Патент на изобретение №2295196
|
||||||||||||||||||||||||||
(54) СПОСОБ КОНТРОЛЯ КАЧЕСТВА КАНАЛА СВЯЗИ
(57) Реферат:
Изобретение относится к области техники связи. Технический результат заключается в повышении точности контроля качества связи. На передающей стороне формируют помехоустойчивый код (ПК), затем его передают в канал связи и на приемной стороне осуществляют прием ПК, далее ПК декодируют и по результатам декодирования определяют количество ошибок в принятых словах ПК, а затем вычисляют коэффициент ошибок канала связи, отличающийся тем, что на передающей стороне канала связи формируют помехоустойчивый каскадный код (ПКК), на приемной стороне ПКК декодируют и, в случае успешной попытки декодирования каскадного кода, получают информацию, затем полученную информацию кодируют тем же ПКК и при этом восстанавливают стертые и трансформированные слова внутреннего кода ПКК, далее вычисляют разность между принятыми и восстановленными словами внутреннего кода ПКК и получают последовательность ошибок в словах внутреннего кода ПКК, далее подсчитывают количество ошибок во внутренних словах ПКК и определяют коэффициент ошибок в канале связи; в случае отказа от декодирования ПКК подсчитывают количество ошибок в декодированных словах внутреннего кода ПКК, далее подсчитывают количество стертых слов внутреннего кода и оценивают количество трансформированных слов внутреннего кода, затем оценивают количество ошибок в стертых и трансформированных словах внутреннего кода и определяют коэффициент ошибок в канале связи.
Изобретение относится к области техники связи и может быть использовано в системах передачи дискретной информации для контроля качества канала связи, в котором передаются сообщения, защищенные корректирующим кодом, в частности помехоустойчивым каскадным кодом. Способ, описанный в настоящей заявке, может применяться в асинхронных сетях связи, например, в сетях случайного множественного доступа, в которых количество переданных сообщений и моменты передачи этих сообщений неизвестны на приемной стороне. Способ позволяет осуществлять процесс постоянного слежения за качеством канала связи (мониторинг) и оценивать надежность приема информации в канале связи. Он может использоваться в адаптивных системах передачи информации для выбора оптимальной рабочей частоты, скорости передачи, параметров помехоустойчивого кода (информационной длины и избыточности кода) и так далее при изменении помеховой обстановки в канале связи. Это позволяет обеспечить высококачественный прием информации в различных каналах связи. Для осуществления способа не требуется передача специальных тестовых последовательностей, определение качества канала связи выполняется в рабочем режиме, под полезной нагрузкой и без снижения скорости передачи информации в канале связи. Наиболее эффективно предлагаемый способ может использоваться при передаче сообщений, защищенных помехоустойчивым каскадным кодом. Качество канала связи в рассматриваемом способе будем оценивать коэффициентом ошибок p канала связи, равном отношению количества ошибок r в принятом из канала сообщении к общему количеству m символов в этом сообщении
Известен способ контроля качества канала связи, заключающийся в том, что на передающей стороне формируют помехоустойчивый код, который передают в канал связи; на приемной стороне сначала осуществляют прием помехоустойчивого кода, далее помехоустойчивый код декодируют с исправлением ошибок и стираний в словах помехоустойчивого кода и по результатам декодирования вычисляют интегральную блочную статистическую характеристику приема слов помехоустойчивого кода, затем по этой статистической характеристике определяют параметры канала связи с независимыми или группирующимися ошибками [Патент РФ №2236090, МПК 7 Н 04 В 17/00. Квашенников В.В., Солдатенко Э.Н. Способ контроля качества канала связи. Приор. 27.01.2003, опубл. 10.09.2004]. Недостатком этого способа является низкая точность определения качества канала связи при отсутствии информации о модели канала связи, так как для точного определения качества канала необходимо заранее знать является ли исследуемый канал каналом с независимыми или группирующимися ошибками и какими параметрами он характеризуется. Наиболее близким к предлагаемому способу является способ (прототип), при котором на передающей стороне формируют помехоустойчивый код, затем его передают в канал связи и на приемной стороне осуществляют прием помехоустойчивого кода, далее помехоустойчивый код декодируют и по результатам декодирования определяют количество ошибок в принятых словах помехоустойчивого кода, а затем вычисляют коэффициент ошибок канала связи [Советов Б.Я., Стах В.М. Построение адаптивных систем передачи информации для автоматизированного управления. Л.: Энергоиздат. Ленингр. отд-ние, 1982, стр.41]. Недостатком этого способа является низкая точность контроля качества канала связи, поскольку количество ошибок определяют только в принятых словах помехоустойчивого кода и при этом не учитывают стертые и трансформированные слова помехоустойчивого кода. Помимо этого, точность контроля качества канала связи снижается из-за того, что на приемной стороне заранее неизвестно количество переданных слов помехоустойчивого кода. Цель изобретения – повышение точности контроля качества канала связи за счет того, что определяют количество ошибок в каждом слове помехоустойчивого кода, в том числе в стертых и в трансформированных словах помехоустойчивого кода. Также цель достигается тем, что контроль качества канала связи выполняют по результатам декодирования слов внутреннего кода каскадного кода, количество которых в каскадном коде заранее известно на приемной стороне. Для достижения цели предложен способ, заключающийся в том, что на передающей стороне формируют помехоустойчивый код, затем его передают в канал связи и на приемной стороне осуществляют прием помехоустойчивого кода, далее помехоустойчивый код декодируют и по результатам декодирования определяют количество ошибок в принятых словах помехоустойчивого кода, а затем вычисляют коэффициент ошибок канала связи. Новым является то, что на передающей стороне канала связи формируют помехоустойчивый каскадный код, на приемной стороне помехоустойчивый каскадный код декодируют и, в случае успешной попытки декодирования помехоустойчивого каскадного кода, получают информацию, затем полученную информацию кодируют тем же помехоустойчивым каскадным кодом и при этом восстанавливают стертые и трансформированные слова внутреннего кода помехоустойчивого каскадного кода, далее вычисляют разность между принятыми и восстановленными словами внутреннего кода помехоустойчивого каскадного кода и получают последовательность ошибок в словах внутреннего кода помехоустойчивого каскадного кода, далее подсчитывают количество ошибок во внутренних словах помехоустойчивого каскадного кода и определяют коэффициент ошибок в канале связи. В случае отказа от декодирования помехоустойчивого каскадного кода, подсчитывают количество ошибок в декодированных словах внутреннего кода помехоустойчивого каскадного кода, далее подсчитывают количество стертых слов внутреннего кода и оценивают количество трансформированных слов внутреннего кода, затем оценивают количество ошибок в стертых и трансформированных словах внутреннего кода и определяют коэффициент ошибок в канале связи. Предлагаемый способ контроля качества канала связи реализуется следующим образом. На передающей стороне формируют каскадный код. Для этого на передающей стороне исходную информацию объемом K m-ичных (m>1) символов вначале кодируют m-ичным помехоустойчивым кодом, например m-ичным помехоустойчивым кодом Рида-Соломона. Код Рида-Соломона является внешним кодом или кодом первой ступени помехоустойчивого каскадного кода. В результате кодирования информации получают кодовое слово кода Рида-Соломона (N, K), информационная длина которого равна K, а блоковая – N символов. Далее информацию кодируют двоичным кодом, например двоичным кодом Боуза-Чоудхури-Хоквингема (БЧХ-коды). Код БЧХ является внутренним кодом или кодом второй ступени помехоустойчивого каскадного кода. Код БЧХ имеет параметры: n – блоковая длина кода, k – информационная длина кода. Исходной информацией для каждого слова кода БЧХ являются символы кода Рида-Соломона, рассматриваемые как последовательность двоичных символов. В результате кодирования кодом БЧХ получают N двоичных слов кода БЧХ (n, k) или двоичную последовательность с1. Эта последовательность является каскадным помехоустойчивым кодом. Общее число двоичных символов в этом коде равно n·N. Далее двоичные символы каскадного кода, преобразованные в сигнал, поступают в канал связи. В канале связи возможно искажение передаваемого сигнала. Это может привести к тому, что на приемной стороне системы связи каскадный код будет принят с ошибками. При этом будет принята последовательность
где е – последовательность ошибок, а
На приемной стороне осуществляют сначала прием, а затем декодирование помехоустойчивого каскадного кода. Прием помехоустойчивого каскадного кода возможен лишь при установлении цикловой синхронизации каскадного кода. Поэтому для контроля качества канала связи немаловажное значение имеет наличие надежной цикловой синхронизации помехоустойчивого каскадного кода, которая позволяет с высокой достоверностью определить факт передачи каскадного кода и начало каскадного кода. При использовании помехоустойчивого каскадного кода возможно применение кодовой цикловой синхронизации [Бек Г.В., Богданович В.Н., Киреев О.П. Метод синхронизации сообщений. Сб.: Построение и анализ систем передачи информации. М.: Наука, 1980, стр.84], которая обеспечивает высокую вероятность установления цикловой синхронизации. Далее осуществляют декодирование помехоустойчивого каскадного кода. Каскадный код, поступающий на вход приемника, содержит N слов внутреннего кода каскадного кода. Декодирование каскадного кода начинают с декодирования слов внутреннего кода с обнаружением и исправлением ошибок. Предположим, что внутренний код каскадного кода гарантированно исправляет t и менее ошибок в кодовом слове. При количестве ошибок во внутреннем коде, большем t, но меньшем или равном s (s Далее осуществляют декодирование внешнего кода каскадного кода. При количестве трансформаций Т и стираний S символов внешнего кода каскадного кода, находящихся в пределах корректирующей способности внешнего кода (2·T+S В случае успешной попытки декодирования внешнего кода (правильный прием сообщения) возможно точное вычисление количества ошибок в каскадном коде и точное определение коэффициента ошибок канала связи. Для этого сообщение, полученное в результате успешного декодирования каскадного кода, заново кодируют тем же помехоустойчивым каскадным кодом аналогично тому, как это выполняют на передающей стороне канала связи и при этом получают последовательность c1. Последовательность c1 полностью совпадает с последовательностью, которая передавалась по каналу связи. Далее вычитают из принятой последовательности с2 восстановленную последовательность с1 и в результате получают последовательность ошибок
Последовательность ошибок е будет содержать единицы на местах, где произошли ошибки в последовательности с2, и будет состоять из нулей в остальных позициях. Теперь подсчитывают количество ошибок r в последовательности е, т.е. в словах внутреннего кода помехоустойчивого каскадного кода. Коэффициент ошибок канала связи будет равен отношению числа ошибок r в каскадном коде к общему количеству символов n·N в этом коде
При передаче каскадного кода в каналах связи низкого качества возникают ошибки в большом числе символов внутреннего кода каскадного кода. При декодировании каскадного кода это может привести к появлению большого числа трансформаций Т и стираний S символов внешнего кода и, в результате, к отказу от декодирования каскадного кода (стиранию внешнего кода при условии 2·T+S>N-K). В этом случае вычисление коэффициента ошибок канала связи выполняют приближенно. Сначала при декодировании слов внутреннего кода каскадного кода подсчитывают количество ошибок t0, которые были исправлены в словах внутреннего кода. Также при декодировании слов внутреннего кода подсчитывают количество стертых S слов внутреннего кода каскадного кода. Затем общее количество ошибок в стертых словах кода приближенно оценивают выражением
где d – минимальное кодовое расстояние внутреннего кода каскадного кода,
Далее оценивают количество трансформированных слов T(i) внутреннего кода с исправлением i ошибок по формуле
где Коэффициент
Общее число двоичных комбинаций, которые могут приводить к стиранию принятых слов, будет равно
отсюда получим
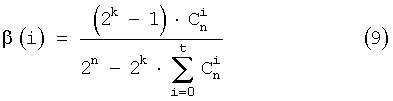
Суммарное количество t2 ошибок в трансформированных словах внутреннего кода помехоустойчивого каскадного кода можно оценить выражением где (d-i) – приближенная оценка количества ошибок в трансформированных словах кода (0 При увеличении количества трансформированных кодовых слов число правильно принятых кодовых слов уменьшается. Поэтому, суммарное количество ошибок r в правильно декодированных, стертых и трансформированных словах внутреннего кода каскадного кода с учетом уравнений (5), (6) и (10) запишется в виде Теперь нетрудно по формуле (4) определить коэффициент ошибок канала связи, равный отношению общего числа r ошибок к количеству n·N символов в каскадном коде. В качестве примера рассмотрим случай, когда в канале связи сообщения передаются укороченным помехоустойчивым каскадным кодом, внутренним кодом которого является двоичный код БЧХ (31, 16) с исправлением тройных ошибок, а внешним – код Рида-Соломона (32, 16), символами которого являются элементы поля Галуа GF(28). Декодирование кода Рида-Соломона осуществляют с исправлением ошибок и стираний. Предположим, что при передаче некоторого сообщения было принято 17 слов внутреннего кода, а остальные 15 – стерты. При декодировании кода Рида-Соломона произошел отказ от декодирования из-за обнаружения неисправимой комбинации ошибок (первые 16 символов внешнего кода не соответствуют 17 символу). Коэффициенты трансформаций внутреннего кода, согласно формулы (9), будут иметь следующие значения:
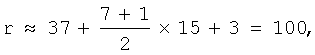
Минимальное кодовое расстояние внутреннего кода БЧХ d=7. Предположим, что количество ошибок в принятых словах внутреннего кода t0=37. Тогда оценка суммарного количества r ошибок во всех 32 словах внутреннего кода помехоустойчивого каскадного кода согласно выражению (11) запишется в виде
и коэффициент ошибок канала связи в соответствии с формулой (4) запишется
В предлагаемом способе качество канала связи оценивают по результатам приема слов внутреннего кода каскадного кода. В отличие от известного способа количество слов внутреннего кода каскадного кода заранее известно на приемной стороне, и это позволяет подсчитать общее количество ошибок в каскадном коде с учетом стертых и трансформированных слов внутреннего кода. В случае правильного приема каскадного кода количество ошибок в каскадном коде может быть определено точно. При отказе от декодирования каскадного кода количество ошибок в коде оценивают приближенно. Другая ситуация возникает при трансформации каскадного кода. В системах передачи информации обычно предусматривают специальные меры для защиты от трансформаций, например, путем введения дополнительной избыточности. В силу этого вероятность трансформации каскадного кода мала и не оказывает влияния на оценку величины коэффициента ошибок канала связи. Немаловажное значение для реализации предлагаемого способа имеет наличие надежной цикловой синхронизации помехоустойчивого каскадного кода. Высокая точность контроля качества канала связи возможна лишь при правильном определении начала каскадного кода. Достигаемым техническим результатом предлагаемого способа является повышение точности контроля качества канала связи.
Формула изобретения
Способ контроля качества канала связи, заключающийся в том, что на передающей стороне формируют помехоустойчивый код, затем его передают в канал связи и на приемной стороне осуществляют прием помехоустойчивого кода, далее помехоустойчивый код декодируют и по результатам декодирования определяют количество ошибок в принятых словах помехоустойчивого кода, а затем вычисляют коэффициент ошибок канала связи, отличающийся тем, что на передающей стороне канала связи формируют помехоустойчивый каскадный код, на приемной стороне помехоустойчивый каскадный код декодируют и, в случае успешной попытки декодирования каскадного кода, получают информацию, затем полученную информацию кодируют тем же помехоустойчивым каскадным кодом и при этом восстанавливают стертые и трансформированные слова внутреннего кода помехоустойчивого каскадного кода, далее вычисляют разность между принятыми и восстановленными словами внутреннего кода помехоустойчивого каскадного кода и получают последовательность ошибок в словах внутреннего кода помехоустойчивого каскадного кода, далее подсчитывают количество ошибок во внутренних словах помехоустойчивого каскадного кода и определяют коэффициент ошибок в канале связи; в случае отказа от декодирования помехоустойчивого каскадного кода подсчитывают количество ошибок в декодированных словах внутреннего кода помехоустойчивого каскадного кода, далее подсчитывают количество стертых слов внутреннего кода и оценивают количество трансформированных слов внутреннего кода, затем оценивают количество ошибок в стертых и трансформированных словах внутреннего кода и определяют коэффициент ошибок в канале связи.
|
||||||||||||||||||||||||||



означает операцию поразрядного сравнения (поразрядную сумму по модулю два).
t) ошибок, ошибки гарантированно обнаруживают и кодовое слово стирают. При количестве ошибок во внутреннем коде больше величины s будут стирания и трансформации кодовых слов. В результате декодирования слов внутреннего кода каскадного кода получают символы внешнего кода каскадного кода.
N-К), каскадный код будет декодирован правильно, в противном случае каскадный код не будет декодирован, то есть произойдет отказ от декодирования.


– приближенная оценка количества ошибок в стертых словах кода.
(i) – коэффициент трансформаций, показывающий какую долю ошибок, которые обнаруживают, составляют трансформации кодовых слов внутреннего кода с исправлением i ошибок.





.