Патент на изобретение №2295515
|
|||||||||||||||||||||||||||||||||||||||||||||||||||||||||||||||||||||||||||||||||||||||||||||||||||||||||||||||||||||||||||||||||||||||||||||||||||||||||||||||||||||||||||||||||||||||||||||||||||||||||||||||||||||||||||||||||||||||||||||||||||||||||||||||||||||||||||||||||||||||||||||||||||||||||||||||||||||||||||||||||||||||||||||||||||||||||||||||||||||||||||||||||||||||||||||||||||||||||||||||||||||||||||||||||||||||||||||||||||||||||||||||||||||||||||||||||||||||||||||||||||||||||||||||||||||||||||||||||||||||||||||||||||||||||||||||||||||||||||||||||||||||||||||||||||||||||||||||||||||||||||||||||||||||||||||||||||||||||||||||||||||||||||||||||||||||||||||||||||||||||||||||||||||||||||||||||||||||||||||||||||||||||||||||||||||||||||||||||||||||||||||||||||||||||||||||||||||||||||||||||||||||||||||||||||||||||||||||||||||||||||||||||||||||||||||||||||||||||||||||||||||||||||||||||||||||||||||||||||||||||||||||||||||||||||||||||||||||||||||||||||||||||||||||||||||||||||||||||||||||
(54) ЗАМЕЩЕННЫЕ ПРОИЗВОДНЫЕ С-ЦИКЛОГЕКСИЛМЕТИЛАМИНА, ЛЕКАРСТВЕННОЕ СРЕДСТВО И ПРИМЕНЕНИЕ
(57) Реферат:
Изобретение относится к новым замещенным производным С-циклогексилметиламина общей формулы I, в свободном виде или в виде их физиологически совместимых солей, обладающих анальгетическим действием. Соединения настоящего изобретения могут быть использованы для лечения боли, прежде всего нефропатической или хронической боли. В общей формуле I
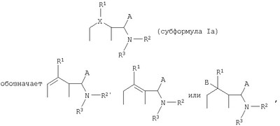
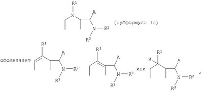
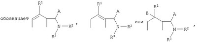
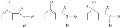
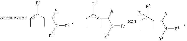
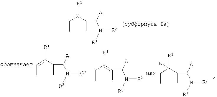
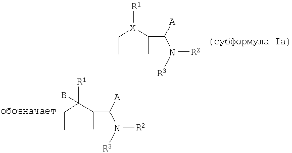
А обозначает Н или незамещенный фенил, R1 обозначает насыщенный или ненасыщенный, разветвленный или неразветвленный одно или многозамещенный или незамещенный C1-10алкил, либо С3-10циклоалкил, фенил, нафтил, фурил, тиофенил; фенил или нафтил, присоединенный через ненасыщенный C2-3алкил либо через C1-3алкилен или этинил, С3-10циклоалкил, присоединенный через ненасыщенный С2-3алкил, либо через С1-3алкилен или этинил, или тиофенил, присоединенный через ненасыщенный С2-3алкил, либо через C1-3алкилен или этинил, соответственно незамещенные или одно- либо многозамещенные остатками, независимо друг от друга выбранными из группы, включающей F, Cl, Br, I, OR18, SR18, силил, незамещенный или одно- либо многозамещенный алкил, где заместители C1-10алкила являются одинаковыми или различными и выбираются из группы, включающей F, Cl и Br, при этом R18 представляет собой Н или насыщенный или ненасыщенный, разветвленный или неразветвленный, незамещенный С1-10алкил; R2 и R3 независимо друг от друга обозначают разветвленный или неразветвленный насыщенный незамещенный C1-10алкил, или R2 и R3 совместно образуют группу CH2H2NR6CH2CH2, где R6 обозначает разветвленный или неразветвленный С1-10алкил; Х в формуле I в соответствии с субформулой Ia формулы I где В представляет собой ОН, OR7, H, F или Cl, R7 означает одно- либо многозамещенный фенил, присоединенный через С1-3алкилен, где заместители фенила выбираются из F и Cl и др. изобретение также относится к фармацевтической композиции на основе соединений изобретения и применению соединений. 4 н. и 13 з.п. ф-лы.
(56) (продолжение): CLASS=”b560m”PUBLISHERS, 03.2000, Bd.11, Nr.4, s.917-928. BENNO REICHERT et al. “Aminomethylierungsprodukte alkylsubstituerter Cyclohexanone und ihre Umsetzung” ARZNEIMITTEL FORSCHUNG. DRUG RESEARCH, 1963, Bd.13, Nr.11, s.991-999.
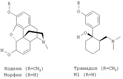
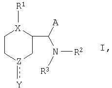
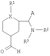
Настоящее изобретение относится к замещенным производным С-циклогексилметиламина, к способу их получения, к лекарственным средствам, содержащим эти соединения, и к применению замещенных производных С-циклогексилметиламина для получения лекарственных средств. Лечению хронических и нехронических болей в медицине придается большое значение. Несмотря на достигнутые в этой области успехи по-прежнему существует настоятельная необходимость в высокоэффективной обезболивающей терапии. Актуальность разработки новых методов целенаправленного, учитывающего индивидуальные особенности пациента лечения хронических и нехронических болей, предполагающего помимо прочего успешное и удовлетворительное для пациента лечение боли, находит подтверждение в многочисленных опубликованных в последнее время научных работах в области прикладной анальгетики и фундаментальных исследованиях по проблемам ноцицепции. Классические опиоды, такие как морфин, высокоэффективны при лечении сильных и очень сильных болей. Однако их применение ограничено такими известными побочными действиями, как, например, угнетение дыхания, рвота, необходимость приема седативных средств, запоры и развитие толерантности. Помимо этого подобные опиоды оказываются малоэффективными при невропатических или вновь появляющихся болях, от которых страдают главным образом онкологические больные. Положенная в основу настоящего изобретения задача состояла в том, чтобы предложить новые, обладающие анальгетическим действием соединения, которые были бы пригодны для обезболивающего лечения и прежде всего для лечения хронических и невропатических болей. Объектом изобретения в соответствии с этим являются замещенные производные С-циклогексилметиламина общей формулы I,
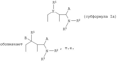
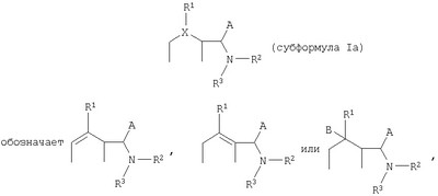
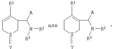
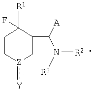
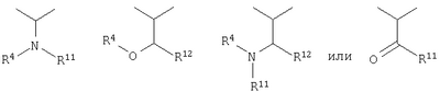
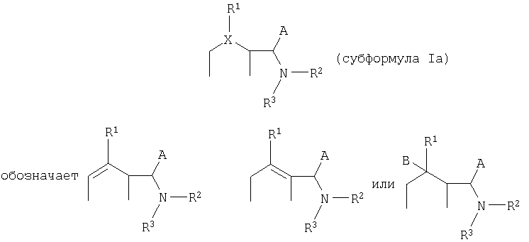
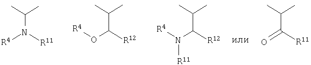
в которой А обозначает Н или арил либо гетероарил, каждый из которых является одно- либо многозамещенным или незамещенным, R1 обозначает С1-10алкил либо С3-10циклоалкил, каждый из которых является насыщенным или ненасыщенным, разветвленным или неразветвленным, одно- либо многозамещенным или незамещенным, арил, гетероарил, присоединенный через насыщенный или ненасыщенный С1-3алкил либо через С1-3алкилен или этинил арил, присоединенный через насыщенный или ненасыщенный C1-3алкил, либо через C1-3алкилен или этинил С3-10циклоалкил или присоединенный через насыщенный или ненасыщенный C1-3алкил либо через C1-3алкилен или этинил гетероарил, каждый из которых является незамещенным или одно- либо многозамещенным остатками, независимо друг от друга выбранными из группы, включающей F, Cl, Br, I, OR18, SR18, SO2R18, SO2OR18, CN, COOR18, NR19R20, С1-10алкил, С3-10циклоалкил или силил, который является незамещенным или одно- либо многозамещенным, арил либо гетероарил, который является незамещенным или одно- либо многозамещенным, или присоединенный через насыщенный или ненасыщенный C1-3алкил либо через С1-3алкилен арил, С3-10циклоалкил или гетероарил, каждый из которых является незамещенным или одно- либо многозамещенным, при этом R18 представляет собой Н, C1-10алкил либо С3-10циклоалкил, каждый из которых является насыщенным или ненасыщенным, разветвленным или неразветвленным, незамещенным или одно- либо многозамещенным, арил либо гетероарил, который является незамещенным или одно- либо многозамещенным, или присоединенный через насыщенный или ненасыщенный C1-3алкил либо через С1-3алкилен арил, С3-10циклоалкил или гетероарил, каждый из которых является незамещенным или одно- либо многозамещенным, R19 и R20 независимо друг от друга представляют собой Н, С1-10алкил либо С3-10циклоалкил, каждый из которых является насыщенным или ненасыщенным, разветвленным или неразветвленным, незамещенным или одно- либо многозамещенным, арил либо гетероарил, который является незамещенным или одно- либо многозамещенным, или присоединенный через насыщенный или ненасыщенный С1-3алкил либо через C1-3алкилен арил, С3-10циклоалкил или гетероарил, каждый из которых является незамещенным или одно- либо многозамещенным, или R19 и R20 совместно образуют группу CH2CH2OCH2CH2, CH2CH2NR21CH2CH2 или (CH2)3-6, где R21 обозначает Н, замещенный или незамещенный фенил или С1-10алкил, который является насыщенным или ненасыщенным, разветвленным или неразветвленным, незамещенным или одно- либо многозамещенным, R2 и R3 независимо друг от друга обозначают Н, С1-10алкил либо С3-10циклоалкил, каждый из которых является насыщенным или ненасыщенным, разветвленным или неразветвленным, одно- либо многозамещенным или незамещенным, арил либо гетероарил, каждый из которых является одно- либо многозамещенным или незамещенным, или присоединенный через насыщенный или ненасыщенный С1-3алкил либо через С1-3алкилен арил, С3-10циклоалкил или гетероарил, каждый из которых является одно- либо многозамещенным или незамещенным, или R2 и R3 совместно образуют группу СН2CH2ОСН2СН2, CH2CH2NR6CH2CH2 или (СН2)3-6, где R6 обозначает Н, С1-10алкил либо С3-10циклоалкил, каждый из которых является насыщенным или ненасыщенным, разветвленным или неразветвленным, одно- либо многозамещенным или незамещенным, арил либо гетероарил, каждый из которых является одно- либо многозамещенным или незамещенным, или присоединенный через насыщенный или ненасыщенный С1-3алкил либо через С1-3алкилен арил, С3-10циклоалкил или гетероарил, каждый из которых является одно- либо многозамещенным или незамещенным, Х в формуле I в соответствии с субформулой Ia формулы I где B представляет собой ОН, OR7, Н, F, С1 или NR8R9, при этом R7 обозначает C1-10алкил либо С3-10циклоалкил, каждый из которых является насыщенным или ненасыщенным, разветвленным или неразветвленным, одно- либо многозамещенным или незамещенным, арил либо гетероарил, каждый из которых является одно- либо многозамещенным или незамещенным, или присоединенный через насыщенный или ненасыщенный С1-3алкил либо через C1-3алкилен арил, С3-10циклоалкил или гетероарил, каждый из которых является одно- либо многозамещенным или незамещенным, R8 и R9 независимо друг от друга обозначают Н, C1-10алкил либо С3-10циклоалкил, каждый из которых является насыщенным или ненасыщенным, разветвленным или неразветвленным, одно- либо многозамещенным или незамещенным, арил либо гетероарил, который является одно- либо многозамещенным или незамещенным, или присоединенный через насыщенный или ненасыщенный С1-3алкил либо через С1-3алкилен арил, С3-10циклоалкил или гетероарил, каждый из которых является одно- либо многозамещенным или незамещенным, или R8 и R9 совместно образуют группу СН2СН2ОСН2СН2, CH2CH2NR10CH2CH2 или (СН2)3-6, где R10 представляет собой Н, С1-10алкил либо С3-10циклоалкил, каждый из которых является насыщенным или ненасыщенным, разветвленным или неразветвленным, одно- либо многозамещенным или незамещенным, арил либо гетероарил, каждый из которых является одно- либо многозамещенным или незамещенным, или присоединенный через насыщенный или ненасыщенный С1-3алкил либо через С1-3алкилен арил, С3-10циклоалкил или гетероарил, каждый из которых является одно- либо многозамещенным или незамещенным, и фрагмент где R4 обозначает Н, COR5, SO2R5, С1-10алкил либо С3-10циклоалкил, каждый из которых является насыщенным или ненасыщенным, разветвленным или неразветвленным, одно- либо многозамещенным или незамещенным, арил либо гетероарил, каждый из которых является одно- либо многозамещенным или незамещенным, или присоединенный через насыщенный или ненасыщенный С1-3алкил либо через С1-3алкилен арил, С3-10циклоалкил или гетероарил, каждый из которых является одно- либо многозамещенным или незамещенным, при этом R5 представляет собой С1-10алкил либо С3-10циклоалкил, каждый из которых является насыщенным или ненасыщенным, разветвленным или неразветвленным, одно- либо многозамещенным или незамещенным, арил либо гетероарил, каждый из которых является одно- либо многозамещенным или незамещенным, или присоединенный через насыщенный или ненасыщенный C1-3алкил либо через С1-3алкилен арил, С3-10циклоалкил или гетероарил, каждый из которых является одно- либо многозамещенным или незамещенным, V представляет собой OR4 или NR4R11 и W представляет собой R11, OR12 или NR11R12, где R11 и R12 независимо друг от друга обозначают Н, С7-10алкил либо С3-10циклоалкил, каждый из которых является насыщенным или ненасыщенным, разветвленным или неразветвленным, одно- либо многозамещенным или незамещенным, арил либо гетероарил, каждый из которых является одно- либо многозамещенным или незамещенным, или присоединенный через насыщенный или ненасыщенный С1-3алкил либо через С1-3алкилен арил, С3-10циклоалкил или гетероарил, каждый из которых является одно- либо многозамещенным или незамещенным, необязательно в виде их рацематов, их чистых стереоизомеров, прежде всего энантиомеров или диастереомеров, либо в виде смесей стереоизомеров, прежде всего энантиомеров или диастереомеров, в любом их соотношении в смеси, в представленном виде или в виде их кислот или их оснований либо в виде их солей, прежде всего физиологически совместимых солей, или в виде их сольватов, прежде всего гидратов. Предлагаемые в изобретении соединения обладают исключительно высокой анальгетической эффективностью. В контексте настоящего описания под алкильными, соответственно циклоалкильными остатками подразумеваются насыщенные и ненасыщенные (но не ароматические), разветвленные, неразветвленные и циклические углеводороды, которые могут быть незамещенными или одно- либо многозамещенными. При этом С1-2алкил представляет собой C1– или С2– алкил, С1-3алкил представляет собой C1-, С2– или С3-алкил, С1-4алкил представляет собой C1-, С2-, С3– или С4-алкил, С1-5алкил представляет собой С1, С2-, С3-, С4– или С5-алкил, С1-6алкил представляет собой C1-, С2-, С3-, С4-, С5– или С6-алкил, С1-7алкил представляет собой C1-, С2-, С3-, С4-, С5-, С6– или С7-алкил, С1-8алкил представляет собой C1-, С2-, С3-, С4-, С5-, С6-, С7– или C8алкил, С1-10алкил представляет собой C1-, С2-, С3-, С4-, С5-, С6-, С7-, C8,-C9-, или С10-алкил, а С1-18алкил представляет собой C1-, С2-, С3-, С4-, С5-, С6-, С7-, C8,-C9– или С10-, С11-, C12- C13-, C14-, C15-, C16-, C17-или C18-алкил. Помимо этого С3-4циклоалкил представляет собой С3– или С4-циклоалкил, С3-5циклоалкил представляет собой С3-, С4– или С5-циклоалкил, С3-6циклоалкил представляет собой С3-, С4-, С5– или С6-циклоалкил, С3-7циклоалкил представляет собой С3-, С4-, С5-, С6– или C7-циклоалкил, С3-8циклоалкил представляет собой С3-, С4-, С5-, С6-, С7– или C8-циклоалкил, С4-5циклоалкил представляет собой С4– или С5-циклоалкил, С4-6циклоалкил представляет собой С4-, С5– или С6-циклоалкил, С4-7циклоалкил представляет собой С4-, С5-, С6– или С7-циклоалкил, С5-6циклоалкил представляет собой С5– или С6-циклоалкил, а С5-7циклоалкил представляет собойС5-, С6– или С7-циклоалкил. Под понятием “циклоалкил” подразумеваются также насыщенные циклоалкильные группы, в которых один или два атома углерода заменены на гетероатом -S, N или О. Однако в понятие “циклоалкил” прежде всего включены также одно- либо многократно, предпочтительно однократно, ненасыщенные циклоалкильные группы без гетероатома в кольце, если циклоалкил не является ароматической системой. Предпочтительными алкильными, соответственно циклоалкильными остатками являются метил, этил, винил (этенил), пропил, аллил (2-пропенил), 1-пропинил, метилэтил, бутил, 1-метилпропил, 2-метилпропил, 1,1-диметилэтил, пентил, 1,1-диметилпропил, 1,2-диметилпропил, 2,2-диметилпропил, гексил, 1-метилпентил, циклопропил, 2-метилциклопропил, циклопропилметил, циклобутил, циклопентил, циклопентилметил, циклогексил, циклогептил, циклооктил, а также адамантил, CHF2, CF3 или СН2ОН и пиразолинон, оксопиразолинон, [1,4]диоксан или диоксолан. При этом в контексте настоящего изобретения под термином “замещенный”, используемым в отношении алкила и циклоалкила, подразумевается, если конкретно не указано иное, замещение по меньшей мере одного (и необязательно также нескольких) атома(-ов) водорода атомом F, Cl, Br, I, группой “NH2, SH или ОН, при этом под понятием “многозамещенные” остатки, соответственно “замещенные” остатки в случае их многократного замещения имеется в виду многократное замещение и различных, и одних и тех же атомов идентичными либо различными заместителями, например трехкратное замещение одного и того же С-атома, как в случае CF3, либо находящихся в различных положениях атомов, как в случае -CH(OH)-CH=CH-CHCl2. Наиболее предпочтительными заместителями при этом являются F, Cl и ОН. В циклоалкиле водородный остаток может быть также заменен ОС1-3алкилом или С1-3алкилом (каждый из которых является одно- либо многозамещенным или незамещенным), прежде всего метилом, этилом, н-пропилом, изопропилом, группой CF3, метоксигруппой или этоксигруппой. Под остатком “(СН2)3-6” подразумеваются группы -СН2-СН2-СН2-, -СН2-СН2-СН2-СН2-, -СН2-СН2-СН2-СН2-СН2– и СН2-СН2-СН2-СН2-СН2-СН2-, под остатком “(CH2)1-4” подразумеваются группы -СН2-СН2-СН2-, -СН2-СН2-СН2– и -СН2-СН2-СН2-СН2-, под остатком “(СН2)4-5” подразумеваются группы -СН2-СН2-СН2-СН2– и -СН2-СН2-СН2-СН2-СН2– и т.д. Под арильным остатком подразумеваются циклические системы по меньшей мере с одним ароматическим кольцом, но без гетероатомов, в том числе и только в одном из колец. В качестве примера при этом можно назвать фенильные, нафтильные, флуорантенильные, флуоренильные, тетралинильные или инданильные, прежде всего 9Н-флуоренильные или антраценильные остатки, которые могут быть незамещенными или одно- либо многозамещенными. Под гетероарильным остатком подразумеваются гетероциклические системы по меньшей мере с одним ненасыщенным кольцом, которые содержат один или несколько гетероатомов из группы, включающей азот, кислород и/или серу, и которые также могут быть одно- либо многозамещенными. В качестве примера относящихся к группе гетероарилов остатков при этом можно назвать фуран, бензофуран, тиофен, бензотиофен, пиррол, пиридин, пиримидин, пиразин, хинолин, изохинолин, фталазин, бензо[1,2,5]тиадиазол, бензотиазол, индол, бензотриазол, бензодиоксолан, бензодиоксан, карбазол, индол и хиназолин. Под термином “замещенный”, используемым в отношении арила и гетероарила, имеется в виду замещение арила или гетероарила группой R23, группой OR23, галогеном, предпочтительно F и/или Cl, группой CF3, группой CN, группой NO2, группой NR24R25, С1-6алкилом (насыщенным), С1-6алкоксигруппой, С3-8циклоалкоксигруппой, С3-8циклоалкилом или С2-6алкиленом. При этом остаток R23 представляет собой Н, C1-10алкильный, предпочтительно С1-6алкильный, арильный либо гетероарильный или присоединенный через насыщенный или ненасыщенный С1-3алкил либо через C1-3алкиленовую группу арильный либо гетероарильный остаток, причем такие арильные и гетероарильные остатки сами не могут быть замещены арильными или гетероарильными группами, остатки R24 и R25 могут иметь идентичные или различные значения и представляют собой Н, С1-10алкильный, предпочтительно С1-6алкильный, арильный, гетероарильный или присоединенный через насыщенный или ненасыщенный C1-3алкил либо через С1-3алкиленовую группу арильный либо гетероарильный остаток, причем такие арильные и гетероарильные остатки сами не могут быть замещены арильными или гетероарильными группами, или остатки R24 и R25 совместно представляют собой СН2СН2OCH2СН2, CH2CH2NR26CH2CH2 или (CH2)3-6 и остаток R26 представляет собой Н, C1-10алкильный, предпочтительно C1-С6алкильный, арильный либо гетероарильный остаток или присоединенный через насыщенный или ненасыщенный С1-3алкил либо через C1-С3алкиленовую группу арильный либо гетероарильный остаток, причем такие арильные и гетероарильные остатки сами не могут быть замещены арильными или гетероарильными группами. Под понятием “соль” подразумевается каждая из форм предлагаемого в изобретении действующего вещества, в которой он принимает ионную форму, соответственно имеет заряд того или иного знака и связан с противоионом (катионом или анионом), соответственно находится в растворе. Сюда же включены также комплексы действующего вещества с другими молекулами и ионами, прежде всего комплексы, образованные за счет ионных взаимодействий. При этом под понятием “соль” имеются в виду в первую очередь физиологически совместимые соли с катионами или основаниями и физиологически совместимые соли с анионами или кислотами. Под понятием “физиологически совместимая соль с катионами или основаниями” в контексте настоящего изобретения имеются в виду соли по меньшей мере одного из предлагаемых в изобретении соединений, преимущественно (депротонированной) кислоты, в качестве аниона по меньшей мере с одним, предпочтительно неорганическим, катионом, которые являются физиологически совместимыми, прежде всего при введении в организм человека и/или млекопитающего. Наиболее предпочтительны соли щелочных и щелочноземельных металлов, а также соли с NH4 +, но прежде всего моно- либо динатриевые, моно- либо дикалиевые, магниевые или кальциевые соли. Под понятием “физиологически совместимая соль с анионами или кислотами” в контексте настоящего изобретения подразумеваются соли по меньшей мере одного из предлагаемых в изобретении соединений, преимущественно в протонированном, например по азоту, виде, в качестве катиона по меньшей мере с одним анионом, которые являются физиологически совместимыми, прежде всего при введении в организм человека и/или млекопитающего. К таким солям в контексте настоящего изобретения относятся прежде всего образованные с физиологически совместимыми кислотами соли, а именно соли соответствующего действующего вещества с неорганическими, соответственно органическими кислотами, которые являются физиологически совместимыми, прежде всего при введении в организм человека и/или млекопитающего. В качестве примера физиологически совместимых солей определенных кислот можно назвать соли соляной кислоты, бромистоводородной кислоты, серной кислоты, метансульфоновой кислоты, муравьиной кислоты, уксусной кислоты, щавелевой кислоты, янтарной кислоты, яблочной кислоты, винной кислоты, миндальной кислоты, фумаровой кислоты, молочной кислоты, лимонной кислоты, глутаминовой кислоты, 1,1-диоксо-1,2-дигидро-1 Анальгетик трамадол уже в течение многих лет успешно используется во многих странах мира для терапии болей от умеренной до высокой интенсивности. Уже по результатам самых ранних исследований было установлено, что трамадол, который структурно является производным кодеина и который первоначально разрабатывался как противокашлевое средство, обладает ярко выраженной анальгетической активностью. В настоящее время этот эффект объясняют тем, что in vivo метаболит M1 трамадола, проявляющий явную аффинность по отношению к В последующем в середине 90-х годов прошлого столетия было установлено, что заместитель, находящийся в положении 4 циклогексанового кольца трамадола, повышает его анальгетическую эффективность. Сказанное относится не только к 3-фенолам, но и к 3-тиофенолам и пролекарствам (см. I.Graudums и др., DE 19547766, Grünenthal GmbH, 1995). В соответствии с этим из объема настоящего изобретения исключены те соединения общей формулы I, в которых А обозначает водород, R1 обозначает однократно О- или S-замещенное в положении 3 фенильное кольцо, R2 и R3 оба обозначают метил, а Х в формуле I согласно субформуле Ia формулы I Х обозначает фрагмент R4 обозначает С1-6алкил, С2-6алкенил, С5-7циклоалкилметил, замещенный либо незамещеннымый фенил или замещенный либо незамещенный бензил. Подобные соединения уже известны из заявки DE 19547766 A1 (Graudums и др.). Однако, как следует из представленной в указанной заявке формулы I, авторы этой заявки также исходили из того, что для достижения анальгетического действия и прежде всего для связывания с В соответствии с этим предпочтительным объектом настоящего изобретения являются предлагаемые в нем замещенные производные С-циклогексилметиламина, в которых R1 не представляет собой однократно О- или S-замещенное в положении 3 фенильное кольцо. Равным образом в соответствии с указанным выше условием предпочтительными являются предлагаемые в изобретении замещенные производные С-циклогексилметиламина, в которых R1 обозначает С1-10алкил или С3-10циклоалкил, предпочтительно С1-6алкил или С3-6циклоалкил, каждый из которых является насыщенным или ненасыщенным, разветвленным или неразветвленным, одно- либо многозамещенным или незамещенным, нафтил, гетероарил, присоединенный через насыщенный или ненасыщенный C1-3алкил либо через С1-3алкилен или этинил арил, присоединенный через насыщенный или ненасыщенный С1-3алкил либо через С1-3алкилен или этинил С3-10циклоалкил, предпочтительно С3-6циклоалкил, или присоединенный через насыщенный или ненасыщенный С1-3алкил либо через C1-3алкилен или этинил гетероарил, каждый из которых является незамещенным или одно- либо многозамещенным остатками, независимо друг от друга выбранными из группы, включающей F, Cl, Br, I, OR18, SR18, SO2R18, SO2OR18, CN, COOR18, NR19R10, С1-10алкил, С1-10циклоалкил, предпочтительно С1-6алкил либо С3-6циклоалкил, или силил, который является незамещенным или одно- либо многозамещенным, арил либо гетероарил, который является незамещенным или одно- либо многозамещенным, или присоединенный через насыщенный или ненасыщенный С1-3алкил либо через С1-3алкилен арил, С3-10циклоалкил, предпочтительно С3-6циклоалкил, или гетероарил, каждый из которых является незамещенным или одно- либо многозамещенным, или R1 соответствует соединению общей формулы II
в которой R13, R15 и R17 независимо друг от друга обозначают Н, F, Cl, Br, I, OR18, SR18, SO2R18, SO2OR18, CN, COOR18, NR19R20, С1-10алкил, С3-10циклоалкил, предпочтительно С1-6алкил либо С3-6циклоалкил, или силил, который является насыщенным или ненасыщенным, разветвленным или неразветвленным, одно- либо многозамещенным или незамещенным, арил либо гетероарил, каждый из которых является одно- либо многозамещенным или незамещенным, присоединенный через насыщенный или ненасыщенный C1-3алкил либо через C1-3алкилен или этинил арил, С3-10циклоалкил, предпочтительно С3-6циклоалкил, или гетероарил, каждый из которых является одно- либо многозамещенным или незамещенным, и R14 и R16 независимо друг от друга обозначают Н, F, Cl, Br, I, SO2R, SO2OR18, CN, COOR18, NR19R20, С1-10алкил, С3-10циклоалкил, предпочтительно С1-6алкил либо С3-6циклоалкил, или силил, который является насыщенным или ненасыщенным, разветвленным или неразветвленным, одно- либо многозамещенным или незамещенным, арил либо гетероарил, каждый из которых является одно- либо многозамещенным или незамещенным, присоединенный через насыщенный или ненасыщенный С1-3алкил либо через C1-3алкилен или этинил арил, С3-10циклоалкил, предпочтительно С3-6циклоалкил, или гетероарил, каждый из которых является одно- либо многозамещенным или незамещенным, или R13 и R14 либо R14 и R15 совместно образуют группу ОСН2О, ОСН2СН2О, СН=СНО, СН=С(СН3)О или CH-CHNH, а R15-R17 либо R13, R16 и R17 соответственно имеют указанные выше значения, при этом R18 представляет собой Н, C1-10алкил либо С3-10циклоалкил, предпочтительно C1-6алкил либо С3-6циклоалкил, каждый из которых является насыщенным или ненасыщенным, разветвленным или неразветвленным, незамещенным или одно- либо многозамещенным, арил либо гетероарил, который является незамещенным или одно- либо многозамещенным, или присоединенный через насыщенный или ненасыщенный C1-3алкил либо через С1-3алкилен арил, С3-10циклоалкил, предпочтительно С3-6циклоалкил, или гетероарил, каждый из которых является незамещенным или одно- либо многозамещенным, и R19 и R20 независимо друг от друга представляют собой Н, С1-10алкил либо С3-10циклоалкил, предпочтительно С1-6алкил или С3-6циклоалкил, каждый из которых является насыщенным или ненасыщенным, разветвленным или неразветвленным, незамещенным или одно- либо многозамещенным, арил либо гетероарил, каждый из которых является незамещенным или одно- либо многозамещенным, или присоединенный через насыщенный или ненасыщенный С1-3алкил либо через С1-3алкилен арил, С3-10циклоалкил, предпочтительно С3-6циклоалкил, или гетероарил, каждый из которых является незамещенным или одно- либо многозамещенным, или R19 и R20 совместно образуют группу СН2СН2ОСН2СН2, CH2CH2NR21CH2CH2 или (СН2)3-6, где R21 обозначает Н, С1-10алкил, предпочтительно С1-6алкил, который является насыщенным или ненасыщенным, разветвленным или неразветвленным, незамещенным или одно- либо многозамещенным. В заявке DE 19547766 Al (Graudums и др.) также исходили из того, что для достижения анальгетического действия необходим циклогексанол. Однако и это условие, как неожиданно было установлено, также не является необходимым, о чем свидетельствуют данные об анальгетическом действии целого ряда предлагаемых в изобретении соединений. В соответствии с этим предпочтительными являются также предлагаемые в изобретении замещенные производные С-циклогексилметиламина, в которых Х в формуле I согласно субформуле Ia формулы I
где В представляет собой OR7, H, F, C1 или NR8R9, при этом R7 обозначает С1-10алкил либо С3-10циклоалкил, каждый из которых является насыщенным или ненасыщенным, разветвленным или неразветвленным, одно- либо многозамещенным или незамещенным, арил либо гетероарил, каждый из которых является одно- либо многозамещенным или незамещенным, или присоединенный через насыщенный или ненасыщенный C1-3алкил либо через C1-3алкилен арил, С3-10циклоалкил или гетероарил, каждый из которых является одно- либо многозамещенным или незамещенным, R8 и R8 независимо друг от друга обозначают H, C1-10алкил либо С3-10циклоалкил, каждый из которых является насыщенным или ненасыщенным, разветвленным или неразветвленным, одно- либо многозамещенным или незамещенным, арил либо гетероарил, который является одно- либо многозамещенным или незамещенным, или присоединенный через насыщенный или ненасыщенный С1-3алкил либо через С1-3алкилен арил, С3-10циклоалкил или гетероарил, каждый из которых является одно- либо многозамещенным или незамещенным, или R8 и R9 совместно образуют СН2СН2OCH2СН2, CH2CH2NR10CH2CH2 или (СН2)3-6, где R10 представляет собой H, С1-10алкил либо С3-10циклоалкил, каждый из которых является насыщенным или ненасыщенным, разветвленным или неразветвленным, одно- либо многозамещенным или незамещенным, арил либо гетероарил, каждый из которых является одно- либо многозамещенным или незамещенным, или присоединенный через насыщенный или ненасыщенный С1-3алкил либо через С1-3алкилен арил, С3-10циклоалкил или гетероарил, каждый из которых является одно- либо многозамещенным или незамещенным. Предлагаемые в изобретении соединения, в которых А согласно общей формуле I обозначает арил либо гетероарил, каждый из которых является одно- либо многозамещенным или незамещенным, обладают, как неожиданно было установлено, более высокой аффинностью по отношению к Однако и в этом случае решающим фактором остается, как очевидно, анальгетическое действие, прежде всего in vivo. Еще одним предпочтительным объектом изобретения являются предлагаемые в нем замещенные производные С-циклогексилметиламина, в которых А представляет собой водород. Такие соединения также являются новыми анальгетиками. Другие соединения общей формулы I исключаются из объема настоящего изобретения в том случае, когда R2, R3 независимо друг от друга обозначают Н, C1-С10алкил, который является разветвленным или неразветвленным, одно- либо многозамещенным или незамещенным, насыщенным или ненасыщенным, С3-С7циклоалкил, который является насыщенным или ненасыщенным, одно- либо многозамещенным или незамещенным, или обозначают соответствующий гетероцикл, в котором один из С-атомов в кольце заменен на N, S или О, или обозначают алкиларил либо алкилгетероарил, который является насыщенным или ненасыщенным, одно- либо многозамещенным или незамещенным, арил либо гетероарил, каждый из которых является одно- либо многозамещенным или незамещенным, или R2 и R3 совместно образуют кольцо и обозначают СН2СН2ОСН2СН2, CH2CH2NR6CH2CH2 или (СН2)3-6, Х в формуле I согласно субформуле 1а формулы I Х обозначает А обозначает водород, R1 обозначает незамещенное или одно- либо двузамещенное фенильное кольцо, В обозначает Н, F, Cl, ОН или OR7, где R7 представляет собой C1-С10алкил, который является разветвленным или неразветвленным, одно- либо многозамещенным или незамещенным, насыщенным или ненасыщенным, С3-С7циклоалкил, который является насыщенным или ненасыщенным, одно- либо многозамещенным или незамещенным, или представляет собой соответствующий гетероцикл, в котором один из С-атомов в кольце заменен на N, S или О, алкиларил или алкилгетероарил, который является насыщенным или ненасыщенным, одно- либо многозамещенным или незамещенным, арил либо гетероарил, каждый из которых является одно- либо многозамещенным или незамещенным, и одновременно группировка V представляет собой группу OR4, в которой R4 обозначает группу COR5, где R5 представляет собой C1-6алкил, который является незамещенным или одно- либо многозамещенным. Соединения подобного типа описаны в WO 01/57232 А1 и частично известны также из публикации Gais H.J., Griebel С. и Buschmann H., Tetrahedron: Asymmetry 11 (2000), с.917-928. Предпочтительными являются предлагаемые в изобретении замещенные производные С-циклогексилметиламина, в которых R1 обозначает C1-10алкил либо С3-10циклоалкил, предпочтительно С1-6алкил либо С3-6циклоалкил, каждый из которых является насыщенным или ненасыщенным, разветвленным или неразветвленным, одно- либо многозамещенным или незамещенным, нафтил, гетероарил, присоединенный через насыщенный или ненасыщенный С1-3алкил либо через С1-3алкилен или этинил арил, присоединенный через насыщенный или ненасыщенный C1-3алкил либо через С1-3алкилен или этинил С3-10циклоалкил, предпочтительно С3-6циклоалкил, или присоединенный через насыщенный или ненасыщенный С1-3алкил либо через С1-3алкилен или этинил гетероарил, каждый из которых является незамещенным или одно- либо многозамещенным остатками, независимо друг от друга выбранными из группы, включающей F, Cl, Br, I, OR18, SR18, SO2R18, SO2OR18, CN, COOR18, NR19R20, С1-10алкил, С1-10циклоалкил, предпочтительно C1-6алкил либо С3-6циклоалкил, или силил, который является незамещенным или одно- либо многозамещенным, арил либо гетероарил, который является незамещенным или одно- либо многозамещенным, или присоединенный через насыщенный или ненасыщенный С1-3алкил либо через С1-3алкилен арил, С3-10циклоалкил, предпочтительно С3-6циклоалкил, или гетероарил, каждый из которых является незамещенным или одно- либо многозамещенным. Предпочтительны также предлагаемые в изобретении замещенные производные С-циклогексилметиламина, в которых R1 соответствует соединению общей формулы II
в которой R13, R15 и R17 независимо друг от друга обозначают Н, F, Cl, Br, I, OR, SR18, SO2R18, SO2OR18, CN, COOR18, NR19R20, С1-10алкил, С3-10циклоалкил, предпочтительно С1-6алкил либо С3-6циклоалкил, или силил, который является насыщенным или ненасыщенным, разветвленным или неразветвленным, одно- либо многозамещенным или незамещенным, арил либо гетероарил, каждый из которых является одно- либо многозамещенным или незамещенным, присоединенный через насыщенный или ненасыщенный С1-3алкил либо через C1-3алкилен или этинил арил, С3-10циклоалкил, предпочтительно С3-6циклоалкил, или гетероарил, каждый из которых является одно- либо многозамещенным или незамещенным, R14 и R16 независимо друг от друга обозначают Н, F, Cl, Br, I, SO2R18, SO2OR18, CN, COOR18, NR19R20, С1-10алкил, С3-10циклоалкил, предпочтительно C1-6алкил либо С3-6циклоалкил, или силил, который является насыщенным или ненасыщенным, разветвленным или неразветвленным, одно- либо многозамещенным или незамещенным, арил либо гетероарил, каждый из которых является одно- либо многозамещенным или незамещенным, присоединенный через насыщенный или ненасыщенный C1-3алкил либо через С1-3алкилен или этинил арил, С3-10циклоалкил, предпочтительно С3-6циклоалкил, или гетероарил, каждый из которых является одно- либо многозамещенным или незамещенным, или R13 и R14 или R14 и R15 совместно образуют группу ОСН2О, ОСН2СН2О, СН=СНО, СН=С(СН3)О или CH=CHNH, a R15-R17 или R13, R16 и R17 соответственно имеют указанные выше значения, при этом R18 представляет собой Н, С1-10алкил либо С3-10циклоалкил, предпочтительно С1-6алкил либо С3-6циклоалкил, каждый из которых является насыщенным или ненасыщенным, разветвленным или неразветвленным, незамещенным или одно- либо многозамещенным, арил либо гетероарил, который является незамещенным или одно- либо многозамещенным, или присоединенный через насыщенный или ненасыщенный С1-3алкил либо через С1-3алкилен арил, С3-10циклоалкил, предпочтительно С3-6циклоалкил, или гетероарил, каждый из которых является незамещенным или одно- либо многозамещенным, R19 и R20 независимо друг от друга представляют собой Н, С1-10алкил либо С3-10циклоалкил, предпочтительно С1-6алкил либо С3-6циклоалкил, каждый из которых является насыщенным или ненасыщенным, разветвленным или неразветвленным, незамещенным или одно- либо многозамещенным, арил либо гетероарил, каждый из которых является незамещенным или одно- либо многозамещенным, или присоединенный через насыщенный или ненасыщенный С1-3алкил либо через С1-3алкилен арил, С3-10циклоалкил, предпочтительно С3-6циклоалкил, или гетероарил, каждый из которых является незамещенным или одно- либо многозамещенным, или R19 и R20 совместно образуют группу CH2CH2OCH2CH2, CH2CH2NR21CH2CH2 или (СН2)3-6, где R21 обозначает Н, С1-10алкил, предпочтительно С1-6алкил, который является насыщенным или ненасыщенным, разветвленным или неразветвленным, незамещенным или одно- либо многозамещенным, и фрагмент R4 обозначает Н, COR5a, SO2R5, С1-10алкил либо С3-10циклоалкил, каждый из которых является насыщенным или ненасыщенным, разветвленным или неразветвленным, одно- либо многозамещенным или незамещенным, арил либо гетероарил, каждый из которых является одно- либо многозамещенным или незамещенным, или присоединенный через насыщенный или ненасыщенный С1-3алкил либо через С1-3алкилен арил, С3-10циклоалкил или гетероарил, каждый из которых является одно- либо многозамещенным или незамещенным, при этом R5 представляет собой С1-10алкил либо С3-10циклоалкил, каждый из которых является насыщенным или ненасыщенным, разветвленным или неразветвленным, одно- либо многозамещенным или незамещенным, арил либо гетероарил, каждый из которых является одно- либо многозамещенным или незамещенным, или присоединенный через насыщенный или ненасыщенный C1-3алкил либо через С1-3алкилен арил, С3-10циклоалкил или гетероарил, каждый из которых является одно- либо многозамещенным или незамещенным, а R5а представляет собой С3-10циклоалкил, который является насыщенным или ненасыщенным, разветвленным или неразветвленным, одно- либо многозамещенным или незамещенным, арил либо гетероарил, каждый из которых является одно- либо многозамещенным или незамещенным, или присоединенный через насыщенный или ненасыщенный С1-3алкил либо через С1-3алкилен арил, С3-10циклоалкил или гетероарил, каждый из которых является одно- либо многозамещенным или незамещенным, V обозначает OR4 или NR4R11 и W обозначает R11, OR12 или NR11R12, где R11 и R12 независимо друг от друга представляют собой Н, С7-10алкил либо С3-10циклоалкил, каждый из которых является насыщенным или ненасыщенным, разветвленным или неразветвленным, одно- либо многозамещенным или незамещенным, арил либо гетероарил, каждый из которых является одно- либо многозамещенным или незамещенным, или присоединенный через насыщенный или ненасыщенный С1-3алкил либо через С1-3алкилен арил, С3-10циклоалкил или гетероарил, каждый из которых является одно- либо многозамещенным или незамещенным. Предпочтительными являются также прежде всего те предлагаемые в изобретении замещенные производные С-циклогексилметиламина, в которых R2 и R3 независимо друг от друга обозначают Н, C1-6алкил либо С3-6циклоалкил, каждый из которых является насыщенным или ненасыщенным, разветвленным или неразветвленным, одно- либо многозамещенным или незамещенным, арил либо гетероарил, каждый из которых является одно- либо многозамещенным или незамещенным, или присоединенный через насыщенный или ненасыщенный С1-3алкил либо через С1-3алкилен арил, С3-6циклоалкил или гетероарил, каждый из которых является одно- либо многозамещенным или незамещенным, или R2 и R3 совместно обозначают группу CH2CH2OCH2CH2, CH2CH2NR6CH2CH2 или (СН2)3-6, где R6 представляет собой Н, С1-6алкил, прежде всего СН3, либо С3-6циклоалкил, каждый из которых является насыщенным или ненасыщенным, разветвленным или неразветвленным, одно- либо многозамещенным или незамещенным, арил либо гетероарил, каждый из которых является одно- либо многозамещенным или незамещенным, или присоединенный через насыщенный или ненасыщенный С1-3алкил либо через С1-3алкилен арил, С3-6циклоалкил или гетероарил, каждый из которых является одно- либо многозамещенным или незамещенным, и/или R7 обозначает С1-6алкил либо С3-6циклоалкил, каждый из которых является насыщенным или ненасыщенным, разветвленным или неразветвленным, одно- либо многозамещенным или незамещенным, арил либо гетероарил, каждый из которых является одно- либо многозамещенным или незамещенным, или присоединенный через насыщенный или ненасыщенный C1-3алкил либо через С1-3алкилен арил, С3-6циклоалкил или гетероарил, каждый из которых является одно- либо многозамещенным или незамещенным, и/или R8 и R9 независимо друг от друга обозначают Н, С1-6алкил либо С3-6циклоалкил, каждый из которых является насыщенным или ненасыщенным, разветвленным или неразветвленным, одно- либо многозамещенным или незамещенным, арил либо гетероарил, каждый из которых является одно- либо многозамещенным или незамещенным, или присоединенный через насыщенный или ненасыщенный C1-3алкил либо через C1-3алкилен арил, С3-6циклоалкил или гетероарил, каждый из которых является одно- либо многозамещенным или незамещенным, или R8 и R9 совместно образуют группу СН2CH2ОСН2СН2, CH2CH2NR10CH2CH2 или (СН2)3-6, где R10 представляет собой Н, C1-6алкил либо С3-6циклоалкил, каждый из которых является насыщенным или ненасыщенным, разветвленным или неразветвленным, одно- либо многозамещенным или незамещенным, арил либо гетероарил, каждый из которых является одно- либо многозамещенным или незамещенным, или присоединенный через насыщенный или ненасыщенный C1-3алкил либо через C1-3алкилен арил, С3-6циклоалкил или гетероарил, каждый из которых является одно- либо многозамещенным или незамещенным, и/или R4 обозначает Н, COR5, SO2R5, С1-6алкил либо С3-6циклоалкил, каждый из которых является насыщенным или ненасыщенным, разветвленным или неразветвленным, одно- либо многозамещенным или незамещенным, арил либо гетероарил, каждый из которых является одно- либо многозамещенным или незамещенным, или присоединенный через насыщенный или ненасыщенный С1-3алкил либо через С1-3алкилен арил, С3-6циклоалкил или гетероарил, каждый из которых является одно- либо многозамещенным или незамещенным, при этом R5 представляет собой C1-6алкил, который является одно- либо многозамещенным или незамещенным, арил либо гетероарил, каждый из которых является одно- либо многозамещенным или незамещенным, или присоединенный через насыщенный или ненасыщенный C1-3алкил либо через C1-3алкилен арил либо гетероарил, каждый из которых является одно- либо многозамещенным или незамещенным, и/или R11 и R12 независимо друг от друга обозначают Н, С1-6алкил либо С3-6циклоалкил, каждый из которых является насыщенным или ненасыщенным, разветвленным или неразветвленным, одно- либо многозамещенным или незамещенным, арил либо гетероарил, каждый из которых является одно- либо многозамещенным или незамещенным, или присоединенный через насыщенный или ненасыщенный C1-3алкил либо через C1-3алкилен арил, С3-6циклоалкил или гетероарил, каждый из которых является одно- либо многозамещенным или незамещенным, и/или R13, R15 и R17 независимо друг от друга обозначают Н, F, Cl, Br, I, OR18, SR18, SO2R18, SO2OR18, CN, COOR18, NR19R20, С1-6алкил, С3-6циклоалкил или силил, который является насыщенным или ненасыщенным, разветвленным или неразветвленным, одно- либо многозамещенным или незамещенным, арил либо гетероарил, каждый из которых является одно- либо многозамещенным или незамещенным, или присоединенный через насыщенный или ненасыщенный С1-3алкил либо через C1-3алкилен или этинил арил, С3-6циклоалкил или гетероарил, каждый из которых является одно- либо многозамещенным или незамещенным, и/или R14 и R16 независимо друг от друга обозначают Н, F, Cl, Br, I, SO2R18, SO2OR18, CN, COOR18, NR19R20, С1-6алкил либо С3-6циклоалкил или силил, который является насыщенным или ненасыщенным, разветвленным или неразветвленным, одно- либо многозамещенным или незамещенным, арил либо гетероарил, каждый из которых является одно- либо многозамещенным или незамещенным, или присоединенный через насыщенный или ненасыщенный С1-3алкил либо через C1-3алкилен или этинил арил, С3-6циклоалкил или гетероарил, каждый из которых является одно- либо многозамещенным или незамещенным, или R13 и R14 или R14 и R15 совместно образуют группу ОСН2О, ОСН2СН2О, СН=СНО, СН=С(СН3)О или CH=CHNH, a R15-R17 или R13, R16 и R17 соответственно имеют указанные выше значения, и/или R18 обозначает Н, С1-6алкил либо С3-6циклоалкил, каждый из которых является насыщенным или ненасыщенным, разветвленным или неразветвленным, незамещенным или одно- либо многозамещенным, арил либо гетероарил, который является незамещенным или одно- либо многозамещенным, или присоединенный через насыщенный или ненасыщенный С1-3алкил либо через С1-3алкилен арил, С3-6циклоалкил или гетероарил, каждый из которых является незамещенным или одно- либо многозамещенным, и/или R19 и R20 независимо друг от друга обозначают Н, С1-6алкил либо С3-6циклоалкил, каждый из которых является насыщенным или ненасыщенным, разветвленным или неразветвленным, незамещенным или одно- либо многозамещенным, арил либо гетероарил, который является незамещенным или одно- либо многозамещенным, или присоединенный через насыщенный или ненасыщенный C1-3алкил либо через С1-3алкилен арил, С3-6циклоалкил или гетероарил, каждый из которых является незамещенным или одно- либо многозамещенным, или R19 и R20 совместно образуют группу СН2СН2ОСН2СН2, CH2CH2NR21CH2CH2 или (СН2)3-6, и/или R21 обозначает Н, С1-6алкил, который является насыщенным или ненасыщенным, разветвленным или неразветвленным, незамещенным или одно- либо многозамещенным. Особенно предпочтительными являются далее предлагаемые в изобретении замещенные производные С-циклогексилметиламина, в которых А обозначает водород или фенил, который является незамещенным или одно- либо многозамещенным, предпочтительно водород. Другими предпочтительными предлагаемыми в изобретении замещенными производными С-циклогексилметиламина являются таковые, в которых R2 и R3 обозначают С1-6алкил, который является насыщенным или ненасыщенным, разветвленным или неразветвленным, незамещенным или одно- либо многозамещенным, предпочтительно СН3, прежде всего оба обозначают СН3, или R2 и R3 совместно образуют группу CH2CH2NR6СН2СН2 или (СН2)3-6, где R6 обозначает Н или C1-6алкил, который является насыщенным, разветвленным или неразветвленным и незамещенным, прежде всего обозначает Н или СН3. Согласно одному из предпочтительных вариантов осуществления изобретения в нем предлагаются замещенные производные С-циклогексилметиламина, в которых R1 обозначает С1-6алкил, который является насыщенным или ненасыщенным, разветвленным или неразветвленным, С3-6циклоалкил, нафтил, фенил, фурил, тиофенил, присоединенный через С1-3алкилен или этинил нафтил, фенил, С3-6циклоалкил или присоединенный через C1-3алкилен или этинил тиофенил либо фурил, которые согласно п.1 формулы изобретения могут быть незамещенными или одно- либо многозамещенными. К особенно предпочтительным относятся далее предлагаемые в изобретении замещенные производные С-циклогексилметиламина, в которых
Наиболее предпочтительным объектом настоящего изобретения являются замещенные производные С-циклогексилметиламина общей формулы I
в которой А обозначает Н или арил либо гетероарил, каждый из которых является одно- либо многозамещенным или незамещенным, R1 обозначает нафтил или присоединенный через насыщенный или ненасыщенный С1-3алкил либо через С1-3алкилен или этинил нафтил, который является незамещенным или одно- либо многозамещенным остатками, независимо друг от друга выбранными из группы, включающей F, Cl, Br, I, OR18, SR18, SO2R18, SO2OR18, CN, COOR18, NR19R20, С1-10алкил, С3-10циклоалкил или силил, который является незамещенным или одно- либо многозамещенным, арил либо гетероарил, который является незамещенным или одно- либо многозамещенным, или присоединенный через насыщенный или ненасыщенный C1-3алкил либо через С1-3алкилен арил, С3-10циклоалкил или гетероарил, каждый из которых является незамещенным или одно- либо многозамещенным, при этом R18 представляет собой Н, С1-10алкил либо С3-10циклоалкил, каждый из которых является насыщенным или ненасыщенным, разветвленным или неразветвленным, незамещенным или одно- либо многозамещенным, арил либо гетероарил, который является незамещенным или одно- либо многозамещенным, или присоединенный через насыщенный или ненасыщенный С1-3алкил либо через С1-3алкилен арил, С3-10циклоалкил или гетероарил, каждый из которых является незамещенным или одно- либо многозамещенным, R19 и R20 независимо друг от друга представляют собой Н, С1-10алкил либо С3-10циклоалкил, каждый из которых является насыщенным или ненасыщенным, разветвленным или неразветвленным, незамещенным или одно- либо многозамещенным, арил либо гетероарил, который является незамещенным или одно- либо многозамещенным, или присоединенный через насыщенный или ненасыщенный C1-3алкил либо через C1-3алкилен арил, С3-10циклоалкил или гетероарил, каждый из которых является незамещенным или одно- либо многозамещенным, или R19 и R20 совместно образуют CH2CH2ОСН2СН2, CH2CH2NR21CH2CH2 или (СН2)3-6, где R21 обозначает Н, С1-10алкил, который является насыщенным или ненасыщенным, разветвленным или неразветвленным, незамещенным или одно- либо многозамещенным, R2 и R3 независимо друг от друга обозначают Н, С1-10алкил либо С3-10циклоалкил, каждый из которых является насыщенным или ненасыщенным, разветвленным или неразветвленным, одно- либо многозамещенным или незамещенным, арил либо гетероарил, каждый из которых является одно- либо многозамещенным или незамещенным, или присоединенный через насыщенный или ненасыщенный C1-3алкил либо через C1-3алкилен арил, С3-10циклоалкил или гетероарил, каждый из которых является одно- либо многозамещенным или незамещенным, или R2 и R3 совместно образуют CH2CH2ОСН2СН2, CH2CH2NR6CH2CH2 или (СН2)3-6, где R6 представляет собой Н, С1-10алкил либо С3-10циклоалкил, каждый из которых является насыщенным или ненасыщенным, разветвленным или неразветвленным, одно- либо многозамещенным или незамещенным, арил либо гетероарил, каждый из которых является одно- либо многозамещенным или незамещенным, или присоединенный через насыщенный или ненасыщенный C1-3алкил либо через C1-3алкилен арил, С3-10циклоалкил или гетероарил, каждый из которых является одно- либо многозамещенным или незамещенным, Х в формуле I согласно субформуле Ia формулы I где В представляет собой ОН, OR7, H, F, Cl или NR8R9, при этом R7 обозначает C1-10алкил либо С3-10циклоалкил, каждый из которых является насыщенным или ненасыщенным, разветвленным или неразветвленным, одно- либо многозамещенным или незамещенным, арил либо гетероарил, каждый из которых является одно- либо многозамещенным или незамещенным, или присоединенный через насыщенный или ненасыщенный C1-3алкил либо через C1-3алкилен арил, С3-10циклоалкил или гетероарил, каждый из которых является одно- либо многозамещенным или незамещенным, R8 и R9 независимо друг от друга обозначают H, C1-10алкил либо С3-10циклоалкил, каждый из которых является насыщенным или ненасыщенным, разветвленным или неразветвленным, одно- либо многозамещенным или незамещенным, арил либо гетероарил, который является одно- либо многозамещенным или незамещенным, или присоединенный через насыщенный или ненасыщенный C1-3алкил либо через C1-3алкилен арил, С3-10циклоалкил или гетероарил, каждый из которых является одно- либо многозамещенным или незамещенным, или R8 и R9 совместно образуют CH2CH2ОСН2СН2, CH2CH2NR10CH2CH2 или (СН2)3-6, где R10 представляет собой Н, С1-10алкил либо С3-10циклоалкил, каждый из которых является насыщенным или ненасыщенным, разветвленным или неразветвленным, одно- либо многозамещенным или незамещенным, арил либо гетероарил, каждый из которых является одно- либо многозамещенным или незамещенным, или присоединенный через насыщенный или ненасыщенный C1-3алкил либо через C1-3алкилен арил, С3-10циклоалкил или гетероарил, каждый из которых является одно- либо многозамещенным или незамещенным, фрагмент V обозначает группу OR4, в которой R4 представляет собой COR5, С1-10алкил, который является насыщенным или ненасыщенным, разветвленным или неразветвленным, одно- либо многозамещенным или незамещенным, С3-10циклоалкил, который является насыщенным или ненасыщенным, одно- либо многозамещенным или незамещенным, арил либо гетероарил, каждый из которых является одно- либо многозамещенным или незамещенным, или присоединенный через С1-3алкил арил, С3-10циклоалкил или гетероарил, каждый из которых является одно- либо многозамещенным или незамещенным, при этом R5 обозначает C1-10алкил, который является насыщенным или ненасыщенным, разветвленным или неразветвленным, одно- либо многозамещенным или незамещенным, С3-10циклоалкил, который является насыщенным или ненасыщенным, одно- либо многозамещенным или незамещенным, арил либо гетероарил, каждый из которых является одно- либо многозамещенным или незамещенным, или присоединенный через насыщенный или ненасыщенный C1-3алкил либо через C1-3алкилен арил, С3-10циклоалкил или гетероарил, каждый из которых является одно- либо многозамещенным или незамещенным, необязательно в виде их рацематов, их чистых стереоизомеров, прежде всего энантиомеров или диастереомеров, либо в виде смесей стереоизомеров, прежде всего энантиомеров или диастереомеров, в любом их соотношении в смеси, в представленном виде или в виде их кислот или их оснований либо в виде их солей, прежде всего физиологически совместимых солей, или в виде их сольватов, прежде всего гидратов. Среди указанных непосредственно выше наиболее предпочтительных замещенных производных С-циклогексилметиламина согласно предпочтительному варианту А обозначает Н или фенил, который является одно- либо многозамещенным или незамещенным, предпочтительно обозначает Н, и/или R1 обозначает нафтил, который является незамещенным или одно- либо многозамещенным остатками, независимо друг от друга выбранными из группы, включающей F, Cl, Br, I, OR18 и С1-4алкил, который является разветвленным или неразветвленным, незамещенным или одно- либо многозамещенным, при этом R18 представляет собой Н или С1-4алкил, который является разветвленным или неразветвленным, незамещенным или одно- либо многозамещенным, предпочтительно R1 обозначает нафтил, который является незамещенным или замещен группой ОН или ОСН3, и/или R2 и R3 обозначают С1-6алкил, который является насыщенным или ненасыщенным, разветвленным или неразветвленным, незамещенным или одно- либо многозамещенным, предпочтительно СН3, прежде всего оба обозначают СН3, или R2 и R3 совместно образуют CH2CH2NR6СН2СН2 или (СН2)4-5, прежде всего CH2CH2NR6CH2CH2, где R6 представляет собой Н или С1-6алкил, который является насыщенным, разветвленным или неразветвленным и незамещенным, прежде всего обозначает Н или СН3, и/или Х в формуле I согласно субформуле Ia формулы I Х обозначает В представляет собой ОН, OR7, Н, F или Cl, при этом R7 обозначает С1-4алкил, который является разветвленным или неразветвленным, одно- либо многозамещенным или незамещенным, предпочтительно В обозначает ОН, и/или фрагмент V представляет собой группу OR4, в которой R4 обозначает COR5, фенил или бензил, который является одно- либо многозамещенным или незамещенным, прежде всего COR5 или бензил, который является одно- либо многозамещенным или незамещенным, при этом R5 представляет собой С1-10алкил, прежде всего C1-6алкил, который является насыщенным или ненасыщенным, разветвленным или неразветвленным, одно- либо многозамещенным или незамещенным, или фенил, который является одно- либо многозамещенным или незамещенным. Другими особо предпочтительными соединениями по изобретению являются следующие: 4-бензилокси-1-(4-бромфенил)-2-диметиламинометилциклогексанол, 4-бензилокси-2-диметиламинометил-1-(4-трифторметилфенил)циклогексанол, 4-бензилокси-1-(3,4-дифторфенил)-2-диметиламинометилциклогексанол, 4-бензилокси-2-диметиламинометил-1-(3-фтор-4-метилфенил)циклогексанол, 4-бензилокси-1-(3,4-дихлорфенил)-2-диметиламинометилциклогексанол, 4-бензилокси-2-диметиламинометил-1-нафталин-2-илциклогексанол, 4-бензилокси-2-диметиламинометил-1-(3,4-диметилфенил)циклогексанол, 4-бензилокси-2-диметиламинометил-1-(4-фтор-3-метилфенил)циклогексанол, 4-бензилокси-2-диметиламинометил-1-(5-фтор-2-метилфенил)циклогексанол, 4-бензилокси-1-(3-хлор-4-фторфенил)-2-диметиламинометилциклогексанол, 4-бензилокси-1-(5-хлор-2-метоксифенил)-2-диметиламинометилциклогексанол, 4-бензилокси-1-(2-бромфенил)-2-диметиламинометилциклогексанол, 4-бензилокси-2-диметиламинометил-1-(2-метоксифенил)циклогексанол, 4-бензилокси-2-диметиламинометил-1-(2-метилсульфанилфенил)циклогексанол, 4-бензилокси-1-(4-хлорфенил)-2-диметиламинометилциклогексанол, 4-бензилокси-1-(3-бромфенил)-2-диметиламинометилциклогексанол, 4-бензилокси-1-(4-бром-3-фторфенил)-2-диметиламинометилциклогексанол, 4-бензилокси-2-диметиламинометил-1-(4-метоксифенил)циклогексанол, 4-бензилокси-1-(2-хлорфенил)-2-диметиламинометилциклогексанол, 4-бензилокси-2-диметиламинометил-1-(3-трифторметилфенил)циклогексанол, 4-бензилокси-2-диметиламинометил-1-(4-пентилфенил)циклогексанол, 4-бензилокси-2-диметиламинометил-1-(2,5-диметилфенил)циклогексанол, 4-бензилокси-2-диметиламинометил-1-(4-изопропилфенил)циклогексанол, 4-бензилокси-2-диметиламинометил-1-(2,3-диметилфенил)циклогексанол, 4-бензилокси-2-диметиламинометил-1-(3-фторфенил)циклогексанол, 4-бензилокси-1-(3,5-бистрифторметилфенил)-2-диметиламинометилциклогексанол, 4-бензилокси-2-диметиламинометил-1-(4-этилфенил)циклогексанол, 4-бензилокси-1-(3,5-дихлорфенил)-2-диметиламинометилциклогексанол, 2-диметиламинометил-4-(4-фторбензилокси)-1-о-толилциклогексанол, 2-диметиламинометил-4-(4-фторбензилокси)-1-п-толилциклогексанол, 2-диметиламинометил-1-(2,5-диметилфенил)-4-(4-фторбензилокси)циклогексанол, 2-диметиламинометил-1-(3,4-диметилфенил)-4-(4-фторбензилокси)циклогексанол, 2-диметиламинометил-1-(3,5-диметилфенил)-4-(4-фторбензилокси)циклогексанол, 2-диметиламинометил-4-(4-фторбензилокси)-1-(4-изопропилфенил)циклогексанол, 2-диметиламинометил-4-(4-фторбензилокси)-1-(3-фторфенил)циклогексанол, 2-диметиламинометил-4-(4-фторбензилокси)-1-(4-фторфенил)циклогексанол, 1-(3,4-дифторфенил)-2-диметиламинометил-4-(4-фторбензилокси)циклогексанол, 2-диметиламинометил-4-(4-фторбензилокси)-1-(3-фтор-4-метилфенил)циклогексанол, 2-диметиламинометил-4-(4-фторбензилокси)-1-(4-фтор-3-метилфенил)циклогексанол, 1-(2-хлорфенил)-2-диметиламинометил-4-(4-фторбензилокси)циклогексанол, 1-(3-хлорфенил)-2-диметиламинометил-4-(4-фторбензилокси)циклогексанол, 1-(4-хлорфенил)-2-диметиламинометил-4-(4-фторбензилокси)циклогексанол, 1-(3,4-дихлорфенил)-2-диметиламинометил-4-(4-фторбензилокси)циклогексанол, 1-(4-хлор-3-фторфенил)-2-диметиламинометил-4-(4-фторбензилокси)циклогексанол, 1-(3,5-дихлорфенил)-2-диметиламинометил-4-(4-фторбензилокси)циклогексанол, 1-(4-хлор-2-метоксифенил)-2-диметиламинометил-4-(4-фторбензилокси)циклогексанол, 2-диметиламинометил-4-(4-фторбензилокси)-1-(4-трифторметилфенил)циклогексанол, 1-(3,5-бистрифторметилфенил)-2-диметиламинометил-4-(4-фторбензилокси)циклогексанол, 2-диметиламинометил-4-(4-фторбензилокси)-1-(2-метоксифенил)циклогексанол, 2-диметиламинометил-4-(4-фторбензилокси)-1-(2-метилсульфанилфенил)циклогексанол, (5-бензилокси-2-тиофен-2-илциклогекс-2-енилметил)диметиламин, [5-(4-фторбензилокси)-2-тиофен-2-илциклогекс-2-енилметил]диметиламин, 3,4-дихлор-N-[3-диметиламинометил-4-гидрокси-4-(3-метоксифенил)циклогексил]бензамид, [3-диметиламинометил-4-гидрокси-4-(3-метоксифенил)циклогексил]амид нафталин-2-карбоновой кислоты, N-[3-диметиламинометил-4-гидрокси-4-(3-метоксифенил)циклогексил]-3-фенилпропионамид, N-[3-диметиламинометил-4-гидрокси-4-(3-метоксифенил)циклогексил]-4-нитробензамид, N-[3-диметиламинометил-4-гидрокси-4-(3-метоксифенил)циклогексил]-4-метил-3-нитробензамид, N-[3-диметиламинометил-4-гидрокси-4-(3-метоксифенил)циклогексил]-3,4,5-триметоксибензамид, 2-(4-хлорфенокси)-N-[3-диметиламинометил-4-гидрокси-4-(3-метоксифенил)циклогексил]ацетамид, N-[3-диметиламинометил-4-гидрокси-4-(3-метоксифенил)циклогексил]-3-нитробензамид, [3-диметиламинометил-4-гидрокси-4-(3-метоксифенил)циклогексил]амид фуран-2-карбоновой кислоты, N-[3-диметиламинометил-4-гидрокси-4-(3-метоксифенил)циклогексил]-2-феноксиацетамид, N-[3-диметиламинометил-4-гидрокси-4-(3-метоксифенил)циклогексил]-4-трифторметилбензамид, N-[3-диметиламинометил-4-гидрокси-4-(3-метоксифенил)циклогексил]-4-метоксибензамид, 2-диметиламинометил-1-(4-фторфенил)-4-фенетилциклогексанол, 1-(4-бромфенил)-2-диметиламинометил-4-фенетилциклогексанол, 2-диметиламинометил-1-(4-этилфенил)-4-фенетилциклогексанол, 2-диметиламинометил-1-(4-изопропилфенил)-4-фенетилциклогексанол, 2-диметиламинометил-1-(4-метоксифенил)-4-фенетилциклогексанол, 2-диметиламинометил-1-(2,4-диметилфенил)-4-фенетилциклогексанол, 2-диметиламинометил-1-(2-метилсульфанилфенил)-4-фенетилциклогексанол, 2-диметиламинометил-1-(5-фтор-2-метилфенил)-4-фенетилциклогексанол, 2-диметиламинометил-1-(2,5-диметилфенил)-4-фенетилциклогексанол, 2-диметиламинометил-4-фенетил-1-п-толилциклогексанол, 2-диметиламинометил-1-(3-фторфенил)-4-фенетилциклогексанол, 1-(3-хлорфенил)-2-диметиламинометил-4-фенетилциклогексанол, 1-(4-хлор-3-фторфенил)-2-диметиламинометил-4-фенетилциклогексанол, 2-диметиламинометил-4-фенетил-1-(3-трифторметилфенил)циклогексанол, 1-(3,5-дихлорфенил)-2-диметиламинометил-4-фенетилциклогексанол, 2-диметиламинометил-1-(3,4-диметилфенил)-4-фенетилциклогексанол, 1-(3,4-дихлорфенил)-2-диметиламинометил-4-фенетилциклогексанол, 1-(4-хлорфенил)-2-диметиламинометил-4-фенетилциклогексанол, 2-диметиламинометил-1-(3-фтор-4-метилфенил)-4-фенетилциклогексанол, 2-диметиламинометил-1-(3,5-диметилфенил)-4-фенетилциклогексанол, 1-(4-бром-3-фторфенил)-2-диметиламинометил-4-фенетилциклогексанол, 1-(3,4-дифторфенил)-2-диметиламинометил-4-фенетилциклогексанол, 2-диметиламинометил-1-(2,3-диметилфенил)-4-фенетилциклогексанол, 2-диметиламинометил-1-нафталин-1-ил-4-фенетилциклогексанол, 1-(3,5-бистрифторметилфенил)-2-диметиламинометил-4-фенетилциклогексанол, 1-(3-бромфенил)-2-диметиламинометил-4-фенетилциклогексанол, 2-диметиламинометил-1-(4-фтор-3-метилфенил)-4-фенетилциклогексанол, 2-диметиламинометил-4-фенетил-1-м-толилциклогексанол, 4-бензил-2-диметиламинометил-1-м-толилциклогексанол, 4-бензил-1-(3,4-дифторфенил)-2-диметиламинометилциклогексанол, 4-бензил-2-диметиламинометил-1-п-толилциклогексанол, 2-диметиламинометил-4-(3-метоксибензил)-1-п-толилциклогексанол, 1-(4-хлорфенил)-2-диметиламинометил-4-(3-метоксибензил)циклогексанол, 1-(4-бром-3-фторфенил)-2-диметиламинометил-4-(3-метоксибензил)циклогексанол, 2-диметиламинометил-4-(4-фторбензил)-1-п-толилциклогексанол, 1-(4-хлорфенил)-2-диметиламинометил-4-(4-фторбензил)циклогексанол, диметил[2-(5-метилтиофен-2-ил)-5-фенетилциклогекс-2-енилметил]амин, [2-(3,5-бистрифторметилфенил)-5-фенетилциклогекс-1-енилметил]диметиламин, диметил(5-фенетил-2-п-толилциклогекс-1-енилметил)амин, [2-(3-хлор-4-фторфенил)-5-фенетилциклогекс-1-енилметил]диметиламин, [2-(2,5-диметилфенил)-5-фенетилциклогекс-1-енилметил]диметиламин, диметил-(5-фенетил-2-п-толилциклогекс-2-енилметил)амин, [2-(3,5-бистрифторметилфенил)-5-фенетилциклогекс-2-енилметил]диметиламин, [2-(3-хлор-4-фторфенил)-5-фенетилциклогекс-2-енилметил]диметиламин, [2-(3-хлор-4-фторфенил)-2-фтор-5-фенетилциклогексилметил]диметиламин, [2-фтор-5-(4-фторбензил)-2-п-толилциклогексилметил]диметиламин, бензил-2-(диметиламинофенилметил)-4-фенилциклогексанол, 2-(диметиламинофенилметил)-4-фенил-1-винилциклогексанол, 1-(4-трет-бутилфенил)-2-(диметиламинофенилметил)-4-фенилциклогексанол, 2-(диметиламинофенилметил)-4-фенил-1-м-толилциклогексанол, 2-(диметиламинофенилметил)-1-фенетил-4-фенилциклогексанол, 2-(диметиламинофенилметил)-4-фенил-1-фенилэтинилциклогексанол, 2-(диметиламинофенилметил)-1-(3-метоксифенил)-4-фенилциклогексанол, 2-(диметиламинофенилметил)-4-фенил-1-(3-фенилпропил)циклогексанол, 2-(диметиламинофенилметил)-1-(4-метоксифенил)-4-фенилциклогексанол, 2-(диметиламинофенилметил)-1-(2-метоксифенил)-4-фенилциклогексанол, 4-бензилокси-2-диметиламинометил-1-фенилциклогексанол, 1-бензил-4-бензилокси-2-диметиламинометилциклогексанол, 4-бензилокси-2-диметиламинометил-1-(4-фтор-3-метилфенил)циклогексанол, 4-бензилокси-2-диметиламинометил-1-о-толилциклогексанол, 4-бензилокси-2-диметиламинометил-1-винилциклогексанол, 4-бензилокси-1-циклопентил-2-диметиламинометилциклогексанол, 4-бензилокси-2-диметиламинометил-1-м-толилциклогексанол, 4-бензилокси-2-диметиламинометилбициклогексил-1-ол, 4-бензилокси-2-диметиламинометил-1-(4-фторфенил)циклогексанол, 4-бензилокси-2-диметиламинометил-1-фенилэтинилциклогексанол, 4-бензилокси-2-диметиламинометил-1-тиофен-2-илциклогексанол, 4-бензилокси-2-диметиламинометил-1-(3-метоксифенил)циклогексанол, 4-бензилокси-2-диметиламинометил-1-(3-фенилпропил)циклогексанол, 4-бензилокси-2-диметиламинометил-1-п-толилциклогексанол, 4-бензилокси-2-диметиламинометил-1-(4-метоксифенил)циклогексанол, 4-бензилокси-2-диметиламинометил-1-(3-фторфенил)циклогексанол, 4-бензилокси-1-(3-хлорфенил)-2-диметиламинометилциклогексанол, 4-бензилокси-2-диметиламинометил-1-(3-метоксибензил)циклогексанол, 4-бензилокси-1-(4-хлор-3-трифторметилфенил)-2-диметиламинометилциклогексанол, 4-бензилокси-2-диметиламинометил-1-(3-фторбензил)циклогексанол, 4-бензилокси-2-диметиламинометил-1-(2-метилбензил)циклогексанол, 4-бензилокси-2-диметиламинометил-1-(2,5-диметилбензил)циклогексанол, 4-(4-хлорбензил)-2-диметиламинометил-1-(3-метоксифенил)циклогексанол, 4-(4-хлорбензил)-2-диметиламинометил-1-(3-фенилпропил)циклогексанол, 4-(4-хлорбензил)-1-(2,3-дихлорфенил)-2-диметиламинометилциклогексанол, 4-(4-хлорбензил)-1-циклогексилметил-2-диметиламинометилциклогексанол, 4-(4-хлорбензил)-2-диметиламинометил-1-(5-фтор-2-метоксифенил)циклогексанол, 4-(4-хлорбензил)-2-диметиламинометил-1-(3-фторфенил)циклогексанол, 4-(4-хлорбензил)-1-(3-хлорфенил)-2-диметиламинометилциклогексанол, 4-(4-хлорбензил)-1-(3,5-дихлорфенил)-2-диметиламинометилциклогексанол, 4-(4-хлорбензил)-1-(2-хлорбензил)-2-диметиламинометилциклогексанол, 4-(4-хлорбензил)-2-диметиламинометил-1-(4-фторбензил)циклогексанол, 4-(4-хлорбензил)-2-диметиламинометил-1-(3-фторбензил)циклогексанол, 4-(4-хлорбензил)-2-диметиламинометил-1-(2-метоксифенил)циклогексанол, 4-(4-хлорбензил)-2-диметиламинометил-1-(2-метилбензил)циклогексанол, 4-(4-хлорбензил)-2-диметиламинометил-1-(3-метилбензил)циклогексанол, 1,4-бис(4-хлорбензил)-2-диметиламинометилциклогексанол, 4-(4-хлорбензил)-1-(2-хлор-6-фторбензил)-2-диметиламинометилциклогексанол, 4-(4-хлорбензил)-2-диметиламинометил-1-(2,5-диметилбензил)циклогексанол, 4-(4-хлорбензил)-1-(3-хлорбензил)-2-диметиламинометилциклогексанол, 4-(4-хлорбензил)-1-(2,4-дихлорбензил)-2-диметиламинометилциклогексанол, 4-(4-хлорбензил)-2-диметиламинометил-1-фенилциклогексанол, 4-(4-хлорбензил)-1-(4-хлорфенил)-2-диметиламинометилциклогексанол, 4-(4-хлорбензил)-2-диметиламинометил-1-(4-фтор-3-метилфенил)циклогексанол, 4-(4-хлорбензил)-2-диметиламинометил-1-о-толилциклогексанол, 4-(4-хлорбензил)-2-диметиламинометил-1-винилциклогексанол, 4-(4-хлорбензил)-1-циклопентил-2-диметиламинометилциклогексанол, 4-(4-хлорбензил)-2-диметиламинометил-1-м-толилциклогексанол, 4-(4-хлорбензил)-2-диметиламинометилбициклогексил-1-ол, 4-(4-хлорбензил)-2-диметиламинометил-1-(4-фторфенил)циклогексанол, 4-(4-хлорбензил)-2-диметиламинометил-1-фенетилциклогексанол, 4-(4-хлорбензил)-2-диметиламинометил-1-фенилэтинилциклогексанол, 4-(4-хлорбензил)-2-диметиламинометил-1-тиофен-2-илциклогексанол, 4-(4-хлорбензил)-2-диметиламинометил-1-п-толилциклогексанол, 4-(4-хлорбензил)-2-диметиламинометил-1-(4-метоксифенил)циклогексанол, 4-(4-хлорбензил)-2-диметиламинометил-1-триметилсиланилэтинилциклогексанол, 4-(4-хлорбензил)-1-(4-хлор-3-трифторметилфенил)-2-диметиламинометилциклогексанол, 4-(4-хлорбензил)-1-(3-хлор-4-фторфенил)-2-диметиламинометилциклогексанол, 4-(4-хлорбензил)-2-диметиламинометил-1-(3-трифторметилфенил)циклогексанол, 2-диметиламинометил-4-(4-фторбензил)-1-фенилциклогексанол, 1-(4-хлорфенил)-2-диметиламинометил-4-(4-фторбензил)циклогексанол, 1-бензил-2-диметиламинометил-4-(4-фторбензил)циклогексанол, 2-диметиламинометил-4-(4-фторбензил)-1-(4-фтор-3-метилфенил)циклогексанол, 2-диметиламинометил-4-(4-фторбензил)-1-о-толилциклогексанол, 2-диметиламинометил-4-(4-фторбензил)-1-винилциклогексанол, 1-(4-трет-бутилфенил)-2-диметиламинометил-4-(4-фторбензил)циклогексанол, 1-циклопентил-2-диметиламинометил-4-(4-фторбензил)циклогексанол, 2-диметиламинометил-4-(4-фторбензил)-1-м-толилциклогексанол, 2-диметиламинометил-4-(4-фторбензил)бициклогексил-1-ол, 2-диметиламинометил-4-(4-фторбензил)-1-(4-фторфенил)циклогексанол, 2-диметиламинометил-4-(4-фторбензил)-1-фенетилциклогексанол, 2-диметиламинометил-4-(4-фторбензил)-1-фенилэтинилциклогексанол, 2-диметиламинометил-4-(4-фторбензил)-1-тиофен-2-илциклогексанол, 2-диметиламинометил-4-(4-фторбензил)-1-(3-метоксифенил)циклогексанол, 2-диметиламинометил-4-(4-фторбензил)-1-(3-фенилпропил)циклогексанол, 1-(2,3-дихлорфенил)-2-диметиламинометил-4-(4-фторбензил)циклогексанол, 2-диметиламинометил-4-(4-фторбензил)-1-п-толилциклогексанол, 2-диметиламинометил-4-(4-фторбензил)-1-(4-метоксифенил)циклогексанол, 1-циклогексилметил-2-диметиламинометил-4-(4-фторбензил)циклогексанол, 2-диметиламинометил-4-(4-фторбензил)-1-(5-фтор-2-метоксифенил)циклогексанол, 2-диметиламинометил-4-(4-фторбензил)-1-(3-фторфенил)циклогексанол, 1-(3-хлорфенил)-2-диметиламинометил-4-(4-фторбензил)циклогексанол, 1-(3,5-дихлорфенил)-2-диметиламинометил-4-(4-фторбензил)циклогексанол, 1-(2-хлорбензил)-2-диметиламинометил-4-(4-фторбензил)циклогексанол, 2-диметиламинометил-1,4-бис(4-фторбензил)циклогексанол, 2-диметиламинометил-4-(4-фторбензил)-1-(3-метоксибензил)циклогексанол, 1-(4-хлор-3-трифторметилфенил)-2-диметиламинометил-4-(4-фторбензил)циклогексанол, 2-диметиламинометил-4-(4-фторбензил)-1-(3-фторбензил)циклогексанол, 2-диметиламинометил-4-(4-фторбензил)-1-(2-метоксифенил)циклогексанол, 2-диметиламинометил-4-(4-фторбензил)-1-(2-метилбензил)циклогексанол, 1-(3-хлор-4-фторфенил)-2-диметиламинометил-4-(4-фторбензил)циклогексанол, 2-диметиламинометил-4-(4-фторбензил)-1-(3-трифторметилфенил)циклогексанол, 2-диметиламинометил-4-(4-фторбензил)-1-(3-метилбензил)циклогексанол, 1-(4-хлорбензил)-2-диметиламинометил-4-(4-фторбензил)циклогексанол, 1-(2-хлор-6-фторбензил)-2-диметиламинометил-4-(4-фторбензил)циклогексанол, 2-диметиламинометил-1-(2,5-диметилбензил)-4-(4-фторбензил)циклогексанол, 1-(3-хлорбензил)-2-диметиламинометил-4-(4-фторбензил)циклогексанол, 1-(2,4-дихлорбензил)-2-диметиламинометил-4-(4-фторбензил)циклогексанол, 2-диметиламинометил-4-(3-метоксибензил)-1-фенилциклогексанол, 1-бензил-2-диметиламинометил-4-(3-метоксибензил)циклогексанол, 2-диметиламинометил-1-(4-фтор-3-метилфенил)-4-(3-метоксибензил)циклогексанол, 2-диметиламинометил-4-(3-метоксибензил)-1-о-толилциклогексанол, 2-диметиламинометил-4-(3-метоксибензил)-1-винилциклогексанол, 1-(4-трет-бутилфенил)-2-диметиламинометил-4-(3-метоксибензил)циклогексанол, 1-циклопентил-2-диметиламинометил-4-(3-метоксибензил)циклогексанол, 2-диметиламинометил-4-(3-метоксибензил)-1-м-толилциклогексанол, 2-диметиламинометил-4-(3-метоксибензил)бициклогексил-1-ол, 2-диметиламинометил-4-(3-метоксибензил)-1-фенетилциклогексанол, 2-диметиламинометил-4-(3-метоксибензил)-1-фенилэтинилциклогексанол, 2-диметиламинометил-4-(3-метоксибензил)-1-тиофен-2-илциклогексанол, 2-диметиламинометил-4-(3-метоксибензил)-1-(3-метоксифенил)циклогексанол, 2-диметиламинометил-4-(3-метоксибензил)-1-(3-фенилпропил)циклогексанол, 1-(2,3-дихлорфенил)-2-диметиламинометил-4-(3-метоксибензил)циклогексанол, 2-диметиламинометил-4-(3-метоксибензил)-1-п-толилциклогексанол, 1-циклогексилметил-2-диметиламинометил-4-(3-метоксибензил)циклогексанол, 2-диметиламинометил-1-(5-фтор-2-метоксифенил)-4-(3-метоксибензил)циклогексанол, 1-(3-хлорфенил)-2-диметиламинометил-4-(3-метоксибензил)циклогексанол, 1-(3,5-дихлорфенил)-2-диметиламинометил-4-(3-метоксибензил)циклогексанол, 1-(4-хлор-3-трифторметилфенил)-2-диметиламинометил-4-(3-метоксибензил)циклогексанол, 2-диметиламинометил-1-(3-фторбензил)-4-(3-метоксибензил)циклогексанол, 2-диметиламинометил-4-(3-метоксибензил)-1-(2-метоксифенил)циклогексанол, 2-диметиламинометил-4-(3-метоксибензил)-1-(3-трифторметилфенил)циклогексанол, 1-(2-хлор-6-фторбензил)-2-диметиламинометил-4-(3-метоксибензил)циклогексанол, 2-диметиламинометил-1-(2,5-диметилбензил)-4-(3-метоксибензил)циклогексанол, 1-(3-хлорбензил)-2-диметиламинометил-4-(3-метоксибензил)циклогексанол, 2-диметиламинометил-4-(4-фторбензилокси)-1-фенилциклогексанол, 1-бензил-2-диметиламинометил-4-(4-фторбензилокси)циклогексанол, 2-диметиламинометил-4-(4-фторбензилокси)-1-(4-фтор-3-метилфенил)циклогексанол, 2-диметиламинометил-4-(4-фторбензилокси)-1-винилциклогексанол, 1-(4-трет-бутилфенил)-2-диметиламинометил-4-(4-фторбензилокси)циклогексанол, 1-циклопентил-2-диметиламинометил-4-(4-фторбензилокси)циклогексанол, 2-диметиламинометил-4-(4-фторбензилокси)-1-м-толилциклогексанол, 2-диметиламинометил-4-(4-фторбензилокси)бициклогексил-1-ол, 2-диметиламинометил-4-(4-фторбензилокси)-1-фенетилциклогексанол, 2-диметиламинометил-4-(4-фторбензилокси)-1-фенилэтинилциклогексанол, 2-диметиламинометил-4-(4-фторбензилокси)-1-тиофен-2-илциклогексанол, 2-диметиламинометил-4-(4-фторбензилокси)-1-(3-метоксифенил)циклогексанол, 2-диметиламинометил-4-(4-фторбензилокси)-1-п-толилциклогексанол, 1-циклогексилметил-2-диметиламинометил-4-(4-фторбензилокси)циклогексанол, 2-диметиламинометил-1-(3-фторбензил)-4-(4-фторбензилокси)циклогексанол, 2-диметиламинометил-4-(4-фторбензилокси)-1-(2-метоксифенил)циклогексанол, 2-диметиламинометил-4-(4-фторбензилокси)-1-(3-метилбензил)циклогексанол, 2-диметиламинометил-1-(2,5-диметилбензил)-4-(4-фторбензилокси)циклогексанол, 1-(3-хлорбензил)-2-диметиламинометил-4-(4-фторбензилокси)циклогексанол, [5-бензилокси-2-(3-метоксифенил)циклогексилметил]диметиламин, [5-(3-хлорбензилокси)-2-(3-метоксифенил)циклогексилметил]диметиламин, [2-(3-метоксифенил)-5-(нафталин-2-илметокси)циклогексилметил]диметиламин, [5-(3-метоксибензилокси)-2-(3-метоксифенил)циклогексилметил]диметиламин, [5-(4-хлорбензилокси)-2-(3-метоксифенил)циклогексилметил]диметиламин, [5-(4-метоксибензилокси)-2-(3-метоксифенил)циклогексилметил]диметиламин, 2-диметиламинометил-1-(3-метоксифенил)-4-(нафталин-2-илметокси)циклогексанол, [5-(4-метоксибензилокси)-2-(3-метоксифенил)циклогекс-2-енилметил]диметиламин, 3-диметиламинометил-4-гидрокси-4-(3-метоксифенил)циклогексиловый эфир масляной кислоты, 4-амино-2-диметиламинометил-1-(3-метоксифенил)циклогексанол, 2-диметиламинометил-1-(3-метоксифенил)-4-(нафталин-2-илметокси)циклогексанол, 3-диметиламинометил-4-гидрокси-4-(3-метоксифенил)циклогексиловый эфир 4-метоксибензойной кислоты, 3-диметиламинометил-4-гидрокси-4-(3-метоксифенил)циклогексиловый эфир 3-метоксибензойной кислоты, 3-диметиламинометил-4-гидрокси-4-(3-метоксифенил)циклогексиловый эфир 2,2-диметилпропионовой кислоты, 3-диметиламинометил-4-гидрокси-4-(3-метоксифенил)циклогексиловый эфир масляной кислоты, 3-диметиламинометил-4-гидрокси-4-(3-метоксифенил)циклогексиловый эфир 4-метоксибензойной кислоты, 3-диметиламинометил-4-гидрокси-4-(3-метоксифенил)циклогексиловый эфир 3-метоксибензойной кислоты, 3-диметиламинометил-4-гидрокси-4-(3-метоксифенил)циклогексиловый эфир 2,2-диметилпропионовой кислоты, 3-диметиламинометил-4-гидрокси-4-(3-метоксифенил)циклогексиловый эфир 3,4-диметоксибензойной кислоты, 3-диметиламинометил-4-гидрокси-4-(3-метоксифенил)циклогексиловый эфир 3,4-диметоксибензойной кислоты, 3-диметиламинометил-4-гидрокси-4-(3-метоксифенил)циклогексиловый эфир нафталин-2-карбоновой кислоты, 3-диметиламинометил-4-гидрокси-4-(3-метоксифенил)циклогексиловый эфир 4-метилбензойной кислоты, 3-диметиламинометил-4-гидрокси-4-(3-метоксифенил)циклогексиловый эфир 3,4-дихлорбензойной кислоты, 3-диметиламинометил-4-гидрокси-4-(3-метоксифенил)циклогексиловый эфир 4-хлорбензойной кислоты, 3-диметиламинометил-4-гидрокси-4-(3-метоксифенил)циклогексиловый эфир 3-хлорбензойной кислоты, 3-диметиламинометил-4-гидрокси-4-(3-метоксифенил)циклогексиловый эфир 2-хлорбензойной кислоты, 3-диметиламинометил-4-гидрокси-4-(3-метоксифенил)циклогексиловый эфир 4-трифторметилбензойной кислоты, 3-диметиламинометил-4-гидрокси-4-(3-метоксифенил)циклогексиловый эфир 3,5-дифторбензойной кислоты, 3-диметиламинометил-4-гидрокси-4-(3-метоксифенил)циклогексиловый эфир 4-фторбензойной кислоты, 3-диметиламинометил-4-гидрокси-4-(3-метоксифенил)циклогексиловый эфир 3-фторбензойной кислоты, 3-диметиламинометил-4-гидрокси-4-(3-метоксифенил)циклогексиловый эфир 2-фторбензойной кислоты, 3-диметиламинометил-4-гидрокси-4-(3-метоксифенил)циклогексиловый эфир циклопентанкарбоновой кислоты, 3-диметиламинометил-4-гидрокси-4-(3-метоксифенил)циклогексиловый эфир (4-метоксифенил)уксусной кислоты, 3-диметиламинометил-4-гидрокси-4-(3-метоксифенил)циклогексиловый эфир (3-метоксифенил)уксусной кислоты, 3-диметиламинометил-4-гидрокси-4-(3-метоксифенил)циклогексиловый эфир фенилуксусной кислоты, 3-диметиламинометил-4-гидрокси-4-(3-метоксифенил)циклогексиловый эфир 3,4,5-триметоксибензойной кислоты, 3-диметиламинометил-4-гидрокси-4-(3-метоксифенил)циклогексиловый эфир 3,5-диметоксибензойной кислоты, 3-диметиламинометил-4-гидрокси-4-(3-метоксифенил)циклогексиловый эфир нафталин-1-карбоновой кислоты, 3-диметиламинометил-4-гидрокси-4-(3-метоксифенил)циклогексиловый эфир 2-метоксибензойной кислоты, 3-диметиламинометил-4-гидрокси-4-(3-метоксифенил)циклогексиловый эфир нафталин-2-карбоновой кислоты, 3-диметиламинометил-4-гидрокси-4-(3-метоксифенил)циклогексиловый эфир 2-гидроксибензойной кислоты, 3-диметиламинометил-4-гидрокси-4-(3-метоксифенил)циклогексиловый эфир 4-метилбензойной кислоты, 3-диметиламинометил-4-гидрокси-4-(3-метоксифенил)циклогексиловый эфир 3,4-дихлорбензойной кислоты, 3-диметиламинометил-4-гидрокси-4-(3-метоксифенил)циклогексиловый эфир 4-хлорбензойной кислоты, 3-диметиламинометил-4-гидрокси-4-(3-метоксифенил)циклогексиловый эфир 3-хлорбензойной кислоты, 3-диметиламинометил-4-гидрокси-4-(3-метоксифенил)циклогексиловый эфир 2-хлорбензойной кислоты, 3-диметиламинометил-4-гидрокси-4-(3-метоксифенил)циклогексиловый эфир 4-трифторметилбензойной кислоты, 3-диметиламинометил-4-гидрокси-4-(3-метоксифенил)циклогексиловый эфир 3,5-дифторбензойной кислоты, 3-диметиламинометил-4-гидрокси-4-(3-метоксифенил)циклогексиловый эфир 4-фторбензойной кислоты, 3-диметиламинометил-4-гидрокси-4-(3-метоксифенил)циклогексиловый эфир 3-фторбензойной кислоты, 3-диметиламинометил-4-гидрокси-4-(3-метоксифенил)циклогексиловый эфир 2-фторбензойной кислоты, 3-диметиламинометил-4-гидрокси-4-(3-метоксифенил)циклогексиловый эфир циклопентанкарбоновой кислоты, 3-диметиламинометил-4-гидрокси-4-(3-метоксифенил)циклогексиловый эфир (4-метоксифенил)уксусной кислоты, 3-диметиламинометил-4-гидрокси-4-(3-метоксифенил)циклогексиловый эфир (3-метоксифенил)уксусной кислоты, 3-диметиламинометил-4-гидрокси-4-(3-метоксифенил)циклогексиловый эфир фенилуксусной кислоты, 3-диметиламинометил-4-гидрокси-4-(3-метоксифенил)циклогексиловый эфир 3,4,5-триметоксибензойной кислоты, 3-диметиламинометил-4-гидрокси-4-(3-метоксифенил)циклогексиловый эфир 3,5-диметоксибензойной кислоты, 3-диметиламинометил-4-гидрокси-4-(3-метоксифенил)циклогексиловый эфир нафталин-1-карбоновой кислоты, 3-диметиламинометил-4-гидрокси-4-(3-метоксифенил)циклогексиловый эфир 2-метоксибензойной кислоты, 2-диметиламинометил-1,4-бис(3-метоксифенил)циклогексан-1,4-диол, 2-диметиламинометил-1,4-бис(3-метоксифенил)циклогексан-1,4-диол, 6-(4-бензилокси-2-диметиламинометил-1-гидроксициклогексил)нафталин-2-ол, 4-бензилокси-2-диметиламинометил-1-(6-метоксинафталин-2-ил)циклогексанол, 3-диметиламинометил-4-гидрокси-4-(3-метоксифенил)циклогексиловый эфир масляной кислоты, 3-диметиламинометил-4-гидрокси-4-(3-метоксифенил)циклогексиловый эфир масляной кислоты, 2-диметиламинометил-1-(3-метоксифенил)-4-метиламиноциклогексанол, 2-диметиламинометил-1-(3-метоксифенил)-4-метиламиноциклогексанол, 3-диметиламинометил-4-гидрокси-4-(3-метоксифенил)циклогексиловый эфир валериановой кислоты, этиловый эфир [3-диметиламинометил-4-гидрокси-4-(3-метоксифенил)циклогексилиден]уксусной кислоты, этиловый эфир [3-диметиламинометил-4-гидрокси-4-(3-метоксифенил)циклогексилиден]уксусной кислоты, 3-[2-диметиламинометил-4-(4-фторбензилокси)-1-гидроксициклогексил]фенол, 4-бензилокси-2-диметиламинометил-1-(3-фенилпропил)циклогексанол, 2-диметиламинометил-4-(4-фторбензилокси)-1-(3-фенилпропил)циклогексанол, 2-диметиламинометил-1-(3-фторбензил)-4-(4-фторбензилокси)циклогексанол, 4-бензилокси-2-диметиламинометил-1-(3-фторбензил)циклогексанол, 2-диметиламинометил-4-(4-фторбензилокси)-1-п-толилциклогексанол, 4-бензилокси-2-диметиламинометил-1-п-толилциклогексанол, 2-диметиламинометил-1-(2,5-диметилбензил)-4-(4-фторбензилокси)циклогексанол, 4-бензилокси-2-диметиламинометил-1-(2,5-диметилбензил)циклогексанол, 1-(4-хлор-3-трифторметилфенил)-2-диметиламинометил-4-(4-фторбензилокси)циклогексанол, 4-бензилокси-1-(4-хлор-3-трифторметилфенил)-2-диметиламинометилциклогексанол, [2,5-бис(4-фторбензилокси)-2-(3-метоксифенил)циклогексилметил]диметиламин, 5-диметиламинометил-4-(3-метоксифенил)циклогекс-3-енол, 2-диметиламинометил-1-(6-метоксинафталин-2-ил)циклогексан-1,4-диол, 3-диметиламинометил-4-гидрокси-4-(6-метоксинафталин-2-ил)циклогексиловый эфир масляной кислоты, 4-гидрокси-3-(4-метилпиперазин-1-илметил)-4-нафталин-2-илциклогексиловый эфир бензойной кислоты, 4-гидрокси-3-(4-метилпиперазин-1-илметил)-4-нафталин-2-илциклогексиловый эфир 2-хлорбензойной кислоты, 4-гидрокси-3-(4-метилпиперазин-1-илметил)-4-нафталин-2-илциклогексиловый эфир 3-хлорбензойной кислоты, 4-гидрокси-3-(4-метилпиперазин-1-илметил)-4-нафталин-2-илциклогексиловый эфир 4-хлорбензойной кислоты, 4-гидрокси-3-(4-метилпиперазин-1-илметил)-4-нафталин-2-илциклогексиловый эфир 2-фторбензойной кислоты, 4-гидрокси-3-(4-метилпиперазин-1-илметил)-4-нафталин-2-илциклогексиловый эфир 3-фторбензойной кислоты, 4-гидрокси-3-(4-метилпиперазин-1-илметил)-4-нафталин-2-илциклогексиловый эфир 4-фторбензойной кислоты, 4-гидрокси-3-(4-метилпиперазин-1-илметил)-4-нафталин-2-илциклогексиловый эфир 2-метилбензойной кислоты, 4-гидрокси-3-(4-метилпиперазин-1-илметил)-4-нафталин-2-илциклогексиловый эфир 3-метилбензойной кислоты, 4-гидрокси-3-(4-метилпиперазин-1-илметил)-4-нафталин-2-илциклогексиловый эфир 4-метилбензойной кислоты, 4-гидрокси-3-(4-метилпиперазин-1-илметил)-4-нафталин-2-илциклогексиловый эфир 2-метоксибензойной кислоты, 4-гидрокси-3-(4-метилпиперазин-1-илметил)-4-нафталин-2-илциклогексиловый эфир 3-метоксибензойной кислоты, 4-гидрокси-3-(4-метилпиперазин-1-илметил)-4-нафталин-2-илциклогексиловый эфир 4-метоксибензойной кислоты, 4-гидрокси-3-(4-метилпиперазин-1-илметил)-4-нафталин-2-илциклогексиловый эфир 2,6-дихлорбензойной кислоты, 4-гидрокси-3-(4-метилпиперазин-1-илметил)-4-нафталин-2-илциклогексиловый эфир 2,6-дифторбензойной кислоты, 4-гидрокси-3-(4-метилпиперазин-1-илметил)-4-нафталин-2-илциклогексиловый эфир 2-хлор-5-фторбензойной кислоты, 4-гидрокси-3-(4-метилпиперазин-1-илметил)-4-нафталин-2-илциклогексиловый эфир дифенил-4-карбоновой кислоты, 4-гидрокси-4-(6-метоксинафталин-2-ил)-3-(4-метилпиперазин-1-илметил)циклогексиловый эфир 2-хлорбензойной кислоты, 4-гидрокси-4-(6-метоксинафталин-2-ил)-3-(4-метилпиперазин-1-илметил)циклогексиловый эфир 3-хлорбензойной кислоты, 4-гидрокси-4-(6-метоксинафталин-2-ил)-3-(4-метилпиперазин-1-илметил)циклогексиловый эфир 4-хлорбензойной кислоты, 4-гидрокси-4-(6-метоксинафталин-2-ил)-3-(4-метилпиперазин-1-илметил)циклогексиловый эфир 2-фторбензойной кислоты, 4-гидрокси-4-(6-метоксинафталин-2-ил)-3-(4-метилпиперазин-1-илметил)циклогексиловый эфир 3-фторбензойной кислоты, 4-гидрокси-4-(6-метоксинафталин-2-ил)-3-(4-метилпиперазин-1-илметил)циклогексиловый эфир 4-фторбензойной кислоты, 4-гидрокси-4-(6-метоксинафталин-2-ил)-3-(4-метилпиперазин-1-илметил)циклогексиловый эфир 2-метилбензойной кислоты, 4-гидрокси-4-(6-метоксинафталин-2-ил)-3-(4-метилпиперазин-1-илметил)циклогексиловый эфир 3-метилбензойной кислоты, 4-гидрокси-4-(6-метоксинафталин-2-ил)-3-(4-метилпиперазин-1-илметил)циклогексиловый эфир 4-метилбензойной кислоты, 4-гидрокси-4-(6-метоксинафталин-2-ил)-3-(4-метилпиперазин-1-илметил)циклогексиловый эфир 2-метоксибензойной кислоты, 4-гидрокси-4-(6-метоксинафталин-2-ил)-3-(4-метилпиперазин-1-илметил)циклогексиловый эфир 3-метоксибензойной кислоты, 4-гидрокси-4-(6-метоксинафталин-2-ил)-3-(4-метилпиперазин-1-илметил)циклогексиловый эфир 4-метоксибензойной кислоты, 4-гидрокси-4-(6-метоксинафталин-2-ил)-3-(4-метилпиперазин-1-илметил)циклогексиловый эфир 2,6-дихлорбензойной кислоты, 4-гидрокси-4-(6-метоксинафталин-2-ил)-3-(4-метилпиперазин-1-илметил)циклогексиловый эфир 2,6-фторбензойной кислоты, 4-гидрокси-4-(6-метоксинафталин-2-ил)-3-(4-метилпиперазин-1-илметил)циклогексиловый эфир 2-хлор-6-фторбензойной кислоты, 4-гидрокси-4-(6-метоксинафталин-2-ил)-3-(4-метилпиперазин-1-илметил)циклогексиловый эфир дифенил-4-карбоновой кислоты, 4-(2-хлорбензилокси)-2-(4-метилпиперазин-1-илметил)-1-нафталин-2-илциклогексанол, 4-(3-хлорбензилокси)-2-(4-метилпиперазин-1-илметил)-1-нафталин-2-илциклогексанол, 4-(4-хлорбензилокси)-2-(4-метилпиперазин-1-илметил)-1-нафталин-2-илциклогексанол, 4-(2-фторбензилокси)-2-(4-метилпиперазин-1-илметил)-1-нафталин-2-илциклогексанол, 4-(3-фторбензилокси)-2-(4-метилпиперазин-1-илметил)-1-нафталин-2-илциклогексанол, 4-(4-фторбензилокси)-2-(4-метилпиперазин-1-илметил)-1-нафталин-2-илциклогексанол, 4-(2-метилбензилокси)-2-(4-метилпиперазин-1-илметил)-1-нафталин-2-илциклогексанол, 4-(3-метилбензилокси)-2-(4-метилпиперазин-1-илметил)-1-нафталин-2-илциклогексанол, 4-(4-метилбензилокси)-2-(4-метилпиперазин-1-илметил)-1-нафталин-2-илциклогексанол, 4-(2-метоксибензилокси)-2-(4-метилпиперазин-1-илметил)-1-нафталин-2-илциклогексанол, 4-(3-метоксибензилокси)-2-(4-метилпиперазин-1-илметил)-1-нафталин-2-илциклогексанол, 4-(4-метоксибензилокси)-2-(4-метилпиперазин-1-илметил)-1-нафталин-2-илциклогексанол, 4-(2,6-дихлорбензилокси)-2-(4-метилпиперазин-1-илметил)-1-нафталин-2-илциклогексанол, 4-(2,6-дифторбензилокси)-2-(4-метилпиперазин-1-илметил)-1-нафталин-2-илциклогексанол, 4-(2-хлор-6-фторбензилокси)-2-(4-метилпиперазин-1-илметил)-1-нафталин-2-илциклогексанол, 4-(2-хлорбензилокси)-1-(6-метоксинафталин-2-ил)-2-(4-метилпиперазин-1-илметил)циклогексанол, 4-(3-хлорбензилокси)-1-(6-метоксинафталин-2-ил)-2-(4-метилпиперазин-1-илметил)циклогексанол, 4-(4-хлорбензилокси)-1-(6-метоксинафталин-2-ил)-2-(4-метилпиперазин-1-илметил)циклогексанол, 4-(2-фторбензилокси)-1-(6-метоксинафталин-2-ил)-2-(4-метилпиперазин-1-илметил)циклогексанол, 4-(3-фторбензилокси)-1-(6-метоксинафталин-2-ил)-2-(4-метилпиперазин-1-илметил)циклогексанол, 4-(4-фторбензилокси)-1-(6-метоксинафталин-2-ил)-2-(4-метилпиперазин-1-илметил)циклогексанол, 4-(2-метилбензилокси)-1-(6-метоксинафталин-2-ил)-2-(4-метилпиперазин-1-илметил)циклогексанол, 4-(3-метилбензилокси)-1-(6-метоксинафталин-2-ил)-2-(4-метилпиперазин-1-илметил)циклогексанол, 4-(4-метилбензилокси)-1-(6-метоксинафталин-2-ил)-2-(4-метилпиперазин-1-илметил)циклогексанол, 4-(2-метоксибензилокси)-1-(6-метоксинафталин-2-ил)-2-(4-метилпиперазин-1-илметил)циклогексанол, 4-(3-метоксибензилокси)-1-(6-метоксинафталин-2-ил)-2-(4-метилпиперазин-1-илметил)циклогексанол, 4-(4-метоксибензилокси)-1-(6-метоксинафталин-2-ил)-2-(4-метилпиперазин-1-илметил)циклогексанол, 4-(2,6-дихлорбензилокси)-1-(6-метоксинафталин-2-ил)-2-(4-метилпиперазин-1-илметил)циклогексанол, 4-(2,6-дифторбензилокси)-1-(6-метоксинафталин-2-ил)-2-(4-метилпиперазин-1-илметил)циклогексанол, 4-(2-хлор-6-фторбензилокси)-1-(6-метоксинафталин-2-ил)-2-(4-метилпиперазин-1-илметил)циклогексанол, 2-диметиламинометил-4-(4-фторбензилокси)-1-нафталин-2-илциклогексанол, 3-диметиламинометил-4-гидрокси-4-(6-метоксинафталин-2-ил)циклогексиловый эфир 4-фторбензойной кислоты, 3-диметиламинометил-4-гидрокси-4-нафталин-2-илциклогексиловый эфир 4-фторбензойной кислоты, 2-диметиламинометил-4-(4-фторбензилокси)-1-(6-метоксинафталин-2-ил)циклогексанол, 6-[2-диметиламинометил-4-(4-фторбензилокси)-1-гидроксициклогексил]нафталин-2-ол, необязательно в виде их рацематов, их чистых стереоизомеров, прежде всего энантиомеров или диастереомеров, либо в виде смесей стереоизомеров, прежде всего энантиомеров или диастереомеров, в любом их соотношении в смеси, в представленном виде или в виде их кислот или их оснований либо в виде их солей, прежде всего физиологически совместимых солей, или в виде их сольватов, прежде всего гидратов, в первую очередь в виде гидрохлорида или дигидрохлорида. Предлагаемые в изобретении соединения являются токсикологически безвредными и поэтому пригодны для применения в качестве фармацевтического действующего вещества в лекарственных средствах. В соответствии с этим еще одним объектом настоящего изобретения являются лекарственные средства, содержащие по меньшей мере одно предлагаемое в изобретении замещенное производное С-циклогексилметиламина, необязательно в сочетании с приемлемыми добавками и/или вспомогательными веществами и/или необязательно с другими действующими веществами. Предлагаемые в изобретении лекарственные средства помимо по меньшей мере одного замещенного производного С-циклогексилметиламина необязательно содержат приемлемые добавки и/или вспомогательные вещества, в том числе носители, наполнители, растворители, разбавители, красители и/или связующие, и их можно применять в качестве жидких лекарственных форм в виде растворов для инъекций, капель или микстур, а также в виде полутвердых лекарственных форм в виде гранулятов, таблеток, пилюль, бляшек, капсул, пластырей или аэрозолей. Выбор вспомогательных и иных веществ, а также применяемое их количество зависят от того, предназначено ли лекарственное средство для орального, перорального, парентерального, внутривенного, внутрибрюшинного, интрадермального, внутримышечного, интраназального, трансбуккального, ректального или местного применения, например нанесения на кожу, на слизистые оболочки или введения в глаза. Для орального применения пригодны композиции в виде таблеток, драже, капсул, гранулятов, капель, микстур и сиропов, а для парентерального, местного и ингаляционного применения пригодны растворы, суспензии, легко восстанавливаемые сухие композиции, а также спреи. Предлагаемые в изобретении замещенные производные С-циклогексилметиламина в депо-форме, в растворенном виде или в заделанном в пластырь виде, необязательно с добавлением способствующих проникновению через кожу средств, пригодны также для чрескожного введения. Предназначенные для перорального или чрескожного введения лекарственные формы могут представлять собой ретард-формы, которые обеспечивают замедленное высвобождение предлагаемых в изобретении замещенных производных С-циклогексилметиламина. В принципе в состав предлагаемых в изобретении лекарственных средств можно включать и иные, известные специалистам действующие вещества. Вводимое пациенту количество действующего вещества варьируется в зависимости от веса пациента, пути введения, показаний к применению и степени тяжести заболевания. Обычно по меньшей мере одно предлагаемое в изобретении замещенное производное С-циклогексилметиламина вводят в организм в количестве, составляющем от 0,005 до 1000 мг/кг, предпочтительно от 0,05 до 5 мг/кг веса тела. В одном из предпочтительных вариантов содержащееся в лекарственном средстве замещенное производное С-циклогексилметиламина по изобретению представлено в виде чистого диастереомера и/или энантиомера, в виде рацемата или в виде неэквимолярной либо эквимолярной смеси диастереомеров и/или энантиомеров. Еще одним объектом изобретения является применение предлагаемого в нем замещенного производного С-циклогексилметиламина для получения лекарственного средства, предназначенного для лечения боли, прежде всего невропатических или хронических болей. При этом может оказаться предпочтительным использовать замещенное производное С-циклогексилметиламина, представленное в пп.1-11 формулы изобретения, в виде чистого диастереомера и/или энантиомера, в виде рацемата или в виде неэквимолярной либо эквимолярной смеси диастереомеров и/или энантиомеров. Следующим объектом изобретения является способ получения предлагаемого в нем замещенного производного С-циклогексилметиламина, как это более подробно рассмотрено в последующем описании и примерах. Некоторые методы получения предлагаемых в изобретении соединений общей формулы I, которые (методы) используются в настоящем изобретении аналогичным образом, уже известны из DE 19547766 (I.Graudums и др., Grünenthal GmbH, 1995). Для получения предлагаемых в изобретении соединений общей формулы I, в которых А не обозначает водород, описанные у Graudums и др. методы комбинировались с известными из литературы методами получения замещенных оснований Манниха (Risch и др., Houben-Weyl – Methoden der Organischen Chemie, E21b (1995), c.1925-1929; Angew. Chem. 106 (1994), c.2531-2533; Synlett (1997), c.974-976). Для получения предлагаемых в изобретении соединений, в которых обрабатывали при температуре от 20 до 120°С органическими или неорганическими кислотами или иными обезвоживающими средствами, такими как галогенангидриды кислот, необязательно проводя такую обработку в растворителе или смеси растворителей. При этом предпочтительно использовали муравьиную кислоту или бромистоводородную кислоту. В зависимости от выбранных реакционных условий таким путем получают преимущественно или же исключительно один из вышеуказанных олефинов. восстановлением двойной углерод-углеродной связи получали предлагаемые в изобретении соединения, в которых фрагмент В результате взаимодействия третичных спиртов Взаимодействием третичных спиртов Для получения предлагаемых в изобретении соединений, в которых фрагмент Предлагаемые в изобретении соединения, в которых фрагмент
Еще одним объектом настоящего изобретения является способ лечения, прежде всего обезболивающего лечения, млекопитающего или человека, которое, соответственно который нуждается в лечении болей, прежде всего хронических болей, заключающийся во введении предлагаемого в изобретении замещенного производного С-циклогексилметиламина в терапевтически эффективной дозе или предлагаемого в изобретении лекарственного средства. Ниже изобретение проиллюстрировано на примерах, не ограничивающих его объем. Примеры В приведенных ниже примерах описаны предлагаемые в изобретении соединения, а также их получение и исследования по определению их эффективности. При этом для всех примеров справедливы следующие общие положения: Используемые химикаты и растворители приобретали у традиционно предлагающих их к продаже производителей (фирмы Acros, Avocado, Aldrich, Fluka, Lancaster, Maybridge, Merck, Sigma, TCI и т.д.) либо их синтезировали самостоятельно. Анализ проводили с помощью ЯМР-спектроскопии, ESI-масс-спектроскопии и/или ЖХВР. Реакция Гриньяра 1 Уравнение реакции: Общая методика 1 (ОМ 1) Реакционный сосуд прогревали в сушильном шкафу. После этого в него загружали арилйодид и смешивали его с 1 мл ТГФ. Далее при -20°С добавляли раствор изопропилмагнийхлорида и перемешивали в течение 60 мин, после чего добавляли основание Манниха, а также дополнительно 0,25 мл ТГФ. Смеси при перемешивании давали медленно нагреться до комнатной температуры и после этого перемешивали в течение ночи. Затем реакционную смесь вновь охлаждали до -20°С и гидролизовали раствором хлорида аммония. Далее реакционную смесь трижды экстрагировали простым эфиром порциями по 3 мл. Объединенные органические фазы сушили над сульфатом магния и при 40°С концентрировали в вакууме. Очистку проводили путем осаждения гидрохлорида, для чего сырое основание растворяли примерно в 10 мл 2-бутанона на грамм основания, добавляли половину молярного эквивалента воды, а затем 1,1 молярного эквивалента хлортриметилсилана и перемешивали в течение ночи. Если же и при охлаждении до температуры примерно 4°С образование гидрохлорида не происходило, смесь, из которой должно происходить осаждение продукта, растворяли в двойном объеме воды, затем промывали тремя небольшими порциями простого эфира, значение рН водной фазы устанавливали на щелочное добавлением небольшого количеств 30%-ного едкого натра и трижды экстрагировали простым эфиром (“кислотно-основная экстракция”). Эти последние экстракты вновь объединяли и снова использовали для осаждения гидрохлорида. Реакционная смесь A: R’ обозначает Н (примеры 1-28)
а также простой эфир и сульфат магния для переработки. Реакционная смесь Б: R’ обозначает 4-F (примеры 29-50)
а также простой эфир и сульфат магния для переработки.
Реакция Гриньяра с элиминированием 1 Уравнение реакции: Проведение: см. ОМ 1. Реакционная смесь A: R’ обозначает Н (пример 51) Реакционная смесь Б: R’ обозначает 4-F (пример 52)
Ацилирование 1 Уравнение реакции: Общая методика 2 (ОМ 2) Реакционный аппарат прогревали в сушильном шкафу. Затем в него загружали хлорангидрид кислоты и смешивали с 1 мл дихлорметана. Затем при -10°С добавляли триэтиламин и перемешивали в течение 20 мин, после чего добавляли амин, растворенный в 4 мл дихлорметана. Смеси при перемешивании давали медленно нагреться до комнатной температуры и после этого перемешивали в течение ночи. Затем при комнатной температуре добавляли разбавленный раствор гидроксида калия и после этого центрифугировали. Далее фазы разделяли, органическую фазу сушили с помощью сульфата магния и концентрировали при 40°С в вакууме. Очистку проводили путем осаждения гидрохлорида, при определенных условиях после кислотно-основной экстракции (см. ОМ 1). Реакционная смесь А: (примеры 53-62)
а также сульфат магния для переработки. Реакционная смесь Б: (примеры 63 и 64)
а также сульфат магния для переработки.
Реакция Гриньяра 2 Уравнение реакции: Общая методика 3 (ОМ 3) Реакционный аппарат прогревали и продували азотом. Далее в него загружали арилйодид и смешивали с 1 мл ТГФ. Затем при -20°С добавляли раствор изопропилмагнийхлорида и перемешивали в течение 60 мин, после чего добавляли основание Манниха, а также дополнительно 0,25 мл ТГФ. Смеси при перемешивании давали медленно нагреться до комнатной температуры и после этого перемешивали в течение ночи. Затем реакционную смесь вновь охлаждали до -20°С и гидролизовали раствором хлорида аммония. Далее реакционную смесь трижды экстрагировали простым эфиром порциями по 10 мл. Объединенные органические фазы сушили над сульфатом магния и при 40°С концентрировали в вакууме. Очистку проводили путем колоночной хроматографии. В завершение очищенный продукт осаждали в виде гидрохлорида и перекристаллизовывали (см. ОМ 1). Реакционная смесь: (примеры 65-97)
а также простой эфир и сульфат магния для переработки.
В примерах, помеченных звездочкой “ Реакция Гриньяра 3 Уравнение реакции: Проведение: см. ОМ 3.
Реакция Гриньяра с элиминированием 2 Уравнение реакции: Проведение: см. ОМ 3.
Элиминирование 1 Уравнение реакции: Общая методика 4 (ОМ 4) В реакционный сосуд загружали третичный спирт и смешивали с бромистоводородной кислотой. После этого перемешивали в течение 4 ч при температуре масляной бани 80°С (при необходимости смесь перемешивали в течение ночи при комнатной температуре). Затем смесь смешивали с 40 г льда и при охлаждении значение рН устанавливали на 10-11 с помощью едкого натра, после чего трижды экстрагировали этилацетатом порциями примерно по 20 мл. Далее органические фазы объединяли, сушили над сульфатом магния и концентрировали в вакууме. Изомерные олефины разделяли колоночной хроматографией. В завершение очищенный продукт осаждали в виде гидрохлорида и перекристаллизовывали. Реакционная смесь: (примеры 106-110)
а также 32%-ный едкий натр и этилацетат для переработки. 1,2-олефины:
1,6-олефины:
Фторирование 1 Уравнение реакции: Общая методика 5 (ОМ 5) Реакционный аппарат прогревали и продували азотом. Далее в него загружали 5 мл дихлорметана и смешивали с Deoxofluor. Затем при температуре -15°С по каплям медленно добавляли эдукт, растворенный в остальном количестве дихлорметана, после чего перемешивали в течение 90 мин. После этого при охлаждении добавляли небольшое количество воды и значение рН устанавливали на 11 с помощью раствора карбоната натрия. Затем трижды экстрагировали дихлорметаном. Объединенные органические фазы сушили с помощью сульфата магния и концентрировали в вакууме. Продукт очищали колоночной хроматографией. В завершение очищенный продукт осаждали в виде гидрохлорида и перекристаллизовывали. Реакционная смесь: (пример 113) 1,50 ммоль эдукта (третичный спирт), 5,00 ммоль продукта Deoxofluor, 15 мл дихлорметана (безводного), а также 32%-ный едкий натр и этилацетат для переработки.
Фторирование 2 Уравнение реакции: Проведение: см. ОМ 5.
Реакция Гриньяра 4 Уравнение реакции: Общая методика 6 (ОМ 6) В прогретый и охлажденный до -10°С в атмосфере инертного газа реакционный сосуд загружали растворенное в ТГФ основание Манниха (400 мкл, 0,5М). После этого при перемешивании добавляли 2 эквивалента предварительно приготовленного реактива Гриньяра или литийорганического реагента (0,5-молярного в ТГФ или диэтиловом эфире, 800 мкл). Затем реакционную смесь перемешивали при комнатной температуре. Через три часа реакционную смесь вновь охлаждали до -10°С и гидролизовали раствором хлорида аммония. После этого реакционную смесь дважды экстрагировали этилацетатом и концентрировали в вакууме при 40°С. Характеристики продукта определяли с помощью MC(ESI). Используемые в описанной выше реакции реактивы Гриньяра или литийорганические реагенты получали из фенилмагнийбромида, 4-хлорфенилмагнийбромида, бензилмагнийхлорида, 4-фтор-3-метилфенилмагнийбромида, о-толилмагнийбромида, винилмагнийбромида, 4-трет-бутилфенилмагнийбромида, циклопентилмагнийхлорида, м-толилмагнийхлорида, циклогексилмагнийхлорида, 4-фторфенилмагнийбромида, фенетилмагнийбромида, фенилацетилида лития, 2-тиениллития, 1-броммагний-2,4-дихлорбензола, 3-броманизолмагнийбромида, фенилпропилмагнийбромида, 2,3-дихлорфенилмагнийбромида, п-толуилмагнийбромида, 4-броманизолмагнийбромида, циклогексилметилмагнийбромида, 2-броммагний-4-фторанизола, 3-фторфенилмагнийбромида, 3-хлорфенилмагнийбромида, 3,5-дихлорфенилмагнийбромида, 2-хлорбензилмагнийхлорида, 4-фторбензилмагнийхлорида, 3-метоксибензилмагнийхлорида, 5-броммагний-2-хлорбензотрифторида, 3-фторбензилмагнийхлорида, 2-метоксифенилмагнийбромида, 2-метилбензилмагнийхлорида, 3-хлор-4-фторфенилмагнийбромида, 3-броммагнийбензотрифторида, 3-метилбензилмагнийхлорида, 4-хлорбензилмагнийхлорида, 2-хлор-6-фторбензилмагнийхлорида, 2,5-диметилбензилмагнийхлорида, 3-хлорбензилмагнийхлорида, 2,4-дихлорбензилмагнийхлорида, 2-бромметил-1,4-диметилбензола, 4-бром-1-хлор-2-трифторметилбензола.
Алкилирование Уравнение реакции: Общая методика 7 (ОМ 7) В реакционный сосуд загружали 360 мг гидрохлорида 3-диметиламинометил-4-(3-метоксифенил)циклогексанола в 3 мл ТГФ аналитической степени чистоты (а.с.ч.), а затем добавляли 340 мг трет-бутилата калия (2,5 молярных эквивалента) и перемешивали в течение 15 мин. После этого по каплям добавляли соответствующий замещенный бензилбромид (1,5 молярных эквивалента), растворенный в 0,6 мл ТГФ а.с.ч. и перемешивали в течение 16 ч при комнатной температуре. Для переработки добавляли 2,2 мл воды, дважды экстрагировали этилацетатом порциями по 10 мл, объединенные экстракты сушили над сульфатом натрия, фильтровали и концентрировали. Сырые продукты хроматографировали на силикагеле смесью этилацетат/метанол/гексан (в объемном соотношении 1:1:1). Полученные продукты аналогично ОМ 1 переводили в соответствующие гидрохлориды с помощью хлортриметилсилана в водном 2-бутаноне. При получении [5-(4-метоксибензилокси)-2-(3-метоксифенил)циклогексилметил]диметиламина выделяли циклогексеновое производное [5-(4-метоксибензилокси)-2-(3-метоксифенил)циклогекс-2-енилметил]диметиламин в качестве побочного продукта, поскольку используемый гидрохлорид 3-диметиламинометил-4-(3-метоксифенил)циклогексанола содержал примеси соединения-предшественника, т.е. гидрохлорид 5-диметиламинометил-4-(3-метоксифенил)циклогекс-3-енола, который для получения 3-диметиламинометил-4-(3-метоксифенил)циклогексанола подвергали каталитическому гидрированию над палладием. Соединения, полученные согласно ОМ 7:
Ацилирование 2 Уравнение реакции: Общая методика 8 (ОМ 8) В сухой реакционный сосуд загружали 5 мл 0,5-молярного раствора трет-бутилата калия в ТГФ а.с.ч., после чего при -10°С добавляли 2 мл 1-молярного раствора соответствующего спирта в ТГФ а.с.ч., перемешивали в течение 30 мин, одновременно нагревая смесь до комнатной температуры, затем вновь охлаждали до -10°С, добавляли 2 мл 1,25-молярного раствора соответствующего хлорангидрида кислоты в ТГФ а.с.ч. и перемешивали в течение часа при 30°С. Для переработки при 0°С добавляли 2 мл 1-молярного раствора гидрокарбоната натрия, надосадочную ТГФ-фазу отделяли, хроматографировали на силикагеле смесью диизопропиловый эфир/метанол (в объемном соотношении 1:1) и полученный продукт аналогично ОМ 1 переводили в гидрохлорид растворением в 2-бутаноне и добавлением воды и хлортриметилсилана. Соединения, полученные при использовании в реакционной смеси согласно ОМ 8 гидрохлорида 2-диметиламинометил-1-(3-метоксифенил)циклогексан-1,4-диола (экваториальный спирт):
Соединения, полученные при использовании в реакционной смеси согласно ОМ 8 гидрохлорида 2-диметиламинометил-1-(3-метоксифенил)циклогексан-1,4-диола (аксиальный спирт):
Пример 278 Дигидрохлорид 4-амино-2-диметиламинометил-1-(3-метоксифенил)циклогексанола К раствору 2,64 г цианборогидрида натрия в 45 мл безводного метанола при перемешивании порциями добавляли 2,43 г сухого хлорида цинка и затем перемешивали в течение 30 мин. Этот раствор далее по каплям медленно добавляли к суспензии 16,7 г сухого ацетата аммония и 9,0 г 3-диметиламинометил-4-гидрокси-4-(3-метоксифенил)циклогексанона в 45 мл безводного метанола и перемешивали в течение 72 ч при комнатной температуре. Для переработки по каплям в ледяной бане добавляли 45 мл полуконцентрированной соляной кислоты, по завершении этого добавления перемешивали в течение часа и затем метанол удаляли в вакууме. К остатку при охлаждении льдом добавляли 30 г гидроксида калия и трижды экстрагировали дихлорметаном порциями по 25 мл, после чего объединенные экстракты сушили над карбонатом калия, фильтровали и концентрировали. Выделенный сырой продукт (8,8 г) хроматографировали на силикагеле. Полученные 6,25 г 4-амино-2-диметиламинометил-1-(3-метоксифенил)циклогексанола аналогично ОМ 1 переводили в соответствующий дигидрохлорид. Примеры 334 и 335 Дигидрохлорид 2-диметиламинометил-1-(3-метоксифенил)-4-метиламиноциклогексанола (экваториальный и аксиальный амин) 18,8 г 3-диметиламинометил-4-гидрокси-4-(3-метоксифенил)циклогексанона растворяли в атмосфере азота в 210 мл ТГФ а.с.ч., после чего в бане со смесью сухого льда с метанолом добавляли сначала 24,3 мл 5,6-молярного раствора метиламина в ТГФ, затем 5,72 мл ледяной уксусной кислоты и в завершение порциями добавляли триацетоксиборогидрид натрия общим количеством 20,0 г. По завершении такого добавления охлаждающую баню удаляли и перемешивали в течение 16 ч при нагревании до комнатной температуры. Для переработки добавляли 120 мл едкого натра, трижды экстрагировали диэтиловым эфиром порциями по 100 мл, экстракты объединяли, дважды промывали водой порциями по 50 мл, сушили над сульфатом натрия, фильтровали и концентрировали. 2,5 г полученного сырого продукта (17,4 г) хроматографировали на силикагеле с использованием метанола. Таким путем получили 580, соответственно 600 мг двух диастереомерных 2-диметиламинометил-1-(3-метоксифенил)-4-метиламиноциклогексанола, которые соответствуют аксиальному и экваториальному продуктам и которые аналогично ОМ 1 переводили в соответствующие дигидрохлориды. Пример 279 Гидрохлорид 2-диметиламинометил-1-(3-метоксифенил)-4-(нафталин-2-илметокси)циклогексанола 2-диметиламинометил-1-(3-метоксифенил)-4-(нафталин-2-илметокси)циклогексанол и соответствующий гидрохлорид получали аналогично ОМ 7 из гидрохлорида 2-диметиламинометил-1-(3-метоксифенил)циклогексан-1,4-диола и 2-бромметилнафталина. Пример 350 Гидрохлорид [2.5-бис(4-фторбензилокси)-2-(3-метоксифенил)циклогексилметил]диметиламина В результате взаимодействия гидрохлорида 2-диметиламинометил-1-(3-метоксифенил)циклогексан-1,4-диола с 4-фторбензилбромидом согласно ОМ 7 в качестве побочного продукта после хроматографической очистки на силикагеле получили также [2,5-бис(4-фторбензилокси)-2-(3-метоксифенил)циклогексилметил]диметиламин, который аналогично ОМ 1 переводили в соответствующий гидрохлорид. Пример 283 Гидрохлорид 3-диметиламинометил-4-гидрокси-4-(3-метоксифенил)циклогексилового эфира масляной кислоты 28,0 г 3-диметиламинометил-4-гидрокси-4-(3-метоксифенил)циклогексанона растворяли в атмосфере азота в 140 мл изопропанола, после чего порциями добавляли 1,72 г бораната натрия и перемешивали в течение часа. Для переработки сначала добавляли 91 мл 2-молярной соляной кислоты, а затем 20 мл 10-молярного едкого натра, дважды экстрагировали дихлорметаном порциями по 100 мл, объединенные экстракты сушили над сульфатом натрия, фильтровали и концентрировали. Полученный сырой продукт (29,8 г) растворяли в 500 мл ацетона и добавлением 1,82 мл воды, а затем 12,7 мл хлортриметилсилана и перемешиванием в течение ночи переводили в гидрохлорид 2-диметиламинометил-1-(3-метоксифенил)циклогексан-1,4-диола (экваториальный спирт) с выходом 25,7 г. После добавления 2-молярного раствора карбоната натрия и двукратной экстракции этилацетатом из маточного раствора удалось выделить 5,6 г обогащенного диастереоизомерного продукта восстановления, который очищали хроматографией на силикагеле с использованием смеси этилацетат/метанол (в объемном соотношении 1:3). После осаждения гидрохлорида получили 4,1 г гидрохлорида 2-диметиламинометил-1-(3-метоксифенил)циклогексан-1,4-диола (аксиальный спирт). 205 г гидрохлорида 2-диметиламинометил-1-(3-метоксифенил)циклогексан-1,4-диола (экваториальный спирт) суспендировали в атмосфере азота в 2050 мл ТГФ а.с.ч., затем медленно добавляли 149 г трет-бутилата калия, перемешивали в течение часа, по каплям добавляли 71 мл бутирилхлорида и перемешивали еще в течение часа, после чего дополнительно добавляли 36 г трет-бутилата калия и 34 мл бутирилхлорида. Для переработки добавляли 980 мл воды, дважды экстрагировали этилацетатом порциями по 1000 мл, объединенные экстракты промывали небольшим количеством 1-молярного раствора гидрокарбоната натрия, сушили над сульфатом магния, фильтровали и концентрировали. Полученный сырой продукт (236 г) объединяли со второй, полученной аналогичным образом порцией этого сырого продукта (232 г), растворяли в 2400 мл ацетона и 470 мл безводного этанола и добавлением половины молярного эквивалента воды и одного молярного эквивалента хлортриметилсилана получили 442 г гидрохлорида 3-диметиламинометил-4-гидрокси-4-(3-метоксифенил)циклогексилового эфира масляной кислоты. Примеры 332 и 333 3-диметиламинометил-4-гидрокси-4-(3-метоксифенил)циклогексиловый эфир (+)-и (-)-масляной кислоты Энантиомерные 3-диметиламинометил-4-гидрокси-4-(3-метоксифенил)циклогексиловые эфиры (+)-и (-)-масляной кислоты получали путем ферментативного расщепления рацематов 3-диметиламинометил-4-гидрокси-4-(3-метоксифенил)циклогексиловых эфиров масляной кислоты и последующего выделения оставшегося бутирата, соответственно повторной этерификации полученного 2-диметиламинометил-1-(3-метоксифенил)циклогексан-1,4-диола по описанной для рацемата методике (Hans-Joachim Gais, Carsten Griebel, Helmut Buschmann, Tetrahedron: Asymmetry 11 (2000), c.917-928). Пример 351 Гидрохлорид 5-диметиламинометил-4-(3-метоксифенил)циклогекс-3-енола 20,0 г 2-диметиламинометил-1-(3-метоксифенил)циклогексан-1,4-диола (экваториальный спирт) растворяли в 300 мл конц. муравьиной кислоты, после чего добавляли 6,75 мл ацетилхлорида и перемешивали в течение двух часов при кипячении с обратным холодильником. После охлаждения реакционную смесь концентрировали, остаток растворяли в 2-молярном едком натре и экстрагировали этилацетатом. Объединенные экстракты сушили над сульфатом натрия, фильтровали, концентрировали, полученный сырой продукт (16,7 г) растворяли в 170 мл 2-бутанона и добавлением 1,15 мл воды и 8,1 мл хлортриметилсилана осаждали гидрохлорид 5-диметиламинометил-4-(3-метоксифенил)циклогекс-3-енола (17,7 г). Примеры 328 и 329 Гидрохлорид 2-диметиламинометил-1.4-бис(3-метоксифенил)циклогексан-1,4-диола (цис- и транс-диол) Из 7,47 г магния и 38,9 мл 3-броманизола в 60 мл ТГФ а.с.ч. приготавливали соответствующий реактив Гриньяра, после чего к нему примерно при 10°С по каплям добавляли раствор 40 г 1,4-диоксаспиро[4.5]декан-8-она в 75 мл ТГФ а.с.ч. и перемешивали в течение часа. Для переработки в ледяной бане добавляли 20 мас.%-ный раствор хлорида аммония, экстрагировали этилацетатом, объединенные экстракты сушили над сульфатом натрия, фильтровали и концентрировали. К полученному сырому продукту (61,6 г) в ледяной бане добавляли 128 мл воды, 62 г льда и раствор 31,5 мл конц. соляной кислоты в 385 мл воды, полученную смесь перемешивали в течение пяти часов при 5-10°С, экстрагировали этилацетатом, объединенные экстракты сушили над сульфатом натрия, фильтровали и концентрировали. Сырой продукт размешивали с диизопропиловым эфиром и твердый остаток отфильтровывали. Таким путем получили 14,0 г 4-гидрокси-4-(3-метоксифенил)циклогексанона. К 10,0 г 4-гидрокси-4-(3-метоксифенил)циклогексанона в 100 мл ацетонитрила добавляли 4,23 г хлорида диметилметиленаммония и одну каплю ацетилхлорида и смесь перемешивали в течение 16 ч. Выпавшее в осадок твердое вещество отфильтровывали, промывали небольшим количеством ацетонитрила и сушили в вакууме. Таким путем получили 12,2 г 2-диметиламинометил-4-гидрокси-4-(3-метоксифенил)циклогексанона. Из 0,75 г магния и 3,9 мл 3-броманизола в 20 мл ТГФ а.с.ч. приготавливали соответствующий реактив Гриньяра, после чего к нему примерно при 10°С по каплям добавляли раствор 3,87 г 2-диметиламинометил-4-гидрокси-4-(3-метоксифенил)циклогексанона в 25 мл ТГФ а.с.ч. и перемешивали в течение часа. Для переработки в ледяной бане добавляли 20 мас.%-ный раствор хлорида аммония, экстрагировали этилацетатом, объединенные экстракты сушили над сульфатом натрия, фильтровали и концентрировали. Полученный сырой продукт (5,44 г) хроматографировали на силикагеле с использованием смеси этилацетат/метанол (в объемном соотношении 1:1). Полученные таким путем диастереомерные 2-диметиламинометил-1,4-бис(3-метоксифенил)циклогексан-1,4-диолы {цис- и транс-диол) аналогично ОМ 1 с помощью хлортриметилсилана в водном 2-бутаноне переводили в соответствующие гидрохлориды (240, соответственно 777 мг). Примеры 337 и 338 Гидрохлорид этилового эфира (Е}-и (2)-[3-диметиламинометил-4-гидрокси-4-(3-метоксифенил)циклогексилиден]уксусной кислоты 100 г 1,4-диоксаспиро[4.5]декан-8-она растворяли в 800 мл толуола, добавляли 534 мл 32 мас.%-ного едкого натра, при охлаждении льдом и интенсивном перемешивании по каплям добавляли раствор 127 мл триэтилфосфоноацетата в 250 мл толуола и перемешивали в течение часа. После этого отделяли органическую фазу, водную фазу экстрагировали толуолом, объединенные органические фазы трижды промывали водой, сушили над сульфатом натрия, фильтровали и концентрировали. Полученный сырой продукт хроматографировали на силикагеле с использованием смеси диизопропиловый эфир/гексан (в объемном соотношении 1:1). Таким путем получили 92,9 г этилового эфира (1,4-диоксаспиро[4.5]дец-8-илиден)уксусной кислоты. 92,8 г этилового эфира (1,4-диоксаспиро[4.5]дец-8-илиден)уксусной кислоты растворяли в 465 мл диизопропилового эфира, добавляли 186 мл воды и 137 мл конц. соляной кислоты, перемешивали в течение часа, фазы разделяли, водную фазу дважды экстрагировали диизопропиловым эфиром, объединенные органические фазы сушили над сульфатом натрия, фильтровали и концентрировали. Полученный сырой продукт (95,9 г) хроматографировали на силикагеле с использованием смеси диизопропиловый эфир/гексан (в объемном соотношении 2:1). Таким путем наряду с 17,2 г непрореагировавшего этилового эфира (1,4-диоксаспиро[4.5]дец-8-илиден)уксусной кислоты получили 76,3 г этилового эфира (4-оксоциклогексилиден)уксусной кислоты. К 87,6 г этилового эфира (4-оксоциклогексилиден)уксусной кислоты в 260 мл ацетонитрила добавляли 7,5 г хлорида диметилметиленаммония, в течение часа нагревали до 60°С, после чего добавляли 250 мл диизопропилового эфира и перемешивали в течение ночи при комнатной температуре. Выпавшее в осадок твердое вещество отфильтровывали, промывали небольшим количеством ацетонитрила и сушили в вакууме. Таким путем получили 30,4 г этилового эфира (E)-(3-диметиламинометил-4-оксоциклогексилиден)уксусной кислоты. Маточный раствор концентрировали досуха и остаток (95 г) перекристаллизовывали из 475 мл 2-бутанона. Таким путем получили 62,3 г этилового эфира (Z)-(3-диметиламинометил-4-оксоциклогексилиден)уксусной кислоты. Из 0,37 г магния и 1,9 мл 3-броманизола в 10 мл ТГФ а.с.ч. приготавливали соответствующий реактив Гриньяра, после чего к нему при охлаждении льдом по каплям добавляли раствор 2,40 г этилового эфира (Z)-(3-диметиламинометил-4-оксоциклогексилиден)уксусной кислоты в 24 мл ТГФ а.с.ч. и перемешивали в течение часа. Для переработки в ледяной бане 5 мл добавляли 4-молярный раствор хлорида аммония, органическую фазу отделяли, водную фазу дважды экстрагировали этилацетатом, объединенные органические фазы сушили над сульфатом натрия, фильтровали и концентрировали. Полученный сырой продукт (3,20 г) хроматографировали на силикагеле с использованием смеси диизопропиловый эфир/метанол (в объемном соотношении 1:1). Таким путем получили 1,61 г этилового эфира (Z)-[3-диметиламинометил-4-гидрокси-4-(3-метоксифенил)циклогексилиден]уксусной кислоты и его аналогично ОМ 1 переводили в соответствующий гидрохлорид. Аналогичным образом из 2,40 г этилового эфира (Е)-(3-диметиламинометил-4-оксоциклогексилиден)уксусной кислоты получили 1,48 г гидрохлорида этилового эфира (Е)-[3-диметиламинометил-4-гидрокси-4-(3-метоксифенил)циклогексилиден]уксусной кислоты. Пример 352 Гидрохлорид 2-диметиламинометил-1-(6-метоксинафталин-2-ил)циклогексан-1,4-диола Из 18,2 г магния и 177 г 2-бром-6-метоксинафталина в 720 мл ТГФ а.с.ч. приготавливали соответствующий реактив Гриньяра, после чего к нему при охлаждении льдом по каплям добавляли раствор 105 г 7-диметиламинометил-1,4-диоксаспиро[4.5]декан-8-она в 315 мл ТГФ а.с.ч. и перемешивали в течение часа. Для переработки в ледяной бане добавляли 375 мл 4-молярного раствора хлорида аммония, органическую фазу отделяли, водную фазу дважды экстрагировали этилацетатом, объединенные органические фазы сушили над сульфатом натрия, фильтровали и концентрировали. Таким путем получили 229 г 7-диметиламинометил-8-(6-метоксинафталин-2-ил)-1,4-диоксаспиро[4.5]декан-8-ола. 229 г 7-диметиламинометил-8-(6-метоксинафталин-2-ил)-1,4-диоксаспиро[4.5]декан-8-ола растворяли в 1150 мл ТГФ, добавляли 164 мл воды и 41 мл конц. соляной кислоты, перемешивали в течение пяти часов, нейтрализовали 32 мас.%-ным едким натром, дважды экстрагировали смесью этилацетат/ТГФ (в объемном соотношении 1:1), объединенные органические фазы дважды промывали насыщенным раствором поваренной соли, сушили над сульфатом магния, фильтровали и концентрировали. Полученный сырой продукт (196 г) смешивали с 400 мл метанола и 600 мл диизопропилового эфира, фильтровали, фильтрат концентрировали, растворяли в 1600 мл 2-бутанона и добавлением воды и хлортриметилсилана аналогично ОМ 1 осаждали гидрохлорид. Таким путем получили 106 г гидрохлорида 3-диметиламинометил-4-гидрокси-4-(6-метоксинафталин-2-ил)циклогексанона. 4,3 г бораната натрия помещали в 82 мл этанола а.с.ч., при охлаждении льдом по каплям добавляли 82,2 г 3-диметиламинометил-4-гидрокси-4-(6-метоксинафталин-2-ил)циклогексанона, растворенного в 330 мл этанола а.с.ч., и перемешивали в течение часа. Для переработки при охлаждении льдом сначала добавляли 44 мл конц. соляной кислоты, а затем 40 мл 32 мас.%-ного едкого натра, дважды экстрагировали дихлорметаном, объединенные органические фазы сушили над сульфатом магния, фильтровали и концентрировали. Из полученного сырого продукта (88,2 г) аналогично ОМ 1 получили 77,4 г гидрохлорида 2-диметиламинометил-1-(6-метоксинафталин-2-ил)циклогексан-1,4-диола. Пример 353 Гидрохлорид 3-диметиламинометил-4-гидрокси-4-(6-метоксинафталин-2-ил)циклогексилового эфира масляной кислоты 70,0 г 2-диметиламинометил-1 -(6-метоксинафталин-2-ил)циклогексан-1,4-диола суспендировали в 560 мл ТГФ а.с.ч., порциями добавляли 44,0 г трет-бутилата калия, перемешивали в течение двадцати минут, по каплям добавляли 21,0 мл бутирилхлорида, перемешивали еще в течение двадцати минут и повторно по описанной выше схеме дважды добавляли по 21,0 г трет-бутилата калия и по 20,0 мл бутирилхлорида. Для переработки при охлаждении на ледяной бане добавляли 290 мл воды, фазы разделяли, однократно экстрагировали этилацетатом, объединенные органические фазы промывали 1-молярным раствором гидрокарбоната натрия, сушили над сульфатом магния, фильтровали и концентрировали. Из полученного сырого продукта (90 г) аналогично ОМ 1 получили 47,1 г гидрохлорида 3-диметиламинометил-4-гидрокси-4-(6-метоксинафталин-2-ил)циклогексилового эфира масляной кислоты. Пример 331 Гидрохлорид 4-бензилокси-2-диметиламинометил-1-(6-метоксинафталин-2-ил)циклогексанол Из 0,28 г магния и 2,72 г 2-бром-6-метоксинафталина в 11 мл ТГФ а.с.ч. приготавливали соответствующий реактив Гриньяра, после чего к нему при охлаждении льдом по каплям добавляли раствор 2,00 г 4-бензилокси-2-диметиламинометилциклогексанона в 8 мл ТГФ а.с.ч. и перемешивали в течение часа. Для переработки в ледяной бане добавляли 4 мл 4-молярного раствора хлорида аммония, органическую фазу отделяли, водную фазу дважды экстрагировали диэтиловым эфиром, объединенные органические фазы сушили над сульфатом натрия, фильтровали и концентрировали. Полученный сырой продукт (3,20 г) хроматографировали на силикагеле с использованием смеси этилацетат/метанол/гексан (в объемном соотношении 1:1:1). Таким путем получили 1,52 г 4-бензилокси-2-диметиламинометил-1-(6-метоксинафталин-2-ил)циклогексанола, который аналогично ОМ 1 переводили в соответствующий гидрохлорид (1,32 г). Пример 330 Гидрохлорид 6-(4-бензилокси-2-диметиламинометил-1-гидроксициклогексил)нафталин-2-ола 200 г 6-бромнафталин-2-ола, 143 г имидазола и 151 г трет-бутилхлордиметилсилана растворяли в 1000 мл диметилформамида, перемешивали в течение двух часов при комнатной температуре, раствор концентрировали практически досуха (506 г), остаток растворяли в этилацетате и воде, добавляли 1500 мл насыщенного раствора хлорида натрия, фазы разделяли, водную фазу дважды экстрагировали этилацетатом, органические фазы объединяли и концентрировали. Полученный сырой продукт растворяли в кипящем гексане и затем выдерживали в течение ночи при 4°С. После фильтрации выделили 158 г (6-бромнафталин-2-илокси)-трет-бутилдиметилсилана. В результате повторного концентрирования маточного раствора и перекристаллизации из метанола дополнительно получили 54 г (6-бромнафталин-2-илокси)-трет-бутилдиметилсилана. 3,87 г (6-бромнафталин-2-илокси)-трет-бутилдиметилсилана растворяли в 19 мл ТГФ а.с.ч., при охлаждении сухим льдом по каплям добавляли 6,0 мл 1,6-молярного раствора бутиллития в гексане, после чего перемешивали в течение короткого промежутка времени, а затем по каплям добавляли раствор 2,00 г 4-бензилокси-2-диметиламинометилциклогексанона в 20 мл ТГФ а.с.ч. и перемешивали в течение часа при медленном нагревании. Для переработки в ледяной бане добавляли 4 мл воды, органическую фазу отделяли, водную фазу дважды экстрагировали диэтиловым эфиром, объединенные органические фазы сушили над сульфатом натрия, фильтровали и концентрировали. Полученный сырой продукт (5,00 г) хроматографировали на силикагеле с использованием смеси этилацетат/метанол (в объемном соотношении 1:1). Таким путем получили 2,20 г 6-(4-бензилокси-2-диметиламинометил-1-гидроксициклогексил)нафталин-2-ола, который аналогично ОМ 1 переводили в соответствующий гидрохлорид (1,33 г). Общее дополнение к примерам Дополнительно по меньшей мере по одному из описанных выше (основных) методов или по одной из описанных выше общих методик получали следующие соединения:
Формула изобретения
1. Замещенные производные С-циклогексилметиламина общей формулы I
в которой А обозначает Н или незамещенный фенил, R1 обозначает насыщенный или ненасыщенный, разветвленный или неразветвленный одно- либо многозамещенный или незамещенный C1-10алкил либо С3-10циклоалкил, фенил, нафтил, фурил, тиофенил; фенил или нафтил, присоединенный через ненасыщенный С2-3алкил либо через C1-3алкилен или этинил, С3-10циклоалкил, присоединенный через ненасыщенный С2-3алкил либо через C1-3алкилен, или этинил, или тиофенил, присоединенный через ненасыщенный С2-3алкил, либо через C1-3алкилен или этинил, соответственно незамещенные или одно- либо многозамещенные остатками, независимо друг от друга выбранными из группы, включающей F, Cl, Br, I, OR18, SR18, силил, незамещенный или одно- либо многозамещенный алкил, где заместители C1-10алкила являются одинаковыми или различными и выбираются из группы, включающей F, Cl и Br, при этом R18 представляет собой Н или насыщенный или ненасыщенный, разветвленный или неразветвленный, незамещенный C1-10алкил; R2 и R3 независимо друг от друга обозначают разветвленный или неразветвленный насыщенный незамещенный C1-10алкил или R2 и R3 совместно образуют группу CH2CH2NR6CH2CH2, где R6 обозначает разветвленный или неразветвленный C1-10алкил; Х в формуле I в соответствии с субформулой Ia формулы I где В представляет собой ОН, OR7, H, F или Cl, где R7 означает одно- либо многозамещенный фенил, присоединенный через C1-3алкилен, где заместители фенила выбираются из F и Cl, и фрагмент
где R4 обозначает Н, COR5, соответственно насыщенный или ненасыщенный, разветвленный или неразветвленный незамещенный C1-10алкил, одно или многозамещенный фенил или нафтил, присоединенный через ненасыщенный С2-3алкил либо через C1-3алкилен, где указанные заместители фенила или нафтила выбирают из F, Cl, насыщенного C1-6алкила, CF3 и OR23, где R23 представляет собой C1-6алкил, где R5 представляет собой насыщенный или ненасыщенный, разветвленный или неразветвленный незамещенный C1-10алкил либо С3-10циклоалкил; соответственно одно- или многозамещенный или незамещенный фенил, нафтил, фурил или тиофенил или соответственно одно- или многозамещенный или незамещенный фенил, нафтил, фурил или тиофенил, каждый из которых присоединен через C1-3алкилен и где указанные заместители выбирают из F, Cl, насыщенного С1-6алкила, NO2, CF3 и OR23, где R23 представляет собой Н или C1-6алкил, где V представляет собой OR4 или NR4R11 и W представляет собой R11, R11 обозначает Н, необязательно в виде их рацематов, их чистых стереоизомеров, прежде всего энантиомеров или диастереомеров, либо в виде смесей стереоизомеров, прежде всего энантиомеров или диастереомеров, в любом их соотношении в смеси, в виде их физиологически совместимых солей, или в виде их сольватов, прежде всего гидратов, за исключением соединений, в которых А обозначает водород, R1 обозначает однократно О- или S-замещенное в положении 3 фенильное кольцо, R2 и R3 оба обозначают метил, а Х в формуле I согласно субформуле Ia формулы I т.е. Х обозначает фрагмент
R4 обозначает C1-6алкил, С2-6алкенил, замещенный или незамещенный фенил или замещенный или незамещенный бензил, или за исключением соединений, в которых R2, R3 независимо друг от друга обозначают Н, C1-С10алкил, который является разветвленным или неразветвленным, незамещенным, насыщенным, или R2 и R3 совместно образуют кольцо и обозначают CH2CH2NR6CH2CH2, Х в формуле I согласно субформуле Ia формулы I т.е. Х обозначает А обозначает водород, R1 обозначает незамещенное или одно- либо двузамещенное фенильное кольцо, В обозначает Н, F, Cl, ОН или OR7, где R7 представляет собой алкиларил, который является одно- либо многозамещенным или незамещенным, и одновременно группировка где V представляет собой группу OR4, в которой R4 обозначает группу COR5, где R5 представляет собой C1-6алкил, который является незамещенным, а также за исключением соединений 6-диэтиламинометил-1-фенил-4-метилциклогексанол, 6-пирролидинометил-1-фенил-4-метилциклогексанол, 6-морфолинометил-1-фенил-4-метилциклогексанол, 6-пиперидинометил-1-фенил-4-метилциклогексанол. 2. Замещенные производные С-циклогексилметиламина по п.1, отличающиеся тем, что R1 не обозначает однократно О- или S-замещенное в положении 3 фенильное кольцо. 3. Замещенные производные С-циклогексилметиламина по п.1, отличающиеся тем, что R1 обозначает соответственно насыщенный или ненасыщенный, разветвленный или неразветвленный одно- либо многозамещенный С1-10алкил или С3-10циклоалкил, нафтил, фурил, тиофенил; или фенил, нафтил, присоединенный через ненасыщенный С2-3алкил либо через C1-3алкилен или этинил; С3-6циклоалкил, присоединенный через ненасыщенный C1-3алкил либо через C1-3алкилен или этинил, или тиофенил присоединенный через ненасыщенный С2-3алкил либо через C1-3алкилен или этинил, соответственно незамещенные или одно- либо многозамещенные остатками, независимо друг от друга выбранными из группы, включающей F, Cl, Br, I, OR18, SR18, силил, незамещенный или одно- либо многозамещенный С1-6алкил, где заместители C1-6алкила являются одинаковыми или различными и выбираются из группы, включающей F, Cl или Br; или R1 соответствует соединению общей формулы II
в которой R13, R15 и R17 независимо друг от друга выбраны из Н, F, Cl, Br, I, OR18, SR18, силил, насыщенного, разветвленного или незразветвленного, одно- или многозамещенного или незамещенного C1-6алкила, в котором заместители C1-6алкила являются одинаковыми или различными и выбранными из группы, состоящей из F, Cl и Br; R14 и R16 независимо друг от друга выбраны из Н, F, Cl, Br, I, силил; насыщенного, разветвленного или незразветвленного, одно или многозамещенного или незамещенного C1-6алкила, в котором заместители C1-6алкила являются одинаковыми или различными и выбранными из группы, состоящей из F, Cl и Br; R18 выбран из Н или насыщенного или ненасыщенного, разветвленного или незразветвленного, незамещенного C1-6алкила. 4. Замещенные производные С-циклогексилметиламина по п.1, отличающиеся тем, что R1 выбран из соответственно насыщенного или ненасыщенного, разветвленного или незразветвленного, одно- или многозамещенного C1-6алкила или С3-6циклоалкила; соответственно незамещенного или одно или многозамещенного нафтила, фурила, тиофенила, С3-6циклоалкила, присоединенного через ненасыщенный С2-3алкил или С1-3алкилен или этинил, или тиофенила, присоединенного через ненасыщенный С2-3алкил или С1-3алкилен или этинил; где заместители независимо друг от друга выбраны из F, Cl, Br, I, OR18, SR18, силила, незамещенного одно или многозамещенного C1-6алкила, причем заместители C1-6алкила являются одинаковыми или различными и выбраны из группы, включающей F, Cl и Br. 5. Замещенные производные С-циклогексилметиламина по п.1, отличающиеся тем, что R1 соответствует соединению общей формулы II
в которой R13, R15 и R17 независимо друг от друга выбраны из Н, F, Cl, Br, I, OR18, SR18, силила, насыщенного, разветвленного или неразветвленного, одно- или многозамещенного или незамещенного C1-6алкила, где заместители C1-6алкила являются одинаковыми или различными и выбраны из группы, включающей F, Cl и Br; R14 и R16, независимо друг от друга выбраны из Н, F, Cl, Br, I, силила; насыщенного, разветвленного или неразветвленного, одно- или многозамещенного или незамещенного С1-6алкила, в котором заместители C1-6алкила являются одинаковыми или различными и выбраны из группы, включающей F, Cl и Br; в которой R18 выбран из Н или насыщенного или ненасыщенного, разветвленного или незразветвленного, незамещенного C1-6алкила и
выбран из
в которой R4 выбран из Н, COR5a, соответственно насыщенного или ненасыщенного, разветвленного или неразветвленного, незамещенного C1-10алкила; одно- или многозамещенного или незамещенного фенила или нафтила; или соответственно одно- или многозамещенного фенила или нафтила, связанного через ненасыщенный С2-3алкил или C1-3алкилен, где заместители фенила и нафтила выбраны из F, Cl, насыщенного C1-6алкила, CF3 и OR23, в которой R23 обозначает C1-6алкил, R5а выбран из соответственно насыщенного С1-10алкила или С3-10циклоалкила; соответственно одно- или многозамещенного или незамещенного фенила, нафтила, фурила или тиофенила, или соответственно одно- или многозамещенного или незамещенного фенила, нафтила, фурила или тиофенила, связанного через C1-3алкилен, где заместители фенила, нафтила, фурила и тиофенила выбраны из F, Cl, насыщенного C1-6алкила, NO2, CF3 и OR23, в которой R23 обозначает водород или C1-6алкил, в которой V выбран из OR4 или NR4R11, W выбран из R11, в которой R11 обозначает Н. 6. Замещенные производные С-циклогексилметиламина по п.1, отличающиеся тем, что Х в формуле I, соответствующей субформуле Ia в формуле I
выбрано из следующих значений: в которой В выбран из ОН, OR7, Н, F, где R7 обозначает одно- или многозамещенный или незамещенный фенил, связанный через С1-3алкилен, в котором заместителями фенила могут быть F или Cl. 7. Замещенные производные С-циклогексилметиламина по п.1, отличающиеся тем, что А обозначает фенил. 8. Замещенные производные С-циклогексилметиламина по п.1, отличающиеся тем, что А обозначает водород. 9. Замещенные производные С-циклогексилметиламина по п.1, отличающиеся тем, что R2 и R3 независимо один от другого обозначают C1-6алкил или радикалы R2 и R3 вместе образуют CH2CH2NR6CH2CH2, которой R6 обозначает СН3, и/или R7 выбран из одно- или многозамещенного фенила, связанного через C1-3алкилен, в котором заместителями фенила являются F или С1, и/или в которой R4 выбран из Н, COR5, соответственно насыщенного или ненасыщенного, разветвленного или незразветвленного, незамещенного C1-3алкила; одно- или многозамещенного фенила или нафтила; или соответственно одно- или многозамещенного фенила или нафтила, присоединенного через ненасыщенный C2-3алкил или C1-3алкилен, в которой заместители фенила и нафтила являются выбранными из F, Cl, насыщенного C1-6алкила, CF3 и OR23, в которой R23 обозначает Н или C1-6алкил, в которой R5 является выбранным из соответственно насыщенного С1-10алкила или С3-10циклоалкила; соответственно одно- или многозамещенного фенила, нафтила, фурила или тиофенила, или соответственно одно- или многозамещенного фенила, нафтила, фурила или тиофенила, присоединенного через C1-3алкилен, где заместители фенила, нафтила, фурила и тиофенила являются выбранными из F, Cl, насыщенного C1-6алкила, NO2, CF3 и OR23, в котором R23 обозначает Н или C1-6алкил и/или R11 обозначает Н; и/или R11 обозначает Н; и/или R13, R15 и R17 независимо друг от друга выбраны из Н, F, Cl, Br, I, OR18, SR18, силила, насыщенного, разветвленного или неразветвленного, одно- или многозамещенного или незамещенного C1-6алкила, где заместители C1-6алкила одинаковые или различные и выбраны из группы, включающей F, Cl и Br; и/или R14 и R 16 независимо один от другого выбраны из Н, F, Cl, Br, I, силила; насыщенного, разветвленного или незразветвленного, одно- или многозамещенного C1-6алкила, где заместители C1-6aалкила являются одинаковыми или различными и выбраны из группы, состоящей из F, Cl и Br; и/или R18 выбран из Н или насыщенного или ненасыщенного, разветвленного или незразветвленного незамещенного C1-6алкила. 10. Замещенные производные С-циклогексилметиламина по п.1, отличающиеся тем, что фрагмент
выбран из где R11 и R12 обозначает Н. 11. Замещенные производные С-циклогексилметиламина общей формулы I
в которой А обозначает Н или незамещенный фенил; R1 выбран из нафтила или нафтила, присоединенного через ненасыщенный C2-3алкил, C1-3алкилен или этинил, соответственно незамещенных или моно- или многозамещенных радикалами, выбранными независимо один от другого из F, Cl, Br, I, OR18, SR18, силила, незамещенного, одно- или многозамещенного С1-10алкила, где заместители С1-10алкила, одинаковые или различные, и выбраны из группы, включающей F, Cl и Br; R2 и R3 независимо один от другого обозначают C1-6алкил или радикалы R2 и R3 вместе образуют СН2СН2NR6СН2СН2, в которой R6 обозначает СН3; Х в формуле I, имеющей субформулу Ia формулы I
(субформулаформула Ia) выбран из следующих значений в которой В выбран из ОН, OR7, Н, F, в которой R7 обозначает одно- или многозамещенный фенил, присоединенный через C1-3алкилен, где заместителями фенила могут быть F или Cl,
выбран из в которой V выбран из OR4, в которой R4 выбран из Н, COR5, соответственно насыщенного или ненасыщенного, разветвленного или незразветвленного, незамещенного C1-10алкила; одно- или многозамещенного или незамещенного фенила или нафтила; или соответственно одно- или многозамещенного или незамещенного фенила или нафтила, связанного через ненасыщенный C2-3алкил или C1-3алкилен, где заместители фенила и нафтила являются выбранными из F, Cl, насыщенного C1-6алкила, CF3 и OR23, в которой R23 обозначает C1-6алкил, в которой R5 является выбранным из соответственно насыщенного С1-10алкила или С3-10циклоалкила; соответственно одно- или многозамещенного фенила, нафтила, фурила или тиофенила, или соответственно одно- или многозамещенного фенила, нафтила, фурила или тиофенила, присоединенного через C1-3алкилен, где заместители фенила, нафтила, фурила и тиофенила являются выбранными из F, Cl, насыщенного C1-6алкила, NO2, CF3 и OR23, в которой R23 обозначает Н или C1-6алкил, возможно в виде их рацематов, их чистых стереоизомеров, прежде всего энантиомеров или диастереомеров, или в виде смесей стереоизомеров, прежде всего энантиомеров или диастереомеров, в любом их соотношении в смеси или в виде их физиологически совместимых солей, или в виде их сольватов, прежде всего гидратов. 12. Замещенные производные С-циклогексилметиламина общей формулы I по п.11 отличающиеся тем, что А выбран из Н или незамещенного фенила и/или R1 выбран из нафтила, незамещенного или моно- или многозамещенного радикалами, выбранными независимо один от другого из F, Cl, Br, I, OR18, разветвленного или неразветвленного, незамещенного или одно- или многозамещенного С1-4алкила, где заместители С1-4алкила одинаковые или различные и выбраны из группы, включающей F, Cl и Br; в которой R18 выбран из Н или разветвленного или неразветвленного, незамещенного С1-4алкила; R1 предпочтительно выбран из нафтила, незамещенного или замещенного ОН или ОСН3, и/или R2 и R3 оба означают СН3, или радикалы R2 и R3 вместе обозначают CH2CH2NR6CH2Н2, в которой R6 обозначает СН3; и/или Х в формуле I соответствующей субформуле формулы I
(субформула Ia) выбран из следующего значения
т.е. X обозначает преимущественно где В выбран из ОН, и/или
выбран из
в которой V выбран из OR4, в которой R4 выбран из COR5; одно- или многозамещенного или незамещенного фенила или бензила; в особенности COR5 или одно или многозамещенного бензила; где заместители фенила и бензила являются выбранными из F, Cl, насыщенного C1-6алкила, CF3 и OR23, в которой R23 обозначает C1-6алкил, в которой R5 выбран из насыщенного или ненасыщенного, разветвленного или незразветвленного C1-6алкила; или одно- или многозамещенного фенила, в котором заместители фенила являются выбранными из F, Cl, насыщенного С1-4алкила, NO2, CF3 и OR23, в которой R23 обозначает Н или C1-6алкил, 13. Замещенные производные С-циклогексилметиламина по любому из пп.1-12, отличающиеся тем, что они выбраны из группы, включающей 4-бензилокси-1-(4-бромфенил)-2-диметиламинометилциклогексанол, 4-бензилокси-2-диметиламинометил-1-(4-трифторметилфенил)циклогексанол, 4-бензилокси-1-(3,4-дифторфенил)-2-диметиламинометилциклогексанол, 4-бензилокси-2-диметиламинометил-1-(3-фтор-4-метилфенил)циклогексанол, 4-бензилокси-1-(3,4-дихлорфенил)-2-диметиламинометилциклогексанол, 4-бензилокси-2-диметиламинометил-1-нафталин-2-илциклогексанол, 4-бензилокси-2-диметиламинометил-1-(3,4-диметилфенил)циклогексанол, 4-бензилокси-2-диметиламинометил-1-(4-фтор-3-метилфенил)циклогексанол, 4-бензилокси-2-диметиламинометил-1-(5-фтор-2-метилфенил)циклогексанол, 4-бензилокси-1-(3-хлор-4-фторфенил)-2-диметиламинометилциклогексанол, 4-бензилокси-1-(5-хлор-2-метоксифенил)-2-диметиламинометилциклогексанол, 4-бензилокси-1-(2-бромфенил)-2-диметиламинометилциклогексанол, 4-бензилокси-2-диметиламинометил-1-(2-метоксифенил)циклогексанол, 4-бензилокси-2-диметиламинометил-1-(2-метилсульфанилфенил)циклогексанол, 4-бензилокси-1-(4-хлорфенил)-2-диметиламинометилциклогексанол, 4-бензилокси-1-(3-бромфенил)-2-диметиламинометилциклогексанол, 4-бензилокси-1-(4-бром-3-фторфенил)-2-диметиламинометилциклогексанол, 4-бензилокси-2-диметиламинометил-1-(4-метоксифенил)циклогексанол, 4-бензилокси-1-(2-хлорфенил)-2-диметиламинометилциклогексанол, 4-бензилокси-2-диметиламинометил-1-(3-трифторметилфенил)циклогексанол, 4-бензилокси-2-диметиламинометил-1-(4-пентилфенил)циклогексанол, 4-бензилокси-2-диметиламинометил-1-(2,5-диметилфенил)циклогексанол, 4-бензилокси-2-диметиламинометил-1-(4-изопропилфенил)циклогексанол, 4-бензилокси-2-диметиламинометил-1-(2,3-диметилфенил)циклогексанол, 4-бензилокси-2-диметиламинометил-1-(3-фторфенил)циклогексанол, 4-бензилокси-1-(3,5-бистрифторметилфенил)-2-диметиламинометилциклогексанол, 4-бензилокси-2-диметиламинометил-1-(4-этилфенил)циклогексанол, 4-бензилокси-1-(3,5-дихлорфенил)-2-диметиламинометилциклогексанол, 2-диметиламинометил-4-(4-фторбензилокси)-1-о-толилциклогексанол, 2-диметиламинометил-4-(4-фторбензилокси)-1-п-толилциклогексанол, 2-диметиламинометил-1-(2,5-диметилфенил)-4-(4-фторбензилокси)циклогексанол, 2-диметиламинометил-1-(3,4-диметилфенил)-4-(4-фторбензилокси)циклогексанол, 2-диметиламинометил-1-(3,5-диметилфенил)-4-(4-фторбензилокси)циклогексанол, 2-диметиламинометил-4-(4-фторбензилокси)-1-(4-изопропилфенил)циклогексанол, 2-диметиламинометил-4-(4-фторбензилокси)-1-(3-фторфенил)циклогексанол, 2-диметиламинометил-4-(4-фторбензилокси)-1-(4-фторфенил)циклогексанол, 1-(3,4-дифторфенил)-2-диметиламинометил-4-(4-фторбензилокси)циклогексанол, 2-диметиламинометил-4-(4-фторбензилокси)-1-(3-фтор-4-метилфенил)циклогексанол, 2-диметиламинометил-4-(4-фторбензилокси)-1-(4-фтор-3-метилфенил)циклогексанол, 1-(2-хлорфенил)-2-диметиламинометил-4-(4-фторбензилокси)циклогексанол, 1-(3-хлорфенил)-2-диметиламинометил-4-(4-фторбензилокси)циклогексанол, 1-(4-хлорфенил)-2-диметиламинометил-4-(4-фторбензилокси)циклогексанол, 1-(3,4-дихлорфенил)-2-диметиламинометил-4-(4-фторбензилокси)циклогексанол, 1-(4-хлор-3-фторфенил)-2-диметиламинометил-4-(4-фторбензилокси)циклогексанол, 1-(3,5-дихлорфенил)-2-диметиламинометил-4-(4-фторбензилокси)циклогексанол, 1-(4-хлор-2-метоксифенил)-2-диметиламинометил-4-(4-фторбензилокси)циклогексанол, 2-диметиламинометил-4-(4-фторбензилокси)-1-(4-трифторметилфенил)циклогексанол, 1-(3,5-бистрифторметилфенил)-2-диметиламинометил-4-(4-фторбензилокси)циклогексанол, 2-диметиламинометил-4-(4-фторбензилокси)-1-(2-метоксифенил)циклогексанол, 2-диметиламинометил-4-(4-фторбензилокси)-1-(2-метилсульфанилфенил)циклогексанол, (5-бензилокси-2-тиофен-2-илциклогекс-2-енилметил)диметиламин, [5-(4-фторбензилокси)-2-тиофен-2-илциклогекс-2-енилметил]диметиламин, 3,4-дихлор-N-[3-диметиламинометил-4-гидрокси-4-(3-метоксифенил)циклогексил]бензамид, [3-диметиламинометил-4-гидрокси-4-(3-метоксифенил)циклогексил]амиднафталин-2-карбоновой кислоты, N-[3-диметиламинометил-4-гидрокси-4-(3-метоксифенил)циклогексил]-3-фенилпропионамид, N-[3-диметиламинометил-4-гидрокси-4-(3-метоксифенил)циклогексил]-4-нитробензамид, N-[3-диметиламинометил-4-гидрокси-4-(3-метоксифенил)циклогексил]-4-метил-3-нитробензамид, N-[3-диметиламинометил-4-гидрокси-4-(3-метоксифенил)циклогексил]-3,4,5-триметоксибензамид, 2-(4-хлорфенокси)-N-[3-диметиламинометил-4-гидрокси-4-(3-метоксифенил)циклогексил]ацетамид, N-[3-диметиламинометил-4-гидрокси-4-(3-метоксифенил)циклогексил]-3-нитробензамид, [3-диметиламинометил-4-гидрокси-4-(3-метоксифенил)циклогексил]амид фуран-2-карбоновой кислоты, N-[3-диметиламинометил-4-гидрокси-4-(3-метоксифенил)циклогексил]-2-феноксиацетамид, N-[3-диметиламинометил-4-гидрокси-4-(3-метоксифенил)циклогексил]-4-трифторметилбензамид, N-[3-диметиламинометил-4-гидрокси-4-(3-метоксифенил)циклогексил]-4-метоксибензамид, 2-диметиламинометил-1-(4-фторфенил)-4-фенетилциклогексанол, 1-(4-бромфенил)-2-диметиламинометил-4-фенетилциклогексанол, 2-диметиламинометил-1-(4-этилфенил)-4-фенетилциклогексанол, 2-диметиламинометил-1-(4-изопропилфенил)-4-фенетилциклогексанол, 2-диметиламинометил-1-(4-метоксифенил)-4-фенетилциклогексанол, 2-диметиламинометил-1-(2,4-диметилфенил)-4-фенетилциклогексанол, 2-диметиламинометил-1-(2-метилсульфанилфенил)-4-фенетилциклогексанол, 2-диметиламинометил-1-(5-фтор-2-метилфенил)-4-фенетилциклогексанол, 2-диметиламинометил-1-(2,5-диметилфенил)-4-фенетилциклогексанол, 2-диметиламинометил-4-фенетил-1-п-толилциклогексанол, 2-диметиламинометил-1-(3-фторфенил)-4-фенетилциклогексанол, 1-(3-хлорфенил)-2-диметиламинометил-4-фенетилциклогексанол, 1-(4-хлор-3-фторфенил)-2-диметиламинометил-4-фенетилциклогексанол, 2-диметиламинометил-4-фенетил-1-(3-трифторметилфенил)циклогексанол, 1-(3,5-дихлорфенил)-2-диметиламинометил-4-фенетилциклогексанол, 2-диметиламинометил-1-(3,4-диметилфенил)-4-фенетилциклогексанол, 1-(3,4-дихлорфенил)-2-диметиламинометил-4-фенетилциклогексанол, 1-(4-хлорфенил)-2-диметиламинометил-4-фенетилциклогексанол, 2-диметиламинометил-1-(3-фтор-4-метилфенил)-4-фенетилциклогексанол, 2-диметиламинометил-1-(3,5-диметилфенил)-4-фенетилциклогексанол, 1-(4-бром-3-фторфенил)-2-диметиламинометил-4-фенетилциклогексанол, 1-(3,4-дифторфенил)-2-диметиламинометил-4-фенетилциклогексанол, 2-диметиламинометил-1-(2,3-диметилфенил)-4-фенетилциклогексанол, 2-диметиламинометил-1-нафталин-1-ил-4-фенетилциклогексанол, 1-(3,5-бистрифторметилфенил)-2-диметиламинометил-4-фенетилциклогексанол, 1-(3-бромфенил)-2-диметиламинометил-4-фенетилциклогексанол, 2-диметиламинометил-1-(4-фтор-3-метилфенил)-4-фенетилциклогексанол, 2-диметиламинометил-4-фенетил-1-м-толилциклогексанол, 4-бензил-2-диметиламинометил-1-м-толилциклогексанол, 4-бензил-1-(3,4-дифторфенил)-2-диметиламинометилциклогексанол, 4-бензил-2-диметиламинометил-1-п-толилциклогексанол, 2-диметиламинометил-4-(3-метоксибензил)-1-п-толилциклогексанол, 1-(4-хлорфенил)-2-диметиламинометил-4-(3-метоксибензил)циклогексанол, 1-(4-бром-3-фторфенил)-2-диметиламинометил-4-(3-метоксибензил)циклогексанол, 2-диметиламинометил-4-(4-фторбензил)-1-п-толилциклогексанол, 1-(4-хлорфенил)-2-диметиламинометил-4-(4-фторбензил)циклогексанол, диметил-[2-(5-метилтиофен-2-ил)-5-фенетилциклогекс-2-енилметил]амин, [2-(3,5-бистрифторметилфенил)-5-фенетилциклогекс-1-енилметил]диметиламин, диметил(5-фенетил-2-п-толилциклогекс-1-енилметил)амин, [2-(3-хлор-4-фторфенил)-5-фенетилциклогекс-1-енилметил]диметиламин, [2-(2,5-диметилфенил)-5-фенетилциклогекс-1-енилметил]диметиламин, диметил(5-фенетил-2-п-толилциклогекс-2-енилметил)амин, [2-(3,5-бистрифторметилфенил)-5-фенетилциклогекс-2-енилметил]диметиламин, [2-(3-хлор-4-фторфенил)-5-фенетилциклогекс-2-енилметил]диметиламин, [2-(3-хлор-4-фторфенил)-2-фтор-5-фенетилциклогексилметил]диметиламин, [2-фтор-5-(4-фторбензил)-2-п-толилциклогексилметил]диметиламин, бензил-2-(диметиламинофенилметил)-4-фенилциклогексанол, 2-(диметиламинофенилметил)-4-фенил-1-винилциклогексанол, 1-(4-трет-бутилфенил)-2-(диметиламинофенилметил)-4-фенилциклогексанол, 2-(диметиламинофенилметил)-4-фенил-1-м-толилциклогексанол, 2-(диметиламинофенилметил)-1-фенетил-4-фенилциклогексанол, 2-(диметиламинофенилметил)-4-фенил-1-фенилэтинилциклогексанол, 2-(диметиламинофенилметил)-1-(3-метоксифенил)-4-фенилциклогексанол, 2-(диметиламинофенилметил)-4-фенил-1-(3-фенилпропил)циклогексанол, 2-(диметиламинофенилметил)-1-(4-метоксифенил)-4-фенилциклогексанол, 2-(диметиламинофенилметил)-1-(2-метоксифенил)-4-фенилциклогексанол, 4-бензилокси-2-диметиламинометил-1-фенилциклогексанол, 1-бензил-4-бензилокси-2-диметиламинометилциклогексанол, 4-бензилокси-2-диметиламинометил-1-(4-фтор-3-метилфенил)циклогексанол, 4-бензилокси-2-диметиламинометил-1-о-толилциклогексанол, 4-бензилокси-2-диметиламинометил-1-винилциклогексанол, 4-бензилокси-1-циклопентил-2-диметиламинометилциклогексанол, 4-бензилокси-2-диметиламинометил-1-м-толилциклогексанол, 4-бензилокси-2-диметиламинометилбициклогексил-1-ол, 4-бензилокси-2-диметиламинометил-1-(4-фторфенил)циклогексанол, 4-бензилокси-2-диметиламинометил-1-фенилэтинилциклогексанол, 4-бензилокси-2-диметиламинометил-1-тиофен-2-илциклогексанол, 4-бензилокси-2-диметиламинометил-1-(3-метоксифенил)циклогексанол, 4-бензилокси-2-диметиламинометил-1-(3-фенилпропил)циклогексанол, 4-бензилокси-2-диметиламинометил-1-п-толилциклогексанол, 4-бензилокси-2-диметиламинометил-1-(4-метоксифенил)циклогексанол, 4-бензилокси-2-диметиламинометил-1-(3-фторфенил)циклогексанол, 4-бензилокси-1-(3-хлорфенил)-2-диметиламинометилциклогексанол, 4-бензилокси-2-диметиламинометил-1-(3-метоксибензил)циклогексанол, 4-бензилокси-1-(4-хлор-3-трифторметилфенил)-2-диметиламинометилциклогексанол, 4-бензилокси-2-диметиламинометил-1-(3-фторбензил)циклогексанол, 4-бензилокси-2-диметиламинометил-1-(2-метилбензил)циклогексанол, 4-бензилокси-2-диметиламинометил-1-(2,5-диметилбензил)циклогексанол, 4-(4-хлорбензил)-2-диметиламинометил-1-(3-метоксифенил)циклогексанол, 4-(4-хлорбензил)-2-диметиламинометил-1-(3-фенилпропил)циклогексанол, 4-(4-хлорбензил)-1-(2,3-дихлорфенил)-2-диметиламинометилциклогексанол, 4-(4-хлорбензил)-1-циклогексилметил-2-диметиламинометилциклогексанол, 4-(4-хлорбензил)-2-диметиламинометил-1-(5-фтор-2-метоксифенил)циклогексанол, 4-(4-хлорбензил)-2-диметиламинометил-1-(3-фторфенил)циклогексанол, 4-(4-хлорбензил)-1-(3-хлорфенил)-2-диметиламинометилциклогексанол, 4-(4-хлорбензил)-1-(3,5-дихлорфенил)-2-диметиламинометилциклогексанол, 4-(4-хлорбензил)-1-(2-хлорбензил)-2-диметиламинометилциклогексанол, 4-(4-хлорбензил)-2-диметиламинометил-1-(4-фторбензил)циклогексанол, 4-(4-хлорбензил)-2-диметиламинометил-1-(3-фторбензил)циклогексанол, 4-(4-хлорбензил)-2-диметиламинометил-1-(2-метоксифенил)циклогексанол, 4-(4-хлорбензил)-2-диметиламинометил-1-(2-метилбензил)циклогексанол, 4-(4-хлорбензил)-2-диметиламинометил-1-(3-метилбензил)циклогексанол, 1,4-бис(4-хлорбензил)-2-диметиламинометилциклогексанол, 4-(4-хлорбензил)-1-(2-хлор-6-фторбензил)-2-диметиламинометилциклогексанол, 4-(4-хлорбензил)-2-диметиламинометил-1-(2,5-диметилбензил)циклогексанол, 4-(4-хлорбензил)-1-(3-хлорбензил)-2-диметиламинометилциклогексанол, 4-(4-хлорбензил)-1-(2,4-дихлорбензил)-2-диметиламинометилциклогексанол, 4-(4-хлорбензил)-2-диметиламинометил-1-фенилциклогексанол, 4-(4-хлорбензил)-1-(4-хлорфенил)-2-диметиламинометилциклогексанол, 4-(4-хлорбензил)-2-диметиламинометил-1-(4-фтор-3-метилфенил)циклогексанол, 4-(4-хлорбензил)-2-диметиламинометил-1-о-толилциклогексанол, 4-(4-хлорбензил)-2-диметиламинометил-1-винилциклогексанол, 4-(4-хлорбензил)-1-циклопентил-2-диметиламинометилциклогексанол, 4-(4-хлорбензил)-2-диметиламинометил-1-м-толилциклогексанол, 4-(4-хлорбензил)-2-диметиламинометилбициклогексил-1-ол, 4-(4-хлорбензил)-2-диметиламинометил-1-(4-фторфенил)циклогексанол, 4-(4-хлорбензил)-2-диметиламинометил-1-фенетилциклогексанол, 4-(4-хлорбензил)-2-диметиламинометил-1-фенилэтинилциклогексанол, 4-(4-хлорбензил)-2-диметиламинометил-1-тиофен-2-илциклогексанол, 4-(4-хлорбензил)-2-диметиламинометил-1-n-толилциклогексанол, 4-(4-хлорбензил)-2-диметиламинометил-1-(4-метоксифенил)циклогексанол, 4-(4-хлорбензил)-2-диметиламинометил-1-триметилсиланилэтинилциклогексанол, 4-(4-хлорбензил)-1-(4-хлор-3-трифторметилфенил)-2-диметиламинометилциклогексанол, 4-(4-хлорбензил)-1-(3-хлор-4-фторфенил)-2-диметиламинометилциклогексанол, 4-(4-хлорбензил)-2-диметиламинометил-1-(3-трифторметилфенил)циклогексанол, 2-диметиламинометил-4-(4-фторбензил)-1-фенилциклогексанол, 1-(4-хлорфенил)-2-диметиламинометил-4-(4-фторбензил)циклогексанол, 1-бензил-2-диметиламинометил-4-(4-фторбензил)циклогексанол, 2-диметиламинометил-4-(4-фторбензил)-1-(4-фтор-3-метилфенил)циклогексанол, 2-диметиламинометил-4-(4-фторбензил)-1-о-толилциклогексанол, 2-диметиламинометил-4-(4-фторбензил)-1-винилциклогексанол, 1-(4-трет-бутилфенил)-2-диметиламинометил-4-(4-фторбензил)циклогексанол, 1-циклопентил-2-диметиламинометил-4-(4-фторбензил)циклогексанол, 2-диметиламинометил-4-(4-фторбензил)-1-м-толилциклогексанол, 2-диметиламинометил-4-(4-фторбензил)бициклогексил-1-ол, 2-диметиламинометил-4-(4-фторбензил)-1-(4-фторфенил)циклогексанол, 2-диметиламинометил-4-(4-фторбензил)-1-фенетилциклогексанол, 2-диметиламинометил-4-(4-фторбензил)-1-фенилэтинилциклогексанол, 2-диметиламинометил-4-(4-фторбензил)-1-тиофен-2-илциклогексанол, 2-диметиламинометил-4-(4-фторбензил)-1-(3-метоксифенил)циклогексанол, 2-диметиламинометил-4-(4-фторбензил)-1-(3-фенилпропил)циклогексанол, 1-(2,3-дихлорфенил)-2-диметиламинометил-4-(4-фторбензил)циклогексанол, 2-диметиламинометил-4-(4-фторбензил)-1-п-толилциклогексанол, 2-диметиламинометил-4-(4-фторбензил)-1-(4-метоксифенил)циклогексанол, 1-циклогексилметил-2-диметиламинометил-4-(4-фторбензил)циклогексанол, 2-диметиламинометил-4-(4-фторбензил)-1-(5-фтор-2-метоксифенил)циклогексанол, 2-диметиламинометил-4-(4-фторбензил)-1-(3-фторфенил)циклогексанол, 1-(3-хлорфенил)-2-диметиламинометил-4-(4-фторбензил)циклогексанол, 1-(3,5-дихлорфенил)-2-диметиламинометил-4-(4-фторбензил)циклогексанол, 1-(2-хлорбензил)-2-диметиламинометил-4-(4-фторбензил)циклогексанол, 2-диметиламинометил-1,4-бис(4-фторбензил)циклогексанол, 2-диметиламинометил-4-(4-фторбензил)-1-(3-метоксибензил)циклогексанол, 1-(4-хлор-3-трифторметилфенил)-2-диметиламинометил-4-(4-фторбензил)циклогексанол, 2-диметиламинометил-4-(4-фторбензил)-1-(3-фторбензил)циклогексанол, 2-диметиламинометил-4-(4-фторбензил)-1-(2-метоксифенил)циклогексанол, 2-диметиламинометил-4-(4-фторбензил)-1-(2-метилбензил)циклогексанол, 1-(3-хлор-4-фторфенил)-2-диметиламинометил-4-(4-фторбензил)циклогексанол, 2-диметиламинометил-4-(4-фторбензил)-1-(3-трифторметилфенил)циклогексанол, 2-диметиламинометил-4-(4-фторбензил)-1-(3-метилбензил)циклогексанол, 1-(4-хлорбензил)-2-диметиламинометил-4-(4-фторбензил)циклогексанол, 1-(2-хлор-6-фторбензил)-2-диметиламинометил-4-(4-фторбензил)циклогексанол, 2-диметиламинометил-1-(2,5-диметилбензил)-4-(4-фторбензил)циклогексанол, 1-(3-хлорбензил)-2-диметиламинометил-4-(4-фторбензил)циклогексанол, 1-(2,4-дихлорбензил)-2-диметиламинометил-4-(4-фторбензил)циклогексанол, 2-диметиламинометил-4-(3-метоксибензил)-1-фенилциклогексанол, 1-бензил-2-диметиламинометил-4-(3-метоксибензил)циклогексанол, 2-диметиламинометил-1-(4-фтор-3-метилфенил)-4-(3-метоксибензил)циклогексанол, 2-диметиламинометил-4-(3-метоксибензил)-1-о-толилциклогексанол, 2-диметиламинометил-4-(3-метоксибензил)-1-винилциклогексанол, 1-(4-трет-бутилфенил)-2-диметиламинометил-4-(3-метоксибензил)циклогексанол, 1-циклопентил-2-диметиламинометил-4-(3-метоксибензил)циклогексанол, 2-диметиламинометил-4-(3-метоксибензил)-1-м-толилциклогексанол, 2-диметиламинометил-4-(3-метоксибензил)бициклогексил-1-ол, 2-диметиламинометил-4-(3-метоксибензил)-1-фенетилциклогексанол, 2-диметиламинометил-4-(3-метоксибензил)-1-фенилэтинилциклогексанол, 2-диметиламинометил-4-(3-метоксибензил)-1-тиофен-2-илциклогексанол, 2-диметиламинометил-4-(3-метоксибензил)-1-(3-метоксифенил)циклогексанол, 2-диметиламинометил-4-(3-метоксибензил)-1-(3-фенилпропил)циклогексанол, 1-(2,3-дихлорфенил)-2-диметиламинометил-4-(3-метоксибензил)циклогексанол, 2-диметиламинометил-4-(3-метоксибензил)-1-п-толилциклогексанол, 1-циклогексилметил-2-диметиламинометил-4-(3-метоксибензил)циклогексанол, 2-диметиламинометил-1-(5-фтор-2-метоксифенил)-4-(3-метоксибензил)циклогексанол, 1-(3-хлорфенил)-2-диметиламинометил-4-(3-метоксибензил)циклогексанол, 1-(3,5-дихлорфенил)-2-диметиламинометил-4-(3-метоксибензил)циклогексанол, 1-(4-хлор-3-трифторметилфенил)-2-диметиламинометил-4-(3-метоксибензил)циклогексанол, 2-диметиламинометил-1-(3-фторбензил)-4-(3-метоксибензил)циклогексанол, 2-диметиламинометил-4-(3-метоксибензил)-1-(2-метоксифенил)циклогексанол, 2-диметиламинометил-4-(3-метоксибензил)-1-(3-трифторметилфенил)циклогексанол, 1-(2-хлор-6-фторбензил)-2-диметиламинометил-4-(3-метоксибензил)циклогексанол, 2-диметиламинометил-1-(2,5-диметилбензил)-4-(3-метоксибензил)циклогексанол, 1-(3-хлорбензил)-2-диметиламинометил-4-(3-метоксибензил)циклогексанол, 2-диметиламинометил-4-(4-фторбензилокси)-1-фенилциклогексанол, 1-бензил-2-диметиламинометил-4-(4-фторбензилокси)циклогексанол, 2-диметиламинометил-4-(4-фторбензилокси)-1-(4-фтор-3-метилфенил)циклогексанол, 2-диметиламинометил-4-(4-фторбензилокси)-1-винилциклогексанол, 1-(4-трет-бутилфенил)-2-диметиламинометил-4-(4-фторбензилокси)циклогексанол, 1-циклопентил-2-диметиламинометил-4-(4-фторбензилокси)циклогексанол, 2-диметиламинометил-4-(4-фторбензилокси)-1-м-толилциклогексанол, 2-диметиламинометил-4-(4-фторбензилокси)бициклогексил-1-ол, 2-диметиламинометил-4-(4-фторбензилокси)-1-фенетилциклогексанол, 2-диметиламинометил-4-(4-фторбензилокси)-1-фенилэтинилциклогексанол, 2-диметиламинометил-4-(4-фторбензилокси)-1-тиофен-2-илциклогексанол, 2-диметиламинометил-4-(4-фторбензилокси)-1-(3-метоксифенил)циклогексанол, 2-диметиламинометил-4-(4-фторбензилокси)-1-п-толилциклогексанол, 1-циклогексилметил-2-диметиламинометил-4-(4-фторбензилокси)циклогексанол, 2-диметиламинометил-1-(3-фторбензил)-4-(4-фторбензилокси)циклогексанол, 2-диметиламинометил-4-(4-фторбензилокси)-1-(2-метоксифенил)циклогексанол, 2-диметиламинометил-4-(4-фторбензилокси)-1-(3-метилбензил)циклогексанол, 2-диметиламинометил-1-(2,5-диметилбензил)-4-(4-фторбензилокси)циклогексанол, 1-(3-хлорбензил)-2-диметиламинометил-4-(4-фторбензилокси)циклогексанол, [5-бензилокси-2-(3-метоксифенил)циклогексилметил]диметиламин, [5-(3-хлорбензилокси)-2-(3-метоксифенил)циклогексилметил]диметиламин, [2-(3-метоксифенил)-5-(нафталин-2-илметокси)циклогексилметил]диметиламин, [5-(3-метоксибензилокси)-2-(3-метоксифенил)циклогексилметил]диметиламин, [5-(4-хлорбензилокси)-2-(3-метоксифенил)циклогексилметил]диметиламин, [5-(4-метоксибензилокси)-2-(3-метоксифенил)циклогексилметил]диметиламин, 2-диметиламинометил-1-(3-метоксифенил)-4-(нафталин-2-илметокси)циклогексанол, [5-(4-метоксибензилокси)-2-(3-метоксифенил)циклогекс-2-енилметил]диметиламин, 3-диметиламинометил-4-гидрокси-4-(3-метоксифенил)циклогексиловый эфир масляной кислоты, 4-амино-2-диметиламинометил-1-(3-метоксифенил)циклогексанол, 2-диметиламинометил-1-(3-метоксифенил)-4-(нафталин-2-илметокси)циклогексанол, 3-диметиламинометил-4-гидрокси-4-(3-метоксифенил)циклогексиловый эфир 4-метоксибензойной кислоты, 3-диметиламинометил-4-гидрокси-4-(3-метоксифенил)циклогексиловый эфир 3-метоксибензойной кислоты, 3-диметиламинометил-4-гидрокси-4-(3-метоксифенил)циклогексиловый эфир 2,2-диметилпропионовой кислоты, 3-диметиламинометил-4-гидрокси-4-(3-метоксифенил)циклогексиловый эфир масляной кислоты, 3-диметиламинометил-4-гидрокси-4-(3-метоксифенил)циклогексиловый эфир 4-метоксибензойной кислоты, 3-диметиламинометил-4-гидрокси-4-(3-метоксифенил)циклогексиловый эфир 3-метоксибензойной кислоты, 3-диметиламинометил-4-гидрокси-4-(3-метоксифенил)циклогексиловый эфир 2,2-диметилпропионовой кислоты, 3-диметиламинометил-4-гидрокси-4-(3-метоксифенил)циклогексиловый эфир 3,4-диметоксибензойной кислоты, 3-диметиламинометил-4-гидрокси-4-(3-метоксифенил)циклогексиловый эфир 3,4-диметоксибензойной кислоты, 3-диметиламинометил-4-гидрокси-4-(3-метоксифенил)циклогексиловый эфир нафталин-2-карбоновой кислоты, 3-диметиламинометил-4-гидрокси-4-(3-метоксифенил)циклогексиловый эфир 4-метилбензойной кислоты, 3-диметиламинометил-4-гидрокси-4-(3-метоксифенил)циклогексиловый эфир 3,4-дихлорбензойной кислоты, 3-диметиламинометил-4-гидрокси-4-(3-метоксифенил)циклогексиловый эфир 4-хлорбензойной кислоты, 3-диметиламинометил-4-гидрокси-4-(3-метоксифенил)циклогексиловый эфир 3-хлорбензойной кислоты, 3-диметиламинометил-4-гидрокси-4-(3-метоксифенил)циклогексиловый эфир 2-хлорбензойной кислоты, 3-диметиламинометил-4-гидрокси-4-(3-метоксифенил)циклогексиловый эфир 4-трифторметилбензойной кислоты, 3-диметиламинометил-4-гидрокси-4-(3-метоксифенил)циклогексиловый эфир 3,5-дифторбензойной кислоты, 3-диметиламинометил-4-гидрокси-4-(3-метоксифенил)циклогексиловый эфир 4-фторбензойной кислоты, 3-диметиламинометил-4-гидрокси-4-(3-метоксифенил)циклогексиловый эфир 3-фторбензойной кислоты, 3-диметиламинометил-4-гидрокси-4-(3-метоксифенил)циклогексиловый эфир 2-фторбензойной кислоты, 3-диметиламинометил-4-гидрокси-4-(3-метоксифенил)циклогексиловый эфир циклопентанкарбоновой кислоты, 3-диметиламинометил-4-гидрокси-4-(3-метоксифенил)циклогексиловый эфир (4-метоксифенил)уксусной кислоты, 3-диметиламинометил-4-гидрокси-4-(3-метоксифенил)циклогексиловый эфир (3-метоксифенил)уксусной кислоты, 3-диметиламинометил-4-гидрокси-4-(3-метоксифенил)циклогексиловый эфир фенилуксусной кислоты, 3-диметиламинометил-4-гидрокси-4-(3-метоксифенил)циклогексиловый эфир 3,4,5-триметоксибензойной кислоты, 3-диметиламинометил-4-гидрокси-4-(3-метоксифенил)циклогексиловый эфир 3,5-диметоксибензойной кислоты, 3-диметиламинометил-4-гидрокси-4-(3-метоксифенил)циклогексиловый эфир нафталин-1-карбоновой кислоты, 3-диметиламинометил-4-гидрокси-4-(3-метоксифенил)циклогексиловый эфир 2-метоксибензойной кислоты, 3-диметиламинометил-4-гидрокси-4-(3-метоксифенил)циклогексиловый эфир нафталин-2-карбоновой кислоты, 3-диметиламинометил-4-гидрокси-4-(3-метоксифенил)циклогексиловый эфир 2-гидроксибензойной кислоты, 3-диметиламинометил-4-гидрокси-4-(3-метоксифенил)циклогексиловый эфир 4-метилбензойной кислоты, 3-диметиламинометил-4-гидрокси-4-(3-метоксифенил)циклогексиловый эфир 3,4-дихлорбензойной кислоты, 3-диметиламинометил-4-гидрокси-4-(3-метоксифенил)циклогексиловый эфир 4-хлорбензойной кислоты, 3-диметиламинометил-4-гидрокси-4-(3-метоксифенил)циклогексиловый эфир 3-хлорбензойной кислоты, 3-диметиламинометил-4-гидрокси-4-(3-метоксифенил)циклогексиловый эфир 2-хлорбензойной кислоты, 3-диметиламинометил-4-гидрокси-4-(3-метоксифенил)циклогексиловый эфир 4-трифторметилбензойной кислоты, 3-диметиламинометил-4-гидрокси-4-(3-метоксифенил)циклогексиловый эфир 3,5-дифторбензойной кислоты, 3-диметиламинометил-4-гидрокси-4-(3-метоксифенил)циклогексиловый эфир 4-фторбензойной кислоты, 3-диметиламинометил-4-гидрокси-4-(3-метоксифенил)циклогексиловый эфир 3-фторбензойной кислоты, 3-диметиламинометил-4-гидрокси-4-(3-метоксифенил)циклогексиловый эфир 2-фторбензойной кислоты, 3-диметиламинометил-4-гидрокси-4-(3-метоксифенил)циклогексиловый эфир циклопентанкарбоновой кислоты, 3-диметиламинометил-4-гидрокси-4-(3-метоксифенил)циклогексиловый эфир (4-метоксифенил)уксусной кислоты, 3-диметиламинометил-4-гидрокси-4-(3-метоксифенил)циклогексиловый эфир (3-метоксифенил)уксусной кислоты, 3-диметиламинометил-4-гидрокси-4-(3-метоксифенил)циклогексиловый эфир фенилуксусной кислоты, 3-диметиламинометил-4-гидрокси-4-(3-метоксифенил)циклогексиловый эфир 3,4,5-триметоксибензойной кислоты, 3-диметиламинометил-4-гидрокси-4-(3-метоксифенил)циклогексиловый эфир 3,5-диметоксибензойной кислоты, 3-диметиламинометил-4-гидрокси-4-(3-метоксифенил)циклогексиловый эфир нафталин-1-карбоновой кислоты, 3-диметиламинометил-4-гидрокси-4-(3-метоксифенил)циклогексиловый эфир 2-метоксибензойной кислоты, 2-диметиламинометил-1,4-бис(3-метоксифенил)циклогексан-1,4-диол, 2-диметиламинометил-1,4-бис(3-метоксифенил)циклогексан-1,4-диол, 6-(4-бензилокси-2-диметиламинометил-1-гидроксициклогексил)нафталин-2-ол, 4-бензилокси-2-диметиламинометил-1-(6-метоксинафталин-2-ил)циклогексанол, 3-диметиламинометил-4-гидрокси-4-(3-метоксифенил)циклогексиловый эфир масляной кислоты, 2-диметиламинометил-1-(3-метоксифенил)-4-метиламиноциклогексанол, 3-диметиламинометил-4-гидрокси-4-(3-метоксифенил)циклогексиловый эфир валериановой кислоты, этиловый эфир [3-диметиламинометил-4-гидрокси-4-(3-метоксифенил)циклогексилиден]уксусной кислоты, 3-[2-диметиламинометил-4-(4-фторбензилокси)-1-гидроксициклогексил]фенол, 4-бензилокси-2-диметиламинометил-1-(3-фенилпропил)циклогексанол, 2-диметиламинометил-4-(4-фторбензилокси)-1-(3-фенилпропил)циклогексанол, 2-диметиламинометил-1-(3-фторбензил)-4-(4-фторбензилокси)циклогексанол, 4-бензилокси-2-диметиламинометил-1-(3-фторбензил)циклогексанол, 2-диметиламинометил-4-(4-фторбензилокси)-1-п-толилциклогексанол, 4-бензилокси-2-диметиламинометил-1-п-толилциклогексанол, 2-диметиламинометил-1-(2,5-диметилбензил)-4-(4-фторбензилокси)циклогексанол, 4-бензилокси-2-диметиламинометил-1-(2,5-диметилбензил)циклогексанол, 1-(4-хлор-3-трифторметилфенил)-2-диметиламинометил-4-(4-фторбензилокси)циклогексанол, 4-бензилокси-1-(4-хлор-3-трифторметилфенил)-2-диметиламинометилциклогексанол, [2,5-бис(4-фторбензилокси)-2-(3-метоксифенил)циклогексилметил]диметиламин, 5-диметиламинометил-4-(3-метоксифенил)циклогекс-3-енол, 2-диметиламинометил-1-(6-метоксинафталин-2-ил)циклогексан-1,4-диол, 3-диметиламинометил-4-гидрокси-4-(6-метоксинафталин-2-ил)циклогексиловый эфир масляной кислоты, 4-гидрокси-3-(4-метилпиперазин-1-илметил)-4-нафталин-2-илциклогексиловый эфир бензойной кислоты, 4-гидрокси-3-(4-метилпиперазин-1-илметил)-4-нафталин-2-илциклогексиловый эфир 2-хлорбензойной кислоты, 4-гидрокси-3-(4-метилпиперазин-1-илметил)-4-нафталин-2-илциклогексиловый эфир 3-хлорбензойной кислоты, 4-гидрокси-3-(4-метилпиперазин-1-илметил)-4-нафталин-2-илциклогексиловый эфир 4-хлорбензойной кислоты, 4-гидрокси-3-(4-метилпиперазин-1-илметил)-4-нафталин-2-илциклогексиловый эфир 2-фторбензойной кислоты, 4-гидрокси-3-(4-метилпиперазин-1-илметил)-4-нафталин-2-илциклогексиловый эфир 3-фторбензойной кислоты, 4-гидрокси-3-(4-метилпиперазин-1-илметил)-4-нафталин-2-илциклогексиловый эфир 4-фторбензойной кислоты, 4-гидрокси-3-(4-метилпиперазин-1-илметил)-4-нафталин-2-илциклогексиловый эфир 2-метилбензойной кислоты, 4-гидрокси-3-(4-метилпиперазин-1-илметил)-4-нафталин-2-илциклогексиловый эфир 3-метилбензойной кислоты, 4-гидрокси-3-(4-метилпиперазин-1-илметил)-4-нафталин-2-илциклогексиловый эфир 4-метилбензойной кислоты, 4-гидрокси-3-(4-метилпиперазин-1-илметил)-4-нафталин-2-илциклогексиловый эфир 2-метоксибензойной кислоты, 4-гидрокси-3-(4-метилпиперазин-1-илметил)-4-нафталин-2-илциклогексиловый эфир 3-метоксибензойной кислоты, 4-гидрокси-3-(4-метилпиперазин-1-илметил)-4-нафталин-2-илциклогексиловый эфир 4-метоксибензойной кислоты, 4-гидрокси-3-(4-метилпиперазин-1-илметил)-4-нафталин-2-илциклогексиловый эфир 2,6-дихлорбензойной кислоты, 4-гидрокси-3-(4-метилпиперазин-1-илметил)-4-нафталин-2-илциклогексиловый эфир 2,6-дифторбензойной кислоты, 4-гидрокси-3-(4-метилпиперазин-1-илметил)-4-нафталин-2-илциклогексиловый эфир 2-хлор-5-фторбензойной кислоты, 4-гидрокси-3-(4-метилпиперазин-1-илметил)-4-нафталин-2-илциклогексиловый эфир дифенил-4-карбоновой кислоты, 4-гидрокси-4-(6-метоксинафталин-2-ил)-3-(4-метилпиперазин-1-илметил)циклогексиловый эфир 2-хлорбензойной кислоты, 4-гидрокси-4-(6-метоксинафталин-2-ил)-3-(4-метилпиперазин-1-илметил)циклогексиловый эфир 3-хлорбензойной кислоты, 4-гидрокси-4-(6-метоксинафталин-2-ил)-3-(4-метилпиперазин-1-илметил)циклогексиловый эфир 4-хлорбензойной кислоты, 4-гидрокси-4-(6-метоксинафталин-2-ил)-3-(4-метилпиперазин-1-илметил)циклогексиловый эфир 2-фторбензойной кислоты, 4-гидрокси-4-(6-метоксинафталин-2-ил)-3-(4-метилпиперазин-1-илметил)циклогексиловый эфир 3-фторбензойной кислоты, 4-гидрокси-4-(б-метоксинафталин-2-ил)-3-(4-метилпиперазин-1-илметил)циклогексиловый эфир 4-фторбензойной кислоты, 4-гидрокси-4-(6-метоксинафталин-2-ил)-3-(4-метилпиперазин-1-илметил)циклогексиловый эфир 2-метилбензойной кислоты, 4-гидрокси-4-(6-метоксинафталин-2-ил)-3-(4-метилпиперазин-1-илметил)циклогексиловый эфир 3-метилбензойной кислоты, 4-гидрокси-4-(6-метоксинафталин-2-ил)-3-(4-метилпиперазин-1-илметил)циклогексиловый эфир 4-метилбензойной кислоты, 4-гидрокси-4-(6-метоксинафталин-2-ил)-3-(4-метилпиперазин-1-илметил)циклогексиловый эфир 2-метоксибензойной кислоты, 4-гидрокси-4-(6-метоксинафталин-2-ил)-3-(4-метилпиперазин-1-илметил)циклогексиловый эфир 3-метоксибензойной кислоты, 4-гидрокси-4-(6-метоксинафталин-2-ил)-3-(4-метилпиперазин-1-илметил)циклогексиловый эфир 4-метоксибензойной кислоты, 4-гидрокси-4-(6-метоксинафталин-2-ил)-3-(4-метилпиперазин-1-илметил)циклогексиловый эфир 2,6-дихлорбензойной кислоты, 4-гидрокси-4-(6-метоксинафталин-2-ил)-3-(4-метилпиперазин-1-илметил)циклогексиловый эфир 2,6-фторбензойной кислоты, 4-гидрокси-4-(6-метоксинафталин-2-ил)-3-(4-метилпиперазин-1-илметил)циклогексиловый эфир 2-хлор-6-фторбензойной кислоты, 4-гидрокси-4-(6-метоксинафталин-2-ил)-3-(4-метилпиперазин-1-илметил)циклогексиловый эфир дифенил-4-карбоновой кислоты, 4-(2-хлорбензилокси)-2-(4-метилпиперазин-1-илметил)-1-нафталин-2-илциклогексанол, 4-(3-хлорбензилокси)-2-(4-метилпиперазин-1-илметил)-1-нафталин-2-илциклогексанол, 4-(4-хлорбензилокси)-2-(4-метилпиперазин-1-илметил)-1-нафталин-2-илциклогексанол, 4-(2-фторбензилокси)-2-(4-метилпиперазин-1-илметил)-1-нафталин-2-илциклогексанол, 4-(3-фторбензилокси)-2-(4-метилпиперазин-1-илметил)-1-нафталин-2-илциклогексанол, 4-(4-фторбензилокси)-2-(4-метилпиперазин-1-илметил)-1-нафталин-2-илциклогексанол, 4-(2-метилбензилокси)-2-(4-метилпиперазин-1-илметил)-1-нафталин-2-илциклогексанол, 4-(3-метилбензилокси)-2-(4-метилпиперазин-1-илметил)-1-нафталин-2-илциклогексанол, 4-(4-метилбензилокси)-2-(4-метилпиперазин-1-илметил)-1-нафталин-2-илциклогексанол, 4-(2-метоксибензилокси)-2-(4-метилпиперазин-1-илметил)-1-нафталин-2-илциклогексанол, 4-(3-метоксибензилокси)-2-(4-метилпиперазин-1-илметил)-1-нафталин-2-илциклогексанол, 4-(4-метоксибензилокси)-2-(4-метилпиперазин-1-илметил)-1-нафталин-2-илциклогексанол, 4-(2,6-дихлорбензилокси)-2-(4-метилпиперазин-1-илметил)-1-нафталин-2-илциклогексанол, 4-(2,6-дифторбензилокси)-2-(4-метилпиперазин-1-илметил)-1-нафталин-2-илциклогексанол, 4-(2-хлор-6-фторбензилокси)-2-(4-метилпиперазин-1-илметил)-1-нафталин-2-илциклогексанол, 4-(2-хлорбензилокси)-1-(6-метоксинафталин-2-ил)-2-(4-метилпиперазин-1-илметил)циклогексанол, 4-(3-хлорбензилокси)-1-(6-метоксинафталин-2-ил)-2-(4-метилпиперазин-1-илметил)циклогексанол, 4-(4-хлорбензилокси)-1-(6-метоксинафталин-2-ил)-2-(4-метилпиперазин-1-илметил)циклогексанол, 4-(2-фторбензилокси)-1-(6-метоксинафталин-2-ил)-2-(4-метилпиперазин-1-илметил)циклогексанол, 4-(3-фторбензилокси)-1-(6-метоксинафталин-2-ил)-2-(4-метилпиперазин-1-илметил)циклогексанол, 4-(4-фторбензилокси)-1-(6-метоксинафталин-2-ил)-2-(4-метилпиперазин-1-илметил)циклогексанол, 4-(2-метилбензилокси)-1-(6-метоксинафталин-2-ил)-2-(4-метилпиперазин-1-илметил)циклогексанол, 4-(3-метилбензилокси)-1-(6-метоксинафталин-2-ил)-2-(4-метилпиперазин-1-илметил)циклогексанол, 4-(4-метилбензилокси)-1-(6-метоксинафталин-2-ил)-2-(4-метилпиперазин-1-илметил)циклогексанол, 4-(2-метоксибензилокси)-1-(6-метоксинафталин-2-ил)-2-(4-метилпиперазин-1-илметил)циклогексанол, 4-(3-метоксибензилокси)-1-(6-метоксинафталин-2-ил)-2-(4-метилпиперазин-1-илметил)циклогексанол, 4-(4-метоксибензилокси)-1-(6-метоксинафталин-2-ил)-2-(4-метилпиперазин-1-илметил)циклогексанол, 4-(2,6-дихлорбензилокси)-1-(6-метоксинафталин-2-ил)-2-(4-метилпиперазин-1-илметил)циклогексанол, 4-(2,6-дифторбензилокси)-1-(6-метоксинафталин-2-ил)-2-(4-метилпиперазин-1-илметил)циклогексанол, 4-(2-хлор-6-фторбензилокси)-1-(6-метоксинафталин-2-ил)-2-(4-метилпиперазин-1-илметил)циклогексанол, 2-диметиламинометил-4-(4-фторбензилокси)-1-нафталин-2-илциклогексанол 3-диметиламинометил-4-гидрокси-4-(6-метоксинафталин-2-ил)циклогексиловый эфир 4-фторбензойной кислоты, 3-диметиламинометил-4-гидрокси-4-нафталин-2-илциклогексиловый эфир 4-фторбензойной кислоты, 2-диметиламинометил-4-(4-фторбензилокси)-1-(6-метоксинафталин-2-ил)циклогексанол, 6-[2-диметиламинометил-4-(4-фторбензилокси)-1-гидроксициклогексил]нафталин-2-ол, необязательно в виде их рацематов, их чистых стереоизомеров, прежде всего энантиомеров или диастереомеров, или в виде смесей стереоизомеров, прежде всего энантиомеров или диастереомеров, в любом их соотношении в смеси, в виде их физиологически совместимых солей или в виде их сольватов, прежде всего гидратов, в особенности гидрохлоридов или бисгидрохлоридов. 14. Фармацевтическая композиция, обладающая анальгетическим действием, содержащая по меньшей мере одно замещенное производное С-циклогексилметиламина по любому из пп.1-13 необязательно в сочетании с приемлемыми добавками и/или вспомогательными веществами и/или необязательно с другими действующими веществами. 15. Фармацевтическая композиция по п.14, отличающаяся тем, что содержащееся в ней замещенное производное С-циклогексилметиламина по любому из пп.1-13 представлено в виде чистого диастереомера и/или энантиомера, в виде рацемата или в виде неэквимолярной либо эквимолярной смеси диастереомеров и/или энантиомеров. 16. Применение замещенного производного С-циклогексилметиламина по любому из пп.1-13 для получения фармацевтической композиции для лечения боли, прежде всего невропатической или хронической боли. 17. Применение по п.16, отличающееся тем, что применяемое замещенное производное С-циклогексилметиламина по любому из пп.1-13 представлено в виде чистого диастереомера и/или энантиомера, в виде рацемата или в виде неэквимолярной либо эквимолярной смеси диастереомеров и/или энантиомеров.
|
|||||||||||||||||||||||||||||||||||||||||||||||||||||||||||||||||||||||||||||||||||||||||||||||||||||||||||||||||||||||||||||||||||||||||||||||||||||||||||||||||||||||||||||||||||||||||||||||||||||||||||||||||||||||||||||||||||||||||||||||||||||||||||||||||||||||||||||||||||||||||||||||||||||||||||||||||||||||||||||||||||||||||||||||||||||||||||||||||||||||||||||||||||||||||||||||||||||||||||||||||||||||||||||||||||||||||||||||||||||||||||||||||||||||||||||||||||||||||||||||||||||||||||||||||||||||||||||||||||||||||||||||||||||||||||||||||||||||||||||||||||||||||||||||||||||||||||||||||||||||||||||||||||||||||||||||||||||||||||||||||||||||||||||||||||||||||||||||||||||||||||||||||||||||||||||||||||||||||||||||||||||||||||||||||||||||||||||||||||||||||||||||||||||||||||||||||||||||||||||||||||||||||||||||||||||||||||||||||||||||||||||||||||||||||||||||||||||||||||||||||||||||||||||||||||||||||||||||||||||||||||||||||||||||||||||||||||||||||||||||||||||||||||||||||||||||||||||||||||||||





представляет собой
6-бензо[d]изотиазол-3-она (сахариновой кислоты), монометилсебациновой кислоты, 5-оксопролина, гексан-1-сульфоновой кислоты, никотиновой кислоты, 2-, 3-либо 4-аминобензойной кислоты, 2,4,6-триметилбензойной кислоты,
-липоевой кислоты, ацетилглицина, ацетилсалициловой кислоты, гиппуровой кислоты и/или аспарагиновой кислоты. Наиболее предпочтительной солью является гидрохлорид.
-подтипу опиатных рецепторов, образуется постепенно. Однако в отличие от кодеина, соответственно морфина, удалось выявить участие других механизмов, в частности ингибирования симаптосомального повторного захвата норадреналина и серотонина, в анальгетической активности трамадола (М.С.Frink и др., Arzneim.-Forsch/Drug Res. 46 (1996), сс.1029-1036; К.Flick и др., Arzneim.-Forsch/Drug Res. 28 (1978), сс.107-113). Тем не менее согласно существующим в настоящее время знаниям анальгетическая активность трамадола определяется главным образом тем воздействием его метаболита M1, которое он оказывает на 

, при этом В представляет собой ОН, и одновременно группировка
представляет собой



, где




, где

представляет собой группировку
. С этой целью указанные олефины гидрировали предпочтительно в атмосфере водорода или же под повышенным давлением водорода в присутствии переходного металла, необязательно связанного с носителем.
с соляной кислотой при температуре от -20 до +20°С получали хлорзамещенные производные
. При таком взаимодействии длительность реакции, концентрация используемой соляной кислоты и использование добавляемого при определенных условиях растворителя влияют на протекание реакции. В более жестких условиях, т.е. при применении соляной кислоты с более высокой концентрацией, при проведении реакции в течение длительного промежутка времени или при использовании более высоких температур, в результате подобного взаимодействия получали также олефины

представляет собой группировку
подвергали взаимодействию с аммиаком, соответственно R3 аммонийными солями, первичными или вторичными аминами в восстановительных условиях. Из литературы известно большое число методов, пригодных для проведения подобного взаимодействия (см., например, R.C.Larock, Comprehensive Organic Transformations, изд-во VCH Publishers, New York, Weinheim, Cambridge 1989). При этом предпочтительно использовали комплексные гидриды, такие как борогидрид натрия, цианборогидрид натрия или наиболее предпочтительно триацетоксиборогидрид натрия. Если таким путем получали первичные или вторичные амины, то их взаимодействием по известным из литературы методам с галогенангидридами кислот или с кислотами можно превращать в амиды, алкилировать по известным из литературы методам алкил-, арилалкил- или гетероарилалкилгалогенидами или подвергать гидроаминированию альдегидами также по известным из литературы методам (см., например, R.C.Larock, Comprehensive Organic Transformations, изд-во VCH Publishers, New York, Weinheim, Cambridge 1989).
или
представляет собой группировку
и/или альдегида
. Указанный сложный эфир
, например по реакции Виттига взаимодействием с хлоридом или бромидом метоксиметилфосфония и кислотным отщеплением первоначально образующегося эфира енола (см. G.Wittig и др., Chem. Ber. 95 (1962), с.2514-2525; S.O.Bhanot и др., J. Chem. Soc. С (1968), с.2583-2588).














представляет собой
или
или 

при этом В представляет собой ОН, и одновременно группировка
или 

обозначает 








и В выбран из ОН, OR7, H, F, в которой R7 выбран из разветвленного или неразветвленного незамещенного С1-4алкила;