в присутствии 20 мМ 2-меркаптоэтанола.
Фиг.4А, 4Б и 4В демонстрируют влияние числа оптимальных лигандов в библиотеке в типичном эксперименте по присоединению. Фигура 4А представляет эксперимент по присоединению с использованием библиотечного пула, включающего 20 потенциальных лигандов. Фигура 4В представляет эксперимент по присоединению с использованием библиотечного пула, включающего 50 потенциальных лигандов. Фигура 4С представляет эксперимент по присоединению с использованием библиотечного пула, включающего 100 потенциальных лигандов.
Фиг.5 является схематическим изображением того, когда первоначально выбранная связующая детерминанта RD использовалась для создания библиотеки соединений, включающих RD, а также ее варианты. Эта фигура иллюстрирует эксперимент по присоединению, когда модифицированная библиотека включала соединение, которое включало вариант первой связующей детерминанты, RD’, a также вторую связующую детерминанту RE. Как показано, эти две связующие детерминанты затем соединяются друг с другом с образованием конъюгированной молекулы, в которой отсутствует дисульфидная связь.
Фиг.6 схематически представляет два эксперимента по присоединению, которые используются для идентификации двух связующих детерминант, RD и RE, которые затем соединяются друг с другом с образованием конъюгированной молекулы.
Фиг.7 схематически представляет два эксперимента по присоединению, где вторая связующая детерминанта RE идентифицируется при наличии связывания RD. Однажды идентифицированные две связующие детерминанты затем соединяются с образованием конъюгированной молекулы.
Фиг.8 схематически представляет один вариант осуществления способа присоединения, где используется удлинитель, включающий первую и вторую функциональные группы. Как показано, мишень, включающая группу -SH, связывается с удлинителем, включающим первую функциональную группу X, которая способна образовывать ковалентную связь с реакционноспособной группой -SH, и вторую функциональную группу -SR1′, которая способна образовывать дисульфидную связь. Образующийся в результате присоединения удлинителя комплекс затем связывается с рядом потенциальных лигандов. Удлинитель предоставляет одну связующую детерминанту (круг) и потенциальный лиганд предоставляет вторую связующую детерминанту (квадрат), и в результате связующие детерминанты соединяются друг с другом с образованием конъюгированного соединения.
Краткое изложение сущности изобретения
Изобретение относится к способам нахождения лигандов, использующим технологию присоединения.
Согласно одному аспекту изобретение относится к конъюгату, включающему соединение-мишень, выбранному из группы, состоящей из


и 
где
означает мишень,
R и R’ каждый независимо означает незамещенную (С1-С20)алифатическую группу, замещенную (С1-С20)алифатическую группу, незамещенный арил или замещенный арил;
m означает 0, 1 или 2; и
n означает 1 или 2.
В особом варианте осуществления изобретения мишенью является полипептид или белок, который может быть, например, выбран из группы, состоящей из ферментов, рецепторов, факторов транскрипции, лигандов рецепторов, факторов роста, цитокинов, иммуноглобулинов, ядерных белков, компонентов трансдукции сигнала и аллостерических регуляторных ферментов. Ковалентная связь между связью -S-S- и соединением-мишенью может быть обратимой или необратимой.
В другом аспекте изобретение касается библиотеки соединений, где каждый член имеет формулу, выбранную из группы, состоящей из



и

,
где R и R’ каждый независимо означает незамещенную (С1-С20)алифатическую группу, замещенную (С1-С20)алифатическую группу, незамещенный арил
или замещенный арил;
m означает 0, 1 или 2 и
n означает 1 или 2.
Библиотека предпочтительно содержит, как минимум, 5 членов, более предпочтительно, как минимум, около 100 членов и атомная масса отдельных членов библиотеки предпочтительно отличается на, как минимум, 5 единиц массы, более предпочтительно примерно на 10 атомных единиц массы.
В другом аспекте изобретение касается способа, включающего:
а) идентификацию первого соединения формулы RDSSR1, которое связывается с белком-мишенью;
б) идентификацию второго соединения формулы RESSR1, которое связывается с белком-мишенью и
в) образование конъюгированного соединения, включающего RD и RE, где RD и RE каждый независимо означает незамещенную (С1-С20)алифатическую группу, замещенную (С1-С20)алифатическую группу, незамещенный арил и замещенный арил; и R1 означает незамещенную (С1-С10)алифатическую группу, замещенную (С1-С10)-алифатическую группу, незамещенный арил. В особом варианте осуществления данного способа идентификация второго соединения, которое присоединяется к мишени, осуществляется в присутствии первого соединения.
В другом варианте осуществления изобретения RDSSR1 и RESSR1 каждый независимо выбирается из группы, состоящей из



и


где
R и R’ каждый независимо означает незамещенную (С1-С20)алифатическую группу, замещенную (С1-С20)алифатическую группу, незамещенный арил
или замещенный арил;
m означает 0, 1 или 2 и
n означает 1 или 2.
Еще в одном аспекте изобретение касается способа, включающего
а) предоставление мишени с анкерной группой, способной образовывать ковалентную связь или образовывать координационную связь с металлом в интересующем сайте или близко к нему;
б) связывание мишени с удлинителем с образованием при этом комплекса мишень-удлинитель, где удлинитель включает первую функциональную группу, которая образует либо ковалентную связь, либо координационную связь с металлом, и вторую функциональную группу, способную образовывать ковалентную связь;
в) связывание комплекса мишень-удлинитель с потенциальным лигандом, который включает группу, способную образовывать ковалентную связь с второй функциональной группой;
г) образование ковалентной связи между комплексом мишень-удлинитель и потенциальным лигандом и
д) идентификация потенциального лиганда, присутствующего в конъюгате мишень-удлинитель-лиганд.
В особых вариантах осуществления данного способа анкерная группа выбирается из группы, состоящей из реакционноспособного электрофила, реакционноспособного нуклеофила и сайта координации с металлом.
Изобретение также относится к способу, включающему:
а) предоставление мишени с реакционноспособным нуклеофилом в представляющем интерес месте или близко к интересующему месту;
б) связывание мишени с удлинителем с образованием при этом комплекса мишень-удлинитель, в котором удлинитель включает первую функциональную группу, которая реагирует с нуклеофилом на мишени с образованием ковалентной связи, и вторую функциональную группу, способную образовывать дисульфидную связь;
в) связывание комплекса мишень-удлинитель с потенциальным лигандом, который способен образовывать дисульфидную связь;
г) образование дисульфидной связи между комплексом мишень-удлинитель и потенциальным лигандом с образованием при этом конъюгата мишень-удлинитель-лиганд и
д) идентификация потенциального лиганда, присутствующего в конъюгате мишень-удлинитель-лиганд.
Реакционноспособным нуклеофилом на мишени может быть, например, группа -SH или замаскированная группа -SH и удлинитель может иметь формулу:







где
R означает незамещенную (С1-С20)алифатическую группу, замещенную (С1-С20) – алифатическую группу, незамещенный арил и замещенный арил;
R’ означает Н, -SR1, где R1 означает незамещенную (С1-С10)алифатическую группу, замещенную (С1-С10)-алифатическую группу, незамещенный арил и замещенный арил;
Х означает уходящую группу и прямоугольники в каждой формуле представляют связующую детерминанту.
В особом варианте осуществления изобретения удлинитель представлен формулой:
, или ,
где
R’ означает водород, -SR1, где R1 означает незамещенную (C1-С10)алифатическую группу, замещенную (С1-С10)алифатическую группу, незамещенный арил и замещенный арил, и прямоугольники представляют связующую детерминанту.
В другом аспекте изобретение касается комплекса белок-удлинитель, где белок образует ковалентную связь с удлинителем, включающим первую функциональную группу, которая способна образовывать ковалентную связь, и вторую функциональную группу, способную образовывать вторую ковалентную связь.
Еще в одном аспекте изобретение касается комплекса белок-удлинитель, где белок участвует в образовании координационной связи металла с удлинителем, включающим первую функциональную группу, которая способна образовывать координационную связь с металлом, и вторую функциональную группу, способную образовывать ковалентную связь.
Комплексы далее могут включать дисульфидную связь между второй функциональной группой и соединением, способным образовывать дисульфидную связь.
Описание предпочтительных вариантов осуществления изобретения
Данное изобретение обеспечивает быстрый и эффективный способ идентификации лигандов, которые способны связываться с выбранными сайтами на представляющих интерес мишенях. Сами лиганды, идентифицированные с помощью приведенных здесь способов, находят применение, например, в качестве направляющих соединений для разработки новых терапевтических. лекарственных средств, ингибиторов ферментов, меченых соединений, диагностических реагентов, обладающих сродством реагентов для очистки белков и им подобных веществ.
Если не указывается иначе, используемые в контексте технические и научные термины имеют значения, которые обычно понятны специалисту в той области, к которой относится данное изобретение. Ссылки, как, например, Singleton и др., Dictionary of Microbiology and Molecular Biology, 2-ое изд., J.Wiley & Sons (Нью-Йорк, NY 1994) и March, Advanced Organic Chemistry Reactions, Mechanisms and Structure, 4-ое изд., John Wiley & Sons (Нью-Йорк, NY 1992), предоставляют специалисту в данной области общий ориентир в отношении многих терминов, используемых в настоящей заявке.
Согласно одному из аспектов настоящего изобретения предоставляются соединения. Если не указано иначе прямо или косвенно, эти соединения могут быть в виде отдельного энантиомера, диастереомера, геометрического изомера или их смесей. В случае соединений, содержащих двойные связи, то с учетом расположения заместителей относительно плоскости этих двойных связей могут существовать Z- или Е-изомеры или их смесь, если не указано иначе.
Определения
Определения используемых в контексте терминов включают:
Термин “алифатический” или “незамещенный алифатический” относится к углеводороду с прямой цепью, с разветвленной цепью, к циклическому или полициклическому углеводороду и включает алкильные, алкенильные, алкинильные, циклоалкильные, циклоалкенильные и циклоалкинильные остатки.
Термин “алкил” или “незамещенный алкил” относится к остатку насыщенного углеводорода.
Термин “алкенил” или “незамещенный алкенил” относится к остатку углеводорода с, как минимум, одной двойной углерод-углеродной связью.
Термин “алкинил” или “незамещенный алкинил” относится к остатку углеводорода с, как минимум, одной тройной углерод-углеродной связью.
Термин “арил” или “незамещенный арил” относится к моно- или полициклическим ненасыщенным группам, содержащим, как минимум, одно ароматическое кольцо. Термин включает гетероарилы, которые содержат один или несколько гетероатомов в, как минимум, одном ароматическом кольце. Наглядные примеры арилов включают фенил, нафтил, тетрагидронафтил, инданил, инденил, пиридил, пиразинил, пиримидинил, пирролил, пиразолил, имидазолил, тиазолил, оксазолил, изооксазолил, тиадиазолил, оксадиазолил, тиофенил, фуранил, хинолинил, изохинолинил и им подобные.
Термин “замещенный”, когда он используется при модификации какого-то участка, относится к замещенному варианту этого участка, где, как минимум, один атом водорода замещен другой группой, включающей, но не ограничивающейся этим: алифатическую группу, арил, алкиларил, F, Cl, I, Br, -ОН, -NO2, -CN, -CF3, -СН2CF3, -CH2Cl, -CH2OH, -СН2CH2ОН, -CH2NH2, -СН2SO2СН3, -ORx, -C(O)Rx, -COORx, -C(O)N(Rx)2, -OC(O)Rx, -OCOORx, -OC(O)N(Rx)2, -N(Rx)2, -S(O)2Rx и -NRxC(O)Rx, где каждый из Rx означает независимо водород, замещенную алифатическую группу, незамещенную алифатическую группу, замещенный арил или незамещенный арил. Кроме того, заместители при смежных группах в каком-то участке могут вместе образовывать циклическую группу.
Термин “антагонист” используется в самом широком смысле и включает любой лиганд, который частично или полностью блокирует, ингибирует или нейтрализует биологическую активность, проявляемую мишенью, как, например, биологическая молекула-мишень (БММ). Также термин “агонист” используется в самом широком смысле и включает любой лиганд, который имитирует биологическую активность, проявляемую мишенью, как, например, ББМ, например, путем специфического изменения функции или экспрессии такой ББМ, или эффективности передачи сигналов через такую ББМ, изменяя при этом (повышая или подавляя) уже существующую биологическую активность или инициируя новую биологическую активность.
Термин “удлинитель” относится к молекуле с молекулярной массой примерно от 30 до 1,500 дальтон и содержащей первую функциональную группу, способную реагировать с группой на мишени, и вторую функциональную группу, которая способна реагировать с потенциальным лигандом или членами библиотеки потенциальных лигандов с образованием дисульфидной связи.
Термин “лиганд” относится к объекту, обладающему поддающемуся измерению сродством к связыванию с мишенью. Обычно говорят, что лиганд обладает поддающимся измерению сродством к связыванию, если он связывается с мишенью с величиной Кd или Кi менее, чем примерно 100 мМ, предпочтительно менее примерно 10 мМ и более предпочтительно менее примерно 1 мМ. В предпочтительных вариантах осуществления изобретения лиганд не является пептидом, а представляет небольшую молекулу. Лиганд считается небольшой молекулой, если ее масса примерно менее 2000 дальтон, обычно примерно менее 1500 дальтон. В более предпочтительных вариантах осуществления изобретения масса лиганда в виде небольшой молекулы составляет примерно менее 1000 дальтон, обычно масса примерно менее 750 дальтон и чаще менее, чем примерно 500 дальтон.
Термин “связующая детерминанта”, имея в виду удлинитель, относится к участку удлинителя, который участвует в присоединении к мишени, как, например, представляющая полипептид мишень.
Термин “потенциальный лиганд” относится к соединению, которое обладает реакционноспособной группой или было так модифицировано, чтобы обладать реакционноспособной группой, которая способна образовывать ковалентную связь с дополнительной или совместимой реакционноспособной группой на мишени. Реакционноспособная группа либо на потенциальном лиганде, либо на мишени может быть замаскирована, например, с помощью защитной группы.
Термин “полинуклеотид”, когда используется в единственном или множественном числе, обычно относится к любому полирибонуклеотиду или полидезоксирибонуклеотиду, которые могут быть немодифицированными РНК или ДНК или модифицированными РНК или ДНК. Так, например, полинуклеотиды, как здесь определено, включают без ограничения одноцепочечную и двуцепочечную ДНК, ДНК, включающую одноцепочечные и двуцепочечные участки, одноцепочечную и двуцепочечную РНК и РНК, включающую одноцепочечные и двуцепочечные участки, гибридные молекулы, включающие ДНК и РНК, которые могут быть одноцепочечными или, что более типично, двуцепочечными или включать одноцепочечные и двуцепочечные участки. В дополнение к этому термин “полинуклеотиды”, как он используется в контексте, относится к трехцепочечным участкам, включающим РНК или ДНК, или и РНК, и ДНК. Цепи в таких участках могут состоять из одной и той же молекулы или из разных молекул. Участки могут включать все из одной или нескольких молекул, но более типично включают только участок из некоторых молекул. Одна из молекул трехспирального участка часто является олигонуклеотидом. Термин “полинуклеотид” конкретно включает дезоксирибонуклеиновые кислоты и рибонуклеиновые кислоты, которые содержат одно или несколько модифицированных оснований. Таким образом, дезоксирибонуклеиновые кислоты или рибонуклеиновые кислоты с остовом, модифицированным для устойчивости или по другим причинам, являются “полинуклеотидами”, как здесь имеется в виду этот термин. Более того, ДНК или РНК, содержащие необычные основания, как, например, инозин, или модифицированные основания, как, например, тритилированные основания, включаются в рамки термина “полинуклеотиды”, как здесь определено. Обычно термин “полинуклеотид” охватывает все химически, ферментативно и/или метаболически модифицированные формы немодифицированных полинуклеотидов, а также химические формы ДНК и РНК, характерных для вирусов и клеток, включая простые и сложные клетки.
Выражение “защищенный тиол”, как это используется в контексте, относится к тиолу, который был подвергнут реакции с какой-то группой или молекулой для образования ковалентной связи, что делает его менее реакционноспособным, и с которого может быть снята защита для регенерации свободного тиола.
Выражение “обратимая ковалентная связь”, как это используется в контексте, относится к ковалентной связи, которая может быть расщеплена, предпочтительно в условиях, в которых мишень не подвергается денатурации. Примеры включают, не ограничиваясь этим, дисульфиды, основания Шиффа, сложные тиоэфиры, координационные комплексы, сложные эфиры борной кислоты и им подобные соединения.
Выражение “реакционноспособная группа” означает химическую группу или составляющую, предоставляющую место, при котором может быть образована ковалентная связь, когда такая группа присутствует вместе с совместимой или дополнительной реакционноспособной группой. Наглядными примерами являются группа -SH, которая может реагировать с другой группой -SH или с группой -SS- с образованием дисульфида, группа -NH2, которая может реагировать с активированной карбоксильной группой -СООН с образованием амида, группа -NH2, которая может реагировать с альдегидом или кетоном с образованием основания Шиффа, и тому подобные группы.
Выражение “реакционноспособный нуклеофил”, как оно используется в контексте, относится к нуклеофилу, способному образовывать ковалентную связь с совместимой функциональной группой другой молекулы в условиях, в которых мишень не денатурируется или не повреждается. Наиболее подходящими нуклеофилами являются тиолы, спирты и амины. Подобным же образом, выражение “реакционноспособный электрофил”, как оно используется в контексте, относится к электрофилу, способному образовывать ковалентную связь с совместимой функциональной группой другой молекулы предпочтительно в условиях, в которых мишень не денатурируется или не повреждается каким-то иным образом. Наиболее подходящими электрофилами являются имины, карбонилы, эпоксиды, азиридины, сульфонаты, дисульфиды, активированные сложные эфиры, активированные карбонилы и полуацетали.
Выражение “интересующий сайт” относится к любому месту на мишени, с которым может связываться лиганд. Например, когда мишенью является фермент, интересующий сайт может включать аминокислоты, которые связываются с или находятся в пределах примерно 10 ангстрем (более предпочтительно в пределах примерно 5 ангстрем) от связываемого субстрата, ингибитора, активатора, кофактора или аллостерического модулятора фермента. Когда ферментом является протеаза, интересующий сайт включает связывающий субстрат канал от Р6 до Р6′, остатки, вовлеченные в каталитическую функцию (например, каталитическая триада и окси-анионная дырка), и связывающий сайт любого кофактора (например, металл, как, например, цинк). Когда ферментом является протеинкиназа, интересующий сайт включает связывающий субстрат канал в добавление к сайту связывания АТФ. Когда ферментом является дегидрогеназа, интересующий сайт включает область связывания субстрата, а также сайт, занимаемый НАД/НАД·Н. Когда ферментом является гидролаза, как, например, PDE4, интересующий сайт включает остатки, связанные с цАМФ, а также остатки, вовлеченные в связывание каталитических двухвалентных катионов.
Термины “мишень”, “молекула-мишень” и “ММ” используются взаимозаменяемо и в самом широком смысле и относятся к химическому или биологическому объекту, у которого связывание лиганда оказывает влияние на функцию мишени. Мишенью может быть молекула, участок молекулы или совокупность молекул. Связывание лиганда может быть обратимым или необратимым. Конкретные примеры молекул-мишеней включают полипептиды или белки (например, ферменты, включая протеазы, например, цистеин-, серин- и аспартилпротеаза), рецепторы, факторы транскрипции, лиганды рецепторов, факторы роста, цитокины, иммуноглобулины, ядерные белки, компоненты трансдукции сигнала (например, киназы, фосфатазы), аллостерические регуляторные ферменты и им подобные вещества, полинуклеотиды, пептиды, углеводы, гликопротеины, гликолипиды и другие макромолекулы, как, например, комплексы нуклеиновая кислота-белок, хроматин или рибосомы, структуры, содержащие двойной липидный слой, как, например, мембраны, или структуры, производные от мембран, как, например, пузырьки. Определение специально включает биологические молекулы-мишени (“БММ”), как указано ниже.
Термин “биологическая молекула-мишень” или “БММ”, как это используется в контексте, относится к одной биологической молекуле или к множеству биологических молекул, способных образовывать друг с другом биологически важный комплекс, в случае которого агонист, представляющий небольшую молекулу, или антагонист оказывают влияние на функцию БММ. В предпочтительном варианте осуществления изобретения БММ является белком или его частью, или БММ включает одну или несколько аминокислот и она обладает реакционноспособной группой или способна быть модифицирована таким образом, чтобы обладать реакционноспособной группой, способной образовывать ковалентную связь с соединением, содержащим дополнительную реакционноспособную группу. Наглядные примеры БММ включают: ферменты, рецепторы, факторы транскрипции, лиганды рецепторов, факторы роста, иммуноглобулины, ядерные белки, компоненты трансдукции сигнала, гликопротеины, гликолипиды и другие макромолекулы, как, например, комплексы нуклеиновая кислота-белок, хроматин или рибосомы, структуры, содержащие двойной липидный слой, как, например, мембраны, или структуры, производные от мембран, как, например, пузырьки. Мишень может быть получена различными способами, включая выделение и очистку из природного источника, химический синтез, продуцирование путем рекомбинации и любую комбинацию перечисленных и похожих способов.
Предпочтительные белковые мишени включают: белки поверхности клеток и растворимые белки рецепторов, как, например, рецепторов поверхности лимфоцитов; ферменты; протеазы (например, аспартилпротеаза, цистеиновая протеаза, металло-протеаза и сериновая протеаза); стероидные рецепторы; ядерные белки; аллостерические ферменты; факторы коагуляции; киназы (серин/треонин-киназы и тирозинкиназы); фосфатазы (серин/треонин-, тирозинфосфатаза и фосфатазы двойной специфичности, особенно РТР-1В, ТС-РТР и LAR); тимидилатсинтазу, бактериальные ферменты, ферменты грибов и вирусные ферменты (особенно те, которые связаны с ВИЧ, эпидемическим гриппом, риновирусом и вирусом саркомы Рауса /RSV/); преобразующие сигнал молекулы; факторы транскрипции; белки или ферменты, связанные с синтезом или разложением ДНК и/или РНК; иммуноглобулины; гормоны и рецепторы для различных цитокинов. Наглядные примеры рецепторов включают, например, эритропоэтин (ЕРО), колониестимулирующий рецептор гранулоцитов (G-CSF), колониестимулирующий рецептор гранулоцитного макрофага (GM-CSF), тромбопоэтин (ТРО), интерлейкины, например, IL-2, IL-3, IL-4, IL-5, IL-6, IL-10, IL-11, IL-12, гормон роста, пролактин, человеческий плацентарный лактоген (LPL), мерцательный нейротрофический фактор (CNTF), онкостатин, регулируемый по активации нормальных Т-клеток экспрессированный и секретированный цитокин (RANTES), MIPb, IL-8, инсулин, инсулиноподобный фактор роста 1 (IGF-1), эпидермальный фактор роста (EGF), герегулин-а и герегулин-b, фактор роста сосудистого эндотелия (VEGF), плацентарный фактор роста (PLGF), факторы роста ткани (TGF- и TGF- ) и фактор роста нервной ткани (NGF). Другие мишени включают различные нейротрофины и их лиганды, другие гормоны и рецепторы, как, например, факторы морфогенеза костей, фолликулостимулирующий гормон (FSH) и лютеинизирующий гормон (LH), лиганд CD40, фактор-1 и -2 апоптоза (АР-1 и АР-2), р53, bax/bc12, mdm2, caspases (1, 3, 8 и 9, члены семейства cysteine asfiartyl protease /цистеин-аспартил-протеаз/), катепсины, рецептор IL-1/IL-1, ВАСЕ, ВИЧ-интеграза, PDE IV, гепатит С-геликаза, гепатит С-протеаза, протеаза риновируса, триптаза, cPLA (цитозольная фосфолипаза А2), CDK4, c-jun-киназа, адапторы, как, например, Grb2, GSK-3, АКТ, МЕКК-1, РАК-1, raf, TRAF’s 1-6, Tie2, ErbB 1 и 2, FGF, PDGF. PARP, CD2, рецептор C5a, CD4, CD26, CD3, TGF- , NF-kB, IKK , STAT 6, нейрокинин-1, CD45, Cdc25A, SHIP-2, человеческий р53, IgE/IgER, ZAP-70, lck, syk, ITK/BTK, TACE (фермент, превращающий фактор некроза опухоли /TNF- /), катепсин S, К и F, CD11а, LFA/ICAM, VLA-4, CD28/B7, CTLA4, TNF- и – (и рецепторы TNF р55 и р75), CD40L, р38 map-киназы, IL-2, IL-4, IL-13, IL-15, Rac 2, РКС theta, IL-8, TAK-1, jnk, IKK2 и IL18.
Способ присоединения
Настоящее изобретение предоставляет новые способы нахождения лигандов, которые основываются на способе, называемом “присоединение”. Потенциальные лиганды ковалентно связываются или присоединяются к мишени и затем идентифицируются. Как отмечалось ранее, в одном аспекте настоящего изобретения способ включает:
а) связывание мишени, которая включает химически реакционноспособную группу в интересующем месте или близко к интересующему месту, с соединением, которое способно образовывать ковалентную связь с химически реакционноспособной группой;
б) образование ковалентной связи между мишенью и соединением, при этом получают конъюгат мишень-соединение, и
в) идентификация конъюгата мишень-соединение.
В одном варианте осуществления изобретения используют множество соединений, так что способ включает:
а) получение мишени, которая включает химически реакционноспособную группу в интересующем месте или близко к интересующему месту;
б) смешивание мишени с рядом соединений, которые способны образовывать ковалентную связь с химически реакционноспособной группой, и где, как минимум, одно соединение образует ковалентную связь с мишенью; и
в) идентификация соединения, которое образовало ковалентную связь в конъюгате мишень-соединение.
В предпочтительных вариантах осуществления изобретения мишенью является белок и химически реакционноспособной группой в нем является группа -SH цистеинового остатка. Если интересующий сайт не включает природный цистеиновый остаток, тогда мишень может быть модифицирована с целью включения цистеинового остатка в интересующий сайт или близко к нему. Считают, что цистеин расположен близко к интересующему сайту, если расположен в пределах 10 ангстрем от интересующего сайта, предпочтительно в пределах 5 ангстрем от интересующего сайта. Предпочтительными остатками для модификации являются такие, которые поддаются растворению. Доступность растворению может быть рассчитана, исходя из структурных моделей, при использовании стандартных числовых (Lee, В. & Richards, F.M., J. Mol. Biol 55:379-400 (1971); Shrake, A. & Rupley, J.A., J. Mol. Biol. 79:351-371 (1973)) или аналитических (Connolly, M.L., Science 221:709-713 (1983); Richmond, T.J., J.Mol. Biol. 178:63-89 (1984)) способов. Например, потенциальный вариант с цистеином рассматривается как поддающийся растворению, если объединенная площадь поверхности атома углерода в -положении ( С) или атома серы в -положении ( S) более 21 Å2 при расчете по способу Lee и Richards (Lee, В. & Richards, F.M., J.Mol.Biol 55:379-400 (1971)). Эта величина составляет примерно 33% от теоретической площади поверхности, доступной боковой цепи в виде цистеина, как описано Creamer и др. (Creamer, Т.Р. и др., Biochemistry 34:16245-16250 (1995)).
Также предпочтительно, чтобы остаток превращался в цистеин или в другой содержащий группу -SH аминокислотный остаток, не участвуя в образовании водородной связи с атомами остова или чтобы он образовывал с остовом максимум одну водородную связь. Также менее предпочтительны остатки дикого типа, где боковая цепь участвует в образовании нескольких (>1) водородных связей с другими боковыми цепями. Варианты, для которых все стандартные ротамеры (угол 1 -60°, 60° или 180°) могут привести к неблагоприятным стерическим контактам с атомами N, С, С, О или С любого другого остатка, также менее предпочтительны. Неблагоприятные контакты определяются как межатомные расстояния, которые составляют менее 80% от суммы ван-дер-ваальсовых радиусов образующих контакт атомов. В некоторых вариантах осуществления изобретения, где интересующий сайт является вогнутой областью, остатки, находящиеся на краю такого сайта (как, например, перемычка или соседняя выпуклая область), более предпочтительны для превращения в цистеиновые остатки. Выпуклость и вогнутость могут быть рассчитаны на основании векторов поверхности (Duncan, В.S. & Olson, A., J.Biopolymers 33:219-229 (1993)) или путем определения доступности проб воды, помещенных вдоль молекулярной поверхности (Nicholls, А. и др., Proteins 11:281-296 (1991); Brady, G.P., Jr. & Stouten, P.F., J.Comput. Aided Mol. Des. 14:383-401 (2000)). Остатки с конформацией остова, которая номинально запрещена для L-аминокислот (Ramachandran, G.N. и др., J.Mol.Biol. 7:95-99 (1963); Ramachandran, G.N. & Sasisekharahn, V., Adv.Prot. Chem. 23:283-437 (1968)), являются менее предпочтительными мишенями для модификации в цистеин. Запрещенные конформации обычно отличаются положительным значением угла .
Другими предпочтительными вариантами являются те, в которых остатки, превращенные в цистеин и присоединенные так, чтобы составить -Cys-SSR1, обладали бы конформацией, которая направляет атомы R1 к интересующему сайту. Для идентификации таких предпочтительных вариантов могут быть применены две обычные методики. Согласно первой методике проводится поиск особых структур (Hobohm, U. и др., Protein Science 1:409-417 (1992)) в банке данных для белков (Berman, Н.М. и др., Nucleic Acids Research 28:235-242 (2000)) для идентификации структурных фрагментов, содержащих присоединенный с помощью дисульфидной связи цистеин в положении j, в которых атомы остова остатков j-1, j и j+1 фрагмента могут быть наложены на атомы остова остатков i-1, i и i+1 молекулы-мишени со средним стандартным отклонением (RMSD) менее 0,75 квадратных ангстрем. Если в фрагментах определяют, что место атома С остатка, связанного дисульфидной связью с цистеином в положении j, ближе к любому атому интересующего сайта, чем атома С остатка i (видоизмененного в цистеин), положение i считается предпочтительным. Согласно альтернативной методике остаток в положении i с помощью расчетов видоизменяют в цистеин и соединяют с S-метильной группой через дисульфидную связь.
В дополнение к прибавлению одного или нескольких цистеинов к интересующему сайту может быть желательным удаление одного или нескольких природных цистеинов (и замена их аланинами, например), которые размещаются вне интересующего сайта. Такие мутанты, где один или несколько природных цистеинов удалены или отделены, составляют другой аспект данного изобретения. Различные рекомбинантные, химические, синтетические и/или другие методики могут быть применены для модификации мишени таким образом, чтобы она обладала желаемым числом свободных групп -SH, которые доступны для присоединения. Такие методики включают, например, сайт-направленный мутагенез последовательности нуклеиновой кислоты, кодирующей полипептид-мишень таким образом, что кодируется полипептид с разным числом остатков цистеина. Особенно предпочтителен сайт-направленный мутагенез, использующий амплификацию с помощью полимеразной цепной реакции (ПЦР) (см., например, патент США №4,683,195, выданный 28 июля 1987, и Current Protocols In Molecular Biology, глава 15 (Ausubel и др., изд., 1991). Другие методики сайт-направленного мутагенеза также хорошо известны в данной области и описаны, например, в следующих публикациях: Ausubel и др., см. выше, глава 8; Molecular Cloning: A Laboratory Manual., 2-ое издание (Sambrook и др., 1989); Zoller и др., Methods Enzymol. 100:468-500 (1983); Zoller & Smith, DNA 3:479-488 (1984); Zoller и др., Nucl. Acids Res., 10:6487 (1987); Brake и др., Proc. Natl. Acad. Sci. USA 81:4642-4646 (1984); Botstein и др., Science 229:1193 (1985); Kunkel и др., Methods Enzymol. 154:367-82 (1987), Adelman и др., DNA 2:183 (1983); и Carter и др., Nucl. Acids Res., 13:4331 (1986). Могут также применяться кассетный мутагенез (Wells и др., Gene, 34:315 [1985]) и рестрикционный селекционный мутагенез (Wells и др., Philos. Trans. R.Soc. London SerA, 317:415 [1986]).
Варианты аминокислотных последовательностей с замещением более чем одной аминокислоты могут быть генерированы одним из нескольких путей. Если аминокислоты расположены близко друг к другу в полипептидной цепи, они могут быть подвергнуты мутации одновременно, используя один олигонуклеотид, который кодирует все желаемые замещения аминокислот. Если, однако, аминокислоты расположены на некотором расстоянии друг от друга (например, разделены более, чем десятью аминокислотами), более трудно генерировать единственный олигонуклеотид, который кодирует все из желаемых изменений. Вместо этого может быть применен один из двух альтернативных способов. В первом способе отдельный олигонуклеотид генерируется для замещения каждой аминокислоты. Олигонуклеотиды затем одновременно подвергают гибридизации в одноцепочечную матричную ДНК, и вторая цепь ДНК, которая синтезируется из матрицы, будет кодировать все желаемые замещения аминокислот. Альтернативный способ включает два или несколько кругов мутагенеза для получения желаемого мутанта.
Как только образуется конъюгат мишень-соединение, он может быть определен с применением ряда способов. В одном варианте осуществления изобретения применяют масс-спектроскопию. Конъюгат мишень-соединение может быть детектирован непосредственно при масс-спектроскопии или конъюгат мишень-соединение может быть разделен на фрагменты перед определением. Альтернативно, соединение может быть высвобождено в масс-спектрометре и затем идентифицировано. Как более подробно описано ниже, применение масс-спектрометрии для идентификации соединения в конъюгате мишень-соединение таким легким и надежным способом является одним из удивительных и неожиданных открытий настоящего изобретения. Как конъюгат мишень-соединение, так и масс-спектрометр (МС), включающий конъюгат мишень-соединение, составляют аспекты настоящего изобретения.
С помощью МС определяют молекулы на основании отношения массы к заряду (m/z) и таким образом можно разделять молекулы, основываясь на их размерах (обзор в работе Yates, Trends Genet.16: 5-8 [2000]). Масс-спектрометр сначала преобразует молекулы в газофазные ионы, затем отдельные ионы разделяются в соответствии с отношениями m/z и затем регистрируются. Macc-анализатор, являющийся неотъемлемой частью масс-спектрометра, использует физическое свойство (например, электрические или магнитные поля, или время пролета /ТОР/) для разделения ионов с определенным значением m/z, попадающих затем на детектор ионов. Масс-спектрометры способны быстро генерировать данные и поэтому обладают большими возможностями для высокопроизводительного анализа. Масс-спектроскопия может быть применена либо только одна, либо в комбинации с другими средствами определения или идентификации соединений, ковалентно связанных с мишенью. Дополнительные описания масс-спектрометрических методик включены в статьи Fitzgerald и Siuzdak, Chemistry & Biology 3: 707-715 [1996]; Chu и др., J. Am. Chem. Soc. 118: 7827-7835 [1996]; Siudzak, Proc. Natl. Acad. Sci. USA 91: 11290-11297 [1994]; Burlingame и др., Anal. Chem. 68: 599R-651R [1996]; Wu и др., Chemistry & Biology 4: 653-657 [1997]; и Loo и др., Am. Reports Med. Chem. 31: 319-325 [1996]).
Конъюгат мишень-соединение может быть идентифицирован с использованием других средств. Например, можно применять различные хроматографические методики, как, например, жидкостная хроматография, тонкослойная хроматография и им подобные, для разделения компонентов реакционной смеси таким образом, чтобы повысить возможность идентификации ковалентно связанной молекулы. Такие хроматографические методики могут быть применены в комбинации с масс-спектроскопией или отдельно от масс-спектроскопии. Можно также дополнительно применять и меченую пробу (флуоресцентно меченую, радиоактивно меченую или меченую другим способом) для высвобожденного соединения с целью облегчения его идентификации при использовании любой из вышеприведенных методик. Согласно еще одному варианту осуществления изобретения образование новых связей высвобождает меченую пробу, которую можно затем контролировать. Простой функциональный анализ, как, например, ферментный иммуносорбентный анализ (ELISA) или ферментный анализ, может также быть применен для определения связывания, когда связывание происходит в области, существенно важной для того, что измеряется при анализе. Другие методики, которые могут найти применение для идентификации органического соединения, связанного с молекулой-мишенью, включают, например, ядерный магнитный резонанс (ЯМР), поверхностный плазмонный резонанс (например, BIACORE), капиллярный электрофорез, рентгеновскую кристаллографию и им подобные методики, все из которых хорошо известны специалистам в данной области.
В другом аспекте настоящего изобретения мишенью является белок и ковалентной связью или образующейся при присоединении связью является дисульфидная связь. Способ включает:
а) связывание белка-мишени, способного образовывать дисульфидную связь, с потенциальным лигандом, который также способен образовывать дисульфидную связь;
б) образование дисульфидной связи между белком-мишенью и потенциальным лигандом с образованием при этом конъюгата из белка-мишени и лиганда; и
в) идентификация лиганда, присутствующего в конъюгате из белка-мишени и лиганда.
Необязательно белок-мишень связывается с потенциальным лигандом в присутствии восстанавливающего агента. Наглядные примеры подходящих восстанавливающих агентов включают, но не ограничиваются этим: цистеин, цистеамин, дитиотреитол, дитиоэритрит, глутатион, 2-меркаптоэтанол, 3-меркапто-пропионовую кислоту, фосфин, как, например, трис-(2-карбоксиэтилфосфин) (“ТСЕР”) или боргидрид натрия. В одном варианте осуществления изобретения восстанавливающим агентом является 2-меркаптоэтанол. В другом варианте осуществления изобретения восстанавливающим агентом является цистеамин. В другом варианте осуществления изобретения восстанавливающим агентом является глутатион. В другом варианте осуществления изобретения восстанавливающим агентом является цистеин.
В одном варианте осуществления изобретения белок-мишень содержит встречающуюся в природе группу -SH от цистеина, который является частью последовательности природного белка. В другом варианте осуществления изобретения белок-мишень обладает приобретенной с помощью генной инженерии группой -SH, когда использовался мутагенез для мутации природной аминокислоты в цистеин. Такие белки-мишени с неприродными цистеинами составляют другой аспект настоящего изобретения.
В другом варианте осуществления изобретения белок-мишень обладает замаскированной группой -SH в виде дисульфида. В другом варианте осуществления изобретения белок-мишень содержит цистеин, где группа -SH замаскирована в виде дисульфида. В другом варианте осуществления изобретения белок-мишень содержит цистеин, где группа -SH образует дисульфидную связь с другим цистеином. Еще в одном варианте осуществления изобретения белок-мишень содержит цистеин, где группа -SH образует дисульфидную связь с глутатионом. В другом варианте осуществления изобретения белок-мишень обладает цистеином, где группа -SH образует дисульфид формулы -SSR1, где R1 означает незамещенную (С1-С10)-алифатическую группу, замещенную (C1-С10)алифатическую группу, незамещенный арил или замещенный арил. В другом варианте осуществления изобретения белок-мишень содержит цистеин, где группа -SH замаскирована в виде дисульфида формулы -SSR2R3, где R2 означает (С1-С5)алкил и R3 означает аминогруппу, гидроксильную или карбоксильную группу. В другом варианте осуществления изобретения белок-мишень содержит цистеин, в котором группа -SH замаскирована в виде дисульфида формулы SSCH2CH2OH. Согласно еще одному варианту осуществления изобретения белок-мишень содержит цистеин, где группа -SH замаскирована в виде дисульфида формулы -SSCH2CH2NH2.
В другом варианте осуществления изобретения потенциальный лиганд содержит группу -SH. В другом варианте осуществления изобретения потенциальный лиганд обладает замаскированной группой -SH. Потенциальные лиганды с замаскированными группами -SH составляют другой аспект настоящего изобретения. В другом варианте осуществления изобретения потенциальный лиганд обладает замаскированной группой -SH в виде дисульфида формулы -SSR1, где R1 означает незамещенную (С1-С10)-алифатическую группу, замещенную (С1-С10)алифатическую группу, незамещенный арил или замещенный арил. Еще в одном варианте осуществления изобретения потенциальный лиганд обладает группой -SH, замаскированной в виде дисульфида формулы -SSR2R3, где R2 означает (C1-С5)алкил (предпочтительно -СН2-, -СН2СН2– или -СН2СН2СН2-) и R3 означает аминогруппу, гидроксильную или карбоксильную группу. В другом варианте осуществления изобретения потенциальный лиганд обладает группой -SH, замаскированной в виде дисульфида формулы -SSCH2CH2OH. Еще в одном варианте осуществления изобретения потенциальный лиганд обладает группой -Н, замаскированной в виде дисульфида формулы -SSCH2CH2NH2. Наглядные примеры потенциальных лигандов включают:



и


где
R и R1 означают каждый независимо незамещенную (С1-С20)алифатическую группу, замещенную (С1-С20)алифатическую группу, незамещенный арил или замещенный арил;
m означает 0, 1 или 2 и
n означает 1 или 2.
Множество потенциальных лигандов составляет библиотеку потенциальных лигандов. В одном варианте осуществления изобретения библиотека включает, как минимум, 5 потенциальных лигандов. В другом варианте осуществления изобретения библиотека включает, как минимум, 20 потенциальных лигандов. Еще в одном варианте осуществления изобретения библиотека включает, как минимум, 100 потенциальных лигандов. В другом варианте осуществления изобретения библиотека включает по меньшей мере 500 потенциальных лигандов. В другом варианте осуществления изобретения библиотека включает, как минимум, 1000 потенциальных лигандов. В другом варианте осуществления изобретения каждый член библиотеки имеет другую молекулярную массу. В другом варианте осуществления изобретения каждый член библиотеки имеет массу, которая отличается от массы другого члена библиотеки, как минимум, на 5 атомных единиц массы. В другом варианте осуществления изобретения каждый член библиотеки имеет массу, отличающуюся от массы другого члена библиотеки, как минимум, на 10 атомных единиц массы.
Способ присоединения, где мишенью является белок и ковалентная связь представляет дисульфидную связь, схематически изображен на фиг.1. Фиг.1А представляет один вариант осуществления способа присоединения, где белок, содержащий группу -SH, вступает в реакцию с множеством потенциальных лигандов (например, >5, >20, >100, >500, >1000 и т.д.). В этом варианте осуществления изобретения потенциальные лиганды обладают замаскированной группой -SH в виде дисульфида формулы -SSR1, где R1 является таким, как определено ранее. В некоторых вариантах осуществления изобретения R1 выбирают так, чтобы повысить растворимость потенциальных кандидатов в лиганды. Как показано, потенциальный лиганд, который обладает присущим ему сродством к связыванию с мишенью, идентифицируется, и соответствующий лиганд, который не включает дисульфидную составляющую, превращается в лиганд, включающий идентифицированную связующую детерминанту (представленную кругом).
Фиг.1Б схематически иллюстрирует теорию после присоединения. Содержащий группу -SH белок уравновешивается, как минимум, одним содержащим дисульфид потенциальным лигандом, и устанавливается равновесие между модифицированным и не модифицированным белком. В одном варианте осуществления изобретения белок, содержащий группу -SH, и потенциальный лиганд связываются в присутствии восстанавливающего агента. В другом варианте осуществления изобретения содержащий группу -SH белок и потенциальный лиганд связываются в присутствии восстанавливающего агента в количестве ниже стехиометрического. Если потенциальный лиганд не обладает сродством к связыванию с белком-мишенью, равновесие сдвигается в сторону не модифицированного белка. И наоборот, если потенциальный лиганд обладает свойственным ему сродством к белку, равновесие сдвигается в сторону модифицированного белка. Обе ситуации иллюстрируются фиг.1Б. В первом случае остаток RA потенциального лиганда обладает небольшим сродством или не обладает сродством к связыванию с белком. Таким образом, образование конъюгата белок-лиганд является функцией возможности образования дисульфидной связи при данной концентрации белка, потенциального лиганда и восстанавливающего агента. Во втором случае, остаток RB потенциального лиганда обладает присущим ему сродством к связыванию с белком. В результате, как только образуется дисульфидная связь между белком и потенциальным лигандом, конъюгат белок-лиганд становится устойчивым. Таким образом, равновесие смещается в сторону образования конъюгата белок-лиганд.
Для дальнейшей иллюстрации присоединения способ был применен к тимидилатсинтазе (“TS”), необходимому ферменту фактически для всех живых организмов. TS вместе с дигидрофолатредуктазой (“DHFR”) и серингидроксиметилазой образует биохимическую функциональную единицу, цикл тимидилатсинтазы, который обеспечивает единственный de novo путь синтеза основания ДНК тимидин-5′-монофосфата (“dTMP”) из основания РНК дезоксиуридин-5′-монофосфата (“dUMP”). Как TS, так и DHFR являются мишенями для разработки противораковых лекарственных средств. Поскольку ген TS тоже найден во многих вирусах, он также является мишенью для разработки противопаразитарных, противогрибковых и противовирусных средств.
TS является идеальной обоснованной мишенью по ряду соображений. Во-первых, были определены многочисленные высокоразрешенные кристаллические структуры различных TS-ферментов, так что информация о структуре может быть включена в создание соединений. Во-вторых, существует простой колориметрический анализ для определения того, связывается ли потенциальный лиганд с TS. Этот анализ зависит от скорости превращения N5, N10-метилентетрагидрофолиевой кислоты в дигидрофолиевую кислоту в присутствии dUMP. Второй анализ связывания также является спектрофотометрическим и основывается на конкуренции с пиридоксаль-5′-фосфатом (“PLP”), который образует комплекс с TS с уникальной спектральной характеристикой.
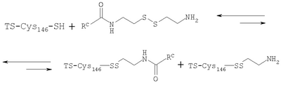
Тимидилатсинтаза, выбранная с целью иллюстрации, является Е.coli TS. Подобно всем TS-ферментам она содержит остаток природного цистеина в активном сайте (Cys146), который может быть использован для присоединения. Е.coli TS включает четыре других цистеина, но они не сохраняются среди других TS-ферментов и “утоплены”, и поэтому недоступны. Однако, если один или несколько из этих цистеинов были бы реакционноспособными по отношению к дисульфидам, тогда могли быть использованы мутационные версии этих ферментов, когда цистеины видоизменяются в другие аминокислоты, как, например, аланин.
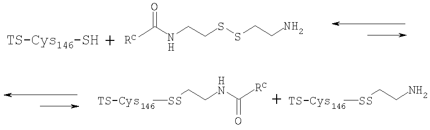
В первом эксперименте TS дикого типа и C146S-мутант (где цистеин в положении 146 подвергся мутации в серин) связывались с цистамином, H2NCH2CH2SSCH2CH2NH2. Тимидилатсинтаза дикого типа реагировала точно с одним эквивалентом цистамина, в то время как мутант TS не реагировал, указывая, что цистамин реагировал и был селективен по отношению к Cys-146.
TS дикого типа подвергалась нескольким экспериментам по связыванию с различными пулами потенциальных лигандов. Фиг.2 иллюстрирует два примера экспериментов по связыванию, где потенциальные лиганды имели формулу

Это характерное воплощение рода потенциальных лигандов формулы RSSR1, где R соответствует RcC(=O)NHCH2CH2– и R1 соответствует -CH2CH2 NH2. Это также характерное воплощение рода возможных лигандов формулы RSSR2R3, где R соответствует RcC(=O)NHCH2CH2– и R2R3 вместе соответствуют -CH2CH2NH2. Rc означает незамещенный (С1-С10)алкил, замещенный (С1-С10) алкил, незамещенный арил или замещенный арил и является вариабельной составляющей в данном пуле членов библиотеки.
Фиг.2А представляет разрешенный масс-спектр реакции TS с пулом 10 различных потенциальных лигандов с небольшим или отсутствующим сродством к TS. При отсутствии любых связывающих взаимодействий равновесие в реакции обмена дисульфида между TS и отдельным потенциальным лигандом смещается к немодифицированному ферменту. Это схематически иллюстрируется следующим уравнением.

Как ожидалось, пик, соответствующий немодифицированному ферменту, представляет один из двух наиболее интенсивных пиков в спектре. Другой интенсивный пик соответствует TS, где группа -SH в Cys146 была модифицирована цистеамином. Хотя этот вид не образуется в значительной степени в случае любого отдельного члена библиотеки, пик наблюдается благодаря совокупному эффекту равновесных реакций для каждого члена библиотечного пула. Когда реакция проходит в присутствии содержащего группу -SH восстанавливающего агента, как, например, 2-меркаптоэтанол, цистеин активного сайта может также быть модифицирован с помощью восстанавливающего агента. Так как цистеамин и 2-меркаптоэтанол имеют одинаковые молекулярные массы, их соответствующие связанные дисульфидной связью TS-ферменты не различаются в условиях, примененных в данном эксперименте. Небольшие пики справа соответствуют дискретным членам библиотеки. Характерно, что ни один из этих пиков не является очень интенсивным. Фиг.2А характерна для спектра, когда ни один из потенциальных лигандов не обладает соответствующим сродством к связыванию с мишенью.
Фиг.2Б представляет разрешенный масс-спектр реакции TS с пулом из 10 различных потенциальных лигандов, где один из потенциальных лигандов обладает присущим ему сродством к связыванию с ферментом. Как можно видеть, наиболее интенсивным пиком является тот, который соответствует TS, где группа -SH в Cys146 была модифицирована с помощью N-тозил-D-пролина. Этот пик превосходит все другие, включая пики, соответствующие немодифицированному ферменту и TS, где группа -SH в Cys146 была модифицирована цистеамином. Фиг.2Б является примером масс-спектра, когда в присоединение была вовлечена часть, которая обладает свойственным ей сильным сродством к связыванию с желаемым сайтом.
Когда присоединение происходит в присутствии восстанавливающего агента, процесс становится более термодинамически обусловленным и равновесно контролируемым. Фиг.3 является иллюстрацией этого явления и представляет три эксперимента, где TS реагирует с таким же пулом библиотеки, содержащим отобранный N-тозил-D-пролин, в присутствии возрастающей концентрации восстанавливающего агента, 2-меркаптоэтанола.
Фиг.3А представляет разрешенный масс-спектр, когда реакция проводится без 2-меркаптоэтанола. Наиболее интенсивный пик соответствует TS, которая была модифицирована цистеамином. Однако, пик, соответствующий N-тозил-D-пролину, все-таки в той или иной степени выделяется среди пиков других потенциальных лигандов. Фиг.3Б представляет разрешенный масс-спектр, когда реакция проводится в присутствии 0,2 мМ 2-меркаптоэтанола. В противоположность спектру на фиг.3А пик, соответствующий N-тозил-D-пролину, является наиболее интенсивным пиком и, таким образом, в сильной степени выделяется среди пиков других потенциальных лигандов. Наконец, фиг.3В представляет разрешенный масс-спектр, когда реакция проводится в присутствии 20 мМ 2-меркаптоэтанола. И не удивительно, что наиболее интенсивный пик в таких сильно восстановительных условиях соответствует не модифицированному ферменту. Тем не менее, пик, соответствующий N-тозил-D-пролину, все-таки выделяется среди пиков других потенциальных лигандов в пуле библиотеки.
Фиг.3Б подтверждает тот факт, что степень модификации цистеина в белке-мишени особым потенциальным лигандом, который обладает присущим ему сродством к мишени, является отчасти функцией концентрации восстанавливающего агента. Обычно, чем выше сродство к связыванию потенциального лиганда с белком-мишенью, тем выше концентрация восстанавливающего агента, который может быть использован и, кроме того, подвергнут строгому отбору. В результате концентрация восстанавливающего агента, используемая при исследовании присоединения, может быть использована как заменитель сродства к связыванию, а также для установления нижнего предела сродства к связыванию, согласно чему потенциальный лиганд должен серьезно отбираться.
С одной стороны способ включает:
а) связывание белка-мишени, который способен образовывать дисульфидную связь с потенциальным лигандом, который также способен образовывать дисульфидную связь;
б) образование дисульфидной связи между белком-мишенью и потенциальным лигандом с образованием при этом конъюгата из белка-мишени и лиганда;
в) связывание конъюгата из белка-мишени и лиганда с восстанавливающим агентом; и
г) определение концентрации восстанавливающего агента для понижения количества конъюгата из белка-мишени и лиганда до желаемого количества.
Концентрация восстанавливающего агента, которая требуется для понижения количеств конъюгата из белка-мишени и лиганда, затем используется как заменитель для определения сродства к связыванию потенциального лиганда белка-мишени.
Альтернативно, способ может быть применен для калибровки экспериментов по присоединению. Наглядным примером такой калибровки является следующий пример. Первый эксперимент по присоединению проводят по сравнению с множеством потенциальных лигандов, когда определяется убедительно отобранный потенциальный лиганд. Альтернативно, известный субстрат, обладающий особым сродством, модифицируется путем прибавления, например, дисульфида. Идентифицированный потенциальный лиганд (или калибровочное соединение) затем применяют для точного определения условий эксперимента, которые требуются для выбора только таких потенциальных лигандов, которые обладают определенным минимальным сродством к связыванию. В одном варианте осуществления изобретения для калибровки используется концентрация восстанавливающего агента, и калибровочное соединение применяют в ряде экспериментов по присоединению, где используют диапазон концентраций восстанавливающего агента. Пример такого способа включает:
а) связывание белка-мишени, способного образовывать дисульфидную связь, с калибровочным соединением, которое также способно образовывать дисульфидную связь;
б) образование дисульфидной связи между белком-мишенью и калибровочным соединением с получением при этом конъюгата из белка-мишени и калибровочного соединения;
в) связывание конъюгата из белка-мишени и калибровочного соединения с восстанавливающим агентом; и
г) определение концентрации восстанавливающего агента, требующейся для уменьшения количества конъюгата из белка-мишени и калибровочного соединения до желаемого количества.
В общем, более низкие концентрации восстанавливающего агента приводят к более высокому проценту мишени, модифицированной с помощью калибровочного соединения, и наоборот. В одном варианте осуществления изобретения желаемое количество составляет 50%. Другими словами, примерно 50% белка-мишени находятся в не модифицированной форме и оставшиеся примерно 50% представляют конъюгат белок-мишень – калибровочное соединение. Таким образом, концентрация восстанавливающего агента, которая связана с желаемым количеством (которое в данном случае составляет примерно 50%), используется в последующих экспериментах по присоединению, чтобы удостовериться в необходимости выбора потенциального лиганда с несколько меньшим уровнем сродства к связыванию. Наглядные примеры других желательных количеств, которые могут быть использованы в зависимости от желаемого более низкого уровня сродства к связыванию, включают примерно 20%, 25%, 30%, 40%, 60%, 75% и тому подобные величины.
Как установлено ранее, способ присоединения может быть применен для одного потенциального лиганда или для множества потенциальных лигандов. В предпочтительных вариантах осуществления изобретения способ присоединения применяют для скрининга множества потенциальных лигандов (например, 5, 20, 100, 500, 1000 и даже >1000) для доведения до максимума производительности и эффективности. На фигуре 4 представлены результаты эксперимента, когда варьировалось число потенциальных лигандов в пуле библиотеки. Хотя этот эксперимент демонстрирует, что N-тозил-D-пролин уверенно выбирается, даже если пул содержит 100 потенциальных лигандов, библиотеки, содержащие еще большие количества потенциальных лигандов (например, >500, >750, >1000), теперь обычно используются.
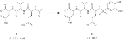
Зависимость между структурой и активностью (“SAR”) может устанавливаться при использовании информации из эксперимента по присоединению в значительной степени таким же способом, как SAR определяется и с применением традиционных анализов. Например, потенциальные лиганды со значениями Rc, представленными с левой стороны на схеме ниже, были убедительно выбраны против Е.coli TS, а потенциальные лиганды со значениями Rc, представленными с правой стороны, не были выбраны.

На основании данных скрининга примерно 1200 соединений было определено, что важными являются сердцевина в виде фенила-сульфамида и кольцо пролина. Например, хотя TS явно размещается с большой степенью гибкости вокруг фенильного кольца, где фенильное кольцо может быть незамещенным или замещено рядом групп, включающих метил, трет-бутил и галоген, его присутствие требуется для отбора. Подобным же образом кольцо пролина представляется важным, так как соединения, в которых оно было заменено фенилаланином, фенилглицином или пирролом, не были отобраны.
В дополнение к вышеупомянутому были проведены дополнительные эксперименты для обоснования того, что соединения, выбранные на основании экспериментов по присоединению, соответствуют таковым со сродством к связыванию с мишенью. В одном наглядном примере эксперимент по присоединению осуществляют в присутствии известного субстрата. Если выбранный потенциальный лиганд обладает присущим ему сродством к связыванию с мишенью, он будет сопротивляться вытеснению субстратом. И наоборот, потенциальный лиганд, у которого отсутствует соответствующее сродство к связыванию, или цистеамин, будут легко вытеснены субстратом. Другим наглядным примером является традиционный ферментативный анализ с применением неприсоединяющегося аналога. Например, сродство

участка Rc фрагмента лиганда, определяли, применяя кинетическую схему Михаэлиса-Ментона. Величина Кi свободной кислоты 1 составляла 1,1±0,25 мМ. Видно, что свободная кислота конкурировала с dUMP природного субстрата. Таким образом, N-тозил-D-пролин 1 является слабым, но конкурентным ингибитором TS.
В другом варианте осуществления изобретения остаток природного цистеина в активном сайте подвергали мутации в серин (C146S) и вводили другой цистеин (L143C или Н147С). Присоединение с использованием мутанта C146S/L143C приводило к таким же результатам, что и в случае фермента дикого типа. Понятно, что аналог N-тозил-D-пролина подвергся серьезному отбору. И наоборот, C146S/L143C не отобрал аналог N-тозил-D-пролина, а были отобраны несколько других молекул. Полагают, что эти результаты отражают различия в локальном связывающем окружении реакционноспособного цистеина и геометрические ограничения дисульфидного мостика.
Рентгеновская кристаллография была применена для определения трехмерных структур природного фермента и некоторых комплексов для подтверждения того, что информация, полученная в результате присоединения, может коррелироваться с продуктивным связыванием с мишенью. В таблице 1 приводятся в деталях кристаллографические данные и параметры уточнения. Один комплекс представлял N-тозил-D-пролин в виде свободной кислоты, присоединенной к TS (четвертая позиция в таблице 1). Другой комплекс состоял из производного N-тозил-D-пролина, присоединенного к цистеину активного сайта (Cys-146) (вторая позиция в таблице 1). Еще один комплекс состоял из производного N-тозил-D-пролина, присоединенного к мутанту C146/L143C (третья позиция в таблице 1).

Важно, что местоположение составляющей в виде N-тозил-D-пролина очень похоже во всех трех случаях (среднеквадратичное отклонение 0,55-1,88 Å по сравнению с 0,11-0,56 Å для всех углеродных атомов С в белке). Тот факт, что заместители у N-тозил-D-пролина плотно перекрываются, в то время как алкил-дисульфидные присоединенные группы сосредотачиваются на этом участке от различных цистеиновых остатков, поддерживает представление, что участок N-тозил-D-пролина, а не присоединенный остаток является связующей детерминантой.
Как можно видеть, присоединение является эффективным способом, который позволяет идентифицировать лиганды, которые связываются с интересующим сайтом в мишени. Присоединение может применяться только одно или в комбинации с другими способами медицинской химии для идентификации и оптимизации потенциального лекарственного препарата.
В одном аспекте настоящего изобретения присоединение используется для идентификации связующей детерминанты (например, Rc) и затем используется традиционная медицинская химия для получения соединений с более высоким сродством, содержащих идентифицированные связующие детерминанты или их разновидности. В одном варианте осуществления изобретения присоединение используется и для идентификации связующей детерминанты, и также для оценки того, связываются ли соединения с мишенью с более высоким сродством. Например, присоединение является альтернативой традиционным экспериментам по связыванию, когда или непригодны функциональные анализы, или они подвержены воздействию помех. Такой подход схематически иллюстрируется на фигуре 5. Как можно видеть, присоединение применяется для идентификации связующей детерминанты RD. Как только идентифицирована связующая детерминанта, используются традиционные подходы медицинской химии для синтеза вариантов RD в модифицированной библиотеке. Модифицированная библиотека потенциальных лигандов может включать варианты RD, как, например, изостеры и их гомологи. Модифицированная библиотека может также включать “удлиненные” соединения, которые включают RD или его варианты, а также другие связующие детерминанты, которые могут использовать соседние с ними области связывания. На фигуре 5 представлено отобранное соединение из модифицированной библиотеки, в котором первоначальная связующая детерминанта RD была модифицирована в RD’ и выбранное соединение включает вторую связующую детерминанту RE. Пример 6 далее иллюстрирует этот способ в отношении попытки оптимизации соединений с низким микромолярным сродством (2 и 3) к TS, которые были идентифицированы, исходя из оптимизации соединения 1, имеющего низкую миллимолярную концентрацию.
В другом аспекте настоящего изобретения предоставляются способы идентификации двух связующих детерминант, которые затем связываются друг с другом. Обычно способ включает:
а) идентификацию первого соединения, которое связывается с белком-мишенью;
б) идентификацию второго соединения, которое связывается с белком-мишенью; и
в) связывание первого соединения и второго соединения через связующее звено для образования конъюгированной молекулы, которая соединяется с белком-мишенью. В предпочтительных вариантах осуществления изобретения конъюгированная молекула соединяется с белком – мишенью с более высоким сродством к связыванию, чем и первое соединение, и второе соединение отдельно.
В одном варианте осуществления изобретения первое соединение имеет формулу RDSSR1 и второе соединение характеризуется формулой RESSR1 (где R и R1 являются такими, как ранее описано, и RD и RE каждый независимо означает незамещенную (С1-С20)алифатическую группу, замещенную (С1-С20)алифатическую группу, незамещенный арил или замещенный арил) и первое и второе соединения связываются с белком-мишенью через дисульфидную связь. Фигура 6 схематически иллюстрирует этот способ, в котором применяются два отдельных эксперимента по присоединению для определения связующих детерминант RD и RE, которые затем связываются друг с другом с образованием конъюгированной молекулы, которая связывается с белком-мишенью.
В другом варианте осуществления изобретения эксперименты по присоединению для идентификации связующих детерминант RD и RE проводят одновременно. В этом случае надо быть уверенным, что две идентифицированные связующие детерминанты связываются с белком-мишенью при не перекрывающихся сайтах. Таким образом, способ включает:
а) идентификацию первого соединения, которое связывается с белком-мишенью;
б) идентификацию второго соединения, которое связывается с белком-мишенью в присутствии первого соединения, присоединенного к белку-мишени; и
в) связывание первого соединения и второго соединения через связующее звено с образованием конъюгированной молекулы, которая связывается с белком-мишенью. Фигура 7 схематически иллюстрирует этот способ. В первом эксперименте по присоединению идентифицируется связующая детерминанта RD. Как только идентифицирована RD, второй ый цистеин либо вводится, либо демаскируется, и эксперимент по присоединению с целью идентификации связующей детерминанты RE осуществляется в присутствии связующей детерминанты RD. Две связующие детерминанты, RD и RE, затем соединяются с образованием конъюгированной молекулы, которая связывается с белком-мишенью.
В другом варианте осуществления изобретения первое соединение идентифицируется с использованием присоединения и второе соединение идентифицируется с помощью способа без присоединения. В одном варианте осуществления изобретения способ без присоединения включал рациональное конструирование лекарственных средств и традиционную медицинскую химию. Кристаллическая структура N-тозил-D-пролина, связанного с TS, обнаруживала, что тозильная группа находится приблизительно в таком же положении и так же ориентирована, как и бензамидная составляющая метилентетрагидрофолиевой кислоты, природного кофактора фермента TS. В результате, глутаматная составляющая метилентетрагидрофолиевой кислоты была привита к соединению 1. Таблица 2 демонстрирует выбранное число этих соединений.
| Таблица 2 |
| Соединение |
где: R= |
Ki |
| 4 (L-пролин) |
 |
83±5 мкМ |
| 5 (D-пролин) |
 |
24±7 мкМ |
| 6 |
 |
242±3 мкМ |
| 7 |
 |
23±6 мкМ |
| 8 |
 |
32±2 мкМ |
| 9 |
 |
14±6 мкМ |
| 10 |
 |
378±69 мкМ |
| 11 |
 |
61±14 мкМ |
| 12 |
 |
246±46 мкМ |
Наблюдается явное преимущество D-энантиомера пролина (соединение 5) над L-энантиомером (соединение 4), и -карбоксильная группа остатка глутаминовой кислоты важна, поскольку ее удаление (соединение 12) или превращение ее в первичный амид (соединение 10) коррелируется с существенной потерей сродства к связыванию.
В другом аспекте настоящего изобретения предоставляется вариация способа присоединения для использования при получении или оптимизации соединений. Обычно этот способ включает:
а) предоставление мишени с анкерной группой, способной образовывать ковалентную связь или образовывать координационную связь с металлом при интересующем сайте или близко к нему;
б) связывание мишени с удлинителем с образованием при этом комплекса мишень-удлинитель, где удлинитель включает первую функциональную группу, которая образует либо ковалентную связь, либо координационную связь с металлом, и вторую функциональную группу, которая способна образовывать ковалентную связь;
в) связывание комплекса мишень-удлинитель с потенциальным лигандом, который включает группу, способную образовывать ковалентную связь с второй функциональной группой;
г) образование ковалентной связи между комплексом мишень-удлинитель и потенциальным лигандом; и
д) идентификацию потенциального лиганда, присутствующего в конъюгате мишень-удлинитель-лиганд.
В одном варианте осуществления изобретения анкерная группа в мишени является ым нуклеофилом или электрофилом и образует необратимую ковалентную связь с первой функциональной группой удлинителя. В другом варианте осуществления изобретения анкерная группа мишени является ым нуклеофилом или электрофилом и образует обратимую ковалентную связь с первой функциональной группой удлинителя. В другом варианте осуществления изобретения анкерная группа мишени является образующим координационную связь с металлом сайтом и анкерная группа вместе с первой функциональной группой образует сайт координации с металлом. Наглядные примеры подходящих металлов, способных связываться с такими сайтами, включают Cd, Hg, As, Zn, Fe, Cu, Ni, Co и Са. В другом варианте осуществления изобретения вторая функциональная группа является ым нуклеофилом или ым электрофилом.
В предпочтительных вариантах осуществления изобретения удлинитель включает первую и вторую функциональные группы, как описано выше, и включает связующую детерминанту, которая обладает присущим ей сродством к связыванию с мишенью. Если связующая детерминанта уже не содержит первой и второй функциональной группы, тогда она может быть модифицирована, чтобы содержать их. В одном способе присоединение применяется для идентификации связующей детерминанты Rc, которую затем модифицируют, чтобы она включала первую и вторую функциональные группы. В другом способе связующую детерминанту получают из известных субстратов мишени или ее фрагментов.
В другом варианте осуществления изобретения анкерная группа в мишени является ым нуклеофилом и удлинитель включает первую функциональную группу, которая способна образовывать ковалентную связь с нуклеофилом, и вторую функциональную группу, которая способна образовывать дисульфидную связь. Способ включает:
а) предоставление мишени с ым нуклеофилом в интересующем сайте или близко к нему; и
б) связывание мишени с удлинителем с образованием при этом комплекса мишень-удлинитель, в котором удлинитель включает первую функциональную группу, которая реагирует с нуклеофилом мишени с образованием ковалентной связи, и вторую функциональную группу, способную образовывать дисульфидную связь;
в) связывание комплекса мишень-удлинитель с потенциальным лигандом, который способен образовывать дисульфидную связь;
г) образование дисульфидной связи между комплексом мишень-удлинитель и потенциальным лигандом с образованием при этом конъюгата мишень-удлинитель-лиганд; и
д) идентификацию потенциального лиганда, присутствующего в конъюгате мишень-удлинитель-лиганд. Необязательно мишень связывается с потенциальным лигандом в присутствии восстанавливающего агента.
Наглядные примеры подходящих восстанавливающих агентов включают, но не ограничиваются ими: цистеин, цистеамин, дитиотреитол, дитиоэритрит, глутатион, 2-меркаптоэтанол, 3-меркаптопропионовую кислоту, фосфин, как, например, трис(2-карбоксиэтилфосфин) (“ТСЕР”) или боргидрид натрия. В одном варианте осуществления изобретения восстанавливающим агентом является 2-меркаптоэтанол. В другом варианте осуществления изобретения восстанавливающим агентом является цистеамин. Еще в одном варианте осуществления изобретения восстанавливающим агентом является глутатион. В другом варианте осуществления изобретения восстанавливающим агентом является цистеин.
В одном варианте осуществления изобретения мишень включает группу -ОН в качестве ого нуклеофила и удлинитель включает первую функциональную группу, которая способна образовывать ковалентную связь с ым нуклеофилом на мишени, и вторую функциональную группу, которая способна образовывать дисульфидную связь. В другом варианте осуществления изобретения ым нуклеофилом на мишени является группа -ОН серина, треонина или тирозина, или тирозина, который является частью последовательности природного белка. В другом варианте осуществления изобретения ым нуклеофилом на мишени является полученная с помощью генной инженерии группа -ОН, когда применяли мутагенез для мутации природной аминокислоты в серин, треонин или тирозин. В другом варианте осуществления изобретения первая функциональная группа удлинителя представляет борную кислоту и второй функциональной группой является группа -SH или замаскированная группа -SH. Наглядным примером замаскированной группы -SH является дисульфид формулы -SSR1, где R1 является таким, как описано ранее.
В другом варианте осуществления изобретения мишень включает -SH в качестве ого нуклеофила и удлинитель включает первую функциональную группу, способную образовывать ковалентную связь с ым нуклеофилом на мишени, и вторую функциональную группу, способную образовывать дисульфидную связь. В одном варианте осуществления изобретения ым нуклеофилом на мишени является встречающаяся в природе группа -SH цистеина, являющегося частью последовательности природного белка. В другом варианте осуществления изобретения ым нуклеофилом на мишени является полученная с помощью генной инженерии группа -SH, когда применяли мутагенез для мутации природной аминокислоты в цистеин.
В другом варианте осуществления изобретения белок-мишень обладает замаскированной группой -SH в виде дисульфида в качестве ого нуклеофила. В другом варианте осуществления изобретения белок-мишень содержит цистеин, в котором группа -SH маскируется в виде дисульфида. Еще в одном варианте осуществления изобретения белок-мишень содержит цистеин, где группа -SH замаскирована в виде дисульфидной связи с другим цистеином. Еще в одном варианте осуществления изобретения белок-мишень содержит цистеин, где группа -SH замаскирована в виде дисульфидной связи с глутатионом. В другом варианте осуществления изобретения белок-мишень содержит цистеин, где группа -SH замаскирована в виде дисульфида формулы -SSR1, где R1 является таким, как описано ранее.
В одном варианте осуществления изобретения первая и вторая функциональные группы удлинителя означают каждая независимо группу -SH или замаскированную группу -SH. Наглядным примером замаскированной группы -SH является дисульфид формулы -SSR1, где R1 является таким, как описано ранее. В этом варианте осуществления изобретения ковалентная связь, образованная между мишенью и удлинителем, является дисульфидной связью и, следовательно, обратимой ковалентной связью. В одном из вариантов способа мишень связывается с удлинителем до связывания комплекса мишень-удлинитель с одним или несколькими потенциальными лигандами. Согласно другому варианту мишень контактирует с пулом, включающим удлинитель и один или несколько потенциальных лигандов.
В другом варианте осуществления изобретения первая функциональная группа является группой, способной образовывать необратимую ковалентную связь с ым нуклеофилом мишени в условиях, которые не приводят к денатурации мишени, и вторая функциональная группа является группой -SH или замаскированной группой -SH. В одном варианте осуществления изобретения первая функциональная группа является группой, способной подвергаться присоединению, подобному нуклеофильному замещению (SN2). Наглядные примеры таких удлинителей включают:
(i) -галоидкислоты, как, например,
;
(ii) фторфосфонаты, как, например,
;
(iii) эпоксиды, как, например,
;
(iv) азиридины, как, например,
;

(v) тиираны, как, например,
;
(vi) галоидметилкетоны/амиды, как, например,
,
где R означает незамещенную (С1-С20)алифатическую группу, замещенную (С1-С20)-алифатическую группу, незамещенный арил и замещенный арил; R’ означает Н, -SR1, где R1 определен ранее, и Х означает уходящую группу. Наглядные примеры включают галоген, n2, OR, -Р(=O)Ar2, -NO(C=O)R, -(C=O)R, -SR и винилсульфоны. В этих и других структурах, приведенных ниже, прямоугольники означают связующие детерминанты в удлинителях из небольших молекул (SME), т.е. представляют часть SME, обладающую сродством к связыванию с мишенью.
В другом варианте осуществления изобретения первая функциональная группа является группой, способной подвергаться присоединению, подобному нуклеофильному замещению арила. Наглядные примеры подходящих групп включают 7-галоид-2,1,3-бензоксадиазолы и замещенные нитрогруппами в о- и п-положении галоидбензолы, как, например,
,
где R’ и Х являются такими, как определено выше.
В другом варианте осуществления изобретения первая функциональная группа является группой, способной присоединяться по реакции Михаэля. Наглядные примеры подходящих групп включают любой остаток, который включает двойную или тройную связь, примыкающую к электроноакцепторной системе, как, например, карбонил, имины, хинины, циангруппа, нитрогруппа и -S(=O)-. Наглядные примеры таких удлинителей включают:
, и ,
где R’ является таким, как определено ранее.
Удлинители часто подбираются для конкретной мишени или для семейства мишеней. Наглядные примеры специфичных к киназе удлинителей включают:
, , , ,
,
где Ra, Rb, Rc, Rd, Re и Rf выбираются каждый независимо из группы, состоящей из водорода, (С1-С5)алкила, (С1-С5)алкиламина и арила, при условии, что, как минимум, одна группа R в удлинителе является акцептором по Михаэлю и другая группа R выбирается из -(CH2)n-SR’, -C(=O)-(CH2)n-SR’, -O-(CH2)n-SR’, -(CH2)n-SR’ и защитной группы для группы -SH, где R’ является таким, как описано выше. Наглядные примеры подходящих акцепторов по Михаэлю включают
, и .
Наглядные примеры специфичных к серинпротеазе удлинителей включают:

.
Первой функциональной группой в этих удлинителях является место образования координационной связи с металлом и второй функциональной группой является замаскированная группа -SH в виде -SSCH2CH2NH2, хотя она может быть в виде -SSR1, где R1 является таким, как описано ранее. Эти удлинители связываются с серинпротеазой только в присутствии цинка (см. Katz и др., Nature 391: 608-12 (1998); Katz и Luong, J. Mol.Biol. 292: 669-84 (1999); Janc и др., Biochemistry 39: 4792-800 (2000). Существует версия для этого соединения, что отсутствие второй функциональной группы приводит к связыванию с активным сайтом серинпротеазы через активный сайт гистидина и серина, как показано ниже

Фиг.8 иллюстрирует один вариант осуществления способа присоединения с применением удлинителей. Как видно, мишень, включающая ый нуклеофил -SH, связывается с удлинителем, включающим первую функциональную группу X, которая способна образовывать ковалентную связь с ым нуклеофилом, и вторую функциональную группу -SR1′ (где R1′ является таким же, как R1, как определено выше), которая способна образовывать дисульфидную связь. Образуется комплекс с присоединенным удлинителем, который затем связывается с множеством потенциальных лигандов. Удлинитель предоставляет одну связующую детерминанту (круг) и потенциальный лиганд предоставляет вторую связующую детерминанту (квадрат) и предоставленные в результате связующие детерминанты связываются друг с другом с образованием конъюгированного соединения.
Синтетические способы образования обратимой или необратимой ковалентной связи между реакционноспособными группами на мишени и лигандом, между мишенью и удлинителем, комплексом мишень-удлинитель и лигандом, или между двумя лигандами хорошо известны в данной области и описаны в основных руководствах, как, например, March, Advanced Organic Chemistry, John Wiley & Sons, Нью-Йорк, 4-ое издание, 1992. Восстановительное аминирование при взаимодействии альдегидов и кетонов с аминами описано, например, у March и др., см. выше, на стр.898-900; альтернативные способы получения аминов описаны на стр.1276; реакции между альдегидами и кетонами и гидразидными производными с образованием гидразонов и производных гидразонов, как, например, семикарбазоны, описаны на стр.904-906; образование амидной связи описано на стр.1275; образование мочевин описано на стр.1299; образование тиокарбаматов на стр.892; образование карбаматов на стр.1280; образование сульфамидов на стр.1296; образование простых тиоэфиров на стр.1297; образование дисульфидов на стр.1284; образование простых эфиров на стр.1285; образование сложных эфиров на стр.1281; присоединения к эпоксидам на стр.368; присоединения к азиридинам на стр.368; образование ацеталей и кеталей на стр.1269; образование карбонатов на стр.392; образование денаминов на стр.1264; метатезис алкенов на стр.1146-1148 (см. также Grubbs и др., Acc. Chem. Res. 28:446-453 [1995]); катализируемые переходными металлами сочетания арилгалидов и сульфонатов с алканами и ацетиленами, например, реакции Хека, на стр.717-718; реакция арилгалидов и сульфонатов с металлорганическими реагентами, как, например, борорганические реагенты, на стр.662 (см. также Miyaura и др., Chem. Rev.95:2457 [1995]); оловоорганические и цинкорганические реагенты, образование оксазолидинов (Ede и др., Tetrahedron Letts. 28:7119-7122 [1997]); образование тиазолидинов (Patek и др., Tetrahedron Letts. 36:2227-2230 [1995[); образование аминов, связанных через амидиновые группы, путем сочетания аминов через сложные имидоэфиры (Davies и др., Canadian J. Biochem. c 50: 416-422 [1972]) и т.д..
Для дальнейшей иллюстрации способа присоединения с применением удлинителей способ был применен к противоапоптозной caspase-3 в качестве мишени, являющейся членом семейства цистеин-аспартил-протеаз. В настоящее время известно около дюжины членов семейства caspase, многие из которых вовлечены в инициирование или распространение каскадного апоптоза. Caspases являются потенциальными мишенями для лекарств в случае разнообразных терапевтических показаний, включающих чрезмерные или патологические уровни программированной гибели клеток, как, например, припадок, травматическое повреждение мозга, повреждение спинного мозга, болезнь Альцгеймера, болезнь Хантингтона, болезнь Паркинсона, сердечно-сосудистые заболевания, печеночная недостаточность и сепсис. Более того, caspase-3 содержит в активном сайте остаток природного цистеина и была хорошо охарактеризована как функционально, так и кристаллографически.
Подходящий удлинитель для применения в активном сайте caspase-3 был сконструирован с учетом того факта, что известно, что небольшие арилацилоксиметил-кетоны на основе остатка аспарагиновой кислоты необратимо реагируют с активным сайтом цистеина. Примеры 7-10 и 14 описывают синтезы пяти характерных удлинителей. Эти удлинители могут быть использованы в экспериментах по присоединению с другими caspase в качестве мишеней, как, например, caspase-1 и caspase-7. Двумя удлинителями, которые будут описаны более подробно, являются соединения 13 и 14.

Как видно, соединения 13 и 14 включают остаток аспарагиновой кислоты в качестве связующей детерминанты. Видно, что карбонил остатка аспарагиновой кислоты составляет также часть первой функциональной группы (часть в виде арилацилоксиметилкетона), которая образует ковалентную связь с группой -SH активного сайта цистеина. Удлинители 13 и 14 также включают вторую функциональную группу, замаскированную группу -SH в виде сложного тиоэфира, которая может быть демаскирована в подходящее время. Например, сложный тиоэфир может быть превращен в свободный тиол при обработке комплекса мишень-удлинитель с помощью гидроксиламина.
Оба удлинителя предлагались для селективно модифицированной caspase-3 в цистеиновом активном сайте и их обрабатывали гидроксиламином для генерирования следующих комплексов мишень-удлинитель:

Пример 11 описывает более подробно методику в отношении модификации caspase-3 с помощью удлинителя 13 для образования комплекса мишень-удлинитель 13′.
Комплексы мишень-удлинитель 13′ и 14′ использовались каждый в способе присоединения против библиотеки примерно из 10,000 потенциальных лигандов. Наглядным примером выбранного потенциального лиганда при использовании комплекса мишень-удлинитель 13′ является

Наглядным примером выбранного потенциального лиганда при использовании комплекса мишень-удлинитель 14′ является

Показательно, что потенциальный лиганд 15 не отбирался с помощью комплекса мишень-удлинитель 14′ и потенциальный лиганд 16 не отбирался с помощью комплекса мишень-удлинитель 13′. Зависимость структура-активность среди отобранных соединений была также очевидна. Например, потенциальный лиганд 17

который идентичен потенциальному лиганду 15, за исключением того, что у него отсутствует гидроксильная группа, не был отобран с помощью любого из комплексов мишень-удлинитель 13′ или 14′.
Для оценки того, как удлинители и отобранные потенциальные лиганды связывались с мишенью, определяли две структуры конъюгатов мишень-удлинитель-лиганд. Обычные кристаллографические методики описаны далее в примере 12. Первая структура была структурой конъюгата, который образуется, когда комплекс мишень-удлинитель 13′ связывается с потенциальным лигандом 15. Вторая структура представляла структуру конъюгата, который образуется, когда комплекс мишень-удлинитель 14′ связывается с потенциальным лигандом 16. В таблице 3 суммированы выбранные кристаллографические данные для этих структур.
| Таблица 3 |
| Набор данных |
Пространственная группа |
Ячейка [А, В, С] |
Разрешение [Å] |
Полнота решения [%] |
RСИММ. [%] |
RКРИСТ.[%] |
RСВОБ. [%] |
Молекул на асимм. ячейку |
| Конъюгат, образованный из 13 и 15 |
I222 |
69,49 |
20-1,6 |
95,9 |
4,3 |
17,2 |
20,5 |
1 |
| |
|
83,60 |
|
|
|
|
|
|
| |
|
95,60 |
|
|
|
|
|
|
| Конъюгат, образованный из 14 и 16 |
P212121 |
68,85 |
20-2,4 |
95,6 |
10,4 |
24,1 |
29,9 |
2 |
| |
|
89,043 |
|
|
|
|
|
|
| |
|
96,5 |
|
|
|
|
|
|
Видно, что участок аспарагиновой кислоты обоих удлинителей сверхналагался на остаток аспарагиновой кислоты в известном тетрапептидном субстрате. Что касается связующей детерминанты потенциального лиганда 15, сульфамид салициловой кислоты образует многочисленные связи с белком, включая четыре водородные связи. Участок салицилата занимает полость Р4 фермента, который предпочтительно распознает аспарагиновую кислоту в caspase-3. Что касается связующей детерминанты потенциального лиганда 16, сульфон образует несколько из таких же связей, что и салицилат.
Учитывая, что связующие детерминанты от удлинителя и потенциальных лигандов образовывали продуктивные связи с активным сайтом caspase-3, были сконструированы соединения, где дисульфидные связи были заменены более устойчивыми связями. Кроме того, были получены производные для исследования зависимости структура-активность (SAR) для связующих детерминант. Что касается конъюгата, включающего удлинитель 13 и потенциальный лиганд 15, конъюгат мишень-удлинитель-лиганд включает:

Из этого конъюгата получали класс эффективных ингибиторов caspase-3, включающих участок

Четыре наглядных примера соединений, которые были получены на основе конъюгата как для оптимизации, так и для изучения SAR, раскрываются в таблице 4.
| Таблица 4 |
| Соединение |
|
Ki (мкМ) |
| 18 |
 |
2,8 |
| 19 |
 |
15,3 |
| 20 |
 |
>100 |
| 21 |
 |
0,16 |
| 22 |
 |
0,33 |
Как можно видеть, был предпринят консервативный подход, когда два атома серы заменяли двумя метиленовыми звеньями и арилацилоксиметилкетон (первая функциональная группа) была заменена простым альдегидом, что привело в результате к соединению 18, эффективному ингибитору caspase-3 с величиной константы ингибирования (Кi) 2,8 мкМ. Удаление гидроксильной группы для получения соединения 19 уменьшало сродство в пять раз, подтверждая зависимость структура-активность, наблюдаемую при исследовании присоединения. Удаление как гидроксильной группы, так и кислотного остатка для получения соединения 20 приводит к полной потере сродства к связыванию. Исследования по моделированию предполагали, что замена метиленового мостика жестким аминобензильным остатком будет эффективно поддерживать расстояние между аспартильной группой и салицилатом, понижая в то же время энтропические затраты связующего звена. Действительно, как видно, соединение 21 характеризуется величиной Кi, которая более, чем в 10 раз лучше, чем для соединения 18.
Подобным же образом, новый класс ингибиторов caspase-3 получали из конъюгата мишень-удлинитель-лиганд, включающего удлинитель 14 и потенциальный лиганд 16,
.
В одном варианте осуществления изобретения соединения включают участок
.
В другом варианте осуществления изобретения соединения имеют структуру
,
где Х означает CH2, S, SO, SO2 и R5 означает незамещенный арил или замещенный арил. В другом варианте осуществления изобретения R4 является незамещенным гетероарилом или замещенным гетероарилом. Наглядным примером соединения этого класса является соединение 22 с Ki 0,33 мкМ.
В примерах 13 и 15-21 более подробно описывается некоторое число ингибиторов caspase-3, которые были синтезированы, основываясь на применении присоединения с использованием удлинителей 13 и 14.
Дополнительно заслуживают внимания соединения по настоящему изобретению, содержащие сульфамид салициловой кислоты. Идентификация сульфамида салициловой кислоты в качестве подходящего Р4-связывающего фрагмента не могла бы осуществляться с применением методов традиционной медицинской химии. Используя соединения 21 в качестве примера, было показано, что вариант соединения 21, не содержащий сульфамида салициловой кислоты, ингибирует caspase-3 с величиной Кi, составляющей примерно 28 мкМ. Добавление сульфамида салициловой кислоты к этому фрагменту улучшает связывание примерно в 200 раз и приводит к соединению 21, характеризующемуся величиной Кi примерно 0,16 мкМ. И наоборот, сродство к связыванию уменьшается, если используют известный трипептид, который связывается с сайтами Р1-Р3 caspase-3, как, например, соединение I в качестве исходного пункта.

Как можно наблюдать, соединение I имеет Кi, равную 0,051 мкМ, и присоединение к этому соединению остатка сульфамида салициловой кислоты приводит к соединению II, для которого наблюдается примерно 300-кратное уменьшение сродства к связыванию. Из-за такого резкого снижения исследование связывания Р4 с трипептидами не привело бы в результате к идентификации сульфамида салициловой кислоты в качестве подходящего Р4-связывающего фрагмента. Однако, соединения, содержащие такой фрагмент, доступный для связывания с Р4, являются эффективными ингибиторами. Следовательно, этот пример придает большое значение эффективности способа присоединения для идентификации важных фрагментов, которые могут и не быть обнаружены при использовании традиционных способов. Как видно в случае caspase-3, эти фрагменты могут связываться друг с другом с образованием сильных антагонистов или агонистов представляющей интерес мишени.
Изобретение далее иллюстрируется следующими неограничивающими примерами.
Пример 1
Были созданы несколько мутантов немодифицированной или “дикого типа” тимидилатсинтазы E.coli, сверхэкспрессированы в штамме 2913 Е.coli (в котором ген тимидилатсинтазы был удален) и очищены. Штамм 2913 требует добавки тимидина, поскольку (удаленный) ген тимидилатсинтазы важен для жизни. Первый мутант является таким, где цистеин активного сайта был заменен серином (сокращенный как C146S). Второй и третий мутанты включают ненативный цистеин, который был введен в активный сайт в дополнение к мутации C146S. Второй мутант включает цистеин в остатке 143 вместо лейцина и обозначается C146S/L143C. Третий мутант включает цистеин в остатке 147 вместо гистидина и обозначается как C146S/H147C. Другие мутанты включают D169C, W83C и I79C, где цистеин активного сайта (С146) сохранялся.
Пример 2
Содержащие дисульфид члены библиотеки получали из коммерчески доступных карбоновых кислот и моно-N-(трет-бутоксикарбонил)-защищенного цистамина (моно-Вос-цистамин), применяя способ Parlow с сотрудниками (Mol. Diversity 1: 266-269 (1955)). Если коротко, 260 мкмолей каждой карбоновой кислоты подвергали иммобилизации на эквивалентных 130 мкмолях 4-гидрокси-3-нитробензофенона на полистирольной смоле, применяя 1,3-диизопропилкарбодиимид (ДИПК) в N,N-диметилформамиде (ДМФА). После 4 часов выдержки при комнатной температуре смолу промывали ДМФА (2х), дихлорметаном (ДХМ, 3х) и тетрагидрофураном (ТГФ, 1х) для удаления несвязанной кислоты и ДИПК. Кислоты отщепляли от смолы путем образования амида с применением 66 мкмолей моно-ВОС-защищенного цистамина в тетрагидрофуране. После протекания реакции в течение 12 часов при температуре окружающей среды растворитель выпаривали и трет-бутоксикарбонильную группу удаляли от несвязанной половины каждого дисульфида, используя 80%-ную трифторуксусную кислоту (ТФК) в дихлорметане. Продукты охарактеризовывали с помощью жидкостной хроматографии высокого давления и масс-спектрометрии (ЖХВД-МС) и те продукты, которые были достаточно чистыми, применяли без дальнейшей очистки. При применении такой методики было получено в общей сложности 530 соединений.
Библиотеки соединений также создавали из моно-Вос-замещенного цистамина и разнообразных сульфонилхлоридов, изоцианатов и изотиоцианатов. В случае сульфонилхлоридов 10 мкмолей каждого сульфонилхлорида подвергали реакции сочетания с 10,5 мкмолями моно-Вос-защищенного цистамина в ТГФ (с 2% диизопропилэтиламина) в присутствии 15 мг поли(4-винилпиридина). Через 48 часов поли(4-винилпиридин) удаляли путем фильтрации и растворитель выпаривали. Вос-группу удаляли с помощью 50% ТФК в ДХМ. В случае изо(тио)цианатов 10 мкмолей каждого изоцианата или изотиоцианата подвергали реакции сочетания с 10,5 мкмолями моно-Вос-защищенного цистамина в тетрагидрофуране. После реакции в течение 12 часов при температуре окружающей среды растворитель выпаривали и Вос-группу удаляли, применяя 50% ТФК в ДХМ. Всего было получено 212 соединений при применении такой методики.
И наконец, библиотеки соединений на основе оксимов получали при реакции 10 мкмолей конкретных альдегидов или кетонов с 10 мкмолями HO(CH2)2SS(CH2)2ONH2 в метаноле: хлороформе 1:1 (с добавлением 2% уксусной кислоты) в течение 12 часов при температуре окружающей среды, получали продукт в виде оксима. Всего 448 соединений было получено при использовании этой методики.
Отдельные члены библиотеки заново растворяли либо в ацетонитриле, либо в диметилсульфоксиде до конечной концентрации в 50 или 100 мМ. Аликвоты каждого из этих растворов затем объединяли в группы из 8-15 дискретных соединений, причем каждый член пула имел свою единственную молекулярную массу.
Пример 3
Производные N-тозилпролина были синтезированы следующим образом. Гидрохлорид метилового эфира пролина подвергали реакции с 4-(хлорсульфонил)-бензойной кислотой и карбонатом натрия в воде. Продукт превращали в пентафторфениловый эфир при его реакции с пентафторфениловым эфиром трифторуксусной кислоты и пиридином в N,N-диметилформамиде, очищали с помощью флэш-хроматографии. Активированный сложный эфир затем подвергали реакции с метиловым эфиром глутаминовой кислоты (или любой из других исследуемых аминокислот) в присутствии триэтиламина и дихлорметана, продукт очищали с помощью флэш-хроматографии и сложные метиловые эфиры гидролизовали с помощью гидроокиси лития в воде. Конечные продукты очищали с помощью обращенно-фазовой ЖХВД и подвергали лиофилизации.
Альтернативно, указанной последовательности реакций следовали, исходя из трет-бутилового эфира пролина. После присоединения сложного аминоэфира к бензойной кислоте трет-бутиловую сложноэфирную группу удаляли с помощью 50%-ной трифторуксусной кислоты в дихлорметане в присутствии триэтилсилана в качестве акцептора. Свободную кислоту затем превращали в пентафторфениловый эфир, как описано выше, и подвергали реакции с соответствующим амином. Сложные метиловые эфиры гидролизовали с применением гидроокиси лития в воде и конечные продукты очищали с помощью обращенно-фазовой ЖХВД и подвергали лиофилизации.
Пример 4
Скрининг библиотеки дисульфидов осуществляли следующим образом. В типичном эксперименте 1 мкл раствора диметилсульфоксида, содержащего 8-15 дисульфидсодержащих соединений библиотеки, прибавляют к 49 мкл буфера, содержащего белок. Эти соединения подбирались таким образом, чтобы каждое имело единственную в своем роде молекулярную массу. В идеале, эти молекулярные массы различаются, как минимум, на 10 атомных единиц массы (amu) для того, чтобы результат разрешения был однозначен. Хотя пулы из 8-15 дисульфидсодержащих соединений обычно применялись для облегчения разрешения, могут использоваться и более крупные пулы. Белок присутствует в концентрации 15 мкМ, каждый из членов библиотеки дисульфидов присутствует в концентрации 0,2 мМ и, таким образом, общая концентрация членов библиотеки дисульфидов составляет 2 мМ. Скрининг осуществляли в буфере, содержащем 25 мМ фосфат калия (рН 7,5) и 1 мМ 2-меркапто-этанол, хотя могут быть применены другие буферы и восстанавливающие агенты. Реакциям давали возможность уравновеситься при температуре окружающей среды в течение, как минимум, тридцати минут. Эти условия могут варьироваться, в значительной степени в зависимости от легкости ионизации белка в масс-спектрометре (см. ниже), от реакционной способности специфического цистеина(ов) и т.д. Было обнаружено, что в случае тимидилатсинтазы описанные выше условия являются подходящими. Никакие специальные усилия не требовались для исключения кислорода или непредусмотренных ионов металлов; по временной шкале этих реакций имеется достаточно свободных групп -SH для облегчения дисульфидного обмена.
После достижения равновесия реакционные смеси инъецировали в HP 1100 для ЖХВД и хроматографировали на колонке С18, присоединенной к масс-спектрометру (Finnigan MAT LCQ). Многочисленные заряженные ионы, образующиеся из белка, разделяли с помощью доступного программного обеспечения (Xcalibur), чтобы добиться результатов при данной массе белка. Идентичность любого члена библиотеки, связанного дисульфидной связью с белком, была затем легко установлена путем вычитания известной массы не модифицированного белка из наблюдаемой массы. Этот способ предполагает, что присоединение члена библиотеки не меняет резко ионизационные характеристики самого белка, это традиционное допущение благодаря тому факту, что в большинстве случаев белок будет, как минимум, в двадцать раз больше, чем любой рассматриваемый член библиотеки. Это предположение было подтверждено путем демонстрации, что небольшие молекулы, выбранные одним белком, не выбираются другими белками.
Пример 5
Кристаллы выращивались, как ранее описано Perry и др., Proteins 8: 315-333 (1990), за исключением того, что для не ковалентных комплексов 1 мМ соединения включали в буфер для кристаллизации. Перед сбором данных кристаллы переносили в раствор, содержащий 70% насыщенного раствора сульфата аммония, 20% глицерина, 50 мМ вторичный кислый фосфорнокислый калий, рН 7,0. Для не ковалентного комплекса с N-тозил-D-пролином прибавляли 10 мМ соединения к вымачивающему раствору; для других комплексов прибавляли 1 мМ соединения. Дифракционные данные собирали при -170°С, применяя генератор Rigaku RU-3R и детектор R-axis-IV, и обрабатывали, применяя комплекс d*TREK. Так как эти кристаллы были изоморфны с ранее описанными структурами (банк данных для белков /PDB/ код 1TJS для формы I213 и 2TSC для формы Р63), уточнение было начато в приближении твердого тела с помощью программы REFMAC (в программе пакета ССР4). Подгонка модели белка осуществлялась с использованием модели соединения, сконструированной в программе INSIGHT-II (фирма MSI, Сан-Диего), и словаря PROTIN (CCP4), созданного с помощью программы MAKEDIC (CCP4). Уточнения при позиционных и индивидуальных изотропных температурных факторах проводили с помощью программы REFMAC (CCP4), используя все отражения в указанных интервалах разрешения. Молекулы растворителя располагались автоматически с использованием программы ARPP (CCP4) и уточнение проводили до тех пор, пока не оставалось неинтерпретируемых деталей в разностных картах Рнабл-Ррасч. Внесенными в PDB номерами являются 1F4B, 1F4C, 1F4D, 1F4E, 1F4F для нативного, для присоединенного к С146 N-тозил-D-пролина, присоединенного к L143C N-тозил-D-пролина, для вымоченного N-тозил-D-пролина в виде свободной кислоты, для вымоченного глутамат-N-тозил-D-пролина и для кристаллов глутамат-N-тозил-D-пролин- -аланина, соответственно.
Пример 6
Выбранное производное N-тозил-D-пролина оптимизировали и испытывали как ряд потенциальных лигандов, используя способ присоединения. Основываясь на кристаллической структуре N-тозил-D-пролина, связанного с тимидилатсинтазой, метильная группа фенильного кольца имела перспективное местоположение для использования в качестве места дериватизации. На схеме 1 представлен общий способ, который был применен для синтеза производных, использующий 88 различных альдегидов (где R5 выбирается из незамещенного арила или замещенного арила) и шесть различных мостиков.
Схема 1

Определяли константы ингибирования не присоединенных вариантов выбранных потенциальных лигандов. Два из лучших соединений представляли:
.
Определяли Кi соединения 2, которая составляла около 55 мкМ, и Кi соединения 3 по результатам определения составляла примерно 40 мкМ.
Пример 7
Данный пример описывает один вариант осуществления изобретения для синтеза соединения 13. Общая схема реакций представлена схемой 2.
Схема 2

4-трет-Бутиловый эфир 2-(2-ацетилсульфанилацетиламино)янтарной кислоты 24
Пентафторфениловый эфир ацетилсульфанилуксусной кислоты (1,6 г, 5,3 ммоля) и H-Asp(O-tBu)-OH (1 г, 5,3 ммоля) смешивали в 20 мл безводного дихлорметана. Затем прибавляли 1,6 мл триэтиламина (11,5 ммоля) и реакцию проводили при температуре окружающей среды в течение 3,5 часов. Органический слой затем экстрагировали (3×15 мл) 1 М карбонатом натрия, объединенные водные фракции подкисляли 100 мл 1 М бисульфата натрия и экстрагировали (3×30 мл) этилацетатом. Объединенные органические фракции затем промывали 30 мл 1 М бисульфата натрия, 30 мл 5 М хлористого натрия, сушили над сульфатом натрия, фильтровали и упаривали при пониженном давлении, получали 1,97 г соединения 24 в виде почти бесцветного сиропа, который использовали без дальнейшей очистки. М.м.=305 (найдено 306, М+1).
4-трет-Бутиловый эфир 3-(2-ацетилсульфанилацетиламино)-5-хлор-4-оксо-валериановой кислоты 25
Свободную кислоту 24 растворяли в 10 мл безводного тетрагидрофурана (ТГФ), охлаждали до 0°С и обрабатывали 0,58 мл N-метилморфолина (5,3 ммоля) и 0,69 мл изобутилового эфира хлормуравьиной кислоты. Немедленно образовывался густой осадок белого цвета, и через 30 минут реакционную смесь фильтровали через стеклянную фритту и переносили в новую колбу с дополнительными 10 мл тетрагидрофурана. Тем временем готовили диазометан при реакции 1-метил-3-нитро-1-нитрозогуанидина (2,3 г, 15,6 ммоля) с 7,4 мл 40%-ной водной гидроокиси калия и 25 мл диэтилового эфира в течение 45 минут при 0°С. Эфирный слой желтого цвета затем декантировали в реакционную смесь, содержащую смешанный ангидрид, и реакцию продолжали при медленном нагревании до температуры окружающей среды в течение 165 минут. Реакционную смесь охлаждали до 8°С и прибавляли по каплям 1,5 мл 4 н. HCl в диоксане (всего 6 ммолей). Это приводило к бурному выделению газа и раствор желтого цвета становился бесцветным. Реакцию проводили еще 2 часа, постепенно нагревая до температуры окружающей среды, а затем останавливали с помощью 1 мл ледяной уксусной кислоты. Растворитель удаляли при пониженном давлении и остаток заново растворяли в 75 мл этилацетата, промывали (2×50 мл) насыщенным раствором бикарбоната натрия, 50 мл 5 М хлористого натрия, сушили над сульфатом натрия, фильтровали и упаривали досуха перед очисткой с помощью флэш-хроматографии с использованием хлороформа: этилацетата 90:10, получали 0,747 г соединения 25 в виде маслообразного вещества светло-желтого цвета (2,2 ммоля, выход 42% от 23). Ожидаемая М.м.=337,7, найдено 338 (М+1).
3-(2-Ацетилсульфанилацетиламино)-4-трет-бутоксикарбонил-2-оксобутиловый эфир 2,6-дихлорбензойной кислоты 26
Растворяли хлорметилкетон 25 (0,25 г, 0,74 ммоля) в 5 мл безводного N,N-диметилформамида, к раствору прибавляли 0,17 г 2,6-дихлорбензойной кислоты (0,89 ммолей) и 0,107 г фторида калия (1,84 ммоля). Реакция протекала при температуре окружающей среды в течение 19 часов, затем реакционную смесь разбавляли 75 мл этилацетата, промывали (2×50 мл) насыщенным раствором бикарбоната натрия, 50 мл 1 М бисульфата натрия, 50 мл 5 М хлористого натрия, сушили над сульфатом натрия, фильтровали и сушили при пониженном давлении, получали сироп желтого цвета, в котором по данным ЖХВД-МС обнаруживали примерно 75% продукта 26 и 25% непрореагировавшего соединения 25. Полученный продукт использовали без дополнительной очистки. Ожидаемая М.м.=492,37, найдено 493 (М+1).
3-(2-Ацетилсульфанилацетиламино)-4-карбокси-2-оксобутиловый эфир 2,6-дихлорбензойной кислоты 13
Продукт 26 растворяли в 10 мл безводного ДХМ, охлаждали до 0°С и обрабатывали 9 мл трифторуксусной кислоты (TFA). Реакционную смесь убирали из бани со льдом и давали смеси нагреться до температуры окружающей среды в течение одного часа. Растворитель удаляли при пониженном давлении и остаток дважды заново растворяли в дихлорметане и упаривали для удаления оставшейся трифторуксусной кислоты. Технический продукт 13 очищали с помощью обращенно-фазовой жидкостной хроматографии высокого давления, получали 101,9 мг (0,234 ммоля, 32% от 25) гигроскопического порошка белого цвета. Ожидаемая М.м.=436,37, найдено 437 (М+1). Данное вещество растворяли в диметилсульфоксиде (ДМСО) для получения 50 мМ исходного раствора.
Пример 8
Данный пример описывает один вариант осуществления изобретения, имея в виду удлинитель, соединение 32, который использовался в экспериментах по присоединению для caspase-3. Общая схема представлена схемой 3.
Схема 3

а) Прибавляли 3-меркаптопропионовую кислоту (4 г, 37,69 ммоля) в атмосфере азота к дегазированному раствору карбоната калия (15,63 г, 113 ммолей) в 125 мл деионизованной воды. Этот раствор затем охлаждали до 0°С и прибавляли по каплям уксусный ангидрид (3,56 мл, 37,69 ммоля). Реакционную смесь перемешивали 15 минут, промывали диэтиловым эфиром (2×50 мл) и подкисляли 1 М соляной кислотой до рН 2. Водный слой затем экстрагировали этилацетатом (3×25 мл). Объединенные органические слои промывали соляным раствором, сушили над безводным сульфатом натрия, фильтровали и растворитель удаляли при пониженном давлении, получали соединение 27 (5,19 г, 35 ммолей), выход 93%, ES (+) МС (МС с ионизацией электрораспылением с образованием положительных ионов) m/е=148 (М+Н), соединение использовали без дополнительной очистки.
б) Соединение 27 (2,36 г, 15,94 ммоля) растворяли в 50 мл безводного тетрагидрофурана и прибавляли пиридин (1,35 мл, 16,74 ммоля), а затем пентафторфениловый эфир трифторуксусной кислоты (2,71 мл, 15,78 ммоля). Раствор перемешивали при температуре окружающей среды в течение 2 часов. Тетрагидрофуран удаляли при пониженном давлении и остаток заново растворяли в 75 мл этилацетата, промывали 1М соляной кислотой (2×25 мл), 25 мл насыщенного раствора бикарбоната натрия, 25 мл соляного раствора, сушили над безводным сульфатом натрия, фильтровали и растворитель удаляли при пониженном давлении, получали соединение 28 (3,77 г, 12 ммолей, 75%), ES (+) МС m/e=314 (M+H), которое использовали без дополнительной очистки.
в) Соединение 28 (3,77 г, 11,99 ммоля) смешивали с H2N-Asp(O-tBu)COOH (2,27 г, 11,99 ммоля) и суспендировали в 40 мл безводного дихлорметана. Затем прибавляли триэтиламин (2,9 мл, 20,8 ммоля) и раствор перемешивали 16 часов, после этого к нему приливали 100 мл этилацетата, промывали 1М бисульфатом натрия (2×50 мл) и 50 мл соляного раствора, сушили над безводным сульфатом натрия, фильтровали и растворитель удаляли при пониженном давлении, получали продукт, который очищали с помощью флэш-хроматографии, применяя хлороформ: метанол: уксусную кислоту 94:5:1, получали соединение 29 (2,62 г, 8,2 ммоля), выход 68%, ES (+) МС m/е=264 ((M-tBu)+H)).
г) Соединение 29 (2,62 г, 8,2 ммоля) растворяли в 25 мл безводного тетрагидрофурана и охлаждали до 0°С. К этому раствору прибавляли N-метил-морфолин (NMM) (1,88 мл, 17,06 ммоля), а затем изобутиловый эфир хлормуравьиной кислоты (2,15 мл, 16,56 ммоля). Полученную в результате суспензию оставляли перемешиваться еще 2 часа и смесь фильтровали. Раствор выливали в раствор диазометана в эфире при 0°С. Раствор темно-желтого цвета оставляли нагреваться до комнатной температуры в течение ночи. Пропускали азот через темно-оранжевый раствор в течение 30 минут. Половину раствора охлаждали до 0°С и прибавляли по каплям 4 М соляную кислоту (3,8 мл, 15 ммолей), и раствор перемешивали при 0°С в течение 1 часа. Растворитель удаляли при пониженном давлении и остаток заново растворяли в 50 мл этилацетата. Органический слой промывали насыщенным раствором бикарбоната натрия (2×25 мл), 25 мл соляного раствора, сушили над безводным сульфатом натрия и концентрировали, очищали с помощью флэш-хроматографии, используя хлороформ: этилацетат 95:5, получали соединение 30 (0,198 г, 0,562 ммоля, 14%), ES (+) МС m/e=296 ((M-tBu)+H).
д) Соединение 30 (50 мг, 0,143 ммоля) растворяли в 1 мл безводного диметилформамида и прибавляли смесь 2,6-дихлорбензойной кислоты (33 мг, 0,172 ммоля) и фтористого калия (21 мг, 0,358 ммоля). Раствор перемешивали при температуре окружающей среды 16 часов, затем заливали 20 мл этилацетата, промывали насыщенным раствором бикарбоната натрия (2×10 мл), 10 мл соляного раствора, сушили над безводным сульфатом натрия, фильтровали и растворитель удаляли при пониженном давлении, получали соединение 31 (48 мг, 0,0948 ммоля, 67%), ES (+) МС m/e=451 ((M-tBu)+H).
е) Соединение 31 растворяли в 5 мл дихлорметана и охлаждали до 0°С, прибавляли 5 мл трифторуксусной кислоты и раствор перемешивали 30 минут. Растворитель удаляли при пониженном давлении и технический остаток очищали с помощью препаративной обращенно-фазовой ЖХВД, получали соединение 32 (0,006 г, 0,013 ммоля, 14%), ES (+) МС: m/e=450,29 (М+1).
Пример 9
В этом примере описывается один вариант осуществления изобретения для синтеза соединения 14. Общая схема реакций представлена схемой 4
Схема 4

а) Применяли Z-Asp(OtBu)-OH для получения соединения 33 аналогично соединению 30 из примера 8. ES (+) МС m/е=344 ((M-tBu)+H).
б) Соединение 34 получали аналогично методике из примера 8д за исключением того, что исходили из соединения 33 вместо соединения 30 (88%). ES (+) МС m/e=454 ((M-tBu)+H).
в) Соединение 34 (0,5 г, 0,9 ммоля) растворяли в 10 мл метилового спирта и охлаждали до 0°С. Затем прибавляли порциями боргидрид натрия (0,074 г, 1,96 ммоля) и реакционную смесь перемешивали 1,5 часа. В реакционную смесь вливали 25 мл 1М соляной кислоты и экстрагировали дихлорметаном (3×10 мл), сушили над безводным сульфатом натрия, фильтровали и растворитель удаляли при пониженном давлении, получали соединение 35 (0,297 г, 0,058 ммоля, 60%), ES (+) МС m/e=456 ((M-tBu)+H).
г) Соединение 35 (0,297 г, 0,579 ммоля) растворяли в 5 мл метилового спирта, затем через раствор барботировали азот, прибавляли влажный Pd/C (10% масса/масса, фирма Aldrich, 0,123 г) и раствор перемешивали при подаче водорода из баллона с водородом в течение 30 минут. Реакционную смесь затем фильтровали через целит и растворитель удаляли при пониженном давлении, получали соединение 36 (0,188 г, 0,497 ммоля, 86%), ES (+) МС m/e=292 ((М-tBu)+H).
д) Раствор м-толуолсульфохлорида (6,8 г, 35, 67 ммоля), N-бромсукцинимида (6,35 г, 35,67 ммоля) и перекиси бензоила (0,670 г, 3,07 ммоля) в 40 мл четыреххлористого углерода кипятили с обратным холодильником 2 часа. После охлаждения до комнатной температуры смесь фильтровали, растворитель удаляли при пониженном давлении и продукт очищали с помощью флэш-хроматографии, используя гексаны:этилацетат 9,5:0,5, получали соединение 37 (3,43 г, 12,7 ммоля, 36%), ES (+) МС m/e=213 ((М-)+Н).
е) Соединение 36 (0,188 г, 0,497 ммоля) растворяли в 2 мл дихлорметана и прибавляли диизопропилэтиламин (0,173 мл, 0,994 ммоля), этот раствор затем прибавляли по каплям к соединению 37 (0,670 г, 2,49 ммоля), растворенному в 20 мл дихлорметана. После перемешивания при комнатной температуре в течение 20 минут дихлорметан удаляли при пониженном давлении и остаток заново растворяли в 20 мл этилацетата, промывали 1 М бисульфатом натрия (2×10 мл), 10 мл насыщенного раствора бикарбоната натрия, 10 мл соляного раствора, сушили над безводным сульфатом натрия, фильтровали и растворитель удаляли при пониженном давлении, получали продукт, который очищали с помощью флэш-хроматографии, применяя гексаны: этилацетат 4:1, получали соединение 38 (0,068 г, 0,111 ммоля, 22%), ES (+) MC m/e=555 ((M-tBu)+H).
ж) Соединение 38 (0,068 г, 0,111 г) растворяли в 1 мл диметилформамида и прибавляли калиевую соль тиоуксусной кислоты (0,013 г, 0,111 ммоля). Реакционную смесь перемешивали 1 час при температуре окружающей среды и затем заливали 10 мл дихлорметана, промывали 1 М бисульфатом натрия (2х5 мл), 5 мл насыщенного раствора бикарбоната натрия и 5 мл соляного раствора, сушили над безводным сульфатом натрия, фильтровали и растворитель удаляли при пониженном давлении, получали соединение 39 (0,044 г, 0,073 ммоля, 66%), ES (+) MC m/e=550 ((M-tBu)+H).
з) Соединение 39 (0,044 г, 0,073 ммоля) растворяли в 2 мл дихлорметана и прибавляли перйодинан Десса-Мартина (0,046 г, 0,108 ммоля). Реакционную смесь перемешивали при комнатной температуре 30 минут и фильтровали. Прибавляли 5 мл дихлорметана и раствор охлаждали до 0°С перед добавлением 7 мл трифторуксусной кислоты. Реакционную смесь перемешивали 30 минут и растворитель удаляли при пониженном давлении. Технический остаток очищали с помощью препаративной обращенно-фазовой ЖХВД, получали соединение 14 (0,005 г, 0,008 ммоля, 11%), ES (+) MC: m/e=548,41 (M+1).
Пример 10
Настоящий пример описывает один вариант осуществления изобретения для синтеза удлинителя 40 для использования в экспериментах по присоединению с участием caspase-3, где тиол направлен к главной стороне фермента. Общая реакционная схема представлена схемой 5.
Схема 5

Растворяли Cbz-Asp(OtBu)-OH (7,778 г, 24,1 ммоля) в 65 мл тетрагидрофурана, охлаждали в бане со льдом и водой и прибавляли N-метилморфолин (2,6 мл, 23,6 ммоля) и изобутиловый эфир хлормуравьиной кислоты (IBCF) (3,1 мл, 23,9 ммоля). Реакционную смесь перемешивали при охлаждении в бане со льдом в течение 20 минут. Тем временем гидрохлорид N,O-диметилгидроксиламина (3,51 г, 36 ммолей) и карбонат калия (7 г, 51 ммоль) суспендировали в 24 мл тетрагидрофурана и 1 мл воды, интенсивно перемешивали при температуре окружающей среды в течение 20 минут и затем фильтровали через фильтровальную бумагу прямо в карбонатный раствор выше, затем прибавляли 20 мл тетрагидрофурана. Через 40 минут в реакционную смесь приливали 200 мл этилацетата, промывали 1 н. соляной кислотой (3×75 мл), 75 мл насыщенного раствора бикарбоната натрия и 75 мл соляного раствора, сушили над сульфатом натрия, фильтровали и упаривали до бесцветного сиропа, который использовали без дополнительной очистки (9 г, 24,1 ммоля, 100%, ES (+) МС m/z=389 (M+Na)).
Амид (8,8 г, 24 ммоля) растворяли в безводном тетрагидрофуране (100 мл), охлаждали в бане со льдом и рассолом под азотом до -5°С и прибавляли 1 М алюмогидрид лития (LAH) в тетрагидрофуране (12 мл, 12 ммолей) в течение 10 минут. Реакционную смесь оставляли перемешиваться в бане со льдом в течение 40 минут, затем прибавляли 75 мл насыщенного раствора бисульфата натрия и 250 мл диэтилового эфира и перемешивали в бане со льдом в течение 15 минут. Эфирный слой отделяли и сушили над сульфатом натрия, фильтровали и упаривали, получали альдегид, который применяли без дополнительной очистки (8,3 г, 24 ммоля, 100%, ES (+) МС m/z=348 (M+Na+H2O)).
Альдегид (8,3 г, 24 ммоля) растворяли в безводном тетрагидрофуране (100 мл), охлаждали в бане с сухим льдом в ацетоне и прибавляли 1 М бромистый винилмагний в тетрагидрофуране (30 мл, 30 ммолей). Через 1 час прибавляли еще 20 мл реактива Гриньяра, затем еще 20 мл через 2 часа. Через 4 часа реакционной смеси давали нагреться до температуры окружающей среды и реакцию продолжали 90 минут, затем реакционную смесь охлаждали в бане со льдом и водой, прибавляли 100 мл насыщенного раствора бисульфата натрия, водный слой сливали и органический слой промывали 75 мл 1 н. соляной кислоты, 75 мл насыщенного водного раствора бикарбоната натрия и 75 мл соляного раствора, сушили над сульфатом натрия, упаривали досуха и очищали на силикагеле, применяя флэш-хроматографию сначала с гексаном: этилацетатом 80:20, затем с гексаном: этилацетатом 70:30, получали представляющий спирт продукт (2,5 г, 7,45 ммоля, 31%, ES (+) МС m/z=358 (M+Na)).
Спирт (2,5 г, 7,45 ммоля) растворяли в безводном дихлорметане (40 мл), охлаждали в бане с водой и льдом и обрабатывали м-хлорпероксибензойной кислотой (mCPBA, 10 г, 44,6 ммоля) и еще 40 мл безводного дихлорметана. Реакция протекала в течение 19 часов, затем прибавляли 75 мл насыщенного раствора бикарбоната натрия вместе с еще 100 мл дихлорметана. Водный слой сливали и органический слой промывали 75 мл насыщенного раствора бикарбоната натрия, 20% раствором бикарбоната натрия (2×100 мл), 75 мл соляного раствора, сушили над сульфатом натрия, фильтровали, упаривали досуха и очищали с помощью флэш-хроматографии, применяя сначала гексан: этилацетат 70:30, затем гексан: этилацетат 50:50, получали представляющий эпоксид продукт (0,828 г, 2,36 ммоля, 32%, ES (+) МС m/z=352 (М+Н)).
Эпоксид (0,132 г, 0,376 ммоля) растворяли в безводном метаноле (2 мл), к которому прибавляли тиомочевину (52,3 мг, 0,687 ммоля) и еще 3 мл метанола. В реакционную смесь затем пропускали азот и хранили под азотом в течение двух дней. В реакционную смесь затем заливали 50 мл этилацетата, промывали 1 М бисульфатом натрия (2×25 мл), бикарбонатом натрия (2×25 мл), 25 мл соляного раствора, сушили над сульфатом натрия, упаривали досуха и очищали с помощью флэш-хроматографии, используя сначала гексан: этилацетат 80:20 и затем гексан: этилацетат 70:30, получали представляющий тииран продукт (35 мг, 0,095 ммоля, 25%, ES (+) МС m/z=390 (M+Na)).
Тииран (35 мг, 0,095 ммоля) растворяли в безводном дихлорметане (0,5 мл) и прибавляли перйодинан Десса-Мартина (43,3 мг, 0,102 ммоля), а затем еще 0,5 мл безводного дихлорметана. Через 30 минут реакционную смесь разбавляли 7 мл дихлорметана, фильтровали через фильтр с величиной отверстий 0,45 мкм и очищали с помощью флэш-хроматографии с применением гексана: этилацетата 80:20, получали продукт (17 мг, 0,047 ммоля, 49%, ES (+) МС m/z=388 (M+Na)).
Тииран (17 мг, 0,047 ммоля) растворяли в безводном дихлорметане (5 мл), охлаждали в бане со льдом и водой и обрабатывали 5 мл трифторуксусной кислоты. Реакцию продолжали при охлаждении в бане со льдом в течение 40 минут, после чего реакционную смесь упаривали досуха и очищали с помощью обращенно-фазовой ЖХВД, получали соединение 40 в виде твердого вещества белого цвета (1,8 мг, 0,0058 ммоля, 13%, ES (+) МС m/z=332 (M+Na)). Это вещество неустойчиво в диметилсульфоксиде, но устойчиво месяцами в виде раствора в метаноле, хранящегося при -20°С. Обычно предпочтительно, чтобы реакция соединения этого удлинителя с тиолом активного сайта ферментов caspases проводилась в течение только 2-5 минут при рН 6 и при низкой стехиометрии по отношению к ферменту (1-3 эквивалента).
Пример 11
Данный пример описывает модифицирование caspase-3 с помощью удлинителя 13. Caspase-3 клонировали, подвергали сверхэкспрессии и очищали с применением стандартных методик. К 2 мл содержащего 0,2 мг/мл раствора прибавляли 10 мкл 50 мМ соединения 13 и реакцию проводили при температуре окружающей среды в течение 3,5 часов, в этот момент по данным масс-спектроскопии обнаруживали полную модификацию крупной субъединицы caspase-3 (М.м. 16861, вычислено 16860). Со сложного тиоэфира снимали защиту при прибавлении 0,2 мл 0,5 М гидроксиламина, забуференного в забуференном фосфатом физиологическом растворе (ЗФР), и продолжали проведение реакции в течение 18 часов, к этому моменту крупная субъединица имела массу 16819 (вычислено 16818). Белок концентрировали в установке Ultrafree 5 MWCO и буфер обменивали на 0,1 М N-((трисгидроксиметил)-метил)-2-аминоэтансульфоновую кислоту (TES) с рН 7,5, используя колонку Nap-5.
Пример 12
Кристаллы caspase-3 выращивали при 20°С, используя способ диффузии паров из висящей капли. Смешивали равные объемы раствора белка (5-10 мг/мл ранее модифицированного белка в 10 мМ трис с рН 8,5) с находящимся в резервуаре раствором, содержащим 100 мМ цитрат натрия, рН 5,9, 4% глицерина, 10-20% ПЭГ6000 и 10 мМ дитиотреитол (DTT). Небольшие ромбические пластинки обычно появлялись через 1-2 недели. Через 2 месяца они достигали свой максимальный размер примерно 200×200×20 мкм. Перед сбором данных кристаллы глубоко погружали в находящийся в резервуаре раствор, содержащий 25% глицерина, и затем их подвергали мгновенному испарению вымораживанием в жидком азоте.
Пример 13
Данный пример описывает вариант осуществления изобретения для синтеза соединения 50. Общая схема реакций представлена на схеме 6.
Схема 6

а) 3-(Хлорсульфонил)бензойную кислоту (10,38 г, 47,04 ммоля) смешивали с H-Asp(OtBu)-OMe (10,25 г, 42,76 ммоля) и карбонатом натрия (14,05 г, 133 ммоля) в 500 мл деионизованной воды и реакционную смесь перемешивали при комнатной температуре 16 часов. Раствор фильтровали и затем подкисляли 1 М бисульфатом натрия до рН 2. Водный раствор экстрагировали этилацетатом (3×300 мл). Объединенные органические слои затем промывали 250 мл соляного раствора, сушили над безводным сульфатом натрия, фильтровали и растворитель удаляли при пониженном давлении, получали соединение 41 (7,07 г, 18,25 ммоля, 39%), ES (+) МС m/e=331 ((M-tBu)+H), которое использовали без дополнительной очистки.
б) Соединение 41 (7,07 г, 18,25 ммоля) суспендировали в 90 мл безводного ТГФ в атмосфере азота и охлаждали до 0°С. Прибавляли с помощью шприца изобутиловый эфир хлормуравьиной кислоты (2,49 мл, 19,16 ммоля), затем N-метил-морфолин (2,21 мл, 20 ммолей). Реакционную смесь перемешивали при 0°С в течение 30 минут, затем выливали в охлажденный до -78°С раствор боргидрида натрия (2,4 г, 63,88 ммоля) в 182 мл тетрагидрофурана и 63 мл метанола. Реакционную смесь перемешивали при -78°С в течение 2 часов и затем большую часть тетрагидрофурана удаляли при пониженном давлении. К остатку приливали 200 мл этилацетата, промывали 1 М бисульфатом натрия (2×75 мл), 75 мл насыщенного раствора бикарбоната натрия и 75 мл соляного раствора, сушили над безводным сульфатом натрия, фильтровали и растворитель удаляли при пониженном давлении, получали соединение 42 (6,80 г, 18,21 ммоля, 100%), ES (+) МС m/e=317 ((M-tBu)+H), в виде твердого вещества белого цвета, которое использовали без дополнительной очистки.
в) Соединение 42 (6,80 г, 18,21 ммоля) растворяли в 100 мл безводного дихлорметана в атмосфере азота и раствор охлаждали до 0°С. Прибавляли триэтиламин (5,34 мл, 38,33 ммоля), а затем прибавляли по каплям метансульфохлорид (1,55 мл, 20,08 ммоля). Реакционную смесь перемешивали 1 час при 0°С, затем промывали 1 М бисульфатом натрия (2×35 мл), 40 мл соляного раствора, сушили над безводным сульфатом натрия, фильтровали и растворитель удаляли при пониженном давлении. Остаток очищали с помощью флэш-хроматографии, применяя гексаны: этилацетат 3:2, получали соединение 43 (6,69 г, 14,82 ммоля, 83%), ES (+) МС m/e=395 ((M-tBu)+H).
г) Соединение А получали согласно способу из примера 13в, за исключением того, что в качестве исходного вещества использовали 9-флуоренил-метилоксикарбонил- -аланинол (5,14 г, 17,29 ммоля) вместо соединения 42 (93%), как показано ниже

ES (+) МС m/e=375 (М+1). Соединение использовали без дополнительной очистки.
д) Соединение В получали согласно способу из примера 9ж, за исключением того, что в качестве исходного вещества использовали соединение А вместо соединения 38 (91%), как показано ниже

ES (+) MC m/e=355 (М+1). Соединение использовали без дополнительной очистки.
е) Соединение В (5,12 г, 14,4 ммоля) растворяли в 10 мл дихлорметана и прибавляли 50 мл метанола. Азот барботировал через раствор в течение 15 минут и затем прибавляли гидроксиламин (50% раствор в воде, 4,42 мл, 72 ммоля), затем прибавляли трихлорэтилфосфат (ТСЕР) (4,13 г, 14,4 ммоля) и реакционную смесь перемешивали в атмосфере азота в течение 4 часов. Растворитель затем удаляли при пониженном давлении и остаток заново растворяли в 100 мл этилацетата, промывали 50 мл насыщенного раствора бикарбоната натрия и 50 мл соляного раствора, сушили над безводным сульфатом натрия и фильтровали. Растворитель удаляли при пониженном давлении и остаток очищали с помощью флэш-хроматографии, используя гексаны: этилацетат 4:1, получали соединение 44 (3,32 г, 10,6 ммоля, 74%), ES (+) MC m/e=313(M+1).
ж) Соединение 43 (2,29 г, 5,07 ммоля) растворяли в 25 мл диметилформамида, прибавляли иодистый калий (1,68 г, 10,15 ммоля) и смесь перемешивали при комнатной температуре 15 минут. Прибавляли соединение 44 (1,59 г, 5,07 ммоля), затем бикарбонат натрия (0,426 г, 5,07 ммоля). Реакционную смесь продували азотом и перемешивали при температуре окружающей среды в течение 20 часов. В реакционную смесь затем заливали 100 мл этилацетата, промывали 1 М бисульфатом натрия (2×50 мл), 50 мл насыщенного раствора бикарбоната натрия и 50 мл соляного раствора, сушили над безводным сульфатом натрия, фильтровали и растворитель удаляли при пониженном давлении, получали продукт, который очищали с помощью флэш-хроматографии, используя хлороформ: 2М NH3 в метаноле 95:5, получали соединение 45 (1,38 г, 2,06 ммоля, выход 41%), ES (+) MC m/e=612 ((М-tBu)+H).
з) Соединение 45 (1,38 г, 2,06 ммоля) растворяли в 10 мл дихлорметана. Затем прибавляли 10 мл диэтиламина. Реакционную смесь перемешивали при температуре окружающей среды в течение 16 часов, растворитель удаляли при пониженном давлении и остаток очищали с помощью флэш-хроматографии, используя хлороформ: 2М NH3 в метаноле 95:5, получали соединение 46 (0,723 г, 1,62 ммоля, выход 79%), ES (+) MC m/e=390 ((M-tBu)+H).
и) Соединение 47 получали согласно методике из примера 8б, за исключением того, что в качестве исходного вещества использовали 5-(метан-сульфонил)тиофен-2-карбоновую кислоту вместо соединения 27 (97%). ES (+) МС m/e=372 (М+Н).
и) Соединение 46 (0,320 г, 0,717 ммоля) растворяли в 5 мл дихлорметана, прибавляли соединение 47 (0,401 г, 1,08 ммоля), затем N,N-диизопропилэтиламин (DIEA) (0,249 мл, 1,43 ммоля). Реакционную смесь перемешивали при температуре окружающей среды 16 часов и растворитель удаляли при пониженном давлении. Остаток заново растворяли в 20 мл этилацетата, промывали 1М бисульфатом натрия (2х5 мл), 5 мл соляного раствора, сушили над безводным сульфатом натрия, фильтровали и растворитель удаляли при пониженном давлении, получали продукт, который очищали с помощью флэш-хроматографии, используя дихлорметан: этилацетат 4:1, получали соединение 48 (0,126 г, 0,198 ммоля, выход 28%), ES (+) МС m/e=578 ((M-tBu)+H).
к) Соединени 48 (0,062 г, 0,098 ммоля) растворяли в 0,5 мл безводного тетрагидрофурана. К этому раствору прибавляли боргидрид лития (0,003 г, 0,121 ммоля) в 1 мл диэтилового эфира. Реакционную смесь перемешивали при комнатной температуре 45 минут и затем к ней приливали 10 мл этилацетата, промывали 5 мл насыщенного раствора бикарбоната натрия и 5 мл соляного раствора, сушили над безводным сульфатом натрия, фильтровали и растворитель удаляли при пониженном давлении, получали соединение 49 (0,058 г, 0,096 ммоля, 98%), ES (+) МС m/e=550 ((M-tBu)+H).
л) Соединение 49 (0,058 г, 0,096 ммоля) растворяли в 1 мл диметилсульфоксида и прибавляли о-иодоксибензоат (IBX) (0,082 г, 0,294 ммоля). Реакционную смесь перемешивали при температуре окружающей среды в течение 5 часов и затем приливали 10 мл этилацетата, промывали 5 мл насыщенного раствора бикарбоната натрия и 5 мл соляного раствора, сушили над безводным сульфатом натрия, фильтровали и растворитель удаляли при пониженном давлении, получали твердое вещество желтого цвета, которое затем растворяли в 5 мл дихлорметана и охлаждали до 0°С.Прибавляли 5 мл тетрагидрофурана и реакционную смесь перемешивали 30 минут. После удаления растворителя при пониженном давлении технический остаток очищали с помощью препаративной обращенно-фазовой ЖХВД, получали соединение 50 (0,009 г, 0,016 ммоля, 17%), ES (+) МС: m/e=548,68 (М+1).
Пример 14
Настоящий пример описывает один вариант осуществления изобретения для синтеза соединения 51, которое представлено ниже

Соединение 51 получали согласно методике из примера 9 а-з, за исключением того, что заменяли п-толуолсульфохлоридом м-толуолсульфохлорид. ES (+) МС: m/e=548,41 (М+1).
Пример 15
Данный пример описывает один вариант осуществления изобретения для синтеза соединения 54. Общая реакционная схема представлена схемой 7.
Схема 7

а) Соединение 48 (0,063 г, 0,099 ммоля) растворяли в 5 мл метанола и прибавляли перекись водорода (0,026 мл, 0,297 ммоля, 30%-ная в воде). Реакционную смесь нагревали при 50°С в течение 16 часов и растворитель удаляли при пониженном давлении, получали соединение 52 (0,063 г, 0,097 ммоля, 98%), ES (+) МС m/e=594 ((M-tBu)+H).
б) Соединение 53 получали согласно методике из примера 13 к, за исключением того, что заменяли соединением 52 соединение 48, ES (+) МС m/e=566 ((M-tBu)+H).
в) Соединение 54 получали согласно методике из примера 9 з, за исключением того, что заменяли соединением 53 соединение 39 (0,005 г, 0,009 ммоля, 11%), ES (+) МС m/e=564,68 (М+1).
Пример 16
Этот пример описывает один вариант осуществления изобретения для синтеза соединения 56. Общая реакционная схема представлена схемой 8.
Схема 8

а) Соединение 48 (0,150 г, 0,236 ммоля) растворяли в 5 мл метанола, прибавляли уксусную кислоту (5 мл), а затем перекись водорода (0,77 мл, 10 ммолей, 35%-ная в воде). Реакционную смесь нагревали при 80°С в течение 16 часов и растворитель удаляли при пониженном давлении, получали соединение 55 (0,157 г, 0,236 ммоля, 100%), ES (+) МС m/e=610 ((M-tBu)+H).
б) Соединение 56 получали согласно методике из примера 13 к, а затем из примера 9 з, за исключением того, что исходным было соединение 55 (0,005 г, 0,0086 ммоля, 36%), ES (+) МС m/e=580 (М+1).
Пример 17
Данный пример описывает один вариант осуществления изобретения для синтеза соединения 57, которое приведено ниже

Соединение 57 получали согласно методикам из примера 13 а-л, за исключением того, что заменяли 4-(метилсульфонил)бензойной кислотой 5-(метансульфонил)-тиофен-2-карбоновую кислоту. ES (+) МС m/е=543 (М+1).
Пример 18
Данный пример описывает вариант осуществления изобретения для синтеза соединения 58, которое представлено ниже

Соединение 58 получали согласно методикам из примера 13 а-й, за исключением того, что заменяли 4-(метилсульфонил)бензойной кислотой 5-(метансульфонил)-тиофен-2-карбоновую кислоту, затем применяли методики из примера 15 а-в. ES (+) МС: m/e=559 (М+1).
Пример 19
Данный пример описывает вариант осуществления изобретения для синтеза соединения 59, которое представлено ниже.

Соединение 59 получали согласно методике из примера 13 а-й, за исключением того, что заменяли 5-хлор-6-гидроксиникотиновой кислотой 5-(метансульфонил)-тиофен-2-карбоновую кислоту, затем следовали методике из примера 16 а-б. ES (+) МС: m/е=548 (М+1).
Пример 20
Данный пример описывает вариант осуществления изобретения для синтеза соединения 60, которое представлено ниже

Соединение 60 получали согласно методике из примера 13 а-л, за исключением того, что заменяли бензотиазол-6-карбоновой кислотой 5-(метансульфонил)-тиофен-2-карбоновую кислоту. ES (+) МС: m/е=522 (М+1).
Пример 21
Данный пример описывает один вариант осуществления изобретения для синтеза соединения 61, которое представлено ниже

Соединение 61 получали согласно методике из примера 13 а-й, за исключением того, что заменяли бензотиазол-6-карбоновой кислотой 5-(метансульфонил)-тиофен-2-карбоновую кислоту, далее следовали методике из примера 15 а-в. ES (+) МС: m/е=538 (М+1).
Все упоминания, цитируемые везде в спецификации, специально внесены в виде ссылок. Хотя настоящее изобретение описано со ссылками на конкретные варианты его осуществления, специалистам в данной области должно быть понятно, что могут быть сделаны различные изменения и эквивалентные замены, не выходя за пределы подлинного существа и объема изобретения. Кроме того, может быть сделано много модификаций применительно к конкретной ситуации, материалу, композиции веществ, к способу и тому подобным положениям. Все такие модификации находятся в области объема притязаний формулы изобретения, прилагаемой здесь.
Формула изобретения
1. Конъюгат мишень-соединение, выбранный из


и 
где означает мишень,
R и R1 каждый независимо означает незамещенную (C1-С20)алифатическую группу, замещенную (С1-С20)алифатическую группу, незамещенный арил или замещенный арил, где арил является радикалом, выбранным из группы, включающей фенил, нафтил, тетрагидронафтил, инданил, инденил, пиридил, пиразинил, пиримидинил, пирролил, пиразолил, имидазолил, тиазолил, оксазолил, изооксазолил, тиадиазолил, оксадиазолил, тиофенил, фуранил, хинолинил, изохинолинил;
m означает 0, 1 или 2 и
n означает 1 или 2.
2. Конъюгат мишень-соединение по п.1, где мишенью является полипептид.
3. Конъюгат мишень-соединение по п.2, где ковалентная связь между группой -S-S- и мишенью обратима.
4. Конъюгат мишень-соединение по п.2, где ковалентная связь между группой -S-S- и мишенью необратима.
5. Конъюгат мишень-соединение по п.2, где мишень выбирается из группы, состоящей из ферментов, рецепторов, факторов транскрипции, лигандов рецепторов, факторов роста, цитокинов, иммуноглобулинов, ядерных белков, компонентов трансдукции сигнала и аллостерических регуляторных ферментов.
6. Библиотека соединений, где каждый член имеет формулу, выбранную из группы, состоящей из



и


где R и R’ каждый независимо означает незамещенную (C1-C20) алифатическую группу, замещенную (С1-С20)алифатическую группу, незамещенный арил или замещенный арил, где арил выбран из группы, включающей фенил, нафтил, тетрагидронафтил, инданил, инденил, пиридил, пиразинил, пиримидинил, пирролил, пиразолил, имидазолил, тиазолил, оксазолил, изооксазолил, тиадиазолил, оксадиазолил, тиофенил, фуранил, хинолинил, изохинолинил;
m означает 0, 1 или 2 и
n означает 1 или 2.
7. Библиотека по п.6, содержащая, как минимум, 5 членов.
8. Библиотека по п.6, содержащая, как минимум, 100 членов.
9. Библиотека по п.6, где каждый член имеет разную массу.
10. Библиотека по п.9, где каждый член имеет массу, которая отличается от массы другого члена библиотеки, как минимум, на 5 атомных единиц массы.
11. Библиотека по п.9, где каждый член имеет массу, которая отличается от массы другого члена библиотеки, как минимум, на 10 атомных единиц массы.
12. Способ идентификации соединения, которое связывает протеин мишень, включающий:
а) идентификацию первого соединения формулы RDSSR1, которое связывается с белком-мишенью;
б) идентификацию второго соединения формулы RESSR1, которое связывается с белком-мишенью, и
в) образование конъюгированного соединения, включающего RD и RE, где RD и RE каждый независимо означает незамещенную (C1-С20) алифатическую группу, замещенную (C1-С20)алифатическую группу, незамещенный арил и замещенный арил; и R1 означает незамещенную (C1-С10)алифатическую группу, замещенную (C1-С10)-алифатическую группу, незамещенный арил, где арил выбирают из группы, включающей фенил, нафтил, тетрагидронафтил, инданил, инденил, пиридил, пиразинил, пиримидинил, пирролил, пиразолил, имидазолил, тиазолил, оксазолил, изооксазолил, тиадиазолил, оксадиазолил, тиофенил, фуранил, хинолинил, изохинолинил.
13. Способ по п.12, где идентификация второго соединения, которое связывается с мишенью, осуществляется в присутствии первого соединения.
14. Способ по п.12, где RDSSR1 и RESSR1 каждый независимо выбираются из группы, состоящей из



и


где R и R’ каждый независимо означает незамещенную (C1-С20) алифатическую группу, замещенную (C1-С20)алифатическую группу, незамещенный арил или замещенный арил;
m означает 0, 1 или 2 и
n означает 1 или 2.
15. Способ идентификации потенциального лиганда, присутствующего в конъюгате мишень-удлинитель-лиганд, включающий
а) предоставление мишени с анкерной группой, способной образовывать ковалентную связь или образовывать координационную связь с металлом в интересующем сайте или близко к интересующему сайту;
б) связывание мишени с удлинителем с образованием при этом комплекса мишень-удлинитель, где удлинитель включает первую функциональную группу, которая образует либо ковалентную связь, либо координационную связь с металлом, и вторую функциональную группу, способную образовывать ковалентную связь;
в) связывание комплекса мишень-удлинитель с потенциальным лигандом, который включает группу, способную образовывать ковалентную связь с второй функциональной группой;
г) образование ковалентной связи между комплексом мишень-удлинитель и потенциальным лигандом и
д) идентификацию потенциального лиганда, присутствующего в конъюгате мишень-удлинитель-лиганд.
16. Способ по п.15, где анкерная группа выбирается из группы, состоящей из реакционноспособного электрофила, реакционноспособного нуклеофила и сайта координации с металлом.
17. Способ идентификации потенциального лиганда, присутствующего в конъюгате мишень-удлинитель-лиганд, включающий:
а) предоставление мишени с реакционноспособным нуклеофилом в интересующем сайте или близко к интересующему сайту;
б) связывание мишени с удлинителем с образованием при этом комплекса мишень-удлинитель, где удлинитель включает первую функциональную группу, которая реагирует с нуклеофилом в мишени с образованием ковалентной связи, и вторую функциональную группу, способную образовывать дисульфидную связь;
в) связывание комплекса мишень-удлинитель с потенциальным лигандом, который способен образовывать дисульфидную связь;
г) образование дисульфидной связи между комплексом мишень-удлинитель и потенциальным лигандом с образованием при этом конъюгата мишень-удлинитель-лиганд и
д) идентификацию потенциального лиганда, присутствующего в конъюгате мишень-удлинитель-лиганд.
18. Способ по п.17, где реакционноспособным нуклеофилом на мишени является тиол или замаскированный тиол.
19. Способ по п.17, где удлинитель имеет формулу







где R означает незамещенную (C1-С20)алифатическую группу, замещенную (C1-С20)-алифатическую группу, незамещенный арил и замещенный арил, где арил является радикалом, выбранным из группы, включающей фенил, нафтил, тетрагидронафтил, инданил, инденил, пиридил, пиразинил, пиримидинил, пирролил, пиразолил, имидазолил, тиазолил, оксазолил, изооксазолил, тиадиазолил, оксадиазолил, тиофенил, фуранил, хинолинил, изохинолинил;
R’ означает Н, -SR1, где R1 означает незамещенную (C1-С10)алифатическую группу, замещенную (С1-С10)алифатическую группу, незамещенный арил и замещенный арил;
Х является уходящей группой, и прямоугольники в каждой формуле представляют связующую детерминанту.
20. Способ по п.17, где удлинитель представлен формулой
или 
где R’ означает водород, -SR1, где R1 означает незамещенную (C1-С10)алифатическую группу, замещенную (С1-С10)алифатическую группу, незамещенный арил и замещенный арил, и прямоугольники представляют связующую детерминанту.
Приоритет по пунктам: 21.11.2001, пп.14, 19, 20,
10.04.2002, пп.1-20.
РИСУНКИ
|
|