|
|
(21), (22) Заявка: 2001132577/15, 08.06.2000
(24) Дата начала отсчета срока действия патента:
08.06.2000
(30) Конвенционный приоритет:
10.06.1999 US 60/138,365 07.06.2000 US 09/589,580
(43) Дата публикации заявки: 10.08.2003
(46) Опубликовано: 20.03.2007
(56) Список документов, цитированных в отчете о поиске:
US 5352784 A, 04.10.1994. US 5444065 A, 22.08.1995. US 5648516 A,15.07.1997. EP 894797 A, 03.02.1999. US 4689338 A, 25.08.1987.
(85) Дата перевода заявки PCT на национальную фазу:
10.01.2002
(86) Заявка PCT:
US 00/15702 (08.06.2000)
(87) Публикация PCT:
WO 00/76505 (21.12.2000)
Адрес для переписки:
125009, Москва, Романов пер., 4, стр. 2, Сквайр, Сандерс энд Демпси (Москва) ЛЛС, пат.пов. О.М.Безруковой
|
(72) Автор(ы):
КОУЛМАН Патрик Л. (US), КРУКС Стефен Л. (US), ЛИНДСТРОМ Кайл Дж. (US), МЕРРИЛЛ Брайон А. (US), РАЙС Майкл Дж. (US)
(73) Патентообладатель(и):
3М Инновейтив Пропертиз Компани (US)
|
(54) АМИДОЗАМЕЩЕННЫЕ ИМИДАЗОХИНОЛИНЫ
(57) Реферат:
Изобретение относится к области медицины и органической химии и касается фармацевтического препарата для индуцирования биосинтеза цитокинов, включающего соединения формулы (1), а также новых амидозамещенных имидазохинолинов формулы (1). Изобретение обеспечивает повышение эффективности индуцирования биосинтеза цитокинов. 14 н. и 27 з.п. ф-лы, 23 табл.

Настоящее изобретение относится к имидазохинолиновым соединениям, содержащим амидную функциональную группу в положении 1, и к фармацевтическим препаратам, содержащим эти соединения. Кроме того, настоящее изобретение относится к использованию этих соединений в качестве иммуномодуляторов, индуцирующих биосинтез цитокинов у животных, и для лечения различных патологий, в том числе вирусных и неоплазических заболеваний.
В первом заслуживающем доверии сообщении о циклической системе 1Н-имидазо[4,5-с]хинолина Бэкман и др. (Backman et al., J. Orq. Chem. 15, 1278-1284 (1950)) описывают синтез 1-(6-метокси-8-хинолинил)-2-метил-1Н-имидазо[4,5-с]хинолина для возможного использования в качестве противомалярийного средства. Впоследствии были описаны синтезы различных замещенных 1Н-имидазо[4,5-с]хинолинов. Например, Джэйн и др. (Jain et al., J. Med. Chem. 11, pp.87-92 (1968)) синтезировали соединение 1-[2-(4-пиперидил)этил]-1Н-имидазо[4,5-с]хинолин для использования в качестве противосудорожного и сердечно-сосудистого средства. Баранов и др. (Baranov et al., Chem. Abs. 85, 94362 (1976)) также сообщали о нескольких 2-оксоимидазо[4,5-с]хинолинах, а Берени и др. (Berenyi et al., J. Heterocvclic Chem., 18, 1537-1540 (1981)) описали некоторые 2-оксоимидазо[4,5-с]хинолины.
Впоследствии выяснилось, что некоторые 1Н-имидазо[4,5-с]хинолин-4-амины и их замещенные в положениях 1 и 2 производные могут применяться в качестве антивирусных средств, бронхолитических средств и иммуномодуляторов. Они описаны в том числе в патентах США №№4689338, 4698348, 4929624, 5037986, 5268376, 5346905 и 5389640, которые все инкорпорированы в настоящее изобретение путем отсылки.
Интерес к циклическим имидазохинолиновым системам сохраняется. Например, в ЕР 894797 описаны соединения имидазохинолинового типа, имеющие амидосодержащий заместитель в положении 1. Активные соединения этого ряда должны иметь концевой аминный заместитель, который может быть включен в гетероциклическое кольцо. Другим примером может служить WO 00/09506, который описывает имидазопиридиновые и имидазохинолиновые соединения, которые могут иметь амидо- или мочевиносодержащий заместитель в положении 1. Те соединения, которые, согласно этой публикации, могут иметь практическое применение, содержат заместитель в положении 1, в котором амидный или мочевинный азот является частью гетероциклического кольца. Несмотря на эти работы по выявлению соединений, которые могут быть использованы в качестве иммуномодуляторов, сохраняется потребность в соединениях, способных модулировать иммунный ответ, индуцирующих биосинтез цитокинов или активирующих другие механизмы.
Краткая формулировка сущности изобретения
Мы открыли новый класс соединений, которые могут применяться для индукции у животных биосинтеза цитокинов. В соответствии с этим в настоящем изобретении представлены имидазохинолин-4-аминовые и тетрагидроимидазохинолин-4-аминовые соединения с амдидосодержащим заместителем в положении 1. Соединения, которые могут быть использованы для индукции биосинтеза цитокинов, описываются Формулами (I), (Ia) и (Ib), которые более подробно определены ниже. Для этих соединений характерна общая структурная формула (I):

где R1, R2 и R определяются в рамках настоящего изобретения для каждого класса соединений, имеющих формулы (I), (Ia) и (Ib). Настоящее изобретение представляет также новые соединения, имеющие формулы (Ic), (Id) и (Ie), которые также могут быть использованы в качестве иммуномодуляторов и которые также характеризуются общей структурной формулой (I).
Соединения Формул I, (Ia), (Ib), (Ic), (Id) и (Ie) могут быть использованы в качестве иммуномодуляторов благодаря их способности индуцировать биосинтез цитокинов или иным способом модулировать иммунный ответ при их введении животным. Это позволяет применять эти соединения для лечения различных патологий, таких как вирусные заболевания и опухоли, чувствительных к таким изменениям иммунного ответа.
Кроме того, настоящее изобретение представляет фармацевтические препараты, содержащие иммуномодулирующие соединения, и методы индукции биосинтеза цитокинов у животных, и/или лечения вирусной инфекции, и/или лечения неоплазических патологий у животных путем введения животному соединения Формулы (I), (Ia), (Ib), (Ic), (Id) или (Ie).
Помимо этого представлены методы синтеза соединений настоящего изобретения и промежуточных продуктов, используемых в синтезе этих соединений.
Подробное описание изобретения
Как сказано выше, мы обнаружили, что некоторые соединения индуцируют биосинтез цитокинов и модифицируют иммунный ответ у животных. Такие соединения представлены ниже Формулами (I), (Ia), (Ib), (Ic), (Id) и (Ie).
В настоящем изобретении представлены фармацевтические препараты, содержащие терапевтически эффективное количество соединения Формулы (I):

где
R1 – это -алкил-NR3-СО-R4 или -алкенил-NR3-СО-R4; где R4 – это арил, гетероарил, алкил или алкенил, каждый из которых может быть незамещенным или замещенным одним или более заместителями, выбираемыми из группы, в которую входят:
-алкил;
-алкенил;
-алкинил;
-(алкил)0-1-арил;
-(алкил)0-1-(замещенный арил);
-(алкил)0-1-гетероарил;
-(алкил)0-1-(замещенный гетероарил);
-O-алкил;
-O-(алкил)0-1-арил;
-O-(алкил)0-1-(замещенный арил);
-O-(алкил)0-1-гетероарил;
-O-(алкил)0-1-(замещенный гетероарил);
-CO-(алкил)0-1-арил;
-CO-(алкил)0-1-(замещенный арил);
-CO-(алкил)0-1-гетероарил;
-CO-(алкил)0-1-(замещенный гетероарил);
-CO-арил;
-CO-(замещенный арил);
-CO-гетероарил;
-CO-(замещенный гетероарил);
-СООН;
-CO-O-алкил;
-CO-алкил;
-S(O)0-2-алкил;
-S(O)0-2-(алкил)0-1-арил;
-S(O)0-2-(алкил)0-1-(замещенный арил);
-S(O)0-2-(алкил)0-1-гетероарил;
-S(O)0-2-(алкил)0-1-(замещенный гетероарил);
-Р(O)(OR3)2;
-NR3-СО-О-алкил;
-N3;
-галоген;
-NO2;
-CN;
-галогеналкил;
-O-галогеналкил;
-CO-галогеналкил;
-ОН;
-SH; и в случае алкила, алкенила или гетероциклила, кетогруппа;
или R4 – это

где R5 – это арил, замещенный арил, гетероарил, замещенный гетероарил, гетероциклил или замещенный гетероциклил;
R2 выбирается из группы, в которую входят:
-водород;
-алкил;
-алкенил;
-арил;
-(замещенный арил);
-гетероарил;
-(замещенный гетероарил);
-гетероциклил;
-(замещенный гетероциклил);
-алкил-O-алкил;
-алкил-O-алкенил; и
-алкил или алкенил, замещенный одним или более заместителями, выбираемыми из группы, в которую входят:
-ОН;
-галоген;
-N(R3)2;
-CO-N(R3)2;
-CO-алкил C1-10
-СО-O-алкил C1-10;
-N3;
-арил;
-(замещенный арил);
-гетероарил;
-(замещенный гетероарил);
-гетероциклил;
-(замещенный гетероциклил);
-CO-арил; и
-CO-гетероарил;
каждый из R3 независимо выбирают из группы, в которую входят водород;
(алкил С1-10)-гетероарил; (алкил С1-10)-(замещенный гетероарил); (алкил С1-10)-арил; (алкил С1-10)-(замещенный арил) и алкил C1-10;
n – это число от 0 до 4,
а каждый R независимо выбирают из группы, в которую входят алкил C1-10, алкоксил C1-10, галоген и трифторметил, или его фармацевтически приемлемая соль, в сочетании с терапевтически приемлемым носителем.
Настоящее изобретение представляет также фармацевтические препараты, содержащие терапевтически эффективное количество соединения Формулы (Ia):

где
R1 – это -алкил-NR3-СО-R4 или -алкенил-NR3-СО-R4; где R4 – это арил, гетероарил, алкил или алкенил, каждый из которых может быть незамещенным или замещенным одним или более заместителями, выбираемыми из группы, в которую входят:
-гетероциклил;
-(замещенный гетероциклил);
-(алкил)0-1-гетероциклил;
-(алкил)0-1-(замещенный гетероциклил);
-O-(алкил)0-1-гетероциклил;
-O-(алкил)0-1-(замещенный гетероциклил);
-S(O)0-2-(алкил)0-1-гетероциклил; и
-S(O)0-2-(алкил)0-1-(замещенный гетероциклил);
R2 выбирается из группы, в которую входят:
-водород;
-алкил;
-алкенил;
-арил;
-(замещенный арил);
-гетероарил;
-(замещенный гетероарил);
-гетероциклил;
-(замещенный гетероциклил);
-алкил-O-алкил;
-алкил-O-алкенил; и
-алкил или алкенил, замещенный одним или более заместителями, выбираемыми из группы, в которую входят:
-ОН;
-галоген;
-N(R3)2;
-CO-N(R3)2;
-CO-алкил C1-10;
-СО-O-алкил C1-10;
-N3;
-арил;
-(замещенный арил);
-гетероарил;
-(замещенный гетероарил);
-гетероциклил;
-(замещенный гетероциклил);
-CO-арил; и
-CO-гетероарил;
каждый из R3 независимо выбирают из группы, в которую входят водород; (алкил С1-10)-гетероарил; (алкил С1-10)-(замещенный гетероарил); (алкил С1-10)-арил; (алкил С1-10)-(замещенный арил) и алкил C1-10;
n – это число от 0 до 4,
а каждый R независимо выбирают из группы, в которую входят алкил C1-10, алкоксил C1-10, галоген и трифторметил, или его фармацевтически приемлемая соль, в сочетании с терапевтически приемлемым носителем.
Настоящее изобретение представляет также фармацевтические препараты, включающие терапевтически эффективное количество соединения формулы (Ib):

где
R1 – это -алкил-NR3-O-R4 или -алкенил-NR3-СО-R4; где R4 – это гетероциклил, который может быть незамещенным или замещенным одним или более заместителями, выбираемыми из группы, в которую входят:
-алкил;
-алкенил;
-алкинил;
-(алкил)0-1-арил;
-(алкил)0-1-(замещенный арил);
-(алкил)0-1-гетероциклил;
-(алкил)0-1-(замещенный гетероциклил);
-(алкил)0-1-гетероарил;
-(алкил)0-1-(замещенный гетероарил);
-O-алкил;
-O-(алкил)0-1-арил;
-O-(алкил)0-1-(замещенный арил);
-O-(алкил)0-1-гетероциклил;
-O-(алкил)0-1-(замещенный гетероциклил);
-O-(алкил)0-1-гетероарил;
-O-(алкил)0-1-(замещенный гетероарил);
-CO-арил;
-CO-(замещенный арил);
-CO-гетероарил;
-CO-(замещенный гетероарил);
-СООН;
-СО-O-алкил;
-CO-алкил;
-S(O)0-2-алкил;
-S(O)0-2-(алкил)0-1-арил;
-S(O)0-2-(алкил)0-1-(замещенный арил);
-S(O)0-2-(алкил)0-1-гетероциклил;
-S(O)0-2-(алкил)0-1-(замещенный гетероциклил);
-S(O)0-2-(алкил)0-1-гетероарил;
-S(O)0-2-(алкил)0-1-(замещенный гетероарил);
-Р(O)(OR3)2;
-NR3-СО-O-алкил;
-N3;
-галоген;
-NO2;
-CN;
-галогеналкил;
-O-галогеналкил;
-CO-галогеналкил;
-ОН;
-SH;
или R4 – это

где R5 – это арил, замещенный арил, гетероарил, замещенный гетероарил, гетероциклил или замещенный гетероциклил;
R2 выбирается из группы, в которую входят:
-водород;
-алкил;
-алкенил;
-арил;
-(замещенный арил);
-гетероарил;
-(замещенный гетероарил);
-гетероциклил;
-(замещенный гетероциклил);
-алкил-O-алкил;
-алкил-O-алкенил; и
-алкил или алкенил, замещенный одним или более заместителями, выбираемыми из группы, в которую входят:
-ОН;
-галоген;
-N(R3)2;
-CO-N(R3)2;
-CO-алкил C1-10;
-СО-O-алкил C1-10;
-N3;
-арил;
-(замещенный арил);
-гетероарил;
-(замещенный гетероарил);
-гетероциклил;
-(замещенный гетероциклил);
-CO-арил; и
-CO-гетероарил;
каждый из R3 независимо выбирают из группы, в которую входят водород; (алкил С1-10)-гетероарил; (алкил С1-10)-(замещенный гетероарил); (алкил С1-10)-арил; (алкил С1-10)-(замещенный арил) и алкил C1-10;
n – это число от 0 до 4,
а каждый R независимо выбирают из группы, в которую входят алкил C1-10, алкоксил С1-10, галоген и трифторметил, или его фармацевтически приемлемая соль, в сочетании с терапевтически приемлемым носителем.
Кроме того, настоящее изобретение представляет соединения, которые могут быть использованы в качестве иммуномодуляторов. Один из классов таких соединений характеризуется структурной формулой (Ic):

где
R1 – это -алкил-NR3-СО-R4 или -алкенил-NR3-СО-R4; где R4 – это арил, гетероарил, гетероциклил, алкил или алкенил, каждый из которых может быть незамещенным или замещенным одним или более заместителями, выбираемыми из группы, в которую входят:
-алкил;
-алкенил;
-алкинил;
-(алкил)0-1-арил;
-(алкил)0-1-(замещенный арил);
-(алкил)0-1-гетероарил;
-(алкил)0-1-(замещенный гетероарил);
-(алкил)0-1-гетероциклил;
-(алкил)0-1-(замещенный гетероциклил);
-O-алкил;
-O-(алкил)0-1-арил;
-O-(алкил)0-1-(замещенный арил);
-O-(алкил)0-1-гетероарил;
-O-(алкил)0-1-(замещенный гетероарил);
-O-(алкил)0-1-гетероциклил;
-O-(алкил)0-1-(замещенный гетероциклил);
-CO-арил;
-CO-(замещенный арил);
-CO-гетероарил;
-CO-(замещенный гетероарил);
-СООН;
-СО-O-алкил;
-CO-алкил;
-S(O)0-2-алкил;
-S(O)0-2-(алкил)0-1-арил;
-S(O)0-2-(алкил)0-1-(замещенный арил);
-S(O)0-2-(алкил)0-1-гетероарил;
-S(O)0-2-(алкил)0-1-(замещенный гетероарил);
-S(O)0-2-(алкил)0-1-гетероциклил;
-S(O)0-2-(алкил)0-1-(замещенный гетероциклил);
-Р(O)(OR3)2;
-NR6-CO-O-алкил;
-N3;
-галоген;
-NO2;
-CN;
-галогеналкил;
-O-галогеналкил;
-CO-галогеналкил;
-OH;
-SH; и, в случае алкила, алкенила или гетероциклила, кетогруппа;
или R4 – это

где R5 – это арил, замещенный арил, гетероарил, замещенный гетероарил, гетероциклил или замещенный гетероциклил;
R2 выбирается из группы, в которую входят:
-водород;
-алкил;
-алкенил;
-арил;
-(замещенный арил);
-гетероарил;
-(замещенный гетероарил);
-гетероциклил;
-(замещенный гетероциклил);
-алкил-O-алкил;
-алкил-O-алкенил; и
-алкил или алкенил, замещенный одним или более заместителями, выбираемыми из группы, в которую входят:
-ОН;
-галоген;
-N(R6)2;
-CO-N(R6)2;
-CO-алкил C1-10;
-СО-O-алкил C1-10;
-N3;
-арил;
-(замещенный арил);
-гетероарил;
-(замещенный гетероарил);
-гетероциклил;
-(замещенный гетероциклил);
-CO-арил; и
-CO-гетероарил;
каждый из R3 независимо выбирают из группы, в которую входят (алкил C1-10)-гетероарил; (алкил С1-10)-(замещенный гетероарил); (алкил С1-10)-арил; (алкил С1-10)-(замещенный арил) и алкил C1-10;
каждый из R6 независимо выбирают из группы, в которую входят водород; (алкил С1-10)-гетероарил; (алкил С1-10)-(замещенный гетероарил); (алкил С1-10)-арил; (алкил С1-10)-(замещенный арил) и алкил С1-10;
n – это число от 0 до 4,
а каждый R независимо выбирают из группы, в которую входят алкил C1-10, алкоксил C1-10, галоген и трифторметил, или его фармацевтически приемлемая соль, в сочетании с терапевтически приемлемым носителем.
Еще один класс соединений, представленных в настоящем изобретении, описывается Формулой (Id):

где
R1 – это -алкил-NR3-СО-R4 или -алкенил-NR3-СО-R4; где R4 – это арил или гетероарил, который может быть незамещенным или замещенным одним или более заместителями, выбираемыми из группы, в которую входят:
-алкил;
-алкенил;
-алкинил;
-(алкил)0-1-арил;
-(алкил)0-1-(замещенный арил);
-(алкил)0-1-гетероарил;
-(алкил)0-1-(замещенный гетероарил);
-(алкил)0-1-гетероциклил;
-(алкил)0-1-(замещенный гетероциклил);
-O-алкил;
-O-(алкил)0-1-арил;
-O-(алкил)0-1-(замещенный арил);
-O-(алкил)0-1-гетероарил;
-O-(алкил)0-1-(замещенный гетероарил);
-O-(алкил)0-1-гетероциклил;
-O-(алкил)0-1-(замещенный гетероциклил);
-CO-арил;
-CO-(замещенный арил);
-CO-гетероарил;
-CO-(замещенный гетероарил);
-СООН;
-СО-O-алкил;
-CO-алкил;
-S(O)0-2-алкил;
-S(O)0-2-(алкил)0-1-арил;
-S(O)0-2-(алкил)0-1-(замещенный арил);
-S(O)0-2-(алкил)0-1-гетероарил;
-S(O)0-2-(алкил)0-1-(замещенный гетероарил);
-S(O)0-2-(алкил)0-1-гетероциклил;
-S(O)0-2-(алкил)0-1-(замещенный гетероциклил);
-Р(O)(OR3)2;
-NR3-СО-O-алкил;
-N3;
-галоген;
-NO2;
-CN;
-галогеналкил;
-O-галогеналкил;
-CO-галогеналкил;
-ОН; и
-SH;
R2 выбирается из группы, в которую входят:
-водород;
-алкил;
-алкенил;
-арил;
-(замещенный арил);
-гетероарил;
-(замещенный гетероарил);
-гетероциклил;
-(замещенный гетероциклил);
-алкил-O-алкил;
-алкил-O-алкенил; и
-алкил или алкенил, замещенный одним или более заместителями, выбираемыми из группы, в которую входят:
-ОН;
-галоген;
-N(R3)2;
-CO-N(R3)2;
-CO-алкил C1-10;
-СО-O-алкил C1-10;
-N3;
-арил;
-(замещенный арил);
-гетероарил;
-(замещенный гетероарил);
-гетероциклил;
-(замещенный гетероциклил);
-CO-арил; и
-CO-гетероарил;
каждый из R3 независимо выбирают из группы, в которую входят водород; (алкил С1-10)-гетероарил; (алкил С1-10)-(замещенный гетероарил); (алкил С1-10)-арил; (алкил С1-10)-(замещенный арил) и алкил C1-10;
n – это число от 0 до 4,
а каждый R независимо выбирают из группы, в которую входят алкил С1-10, алкоксил C1-10, галоген и трифторметил, или его фармацевтически приемлемая соль;
при том условии, что R4 не является незамещенным бензольным кольцом и что, если R4 – это замещенное бензольное кольцо, то заместители выбираются из группы, в которую входят алкил C1-20, алкоксил С2-20, алкилтио C1-20, гидроксил, галогеналкил, галогеналкилкарбонил, галогеналкоксил, С1-20 алкилкарбонил, C1-20 алкенилкарбонил, арилкарбонил, гетероарилкарбонил, арил, арилалкил, гетероарил, гетероарилалкил, гетероциклил, гетероциклоалкил, нитрил, C1-20 алкоксикарбонил, С1-20алканоилоксил, C1-20 алканоилтио, кетогруппа и -(алкил С1-10)-NR3-(алкил С1-10)-R5,
где R5 – это арил, замещенный арил, гетероарил, замещенный гетероарил, гетероциклил или замещенный гетероциклил.
Помимо этого еще один класс соединений, представленных в настоящем изобретении, описывается Формулой (Ie):

где
R1 – это -алкил-NR3-СО-R4 или -алкенил-NR3-СО-R4; где R4 – это алкил или алкенил, который может быть незамещенным или замещенным одним или более заместителями, выбираемыми из группы, в которую входят:
-алкинил;
-(замещенный арил), где заместитель (заместители) независимо
выбирают из группы, в которую входят алкил, алкоксил, алкилтио; гидроксил, галогеналкил, галогеналкилкарбонил, галогеналкоксил, алкилкарбонил, алкенилкарбонил, арилкарбонил, гетероарилкарбонил, арил, арилалкил, гетероарил, гетероарилалкил, гетероциклил, гетероциклоалкил, нитрил, алкоксикарбонил, алканоилоксил и алканоилтио;
-(замещенный арил);
-гетероарил;
-(замещенный гетероарил);
-O-алкил;
-O-(алкил)0-1-арил;
-O-(алкил)0-1-(замещенный арил) где заместитель (заместители) независимо
выбирают из группы, в которую входят алкил, алкоксил, алкилтио; гидроксил, галогеналкил, галогеналкилкарбонил, галогеналкоксил, алкилкарбонил, алкенилкарбонил, арилкарбонил, гетероарилкарбонил, арил, арилалкил, гетероарил, гетероарилалкил, гетероциклил, гетероциклоалкил, нитрил, алкоксикарбонил, алканоилоксил и алканоилтио;
-O-(алкил)0-1-гетероарил;
-O-(алкил)0-1-(замещенный гетероарил);
-CO-арил;
-CO-(замещенный арил);
-CO-гетероарил;
-CO-(замещенный гетероарил);
-СООН;
-СО-O-алкил;
-CO-алкил;
-S(O)0-2-алкил;
-S(O)0-2-(алкил)0-1-арил;
-S(O)0-2-(алкил)0-1-(замещенный арил);
-S(O)0-2-(алкил)0-1-гетероарил;
-S(O)0-2-(алкил)0-1-(замещенный гетероарил);
-Р(O)(OR3)2;
-NR3-СО-O-алкил;
-N3;
-галоген;
-NO2;
-CN;
-O-галогеналкил;
-CO-галогеналкил;
-ОН;
-SH; и кетогруппа;
R2 выбирается из группы, в которую входят:
-водород;
-алкил;
-алкенил;
-арил;
-(замещенный арил);
-гетероарил;
-(замещенный гетероарил);
-гетероциклил;
-(замещенный гетероциклил);
-алкил-O-алкил;
-алкил-O-алкенил; и
-алкил или алкенил, замещенный одним или более заместителями, выбираемыми из группы, в которую входят:
-ОН;
-галоген;
-N(R3)2;
-СО-N(R3)2;
-CO-алкил C1-10;
-СО-O-алкил C1-10;
-N3;
-арил;
-(замещенный арил);
-гетероарил;
-(замещенный гетероарил);
-гетероциклил;
-(замещенный гетероциклил);
-CO-арил; и
-CO-гетероарил;
каждый из R3 независимо выбирают из группы, в которую входят водород; (алкил С1-10)-гетероарил; (алкил С1-10)-(замещенный гетероарил); (алкил С1-10)-арил; (алкил С1-10)-(замещенный арил) и алкил С1-10;
n – это число от 0 до 4, а
а каждый R независимо выбирают из группы, в которую входят алкил C1-10, алкоксил C1-10, галоген и трифторметил, или его фармацевтически приемлемая соль.
Получение соединений
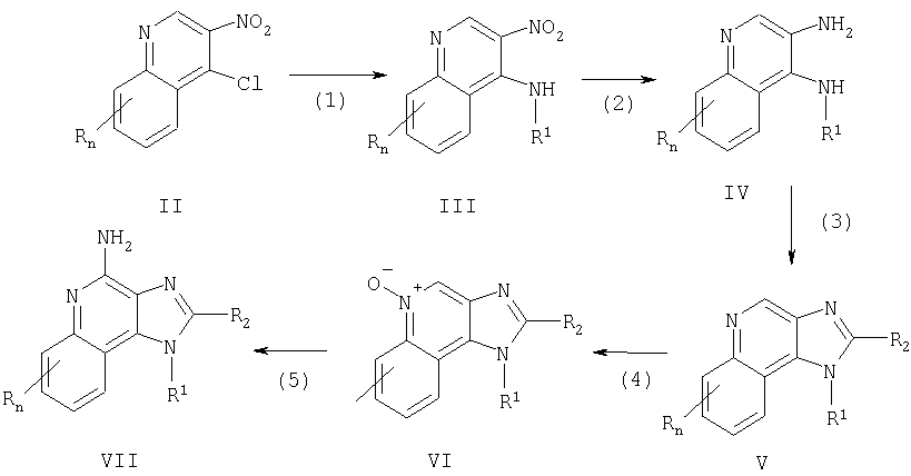
Имидазохинолины настоящего изобретения можно получить в соответствии со Схемой реакции I, в которой R, R1, R2 и n определены выше.
На стадии (1) Схемы реакции I 4-хлор-3-нитрохинолин Формулы II взаимодействует с амином формулы R1NH2 с образованием 3-нитрохинолин-4-амина Формулы III. Реакцию можно осуществить, прибавляя амин к раствору соединения Формулы II в подходящем растворителе, таком как хлороформ или дихлорметан, с возможным нагреванием. Многие хинолины Формулы II – это известные соединения (см., например, патент США №4689338 и ссылки в нем).
На стадии (2) Схемы реакции I 3-нитрохинолин-4-амин Формулы III восстанавливается до хинолин-3,4-диамина Формулы IV. Восстановление предпочтительно проводить на обычном гетерогенном катализаторе гидрирования, таком как платина на угле или палладий на угле. Реакцию удобно осуществлять в аппарате Парра в подходящем растворителе, таком как изопропиловый спирт или толуол.
На стадии (3) Схемы реакции I хинолин-3,4-диамин Формулы IV взаимодействует с карбоновой кислотой или ее эквивалентом с образованием 1Н-имидазо[4,5-с]хинолина Формулы V. Эквивалентами карбоновой кислоты вполне могут служить галогенангидриды, простые ортоэфиры и 1,1-диалкоксиалкилалканоаты. Карбоновую кислоту или ее эквивалент выбирают таким образом, чтобы обеспечить нужный заместитель R2 в Формуле V. Например, триэтилортоформиат позволит получить соединение, в котором R2 – это водород, а при использовании триэтилортоацетата образуется соединение, в котором R2 – это метил. Реакция может протекать как в отсутствие растворителя, так и в таком инертном растворителе, как толуол. Реакцию проводят при значительном нагревании с тем, чтобы удалять любые спирты или воду, образующиеся в качестве побочных продуктов реакции.
На стадии (4) Схемы реакции I 1Н-имидазо[4,5-с]хинолин Формулы V под действием обычного окислителя, способного образовывать N-оксиды, окисляется до 1Н-имидазо[4,5-с]хинолин-5N-оксида Формулы VI. Реакцию предпочтительно проводить путем взаимодействия раствора соединения Формулы V в хлороформе с 3-хлорпероксибензойной кислотой при комнатных условиях.
На стадии (5) Схемы реакции I 1Н-имидазо[4,5-с]хинолин-5N-оксид Формулы VI аминируют с образованием 1Н-имидазо[4,5-с]хинолин-4-амина Формулы VII, которая является одним из вариантов Формулы I. Стадия (5) включает в себя (i) взаимодействие соединения Формулы VI с ацилирующим агентом, а затем (ii) взаимодействие продукта этой реакции с аминирующим агентом. Часть (i) стадии (5) включает в себя взаимодействие N-оксида Формулы VI с ацилирующим агентом. В качестве ацилирующих агентов целесообразно использовать алкил- или арилсульфонилхлориды (например бензолсульфонилхлорид, метансульфонилхлорид, п-толуолсульфонилхлорид). Арилсульфонилхлориды предпочтительны. Наиболее предпочтителен пара-толуолсульфонилхлорид. Часть (ii) стадии (5) включает в себя взаимодействие продукта из части (i) с избытком аминирующего агента. В качестве аминирующих агентов целесообразно использовать аммиак (например, в виде гидроокиси аммония) или соли аммония (например, карбонат аммония, бикарбонат аммония, фосфат аммония). Гидроокись аммония предпочтительна. Реакцию предпочтительно осуществлять путем растворения N-оксида Формулы VI в инертном растворителе, таком какдихлорметан, прибавляя к раствору ацилирующий агент, а затем медленно прибавляя аминирующий агент. Продушили его фармацевтически приемлемую соль можно выделить обычными способами.
По-другому стадию (5) можно провести путем (i) взаимодействия N-оксида Формулы VI с изоцианатом с последующим (ii) гидролизом полученного продукта. Часть (i) включает в себя взаимодействие N-оксида с изоцианатом, в котором изоцианатная группа подсоединена к карбонильной группе. К предпочтительным изоцианатам относятся трихлоацетилизоцианат и ароилизоцианаты, например бензоилизоцианат. Взаимодействие изоцианата с N-оксидом протекает в безводных условиях путем прибавления изоцианата к раствору N-оксида в таком инертном растворителе, как хлороформ или дихлорметан. Часть (ii) включает в себя гидролиз продукта, полученного в части (i). Гидролиз можно осуществлять обычными методами, такими как нагревание в присутствии воды или низшего спирта, либо в присутствии такого катализатора, как гидроокись щелочного металла или низшего алкоголята.
Схема реакции

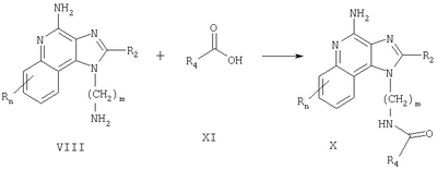
Соединения настоящего изобретения также могут быть получены в соответствии со Схемой реакции II, где R, R2, R4 и n определены выше, a m – это целое число от 1 до 20.
Согласно Схеме реакции II аминоалкилзамещенный 1Н-имидазо[4,5-с]хинолин-4-амин Формулы VIII взаимодействует с хлорангидридом кислоты Формулы IX с образованием соединения Формулы X, которая является одним из вариантов Формулы I. Реакцию можно проводить, прибавляя раствор хлорангидрида в подходящем растворителе, таком как пиридин или дихлорметан, к раствору соединения Формулы VIII при комнатной или при пониженной температуре. Многие 1Н-имидазо[4,5-с]хинолин-4-амины – это известные соединения, см., например, патент США №6069149 (Нанба (Nanba)), раскрытие которого инкорпорировано в настоящее изобретение путем отсылки; другие легко получаются известными синтетическими методами. Многие хлорангидриды кислот Формулы IX являются промышленными продуктами; другие легко получаются известными синтетическими методами. Продукт или его фармацевтически приемлемую соль выделяют с помощью обычных методов.
Схема реакции II

Соединения настоящего изобретения также могут быть получены в соответствии со Схемой реакции III, где R, R2, R4 и n определены выше, a m – это число от 1 до 20.
Согласно Схеме реакции III аминоалкилзамещенный 1Н-имидазо[4,5-с]хинолин-4-амин Формулы VIII взаимодействует с кислотой Формулы XI с образованием соединения Формулы X, которая является одним из вариантов Формулы I. Реакцию можно проводить при комнатной температуре в таком растворителе, как дихлорметан или пиридин, используя такой стандартный конденсирующий агент, как 1,3-дициклогексилкарбодиимид или 1-[3-(диметиламино)пропил]-3-этилкарбодиимид. Продукт или его фармацевтически приемлемую соль выделяют с помощью обычных методов.
Схема реакции III

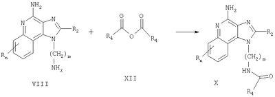
Соединения настоящего изобретения также могут быть получены в соответствии со Схемой реакции IV, где R, R2, R4 и n определены выше, a m – это число от 1 до 20.
Согласно Схеме реакции IV аминоалкилзамещенный 1Н-имидазо[4,5-с]хинолин-4-амин Формулы VIII взаимодействует с ангидридом кислоты Формулы XII с образованием соединения Формулы X, которая является одним из вариантов Формулы I. Реакцию можно проводить при комнатной температуре в таком инертном растворителе, как дихлорметан, в присутствии такого основания, как N,N-диизпропилэтиламин или пиридин. Многие ангидриды кислот Формулы XII являются промышленными продуктами; другие легко получаются известными синтетическими методами. Продукт или его фармацевтически приемлемую соль выделяют с помощью обычных методов.
Схема реакции IV

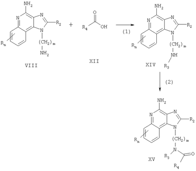
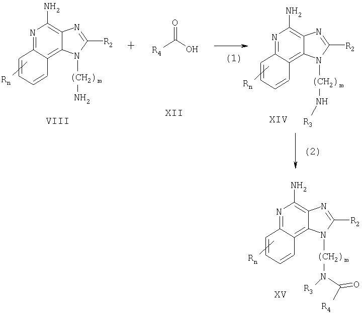
Третичные амиды настоящего изобретения могут быть получены в соответствии со Схемой реакции V, где R, R2, R3, R4, n определены выше, за исключением того, что R3 не может быть водородом, a m – это число от 1 до 20.
На стадии (1) Схемы реакции V аминоалкилзамещенный 1Н-имидазо[4,5-с]хинолин-4-амин Формулы VIII взаимодействует с альдегидом Формулы XIII с образованием вторичного амина Формулы XIV. Восстановительное аминирование предпочтительно проводить с помощью триацетоксиборогидрида натрия. Реакцию можно проводить, прибавляя раствор триацетоксиборогидрида натрия к раствору амина и альдегида в таком инертном растворителе, как дихлорметан. Вторичный амин или его соль можно выделить обычными методами.
На стадии (2) Схемы реакции V вторичный амин Формулы XIV ацилируют с образованием соединения Формулы XV, которая является одним из вариантов Формулы I. Эту реакцию можно проводить путем взаимодействия вторичного амина Формулы XIV с кислотой, хлорангидридом кислоты или ангидридом кислоты, в соответствии с методами, описанными выше для Схем реакций III, II и IV. Продукт или его фармацевтически приемлемую соль выделяют с помощью обычных методов.
Схема реакции V

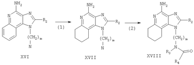
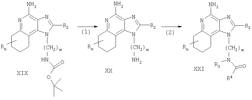
Тетрагидроимидазохинолины настоящего изобретения можно синтезировать в соответствии со Схемой реакции VI, где R2, R3 и R4 определены выше, a m – это число от 1 до 20.
На стадии (1) Схемы реакции VI аминоалкилзамещенный 1Н-имидазо[4,5-с]хинолин-4-амин Формулы XVI восстанавливается до аминоалкилзамещенного 6,7,8,9-тетрагидро-1Н-имидазо[4,5-с]хинолин-4-амина Формулы XVII. Реакцию восстановления предпочтительно проводить путем суспендирования или растворения соединения Формулы XVI в трифторуксусной кислоте, добавления каталитических количеств оксида платины (IV) и помещения реакционной смеси под давление водорода. Реакцию удобно проводить в аппарате Парра. Продукт или его соль можно выделить обычными методами.
На стадии (2) Схемы реакции VI из аминоалкилзамещенного 6,7,8,9-тетрагидро-1Н-имидазо[4,5-с]хинолин-4-амина Формулы XVII получают соединение Формулы XVIII, которая является одним из вариантов Формулы I. Если R3 – это водород, то реакцию можно проводить с помощью методов, описанных выше в Схемах реакций II, III и IV, используя тетрагидроимидазохинолин Формулы XVII вместо имидазхинолина Формулы VIII. Если R3 – это не водород, то реакцию можно проводить с помощью метода, описанного в Схеме реакции V. Продукт или его фармацевтически приемлемую соль выделяют с помощью обычных методов.
Схема реакции VI

Тетрагидроимидазохинолины настоящего изобретения можно синтезировать в соответствии со Схемой реакции VII, где R, R2, R3, R4 и n определены выше, a m – это число от 1 до 20.
На стадии (1) Схемы реакции VII 6,7,8,9-тетрагидро-1Н-имидазо[4,5-с]хинолинил-трет-бутилкарбамат Формулы XIX гидролизуется до аминоалкилзамещенного 6,7,8,9-тетрагидро-1Н-имидазо[4,5-с]хинолин-4-амина Формулы XX. Реакцию можно осуществить путем растворения соединения Формулы XXII в смеси трифторуксусной кислоты и ацетонитрила и перемешивания при комнатной температуре. Помимо этого соединение Формулы XIX можно смешать с разбавленной соляной кислотой и нагреть на паровой бане. Тетрагидро-1Н-имидазо[4,5-с]хинолинил-трет-бутилкарбаматы Формулы XIX можно получить синтетическим методом, описанным в патенте США №5352784 (Николаидис (Nikolaides)). Продукт или его соль выделяют обычными методами.
На стадии (2) Схемы реакции VII из аминоалкилзамещенного 6,7,8,9-тетрагидро-1Н-имидазо[4,5-с]хинолин-4-амина Формулы XX получают соединение Формулы XXI, которая является одним из вариантов Формулы I. Если R3 – это водород, то реакцию можно проводить с помощью методов, описанных выше в Схемах реакций II, III и IV, используя тетрагидроимидазохинолин Формулы XX вместо имидазхинолина Формулы VIII. Если R3 – это не водород, то реакцию можно проводить с помощью метода, описанного в Схеме реакции V. Продукт или его фармацевтически приемлемую соль выделяют с помощью обычных методов.
Схема реакции VII

Некоторые соединения Формулы I легко можно получить из других соединений Формулы I. Например, соединения, в которых заместитель R4 содержит хлоралкильную группу, могут взаимодействовать с амином с образованием заместителя R4, замещенного вторичной или третичной аминогруппой; соединения, в которых заместитель R4 содержит нитрогруппу, могут восстанавливаться до соединения, в которых заместитель R4, содержит первичный амин.
В рамках настоящего изобретения, терминами «алкил», «алкенил», «алкинил» и приставкой «-алк» обозначают как линейные и разветвленные, так и циклические группы, т.е. циклоалкильные и циклоалкенильные группы. Если не указано иное, то эти группы содержат от 1 до 20 атомов углерода, тогда как алкенильные и алкинильные группы содержат от 2 до 20 атомов углерода. Предпочтительны группы, содержащие до 10 атомов углерода. Циклические группы могут быть моноциклическими или полициклическими и предпочтительно содержат от 3 до 10 атомов углерода, входящих в циклы. Примерами циклических групп могут служить циклопропил, циклопентил, циклогексил и адамантил.
Термином «галогеналкил» обозначают группы, замещенные одним или более галогенными атомами, в том числе группы, в которых все доступные атомы водорода замещены на атомы галогена. Это также относится к группам, в названии которых содержится приставка «галогеналк-». Примерами приемлемых галогеналкильных групп могут служить хлорметил, трифторметил и т.п.
В рамках настоящего изобретения термином «арил» обозначают ароматические кольца и циклические системы. Примерами арильных групп могут служить фенил, нафтил, бифенил, флуоренил и инденил. Термином «гетероарил» обозначают ароматические кольца и циклические системы, содержащие в кольце по крайней мере один гетероатом (например, О, S, N). К приемлемым гетероарильным группам относятся фурил, тиенил, пиридил, хинолинил, изохинолинил, индолил, изоиндолил, пирролил, тетразолил, имидазолил, пиразолил, оксазолил, тиазолил и т.п.
Термином «гетероциклил» обозначают неароматические кольца и циклические системы, содержащие в кольце по крайней мере один гетероатом (например, О, S, N). Примерами гетероциклических групп могут служить пирролидинил, тетрагидрофуранил, морфолинил, тиоморфолинил, пиперидинил, пиперазинил, тиазолидинил и имидазолинил.
Если не указано иное, термины «замещенный циклоалкил», «замещенный арил», «замещенный гетероарил» и «замещенный гетероциклил» подразумевают, что кольца или циклические системы дополнительно замещены одним или более заместителями, независимо отбираемыми из группы, в которую входят алкил, алкоксил, алкилтио, гидроксил, галоген, галогеналкил, галогеналкилкарбонил, галогеналкоксил (например, трифторметоксил), нитрогруппа, алкилкарбонил, алкенилкарбонил, арилкарбонил, гетероарилкарбонил, арил, арилалкил, гетероарил, гетероарилалкил, гетероциклил, гетероциклоалкил, нитрил, алкоксикарбонил, алканоилоксил, алканоилтио и, в случае гетероциклила, кетогруппа.
В структурных формулах, представляющих соединения настоящего изобретения, некоторые связи изображены пунктирными линиями. Такие линии означают, что связи, изображенные пунктирной линией могут, как присутствовать, так и отсутствовать. Соответственно Формулой 1 могут быть описаны как имидазохинолиновые соединения, так и тетрагидроимидазохинолиновые соединения.
Настоящее изобретение включает в себя описанные в нем соединения в любой из их фармацевтически приемлемых форм, в том числе такие изомеры, как диастереомеры, энантиомеры, соли, сольваты, полиморфы и т.п.
Фармацевтические препараты и биологическая активность
Фармацевтические препараты настоящего изобретения содержат терапевтически эффективное количество описанного выше соединения настоящего изобретения в сочетании с фармацевтически приемлемым носителем.
В рамках настоящего изобретения термин «терапевтически эффективное количество» означает количество соединения, достаточное для проявления такого терапевтического эффекта, как индукция цитокинов, противоопухолевая активность и/или противовирусная активность. Хотя точное количество активного соединения в фармацевтическом препарате настоящего изобретения может меняться в зависимости от таких известных специалистам в данной области факторов, как физическая и химическая природа соединения и природа носителя, а также схема приема препарата, следует понимать, что препараты настоящего изобретения должны содержать активного ингредиента достаточно для того, чтобы организм получил дозу соединения от 100 нг/кг до 50 мг/кг, а предпочтительно – от 10 мкг/кгдо 5 мг/кг. Могут быть использованы любые обычные лекарственные формы, такие как таблетки, лепешки, парентеральные препараты, сиропы, кремы, мази, аэрозольные препараты, чрескожные пластыри, пластыри на слизистую и т.п.
Соединения настоящего изобретения можно вводить в качестве единственного лекарственного средства в процессе лечения либо соединения настоящего изобретения можно вводить в сочетании с другим или с другими активными средствами, включая дополнительные иммуномодуляторы, противовирусные средства, антибиотики и т.д.
В опытах, проведенных по описанным ниже методикам, было показано, что соединения настоящего изобретения индуцируют синтез некоторых цитокинов. Эти результаты показывают, что такие соединения могут быть использованы в качестве иммуномодуляторов, способных несколькими разными способами модифицировать иммунный ответ, что позволяет применять их для лечения различных отклонений.
К цитокинам, которые могут быть индуцированы вследствие введения соединений настоящего изобретения, вообще говоря, относятся -интерферон ( -ИФН) и/или -фактор некроза опухоли ( -ФНО), а также некоторые интерлейкины (ИЛ). Цитокины, биосинтез которых могут индуцировать соединения настоящего изобретения, включают -ИФН, -ФНО, ИЛ-1, 6,10 и 12, а также разные другие цитокины. Среди прочих эффектов цитокины ингибируют размножение вирусов и рост опухолевых клеток, что делает их эффективным средством для лечения вирусных заболеваний и опухолей.
Помимо индуцирования синтеза цитокинов соединения настоящего изобретения оказывают воздействие и на другие аспекты врожденного иммунного ответа. Например, под действием вырабатываемых цитокинов, скорее всего, повышается активность клеток естественных киллеров. Эти соединения также могут активировать макрофаги, что, в свою очередь, стимулирует выделение окиси азота и продукцию дополнительных цитокинов. Кроме того, эти соединения могут способствовать пролиферации и дифференцировке В-лимфоцитов.
Соединения настоящего изобретения также могут повлиять на приобретенный иммунный ответ. Например, хотя считается, что не существует какого-либо воздействия на Т-лимфоциты или прямой индукции цитокинов Т-лимфоцитов, введение этих соединений косвенно индуцирует продукцию цитокина -ИФН Т-хелпера 1-го типа (Th-1) и ингибирует продукцию цитокинов ИЛ-4, ИЛ-5 и ИЛ-13 Т-хелпера 2-го типа (Th-2). Такая активность указывает на то, что эти соединения являются эффективным средством при лечении таких заболеваний, где требуется активизация Th-1 ответа и/или подавление Th-2 ответа. Имея в виду способность соединений настоящего изобретения подавлять иммунный Th-2 ответ, ожидается, что эти соединения будут полезны в лечении таких атопических заболеваний, как атопический дерматит, астма и аллергический ринит, как системная красная волчанка; а также в качестве адъювантной вакцины для клеточно-опосредованного иммунитета; и возможно для лечения рецидивирующих грибковых заболеваний и хламидий.
Способность этих соединений модифицировать иммунный ответ делает их полезными в лечении широкого спектра отклонений. Благодаря их способности индуцировать выработку таких цитокинов, как -ИФН и/или -ФНО, а также ИЛ-12, эти соединения особенно эффективны при лечении вирусных заболеваний и опухолей. Такая иммуномодулирующая активность предполагает, что соединения настоящего изобретения эффективны при лечении таких и не только таких заболеваний, как вирусные заболевания, к которым относятся остроконечная бородавка; обычная бородавка; подошвенная бородавка; гепатит В, гепатит С, вирус простого герпеса типа I и типа II; кантагиозный моллюск; ВИЧ; цитомегаловирус; вирус ветряной оспы; интраэпителиальные неоплазии, такие как цервикальная интраэпителиальная неоплазия, папилломавирус человека (ПВЧ) и связанные с ним неоплазии; грибковые заболевания, например кандидозный, аспергиллезный и криптококковый менингит; неоплазические патологии, например базально-клеточная карцинома; лейкемический ретикулез, саркома Капоши, почечно-клеточная карцинома, плоскоклеточная карцинома, миелогенная лейкемия, множественная миелома, меланома, не-ходжкинская лейкома, кожная Т-клеточная лимфома, другие виды рака; паразитические заболевания, например pneumocystis carnii, криптоспоридиоз, гистоплазмоз, токсоплазмоз, трипаносомная инфекция, лейшманиоз; а также бактериальные инфекции, например туберкулез, mycobacterium avium. Кроме того, с помощью соединений настоящего изобретения можно лечить такие заболевания, как экзема; эозинофилия; врожденная тромбоцитэмия; лепра; рассеянный склероз; синдром Омена; болезнь Боуэна; боуэновидный папулез. Эти соединения также способствуют заживлению ран, в том числе хронических язв, и стимулируют его. Таким образом, настоящее изобретение представляет способ индукции биосинтеза цитокинов в организме животного путем введения в него эффективного количества соединения настоящего изобретения.
Количество соединения, эффективное для индукции биосинтеза цитокинов, – это количество, достаточное для того, чтобы один или несколько типов клеток, таких как моноциты, макрофаги, дендритные клетки и B-клетки, стали продуцировать один или несколько таких цитокинов, как, например -ИФН, -ФНО, ИЛ-1, 6,10 и 12, которое превысило бы базовый уровень этих цитокинов. Точное количество может меняться, в зависимости от факторов, известных специалистам в данной области, однако, скорее всего, это будет доза от 100 нг/кг до 50 мг/кг, а предпочтительно от 10 мкг/кг до 5 мг/кг. Настоящее изобретение также представляет способ лечения вирусных инфекций у животных и способ лечения неоплазических состояний у животных, включающий в себя введение в организм эффективного количества соединения настоящего изобретения. Количество, эффективное для лечения или подавления вирусного заболевания, – это такое количество, которое вызывает ослабление одного или более признаков инфекции, таких как вирусное поражение, вирусная нагрузка, уровень продукции вируса и смертность, по сравнению с контрольной группой животных, не подвергавшихся воздействию соединения. Точное количество может меняться в зависимости от факторов, известных специалистам в данной области, однако можно предположить, что доза составит от 100 нг/кг до 50 мг/кг, а предпочтительно от 10 мкг/кг до 5 мг/кг. Количество соединения, эффективное для лечения неоплазического состояния, – это такое количество, которое приводит к уменьшению размера опухоли или количества очагов опухолей. Опять же, точное количество может меняться в зависимости от факторов, известных специалистам в данной области, однако можно предположить, что доза составит от 100 нг/кг до 50 мг/кг, а предпочтительно от 10 мкг/кг до 5 мг/кг.
Далее настоящее изобретение описывается на примерах, которые предназначены только для иллюстрации, а вовсе не для ограничения.
Пример 1
N1-[4-(4-амино-1H-имидазо[4,5-c]хинолин-1-ил)бутил]бензамид

Суспензию 1-(4-аминобутил)-1Н-имидазо[4,5-с]хинолин-4-амина (2,0 г, 7,8 ммоль) в пиридине (1 л) нагревают до 60°С для того, чтобы растворить исходный материал. Раствор остужают примерно до 30°С, а затем медленно прибавляют бензоилхлорид (1,1 г, 7,8 ммоль), разбавленный пиридином (100 мл). Проведенный через 1 час анализ реакционной смеси методом высокоэффективной жидкостной хроматографии (ВЭЖХ) показывает остаточное количество исходного материала. Прибавляют дополнительно бензоилхлорид (0,3 г), нагревают реакционную смесь до 50°С и оставляют ее на ночь при этой температуре. Реакционную смесь концентрируют под вакуумом. Полученный остаток смешивают с хлороформом (200 мл) и 1%-ным раствором карбоната натрия (200 мл). Органический слой отделяют, а затем концентрируют под вакуумом. Полученный остаток смешивают с пропилацетатом (30 мл) и нагревают на паровой бане для того, чтобы он растворился. Раствору дают остыть. Образовавшийся осадок отфильтровывают и получают твердый N1-[4-(4-амино-1Н-имидазо[4,5-с]хинолин-1-ил)бутил]бензамид с температурой плавления 210-212°С. Элементный анализ: теор. для C21H21N5O: %C 70,18; %Н 5,89; %N 19,48; эксп.: %C 69,49; %Н 5,97; %N 19,64. ЯМР H1 (500 МГц, ДМСО-D6) 8,48 (триплет, J=6,0 Гц, 1Н), 8,22 (с., 1Н), 8,04 (дублет, J=8,0 Гц, 1Н), 7,78 (дублет, J=8,0 Гц, 2Н), 7,61 (дублет, J=8,0 Гц, 1Н), 7,50 (триплет, J=8,0 Гц, 1Н), 7,43 (ср., 3H), 7,21 (триплет, J=8,0 Гц, 1Н), 6,62 (шир. с., 2Н), 4,64 (триплет, J=7,0 Гц, 2Н), 3,30 (квадруплет, J=6,0 Гц, 2Н), 1,92 (квинтет, J=7,0 Гц, 2Н), 1,58 (квинтет, J=7,0 Гц, 2Н); Масс-спектрометрия (электронный удар) m/e 359,1746 (359,1746 рассчитано для C21H21N5O).
Пример 2
N1-[4-(4-Амино-1Н-имидазо[4,5-с]хинолин-1-ил)бутил]бензамид гидрохлорид гидрат
N1-[4-(4-Амино-1Н-имидазо[4,5-с]хинолин-1-ил)бутил]бензамид (1 г) растворяют в изопропаноле. Прибавляют соляную кислоту (1 эквивалент 12Н). Образовавшийся осадок отфильтровывают и получают 1 г твердого N1-[4-(4-амино-1Н-имидазо[4,5-с]хинолин-1-ил)бутил]бензамида гидрохлорида гидрата с температурой плавления 254-256°С. Элементный анализ: теор. для C21H21N5O·HCl·1,5H2O: %C 59,63; %Н 5,96; %N 16,56; эксп.: %C 59,61; %Н 6,04; %N 16,64. ЯМР 1H (500 МГц, ДМСО-D6) 13,80 (шир., с., 1Н), 9,15 (шир., с., 2Н), 8,56 (с., 1Н), 8,50 (триплет, J=6,0 Гц, 1Н), 8,23 (дублет, J=8,0 Гц, 1Н), 7,83 (дублет, J=8,0 Гц, 1Н), 7,76 (дублет, J=8,0 Гц, 2Н), 7,71 (триплет, J=8,0 Гц, 1Н), 7,53 (триплет, J=8,0 Гц, 1Н), 7,50 (триплет, J=8,0 Гц, 1Н), 7,42 (триплет, J=8,0 Гц, 2Н), 4,72 (триплет, J=7,0 Гц, 2Н), 3,30 (квадруплет, J=7,0 Гц, 2Н), 1,93 (квинтет, J=7,0 Гц, 2Н), 1,61 (квинтет, J=7,0 Гц, 2Н).
Пример 3
N1-[4-(4-Амино-2-пропил-1H-имидазо[4,5-c]хинолин-1-ил)бутил]бензамид

В соответствии с общей методикой, описанной в Примере 1, 1-(4-аминобутил)-2-пропил-1Н-имидазо[4,5-с]хинолин-4-амин (0,55 г, 1,8 ммоль) взаимодействует с бензоилхлоридом (0,26 г, 1,8 ммоль), и получают твердый N1-[4-(4-амино-2-пропил-1Н-имидазо[4,5-с]хинолин-1-ил)бутил]бензамид с температурой плавления 173-174°С. ЯМР 1H (500 МГц, ДМСО-D6) 8,80 (шир., с., 2Н), 8,46 (триплет, J=6,0 Гц, 1Н), 8,20 (дублет, J=8,0 Гц, 1Н), 7,81 (дублет, J=8,4 Гц, 1Н), 7,76 (дублет, J=7,4 Гц, 1Н), 7,67 (триплет, J=7,4 Гц, 1Н), 7,49 (ср., 2Н), 7,43 (триплет, J=7,5 Гц, 2Н), 4,63 (триплет, J=7,0 Гц, 2Н), 3,34 (ср., 2Н), 2,97 (триплет, J=7,0 Гц, 2Н), 1,85 (ср., 2Н), 1,72 (квинтет, J=7,0 Гц, 2Н), 1,01 (триплет, J=7,0 Гц, 3Н); Масс-спектрометрия (электронный удар) m/e 401,2210 (401,2216 рассчитано для C24H27N5O).
Пример 4
N1-[4-(4-Амино-2-метил-1H-имидазо[4,5-c]хинолин-1-ил)бутил]бензамид

В соответствии с общей методикой, описанной в Примере 1, 1-(4-аминобутил)-2-метил-1Н-имидазо[4,5-с]хинолин-4-амин (0,5 г, 1,8 ммоль) взаимодействует с бензоилхлоридом (0,26 г, 1,8 ммоль), и получают твердый N1-[4-(4-амино-2-метил-1Н-имидазо[4,5-с]хинолин-1-ил)бутил]бензамид с температурой плавления 164-170°С. ЯМР 1H (500 МГц, ДМСО-D6) 8,47 (триплет, J=6,0 Гц, 1Н), 8,01 (дублет, J=8,0 Гц, 1Н), 7,78 (дублет, J=8,0 Гц, 2Н), 7,59 (двойной дублет, J=8,0, 1,2 Гц, 1Н), 7,50 (триплет, J=8,0 Гц, 1Н), 7,43 (триплет, J=8,0 Гц, 2Н), 7,38 (двойной триплет, J=8,0,1,2 Гц, 1Н), 7,17 (двойной триплет, J=8,0, 1,2 Гц, 1Н), 6,48 (шир., с., 2Н), 4,53 (триплет, J=7,0 Гц, 2Н), 3,31 (квадруплет, J=6,0 Гц, 2Н), 2,60 (с., 3Н), 1,88 (квинтет, J=7,0 Гц, 2Н), 1,68 (квинтет, J=7,0 Гц, 2Н); Масс-спектрометрия (электронный удар) m/e 373,1903 (373,1903 рассчитано для C22H23N5O).
Пример 5
N1-[4-(4-Амино-2-этил-1H-имидазо[4,5-c]хинолин-1-ил)бутил]бензамид

В соответствии с общей методикой, описанной в Примере 1, 1-(4-аминобутил)-2-этил-1Н-имидазо[4,5-с]хинолин-4-амин (0,5 г, 1,76 ммоль) взаимодействует с бензоилхлоридом (0,25 г, 1,76 ммоль), и получают твердый N1-[4-(4-амино-2-этил-1Н-имидазо[4,5-с]хинолин-1-ил)бутил]бензамид с температурой плавления 203-206°С. ЯМР 1Н (500 МГц, ДМСО-D6) 8,48 (триплет, J=6,0 Гц, 1Н), 8,00 (дублет, J=8,0 Гц, 1Н), 7,79 (дублет, J=8,0 Гц, 2Н), 7,60 (двойной дублет, J=8,0, 1,0 Гц, 1Н), 7,50 (триплет, J=8,0 Гц, 1Н), 7,43 (триплет, J=8,0 Гц, 2Н), 7,38 (триплет, J=8,0, Гц, 1Н), 7,17 (триплет, J=8,0, Гц, 1Н), 6,47 (шир., с., 2Н), 4,53 (триплет, J=7,0 Гц, 2Н), 3,32 (квадруплет, J=6,0 Гц, 2Н), 2,95 (квадруплет, J=7,0 Гц, 2Н), 1,87 (квинтет, J=7,0 Гц, 2Н), 1,70 (квинтет, J=7,0 Гц, 2Н), 1,35 (триплет, J=7,0 Гц, 3Н); Масс-спектрометрия (электронный удар) m/e 387,2058 (387,2059 рассчитано для C23H25N5O).
Пример 6
N1-[4-(4-Амино-2-бутил-1H-имидазо[4,5-c]хинолин-1-ил)бутил]бензамид

1-(4-Аминобутил)-2-бутил-1Н-имидазо14,5-с]хинолин-4-амин (0,5 г, 1,6 ммоль) смешивают с пиридином (50 мл) и нагревают до 50°С. Пипеткой прибавляют бензоилхлорид (0,22 г, 1,6 ммоль). Проведенный через 1 час анализ реакционной смеси ВЭЖХ указывает на отсутствие исходного материала и на образование нескольких продуктов. Реакционную смесь концентрируют под вакуумом. Остаток смешивают с дихлорметаном и водным раствором бикарбоната натрия. Органический слой отделяют, а затем концентрируют под вакуумом. Остаток растворяют в дихлорметане и помещают в колонку с силикагелем. Колонку элюируют сначала 5%-ным раствором метанола в дихлорметане, а затем 10%-ным раствором метанола в дихлорметане. Фракции 10%-ного метанола в дихлорметане соединяют, концентрируют под вакуумом и получают твердый N1-[4-(4-амино-2-бутил-1H-имидазо[4,5-c]хинолин-1-ил)бутил]бензамид с температурой плавления 174-175°С. ЯМР 1H (500 МГц, ДМСО-D6) 8,48 (триплет, J=6,0 Гц, 1Н), 8,00 (дублет, J=8,0 Гц, 1Н), 7,78 (дублет, J=8,0 Гц, 2Н), 7,60 (дублет, J=8,0 Гц, 1Н), 7,50 (триплет, J=8,0 Гц, 1Н), 7,43 (триплет, J=8,0 Гц, 2Н), 7,39 (триплет, J=8,0 Гц, 1Н), 7,18 (триплет, J=8,0 Гц, 1Н), 6,50 (шир. c., 2Н), 4,54 (триплет, J=7,0 Гц, 2Н), 3,32 (ср., 2Н), 2,91 (триплет, J=7,0 Гц, 2Н), 1,70 (квинтет, J=7,0 Гц, 2Н), 1,41 (секстет, J=7,0 Гц, 2Н), 0,91 (триплет, J=7,0 Гц, 3Н); Масс-спектрометрия (ХИ) m/e 416 (М+Н).
Пример 7
N1-[4-(4-Амино-1H-имидазо[4,5-c]хинолин-1-ил)бутил]-4-(хлорметил)бензамид

Часть А
Оксалилхлорид (4,4 мл 2М раствора в хлороформе, 8,8 ммоль) прибавляют к суспензии 4-(хлорметил)бензойной кислоты (1 г, 5,7 ммоль) в дихлорметане (500 мл). В качестве катализатора прибавляют N,N-диметилформамид (4 капли). Проведенный через 1 час анализ реакционной смеси ВЭЖХ указывает на явную 100%-ную конверсию. Реакционную смесь концентрируют под вакуумом и получают 4-(хлорметил)бензоилхлорид.
Часть Б
К суспензии 1-(4-аминобутил)-1Н-имидазо[4,5-с]хинолин-4-амина (1,0 г, 3,9 ммоль) в пиридине (250 мл) прибавляют раствор 4-(хлорметил)бензоилхлорида (1,06 г, 5,6 ммоль) в дихлорметане. Проведенный через 1 час анализ реакционной смеси ВЭЖХ указывает на завершение реакции. Реакционную смесь концентрируют под вакуумом. Остаток смешивают с насыщенным водным раствором бикарбоната натрия. Твердую часть отделяют фильтрованием, а затем растворяют в хлороформе с небольшим содержанием метанола. Раствор промывают насыщенным водным раствором бикарбоната натрия. Органический слой концентрируют под вакуумом. Остаток очищают колоночной хроматографией (силикагель, элюирование 10%-ным раствором метанола в дихлорметане) и получают твердый N1-[4-(4-амино-1H-имидазо[4,5-c]хинолин-1-ил)бутил]-4-(хлорметил)бензамид с температурой плавления 240-300°С (разл.). ЯМР 1H (500 МГц, ДМСО-D6) 8,49 (триплет, J=6,0 Гц, 1Н), 8,21 (с., 1Н), 8,03 (дублет, J=8,0 Гц, 1Н), 7,76 (дублет, J=8,0 Гц, 2Н), 7,61 (дублет, J=8,0 Гц, 1Н), 7,46 (дублет, J=8,0 Гц, 2Н), 7,42 (триплет, J=8,0 Гц, 1Н), 7,20 (триплет, J=8,0 Гц, 1Н), 6,80 (шир. с., 2Н), 4,78 (шир. с., 2Н), 4,62 (триплет, J=7,0 Гц, 2Н), 3,28 (квадруплет, J=6,0 Гц, 2Н), 1,89 (квинтет, J=7,0 Гц, 2Н), 1,56 (квинтет, J=7,0 Гц, 2Н); Масс-спектрометрия (ХИ) m/e 408 (М+Н).
Пример 8
N1-[4-(4-Амино-1H-имидазо[4,5-c]хинолин-1-ил)бутил]-4-[(2-тетрагидро-1H-1-пирролил-1Н-бензо[d]имидазол-1-ил)метил]бензамид

Часть А
2-Окси-1Н-бензимидазол (62 г, 0,46 моль) прибавляют к оксихлориду фосфора (200 мл) и в течение 4,5 часов кипятят смесь с обратным холодильником. Получившийся раствор выливают в 4 л льда и сильно подщелачивают смесь гидроокисью аммония. Образовавшееся твердое вещество отфильтровывают, промывают водой, сушат и получают неочищенный 2-хлор-1Н-бензимидазол.
Часть Б
Смешивают 2-хлор-1Н-бензимидазол (10,0 г, 0,066 моль), пирролидин (18,5 г, 0,26 моль) и этанол (100 мл). В течение 6 часов получившийся раствор греют до 160-170°С, а затем выпаривают растворитель. Образовавшийся осадок смешивают с водой. Смесь сильно подкисляют соляной кислотой, а затем подщелачивают гидроокисью аммония. Образовавшееся твердое вещество отфильтровывают, промывают водой, сушат воздухом и получают 11,8 г неочищенного желто-коричневого порошка. После перекристаллизации этого материала из смеси этилацетата с метанолом получают 4,9 г 2-пирролидино-1Н-бензимидазола. Элементный анализ: теор. для C11H13N3: %C 70,56; %Н 7,00; %N 22,44; эксп.: %C 70,13; %Н 7,05; %N 22,70.
Часть В
К суспензии 2-пирролидино-1Н-бензимидазола (1,9 г, 10,1 ммоль) в сухом N,N-диметилформамиде (30 мл) прибавляют гидрид натрия (402 мг, 11 ммоль). Все твердые вещества растворяются. Раствор оставляют перемешиваться при комнатной температуре в течение 15 минут после того, как он перестанет пениться. Раствор охлаждают до 5°С, и образуется твердая взвесь. К суспензии прибавляют метил-4-(бромметил)бензоат (2,1 г, 0,01 моль), и все твердые частицы растворяются. Раствор оставляют перемешиваться при комнатной температуре, и образуется твердая взвесь. Смесь оставляют на ночь перемешиваться при комнатной температуре, а затем выливают в холодную воду. Твердое вещество отделяют фильтрованием, промывают водой, сушат и получают 3,0 г неочищенного серовато-белого твердого продукта. После перекристаллизации этого материала из метанола получают метил 4-[(2-пирролидинил-1Н-бензимидазол-1-ил)метил]бензоат. Элементный анализ: теор. для С20Н21N3O2: %С 71,62; %Н 6,31; %N 12,53; эксп.: %С 71,44; %Н 6,41; %N 12,50.
Часть Г
Метил-4-[(2-пирролидинил-1Н-бензимидазол-1-ил)метил]бензоат (2,5 г, 7,5 ммоль) прибавляют к раствору гидроокиси натрия (1,8 г, 45 ммоль) в воде (30 мл) и метаноле (10 мл). Смесь нагревают на паровой бане до тех пор, пока эфир не растворится. Нагревание продолжают еще 15 минут, а затем раствор разбавляют равным объемом воды и нейтрализуют соляной кислотой. Образовавшийся осадок отфильтровывают, промывают водой, сушат и получают 1,9 г неочищенного продукта. После перекристаллизации этого материала из N,N-диметилформамида получают 4-[(2-пирролидинил-1Н-бензимидазол-1-ил)метил]бензойную кислоту. Элементный анализ: теор. для C19H19N3O2: %C 71,01; %Н 5,96; %N 13,07; эксп.: %C 70,01; %Н 6,14; %N 13,32.
Часть Д
К суспензии 4-[(2-пирролидинил-1Н-бензимидазол-1-ил)метил]бензойной кислоты (0,28 г, 0,872 ммоль) в хлороформе (50 мл) прибавляют оксалилхлорид (4 мл). В течение 1 часа смесь кипятят с обратным холодильником, а затем концентрируют под вакуумом. Остаток разбавляют толуолом, концентрируют под вакуумом, а затем оставляют на выходные сушиться под вакуумом при комнатной температуре и получают неочищенный 4-[(2-пирролидинил-1Н-бензимидазол-1-ил)метил]бензоилхлорид.
Часть Е
1-(4-Аминобутил)-1Н-имидазо[4,5-с]хинолин-4-амин (0,20 г, 0,783 ммоль) прибавляют к смеси хлорангидрида кислоты из Части Д и пиридина (20 мл). Проведенный через 10 минут анализ реакционной смеси ВЭЖХ указывает на то, что смесь содержит целевой продукт и примерно по 10% хлорангидрида кислоты и амина. Реакционную смесь концентрируют под вакуумом. Остаток смешивают с водой, обрабатывают 0,1Н раствором гидроокиси натрия, а затем экстрагируют дихлорметаном. Дихлорметановый экстракт очищают колоночной хроматографией (силикагель, элюирование 5-10%-ным метанолом в дихлорметане) и получают твердый N1-[4-(4-амино-1H-имидазо[4,5-c]-хинолин-1-ил)бутил]-4-[(2-тетрагидро-1Н-1-пирролил-1Н-бензо[d]имидазол-1-ил)метил]бензамид с температурой плавления 150-153°С. Масс-спектрометрия (электронный удар) m/e 558,2865 (558,2855 рассчитано для С33Н34N8О).
Пример 9
N1-[5-(4-Амино-2-метил-1H-имидазо[4,5-c]хинолин-1-ил)пентил]бензамид

Часть А
1,5-Диаминопентан (25 г, 0,24 моль) и бензамид (9,9 г, 0,081 моль) в атмосфере аргона смешивают и оставляют на ночь кипеть с обратным холодильником. Для того чтобы удалить избыток диамина, реакционную смесь концентрируют под вакуумом. Остаток перегоняют примерно при 210°С под давлением 12 мм рт.ст. (16×102 Па) и получают 11,8 г бесцветного маслянистого N-(5-аминопентил)бензамида.
Часть Б
Триэтиламин (1 эквивалент) прибавляют к суспензии 4-хлор-3-нитрохинолина гидрохлорида (13 г, 53 ммоль) в хлороформе. Прибавляют суспензию N-(5-аминопентил)бензамида (11 г, 53 ммоль) в хлороформе и кипятят реакционную смесь с обратным холодильником. За ходом реакции следят по ВЭЖХ. Реакционную смесь концентрируют под вакуумом. Остаток разбавляют толуолом, кипятят с обратным холодильником, а затем фильтруют в горячем состоянии. Фильтрату дают остыть. Образовавшийся осадок отделяют фильтрованием и получают 16,9 г твердого желтого N1-{5-[(3-нитрохинолин-4-ил)амино]пентил}бензамида с температурой плавления 130-132°С. ЯМР 1Н (500 МГц, ДМСО-D6) 9,07 (с., 1Н), 9,02 (шир., с., 1Н), 8,53 (дублет, J=8,0 Гц, 1Н), 8,43 (триплет, J=6,0 Гц, 1Н), 7,89 (двойной дублет, J=8,0, 1,2 Гц, 1Н), 7,83 (двойной триплет, J=8,0, 1,2 Гц, 1Н), 7,80 (дублет, J=8,0 Гц, 2Н), 7,57 (двойной триплет, J=8,0, 1,2 Гц, 1Н), 7,50 (триплет, J=8,0 Гц, 1Н), 7,43 (триплет, J=8,0 Гц, 2Н), 3,63 (квадруплет, J=6,0 Гц, 2Н), 3,25 (квадруплет, J=6,0 Гц, 2Н), 1,77 (квинтет, J=7,0 Гц, 2Н), 1,55 (квинтет, J=7,0 Гц, 2Н), 1,39 (квинтет, J=7,0 Гц, 2Н).
Часть В
К суспензии N1-{5-[(3-нитрохинолин-4-ил)амино]пентил}бензамида (3,4 г, 9 ммоль) в изопропиловом спирте (250 мл) прибавляют каталитическое количество платины на угле. Реакционную смесь помещают в атмосферу водорода 50 фунт/кв. дюйм (3,4×104 Па) в аппарате Парра. Через 2 часа реакционную смесь фильтруют для того, чтобы удалить катализатор. Фильтрат концентрируют под вакуумом и получают неочищенный N1-{5-[(3-аминохинолин-4-ил)амино]пентил}бензамид. Этот материал смешивают с триэтилортоацетатом (1,4 г, 9 ммоль) и толуолом (200 мл). Реакционную смесь оставляют на ночь греться на паровой бане с колонкой Вигре. С реакционной массы декантируют толуол, концентрируют ее под вакуумом и получают маслянистый N1-[5-(2-метил-1Н-имидазо[4,5-с]хинолин-1-ил)пентил]бензамид.
Часть Г
3-Хлорпероксибензойную кислоту (3 г, 9 ммоль) прибавляют к раствору маслянистого продукта из Части B в метилацетате (50 мл). Реакционную смесь оставляют на ночь перемешиваться при комнатной температуре, а затем разбавляют диэтиловым эфиром (50 мл). Образовавшийся осадок отделяют фильтрованием, а затем промывают диэтиловым эфиром и получают 1,6 г 1-(5-бензамидопентил)-2-метил-1Н-имидазо-[4,5-с]хинолин-5N-оксида.
Часть Д
К раствору 1-(5-бензамидопентил)-2-метил-1Н-имидазо-[4,5-с]хинолин-5N-оксида (1,6 г, 4,12 ммоль) в дихлорметане (150 мл) прибавляют гидроокись аммония (50 мл). К реакционной смеси при интенсивном перемешивании медленно прибавляют тозилхлорид (0,78 г, 4,12 ммоль). Через 1 час органический слой отделяют, промывают 1%-ным раствором карбоната натрия, а затем концентрируют под вакуумом. Полученный остаток смешивают с 1Н соляной кислотой (30 мл), обрабатывают активированным углем, а затем фильтруют. Фильтрат нейтрализуют. Выпадает маслянистый осадок. За ночь масло твердеет и получается 0,63 г твердого N1-[5-(4-амино-2-метил-1Н-имидазо[4,5-с]хинолин-1- ил)пентил]бензамида с температурой плавления 110-120°С. ЯМР 1H (500 МГц, ДМСО-D6) 8,50 (триплет, J=5,5 Гц, 1Н), 8,12 (дублет, J=8,0 Гц, 1Н), 7,82 (дублет, J=8,5 Гц, 1Н), 7,71 (дублет, J=8,5 Гц, 1Н), 7,63 (шир, с., 1Н), 7,55 (триплет, J=8,5 Гц, 1Н), 7,51 (триплет, J=8,3 Гц, 1Н), 7,46 (триплет, J=8,0 Гц, 2Н), 7,40 (триплет, J=8,0 Гц, 2Н), 4,52 (триплет, J=7,5 Гц, 2Н), 3,28 (квадруплет, J=6,0 Гц, 2Н), 2,64 (с., 3Н), 1,87 (квинтет, J=7,0 Гц, 2Н), 1,79 (квинтет, J=7,0 Гц, 2Н), 1,48 (квинтет, J=7,0 Гц, 2Н); Масс-спектрометрия (ХИ) m/e 388 (М+Н).
Пример 10
N1-[5-(4-Амино-1Н-имидазо[4,5-с]хинолин-1-ил)пентил]бензамид гидрохлорид

Часть А
К суспензии N1-{5-[(3-нитрохинолин-4-ил)амино]пентил}бензамида (5 г, 13,2 ммоль) в толуоле (250 мл) прибавляют каталитическое количество платины на угле. Реакционную смесь помещают в атмосферу водорода 50 фунт/кв. дюйм (3,4×104 Па) в аппарате Парра. Через 2 часа на дне склянки Парра образуется масляный шарик. Прибавляют сульфат магния и дополнительное количество катализатора и продолжают гидрирование всю ночь. Для того чтобы удалить катализатор, реакционную смесь фильтруют. Остаток в склянке Парра соединяют с изопропиловым спиртом (150 мл), нагревают на паровой бане и фильтруют. Данные ВЭЖХ указывают на то, что оба фильтрата содержат целевой продукт, так что их соединяют, концентрируют под вакуумом и получают неочищенный N1-{5-[(3-аминохинолин-4-ил)амино]пентил}бензамид. Этот материал смешивают с толуолом (250 мл). Прибавляют триэтилортоформиат (4 г, 26,4 ммоль) и в течение 2 часов кипятят реакционную смесь с колонкой Вигре. Реакционной смеси дают остыть до комнатной температуры. Образовавшийся осадок отделяют фильтрованием и получают 3,4 г твердого N1-[5-(1Н-имидазо[4,5-с]хинолин-1-ил)пентил]бензамида с температурой плавления 171,5-172,5°С. ЯМР 1Н (500 МГц, ДМСО-D6) 9,22 (с., 1Н), 8,43 (триплет, J=6,0 Гц, 2Н), 8,38 (ср., 1Н), 8,18 (ср., 1Н), 7,80 (дублет, J=7,0 Гц, 2Н), 7,73 (ср., 2Н), 7,51 (триплет, J=7,0 Гц, 1Н), 7,45 (триплет, J=7,0 Гц, 2Н), 4,72 (триплет, J=7,5 Гц, 2Н), 3,25 (квадруплет, J=6,0 Гц, 2Н), 1,94 (квинтет, J=7,5 Гц, 2Н), 1,58 (квинтет, J=7,5 Гц, 2Н), 1,40 (квинтет, J=8,5 Гц, 2Н).
Часть Б
К раствору N1-[5-(1Н-имидазо[4,5-с]хинолин-1-ил)пентил]бензамида (2,0 г, 5,58 ммоль) в хлороформе прибавляют 3-хлорпероксибензойную кислоту (1,9 г, 5,58 ммоль). Проведенный через 4 часа анализ реакционной смеси ВЭЖХ указывает на завершение реакции. Реакционную смесь дважды промывают 1%-ным раствором карбоната натрия (50 мл), а затем концентрируют под вакуумом и получают 1-(5-бензамидопентил)-1Н-имидазо[4,5-с]хинолин-5N-оксид.
Часть В
К раствору 1-(5-бензамидопентил)-1Н-имидазо-[4,5-с]хинолин-5N-оксида (2,1 г, 5,58 ммоль) в дихлорметане (150 мл) прибавляют гидроокись аммония. К реакционной смеси при интенсивном перемешивании медленно прибавляют тозилхлорид (1,06 г, 5,58 ммоль). Через 1 час реакционную смесь разбавляют дихлорметаном. Органический слой отделяют, промывают 1%-ным раствором карбоната натрия, а затем концентрируют под вакуумом. Полученный остаток растворяют в изопропиловом спирте (100 мл), а затем прибавляют 6Н соляную кислоту (0,93 мл). Образовавшийся осадок суспендируют в воде (150 мл), кипятят с обратным холодильником, обрабатывают активированным углем, а затем фильтруют. Фильтрату дают остыть. Образовавшийся осадок отделяют фильтрованием, высушивают и получают 0,9 г белого кристаллического N1-[5-(4-амино-1Н-имидазо[4,5-с]хинолин-1-ил)пентил]бензамида гидрохлорида с температурой плавления 217-219°С. Элементный анализ: теор. для C22H23N5O·HCl·1/2H2O: %С 52,85; %Н 6,85; %N 14,01; эксп.: %С 52,62; %Н 6,44; %N 13,87; ЯМР 1H (500 МГц, ДМСО-D6) 13,84 (шир., с., 1Н), 9,24 (шир., с., 2Н), 8,51 (с., 1Н), 8,43 (триплет, J=6,0 Гц, 1Н), 8,22 (дублет, J=8,0 Гц, 1Н), 7,82 (дублет, J=8,0 Гц, 1Н), 7,76 (дублет, J=8,0 Гц, 2Н), 7,70 (триплет, J=8,0 Гц, 1Н), 7,56 (триплет, J=8,0 Гц, 1Н), 7,49 (триплет, J=8,0 Гц, 1Н), 7,42 (триплет, J=8,0 Гц, 2Н), 4,66 (триплет, J=7,0 Гц, 2Н), 3,23 (квадруплет, J=6,0 Гц, 2Н), 1,90 (квинтет, J=7,0 Гц, 2Н), 1,56 (квинтет, J=7,0 Гц, 2Н), 1,38 (квинтет, J=7,0 Гц, 2Н); Масс-спектрометрия (ХИ) m/е 374 (М+Н).
Пример 11
N1-[3-(4-Амино-1Н-имидазо[4,5-с]хинолин-1-ил)пропил]бензамид гидрохлорид

Часть А
Бензамид (25 г, 0,20 моль) и 1,3-диаминопропан (45,9 г, 0,60 моль) загружают в склянку Парра и в течение 15 часов нагревают до 150°С. Склянку остужают, а реакционную смесь концентрируют под вакуумом для того, чтобы удалить избыток диамина. Остаток растворяют в воде (500 мл) и подкисляют концентрированной соляной кислотой до рН<1. Образовавшийся осадок (исходный бензамид и диацилированный продукт) удаляют фильтрованием. Фильтрат промывают дихлорметаном. Водный слой сильно подщелачивают 50%-ной гидроокисью натрия, а затем экстрагируют дихлорметаном (4 раза по 300 мл). Экстракты соединяют, промывают соляным раствором (300 мл), сушат над сульфатом натрия, а затем концентрируют под вакуумом и получают 11,9 г маслянистого N-(3-аминопропил)бензамида.
Часть Б
К смеси 4-хлор-3-нитрохинолина гидрохлорида (16,4 г, 67 ммоль) и дихлорметана (400 мл) прибавляют триэтиламин (9,3 мл, 67 ммоль). За один раз прибавляют раствор N-(3-аминопропил)бензамида (11,9 г, 67 ммоль) в дихлорметане (100 мл). В течение 1 часа реакционную смесь перемешивают при комнатной температуре, а затем 1 час нагревают на паровой бане. Образовавшийся осадок отделяют фильтрованием и получают 6 г твердого желтого N1-{3-[(3-нитрохинолин-4-ил)амино]пропил}бензамида с температурой плавления 209-211°С. ЯМР 1H (500 МГц, ДМСО-D6) 9,07 (шир., с., 1Н), 9,05 (с., 1Н), 8,54 (триплет, J=6,0 Гц, 1Н), 8,51 (дублет, J=8,0 Гц, 1Н), 7,89 (дублет, J=8,0 Гц, 1Н), 7,82 (триплет, J=8,0 Гц, 1Н), 7,76 (дублет, J=8,0 Гц, 2Н), 7,55 (триплет, J=8,0 Гц, 1Н), 7,50 (триплет, J=8,0 Гц, 1Н), 7,43 (триплет, J=8,0 Гц, 2Н), 3,69 (квадруплет, J=6,0 Гц, 2Н), 3,35 (квадруплет, J=6,0 Гц, 2Н), 2,00 (квинтет, J=7,0 Гц, 2Н).
Часть В
Суспензию N1-{3-[(3-нитрохинолин-4-ил)амино]пропил}бензамида (1,0 г, 2,8 ммоль) в изопропиловом спирте (120 мл) нагревают для того, чтобы растворить часть материала. Прибавляют каталитическое количество платины на угле и помещают в атмосферу водорода под давлением 50 фунт/кв. дюйм (3,4×104 Па) в аппарате Парра. Через 3 часа реакционную смесь фильтруют для того, чтобы удалить катализатор. Фильтрат концентрируют под вакуумом и получают неочищенный маслянистый N1-{3-[(3-аминохинолин-4-ил)амино]пропил}бензамид. К маслу прибавляют толуол (100 мл), а затем триэтилортоформиат (0,8 г, 5,6 ммоль). Реакционную смесь оставляют на ночь нагреваться на паровой бане. Реакционной смеси дают остыть до комнатной температуры. Образовавшийся осадок отделяют фильтрованием и получают 0,53 г твердого серовато-белого N1-[3-(1Н-имидазо[4,5-с]хинолин-1-ил)пропил]бензамида с температурой плавления 188-190°С. ЯМР 1Н (500 МГц, ДМСО-D6) 8,67 (триплет, J=5,5 Гц, 1Н), 8,50 (с., 1Н), 8,37 (дублет, J=8,0 Гц, 1Н), 8,17 (двойной дублет, J=8,0, 1,5 Гц, 1Н), 7,87 (дублет, J=8,0 Гц, 2Н), 7,71 (двойной триплет, J=7,5, 1,5 Гц, 1Н), 7,56 (двойной триплет, J=7,5, 1,0 Гц, 1Н), 7,54 (дублет, J=8,0 Гц, 2Н), 7,48 (триплет, J=7,0 Гц, 2Н), 4,78 (триплет, J=7,0 Гц, 2Н), 3,38 (квадруплет, J=6,0 Гц, 2Н), 2,18 (квинтет, J=7,0 Гц, 2Н).
Часть Г
К раствору N1-[3-(1Н-имидазо[4,5-с]хинолин-1-ил)пропил]бензамида (0,53 г, 1,6 ммоль) в хлороформе (50 мл) при комнатной температуре медленно прибавляют 3-хлорпероксибензойную кислоту (0,55 г, 1,6 ммоль). Через 3 часа реакционную смесь промывают 1%-ным карбонатом натрия (2 раза по 30 мл), а затем концентрируют под вакуумом и получают 0,32 г твердого 1-(3-бензамидопропил)-1Н-имидазо[4,5-с]хинолин-5N-оксида.
Часть Д
К раствору 1-(3-бензамидопропил)-1Н-имидазо-[4,5-с]хинолин-5N-оксида (0,32 г, 0,92 ммоль) в дихлорметане (100 мл) прибавляют гидроокись аммония (20 мл). Медленно прибавляют тозилхлорид (0,17 г, 0,92 ммоль). Реакционную смесь оставляют на ночь перемешиваться при комнатной температуре, а затем концентрируют под вакуумом для того, чтобы удалить дихлорметан. Образовавшийся осадок удаляют фильтрованием, а затем промывают водой. Материал растворяют в изопропиловом спирте (20 мл/г). Прибавляют концентрированную соляную кислоту (1 эквивалент), а затем упаривают реакционную смесь на 10-20% по объему. Образовавшийся осадок удаляют фильтрованием, промывают изопропиловым спиртом и получают 0,25 г твердого N1-[3-(4-амино-1Н-имидазо[4,5-с]хинолин-1-ил)пропил]бензамида гидрохлорида с температурой плавления 265-270°С. Элементный анализ: теор. для С20Н19N5O·HCl·1/2Н2O: %С 61,46; %Н 5,42; %N 17,92; эксп.: %С 61,79; %Н 5,34; %N 17,92; ЯМР 1H (500 МГц, ДМСО-D6) 13,74 (шир., с., 1Н), 9,30 (шир, с., 2Н), 8,73 (триплет, J=6,0 Гц, 1Н), 8,61 (с., 1Н), 8,22 (дублет, J=8,0 Гц, 1Н), 7,87 (дублет, J=8,0 Гц, 2Н), 7,84 (дублет, J=8,0 Гц, 1Н), 7,71 (триплет, J=8,0 Гц, 1Н), 7,54 (триплет, J=8,0 Гц, 1Н), 7,48 (триплет, J=8,0 Гц, 2Н), 7,43 (триплет, J=8,0 Гц, 1Н), 4,75 (триплет, J=7,0 Гц, 2Н), 3,39 (квадруплет, J=6,0 Гц, 2Н), 2,17 (триплет, J=7,0 Гц, 2Н); Масс-спектрометрия (электронный удар)) m/е 345,1593 (345,1590 рассчитано для C20H19N5O).
Пример 12
N1-[4-(4-Амино-1H-имидазо[4,5-c]хинолин-1-ил)бутил]-6-морфолиноникотинамид

Часть А
Карбонилдиимидазол (18,6 г, 0,115 моль) прибавляют к суспензии 6-хлорникотиновой кислоты (16,6 г, 0,105 моль) в дихлорметане (250 мл). После того как все твердые частицы растворяются, раствор в течение 1 часа перемешивают при комнатной температуре, а затем прибавляют изопропиловый спирт (100 мл). Под вакуумом удаляют дихлорметан. К раствору прибавляют каталитическое количество изопропилата натрия и в течение 1 часа кипятят раствор с обратным холодильником. Затем раствор концентрируют под вакуумом. Полученный остаток суспендируют в воде и экстрагируют диэтиловым эфиром. Экстракт сушат над сульфатом магния, а затем концентрируют под вакуумом и получают 23,9 г изопропил-6-хлорникотината.
Часть Б
Раствор изопропил-6-хлорникотината (6,0 г, 0,03 моль) и морфолина (13 мл, 0,15 моль) в изопропиловом спирте (60 мл) в течение 72 часов кипятят с обратным холодильником. Раствор оставляют на ночь остывать до комнатной температуры. Образовавшийся осадок отделяют фильтрованием, промывают изопропиловым спиртом, сушат и получают изопропил-6-морфолиноникотинат. Фильтрат разбавляют водой. Образовавшийся осадок отделяют фильтрованием, промывают водой, сушат и получают изопропил-6-морфолиноникотинат. Общий выход составляет 8,3 г. Изопропил-6-морфолиноникотинат смешивают с 1Н гидроокисью натрия (40 мл) и образовавшуюся суспензию перемешивают при 50-60°С до тех пор, пока не растворятся все твердые частицы. Раствор оставляют на ночь перемешиваться при комнатной температуре, и за это время из него выпадает осадок. Его отделяют фильтрованием и устанавливают, что это исходный материал. Фильтрат нейтрализуют концентрированной соляной кислотой. Образовавшийся осадок отделяют фильтрованием, промывают водой, сушат и получают 3,3 г неочищенного продукта. После перекристаллизации этого материала из смеси метанола с дихлорметаном получают твердую 6-морфолиноникотиновую кислоту с температурой плавления 259-261°С. Элементный анализ: теор. для C10H12N2O3: %C 57,19; %Н 5,81; %N 13,48; эксп.: %С 57,50; %Н 5,71; %N 13,53.
Часть В
К раствору оксалилхлорида (0,13 г, 1 ммоль) в хлороформе (5 мл) медленно прибавляют N,N-диметилформамид (1 мл). Прибавляют 6-морфолиноникотиновую кислоту (0,21 г, 1 ммоль) и в течение 15 минут перемешивают реакционную смесь. Реакционную смесь концентрируют под вакуумом, разбавляют толуолом, затем концентрируют под вакуумом и получают 6-морфолиноникотиноилхлорид. Этот материал оставляют на ночь под вакуумом при комнатной температуре, а затем используют на следующей стадии.
Часть Г
Хлорангидрид кислоты из части В растворяют в пиридине (20 мл), а затем сразу прибавляют к теплому раствору 1-(4-аминобутил)-1Н-имидазо[4,5-с]хинолин-4-амина (0,25 г, 1 ммоль) в пиридине (25 мл). Для того чтобы удалить пиридин, реакционную смесь концентрируют под вакуумом при 40°С. Получившийся остаток смешивают с водой и 1Н гидроокисью натрия (25 мл). Смесь экстрагируют дихлорметаном. Экстракт концентрируют под вакуумом. Получившийся остаток перекристаллизовывают из изопропилового спирта и получают твердый N1-[4-(4-амино-1Н-имидазо[4,5-с]хинолин-1-ил)бутил]-6-морфолиноникотинамид с температурой плавления 160-170°С (разл.). ЯМР 1H (500 МГц, ДМСО-D6) 8,55 (дублет, J=2,5 Гц, 1Н), 8,52 (с., 1Н), 8,28 (триплет, J=6,0 Гц, 1Н), 8,22 (дублет, J=8,0 Гц, 1Н), 7,90 (двойной дублет, J=8,0, 2,5 Гц, 2Н), 7,82 (дублет, J=8,0 Гц, 1Н), 7,69 (триплет, J=8,0 Гц, 1Н), 7,52 (дублет, J=8,0 Гц, 1Н), 6,82 (дублет, J=8,0 Гц, 1Н), 4,70 (триплет, J=7,0 Гц, 2Н), 3,69 (триплет, J=5,0 Гц, 4Н), 3,54 (триплет, J=5,0 Гц, 4Н), 3,27 (квадруплет, J=6,0 Гц, 2Н), 1,91 (квинтет, J=7,0 Гц, 2Н), 1,58 (триплет, J=6,0 Гц, 2Н); Масс-спектрометрия (электронный удар) т/е 445,2209 (445,2226 рассчитано для C24H27N7O2).
Пример 13
N1-[2-(4-Амино-2-метил-1H-имидазо[4,5-c]хинолин-1-ил)этил]бензамид

Часть А
К раствору трет-бутил-N-(2-аминоэтил)карбамата (55,0 г, 0,34 моль) в безводном дихлорметане (500 мл) прибавляют триэтиламин (66,8 г, 0,33 моль). Медленно прибавляют хлор-3-нитрохинолин, и начинается экзотермическая реакция. Реакционную смесь оставляют на ночь перемешиваться при комнатной температуре. Образовавшийся осадок отделяют фильтрованием и получают твердый желтый продукт. Фильтрат промывают водой, сушат над сульфатом магния, а затем концентрируют под вакуумом. Получившийся остаток суспендируют в гексане, фильтруют и получают дополнительное количество желтого вещества. Эти две порции соединяют, и суммарный выход составляет 101 г твердого желтого трет-бутил-N-[2-(3-нитрохинолин-1-ил)аминоэтил]карбамата с температурой плавления 157-158°С.
Часть Б
К суспензии трет-бутил-N-[2-(3-нитрохинолин-1-ил)аминоэтил]карбамата (100 г, 0,30 моль) в толуоле (500 мл) прибавляют платину на угле (1 г 10%) и сульфат натрия (2 г). Реакционную смесь оставляют на ночь при комнатной температуре в атмосфере водорода при 50 фунт/кв. дюйм (3,4×104 Па) в аппарате Парра. Реакционную смесь фильтруют. Фильтрат концентрируют и получают 73 г темно-золотистого маслянистого трет-бутил-N-[2-(3-аминохинолин-1-ил)аминоэтил]карбамата.
Часть В
К раствору трет-бутил-N-[2-(3-аминохинолин-1-ил)аминоэтил]карбамата (21 г, 69,4 ммоль) в безводном толуоле (250 мл) прибавляют триэтилортоформиат (11,3 г, 73,4 ммоль). В течение 5 часов реакционную смесь кипятят с обратным холодильником, а затем дают медленно остыть до комнатной температуры. Образовавшийся осадок отделяют фильтрованием, сушат и получают 17,6 г светло-коричневого трет-бутил-N-[2-(1Н-имидазо[4,5-с]хинолин-1-ил)этил]карбамата с температурой плавления 154-155°С.
Часть Г
3-Хлорпероксибензойную кислоту (17,4 г, 60,6 ммоль) небольшими порциями прибавляют к раствору трет-бутил-N-[2-(1Н-имидазо[4,5-с]хинолин-1-ил)этил]карбамата (17,2 г, 55,1 ммоль) в хлороформе (250 мл). Реакционную смесь оставляют на ночь перемешиваться при комнатной температуре, а затем останавливают реакцию 5%-ным раствором карбоната натрия. Слои разделяют. Органический слой сушат над сульфатом магния, а затем концентрируют под вакуумом и получают 15,0 г твердого серовато-белого 1-[2-(трет-бутилкарбамил)этил]-1Н-имидазо-[4,5-с]хинолин-5N-оксида с температурой плавления 213-215°С.
Часть Д
К раствору 1-[2-(трет-бутилкарбамил)этил]-1Н-имидазо-[4,5-с]хинолин-5N-оксида (15,0 г, 45,7 ммоль) в хлороформе (200 мл) при перемешивании медленно прибавляют трихлорацетилизоцанат (9,5 г, 50,2 ммоль). Через 2 часа реакцию останавливают концентрированной гидроокисью аммония (100 мл). Прибавляют воду и разделяют слои. Органические слои соединяют, сушат над сульфатом магния, а затем концентрируют под вакуумом и получают твердое белое вещество. Этот материал суспендируют в теплом метилацетате, а затем фильтруют и получают белый твердый трет-бутил-N-[2-(4-амино-1Н-имидазо[4,5-с]хинолин-1-ил)этил]карбамат с температурой плавления 215°С. ЯМР 1H (500 МГц, ДМСО-D6) 8,13 (триплет, J=8,0 Гц, 1Н), 8,03 (с., 1Н), 7,61 (дублет, J=8,0 Гц, 1Н), 7,44 (триплет, J=8,0 Гц, 1Н), 7,23 (триплет, J=8,0 Гц, 1Н), 7,06 (триплет, J=6,0 Гц, 1Н), 6,56 (шир., с., 2Н), 4,63 (триплет, J=7,0 Гц, 2Н), 3,43 (квадруплет, J=6,0 Гц, 2Н), 1,32 (с., 9Н); Масс-спектрометрия (электронный удар) m/e 327,1696 (327,1695 рассчитано для C17H21N5O2).
Часть Е
трет-Бутил-N-[2-(4-амино-1Н-имидазо[4,5-с]хинолин-1-ил)этил]карбамат (14,8 г, 45,2 ммоль), трифторуксусную кислоту (100 мл) и ацетонитрил (100 мл) смешивают и оставляют на ночь при комнатной температуре. Ацетонитрил удаляют и в течение 2 часов кипятят реакционную смесь с обратным холодильником. Реакционную смесь концентрируют под вакуумом и получают твердое желто-коричневое вещество. Этот материал растворяют в минимальном количестве горячей воды. Раствор подщелачивают до рН 14 и дают ему остыть. Раствор концентрируют под вакуумом. Получившийся остаток экстрагируют кипящим этанолом с обратным холодильником. Спиртовой экстракт концентрируют под вакуумом и получают 3,0 г твердого желто-коричневого 1-(2-аминоэтил)-1Н-имидазо[4,5-с]хинолин-4-амина с температурой плавления 265°С. ЯМР 1H (500 МГц, ДМСО-D6) 8,14 (с., 1Н), 8,08 (двойной дублет, J=8,0, 1,5 Гц, 1Н), 7,62 (двойной дублет, J=8,0, 1,5 Гц, 1Н), 7,44 (двойной триплет, J=8,0, 1,5 Гц, 1Н), 7,25 (двойной триплет, J=8,0, 1,5 Гц, 1Н), 6,58 (шир., с., 2Н), 4,54 (триплет, J=7,0 Гц, 2Н), 3,01 (триплет, J=7,0 Гц, 2Н), 1,60 (шир., с., 2Н); Масс-спектрометрия (электронный удар) m/e 277,1171 (277,1171 рассчитано для C12H13N5).
Часть Ж
Смесь 1-(2-аминоэтил)-1Н-имидазо[4,5-с]хинолин-4-амина (0,40 г, 1,76 ммоль) и безводного пиридина (60 мл) нагревают до тех пор, пока раствор не станет прозрачным. Затем раствор остужают на ледяной бане. Прибавляют бензоилхлорид (0,25 г, 1,76 ммоль). Реакционную смесь оставляют на ночь при комнатной температуре, а затем концентрируют под вакуумом. Остаток суспендируют в воде (200 мл), и твердое вещество отделяют фильтрованием. После перекристаллизации этого материала из изопропилового спирта получают 0,15 г белого порошка N1-[2-(4-амино-2-метил-1H-имидазо[4,5-c]хинолин-1-ил)этил]бензамида с температурой плавления 295°С. ЯМР 1H (500 МГц, ДМСО-D6) 8,50 (триплет, J=6,0 Гц, 1Н), 8,23 (дублет, J=8,0 Гц, 1Н), 8,04 (с., 1Н), 7,75 (дублет, J=8,0 Гц, 2Н), 7,64 (дублет, J=8,0 Гц, 1Н), 7,49 (триплет, J=8,0 Гц, 1Н), 7,43 (триплет, J=8,0 Гц, 1Н), 7,41 (триплет, J=8,0 Гц, 2Н), 7,25 (триплет, J=8,0 Гц, 1Н), 6,28 (шир., с., 2Н), 4,80 (триплет, J=7,0 Гц, 2Н), 3,80 (квадруплет, J=6,0 Гц, 2Н); Масс-спектрометрия (электронный удар) m/е 331,1429 (331,1433 рассчитано для C19H17N5O).
Пример 14
N1-[4-(4-Амино-1H-имидазо[4,5-c]хинолин-1-ил)бутил]-2-феноксибензамид

Смесь 1-(4-аминобутил)-1Н-имидазо[4,5-с]хинолин-4-амина (0,125 г, 0,49 ммоль) и безводного пиридина (40 мл) в атмосфере азота нагревают феном для того, чтобы растворить твердое вещество. Получившемуся раствору дают остыть до комнатной температуры. Прибавляют раствор 2-феноксибензоилхлорида (0,11 г, 0,47 ммоль) в пиридине (5 мл). В течение 18 часов выдерживают реакционную смесь при комнатной температуре, а затем концентрируют под вакуумом. Получившийся твердый остаток очищают колоночной хроматографией под давлением (силикагель, элюирование смесью дихлорметан/метанол 9/1) и получают 0,12 г твердого белого N1-[4-(4-амино-1H-имидазо[4,5-c]хинолин-1-ил)бутил]-2-феноксибензамида с температурой плавления 93-94°С. ЯМР 1Н (500 МГц, ДМСО-D6) 8,23 (триплет, J=6,0 Гц, 1Н), 8,14 (с., 1Н), 8,00 (дублет, J=8,0 Гц, 1Н), 7,62 (дублет, J=8,0 Гц, 1Н), 7,54 (двойной дублет, J=8,0, 1,5 Гц, 1Н), 7,43 (двойной триплет, J=8,0, 1,5 Гц, 1Н), 7,42 (двойной триплет, J=8,0, 1,5 Гц, 1Н), 7,30 (триплет, J=8,0 Гц, 2Н), 7,22 (триплет, J=8,0 Гц, 1Н), 7,18 (триплет, J=8,0 Гц, 1Н), 7,07 (триплет, J=8,0 Гц, 1Н), 6,89 (ср., 3Н), 4,55 (триплет, J=7,0 Гц, 2Н), 3,32 (квадруплет, J=6,0 Гц, 2Н), 1,91 (квинтет, J=7,0 Гц, 2Н), 1,59 (квинтет, J=7,0 Гц, 2Н); Масс-спектрометрия (электронный удар) m/е 463,2022 (463,2008 рассчитано для C28H25N5O2).
Пример 15
N1-[4-(4-Амино-1H-имидазо[4,5-c]хинолин-1-ил)бутил]-3-бензоилбензамид

В соответствии с общей методикой, описанной в Примере 14, 1-(4-аминобутил)-1Н-имидазо[4,5-с]хинолин-4-амин (0,2 г, 0,78 ммоль) взаимодействует с бензоилбензоилхлоридом (0,18 г, 0,73 ммоль) с образованием 0,19 г белого кристаллического N1-[4-(4-амино-1H-имидазо[4,5-c]хинолин-1-ил)бутил]-3-бензоилбензамида с температурой плавления 103-105°С. ЯМР 1Н (500 МГц, ДМСО-D6) 8,70 (триплет, J=6,0 Гц, 1Н), 8,22 (с., 1Н), 8,16 (шир., с., 1Н), 8,08 (дублет, J=8,0 Гц, 1Н), 8,03 (дублет, J=8,0 Гц, 1Н), 7,85 (дублет, J=8,0 Гц, 1Н), 7,73 (дублет, J=8,0 Гц, 2Н), 7,70 (триплет, J=8,0 Гц, 1Н), 7,64 (триплет, J=8,0 Гц, 1Н), 7,61 (дублет, J=8,0 Гц, 1Н), 7,57 (триплет, J=8,0 Гц, 2Н), 7,40 (триплет, J=8,0 Гц, 1Н), 7,19 (триплет, J=8,0 Гц, 1Н), 6,67 (шир., с., 2Н), 4,63 (триплет, J=7,0 Гц, 2Н), 3,32 (квадруплет, J=6,0 Гц, 2Н), 2,75 (триплет, J=7,0 Гц, 2Н), 1,91 (квинтет, J=7,0 Гц, 2Н), 1,59 (квинтет, J=7,0 Гц, 2Н); Масс-спектрометрия (электронный удар) m/е 463,2022 (463,2008 рассчитано для C28H25N5O2).
Пример 16
N1-[4-(4-Амино-1H-имидазо[4,5-c]хинолин-1-ил)бутил]-3-фенилпропанамид

В соответствии с общей методикой, описанной в Примере 14, 1-(4-аминобутил)-1Н-имидазо[4,5-с]хинолин-4-амин (0,2 г, 0,78 ммоль) взаимодействует с хлорангидридом гидрокоричной кислоты (0,11 мл, 0,74 ммоль) с образованием 0,14 г твердого белого N1-[4-(4-амино-1H-имидазо[4,5-c]хинолин-1-ил)бутил]-3-фенилпропанамида с температурой плавления 148-150°С. ЯМР 1Н (500 МГц, ДМСО-D6) 8,19 (с, 1Н), 8,03 (дублет, J=8,0 Гц, 1Н), 7,82 (триплет, J=6,0 Гц, 1Н), 7,63 (дублет, J=8,0 Гц, 1Н), 7,45 (триплет, J=8,0 Гц, 1Н), 7,27 (триплет, J=8,0 Гц, 1Н), 7,22 (триплет, J=8,0 Гц, 2Н), 7,15 (ср., 3Н), 6,66 (шир., с., 2Н), 4,58 (триплет, J=7,0 Гц, 2Н), 3, 06 (квадруплет, J=6,0 Гц, 2Н), 2,75 (триплет, J=7,0 Гц, 2Н), 2,31 (триплет, J=7,0 Гц, 2Н), 1,79 (квинтет, J=7,0 Гц, 2Н), 1,59 (триплет, J=7,0 Гц, 2Н); Масс-спектрометрия (электронный удар) m/е 387,2067 (387,2059 рассчитано для С23H25N5O).
Пример 17
N1-[2-(4-Амино-1H-имидазо[4,5-c]хинолин-1-ил)этил]-3-фенилпропанамид

В соответствии с общей методикой, описанной в Примере 14, 1-(4-аминоэтил)-1Н-имидазо[4,5-с]хинолин-4-амин (100 мг, 0,44 ммоль) взаимодействует с хлорангидридом гидрокоричной кислоты (0,065 мл, 0,44 ммоль) с образованием 0,06 г твердого белого N1-[2-(4-амино-1H-имидазо[4,5-c]хинолин-1-ил)этил]-3-фенилпропанамида с температурой плавления 254-256°С. ЯМР 1H (500 МГц, ДМСО-D6) 8,16 (дублет, J=8,0 Гц, 1Н), 8,07 (дублет, J=6,0 Гц, 1Н), 7,97 (с., 1Н), 7,62 (двойной дублет, J=8,0, 1,0 Гц, 1Н), 7,45 (двойной триплет, J=8,0, 1,0 Гц, 1Н), 7,26 (с., 1Н), 7,16 (ср., 3Н), 6,66 (шир., с., 2Н), 4,61 (триплет, J=7,0 Гц, 2Н), 3, 54 (квадруплет, J=6,0 Гц, 2Н), 2,75 (триплет, J=7,0 Гц, 2Н), 2,75 (триплет, J=7,0 Гц, 2Н), 2,31 (триплет, J=7,0 Гц, 2Н); Масс-спектрометрия (электронный удар) m/е 359,1745 (359,1746 рассчитано для C21H21N5O).
Пример 18
N1-[2-(4-Амино-1H-имидазо[4,5-c]хинолин-1-ил)бутил]-2-(4-бензоилфенокси)ацетамид

1-(4-Аминобутил)-1Н-имидазо[4,5-с]хинолин-4-амин (99,6 мг, 0,39 ммоль) и 2-(4-бензоилфенокси)уксусную кислоту (100 мг, 0,39 ммоль) смешивают в пиридине (10 мл). Смесь нагревают до тех пор, пока она не станет однородной, а затем дают ей остыть. Прибавляют 1-[3-(диметиламино)пропил]этилкарбодиимид гидрохлорид (82 мг, 0,43 ммоль). Реакционную смесь оставляют на ночь при комнатной температуре, а затем концентрируют под вакуумом. Остаток разделяют между хлороформом и насыщенным раствором карбоната калия. Слои разделяют. Водный слой экстрагируют хлороформом. Органические слои соединяют, сушат над сульфатом магния, а затем концентрируют под вакуумом и получают золотистое масло. Масло очищают колоночной хроматографией (силикагель, элюирование 10%-ным раствором метанола в дихлорметане) и получают около 70 мг твердого белого N1-[2-(4-амино-1H-имидазо[4,5-c]хинолин-1-ил)бутил]-2-(4-бензоилфенокси)ацетамида с температурой плавления 73-98°С. ЯМР 1H (500 МГц, ДМСО-D6) 8,22 (дублет, J=6,0 Гц, 1Н), 8,18 (с., 1Н), 8,03 (дублет, J=8,3 Гц, 1Н), 7,73 (дублет, J=8,0 Гц, 1Н), 7,68 (дублет, J=8,0 Гц, 2Н), 7,65 (триплет, J= 8,0 Гц, 1Н), 7,60 (двойной дублет, J=8,0, 1,0 Гц, 1Н), 7,55 (триплет, J=8,0 Гц, 2Н), 7,42 (двойной триплет, J=8,0, 1,0 Гц, 1Н), 7,25 (триплет, J=8,0, 1,0 Гц, 1Н), 7,07 (дублет, J=8,0 Гц, 2Н), 6,58 (шир., с, 2Н), 4,61 (триплет, J=7,0 Гц, 2Н), 4,56 (с., 2Н), 3,18 (квадруплет, J=6,0 Гц, 2Н), 1,86 (квинтет, J=7,0 Гц, 2Н), 1,50 (квинтет, J=7,0 Гц, 2Н); Масс-спектрометрия (электронный удар) m/е 493,2106 (493,2114 рассчитано для С29H27N5O3).
Пример 19
N-[4-Амино-1Н-имидазо[4,5-с]хинолин-1-ил]бутил-5-[(2-оксо-2,3-дигидро)-1Н-бензо[d]имидазол-5-ил)окси]пентамид

В соответствии с общей методикой, описанной в Примере 18, 1-(4-аминобутил)-1Н-имидазо[4,5-с]хинолин-4-амин (100 мг, 0,392 ммоль) взаимодействует с 5-[(2-оксо-2,3-дигидро)-1Н-бензо[d]имидазол-5-ил)окси]пентановой кислотой (98,1 мг, 0,392 ммоль) с образованием 20 мг твердого серовато-белого N-[4-амино-1Н-имидазо[4,5-с]хинолин-1-ил]бутил-5-[(2-оксо-2,3-дигидро)-1Н-бензо[d]имидазол-5-ил)окси]пентамида с температурой плавления 150-157°С. ЯМР 1H (500 МГц, ДМСО-D6) 10,51 (с., 1Н), 10,36 (с., 1Н), 8,23 (с., 1Н), 8,05 (дублет, J=8,0 Гц, 1Н), 7,81 (триплет, J=6,0 Гц, 1Н), 7,62 (триплет, J=6,0 Гц, 1Н), 7,47 (триплет, J=6,0 Гц, 1Н), 7,29 (триплет, J=8,0 Гц, 1Н), 6,93 (шир., с., 2Н), 6,78 (дублет, J=8,0 Гц, 1Н), 6,48 (с., 1Н), 6,47 (дублет, J=8,0 Гц, 1Н), 4,61 (триплет, J=7,0 Гц, 2Н), 3,82 (шир., с., 2Н), 3,08 (квадруплет, J=6,0 Гц, 2Н), 2,05 (триплет, J=7,0 Гц, 2Н), 1,84 (квинтет, J=7,0 Гц, 2Н), 1,58 (шир., с., 2Н), 1,44 (квинтет, J=7,0 Гц, 2Н); Масс-спектрометрия (электронный удар) m/е 487,2329 (487,2332 рассчитано для C26H29N7O3).
Пример 20
N1-[4-(4-Амино-1H-имидазо[4,5-c]хинолин-1-ил)бутил]-4-бензоилбензамид

В соответствии с общей методикой, описанной в Примере 14, 1-(4-аминобутил)-1Н-имидазо[4,5-с]хинолин-4-амин (0,51 г, 2,0 ммоль) взаимодействует с бензоилбензоилхлоридом (2,0 ммоль) с образованием 0,15 г твердого белого N1-[4-(4-амино-1H-имидазо[4,5-c]хинолин-1-ил)бутил]-4-бензоилбензамида с температурой плавления 159-161°С. ЯМР 1H (500 МГц, CDCl3) 8,06 (с., 1Н), 7,96 (дублет, J=8,0 Гц, 2Н), 7,91 (дублет, J=8,0 Гц, 1Н), 7,85 (дублет, J=8,0 Гц, 2Н), 7,81 (дублет, J=8,0 Гц, 2Н), 7,76 (дублет, J=8,0 Гц, 2Н), 7,60 (ср., 2Н), 7,49 (триплет, J=8,0 Гц, 2Н), 7,48 (триплет, J=8,0 Гц, 1Н), 7,24 (шир., с., 1Н), 6,86 (шир., с., 1Н), 6,60 (триплет, J=6 Гц, 1Н), 4,69 (триплет, J=7,0 Гц, 2Н), 3, 62 (квадруплет, J=6,0 Гц, 2Н), 2,14 (квинтет, J=7,0 Гц, 2Н), 1,82 (квинтет, J=7,0 Гц, 2Н); Масс-спектрометрия (электронный удар) m/е 463,2002 (463,2008 рассчитано для C28H25N5O2).
Пример 21
N6-[4-(4-Амино-1H-имидазо[4,5-c]хинолин-1-ил)бутил]-6-хинолинкарбоксамид

В соответствии с общей методикой, описанной в Примере 18, 1-(4-аминобутил)-1Н-имидазо[4,5-с]хинолин-4-амин (0,5 г, 1,96 ммоль) взаимодействует с 6-хинолинкарбоновой кислотой (0,34 г, 1,96 ммоль) с образованием 0,08 г желтовато-коричневого порошка N6-[4-(4-амино-1H-имидазо[4,5-c]хинолин-1-ил)бутил]-6-хинолинкарбоксамида с температурой плавления 122-127°С (вспенивание). ЯМР 1H (500 МГц, ДМСО-D6) 8,98 (ср., 1Н), 8,73 (триплет, J=5,4 Гц, 1Н), 8,43 (ср., 1Н), 8,23 (с., 1Н), 8,13-8,03 (ср., 3Н), 7,60 (ср., 2Н), 7,40 (ср., 1Н), 7,20 (ср., 1Н), 6,58 (шир., с., 2Н), 4,66 (триплет, J=6,7 Гц, 2Н), 3,37 (ср., 2Н), 1,96 (ср., 2Н), 1,64 (ср., 2Н); Масс-спектрометрия (электронный удар) m/е 410,1847 (410,1855 рассчитано для С24H22N6O).
Пример 22
N1-[3-(4-Амино-2-метил-1H-имидазо[4,5-c]хинолин-1-ил)пропил]бензамид

Часть А
В соответствии с общей методикой, описанной в Части В Примера 11, N1-{3-[(3-нитрохинолин-4-ил)амино]пропил}бензамид (2,0 г, 5,7 ммоль) восстанавливается до диамина, а затем взаимодействует с триэтилортоацетатом с образованием 0,74 г твердого липкого темно-желтого N1-[3-(2-метил-1H-имидазо[4,5-с]хинолин-1-ил)пропил]бензамида.
Часть Б
В соответствии с общей методикой, описанной в Части Г Примера 11, окислением материала из Части А получают 0,35 г твердого 1-(3-бензамидопропил)-2-метил-1Н-имидазо[4,5-с]хинолин-5N-оксида.
Часть В
К раствору 1-(3-бензамидопропил)-2-метил-1Н-имидазо[4,5-с]хинолин-5N-оксида (0,35 г, 0,97 ммоль) в дихлорметане (100 мл) прибавляют гидроокись аммония (20 мл). При интенсивном перемешивании медленно прибавляют тозилхлорид (0,185 г, 0,97 ммоль). Реакционную смесь оставляют на ночь перемешиваться при комнатной температуре, а затем концентрируют под вакуумом для того, чтобы удалить дихлорметан. После перекристаллизации твердого остатка из дихпорметана получают 0,1 г твердого N1-[3-(4-амино-2-метил-1Н-имидазо[4,5-с]хинолин-1-ил)пропил]бензамида с температурой плавления 230-231,4°С.
Пример 23
N1-[6-(4-Амино-2-метил-1H-имидазо[4,5-c]хинолин-1-ил)гексил]бензамид

Часть А
В соответствии с общей методикой, описанной в Части А Примера 9, гексаметилендиамин (348,63 г, 3 моль) взаимодействует с бензамидом (121,14 г, 1 моль) с образованием 136,5 г N-(6-аминогексил)бензамида.
Часть Б
В соответствии с общей методикой, описанной в Части Б Примера 9, 4-хлор-3-нитрохинолин гидрохлорид (10 г, 41 ммоль) взаимодействует с N-(6-аминогексил)бензамидом с образованием 12,85 г кристаллического желтого N1-{6-[(3-нитрохинолин-4-ил)амино]гексил}бензамида.
Часть В
В соответствии с общей методикой, описанной в Части В Примера 9, 12,3 г материала из Части Б восстанавливают, а затем по взаимодействии с триэтилортоформиатом (8,94 г, 6 ммоль) получают 6,4 г коричневого маслянистого N1-[6-(1H-имидазо[4,5-c]хинолин-1-ил)гексил]бензамида.
Часть Г
К раствору материала из части B в хлороформе медленно прибавляют 3-хлорпероксибензойную кислоту (5,9 г, 17 ммоль). Раствор становится оранжевым. Через 2 часа реакционную смесь дважды промывают водным раствором карбоната натрия, а затем концентрируют под вакуумом и получают 6,0 г маслянистого оранжевого 1-(6-бензамидогексил)-1Н-имидазо[4,5-с]хинолин-5N-оксида.
Часть Д
К раствору материала из части Г в дихлорметане прибавляют гидроокись аммония. При бурном перемешивании медленно прибавляют тозилхлорид (2,94 г, 15 ммоль). Реакционную смесь оставляют на ночь перемешиваться при комнатной температуре, а затем концентрируют под вакуумом. Образовавшийся при этом сырой материал перекристаллизовывают из пропилацетата и получают 0,91 г кристаллического бежевого N1-[6-(4-амино-2-метил-1H-имидазо[4,5-c]хинолин-1-ил)гексил]бензамида с температурой плавления 146-155°С.
Пример 24
N1-[4-(4-Амино-2-бутил-1H-имидазо[4,5-с]хинолин-1-ил)бутил]-5-(2-оксопергидротиено[3,4-d]имидазол-4-ил)пентанамид

D-Биотинил-N-оксисукцинимид (0,57 г, 1,67 ммоль) прибавляют к раствору 1-(4-аминобутил)-2-бутил-1Н-имидазо[4,5-с]хинолин-4-амина (0,52 г, 1,67 ммоль) в пиридине (25 мл). Реакционную смесь оставляют на ночь при комнатной температуре, а затем упаривают досуха. Остаток разделяют между дихлорметаном и насыщенным водным раствором карбоната калия. Органический слой сушат над сульфатом магния, а затем концентрируют и получают 0,4 г твердого N1-[4-(4-амино-2-бутил-1H-имидазо[4,5-c]хинолин-1-ил)бутил]-5-(2-оксопергидротиено[3,4-d]имидазол-4-ил)пентанамида с температурой плавления 214-215°С. Элементный анализ: теор. для С28Н39N7O2S: %С 62,54; %Н 7,31; %N 18,23; эксп.: %С 61,67; %Н 7,37; %N 17,62.
Пример 25
N1-[4-(4-Амино-1Н-имидазо[4,5-с]хинолин-1-ил)бутил]-5-(2-оксопергидротиено[3,4-d]имидазол-4-ил)пентанамид

Раствор 1-(4-аминобутил)-1Н-имидазо[4,5-с]хинолин-4-амина (0,38 г, 1,49 ммоль) в пиридине (20 мл) прибавляют к раствору N-оксисукцинимидобиотина (0,51 г, 1,49 ммоль) в пиридине (20 мл). Реакционную смесь оставляют на ночь при комнатной температуре, а затем упаривают досуха. Остаток разделяют между дихлорметаном и насыщенным водным раствором карбоната калия. Органический слой сушат над сульфатом магния, а затем концентрируют и получают 0,58 г твердого N1-[4-(4-амино-1Н-имидазо[4,5-с]хинолин-1-ил)бутил]-5-(2-оксопергидротиено[3,4-d]имидазол-4-ил)пентанамида с температурой плавления 104-106°С. Масс-спектрометрия высокого разрешения: теоретическая молекулярная масса = 481,2260, экспериментально найдено = 481,2261.
Пример 26
N1-[4-(4-Амино-2-бутил-1Н-имидазо[4,5-с]хинолин-1-ил)этил]-5-(2-иминопергидротиено[3,4-d]имидазол-4-ил)пентанамид

Раствор N-оксисукцинимидоиминобиотина (0,74 г, 1,76 ммоль) в пиридине (10 мл) медленно прибавляют к раствору 1-(2-аминоэтил)-2-бутил-1Н-имидазо[4,5-с]хинолин-4-амина (0,50 г, 1,76 ммоль) в пиридине (30 мл). Реакционную смесь оставляют на ночь при комнатной температуре, а затем упаривают досуха. Остаток разделяют между дихлорметаном и насыщенным водным раствором карбоната калия. Органический слой сушат над сульфатом магния, а затем упаривают досуха. После перекристаллизации остатка из этанола получают 0,5 г твердого N1-[4-(4-амино-2-бутил-1Н-имидазо[4,5-с]хинолин-1-ил)этил]-5-(2-иминопергидротиено[3,4-d]имидазол-4-ил)пентанамида с температурой плавления 95-96°С. Масс-спектрометрия высокого разрешения: теоретическая молекулярная масса = 508,2733, экспериментально найдено = 508,2723.
Пример 27
N1-[2-(4-Амино-1Н-имидазо[4,5-с]хинолин-1-ил)этил]-5-(2-оксопергидротиено[3,4-d]имидазол-4-ил)пентанамид

В соответствии с общей методикой, описанной в Примере 24, N-оксисукцинимидобиотин (0,6 г, 1,76 ммоль) взаимодействуете 1-(2-аминоэтил)-1Н-имидазо[4,5-с]хинолин-4-амином (0,4 г, 1,76 ммоль) с образованием 0,6 г твердого N1-[2-(4-амино-1H-имидазо[4,5-c]хинолин-1-ил)этил]-5-(2-оксопергидротиено[3,4-d]имидазол-4-ил)пентанамида с температурой плавления 169°С.
Пример 28
N1-[2-(4-Амино-2-бутил-1Н-имидазо[4,5-с]хинолин-1-ил)этил]-5-(2-оксопергидротиено[3,4-d]имидазол-4-ил)пентанамид

В соответствии с общей методикой, описанной в Примере 25, 1-(4-аминоэтил)-2-бутил-1Н-имидазо[4,5-с]хинолин-4-амин (0,4 г, 1,47 ммоль) взаимодействует с N-оксисукцинимидобиотином (0,5 г, 1,47 ммоль) с образованием 0,44 г твердого белого N1-[2-(4-амино-2-бутил-1H-имидазо[4,5-с]хинолин-1-ил)этил]-5-(2-оксопергидротиено[3,4-d]имидазол-4-ил)пентанамида с температурой плавления 124-126°С. Масс-спектрометрия высокого разрешения: теоретическая молекулярная масса = 509,25, экспериментально найдено = 509,2580.
Пример 29
N1-[2-(4-Амино-2-(этоксиметил)-1H-имидазо[4,5-с]хинолин-1-ил)этил]-5-(2-оксопергидротиено[3,4-d]имидазол-4-ил)пентанамид дитрифторацетат

К суспензии 1-(2-аминоэтил)-2-(этоксиметил)-1Н-имидазо[4,5-с]хинолин-4-амина гидрохлорида (3,39 г, 10,53 ммоль) в хлороформе (150 мл) одной порцией прибавляют триэтиламин (1,2 г, 11,4 ммоль). Реакционная смесь становится прозрачной. Затем медленно прибавляют N-оксисукцинимидобиотин (3,0 г, 8,79 ммоль). Через 2 часа мутную реакционную смесь нагревают до кипения. Реакционную смесь оставляют на ночь кипеть с обратным холодильником, и она становится прозрачной. Реакционной смеси дают остыть до комнатной температуры, а затем останавливают реакцию водой. Слои разделяют. Органический слой сушат над сульфатом магния, а затем концентрируют и получают серовато-белое твердое вещество. После перекристаллизации этого материала из смеси этанола с водой 8:2 получается твердое белое вещество. Часть этого материала очищают препаративной ВЭЖХ с элюированием смесью вода/ацетонитрил/трифторуксусная кислота и получают 0,6 г N1-[2-(4-амино-2-(этоксиметил)-1H-имидазо[4,5-с]хинолин-1-ил)этил]-5-(2-оксопергидротиено[3,4- d]имидазол-4-ил)пентанамида в виде дитрифторацетной соли с температурой плавления 171-175°С. Элементный анализ: теор. для C25H33N7O3S·2С2HF3O2: %С 47,09; %Н 4,77; %N 13,26; эксп.: %С 47,06; %Н 5,17; %N 13,31.
Пример 30
N1-[4-(4-Амино-2-бутил-1H-имидазо[4,5-с]хинолин-1-ил)бутил]-6-(5-метил-2-оксо-4-имидазолинил)гексанамид

1-(4-Аминобутил)-2-бутил-1Н-имидазо[4,5-с]хинолин-4-амин (0,13 г, 0,47 ммоль), D-дестиобиотин (0,10 г, 0,47 ммоль) и хлороформ (200 мл) соединяют и перемешивают при комнатной температуре до тех пор, пока раствор не станет прозрачным. Прибавляют 1-[3-(диметиламино)пропил]-3-этилкарбодиимид гидрохлорид (0,094 г, 0,49 ммоль) и оставляют реакционную смесь на ночь при комнатной температуре. Реакционную смесь выливают в колонку с силикагелем. Хлороформу дают стечь, а затем колонку элюируют 10%-ным раствором метанола в дихлорметане. Чистые фракции соединяют, концентрируют и получают твердый белый N1-[4-(4-амино-2-бутил-1H-имидазо[4,5-с]хинолин-1-ил)бутил]-6-(5-метил-2-оксо-4-имидазолинил)гексанамид.
Пример 31
N1-[4-(4-Амино-1H-имидазо[4,5-c]хинолин-1-ил)бутил]-2-этокси-1-нафтамид

В соответствии с общей методикой, описанной в Примере 14, 1-(4-аминобутил)-1Н-имидазо[4,5-с]хинолин-4-амин и 2-этокси-1-нафтоилхлорид взаимодействуют с образованием белого порошка N1-[4-(4-амино-2-бутил-1H-имидазо[4,5-с]хинолин-1-ил)бутил]-2-этокси-1-нафтамида с температурой плавления 219°С (разл.). ЯМР 1H (300 МГц, ДМСО-D6) 8,33 (триплет, J=5,8 Гц, 1Н), 8,22 (с., 1Н), 8,09 (дублет, J=8,0 Гц, 1Н), 7,91 (дублет, J=8,7 Гц, 1Н), 7,87-7,84 (ср., 1Н), 7,54-7,56 (ср., 1Н), 7,47-7,22 (ср., 1Н), 6,60 (с., 1Н), 4,69 (триплет, J=7,2 Гц, 2Н), 4,09 (квадруплет, J=7,2 Гц, 2Н), 3,37 (ср., 2Н), 2,01 (ср., 2Н), 1,64 (ср., 2Н), 1,18 (триплет, J=7,2 Гц, 3Н); Масс-спектрометрия (электронный удар) m/е 453,2157 (453,2165 рассчитано для С27Н27N5O2).
Пример 32
N1-[4-(4-Амино-1H-имидазо[4,5-c]хинолин-1-ил)бутил]-4-цианобензамид

В соответствии с общей методикой, описанной в Примере 14, 1-(4-аминобутил)-1Н-имидазо[4,5-с]хинолин-4-амин и 4-цианобензоилхлорид взаимодействуют с образованием белого порошка N1-[4-(4-амино-1H-имидазо[4,5-с]хинолин-1-ил)этил]бутил]-4-цианобензамида с температурой плавления 222,8-225,3°С. ЯМР 1H (300 МГц, ДМСО-D6) 8,73 (триплет, J=5,7 Гц, 1Н), 8,22 (с., 1Н), 8,03 (дублет, J=8,1 Гц, 1Н), 7,93 (с., 1Н), 7,61 (двойной дублет, J=8,4, 1,2 Гц, 1Н), 7,43 (двойной триплет, J=7,6, 1,5 Гц, 1Н), 7,21 (двойной триплет, J=7,6, 1,2 Гц, 1Н), 6,61 (с., 2Н), 4,64 (триплет, J=7,2 Гц, 2Н), 3,33 (ср., 2Н), 1,96 (квинтет, J=7,2 Гц, 2Н), 1,58 (квинтет, J=7,2 Гц, 2Н); ИК (КВг) 3441, 3337, 2228, 1641, 1545, 1531, 1481, 1396, 1309, 1257, 857, 755 см-1; Масс-спектрометрия (электронный удар) m/e 384,1699 (384,1699 рассчитано для C22H20N6O).
Пример 33
N1-[4-(4-Амино-1H-имидазо[4,5-c]хинолин-1-ил)бутил]-3-цианобензамид

В соответствии с общей методикой, описанной в Примере 14, 1-(4-аминобутил)-1Н-имидазо[4,5-с]хинолин-4-амин и 3-цианобензоилхлорид взаимодействуют с образованием кристаллического белого N1-[4-(4-амино-1H-имидазо[4,5-с]хинолин-1-ил)бутил]-3-цианобензамида с температурой плавления 200,0-201,0°С (разл.). ЯМР 1H (300 МГц, ДМСО-D6) 8,68 (триплет, J=5,7 Гц, 1Н), 8,22 (с., 1Н), 8,17 (триплет, J=1,8 Гц, 1Н), 8,10-7,97 (ср., 3Н), 7,69-7,60 (ср., 2Н), 7,42 (двойной триплет, J=7,5, 1,2 Гц, 1Н), 7,20 (двойной триплет, J=7,5, 1,5 Гц, 1Н), 6,62 (с., 2Н), 4,63 (триплет, J=6,9 Гц, 2Н), 3,32 (ср., 2Н), 1,91 (квинтет, J=7,5 Гц, 2Н), 1,59 (квинтет, J=7,2 Гц, 2Н); ИК (KBr) 3455, 3295, 3072, 2941, 2231, 1638, 1581, 1527, 1479, 1396, 1312, 1251, 1205 см-1; Масс-спектрометрия (электронный удар) m/e 384,1699 (384,1699 рассчитано для C22H20N6O).
Пример 34
N1-[4-(4-Амино-1H-имидазо[4,5-c]хинолин-1-ил)бутил]-4-фенилбензамид

В соответствии с общей методикой, описанной в Примере 14, 1-(4-аминобутил)-1Н-имидазо[4,5-с]хинолин-4-амин и 4-бисренилкарбонилхлорид взаимодействуют с образованием белого порошка N1-[4-(4-амино-1H-имидазо[4,5-c]хинолин-1-ил)бутил]-4-фенилбензамида с температурой плавления 215,4°С (разл.). ЯМР 1H (300 МГц, ДМСО-D6) 8,68 (триплет, J=5,7 Гц, 1Н), 8,22 (с., 1Н), 8,05 (дублет, J=7,2 Гц, 1Н), 7,88 (дублет, J=5,4 Гц, 2Н), 7,75-7,70 (ср., 4Н), 7,62 (двойной дублет, J=8,4, 1,5 Гц, 1Н), 7,52-7,38 (ср., 4Н), 7,22 (двойной триплет, J=7,5, 1,2 Гц, 1Н), 6,61 (с., 2Н), 4,65 (триплет, J=7,2 Гц, 3Н), 3,30 (ср., 2Н), 1,93 (квинтет, J=7,5 Гц, 2Н), 1,60 (квинтет, J=7,5 Гц, 2Н); Масс-спектрометрия (электронный удар) m/е 435,2054 (435,2059 рассчитано для С27Н25N5O).
Пример 35
N1-[4-(4-Амино-1H-имидазо[4,5-c]хинолин-1-ил)бутил]-2- феноксиацетамид

В соответствии с общей методикой, описанной в Примере 14, 1-(4-аминобутил)-1Н-имидазо[4,5-с]хинолин-4-амин и феноксиацетилхлорид взаимодействуют с образованием серовато-белого порошка N1-[4-(4-амино-1Н-имидазо[4,5-с]хинолин-1-ил)бутил]-2-феноксиацетамида с температурой плавления 61,5°С (разл.). ЯМР 1H (300 МГц, ДМСО-D6) 8,19 (с., 1Н), 8,12 (триплет, J=6,0 Гц, 1Н), 8,03 (дублет, J=8,4 Гц, 1Н), 7,62 (двойной дублет, J=8,4, 1,2 Гц, 1Н), 7,44 (двойной триплет, J=7,5, 1,2 Гц, 1Н), 7,29-7,21 (ср., 3Н), 6,98-6,88 (ср., 3Н), 6,62 (с., 2Н), 4,60 (триплет, J=7,2 Гц, 2Н), 4,42 (с., 2Н), 3,16 (квадруплет, J=6,9 Гц, 2Н), 1,83 (квинтет, J=7,2 Гц, 2Н), 1,47 (квинтет, J=7,2 Гц, 2Н); ИК (KBr) 3311, 2937, 1664, 1618, 1583, 1527, 1493, 1396, 1244, 755 см-1; Масс-спектрометрия (электронный удар) m/e 389,1844 (389,1852 рассчитано для C22H23N5O2).
Пример 36
N1-[4-(4-Амино-1H-имидазо[4,5-c]хинолин-1-ил)бутил]-2-этилгексанамид

В соответствии с общей методикой, описанной в Примере 14, 1-(4-аминобутил)-1Н-имидазо[4,5-с]хинолин-4-амин и 2-этилгексаноилхлорид взаимодействуют с образованием желтовато-коричневого порошка N1-[4-(4-амино-1Н-имидазо[4,5-с]хинолин-1-ил)бутил]-2-этилгексанамида с температурой плавления 163,0-164,0°С. ЯМР 1H (300 МГц, ДМСО-D6) 8,19 (с., 1Н), 8,03 (дублет, J=8,1 Гц, 1Н), 7,79 (ср., 1Н), 7,61 (двойной дублет, J=8,1, 1,2 Гц, 1Н), 7,44 (двойной триплет, J=7,5, 1,2 Гц, 1Н), 7,26 (двойной триплет, J=7,5, 1,2 Гц, 1Н), 6,63 (с., 2Н), 4,61 (триплет, J=6,9 Гц, 2Н), 4,42 (с., 2Н), 3,12-3,05 (ср., 2Н), 1,94-1,82 (ср., 3Н), 1,49-1,03 (ср., 10Н), 0,76 (триплет, J=7,2 Гц, 3Н), 0,67 (триплет, J=7,2 Гц, 3Н); Масс-спектрометрия (электронный удар) m/е 381,2533 (381,2529 рассчитано для C22H31N5O).
Пример 37
N1-[4-(4-Амино-1H-имидазо[4,5-c]хинолин-1-ил)бутил]-(транс)-2-фенилциклопропан-1-карбоксамид

В соответствии с общей методикой, описанной в Примере 14, 1-(4-аминобутил)-1Н-имидазо[4,5-с]хинолин-4-амин и (транс)-2-фенил-1-циклопропанкарбонилхлорид взаимодействуют с образованием твердого серовато-белого N1-[4-(4-амино-1H-имидазо[4,5-c]хинолин-1-ил)бутил]-(транс)-2-фенилциклопропан-1-карбоксамида с температурой плавления 77,0°С. ЯМР 1H (300 МГц, ДМСО-D6) 7,90 (двойной дублет, J=8,1, 1,2 Гц, 1Н), 7,81 (двойной дублет, J=8,1, 1,2 Гц, 1Н), 7,78 (с, 1Н), 7,50 (двойной триплет, J=8,1, 1,5 Гц, 1Н), 7,33-7,15 (ср., 4Н), 7,05-7,02 (ср., 2Н), 5,84 (шир., с., 1Н), 5,51 (с., 2Н), 4,52 (триплет, J=7,2 Гц, 2Н), 3,32 (квадруплет, J=6,6 Гц, 2Н), 2,49-2,43 (ср., 1Н), 2,07-1,95 (ср., 3Н), 1,64-1,51 (ср., 3Н), 1,25-1,18 (ср., 1Н); ИК (KBr) 3304, 31,79, 2939, 1640, 1582, 1527, 1479, 1396, 1250, 755, 735, 689 см-1; Масс-спектрометрия (электронный удар) m/e 399,2059 (399,2059 рассчитано для С24Н25N5О).
Пример 38
N1-[4-(4-Амино-1H-имидазо[4,5-c]хинолин-1-ил)бутил]-1-нафтамид

В соответствии с общей методикой, описанной в Примере 14, 1-(4-аминобутил)-1Н-имидазо[4,5-с]хинолин-4-амин и 1-нафтоилхлорид взаимодействуют с образованием серовато-белого порошка N1-[4-(4-амино-1H-имидазо[4,5-c]хинолин-1-ил)бутил]-2-этокси-1-нафтамида с температурой плавления 174,5°С (разл.). ЯМР 1H (300 МГц, ДМСО-D6) 8,52 (триплет, J=5,6 Гц, 1Н), 8,49 (с., 1Н), 8,24 (ср., 3Н), 8,10 (дублет, J=8,1 Гц, 1Н), 7,97 (ср., 2Н), 7,80 (дублет, J=8,2 Гц, 1Н), 7,65 (триплет, J=7,3 Гц, 1Н), 7,57-7,41 (ср., 5Н), 4,75 (триплет, J=6,9 Гц, 2Н), 2,03-1,98 (ср., 2Н), 1,69-1,64 (ср., 2Н); Масс-спектрометрия (электронный удар) m/е 409,1903 (409,1903 рассчитано для C25H23N5O).
Пример 39
N1-[4-(4-Амино-1H-имидазо[4,5-c]хинолин-1-ил)бутил]-3-феноксибензамид

В соответствии с общей методикой, описанной в Примере 14, 1-(4-аминобутил)-1Н-имидазо[4,5-с]хинолин-4-амин и 3-феноксибензоилхлорид взаимодействуют с образованием белого порошка N1-[4-(4-амино-1H-имидазо[4,5-c]хинолин-1-ил)бутил]-3-феноксибензамида с температурой плавления 105,0-107,0°С. ЯМР 1H (300 МГц, ДМСО-D6) 8,54 (триплет, J=5,4 Гц, 1Н), 8,34 (с., 1Н), 8,10 (дублет, J=8,1 Гц, 1Н), 7,69 (двойной дублет, J=8,1, 1,2 Гц, 1Н), 7,58-7,29 (ср., 9Н), 7,19-7,13 (ср., 1Н), 7,04-6,99 (ср., 2Н), 4,65 (триплет, J=7,2 Гц, 2Н), 3,28 (ср., 2Н), 1,89 (квинтет, J=7,2 Гц, 2Н), 1,57 (квинтет, J=7,2 Гц, 2Н); Масс-спектрометрия (электронный удар) m/е 451,2012 (451,2008 рассчитано для C27H25N5O2).
Пример 40
N3-[4-(4-Амино-1H-имидазо[4,5-c]хинолин-1-ил)бутил]-3-хинолинкарбоксамид

В соответствии с общей методикой, описанной в Примере 14, 1-(4-аминобутил)-1Н-имидазо[4,5-с]хинолин-4-амин и хинолин-3-карбонилхлорид взаимодействуют с образованием белого порошка N3-[4-(4-амино-1H-имидазо[4,5-c]хинолин-1-ил)бутил]-3-хинолинкарбоксамида с температурой плавления 116,0-118,0°С (разл.). ЯМР 1H (300 МГц, ДМСО-D6) 9,24 (дублет, J=2,1 Гц, 1Н), 8,86 (триплет, J=5,1 Гц, 1Н), 8,74 (дублет, J=2,1 Гц, 1Н), 8,25 (с., 1Н), 8,09-8,05 (ср., 3Н), 7,86 (двойной триплет, J=7,5, 1,0 Гц, 1Н), 7,69 (триплет, J=7,5 Гц, 1Н), 7,61 (дублет, J=7,5 Гц, 1Н), 7,40 (триплет, J=7,5 Гц, 1Н), 7,21 (триплет, J=7,5 Гц, 1Н), 6,68 (с., 2Н), 4,67 (триплет, J=6,9 Гц, 2Н), 1,97 (квинтет, J=7,2 Гц, 2Н), 1,65 (квинтет, J=7,2 Гц, 2Н); Масс-спектрометрия (электронный удар) m/е 410,1864 (410,1855 рассчитано для C24H22N6O).
Пример 41
N1-[4-(4-Амино-1H-имидазо[4,5-c]хинолин-1-ил)бутил]-2-феноксипропанамид

В соответствии с общей методикой, описанной в Примере 14, 1-(4-аминобутил)-1Н-имидазо[4,5-с]хинолин-4-амин и 2-феноксипропионилхлорид взаимодействуют с образованием белого порошка N1-[4-(4-амино-1H-имидазо[4,5-c]хинолин-1-ил)бутил]-2-феноксипропанамида с температурой плавления 85,0-87,5°С. ЯМР 1H (300 МГц, ДМСО-D6) 8,15 (с., 1Н), 8,07 (триплет, J=6,0 Гц, 1Н), 8,00 (дублет, J=8,4 Гц, 1Н), 7,62 (двойной дублет, J=8,4, 1,2 Гц, 1Н), 7,43 (двойной триплет, J=7,5, 1,2 Гц, 1Н), 7,28-7,16 (ср., 3Н), 6,91-6,81 (ср., 3Н), 4,62-4,53 (ср., 3Н), 3,10 (квадруплет, J=6,9 Гц, 2Н), 1,76 (квинтет, J=7,1 Гц, 2Н), 1,43 (квинтет, J=7,1 Гц, 2Н), 1,33 (дублет, J=6,6 Гц, 3Н); Масс-спектрометрия (электронный удар) m/е 403,2005 (403,2008 рассчитано для C23H25N5O2).
Пример 42
N3-[4-(4-Амино-1H-имидазо[4,5-c]хинолин-1-ил)бутил]-1-бензил-1Н-индолкарбоксамид

В соответствии с общей методикой, описанной в Примере 14, 1-(4-аминобутил)-1Н-имидазо[4,5-с]хинолин-4-амин и 1-бензилиндол-3-карбонилхлорид взаимодействуют с образованием белого порошка N3-[4-(4-амино-1H-имидазо[4,5-c]хинолин-1-ил)бутил]-1-бензил-1Н-индолкарбоксамида с температурой плавления 139,0°С (разл.). ЯМР 1H (300 МГц, ДМСО-D6) 8,24 (с., 1Н), 8,14 (триплет, J=7,8 Гц, 1Н), 8,04 (ср., 2Н), 7,93 (ср., 1Н), 7,62 (дублет, J=8,4 Гц, 1Н), 7,51 (дублет, J=7,8 Гц, 1Н), 7,44-7,09 (ср., 9Н), 6,63 (с., 2Н), 5,44 (с., 2Н), 4,66 (триплет, J=6,6 Гц, 2Н), 1,97-1,92 (ср., 2Н), 1,62-1,57 (ср., 2Н); Масс-спектрометрия (электронный удар) m/е 488,2326 (488,2325 рассчитано для С30Н28N6О).
Пример 43
N2-[4-(4-Амино-1H-имидазо[4,5-c]хинолин-1-ил)бутил]-2-нафтамид

В соответствии с общей методикой, описанной в Примере 14, 1-(4-аминобутил)-1Н-имидазо[4,5-с]хинолин-4-амин и 2-нафтоилхлорид взаимодействуют с образованием белого порошка N2-[4-(4-амино-1H-имидазо[4,5-c]хинолин-1-ил)бутил]-2-этокси-1-нафтамида с температурой плавления 257,0°С (разл.). ЯМР 1H (300 МГц, ДМСО-D6) 8,85 (шир, с., 2Н), 8,69 (шир., с., 1Н), 8,57 (с., 1Н), 8,38 (с., 1Н), 8,25 (дублет, J=8,4 Гц, 1Н), 7,99-7,80 (ср., 5Н), 7,75-7,50 (ср., 4Н), 4,75 (триплет, J=6,9 Гц, 2Н), 3,39 (ср., 2Н), 1,98 (квинтет, J=7,2 Гц, 2Н), 1,68 (квинтет, J=7,2 Гц, 2Н); Масс-спектрометрия (электронный удар) m/е 409,1909 (409,1903 рассчитано для С25H23N5О).
Пример 44
N3-[4-(4-Амино-1H-имидазо[4,5-c]хинолин-1-ил)бутил]-2,6-диметоксиникотинамид

В соответствии с общей методикой, описанной в Примере 14, 1-(4-аминобутил)-1Н-имидазо[4,5-с]хинолин-4-амин и 2,6-диметоксиникотиноилхлорид взаимодействуют с образованием серовато-белого порошка N3-[4-(4-амино-1H-имидазо[4,5-c]хинолин-1-ил)бутил]-2,6-диметоксиникотинамида с температурой плавления 175,0-177,0°С. ЯМР 1H (300 МГц, ДМСО-D6) 8,21 (с., 1Н), 8,11-8,02 (ср., 3Н), 7,62 (дублет, J=8,2 Гц, 1Н), 7,42 (триплет, J=7,5 Гц, 1Н), 7,20 (триплет, J=7,5 Гц, 1Н), 6,58 (шир., с., 2Н), 6,46 (дублет, J=8,3 Гц, 1Н), 4,63 (триплет, J=7,0 Гц, 2Н), 3,90 (с., 3Н), 3,88 (с., 3Н), 3,30 (ср., 2Н), 1,90 (ср., 2Н), 1,57 (ср., 2Н); Масс-спектрометрия (электронный удар)) m/е 420,1909 (420,1910 рассчитано для С22Н24N6О3).
Пример 45
N8-[4-(4-Амино-1H-имидазо[4,5-c]хинолин-1-ил)бутил]-8-хинолинкарбоксамид

В соответствии с общей методикой, описанной в Примере 14, 1-(4-аминобутил)-1Н-имидазо[4,5-с]хинолин-4-амин и хинолин-8-карбонилхлорид взаимодействуют с образованием желтовато-коричневого порошка N8-[4-(4-амино-1Н-имидазо[4,5-с]хинолин-1-ил)бутил]-8-хинолинкарбоксамида с температурой плавления 91,0-93,0°С. ЯМР 1H (300 МГц, ДМСО-D6) 10,80 (триплет, J=5,5 Гц, 1Н), 8,79 (двойной дублет, J=4,3, 1,8 Гц, 1Н), 8,55-8,49 (ср., 2Н), 8,24 (с., 1Н), 8,17 (двойной дублет, J=8,1, 1,5 Гц, 1Н), 8,06 (дублет, J=7,2 Гц, 1Н), 7,73 (триплет, J=7,8 Гц, 1Н), 7,63-7,59 (ср., 2Н), 7,40 (двойной триплет, J=7,5, 1,2 Гц, 1Н), 7,14 (двойной триплет, J=7,1, 1,2 Гц, 1Н), 6,57 (шир., с., 2Н), 4,68 (триплет, J=7,0 Гц, 2Н), 3,51 (ср., 2Н), 2,02 (ср., 2Н), 1,69 (ср., 2Н); Масс-спектрометрия (электронный удар) m/е 410,1858 (410,1855 рассчитано для С24Н22N6О).
Пример 46
N1-[4-(4-Амино-1H-имидазо[4,5-c]хинолин-1-ил)бутил]-2-(-4-изобутилфенил)пропанамид

В соответствии с общей методикой, описанной в Примере 14, 1-(4-аминобутил)-1Н-имидазо[4,5-с]хинолин-4-амин и 4-изобутил- -метилфенилацетилхлорид взаимодействуют с образованием белого порошка N1-[4-(4-амино-1Н-имидазо[4,5-с]хинолин-1-ил)бутил]-2-(4-изобутилфенил)пропанамида с температурой плавления 172,0-173,0°С. ЯМР 1H (300 МГц, ДМСО-D6) 8,14 (с, 1Н), 8,01 (дублет, J=7,6 Гц, 1Н), 7,90 (триплет, J=5,6 Гц, 1Н), 7,63 (двойной дублет, J=8,1, 1,0 Гц, 1Н), 7,44 (двойной триплет, J=7,0, 1,0 Гц, 1Н), 7,25 (двойной триплет, J=7,0 Гц, 1Н), 7,14 (дублет, J=8,0 Гц, 1Н), 6,97 (дублет, J=8,0 Гц, 2Н), 6,58 (шир., с., 2Н), 4,55 (триплет, J=7,0 Гц, 2Н), 3,47 (квадруплет, J=7,1 Гц, 1Н), 3,06 (ср., 2Н), 2,34 (дублет, J=7,1 Гц, 2Н), 1,80-1,69 (ср., 3Н), 1,44 (ср., 2Н), 1,24 (дублет, J=7,0 Гц, 2Н), 0,82 (дублет, J=6,6 Гц, 6Н); Масс-спектрометрия (электронный удар) m/е 443,2687 (443,2685 рассчитано для C27H33N5O).
Пример 47
N3-[4-(4-Амино-1H-имидазо[4,5-c]хинолин-1-ил)бутил]никотинамид

В соответствии с общей методикой, описанной в Примере 14, 1-(4-аминобутил)-1Н-имидазо[4,5-с]хинолин-4-амин и никотиноилхлорид гидрохлорид взаимодействуют с образованием белого порошка N3-[4-(4-амино-1Н-имидазо[4,5-с]хинолин-1-ил)бутил]никотинамида с температурой плавления 188,6-189,5°С. ЯМР 1H (300 МГц, ДМСО-D6) 8,95 (двойной дублет, J=2,2, 0,7 Гц, 1Н), 8,70-8,65 (ср., 2Н), 8,22 (с., 1Н), 8,11 (двойной триплет, J=8,3, 2,0 Гц, 1Н), 8,04 (двойной дублет, J=8,2, 0,9 Гц, 1Н), 7,61 (двойной дублет, J=8,3, 1,1 Гц, 1Н), 7,50-7,39 (ср., 2Н), 7,37-7,18 (ср., 1Н), 6,58 (шир., с., 2Н), 4,64 (триплет, J=7,0 Гц, 2Н), 3,30 (ср., 2Н), 1,93 (ср., 2Н), 1,60 (ср., 2Н); Масс-спектрометрия (электронный удар)) m/е 360,1696 (360,1699 рассчитано для C20H20N6O).
Пример 48
N4-[4-(4-Амино-1H-имидазо[4,5-c]хинолин-1-ил)бутил]изоникотинамид

В соответствии с общей методикой, описанной в Примере 14, 1-(4-аминобутил)-1Н-имидазо[4,5-с]хинолин-4-амин и изоникотиноилхлорид гидрохлорид взаимодействуют с образованием белого кристаллического N4-[4-(4-амино-1Н-имидазо[4,5-с]хинолин-1-ил)бутил]изоникотинамида с температурой плавления 213-213,7°С. ЯМР 1H (300 МГц, ДМСО-D6) 8,76 (ср., 1Н), 8,69 (дублет, J=5,6 Гц, 2Н), 8,22 (с., 1Н), 8,04 (дублет, J=8,0, 1Н), 7,67 (дублет, J=5,7 Гц, 1Н), 7,62 (дублет, J=8,2 Гц, 1Н), 7,43 (триплет, J=7,5 Гц, 1Н), 7,21 (триплет, J=7,5 Гц, 1Н), 6,62 (шир., с., 2Н), 4,64 (триплет, J=6,8 Гц, 2Н), 3,30 (ср., 2Н), 1,92 (ср., 2Н), 1,58 (ср., 2Н); Масс-спектрометрия (электронный удар) m/е 360,1699 (360,1699 рассчитано для C20H20N6O).
Пример 49
N4-[4-(4-Амино-1H-имидазо[4,5-c]хинолин-1-ил)бутил]-4-хинолинкарбоксамид

В соответствии с общей методикой, описанной в Примере 14, 1-(4-аминобутил)-1Н-имидазо[4,5-с]хинолин-4-амин и хинолин-4-карбонилхлорид взаимодействуют с образованием желтовато-коричневого порошка N4-[4-(4-амино-1H-имидазо[4,5-c]хинолин-1-ил)бутил]-4-хинолинкарбоксамида с температурой плавления 214,5-215,2°С. ЯМР 1H (300 МГц, ДМСО-D6) 8,89 (дублет, J=4,3 Гц, 1Н), 8,76 (триплет, J=5,6 Гц, 1Н), 8,24 (с., 1Н), 8,10-8,01 (ср., 3Н), 7,78 (двойной двойной дублет, J=8,4, 6,9, 1,5 Гц, 1Н), 7,64 (двойной дублет, J=8,4, 1,1 Гц, 1Н), 7,56 (двойной двойной дублет, J=8,3, 6,9, 1,4 Гц, 1Н), 7,44 (двойной двойной дублет, J=8,3, 7,0, 1,3 Гц, 1Н), 7,34 (дублет, J=4,3 Гц, 1Н), 7,24 (двойной двойной дублет, J=8,3, 7,0,1,3 Гц, 1Н), 6,60 (шир., с., 2Н), 4,68 (триплет, J=6,9 Гц, 2Н), 3,38 (квадруплет, J=7,0 Гц, 2Н), 2,00 (ср., 2Н), 1,63 (ср., 2Н); Масс-спектрометрия (электронный удар) m/е 410,1860 (410,1855 рассчитано для C24H22N6O).
Пример 50
N4-[4-(4-Амино-2-(2-метоксиэтил)-1H-имидазо[4,5-c]хинолин-1-ил)бутил]-2-фенил-4-хинолинкарбоксамид

К охлажденному до 0°С раствору 2-фенил-4-хинолинкарбоновой кислоты (0,5 г, 3,7 ммоль), 1-оксибензотриазола (0,5 г, 3,7 ммоль) и пиридина (2,2 мл) в дихлорметане (20 мл) по каплям прибавляют 1-[3-(диметиламино)пропил]-3-этиленкарбодиимид гидрохлорид (0,57 г, 3,0 ммоль). Реакцию продолжают 15 мин, а затем по каплям прибавляют раствор 1-(4-аминобутил)-2-(2-метоксиэтил)-1Н-имидазо[4,5-с]хинолин-4-амина (0,8 г, 2,55 ммоль) в дихлорметане (100 мл). Реакционную смесь оставляют на ночь при комнатной температуре. Растворитель удаляют под вакуумом, а остаток очищают колоночной хроматографией под давлением (силикагель, смесь дихлорметан/метанол 9:1). Фракции, содержащие продукт, соединяют, промывают насыщенным водным раствором бикарбоната натрия, сушат (MgSO4), фильтруют, концентрируют и получают кристаллический желтый N4-[4-(4-амино-2-(2-метоксиэтил)-1H-имидазо[4,5-c]хинолин-1-ил)бутил]-2-фенил-4-хинолинкарбоксамид с температурой плавления 118°С (разл.). ЯМР 1H (300 МГц, ДМСО-D6) 8,76 (ср., 1Н), 8,88 (триплет, J=5,7 Гц, 1Н), 8,24-8,21 (ср., 2Н), 8,13-8,01 (ср., 4Н), 7,83-7,78 (ср., 1Н), 7,62-7,48 (ср., 5Н), 7,36 (ср., 3Н), 7,20 (двойной триплет, J=7,6, 1,2 Гц, 1Н), 6,54 (шир., с., 2Н), 4,62 (триплет, J=7,2 Гц, 2Н), 3,83 (триплет, J=6,7 Гц, 2Н), 3,45 (ср., 2Н), 3,29-3,20 (ср., 5Н), 1,96 (ср., 2Н), 1,79 (ср., 2Н); Масс-спектрометрия (электронный удар) m/e 544,2589 (544,2587 рассчитано для С33Н32N6O2).
Пример 51
N3-[4-(4-Амино-1Н-имидазо[4,5-с]хинолин-1-ил)бутил]-2-(пентилсульфанил)никотинамид

В соответствии с общей методикой, описанной в Примере 14, 1-(4-аминобутил)-1Н-имидазо[4,5-с]хинолин-4-амин и 2-(н-пентилтио)пиридин-3-карбонилхлорид взаимодействуют с образованием желтовато-коричневого порошка N3-[4-(4-амино-1H-имидазо[4,5-c]хинолин-1-ил)бутил]-2-(пентилсульфанил)никотинамида с температурой плавления 158,0-161,0°С. ЯМР 1H (300 МГц, ДМСО-D6) 8,47-8,41 (ср., 2Н), 8,21 (с., 1Н), 8,06 (дублет, J=8,2 Гц, 1Н), 7,63 (двойной дублет, J=8,3, 1,1 Гц, 1Н), 7,54 (двойной дублет, J=7,6, 1,8 Гц, 1Н), 7,47-7,41 (ср., 1Н), 7,26-7,21 (ср., 1Н), 7,08 (двойной дублет, J=7,5, 4,8 Гц, 1Н), 6,57 (шир., с., 2Н), 4,64 (триплет, J=6,9 Гц, 2Н), 3,27 (ср., 2Н), 2,98 (триплет, J=7,3 Гц, 2Н), 1,96 (ср., 2Н), 1,62-1,46 (ср., 4Н), 1,35-1,20 (ср., 4Н), 0,83 (триплет, J=7,1 Гц, 3Н); Масс-спектрометрия (электронный удар) m/e 462,2196 (462,2202 рассчитано для C25H30N6OS).
Пример 52
N3-[4-(4-Амино-1H-имидазо[4,5-c]хинолин-1-ил)бутил]-6-цианоникотинамид

В соответствии с общей методикой, описанной в Примере 14, 1-(4-аминобутил)-1Н-имидазо[4,5-с]хинолин-4-амин и 6-цианопиридин-3-карбонилхлорид взаимодействуют с образованием серовато-белого порошка N3-[4-(4-амино-1Н-имидазо[4,5-с]хинолин-1-ил)бутил]-6-цианоникотинамида с температурой плавления 125,0-129,0°С. ЯМР 1H (300 МГц, ДМСО-D6) 9,05 (двойной дублет, J=2,1, 0,8 Гц, 1Н), 8,88 (триплет, J=5,6 Гц, 1Н), 8,31 (двойной дублет, J=8,1, 2,1 Гц, 1Н), 8,21 (с., 1Н), 8,14 (двойной дублет, J=8,1, 0,8 Гц, 1Н), 8,03 (ср., 1Н), 7,62 (двойной дублет, J=8,3, 1,1 Гц, 1Н), 7,42 (ср., 1Н), 7,20 (ср., 1Н), 6,59 (шир., с., 2Н), 4,64 (триплет, J=6,9 Гц, 2Н), 3,30 (ср., 2Н), 1,93 (ср., 2Н), 1,59 (ср., 2Н); Масс-спектрометрия (электронный удар) m/e 385,1648 (385,1651 рассчитано для C21H19N7O).
Пример 53
N3-[4-(4-Амино-1H-имидазо[4,5-c]хинолин-1-ил)бутил]-6-хлорникотинамид

В соответствии с общей методикой, описанной в Примере 14, 1-(4-аминобутил)-1Н-имидазо[4,5-с]хинолин-4-амин и 6-хлорпиридин-3-карбонилхлорид взаимодействуют с образованием серовато-белого кристаллического N3-[4-(4-амино-1H-имидазо[4,5-c]хинолин-1-ил)бутил]-6-хлорникотинамида с температурой плавления 144,0-148,0°С (разл.). ЯМР 1H (300 МГц, ДМСО-D6) 8,77 (двойной дублет, J=2,5, 0,6 Гц, 1Н), 8,73 (триплет, J=5,6 Гц, 1Н), 8,22 (с., 1Н), 8,16 (двойной дублет, J=8,3, 2,5 Гц, 1Н), 8,03 (ср., 1Н), 7,63 (дублет, J=0,5 Гц, 1Н), 7,60 (дублет, J=0,5 Гц, 1Н), 7,45-7,40 (ср., 1Н), 7,23-7,18 (ср., 1Н), 6,61 (шир., с., 2Н), 4,63 (триплет, J=6,9 Гц, 2Н), 3,30 (ср., 2Н), 1,92 (ср., 2Н), 1,58 (ср., 2Н); Масс-спектрометрия (электронный удар) m/e 394,1298 (394,1309 рассчитано для С20Н19N6OCl).
Пример 54
N3-[4-(4-Амино-1H-имидазо[4,5-c]хинолин-1-ил)бутил]-6-(2,2,2-трифторэтокси)никотинамид

В соответствии с общей методикой, описанной в Примере 14, 1-(4-аминобутил)-1Н-имидазо[4,5-с]хинолин-4-амин и 6-(2,2,2-трифторэтокси)пиридин-3-карбонилхлорид взаимодействуют с образованием серовато-белого кристаллического N3-[4-(4-амино-1H-имидазо[4,5-c]хинолин-1-ил)бутил]-6-(2,2,2-трифторэтокси)никотинамида с температурой плавления 192,0-194,0°С. ЯМР 1H (300 МГц, ДМСО-D6) 8,62 (триплет, J=1,9 Гц, 1Н), 8,58 (триплет, J=5,6 Гц, 1Н), 8,25 (с., 1Н), 8,15 (двойной дублет, J=8,6, 2,4 Гц, 1Н), 8,06 (дублет, J=7,6 Гц, 1Н), 7,64(дублет, J=7,8 Гц, 1Н), 7,45 (триплет, J=7,1 Гц, 1Н), 7,24 (триплет, J=7,1 Гц, 1Н), 7,04 (триплет, J=8,6 Гц, 1Н), 6,82 (шир., с., 2Н), 5,06 (квадруплет, J=9,1 Гц, 2Н), 4,64 (триплет, J=6,9 Гц, 2Н), 3,30 (ср., 2Н), 1,91 (ср., 2Н); Масс-спектрометрия (электронный удар) m/e 458,1678 (458,1678 рассчитано для С22Н21N6O2F3).
Пример 55
N2-{4-[4-Амино-2-(2-метоксиэтил)-1H-имидазо[4,5-c]хинолин-1-ил]бутил}-2-хинолинкарбоксамид

В соответствии с общей методикой, описанной в Примере 14, 1-(4-аминобутил)-2-(2-метоксиэтил)-1Н-имидазо[4,5-с]хинолин-4-амин и хинолин-2-карбонилхлорид смешивают в дихлорметане и триэтиламине (3 эквивалента) и получают твердый белый N2-{4-[4-амино-2-(2-метоксиэтил)-1H-имидазо[4,5-с]хинолин-1-ил]бутил}-2-хинолинкарбоксамид с температурой плавления 78,1-79,9°С. ЯМР 1H (300 МГц, ДМСО-D6) 9,02 (триплет, J=6,1 Гц, 1Н), 8,55 (дублет, J=8,5 Гц, 1Н), 8,23 (дублет, J=8,5 Гц, 1Н), 8,10 (триплет, J=7,6 Гц, 1Н), 8,02 (дублет, J=7,6 Гц, 1Н), 7,90-7,84 (ср., 1Н), 7,75-7,70 (ср., 1Н), 7,58 (двойной дублет, J=8,3, 1,0 Гц, 1Н), 7,35-7,30 (ср., 1Н), 7,18-7,13 (ср., 1Н), 6,48 (шир., с., 2Н), 4,58 (ср., 2Н), 3,79 (триплет, J=6,7 Гц, 2Н), 3,44 (ср., 2Н), 3,22 (ср., 5Н),1,91-1,78 (ср., 4Н); Масс-спектрометрия (электронный удар) m/e 468,2276 (468,2274 рассчитано для C27H21N6O2).
Пример 56
N1-[4-(4-Амино-1H-имидазо[4,5-c]хинолин-1-ил)бутил]-2-(2-фтор-4-бифенилил)пропанамид

В соответствии с общей методикой, описанной в Примере 14, 1-(4-аминобутил)-1Н-имидазо[4,5-с]хинолин-4-амин и 2-(2-фтор-4-бифенилил)пропионилхлорид взаимодействуют с образованием белого порошка N1-[4-(4-амино-1H-имидазо[4,5-c]хинолин-1-ил)бутил]-2-(2-фтор-4-бифенилил)пропанамида с температурой плавления 76,1-79,9°С. ЯМР 1H (300 МГц, ДМСО-D6) 8,17 (с., 1Н), 8,03 (ср., 2Н), 7,62 (дублет, J=8,3 Гц, 1Н), 7,49-7,14 (ср., 10Н), 6,59 (шир., с., 2Н), 4,58 (триплет, J=6,9 Гц, 2Н), 3,59 (квадруплет, J=7,0 Гц, 1Н), 3,09 (квинтет, J=7,0 Гц, 2Н), 1,82 (ср., 2Н), 1,45 (ср., 2Н), 1,30 (дублет, J=7,0 Гц, 3Н); Масс-спектрометрия (электронный удар) m/e 481,2268 (481,2278 рассчитано для C29H28N5OF).
Пример 57
N1-{4-[4-Амино-2-(2-метоксиэтил)-1H-имидазо[4,5-c]хинолин-1-ил]бутил}-1-изохинолинкарбоксамид

В соответствии с общей методикой, описанной в Примере 50, 1-(4-аминобутил)-2-(2-метоксиэтил)-1Н-имидазо[4,5-с]хинолин-4-амин и изохинолин-1-карбоновая кислота взаимодействуют с образованием желтого кристаллического N1-{4-[4-амино-2-(2-метоксиэтил)-1H-имидазо[4,5-c]хинолин-1-ил]бутил}-1-изохинолинкарбоксамида с температурой плавления 61,0-63,0°С. ЯМР 1H (300 МГц, ДМСО-D6) 8,94 (триплет, J=5,9 Гц, 1Н), 8,87 (дублет, J=8,5 Гц, 1Н), 8,51 (дублет, J=5,6 Гц, 1Н), 8,05-7,96 (ср., 3Н), 7,70-7,65 (ср., 1Н), 7,61 (двойной дублет, J=8,3,1,1 Гц, 1Н), 7,37 (двойной триплет, J=7,7, 1,0 Гц, 1Н), 7,19 (двойной триплет, J=7,6, 1,2 Гц, 1Н), 6,53 (шир., с., 2Н), 4,60 (триплет, J=7,2 Гц, 2Н), 3,81 (триплет, J=6,7 Гц, 2Н), 3,41 (ср., 2Н), 3,28-3,12 (ср., 5Н),1,92-1,76 (ср., 4Н); Масс-спектрометрия (электронный удар) m/e 468,2261 (468,2274 рассчитано для C27H28N6O2).
Пример 58
N2-{4-[4-Амино-2-(2-метоксиэтил)-1H-имидазо[4,5-c]хинолин-1-ил]бутил}-5-бутил-2-пиридинкарбоксамид

В соответствии с общей методикой, описанной в Примере 50, 1-(4-аминобутил)-2-(2-метоксиэтил)-1Н-имидазо[4,5-с]хинолин-4-амин и фузаровая кислота взаимодействуют с образованием твердого желто-коричневого N2-{4-[4-амино-2-(2-метоксиэтил)-1Н-имидазо[4,5-с]хинолин-1-ил]бутил}-5-бутил-2-пиридинкарбоксамида с температурой плавления 54,9-55,2°С. ЯМР 1Н (300 МГц, ДМСО-D6) 8,81 (триплет, J=6,1 Гц, 1Н), 8,44 (ср., 1Н), 7,98 (дублет, J=7,3 Гц, 1Н), 7,94 (двойной дублет, J=8,0, 0,7 Гц, 1Н), 7,60 (двойной дублет, J=8,3, 1,2 Гц, 1Н), 7,39-7,34 (ср., 1Н), 7,16-7,10 (ср., 1Н), 6,52 (шир., с., 2Н), 4,55 (триплет, J=6,9 Гц, 2Н), 3,79 (триплет, J=6,7 Гц, 2Н), 3,23 (с., 3Н), 3,18 (триплет, J=6,7 Гц, 2Н), 2,67 (триплет, J=7,6 Гц, 2Н), 1,83-1,72 (ср., 4Н), 1,34-1,24 (ср., 2Н), 0,90 (триплет, J=7,3 Гц, 3Н); Масс-спектрометрия (электронный удар) m/e 474,2750 (474,2743 рассчитано для С27Н34N6O2).
Пример 59
N3-{4-[4-Амино-2-(2-метоксиэтил)-1H-имидазо[4,5-c]хинолин-1-ил]бутил}-3-индолкарбоксамид

В соответствии с общей методикой, описанной в Примере 50, 1-(4-аминобутил)-2-(2-метоксиэтил)-1Н-имидазо[4,5-с]хинолин-4-амин и индол-3-карбоновая кислота взаимодействуют с образованием белого порошка N3-{4-[4-амино-2-(2-метоксиэтил)-1Н-имидазо[4,5-с]хинолин-1-ил]бутил}-3-индолкарбоксамида с температурой плавления 225,5-227,4°С. ЯМР 1H (300 МГц, ДМСО-D6) 11,50 (шир., с., 1Н), 8,13 (дублет, J=7,9 Гц, 1Н), 8,06 (дублет, J=10,2 Гц, 1Н), 7,95-7,89 (ср., 2Н), 7,61 (дублет, J=8,3 Гц, 1Н), 7,43-7,35 (ср., 2Н), 7,20-7,05 (ср., 3Н), 6,48 (шир., с., 2Н), 4,58 (триплет, J=7,2 Гц, 2Н), 3,80 (триплет, J=6,6 Гц, 2Н), 3,33 (ср., 2Н), 3,24-3,18 (ср., 5Н),1,88 (ср., 2Н), 1,70 (ср., 2Н); ЯМР 13С (75 МГц, ДМСО-D6) 165,0, 152,0, 151,0, 145,1, 136,4, 132,6, 127,8, 126,8, 126,6, 126,4 122,1, 121,5, 121,4, 120,6, 120,3, 115,1, 112,1, 111,0, 70,5, 58,4, 45,1, 38,2, 27,7, 27,5, 27,0; Масс-спектрометрия (электронный удар) m/e 456,2282 (456,2274 рассчитано для С26Н28N6O2).
Пример 60
N1-{4-[4-Амино-2-(2-метоксиэтил)-1H-имидазо[4,5-c]хинолин-1-ил]бутил}-4-(1-пирролил)бензамид

В соответствии с общей методикой, описанной в Примере 50, 1-(4-аминобутил)-2-(2-метоксиэтил)-1Н-имидазо[4,5-с]хинолин-4-амин и 4-(1-пирролил)бензойная кислота взаимодействуют с образованием белого порошка N1-{4-[4-амино-2-(2-метоксиэтил)-1H-имидазо[4,5-c]хинолин-1-ил]бутил}-4-(1-пирролил)бензамида с температурой плавления 173,0-174,9°С. ЯМР 1H (300 МГц, ДМСО-D6) 8,52 (триплет, J=5,5 Гц, 1Н), 8,02 (дублет, J=7,9 Гц, 1Н), 7,90 (дублет, J=8,7 Гц, 1Н), 7,67 (дублет, J=8,7 Гц, 2Н), 7,61 (двойной дублет, J=8,4, 1,1 Гц, 1Н), 7,48 (триплет, J=2,2 Гц, 2Н), 7,39 (ср., 1Н), 7,19 (двойной триплет, J=7,6, 1,1 Гц, 1Н), 6,53 (шир., с., 2Н), 6,30 (триплет, J=2,2 Гц, 2Н), 4,57 (триплет, J=7,0 Гц, 2Н), 3,82 (триплет, J=6,7 Гц, 2Н), 3,33 (ср., 2Н), 3,26 (с., 2Н), 3,20 (триплет, J=6,7 Гц, 2Н), 1,87 (ср., 2Н), 1,71 (ср., 2Н); Масс-спектрометрия (электронный удар) m/e 482,2421 (482,2430 рассчитано для С28Н30N6O2).
Пример 61
N2-{4-[4-Амино-2-(4-метоксиэтил)-1H-имидазо[4,5-c]хинолин-1-ил]бутил}-2-хинолинкарбоксамид

К раствору 1-(4-аминобутил)-2-(4-метоксибензил)-1Н-имидазо[4,5-с]хинолин-4-амина (0,49 г, 1,3 ммоль) в дихлорметане (140 мл) и триэтиламине (0,5 мл) при перемешивании по каплям прибавляют хинолин-2-карбонилхлорид (0,28 г в 10 мл дихлорметана, 1,46 ммоль). Реакцию продолжают 17 часов, а затем реакционную смесь концентрируют под вакуумом. Желтый остаток разделяют между дихлорметаном и насыщенным водным раствором бикарбоната натрия. Органическую фракцию сушат (MgSO4), фильтруют и концентрируют. Сырой остаток очищают колоночной хроматографией под давлением (силикагель, градиентное элюирование смесью дихлорметан/метанол 95:5) и получают 0,19 г твердого серовато-белого N2-{4-[4-амино-2-(4-метоксибензил)-1Н-имидазо[4,5-с]хинолин-1-ил]бутил}-2-хинолинкарбоксамида с температурой плавления 95,1-97,4°С. ЯМР 1H (300 МГц, ДМСО-D6) 8,97 (триплет, J=6,0 Гц, 1Н), 8,56 (дублет, J =8,4 Гц, 1Н), 8,16-8,07 (ср., 3Н), 7,96 (дублет, J=7,7 Гц, 1Н), 7,87 (ср., 1Н), 7,58 (двойной дублет, J=8,3, 1,1 Гц, 1Н), 7,31 (ср., 1Н), 7,23 (дублет, J=7,7 Гц, 1Н), 7,08 (ср., 1Н), 6,82 (дублет, J=8,7 Гц, 1Н), 6,58 (шир., с., 2Н), 4,50 (ср., 2Н), 4,33 (с., 2Н), 3,63 (с., 3Н), 3,34 (ср., 2Н), 1,65 (ср., 4Н); Масс-спектрометрия (электронный удар) m/e 530,2431 (530,2430 рассчитано для С32Н30N6O2).
Пример 62
N3-{4-[4-Амино-2-(2-метоксиэтил)-1H-имидазо[4,5-c]хинолин-1-ил]бутил}-6-(1-пирролил)никотинамид

В соответствии с общей методикой, описанной в Примере 50, 1-(4-аминобутил)-2-(2-метоксиэтил)-1Н-имидазо[4,5-с]хинолин-4-амин и 2-пирролпиридин-5-карбоновая кислота взаимодействуют с образованием желтого кристаллического N3-{4-[4-амино-2-(2-метоксиэтил)-1H-имидазо[4,5-c]хинолин-1-ил]бутил}-6-(1-пирролил)никотинамида с температурой плавления 77,0-80,0°С. ЯМР 1H (300 МГц, CDCl3) 8,72 (дублет, J=2,3 Гц, 1Н), 8,02 (двойной дублет, J=8,4, 2,4 Гц, 1Н), 7,92 (дублет, J=7,3 Гц, 1Н), 7,82 (дублет, J=7,4 Гц, 1Н), 7,55 (триплет, J=2,2 Гц, 2Н), 7,49 (ср., 1Н), 7,37 (ср., 2Н), 6,39 (дублет, J=2,2 Гц, 2Н), 6,20 (ср., 1Н), 5,42 (шир., ср., 2Н), 4,59 (триплет, J=7,5 Гц, 2Н), 3,90 (триплет, J=7,4 Гц, 2Н), 3,56 (квадруплет, J=6,7 Гц, 2Н), 3,36 (с., 3Н), 3,20 (триплет, J=6,4 Гц, 2Н), 2,05 (ср., 2Н), 1,82 (ср., 2Н); Масс-спектрометрия (электронный удар) m/e 483,2376 (483,2383 рассчитано для C27H29N7O2).
Пример 63
N5-{4-[4-Амино-2-(2-метоксиэтил)-1H-имидазо[4,5-c]хинолин-1-ил]бутил}-5-индолкарбоксамид

В соответствии с общей методикой, описанной в Примере 50, 1-(4-аминобутил)-2-(2-метоксиэтил)-1Н-имидазо[4,5-с]хинолин-4-амин и индол-5-карбоновая кислота взаимодействуют с образованием твердого серовато-белого N5-{4-[4-амино-2-(2-метоксиэтил)-1H-имидазо[4,5-c]хинолин-1-ил]бутил}-5-индолкарбоксамида. ЯМР 1H (300 МГц, ДМСО-D6) 11,31 (с., 1Н), 8,34 (триплет, J=5,5 Гц, 1Н), 8,06 (ср., 2Н), 7,63-7,58 (ср., 2Н), 7,42-7,38 (ср., 3Н), 7,22 (триплет, J=7,1 Гц, 1Н), 6,67 (шир., с., 2Н), 6,50 (с., 1Н), 4,58 (ср., 2Н), 3,81 (триплет, J=6,6 Гц, 2Н), 3,34 (ср., 2Н), 3,25 (ср., 3Н), 3,21 (триплет, J=6,6 Гц, 2Н), 1,89 (ср., 2Н), 1,72 (ср., 2Н); Масс-спектрометрия (электронный удар) m/e 456,2264 (456,2274 рассчитано для C26H28N6O2).
Пример 64
N1-[4-(4-Амино-1H-имидазо[4,5-c]хинолин-1-ил)бутил]-4-феноксибензамид

В соответствии с общей методикой, описанной в Примере 14, 1-(4-аминобутил)-1Н-имидазо[4,5-с]хинолин-4-амин и 4-феноксибензоилхлорид взаимодействуют с образованием белого порошка N1-[4-(4-амино-1H-имидазо[4,5-c]хинолин-1-ил)бутил]-4-феноксибензамида с температурой плавления 90,5-91,5°С. ЯМР 1H (500 МГц, ДМСО-D6) 8,42 (триплет, J=5,7 Гц, 1Н), 8,21 (с., 1Н), 8,03 (дублет, J=7,9 Гц, 1Н), 7,81 (дублет, J=8,9 Гц, 1Н), 7,62 (дублет, J=7,9 Гц, 1Н), 7,45-7,40 (ср., 3Н), 7,21 (ср., 2Н), 7,07 (дублет, J=7,6 Гц, 2Н), 6,99 (дублет, J=8,9 Гц, 2Н), 6,61 (шир, с., 1Н), 4,63 (триплет, J=7,0 Гц, 2Н), 3,25 (ср., 2Н), 1,92 (ср., 2Н), 1,58 (ср., 2Н); Масс-спектрометрия (электронный удар) m/e 451,2008 (451,2008 рассчитано для C27H25N5O2).
Пример 65
N5-{4-[4-Амино-2-(2-метоксиэтил)-1H-имидазо[4,5-c]хинолин-1-ил]бутил}-5-(2-фенил-1-этинил)никотинамид

В соответствии с общей методикой, описанной в Примере 50, 1-(4-аминобутил)-2-(2-метоксиэтил)-1Н-имидазо[4,5-с]хинолин-4-амин и 5-(фенилэтинил)пиридин-3-карбоновая кислота взаимодействуют с образованием твердого желтого N5-{4-[4-амино-2-(2-метоксиэтил)-1H-имидазо[4,5-c]хинолин-1-ил]бутил}-5-(2-фенил-1-этинил)никотинамида с температурой плавления 76,0-78,0°С. ЯМР 1H (300 МГц, ДМСО-D6) 8,95 (дублет, J=2,1 Гц, 1Н), 8,87 (дублет, J=2,0 Гц, 1Н), 8,79 (триплет, J=2,1 Гц, 1Н), 8,31 (дублет, J=2,0 Гц, 1Н), 8,02 (дублет, J=8,1 Гц, 1Н), 7,61 (ср., 3Н), 7,40 (ср., 1Н), 7,19 (ср., 1Н), 6,56 (шир., с., 2Н), 4,57 (триплет, J=7,4 Гц, 2Н), 3,82 (триплет, J=6,7 Гц, 2Н), 3,37 (ср., 3Н), 3,27 (с., 2Н), 3,21 (триплет, J=6,7 Гц, 2Н), 1,89 (ср., 2Н), 1,72 (ср., 2Н); Масс-спектрометрия (ХИ) m/e 519 (М+Н).
Пример 66
N3-[4-(4-Амино-2-фенил-1H-имидазо[4,5-c]хинолин-1-ил)бутил]никотинамид

Часть А
К раствору трет-бутил-N-{4-[(3-аминохинолин-4-ил)амино]бутил}карбамата (12,5 г, 37,7 ммоль) в дихлорметане (250 мл) при комнатной температуре медленно прибавляют раствор бензоилхлорида (5,3 г, 37,7 ммоль) в дихлорметане (100 мл). Реакционную смесь оставляют на ночь при комнатной температуре. Образовавшийся осадок отделяют фильтрованием, высушивают и получают 11,0 г твердого белого трет-бутил-N-(4-{[3-(бензоиламино)хинолин-4-ил]амино}бутил)карбамата гидрохлорида.
Часть Б
К раствору материала из Части А в этаноле (200 мл) прибавляют триэтиламин (7,26 г, 71,7 ммоль) и смесь кипятят с обратным холодильником в течение 2 дней. Реакционную смесь концентрируют и получают оранжевый сироп. Данные анализа ВЭЖХ/МС указывают на то, что сироп содержит как целевой продукт, так и исходный материал. Сироп смешивают с дихлорметаном (100 мл) и охлаждают на ледяной бане. Прибавляют триэтиламин (5 мл) и бензоилхлорид (1,9 мл). Реакционную смесь выдерживают при комнатной температуре в течение 2 дней, и после этого данные ВЭЖХ указывают на то, что реакция не завершена. Реакционную смесь концентрируют под вакуумом. Остаток помещают в изопропиловый спирт (150 мл). Прибавляют триэтиламин (5 мл) и реакционную смесь оставляют на ночь кипеть с обратным холодильником. Реакционную смесь концентрируют под вакуумом. Остаток очищают колоночной хроматографией под давлением (силикагель, элюирование 10% метанола в дихлорметане). Фракции, содержащие продукт, соединяют и концентрируют под вакуумом. После перекристаллизации остатка из ацетонитрила получают 6,7 г твердого трет-бутил-N-[4-(2-фенил-1Н-имидазо[4,5-с]хинолин-1-ил)бутил]карбамата с температурой плавления 158-159°С.
Часть В
К раствору трет-бутил-N-[4-(2-фенил-1Н-имидазо[4,5-с]хинолин-1-ил)бутил]карбамата (6,56 г, 15,75 ммоль) в дихлорметане (120 мл) небольшими порциями прибавляют 3-хлорпероксибензойную кислоту (1,05 эквивалента 65%). Через 3 часа реакцию останавливают 1%-ным водным раствором бикарбоната натрия (200 мл). Слои разделяют. Водный слой экстрагируют дихлорметаном (2 раза по 50 мл). Органические фракции соединяют, сушат над сульфатом магния, а затем концентрируют под вакуумом и получают светло-оранжевый сироп. Сироп перетирают с диэтиловым эфиром и получают 6,8 г твердого светло-коричневого 1-[4-(трет-бутилкарбамил)бутил]-2-фенил-1Н-имидазо[4,5-с]хинолин-5N-оксида с температурой плавления 178-181°С.
Часть Г
Раствор 1-[4-(трет-бутилкарбамил)бутил]-2-фенил-1Н-имидазо[4,5-с]хинолин-5N-оксида (6,8 г, 15,75 ммоль) в дихлорметане (100 мл) охлаждают на ледяной бане. Прибавляют концентрированную гидроокись аммония (30 мл). В течение 30 минут небольшими порциями прибавляют тозилхлорид (3,0 г, 15,75 ммоль). Реакционную смесь оставляют на ночь отогреваться до комнатной температуры. Реакцию останавливают водой (350 мл). Разделяют слои. Водный слой экстрагируют дихлорметаном. Органические фракции соединяют, сушат над сульфатом магния, концентрируют под вакуумом и получают желтовато-коричневое твердое вещество. Этот материал очищают колоночной хроматографией под давлением (силикагель, элюирование 10% метанола в дихлорметане) и получают 4,8 г продукта. Основную часть этого материала переносят в следующую стадию. Небольшую часть перекристаллизовывают из толуола и получают твердый трет-бутил-N-[4-(4-амино-2-фенил-1Н-имидазо[4,5-с]хинолин-1-ил)бутил]карбамат с температурой плавления 182-183°С. Элементный анализ: теор. для C25H29N5O2: %C 69,58; %Н 6,77; %N 16,22; эксп.: %С 69,86; %Н 6,95; %N 15,80.
Часть Д
Материал из части Г растворяют в метаноле (15 мл) и 1Н соляной кислоте (100 мл), а затем кипятят с обратным холодильником в течение 2 часов. Реакционную смесь упаривают под вакуумом до объема около 50 мл. После добавления гидроокиси аммония до рН 12 осадок не выпадает. Прибавляя 1Н соляную кислоту, рН смеси доводят до 7. Смесь экстрагируют дихлорметаном, а потом этилацетатом. Водный слой упаривают досуха. Остаток растворяют в воде (50 мл), а затем непрерывно в течение 36 часов экстрагируют кипящим хлороформом. Хлороформенный экстракт концентрируют под вакуумом и получают светло-коричневое твердое вещество. После перекристаллизации этого материала из ацетонитрила получают 2,5 г твердого серовато-белого 1-(4-аминобутил)-2-фенил-1Н-имидазо[4,5-с]хинолин-4-амина с температурой плавления 175-177°С. Элементный анализ: теор. для C20H21N5: %C 72,48; %Н 6,39; %N 21,13; эксп.: %C 72,72; %Н 6,32; %N 20,71.
Часть Е
В соответствии с общей методикой, описанной в Примере 61, 1-(4-аминобутил)-2-фенил-1Н-имидазо[4,5-с]хинолин-4-амин и никотиноилхлорид гидрохлорид взаимодействуют с образованием белого кристаллического N3-[4-(4-амино-2-фенил-1Н-имидазо[4,5-с]хинолин-1-ил)бутил]никотинамида с температурой плавления 84,5-86,1°С. ЯМР 1H (300 МГц, ДМСО-D6) 8,91 (с., 1Н), 8,69 (ср., 1Н), 8,56 (ср., 1Н), 8,07 (ср., 2Н), 7,75-7,41 (ср., 8Н), 7,21 (ср., 1Н), 6,72 (шир., с., 2Н), 4,60 (ср., 2Н), 3,15 (триплет, J=6,0 Гц, 2Н), 1,86 (ср., 2Н), 1,40 (ср., 2Н); Масс-спектрометрия (ХИ) m/e 437 (М+Н).
Пример 67
N2-[4-{4-Амино-2-фенил-1H-имидазо[4,5-c]хинолин-1-ил)бутил]-2-хинолинкарбоксамид

В соответствии с общей методикой, описанной в Примере 61, 1-(4-аминобутил)-2-фенил-1Н-имидазо[4,5-с]хинолин-4-амин и хинолин-2- карбонилхлорид взаимодействуют с образованием серовато-белого кристаллического N2-[4-(4-амино-2-фенил-1H-имидазо[4,5-c]хинолин-1-ил)бутил]-2-хинолинкарбоксамида с температурой плавления 81,1-83,9°С. ЯМР 1H (300 МГц, ДМСО-D6) 8,90 (триплет, J=6,0 Гц, 1Н), 8,55 (дублет, J=8,5 Гц, 1Н), 8,12-8,07 (ср., 4Н), 7,90-7,84 (ср., 1Н), 7,75-7,54 (ср., 7Н), 7,36 (триплет, J=7,5 Гц, 1Н), 7,18 (триплет, J=7,5 Гц, 1Н), 6,70 (шир., с., 2Н), 4,61 (ср., 2Н), 3,23 (ср., 2Н), 1,88 (ср., 2Н), 1,49 (ср., 2Н); Масс-спектрометрия (ХИ) m/e 487 (М+Н).
Примеры 68-102
Соединения, представленные ниже в Таблице, получают в соответствии с общей методикой синтеза, описанной выше в Схеме реакции II.
Раствор 1-(4-аминобутил)-1Н-имидазо[4,5-с]хинолин-4-амина (36 мкмоль) в 10 мл дихлорметана в пробирке с завинчивающейся крышкой охлаждают до -5°С. В виде 0,3М раствора в дихлорметане прибавляют хлорангидрид кислоты (45 мкмоль). В ходе прибавления и еще 15 секунд после его окончания через смесь барботируют аргон и оставляют смесь на ночь при -5°С. К этой смеси прибавляют приблизительно 90 мг аминометил-полистирольной смолы (0,62 мэкв/г, 100-200 меш), смесь нагревают до кипения с обратным холодильником и встряхивают в течение 3 часов при 600 об/мин. Соединения очищают элюированием через короткую пробку силикагеля смесью дихлорметан/метанол 10:1. Отбирают фракции примерно по 1 мл и соединяют фракции, содержащие продукт (для идентификации продукта фракции анализируют тонкослойной хроматографией в смеси дихлорметан/метанол 9:1). Соединения анализируют с помощью ЯМР 1H и хромато-масс-спектрометра ХИАД-ЖХ (поршневой впрыск или протокол ЖХ/МС).
       
Примеры 103-107
Соединения, представленные ниже в Таблице, получают в соответствии с приведенной ниже методикой синтеза.
Порцию 10 мг (25 мкмоль) N1-[4-(4-амино-1H-имидазо[4,5-с]хинолин-1-ил)бутил]-4-(хлорметил)бензамида (Пример 7) растворяют в 1 мл N,N-диметилформамида в пробирке с завинчивающейся крышкой, прибавляют соответствующий амин (2 эквивалента) и примерно 70 мг (270 мкмоль) гранул N,N-(диизопропил)аминометил-полистирольной смолы (PS-DIEA, 3,86 мэкв/г, Argonaut). Смесь нагревают до 50°С и оставляют на ночь перемешиваться в турбулентном режиме при 500 об/мин. Добавляют еще 1-2 эквивалента амина и оставляют смесь на вторую ночь при нагревании и турбулентном перемешивании. Продукт выделяют путем впрыскивания фильтрованной реакционной смеси в полупрепаративную систему ВЭЖХ (насосы Shimadzu LC-6A, колонка Rainin Microsorb C18, 21,4×250 мм, размер частиц 8 мкм, поры 60Å, 9,9 мл/мин, градиентное элюирование от 2 до 95% Б в течение 25 минут, 5-минутная задержка на 95% Б, где А=0,1% трифторуксусной кислоты в воде, а Б=0,1% трифторуксусной кислоты в ацетонитриле, включение сбора фракций детектируется по пику 254 нм, отбирают фракции по 5 мл). Фракции, полученные полупрепаративной жидкостной хроматографией, анализируют ВЭЖХ с обращенной фазой, а нужные фракции сушат под вакуумом и получают соответствующее соединение в виде трифторацетатной соли. Соединение растворяют в 3-5 мл смеси дихлорметан/метанол 2:1, в течение 1-2 часов встряхивают примерно с 80 мг (300 мкмоль) диизопропиламинометил-полистирольной смолы (Argonaut PS-DIEA, 3,86 ммоль/г), а потом фильтруют, сушат под вакуумом и получают соединение в виде аморфного твердого вещества. Каждый полученный амин анализируют ЖХ/ХИАД-МС.
| Пример № |
Структура свободного основания |
ХИАД-МС m/e |
| 103 |
 |
459.26 |
| 104 |
 |
624.51 |
| 105 |
 |
480.34 |
| 106 |
 |
523.31 |
| 107 |
 |
508.32 |
Пример 108
N1-[4-(4-Амино-1H-имидазо[4,5-c]хинолин-1-ил)бутил]-2-(2-тиенил)афетамид

Это соединение получают в соответствии с общей методикой, описанной в Примерах 68-102. ЯМР 1H (500 МГц, ДМСО-D6) 8,28 (с., 1Н), 8,09 (ср., 2Н), 7,70 (дублет, J=7,9 Гц, 1Н), 7,54 (триплет, J=7,9 Гц, 1Н), 7,28 (двойной дублет, J=0,9 Гц, 5,2 Гц, 1Н), 6,88 (двойной дублет, J=3,4 Гц, 5,2 Гц, 1Н), 6,82 (дублет, J=3,1 Гц, 1Н), 4,63 (триплет, J=7 Гц, 2Н), 3,56 (с., 2Н), 3,10 (квадруплет, J=6,5 Гц, 2Н), 1,85 (квинтет, J=7,5 Гц, 2Н), 1,46 (квинтет, J=7,5 Гц, 2Н); Масс-спектрометрия (ХИ) m/e 380,22 (М+Н).
Примеры 109-119
Соединения, представленные ниже в Таблице, получают в соответствии с методикой синтеза, описанной выше в Схеме реакции III.
1-(4-Аминобутил)-1Н-имидазо[4,5-с]хинолин-4-амин (10 мг, 0,04 ммоль) суспендируют в 10 мл дихлорметана в пробирке с резьбой. Прибавляют кислоту (0,05 ммоль) и короткое время перемешивают смесь в турбулентном режиме. К смеси прибавляют 1-[3-(диметиламино)пропил]-3-этилкарбодиимид гидрохлорид (дихлорэтан, 10 мг, 0,05 ммоль) и помещают смесь на ночь во встряхиватель при комнатной температуре. В пробирку прибавляют примерно 90 мг аминометилполистирольной смолы (Bachem, 1 мэкв./г, 100-200 меш) и оставляют смесь на ночь во встряхивателе кипеть с обратным холодильником. Затем смесь фильтруют, чтобы удалить из нее смолу, и очищают полупрепаративной ВЭЖХ (колонка Rainin Microsorb C18, 21,4×250 мм, размер частиц 8 мкм, поры 60Å, 10 мл/мин, градиентное элюирование от 2 до 95% Б в течение 25 минут, 5-минутная задержка на 95% Б, где А=0,1% трифторуксусной кислоты в воде, а Б=0,1% трифторуксусной кислоты в ацетонитриле, включение сбора фракций детектируется по пику 254 нм). Фракции, полученные полупрепаративной ВЭЖХ, анализируют на хромато-масс-спектрометре ЖХ-ХИАД/МС и соответствующие фракции соединяют, лиофилизуют и получают трифторацетатную соль нужного амида. Соединения анализируют методом ЖХ-МС (ХИАД).
| Пример № |
Структура свободного основания |
Молекулярная масса |
| 109 |
 |
464.18 |
| 110 |
 |
364.15 |
| 111 |
 |
427.98, 429.97 |
| 112 |
 |
323.19 |
| Пример № |
Структура свободного основания |
Молекулярная масса |
| 113 |
 |
370.18 |
| 114 |
 |
452.10 |
| 115 |
 |
336.16 |
| 116 |
 |
338.20 |
| Пример № |
Структура свободного основания |
Молекулярная масса |
| 117 |
 |
384.20 |
| 118 |
 |
368.28 |
| 119 |
 |
420.30 |
Примеры 120-146
Соединения, представленные ниже в Таблице, получают в соответствии с методикой синтеза, описанной выше в Схеме реакции V.
Часть А
1-(4-Аминобутил)-1Н-имидазо[4,5-с]хинолин-4-амин (25 мг, 0,1 ммоль) суспендируют в 5 мл дихлорметана в пробирке с резьбой и прибавляют альдегид (около 0,1 ммоль). В течение получаса смесь кипятят с обратным холодильником и перемешивают смесь в турбулентном режиме при 500 об/мин. В течение нескольких минут смеси дают остыть, а затем прибавляют триацетоксиборогидрид натрия (38 мг, 0,18 ммоль). В течение 3 суток смесь встряхивают при комнатной температуре, а затем останавливают реакцию 0,5 мл метанола и упаривают досуха. Смесь очищают полупрепаративной ВЭЖХ с обращенной фазой (колонка Rainin Microsorb C18, 21,4×250 мм, размер частиц 8 мкм, поры 60Å, 10 мл/мин, градиентное элюирование от 2 до 95% Б в течение 25 минут, 5-минутная задержка на 95% Б, где А=0,1% трифторуксусной кислоты в воде, а Б=0,1% трифторуксусной кислоты в ацетонитриле, включение сбора фракций детектируется по пику 254 нм). Фракции, полученные полупрепаративной ВЭЖХ, анализируют на хромато-масс-спектрометре ЖХ-ХИАД/МС и соответствующие фракции соединяют, лиофилизуют и получают трифторацетатную соль нужного вторичного амина. Соединения анализируют методом ЖХ-МС (ХИАД).
Часть Б
Каждый из вторичных аминов из Части А (примерно от 3 до 30 мкмоль в виде дитрифторацетатной соли) растворяют в 1 мл пиридина и прибавляют примерно 10 эквивалентов 0,1М раствора уксусного ангидрида в дихлорметане. Смесям дают постоять примерно 1 час, а затем прибавляют 200 мкл метанола.
Смеси упаривают досуха в вакуумной центрифуге. Смеси очищают полупрепаративной ВЭЖХ с обращенной фазой, как в Части А. Соединения анализируют методом ЖХ-МС (ХИАД).
| Пример № |
Структура свободного основания |
Молекулярная масса |
| 120 |
 |
418.1 |
| 121 |
 |
466.0, 468.0 |
| Пример № |
Структура свободного основания |
Молекулярная масса |
| 122 |
 |
482.0, 484 |
| 123 |
 |
460.1 |
| 124 |
 |
422.0 |
| 125 |
 |
467.0, 469.0 |
| Пример № |
Структура свободного основания |
Молекулярная масса |
| 126 |
 |
467.0, 469.0 |
| 127 |
 |
530.0 |
| 128 |
 |
456.0, 458.0 |
| 129 |
 |
424.0 |
| Пример № |
Структура свободного основания |
Молекулярная масса |
| 130 |
 |
448.1 |
| 131 |
 |
448.1 |
| 132 |
 |
416.1 |
| 133 |
 |
406.1 |
| Пример № |
Структура свободного основания |
Молекулярная масса |
| 134 |
 |
378.0 |
| 135 |
 |
378.0 |
| 136 |
 |
416.1 |
| 137 |
 |
410.0 |
| Пример № |
Структура свободного основания |
Молекулярная масса |
| 138 |
 |
438.0 |
| 139 |
 |
468.1 |
| 140 |
 |
433.0 |
| 141 |
 |
433.0 |
| Пример № |
Структура свободного основания |
Молекулярная масса |
| 142 |
 |
512.0 |
| 143 |
 |
389.0 |
| 144 |
 |
402.1 |
| 145 |
 |
478.1 |
| Пример № |
Структура свободного основания |
Молекулярная масса |
| 146 |
 |
478.1 |
Примеры 147-159
Соединения, представленные ниже в Таблице, получают в соответствии с методикой синтеза, описанной выше в Схеме реакции II.
1-(4-Аминобутил)-2-метоксиэтил-1Н-имидазо[4,5-с]хинолин-4-амин (50 мг) помещают в ампулу на 2 драхмы (7,4 мл). Прибавляют диизпропилэтиламин (1,2 эквивалента) и дихлорметан (1 мл). Прибавляют раствор хлорангидрида карбоновой кислоты (1,1 эквивалента) в дихлорметане (1 мл). Примерно на 2 часа ампулу помещают во встряхиватель при комнатной температуре. Для того чтобы подтвердить образование целевого продукта, реакционную смесь анализировали ЖХ/МС. Растворитель удаляют, а остаток очищают полупрепаративной ВЭЖХ (колонка Capcell Рас С18, 35×20 мм, размер частиц 5 мкм, 20 мл/мин, градиентное элюирование от 5 до 95% Б в течение 10 минут, 2-минутная задержка на 95% Б, где А=0,1% трифторуксусной кислоты в воде, а Б=0,1% трифторуксусной кислоты в ацетонитриле, включение сбора фракций детектируется по пику 254 нм). Фракции, полученные полупрепаративной ВЭЖХ, анализируют на хромато-масс-спектрометре ЖХ-ХИАД/МС и соответствующие фракции соединяют, лиофилизуют и получают трифторацетатную соль нужного амида.
| Пример № |
Структура свободного основания |
ХИАД-МС m/e |
| 147 |
 |
384.2 |
| 148 |
 |
396.2 |
| 149 |
 |
410.2 |
| 150 |
 |
424.2 |
| Пример № |
Структура свободного основания |
ХИАД-МС m/e |
| 151 |
 |
432.2 |
| 152 |
 |
432.3 |
| 153 |
 |
458.2 |
| 154 |
 |
468.2 |
| Пример № |
Структура свободного основания |
ХИАД-МС m/e |
| 155 |
 |
468.2 |
| 156 |
 |
474.2 |
| 157 |
 |
476.3 |
| Пример № |
Структура свободного основания |
ХИАД-MC m/e |
| 158 |
 |
478.3 |
| 159 |
 |
484.30 |
Примеры 160-168
Соединения, представленные ниже в Таблице, получают в соответствии с методикой синтеза, описанной выше в Схеме реакции III.
1-(4-Аминобутил)-2-метоксиэтил-1Н-имидазо[4,5-с]хинолин-4-амин (50 мг), карбоновую кислоту (1,0 эквивалента) и дихлорметан (3 мл) помещают в ампулу на 2 драхмы (7,4 мл). Прибавляют раствор 1-[3-(диметиламино)пропил]-3-этилкарбодиимида гидрохлорида (1,1 эквивалента) в дихлорметане (1 мл). Примерно на 2 часа ампулу помещают во встряхиватель при комнатной температуре. Для того чтобы подтвердить образование целевого продукта, реакционную смесь анализировали ЖХ/МС. Растворитель удаляют, а остаток очищают полупрепаративной ВЭЖХ (колонка Capcell Рас С18, 35×20 мм, размер частиц 5 мкм, 20 мл/мин, градиентное элюирование от 5 до 95% Б в течение 10 минут, 2-минутная задержка на 95% Б, где А=0,1% трифторуксусной кислоты в воде, а Б=0,1% трифторуксусной кислоты в ацетонитриле, включение сбора фракций детектируется по пику 254 нм). Фракции, полученные полупрепаративной ВЭЖХ, анализируют на хромато-масс-спектрометре ЖХ-ХИАД/МС и соответствующие фракции соединяют, лиофилизуют и получают трифторацетатную соль нужного амида.
| Пример № |
Структура свободного основания |
ХИАД-МС m/e |
| 160 |
 |
381.2 |
| 161 |
 |
382.2 |
| 162 |
 |
408.3 |
| 163 |
 |
426.2 |
| Пример № |
Структура свободного основания |
ХИАД-МС m/e |
| 164 |
 |
434.2 |
| 165 |
 |
440.2 |
| 166 |
 |
478.2 |
| Пример № |
Структура свободного основания |
ХИАД-МС m/e |
| 167 |
 |
492.3 |
| 168 |
 |
500.2. 502.2 |
Пример 169
N1-{4-[4-Амино-2-(4-метоксибензил)-1H-имидазо[4,5-с]хинолин-1-ил]бутил}ацетамид трифторацетат

В соответствии с общей методикой, описанной выше в Примерах 147-159, 1-(4-аминобутил)-2-(4-метоксибензил)-1Н-имидазо[4,5-с]хинолин-4-амин взаимодействует с ацетилхлоридом с образованием N1-{4-[4-амино-2-(4-метоксибензил)-1Н-имидазо[4,5-с]хинолин-1-ил]бутил}ацетамида трифторацетата. Масс-спектрометрия (ХИ) m/e 418,2.
Примеры 170 и 171
Соединения, представленные в приведенной ниже Таблице, получают взаимодействием 1-(4-аминобутил)-2-(4-метоксибензил)-1Н-имидазо[4,5-с]хинолин-4-амина с соответствующей карбоновой кислотой согласно общей методике, описанной выше в Примерах 160-168.
| Пример № |
Структура свободного основания |
ХИАД-МС m/e |
| 170 |
 |
481.2 |
| 171 |
 |
481.2 |
Примеры 172-174
Соединения, представленные ниже в Таблице, получают в соответствии с общей методикой синтеза, описанной выше в Схеме реакции VI.
Часть А
Каталитическое количество оксида платины (IV) прибавляют к раствору 1-(4-аминобутил)-2-метоксиэтил-1Н-имидазо[4,5-с]хинолин-4-амина (7,7 г, 24,5 ммоль) в трифторуксусной кислоте (250 мл). Реакционную смесь гидрируют в аппарате Парра под давлением 50 фунтов/кв. дюйм (3,44×105 Па). За ходом реакции следят по хромато-масс-спектрометру. Через 7, 11 и 17 дней после начала реакции добавляют дополнительные количества катализатора. Через 25 дней реакция завершается. Для того чтобы удалить катализатор, смесь фильтруют через слой ускорителя фильтрования целит (Celite®), и фильтрат концентрируют под вакуумом. Остаток соединяют с 1Н соляной кислотой (100 мл) и оставляют на ночь перемешиваться. Смесь подщелачивают гидроокисью аммония до рН 11, а затем экстрагируют дихлорметаном (3 раза по 300 мл). Экстракты соединяют и концентрируют под вакуумом. Выход: 3,5 г твердого 1-(4-аминобутил)-6,7,8,9-тетрагидро-2-метоксиэтил-1Н-имидазо[4,5-с]хинолин-4-амина.
Часть Б
С помощью методики, описанной для Примеров 147-159, материал из части А взаимодействуют с соответствующим хлорангидридом кислоты с образованием нужного амида.
| Пример № |
Структура свободного основания |
ХИАД-МС m/e |
| 172 |
 |
422.2 |
| 173 |
 |
423.1 |
| Пример № |
Структура свободного основания |
ХИАД-МС m/e |
| 174 |
 |
436.2 |
Примеры 175-180
Соединения, представленные ниже в Таблице, получают в соответствии с общей методикой синтеза, описанной выше в Схеме реакции III, с помощью метода, описанного в Примерах 160-168.
| Пример № |
Структура свободного основания |
Молекулярная масса |
| 175 |
 |
408.2 |
| 176 |
 |
419.1 |
| Пример № |
Структура свободного основания |
Молекулярная масса |
| 177 |
 |
438.2 |
| 178 |
 |
446.2 |
| 179 |
 |
453.2 |
| 180 |
 |
480.2 |
Индукция цитокинов в клетках человека
Для изучения индукции цитокинов соединениями настоящего изобретения была использована система клеток крови человека in vitro. Метод основан на измерении уровня ( ) интерферона и фактора некроза опухоли (ИФН и ФНО соответственно), секретируемых в культуральную среду, как описано Тестерманом и др. (Testerman et al, “Cytokine induction by Immunomodulators Imiquimod and S-27609”, Journal of Leukocvte Biology. 58, 365-372 (September, 1995)).
Приготовление клеток крови для культуры
Цельную кровь забирают из вены здорового человека и помещают в пробирки. Мононуклеарные клетки периферической крови (МКПК) выделяют из цельной крови в градиенте плотности путем центрифугирования с использованием прибора Histipaque®-1077 (ф. Sigma Chemicals, St. Louis, МО). Мононуклеары периферической крови суспендируют в концентрации 3-4×106 клеток/мл в среде RPM11640, содержащей 10% фетальной бычьей сыворотки, 2 мМ L-глютамина и 1% смеси пенициллина и стрептомицина (полная среда RPMI). Суспензию МКПК вносят в 48-луночные плоскодонные стерильные планшеты для культуры тканей (ф. Costar, Cambridge, МА, или ф. Becton Dickinson Labware, Lincoln Park, NJ), в которых находятся равные объемы полной среды RPMI, содержащей тестируемый препарат.
Приготовление препарата
Препарат солюбилизируют в диметилсульфоксиде (ДМСО). Конечная концентрация ДМСО для добавления в культуральные лунки не должна превышать 1%.
Инкубация
Раствор тестируемого препарата в концентрации 60 мкМ вносят в первую лунку, содержащую полную среду RPMI, затем делают серию последовательных разведении (3- или 10-кратных). Суспензию МКПК затем добавляют в лунки в равных объемах, что позволяет добиться необходимого спектра концентраций тестируемого препарата. Конечная концентрация суспензии МКПК составляет 1,5-2×106 клеток/мл. Плашки закрывают стерильными пластиковыми крышками и подвергают аккуратному перемешиванию и далее инкубируют в течение 18-24 часов при температуре 37°С в атмосфере с 5%-ной концентрацией двуокиси углерода. Выделение
После инкубации плашки центрифугируют в течение 5-10 минут в режиме 1000 об/мин (200 g) при температуре 4°С. Супернатант извлекают из клеточной культуры стерильной полипропиленовой пипеткой и переносят в стерильные полипропиленовые пробирки. Полученные пробы хранят до анализа при температуре от -30 до -70°С. Затем пробы тестируют на содержание -интерферона методом твердофазного иммуноферментного анализа (ТИФА) [ELISA] или при помощи биологической пробы и для -фактора некроза опухоли методом (ТИФА) [ELISA].
Биологическая проба на интерферон.
Интерферон определяют с использованием культуры клеток легочной карциномы А539, зараженных вирусом энцефаломиокардита. Подробно методика проведения биологического анализа описана Бреннаном и Кроненбергом (G.L.Brennan & Kronenberg “Automated Bioassay” of Interferons in Micro-test Plates”, Biotechniques, June/July, 78, 1983). Общий принцип метода заключается в следующем: клетки культуры А549 инкубируют в пробах различной концентрации или в стандартном растворе интерферона в течение 24 часов. Инкубированные клетки заражают инокулятом вируса энцефаломиокардита. Инфицированные клетки инкубируют еще в течение 24 часов при температуре 37°С, прежде чем измерить цитопатический эффект. Вирусный цитопатический эффект измеряют с помощью окрашивания кристаллическим фиолетовым и дальнейшего визуального определения и подсчета количества окрашенных лунок в планшетах. Результат выражается как отношение количества альфа-единиц/мл к количеству, полученому для стандарта лейкоцитарного интерферона человека Национального института здравоохранения (NIH).
Анализ методом ТИФА (ELISA) на содержание -интерферона и -фактора некроза опухоли.
Метод ТИФА позволяет определить концентрацию -интерферона с помощью набора – Human Multi-Species kit (ф. PBL Biomedical Laboratories, New Brunswick, NJ)
Концентрацию -фактора некроза опухоли определяют с помощью набора для ТИФА от ф. Genzyme, Cambridge, МА; ф. R&D Systems, Minneapolis, MN; или ф. Pharmigen, San Diego, CA).
Таблица, приведенная ниже, демонстрирует найденную наименьшую концентрацию каждого препарата для индукции фактора некроза опухоли. «**» – отражает отсутствие индукции в какой-либо из тестированных концентраций (0,12, 0,37, 1,11, 3,33, 10 и 30 мкМ); «***» – отражает отсутствие индукции в какой-либо из тестированных концентраций (0,0001, 0,001, 0,01, 0,1, 1 и 10 мкМ).
| Таблица |
| Индукция цитокинов в клетках человека |
Номер примера |
Наименьшая эффективная концентрация (мкМ) |
| Интерферон |
Фактор некроза опухоли |
| 1 |
0,37 |
10 |
| 3 |
0,37 |
1,11 |
| 4 |
0,04 |
0,37 |
| 5 |
0,04 |
0,37 |
| 6 |
0,12 |
1,11 |
| 7 |
1,11 |
** |
| 8 |
0,04 |
** |
| 9 |
0,37 |
3,33 |
| 10 |
3,33 |
** |
| 11 |
1,11 |
** |
| 12 |
3,33 |
** |
| 13 |
1,11 |
3,33 |
| 14 |
3,33 |
** |
| 15 |
3,33 |
** |
| 16 |
1,11 |
30 |
| 17 |
3,33 |
10 |
| 18 |
3,33 |
** |
| 19 |
10 |
** |
| 20 |
3,33 |
** |
| 21 |
0,12 |
1,11 |
| 22 |
0,37 |
10 |
| 23 |
1,11 |
** |
| 24 |
0,12 |
3,33 |
| 25 |
3,33 |
** |
| 26 |
0,37 |
10 |
| 27 |
** |
** |
| 28 |
0,12 |
** |
| 29 |
0,12 |
** |
| 31 |
1,11 |
** |
| 32 |
3,33 |
** |
| 33 |
0,37 |
** |
| 34 |
** |
3,33 |
| 35 |
1,11 |
** |
| 36 |
1,11 |
10 |
| 37 |
0,37 |
** |
| 38 |
0,12 |
3,33 |
| 39 |
3,33 |
** |
| 40 |
0,37 |
30 |
| 41 |
1,11 |
** |
| 42 |
30 |
3,33 |
| 43 |
0,12 |
** |
| 44 |
1,11 |
** |
| 45 |
3,33 |
** |
| 46 |
** |
10 |
| 68* |
1,11 |
10 |
| 69* |
0,12 |
1,11 |
| 70* |
0,37 |
3,33 |
| 71* |
0,12 |
3,33 |
| 72* |
0,37 |
10 |
| 73* |
0,37 |
10 |
| 74* |
0,37 |
10 |
| 75* |
1,11 |
** |
| 76* |
3,33 |
** |
| 77* |
1,11 |
10 |
| 78* |
0,12 |
10 |
| 79* |
0,37 |
** |
| 80* |
1,11 |
10 |
| 81* |
3,33 |
30 |
| 82* |
0,12 |
10 |
| 83* |
1,11 |
** |
| 84* |
0,12 |
10 |
| 85 |
1,11 |
10 |
| 86 |
1,11 |
10 |
| 87 |
3,33 |
30 |
| 88 |
10 |
** |
| 89 |
1,11 |
10 |
| 90 |
3,33 |
10 |
| 91 |
3,33 |
** |
| 92 |
3,33 |
** |
| 93 |
1,11 |
30 |
| 94 |
0,04 |
3,33 |
| 95 |
3,33 |
30 |
| 96 |
0,37 |
10 |
| 97 |
0,12 |
3,33 |
| 98 |
1,11 |
10 |
| 99 |
0,37 |
3,33 |
| 100 |
10 |
3,33 |
| 101 |
3,33 |
** |
| 102 |
3,33 |
** |
| 103 |
0,37 |
10 |
| 104 |
** |
** |
| 105 |
0,12 |
10 |
| 106 |
3,33 |
** |
| 107 |
0,12 |
10 |
| 108 |
0,12 |
10 |
| 109 |
** |
** |
| 110 |
1,11 |
3,33 |
| 111 |
1,11 |
** |
| 112 |
10 |
** |
| 113 |
3,33 |
** |
| 114 |
1,11 |
10 |
| 115 |
1,11 |
30 |
| 116 |
0,37 |
10 |
| 117 |
3,33 |
** |
| 118 |
1,11 |
** |
| 119 |
** |
** |
| 120 |
0,37 |
** |
| 121 |
1,11 |
** |
| 122 |
3,33 |
** |
| 123 |
3,33 |
** |
| 124 |
1,11 |
3,33 |
| 125 |
1,11 |
** |
| 126 |
3,33 |
** |
| 127 |
** |
** |
| 128 |
3,33 |
1,11 |
| 129 |
3,33 |
** |
| 130 |
1,11 |
10 |
| 131 |
3,33 |
** |
| 132 |
1,11 |
3,33 |
| 133 |
3,33 |
** |
| 134 |
0,37 |
** |
| 135 |
0,12 |
** |
| 136 |
1,11 |
** |
| 137 |
10 |
** |
| 138 |
1,11 |
** |
| 139 |
** |
** |
| 140 |
1,11 |
** |
| 141 |
0,37 |
** |
| 142 |
3,33 |
** |
| 143 |
0,12 |
** |
| 144 |
1,11 |
** |
| 145 |
1,11 |
** |
| 146 |
3,33 |
** |
| 148 |
0,01 |
1 |
| 149 |
0,001 |
1 |
| 150 |
0.001 |
0,1 |
| 151 |
0,0001 |
*** |
| 153 |
0,0001 |
0,1 |
| 154 |
0,0001 |
*** |
| 155 |
0,0001 |
1 |
| 155 |
0,01 |
0,1 |
| 156 |
0,001 |
1 |
| 158 |
0,001 |
1 |
| 159 |
0,01 |
1 |
| 172 |
0,0001 |
1 |
| 173 |
0,001 |
1 |
| 174 |
0,001 |
1 |
| *- Интерферон определяли с помощью метода биологической пробы. |
В описании настоящего изобретения рассмотрены некоторые примеры его осуществления. Приведенные выше подробное описание и примеры представлены здесь только для ясности понимания, и из них не следует каких-либо ограничений. Специалистам в данной области понятно, что возможны многочисленные изменения в описанных примерах осуществления, не меняющие сущности и объема настоящего изобретения.
Формула изобретения
1. Фармацевтический препарат, используемый для индуцирования биосинтеза цитокинов, включающий терапевтически эффективное количество соединения формулы (I)

R1 – это -алкил-NR3-СО-R4, где R4 – это арил, гетероарил, алкил или алкенил, каждый из которых может быть незамещенным или замещенным одним или более заместителями, выбираемыми из группы, в которую входят
-алкил;
-алкенил;
-алкинил;
-(алкил)0-1-арил;
-(алкил)0-1-(замещенный арил);
-(алкил)0-1-гетероарил;
-(алкил)0-1-(замещенный гетероарил);
-O-алкил;
-O-(алкил)0-1-арил;
-O-(алкил)0-1-(замещенный арил);
-O-(алкил)0-1-гетероарил;
-O-(алкил)0-1-(замещенный гетероарил);
-CO-арил;
-CO-(замещенный арил);
-CO-гетероарил;
-CO-(замещенный гетероарил);
-СООН;
-СО-O-алкил;
-CO-алкил;
-S(O)0-2-алкил;
-S(O)0-2-(алкил)0-1-арил;
-S(O)0-2-(алкил)0-1-(замещенный арил);
-S(O)0-2-(алкил)0-1-гетероарил;
-S(O)0-2-(алкил)0-1-(замещенный гетероарил):
-Р(O)(OR3)2;
-NR3-СО-О-алкил;
-N3;
-галоген;
-NO2;
-CN;
-галогеналкил;
-O-галогеналкил;
-CO-галогеналкил;
-ОН;
-SH; и в случае алкила или алкенила, кетогруппа,
или R4 – это

где R5 – это арил, (замещенный арил), гетероарил, (замещенный гетероарил), гетероциклил или (замещенный гетероциклил);
R2 выбирается из группы, в которую входят
-водород;
-алкил;
-арил; и
-алкил-O-алкил;
каждый из R3 независимо выбирают из группы, в которую входят водород; (алкил С1-10)-гетероарил; (алкил С1-10)-(замещенный гетероарил); (алкил С1-10)-арил; (алкил С1-10)-(замещенный арил) и алкил С1-10; или его фармацевтически приемлемая соль, в сочетании с фармацевтически приемлемым носителем;
n – это число 0.
2. Препарат по п.1, отличающийся тем, что R2 – это водород.
3. Препарат по п.1, отличающийся тем, что R2 выбирается из группы, в которую входят водород, алкил и алкил-O-алкил.
4. Препарат по п.1, отличающийся тем, что R4 – это арил или гетероарил, которые могут быть как незамещенными, так и замещенными одним или несколькими заместителями, выбираемыми из группы, в которую входят
-алкил;
-алкенил;
-алкинил;
-(алкил)0-1-арил;
-(алкил)0-1-замещекный арил;
-(алкил)0-1-гетероарил;
-(алкил)0-1-замещенный гетероарил;
-O-алкил;
-O-(алкил)0-1-арил;
-O-(алкил)0-1-замещенный арил;
-O-(алкил)0-1-гетероарил;
-O-(алкил)0-1-замещенный гетероарил;
-CO-арил;
-CO-(замещенный арил);
-CO-гетероариларил;
-CO-(замещенный гетероарил);
-СООН;
-СО-O-алкил;
-CO-алкил;
-S(O)0-2-алкил;
-S(O)0-2-(алкил)0-1-арил;
-S(O)0-2-(алкил)0-1-замещенный арил;
-S(O)0-2-(алкил)0-1-гетероарил;
-S(O)0-2-(алкил)0-1-замещенный гетероарил;
-NR3-CO-O-алкил;
-Р(O)(OR3)2;
-N3;
-галоген;
-NO2;
-CN;
-галогеналкил;
-O-галогеналкил;
-CO-галогеналкил:
-ОН; и
-SH.
5. Препарат по п.1, отличающийся тем, что R4 – это

6. Препарат по п.5, отличающийся тем, что R5 – это 4-пиридил.
7. Фармацевтический препарат, используемый для индуцирования биосинтеза цитокинов, включающий терапевтически эффективное количество соединения формулы (Ia)

где R1 – это -алкил-NR3-СО-R4, где R4 – это арил, гетероарил, алкил или алкенил, каждый из которых может быть незамещенным или замещенным одним или более заместителями, выбираемыми из группы, в которую входят
-гетероциклил;
-(замещенный гетероциклил);
-(алкил)0-1-гетероциклил;
-(алкил)0-1-(замещенный гетероциклил);
-O-(алкил)0-1-гетероциклил,
-O-(алкил)0-1-(замещенный гетероциклил);
R2 выбирается из группы, в которую входят
-водород;
-алкил;
-арил; и
-алкил-O-алкил,
каждый из R3 независимо выбирают из группы, в которую входят водород; (алкил С1-10)-гетероарил; (алкил С1-10)-(замещенный гетероарил); (алкил C1-10)-арил; (алкил С1-10)-(замещенный арил) и алкил C1-10; или его фармацевтически приемлемая соль, в сочетании с фармацевтически приемлемым носителем;
n – это число 0.
8. Препарат по п.7, отличающийся тем, что R4 – это

где Х – это О, S или NH.
9. Соединение формулы (Ic)

где R1 – это -алкил-NR3-СО-R4, где R4 – это арил, гетероарил, алкил или алкенил, каждый из которых может быть незамещенным или замещенным одним или более заместителями, выбираемыми из группы, в которую входят
-алкил;
-алкенил;
-алкинил;
-(алкил)0-1-арил;
-(алкил)0-1-(замещенный арил);
-(алкил)0-1-гетероарил;
-(алкил)0-1-(замещенный гетероарил);
-(алкил)0-1-гетероциклил;
-(алкил)0-1-(замещенный гетероциклил);
-O-алкил;
-O-(алкил)0-1-арил;
-O-(алкил)0-1-(замещенный арил);
-O-(алкил)0-1-гетероарил;
-O-(алкил)0-1-(замещенный гетероарил);
-O-(алкил)0-1-гетероциклил;
-O-(алкил)0-1-(замещенный гетероциклил);
-CO-арил;
-CO-(замещенный арил);
-CO-гетероарил;
-CO-(замещенный гетероарил);
-СООН;
-СО-O-алкил;
-CO-алкил;
-S(O)0-2-алкил;
-S(O)0-2-(алкил)0-1-арил;
-S(O)0-2-(алкил)0-1-(замещенный арил);
-S(O)0-2-(алкил)0-1-гетероарил;
-S(O)0-2-(алкил)0-1-(замещенный гетероарил);
-S(O)0-2-(алкил)0-1-гетероциклил;
-S(O)0-2-(алкил)0-1-(замещенный гетероциклил);
-Р(O)(OR3)2;
-NR6-СО-O-алкил;
-N3;
-галоген;
-NO2;
-CN;
-галогеналкил;
-O-галогеналкил;
-CO-галогеналкил;
-ОН;
-SH; и, в случае алкила, алкенила, кетогруппа;
или R4 – это

где R5 – это арил, замещенный арил, гетероарил, замещенный гетероарил, гетероциклил или замещенный гетероциклил;
R2 выбирается из группы, в которую входят
-водород;
-алкил;
-арил; и
-алкил-O-алкил;
R3 выбирают из группы, в которую входят (алкил С1-10)-гетероарил; (алкил С1-10)-(замещенный гетероарил); (алкил С1-10)-арил; (алкил С1-10)-(замещенный арил) и алкил С1-10;
каждый из R6 независимо выбирают из группы, в которую входят водород; (алкил С1-10)-гетероарил; (алкил С1-10)-(замещенный гетероарил); (алкил С1-10)-арил; (алкил С1-10)-(замещенный арил) и алкил C1-10; или его фармацевтически приемлемая соль;
n – это число 0.
10. Соединение по п.9, отличающееся тем, что пунктирные связи в нем отсутствуют.
11. Соединение по п.9, отличающееся тем, что R3 выбирается из группы, в которую входят (алкил С1-10)-гетероарил, (алкил С1-10)-(замещенный гетероарил), (алкил С1-10)-арил и (алкил С1-10)-(замещенный арил).
12. Соединение по п.9, отличающееся тем, что R3 выбирается из группы, в которую входят (алкил С1-10)-гетероарил, (алкил С1-10)-(замещенный гетероарил), (алкил С1-10)-арил, (алкил С1-10)-(замещенный арил) и алкил С6-10.
13. Соединение по п.9, отличающееся тем, что R3 выбирается из группы, в которую входят 2-метоксибензил; 2-фурилметил; 3-фурилметил; 2-нитробензил и 4-пиридилметил.
14. Соединение по п.13, отличающееся тем, что R2 – это водород, a R4 – это метил.
15. Соединение по п.9, отличающееся тем, что R2 выбирается из группы, в которую входят водород; алкил С1-4; и (алкил С1-4)-O-(алкил С1-4).
16. Соединение по п.9, отличающееся тем, что R2 выбирается из группы, в которую входят водород, алкил, алкил-O-алкил.
17. Соединение по п.9, отличающееся тем, что R1 – это -(СН2)1-6-NR3-СО-R4-.
18. Соединение по п.9, отличающееся тем, что R4 – это нафтил, который может быть как незамещенным, так и замещенным одним или несколькими заместителями, выбираемыми из группы, в которую входят
-алкил;
-алкенил;
-алкинил;
-(алкил)0-1-арил;
-(алкил)0-1-замещенный арил;
-(алкил)0-1-гетероарил;
-(алкил)0-1-замещенный гетероарил;
-O-алкил;
-O-(алкил)0-1-арил;
-O-(алкил)0-1-замещенный арил;
-O-(алкил)0-1-гетероарил;
-O-(алкил)0-1-замещенный гетероарил;
-CO-арил;
-CO-(замещенный арил);
-CO-гетероариларил;
-CO-(замещенный гетероарил);
-СО-O-алкил;
-CO-алкил;
-СООН;
-S(O)0-2-алкил;
-S(O)0-2-(алкил)0-1-арил;
-S(O)0-2-(алкил)0-1-замещенный арил;
-S(O)0-2-(алкил)0-1-гетероарил;
-S(O)0-2-(алкил)0-1-замещенный гетероарил;
-NR3-CO-O-алкил;
-Р(O)(OR3)2;
-N3;
-кетогруппа;
-галоген;
-NO2;
-CN;
-галогеналкил;
-O-галогеналкил;
-CO-галогеналкил;
-ОН; и
-SH.
19. Соединение формулы (Id):

где R1 – это -алкил-NR3-СО-R4, где R4 – это арил или гетероарил, который может быть незамещенным или замещенным одним или более заместителями, выбираемыми из группы, в которую входят
-алкил;
-алкенил;
-алкинил;
-(алкил)0-1-арил;
-(алкил)0-1-(замещенный арил),
-(алкил)0-1-гетероарил;
-(алкил)0-1-(замещенный гетероарил);
-(алкил)0-1-гетероциклил;
-(алкил)0-1-(замещенный гетероциклил);
-O-алкил;
-O-(алкил)0-1-арил;
-O-(алкил)0-1-(замещенный арил);
-O-(алкил)0-1-гетероарил;
-O-(алкил)0-1-(замещенный гетероарил);
-O-(алкил)0-1-гетероциклил;
-O-(алкил)0-1-(замещенный гетероциклил);
-CO-арил;
-CO-(замещенный арил);
-CO-гетероарил;
-CO-(замещенный гетероарил);
-СО-O-алкил;
-СООН;
-CO-алкил;
-S(O)0-2-алкил;
-S(O)0-2-(алкил)0-1-арил;
-S(O)0-2-(алкил)0-1-(замещенный арил);
-S(O)0-2-(алкил)0-1-гетероарил;
-S(O)0-2-(алкил)0-1-(замещенный гетероарил);
-S(O)0-2-(алкил)0-1-гетероциклил;
-S(O)0-2-(алкил)0-1-(замещенный гетероциклил);
-NR3-CO-O-алкил;
-Р(O)(OR3)2;
-N3;
-галоген;
-NO2;
-CN;
-галогеналкил;
-O-галогеналкил;
-CO-галогеналкил;
-ОН; и
-SH; или R4 – это

где R5 – это арил, (замещенный арил), гетероарил, (замещенный гетероарил), гетероциклил или (замещенный гетероциклил);
R2 выбирается из группы, в которую входят
-водород;
-алкил;
-арил; и
-алкил-O-алкил,
каждый из R3 независимо выбирают из группы, в которую входят водород; (алкил С1-10)-гетероарил; (алкил С1-10)-(замещенный гетероарил); (алкил C1-10)-арил; (алкил С1-10)-(замещенный арил) и алкил C1-10;
R6 выбирают из группы, в которую входят водород; (алкил C1-10)-гетероарил; (алкил C1-10)-(замещенный гетероарил); (алкил C1-10)-арил; (алкил C1-10)-(замещенный арил) и алкил C1-10;
n – это число 0,
при том условии, что R4 не является незамещенным бензольным кольцом и что, если R4 – это замещенное бензольное кольцо, то заместители выбираются из группы, в которую входят алкил, алкокси, алкилтио, гидроксил, галогеналкил, галогеналкилкарбонил, галогеналкоксил, алкилкарбонил, алкенилкарбонил, арилкарбонил, гетероарилкарбонил, арил, арилалкил, гетероарил, гетероарилалкил, гетероциклил, гетероциклоалкил, нитрил, алкоксикарбонил, алканоилоксил, алканоилтио, и -(алкил C1-10)-NR3-(алкил C1-10)-R5,
где R5 – это арил, (замещенный арил), гетероарил, (замещенный гетероарил), гетероциклил или (замещенный гетероциклил), или его фармацевтически приемлемая соль.
20. Соединение по п.19, отличающееся тем, что R2 выбирается из группы, в которую входят водород, алкил, алкил-O-алкил.
21. Соединение по п.19, отличающееся тем, что R2 выбирается из группы, в которую входят водород; алкил C1-4; и (алкил С1-4)-O-(алкил C1-4).
22. Соединение по п.21, отличающееся тем, что R2 – это водород или метоксиэтил.
23. Соединение по п.19, отличающееся тем, что R1 – это -(CH2)1-6-NR3-CO-R4-.
24. Соединение по п.19, отличающееся тем, что R3 – это водород.
25. Соединение по п.19, отличающееся тем, что R4 – это нафтил, хинолинил, изохинолинил или пиридил, которые могут быть как незамещенными, так и замещенными одним или несколькими заместителями, выбираемыми из группы, в которую входят
-алкил;
-алкенил;
-алкинил;
-(алкил)0-1-арил;
-(алкил)0-1-замещенный арил;
-(алкил)0-1-гетероарил;
-(алкил)0-1-замещенный гетероарил;
-O-алкил;
-O-(алкил)0-1-арил;
-O-(алкил)0-1-замещенный арил;
-O-(алкил)0-1-гетероарил;
-O-(алкил)0-1-замещенный гетероарил;
-CO-арил;
-CO-(замещенный арил);
-CO-гетероариларил;
-CO-(замещенный гетероарил);
-СООН;
-СО-O-алкил;
-CO-алкил;
-S(O)0-2-алкил;
-S(O)0-2-(алкил)0-1-арил;
-S(O)0-2-(алкил)0-1-замещенный арил;
-S(O)0-2-(алкил)0-1-гетероарил;
-S(O)0-2-(алкил)0-1-замещенный гетероарил;
-NR3-CO-O-алкил;
-Р(O)(OR3)2;
-N3;
-галоген;
-NO2;
-CN;
-галогеналкил;
-O-галогеналкил;
-CO-галогеналкил;
-ОН; и
-SH.
26. Соединение по п.25, отличающееся тем, что
R2 выбирается из группы, в которую входят водород, алкил и алкил-O-алкил;
R3 – это водород.
27. Соединение формулы (Ie)

где R1 – это -алкил-NR3-СО-R4, где R4 – это алкил или алкенил, который может быть замещенным одним или более заместителями, выбираемыми из группы, в которую входят
-алкинил;
-(замещенный арил), где заместитель (заместители) независимо выбирают из группы, в которую входят алкил, алкоксил, алкилтио; гидроксил, галогеналкил, галогеналкилкарбонил, галогеналкоксил, алкилкарбонил, алкенилкарбонил, арилкарбонил, гетероарилкарбонио, арил, арилалкил, гетероарил, гетероарилалкил, гетероциклил, гетероциклоалкил, нитрил, алкоксикарбонил, алканоилоксил и алканоилтио;
-гетероарил;
-(замещенный гетероарил);
-O-алкил;
-O-(алкил)0-1(замещенный арил), где заместитель (заместители) выбирают из группы, в которую входят алкил, алкоксил, алкилтио; гидроксил, галогеналкил, галогеналкилкарбонил, галогеналкоксил, алкилкарбонил, алкенилкарбонил, арилкарбонил, гетероарилкарбонил, арил, арилалкил, гетероарил, гетероарилалкил, гетероциклил, гетероциклоалкил, нитрил, алкоксикарбонил, алканоилоксил и алканоилтио;
-O-(алкил)0-1-гетероарил;
-O-(алкил)0-1-(замещенный гетероарил);
-CO-арил;
-CO-(замещенный арил);
-CO-гетероарил;
-CO-(замещенный гетероарил);
-СО-O-алкил;
-СООН;
-CO-алкил;
-S(O)0-2-алкил;
-S(O)0-2-(алкил)0-1-арил;
-S(O)0-2-(алкил)0-1-(замещенный арил);
-S(O)0-2-(алкил)0-1-гетероарил;
-S(O)0-2-(алкил)0-1-(замещенный гетероарил);
-NR3-СО-O-алкил;
-Р(O)(OR3)2;
-N3;
-оксигруппа;
-NO2;
-CN;
-O-галогеналкил;
-CO-галогеналкил;
-ОН; и
-SH;
R2 выбирается из группы, в которую входят
-водород;
-алкил;
-арил; и
-алкил-O-алкил;
каждый из R3 независимо выбирают из группы, в которую входят водород; (алкил С1-10)-гетероарил; (алкил С1-10)-(замещенный гетероарил); (алкил С1-10)-арил; (алкил С1-10)-(замещенный арил) и алкил C1-10; или его фармацевтически приемлемая соль;
n – это число 0.
28. Соединение по п.27, отличающееся тем, что R2 выбирается из группы, в которую входят водород, алкил, алкил-O-алкил.
29 Соединение по п.27, отличающееся тем, что R2 выбирается из группы, в которую входят водород; алкил C1-4; и (алкил С1-4)-O-(алкил C1-4).
30. Соединение по п.27, отличающееся тем, что R2 – это водород или метоксиэтил.
31. Соединение по п.30, отличающееся тем, что R3 – это водород.
32. Соединение по п.27, отличающееся тем, что R3 – это водород.
33. Фармацевтический препарат, используемый для индуцирования биосинтеза цитокинов, включающий в себя терапевтически эффективное количество соединения, выбираемого из группы, в которую входят
N1-[4-(4-амино-1H-имидазо[4,5-c]хинолин-1-ил)бутил]бензамид;
N1-[4-(4-амино-2-пропил-1H-имидазо[4,5-c]хинолин-1-ил)бутил]бензамид;
N1-[4-(4-амино-2-метил-1Н-имидазо[4,5-с]хинолин-1-ил)бутил]бензамид;
N1-[4-(4-амино-2-этил-1Н-имидазо[4,5-с]хинолин-1-ил)бутил]бензамид;
N1-[4-(4-амино-2-бутил-1H-имидазо[4,5-c]хинолин-1-ил)бутил]бензамид;
N1-[5-(4-амино-2-метил-1Н-имидазо[4,5-с]хинолин-1-ил)пентил]бензамид;
N1-[5-(4-амино-1Н-имидазо[4,5-с]хинолин-1-ил)пентил]бензамид;
N1-[3-(4-амино-1Н-имидазо[4,5-с]хинолин-1-ил)пропил]бензамид;
N1-[2-(4-амино-1H-имидазо[4,5-c]хинолин-1-ил)этил]бензамид;
N1-[3-(4-амино-2-метил-1Н-имидазо[4,5-с]хинолин-1-ил)пропил]бензамид;
N1-[6-(4-амино-1Н-имидазо[4,5-с]хинолин-1-ил)гексил]бензамид;
N1-[4-(4-амино-1H-имидазо[4,5-c]хинолин-1-ил)бутил]-3-фенилпропанамид;
N1-[2-(4-амино-1H-имидазо[4,5-c]хинолин-1-ил)этил]-3-фенилпропанамид;
N1-[4-(4-амино-1H-имидазо[4,5-c]хинолин-1-ил)бутил]-2-феноксиацетамид;
N1-[4-(4-амино-1H-имидазо[4,5-c]хинолин-1-ил)бутил]-2-этилгексанамид;
N1[4-(4-амино-1H-имидазо[4,5-c]хинолин-1-ил)бутил]-2-феноксипропанамид;
N1-[4-(4-амино-1H-имидазо[4,5-c]хинолин-1-ил)бутил]-2-хлорбензамид;
N1-[4-(4-амино-1H-имидазо[4,5-c]хинолин-1-ил)бутил]-3,4-дихлорбензамид;
N1-[4-(4-амино-1H-имидазо[4,5-c]хинолин-1-ил)бутил]-2,6-дихлорбензамид;
N1-[4-(4-амино-1Н-имидазо[4,5-с]хинолин-1-ил)бутил]-4-фторбензамид;
N1-[4-(4-амино-1H-имидазо[4,5-c]хинолин-1-ил)бутил]-4-хлорбензамид;
N1-[4-(4-амино-1H-имидазо[4,5-c]хинолин-1-ил)бутил]-4-метоксибензамид;
N1-[4-(4-амино-1Н-имидазо[4,5-с]хинолин-1-ил)бутил]-4-(трифторметил)бензамид;
N1-[4-(4-амино-1H-имидазо[4,5-c]хинолин-1-ил)бутил]-2- фенилацетамид;
N1-[4-(4-амино-1H-имидазо[4,5-c]хинолин-1-ил)бутил]-(E)-3-фенил-2-пропенамид;
N1-[4-(4-амино-1H-имидазо[4,5-c]хинолин-1-ил)бутил]-3-циклопентилпропанамид;
N1-[4-(4-амино-1Н-имидазо[4,5-с]хинолин-1-ил)бутил]-1-циклопентанкарбоксамид;
N1-[4-(4-амино-1H-имидазо[4,5-c]хинолин-1-ил)бутил]-1-циклогексанкарбоксамид;
N1-{4-[4-амино-2-(2-метоксиэтил)-1H-имидазо[4,5-c]хинолин-1-ил]бутил}-2-метилбензамид;
N1-{4-[4-амино-2-(2-метоксиэтил)-1H-имидазо[4,5-c]хинолин-1-ил]бутил}-1-циклопентанкарбоксамид;
N1-{4-[4-амино-2-(2-метоксиэтил)-1H-имидазо[4,5-c]хинолин-1-ил]бутил}-1-циклогексанкарбоксамид;
N1-{4-[4-амино-2-(2-метоксиэтил)-6,7,8,9-тетрагидро-1Н-имидазо[4,5-c]хинолин-1-ил)бутил}бензамид;
N1-{4-[4-амино-2-(2-метоксиэтил)-6,7,8,9-тетрагидро-1Н-имидазо[4,5-c]хинолин-1-ил)бутил}-2-фенилацетамид;
N1-{4-[4-амино-2-(4-метоксибензил)-1Н-имидазо[4,5-c]хинолин-1-ил)бутил}ацетамид;
N1-{4-[4-амино-2-(2-метоксиэтил)-1Н-имидазо[4,5-c]хинолин-1-ил]бутил}ацетамид;
N1-{4-[4-амино-2-(2-метоксиэтил)-1Н-имидазо[4,5-c]хинолин-1-ил]бутил}-2,2,2-трифторацетамид;
N1-[4-(4-амино-1H-имидазо[4,5-c]хинолин-1-ил)бутил]-2,2,2-трифторацетамид;
N1-[4-(4-амино-1H-имидазо[4,5-c]хинолин-1-ил)бутил]-(транс)-2-фенилциклопропан-1-карбоксамид; и
N1-{4-[4-амино-2-(4-метоксиэтил)-1Н-имидазо[4,5-c]хинолин-1-ил]бутил}-(транс)-2-фенилциклопропан-1-карбоксамид
в сочетании с фармацевтически приемлемым носителем.
34. Соединение, выбираемое из группы, в которую входят
N6 -[4-(4-амино-1H-имидазо[4,5-c]хинолин-1-ил)бутил]-6-хинолинкарбоксамид;
N3-[4-(4-амино-1H-имидазо[4,5-c]хинолин-1-ил)бутил]-3-хинолинкарбоксамид;
N3-[4-(4-амино-1H-имидазо[4,5-c]хинолин-1-ил)бутил]-2,6-диметоксиникотинамид;
N8-[4-(4-амино-1H-имидазо[4,5-c]хинолин-1-ил)бутил]-8-хинолинкарбоксамид;
N3-[4-(4-амино-1H-имидазо[4,5-c]хинолин-1-ил)бутил]никотинамид;
N4-[4-(4-амино-1H-имидазо[4,5-c]хинолин-1-ил)бутил]изоникотинамид;
N4-[4-(4-амино-1H-имидазо[4,5-c]хинолин-1-ил)бутил]-4-хинолинкарбоксамид;
N4-[4-(4-амино-2-(2-метоксиэтил)-1Н-имидазо[4,5-с]хинолин-1-ил)бутил]-2-фенил-4-хинолинкарбоксамид;
N3-[4-(4-амино-1H-имидазо[4,5-c]хинолин-1-ил)бутил]-2-(пентилсульфанил)никотинамид;
N3-[4-(4-амино-1H-имидазо[4,5-c]хинолин-1-ил)бутил]-6-цианоникотинамид;
N3-[4-(4-амино-1H-имидазо[4,5-c]хинолин-1-ил)бутил]-6-хлорникотинамид;
N3-[4-(4-амино-1H-имидазо[4,5-с]хинолин-1-ил)бутил]-6-(2,2,2-трифторэтокси)никотинамид;
N2-{4-[4-амино-2-(2-метоксиэтил)-1H-имидазо[4,5-c]хинолин-1-ил]бутил}-2-хинолинкарбоксамид;
N1-{4-[4-амино-2-(2-метоксиэтил)-1H-имидазо[4,5-c]хинолин-1-ил]бутил}-1-изохинолинкарбоксамид;
N2-{4-[4-амино-2-(2-метоксиэтил)-1Н-имидазо[4,5-с]хинолин-1-ил]бутил}-5-бутил-2-пиридинкарбоксамид;
N3-{4-[4-амино-2-(2-метоксиэтил)-1H-имидазо[4,5-c]хинолин-1-ил]бутил}-3-индолкарбоксамид;
N2-{4-[4-амино-2-(4-метоксибензил)-1H-имидазо[4,5-c]хинолин-1-ил]бутил}-2-хинолинкарбоксамид;
N3-{4-[4-амино-2-(2-метоксиэтил)-1H-имидазо[4,5-c]хинолин-1-ил]бутил}-6-(1-пирролил)никотинамид;
N5-{4-[4-амино-2-(2-метоксиэтил)-1H-имидазо[4,5-c]хинолин-1-ил]бутил}-5-индолкарбоксамид;
N3-{4-[4-амино-2-(2-метоксиэтил)-1H-имидазо[4,5-c]хинолин-1-ил]бутил}-5-(2-фенил-1-этинил)никотинамид;
N3-[4-(4-амино-2-фенил-1Н-имидазо[4,5-с]хинолин-1-ил)бутил]никотинамид;
N2-[4-(4-амино-2-фенил-1H-имидазо[4,5-финолин-1-ил)бутил]-2-хинолинкарбоксамид;
N3-[4-(4-амино-1H-имидазо[4,5-c]хинолин-1-ил)бутил]-2-хлорникотинамид;
N1-[4-(4-амино-1H-имидазо[4,5-c]хинолин-1-ил)бутил]-2-(2-тиенил)ацетамид;
N1-{4-[4-амино-2-(2-метоксиэтил)-1Н-имидазо[4,5-c]хинолин-1-ил]бутил}-2(3-тиенил)ацетамид;
N3-{4-[4-амино-2-(4-метоксибензил)-1H-имидазо[4,5-c]хинолин-1-ил]бутил}никотинамид;
N4-{4-[4-амино-2-(2-метоксиэтил)-6,7,8,9-тетрагидро-1H-имидазо[4,5-с]хинолин-1-ил]бутил}изоникотинамид;
N3-{4-[4-амино-2-(2-метоксиэтил)-1H-имидазо[4,5-c]хинолин-1-ил]бутил}-3-фурамид;
N3-{4-(4-амино-2-(2-метоксиэтил)-1H-имидазо[4,5-c]хинолин-1-ил]бутил}никотинамид;
N2-[4-(4-амино-1H-имидазо[4,5-с]хинолин-1-ил)бутил]-2-фурамид;
N2-[4-(4-амино-1H-имидазо[4,5-c]хинолин-1-ил)бутил]-2-тиофенкарбоксамид; и
N2-[4-(4-амино-1H-имидазо[4,5-c]хинолин-1-ил)бутил]-5-нитро-2-фурамид.
35. Соединение, выбираемое из группы, в которую входят
N1-[4-(4-амино-2-бутил-1Н-имидазо[4,5-с]хинолин-1-ил)бутил]-5-(2-оксопергидротиено[3,4-d]имидазол-4-ил)пентанамид;
N1-[4-(4-амино-1H-имидазо[4,5-c]хинолин-1-ил)бутил]-5-(2-оксопергидротиено[3,4-d]имидазол-4-ил)пентанамид;
N1-[2-(4-амино-2-бутил-1H-имидазо[4,5-c]хинолин-1-ил)этил]-5-(2-иминопергидротиено[3,4-d]имидазол-4-ил)пентанамид;
N1-[2-(4-амино-2-бутил-1H-имидазо[4,5-c]хинолин-1-ил)этил]-5-(2-оксопергидротиено[3,4-d]имидазол-4-ил)пентанамид; и
N1-[2-(4-амино-2-(этоксиметил)-1H-имидазо[4,5-c]хинолин-1-ил)этил]-5-(2-оксопергидротиено[3,4-d]имидазол-4-ил)пентанамид.
36. Соединение, выбираемое из группы, в которую входят
N1-[4-(4-амино-1Н-имидазо[4,5-с]хинолин-1-ил)бутил]-4-(морфолинометил)бензамид;
N1-[4-(4-амино-1Н-имидазо[4,5-с]хинолин-1-ил)бутил]-4-{[(4-пиридилметил)амино]метил}бензамид;
N1-[4-(4-амино-1H-имидазо[4,5-c]хинолин-1-ил)бутил]-4-{[(2-метоксифенетил)амино]метил}бензамид;
N1-[4-(4-амино-1H-имидазо[4,5-c]хинолин-1-ил)бутил]-4-({метил[2-(2-пиридил)этил]амино}метил)бензамид;
N1-{4-[4-амино-2-(2-метоксиэтил)-1H-имидазо[4,5-c]хинолин-1-ил]бутил}-2-оксо-2-фенилацетамид;
N1-[4-(4-амино-1H-имидазо[4,5-c]хинолин-1-ил)бутил]-4-[(2-тетрагидро-1H-1-пирролил-1Н-бензо[d])имидазол-1-ил)метил]бензамид; и
N3-[4-(4-амино-1Н-имидазо[4,5-с]хинолин-1-ил)бутил]-6-морфолиноникотинбензамид;
37. Соединение, выбираемое из группы, в которую входят
N1-[4-(4-амино-1H-имидазо[4,5-c]хинолин-1-ил)бутил]-2-этокси-1-нафтамид;
N1-[4-(4-амино-1H-имидазо[4,5-c]хинолин-1-ил)бутил]-4-цианобензамид;
N1-[4-(4-амино-1Н-имидазо[4,5-с]хинолин-1-ил)бутил]-3-цианобензамид,
N1-[4-(4-амино-1H-имидазо[4,5-c]хинолин-1-ил)бутил]-1-нафтамид;
N2-[4-(4-амино-1H-имидазо[4,5-c]хинолин-1-ил)бутил]-2-нафтамид;
N1-{4-[4-амино-2-(2-метоксиэтил)-1H-имидазо[4,5-c]хинолин-1-ил]бутил}-4-(1-пирролил)бензамид;
N1-{4-[4-амино-2-(2-метоксиэтил)-1Н-имидазо[4,5-с]хинолин-1-ил]бутил}-1-нафтамид;
N2-{4-[4-амино-2-(2-метоксиэтил)-1H-имидазо[4,5-c]хинолин-1-ил]бутил}-2-нафтамид;
N1-[4-амино-2-(4-метоксибензил)-1Н-имидазо[4,5-с]хинолин-1-ил]бутил}-1-нафтамид;
N2-{4-[4-амино-2-(4-метоксибензил)-1H-имидазо[4,5-c]хинолин-1-ил]бутил}-2-нафтамид;
N1-{4-[4-амино-2-бутил-1Н-имидазо[4,5-с]хинолин-1-ил]бутил}-1-нафтамид;
N2-{4-[4-амино-2-бутил-1H-имидазо[4,5-c]хинолин-1-ил]бутил}-2-нафтамид;
N1-{4-[4-амино-6,7,8,9-тетрагидро-1H-имидазо[4,5-c]хинолин-1-ил]бутил}-1-нафтамид; и
N2-{4-[4-амино-6,7,8,9-тетрагидро-1H-имидазо[4,5-c]хинолин-1-ил]бутил}-2-нафтамид.
38. Соединение, выбираемое из группы, в которую входят
N1-[4-(4-амино-1H-имидазо[4,5-c]хинолин-1-ил)бутил]-N1-(4-метоксибензил)ацетамид;
N1-[4-(4-амино-1H-имидазо[4,5-c]хинолин-1-ил)бутил]-N1-(4-бромбензил)ацетамид;
N1-[4-(4-амино-1H-имидазо[4,5-c]хинолин-1-ил)бутил]-N1-(5-бром-2-оксибензил)-ацетамид;
N1-[4-(4-амино-1H-имидазо[4,5-c]хинолин-1-ил)бутил]-N1-(4-бутоксибензил)ацетамид;
N1-[4-(4-амино-1H-имидазо[4,5-c]хинолин-1-ил)бутил]-N1-(2-хлорбензил)ацетамид;
N1-[4-(4-амино-1H-имидазо[4,5-c]хинолин-1-ил)бутил]-N1-(2-хлор-5-нитробензил)ацетамид;
N1-[4-(4-амино-1H-имидазо[4,5-c]хинолин-1-ил)бутил]-N1-(5-хлор-2-нитробензил)ацетамид;
N1-[4-(4-амино-1H-имидазо[4,5-c]хинолин-1-ил)бутил]-N1-2[(4-хлорфенил)сульфанил]бензилацетамид;
N1-[4-(4-амино-1H-имидазо[4,5-c]хинолин-1-ил)бутил]-N1-(3,5-дихлорбензил)ацетамид;
N1-[4-(4-амино-1H-имидазо[4,5-c]хинолин-1-ил)бутил]-N1-(3,4-дифторбензил)ацетамид;
N1-[4-(4-амино-1H-имидазо[4,5-c]хинолин-1-ил)бутил]-N1-(2,5-диметоксибензил)ацетамид;
N1-[4-(4-амино-1H-имидазо[4,5-c]хинолин-1-ил)бутил]-N1-(2,3-диметоксибензил)ацетамид;
N1-[4-(4-амино-1H-имидазо[4,5-c]хинолин-1-ил)бутил]-N1-(2,4-диметилбензил)ацетамид;
N1-[4-(4-амино-1H-имидазо[4,5-c]хинолин-1-ил)бутил]-N1-[(5-этил-2-фурил)метил]ацетамид;
N1-[4-(4-амино-1H-имидазо[4,5-c]хинолин-1-ил)бутил]-N1-(2-фурилметил)ацетамид;
N1-[4-(4-амино-1H-имидазо[4,5-c]хинолин-1-ил)бутил]-N1-(3-фурилметил)ацетамид;
N1-[4-(4-амино-1H-имидазо[4,5-c]хинолин-1-ил)бутил]-N1-(3-фенилпропил)ацетамид;
N1-[4-(4-амино-1H-имидазо[4,5-c]хинолин-1-ил)бутил]-N1-октилацетамид;
N1-[4-(4-амино-1H-имидазо[4,5-c]хинолин-1-ил)бутил]-N1-(1-нафтилметил)ацетамид;
N1-[4-(4-амино-1H-имидазо[4,5-c]хинолин-1-ил)бутил]-N1-(2-метокси-1-нафтилметил)ацетамид;
N1-[4-(4-амино-1H-имидазо[4,5-c]хинолин-1-ил)бутил]-N1-(4-нитробензил)ацетамид;
N1-[4-(4-амино-1H-имидазо[4,5-c]хинолин-1-ил)бутил]-N1-(2-нитробензил)ацетамид;
N1-[4-(4-амино-1H-имидазо[4,5-c]хинолин-1-ил)бутил]-N1-(4-пиридилметил)ацетамид;
N1-[4-(4-амино-1H-имидазо[4,5-c]хинолин-1-ил)бутил]-N1-(4-метилбензил)ацетамид;
N1-[4-(4-амино-1H-имидазо[4,5-c]хинолин-1-ил)бутил]-N1-(2,3,4-триметоксибензил)ацетамид;
N1-[4-(4-амино-1H-имидазо[4,5-c]хинолин-1-ил)бутил]-N1-(3,4,5-триметоксибензил)ацетамид;
N1-[4-(4-амино-1H-имидазо[4,5-c]хинолин-1-ил)бутил]-N1-циклопентилацетамид;
N1-[4-(4-амино-1H-имидазо[4,5-c]хинолин-1-ил)бутил]-N1-(4-фторфенил)ацетамид;
N1-[4-(4-амино-1H-имидазо[4,5-c]хинолин-1-ил)бутил]-N1-изопропилацетамид;
N1-[4-(4-амино-1H-имидазо[4,5-c]хинолин-1-ил)бутил]-N1-(4-(трифторметил)фенил]ацетамид;
N1-[4-(4-амино-1H-имидазо[4,5-c]хинолин-1-ил)бутил]-N1-циклогексилметилацетамид;
N1-[4-(4-амино-1H-имидазо[4,5-c]хинолин-1-ил)бутил]-N1-бензилацетамид;
N1-[4-(4-амино-1H-имидазо[4,5-c]хинолин-1-ил)бутил]-N1-метилацетамид;
N1-[4-(4-амино-1H-имидазо[4,5-c]хинолин-1-ил)бутил]-N1-этилацетамид; и
N1-[4-(4-амино-1H-имидазо[4,5-c]хинолин-1-ил)бутил]-N1-бензил-2,2,2-трифторацетамид.
39. Фармацевтический препарат, используемый для индуцирования биосинтеза цитокинов, включающий в себя терапевтически эффективное количество соединения по формуле (Ic), описанной в п.9, в сочетании с фармацевтически приемлемым носителем.
40. Фармацевтический препарат, используемый для индуцирования биосинтеза цитокинов, включающий в себя терапевтически эффективное количество соединения по формуле (Id), описанной в п.20, в сочетании с фармацевтически приемлемым носителем.
41. Фармацевтический препарат, используемый для индуцирования биосинтеза цитокинов, включающий в себя терапевтически эффективное количество соединения по формуле (Ie), описанной в п.27, в сочетании с фармацевтически приемлемым носителем.
Приоритет по пунктам и признакам:
Пункты формулы изобретения: 1; 2; 3; 4; 5; 6; 28; 40; 41 имеют приоритет от 10 июня 1999 г.(60/138,365) в отношении всех признаков, за исключением следующих значений радикалов, а именно
R2 – алкил
R3 – (алкил C1-10)-гетероалкил
(алкил C1-10)-(замещенный гетероарил)
(алкил C1-10)-арил
(алкил C1-10)-(замещенный арил)
R4 – это

В отношении вышеуказанных признаков установлен приоритет от 7 июня 2000 г. (09/589.580).
Пункт 7 Формулы изобретения имеет приоритет от 10 июня 1999 г. (60/138,365) в отношении всех признаков, за исключением следующих значений радикалов, а именно
R2 – алкил
R3 – (алкил C1-10)-гетероарил
(алкил C1-10)-(замещенный гетероарил)
(алкил C1-10)-арил
(алкил C1-10)-(замещенный арил)
В отношении вышеуказанных признаков установлен приоритет от 7 июня 2000 г. (09/589.580).
Пункты 29-34 Формулы изобретения имеет приоритет от 10 июня 1999 г. (60/138,365) в отношении всех признаков, за исключением следующих значений радикалов, а именно
R2 – алкил
R3 – (алкил C1-10)-гетероарил
(алкил C1-10)-(замещенный гетероарил)
(алкил C1-10)-арил
(алкил C1-10)-(замещенный арил)
R4 – алкенил, который может быть замещен одним или более заместителями, выбираемыми из группы, в которую входят алкенил; замещенный арил с заявленными заместителями.
В отношении вышеуказанных признаков установлен приоритет от 7 июня 2000 г. (09/589.580).
Пункт 33 Формулы изобретения имеет приоритет от 10 июня 1999 г. (60/138,365) в отношении следующих признаков:
-N1-[4-(4-амино-1Н-имидазо[4,5-с]хинолин-1-ил)бутил]бензамид;
-N1-[4-(4-амино-1Н-имидазо[4,5-с]хинолин-1-ил)бутил]-2,6-дихлорбензамид;
-N1-[4-(4-амино-1Н-имидазо[4,5-с]хинолин-1-ил)бутил]-4-фторбензамид;
-N1-[4-(4-амино-1Н-имидазо[4,5-с]хинолин-1-ил)бутил]-4-метоксибензамид;
-N1-[4-(4-амино-1Н-имндазо[4,5-с]хинолин-1-ил)бутил]-4-фенилацетамид;
-N1-[4-(4-амино-1Н-имидазо[4,5-с]хинолин-1-ил)бутил]-(Е)-3-фенил-2-пропенамид;
-N1-[4-(4-амино-1Н-имидазо[4,5-с]хинолин-1-ил)бутил]-1-циклогексанкарбоксамид.
В отношении оставшихся признаков установлен приоритет от 7 июня 2000 г. (09/589.580).
Пункт 34 Формулы изобретения имеет приоритет от 10 июня 1999 г. (60/138,365) в отношении следующих признаков:
-N1-[4-(4-амино-1Н-имидазо[4,5-с]хинолин-1-ил)бутил]-2-(2-тиенил)ацетамид;
-N2-[4-(4-амино-1Н-имидазо[4,5-с]хинолин-1-ил]-2-тиофенкарбоксамид;
-N2-[4-(4-амино-1H-имидазо[4,5-c]хинолин-1-ил)бутил]-2-тиофенкарбоксамид;
-N2-[4-(4-амино-1H-имидазо[4,5-c]хинолин-1-ил)бутил]-5-нитро-2-фурамид.
В отношении оставшихся признаков испрашивается приоритет от 7 июня 2000 г. (09/589.580).
Пункт 36 Формулы изобретения имеет приоритет от 10 июня 1999 г. (60/138,365) в отношении следующих признаков:
-N1-[4-(4-амино-1Н-имидазо[4,5-с]хинолин-1-ил)бутил]-4-(морфолинометил)бензамид;
-N1-[4-(4-амино-1Н-имидазо[4,5-с]хинолин-1-ил)бутил]-4-{[(4-пиридилметил)амино]метил}бензамид;
-N1-[4-(4-амино-1Н-имидазо[4,5-с]хинолин-1-ил)бутил]-4-({метил[2-(2-пиридил)этил]амино}метил)бензамид;
-N1-[4-(4-амино-1Н-имидазо[4,5-с]хинолин-1-ил)бутил]-4-[(2-тетрагидро-1Н-1-пирролил-1Н-бензо[d])имидазол-1-ил)метил]бензамид;
В отношении оставшихся признаков испрашивается приоритет от 7 июня 2000 г. (09/589.580).
Остальные пункты Формулы изобретения имеют приоритет от 7 июня 2000 г. (09/589.580).
MM4A – Досрочное прекращение действия патента СССР или патента Российской Федерации на изобретение из-за неуплаты в установленный срок пошлины за поддержание патента в силе
Дата прекращения действия патента: 09.06.2009
Извещение опубликовано: 27.03.2010 БИ: 09/2010
NF4A – Восстановление действия патента СССР или патента Российской Федерации на изобретение
Дата, с которой действие патента восстановлено: 10.04.2010
Извещение опубликовано: 10.04.2010 БИ: 10/2010
|
|