Патент на изобретение №2293749
|
||||||||||||||||||||||||||||||||||||||||||||
(54) КОМПОЗИЦИЯ, СОДЕРЖАЩАЯ ТЕРМОПЛАСТИЧНЫЕ ПОЛИМЕРЫ
(57) Реферат:
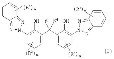
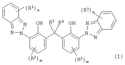
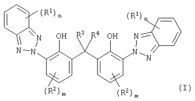
Изобретение относится к композициям, содержащим термопластичные полимеры и бензотриазолы в качестве УФ-абсорберов, а также к изделиям, получаемым из этих композиций. Под изделиями согласно изобретению предпочтительно подразумеваются многослойные пластины, один или оба наружных слоя которых содержат композицию, содержащую поликарбонат, от 0,1 до 15 мас.% одного или нескольких разных соединений формулы (I) и от 0,0001 до 0,4 мас.% одного или нескольких разных соединений формулы (II)
Технический результат – оптимизация композиций, содержащих термопластичные полимеры, для того чтобы поверхность пластов, получаемых из них путем экструзии, обладала хорошим качеством с сохранением необходимой защищенности пластов от воздействия УФ-излучения. 7 з.п. ф-лы, 1 табл.
Настоящее изобретение касается композиций, содержащих термопластичные полимеры и бензотриазолы в качестве поглотителей ультрафиолетового излучения (УФ-абсорберов), а также изделий, получаемых из этих композиций. Под изделиями согласно изобретению предпочтительно подразумевают однослойные или многослойные листы, один или оба наружных слоя которых состоят из композиций согласно изобретению. Известны листы, содержащие термопластичные полимеры. Например, из европейской заявки на патент ЕР-А 0110221 известны листы из поликарбоната, предназначенные для использования в самых разнообразных областях, которые получают, например, путем экструзии содержащих поликарбонат композиций и, при необходимости, соэкструзии с содержащими поликарбонат композициями, в состав которых входит повышенное количество УФ-абсорберов. В европейских заявках на патент ЕР-А 0320632 и ЕР-А 0247480 описаны получаемые соэкструзией листы из содержащих поликарбонат композиций, в состав которых входит труднолетучий УФ-абсорбер на основе замещенного бензотриазола. В соответствии с немецкой заявкой на патент DE-A 1670951 предпочтительным является использование в составе поликарбоната димерных бензотриазолов, поскольку они обладают гораздо более низкой летучестью по сравнению с мономерными триазолами. Одной из проблем, возникающих при изготовлении указанных листов путем экструзии, является осаждение легколетучих составных частей композиций, содержащих поликарбонат или в общем случае содержащих термопластичные полимеры, на калибрующем устройстве (при изготовлении ребристых листов) или валках каландра (при изготовлении монолитных листов), что может привести к образованию поверхностных дефектов. Такими легколетучими компонентами являются, например, УФ-абсорберы и другие низкомолекулярные составные части композиций. Недостатком листов согласно уровню техники является то, что при повышенной продолжительности экструзии указанные выше составные части композиций, улетучивающиеся из соответствующих, содержащих поликарбонат или в общем случае содержащих термопластичные полимеры расплавов, оказывают отрицательное воздействие на качество поверхности листов, особенно получаемых путем соэкструзии. Интенсивное испарение УФ-абсорбера из расплавов композиций, содержащих поликарбонат или в общем случае содержащих термопластичные полимеры, приводит к образованию на калибрующем устройстве или валках каландра отложений, вследствие чего на поверхности листов появляются дефекты, например, в виде белых пятен, волнистости и прочее. Кроме того, истирание поликарбоната или используемых в общем случае термопластичных полимеров в калибрующем устройстве приводит к появлению порошкообразных отложений на поверхности листов, изготовляемых из поликарбоната или термопластичных полимеров путем соэкструзии. В связи с этим в основу настоящего изобретения положена задача таким образом оптимизировать композиции, содержащие термопластичные полимеры, чтобы поверхность листов, получаемых из них путем экструзии, обладала хорошим качеством, в том числе и при увеличенной продолжительности непрерывно осуществляемой экструзии, с одновременным сохранением необходимой защищенности листов от воздействия УФ-излучения. Кроме того, задача настоящего изобретения состояла в создании изделий, которые могут быть получены из композиций согласно изобретению. Неожиданно было обнаружено, что задачу согласно изобретению решают композиции, содержащие наряду с термопластичными полимерами два разных находящихся между собой в определенном массовом соотношении УФ-абсорбера. Вместе с тем, задачу согласно изобретению решают и изделия, которые могут быть получены из этих композиций. Кроме того, задача согласно изобретению решается благодаря применению смесей, содержащих 0,1-15 массовых частей одного или нескольких различных соединений формулы (I) в которой R1 и R2 одинаковые или разные и означают водород, галоген, алкил с 1-10 атомами углерода, циклоалкил с 5-10 атомами углерода, аралкил с 7-13 атомами углерода, арил с 6-14 атомами углерода или группы -OR5 или -(CO)-O-R5, в которых R5 означает водород или алкил с 1-4 атомами углерода, R3 и R4 одинаковые или разные и означают водород, алкил с 1-4 атомами углерода, циклоалкил с 5-6 атомами углерода, бензил или арил с 6-14 атомами углерода, m означает 1, 2 или 3 и n означает 1, 2, 3 или 4, и 0,001-0,4 массовых частей, предпочтительно 0,001-0,4 массовых частей одного или нескольких различных соединений формулы (II)
в которой R и Х одинаковые или разные и означают водород, алкил или алкиларил, в композициях, содержащих термопластичные полимеры, для улучшения экструзионных характеристик этих композиций, проявляющихся в хорошем качестве поверхности экструдируемых из них листов. Кроме того, задача согласно изобретению решается благодаря применению смесей, состоящих из 0,1-15 массовых частей одного или нескольких различных соединений формулы (III) в которой R1 и R2 одинаковые или разные и означают водород, галоген, алкил с 1-10 атомами углерода, циклоалкил с 5-10 атомами углерода, аралкил с 7-13 атомами углерода, арил с 6-14 атомами углерода или группы -OR5 или -(CO)-O-R5, в которых R5 означает водород или алкил с 1-4 атомами углерода, m означает 1, 2 или 3 и n означает 1, 2, 3 или 4, р означает 0, 1, 2 или 3, q означает целое число от 1 до 10, Y означает -СН2-СН2-, -(СН2)3-, -(CH2)4-, -(CH2)5, -(CH2)6 или СН(СН3)-СН2– и R10 и R11 одинаковые или разные и означают водород, алкил с 1-4 атомами углерода, циклоалкил с 5-6 атомами углерода, бензил или арил с 6-14 атомами углерода, и 0,0001-0,4 массовых частей, предпочтительно 0,001-0,4 массовых частей одного или нескольких различных соединений указанной выше формулы (II), в составе композиций, содержащих термопластичные полимеры, для улучшения экструзионных характеристик этих композиций, проявляющихся в хорошем качестве поверхности экструдируемых из них листов. Применение смесей соединений формул (I) и (II) или смесей соединений формул (III) и (II) для указанной выше цели вовсе не означает необходимость предварительного перемешивания компонентов, входящих в состав каждой из этих смесей, перед использованием для защиты термопластичных полимеров от УФ-излучения. Согласно изобретению возможно любое применение, результатом которого является одновременное воздействие соединений формул (I) и (II) или соединений формул (III) и (II), обеспечивающее защиту термопластичных полимеров от УФ-излучений. Например, сначала в состав термопластичного полимера можно вводить соединения формулы (II), а затем соединения формулы (I). Кроме того, задача согласно настоящему изобретению решается благодаря использованию композиции, содержащей термопластичный полимер от 0,1 до 15 мас.%, предпочтительно от 0,11 до 10 мас.%, особенно предпочтительно от 0,13 до 8 мас.% одного или нескольких различных соединений формулы (III) и от 0,001 до 0,4 мас.%, предпочтительно 0,001 до 0,4 мас.% весьма предпочтительно от 0,0015 до 0,35 мас.%, особенно предпочтительно от 0,002 до 0,3 мас.% одного или нескольких разных соединений формулы (II). Кроме того, задача согласно настоящему изобретению решается благодаря использованию композиции, содержащей термопластичный полимер от 0,1 до 15 мас.%, предпочтительно от 0,11 до 10 мас.%, особенно предпочтительно от 0,13 до 8 мас.% одного или нескольких разных соединений формулы (III) и от 0,0001 до 0,4 мас.%, предпочтительно от 0,001 до 0,4 мас.%, весьма предпочтительно от 0,0015 до 0,35 мас.%, особенно предпочтительно от 0,002 до 0,3 мас.% одного или нескольких разных соединений формулы (II). Предпочтительными являются соединения формул (I), (II) и (III), содержащие следующие заместители: R1 = водород, R2 = алкил с 1-8 атомами углерода, в частности R2 = изооктил, R3 и R4 = водород, m=1, n=4, R = водород, 2-бутил, трет-бутил или -С(СН3)2-фенил, Х = алкил с 1-8 атомами углерода, -С(СН3)2-фенил или изооктил, р=0, 1, 2 или 3, q=1-8, Y=-(СН2)6– или -(CH2)2-, R10 и R11 = водород. Предпочтительной является композиция, суммарное содержание термопластичных полимеров и соединений формул (I), (II) и (III) в которой составляет от 50 до 100 мас.%. Согласно настоящему изобретению могут использоваться любые термопластичные полимеры. Предпочтительными являются термопластичные полимеры, выбранные из группы, включающей поликарбонат, сложный полиэфир, полиметилметакрилат, прозрачный поливинилхлорид, прозрачный полистирол, сополимер стирола и акрилонитрила и ударопрочный полистирол. Особенно предпочтительными являются сложные полиэфиры, в частности полиэтилентерефталат (PET), а также сложные сополиэфиры на основе терефталевой и изофталевой кислот, гликоля и циклогексан-1,4-диметанола (например, полиэтилентерефталатгликоль PETG). Кроме того, особенно предпочтительным является поликарбонат, выбранный из группы, включающей гомополикарбонат на основе бисфенола А и сополикарбонат на основе бисфенола А и 1,1-бис-(4-гидроксифенил)-3,3,5-триметилциклогексана в качестве исходных мономеров. Кроме того, предпочтительной является композиция согласно изобретению, которая дополнительно содержит от 0,01 до 0,6 мас.% полных или неполных сложных эфиров одноатомных-шестиатомных спиртов. Кроме того, предпочтительной является композиция согласно изобретению, которая дополнительно содержит термостабилизаторы в концентрации от 10 до 6000 частей на млн. Предпочтительными термостабилизаторами являются трис-(2,4-ди-трет-бутилфенил)-фосфит или трифенилфосфин. Кроме того, задача согласно изобретению решается благодаря изделиям, содержащим композицию согласно изобретению. Изделия согласно настоящему изобретению предпочтительно входят в состав группы, включающей однослойные и многослойные листы, ребристые многослойные листы, волнистые монолитные листы, ребристые профилированные изделия, ребристые профилированные изделия с пазом и вставным шипом, соединительные элементы, стекла для теплиц, зимних садов и автобусных остановок, рекламные щиты, указательные таблички, защитные и автомобильные стекла, окна и перекрытия. Предпочтительными являются многослойные листы, по меньшей мере, один слой которых содержит композицию согласно изобретению. Кроме того, предпочтительными являются многослойные листы, один из наружных слоев или оба наружных слоя которых содержат композицию согласно изобретению. При этом особенно предпочтительно, если лист состоит, по меньшей мере, из двух слоев и, по меньшей мере, один слой содержит композицию согласно изобретению, суммарное содержание соединений формул (I) и (II) или соединений формул (III) и (II) в которой составляет от 0,02 до 1 мас.%. Предпочтительным способом получения листов согласно настоящему изобретению является соэкструзия. Композиции согласно изобретению могут содержать обычно используемые дополнительные компоненты, например технологические добавки, в частности внутренние смазки и средства для регулирования реологических свойств, а также стабилизаторы, в частности термостабилизаторы. В соответствии с настоящим изобретением соединения формул (I), (II) и (III) для упрощения называют УФ-абсорберами. Композиции согласно изобретению и получаемые из них изделия, например листы, обладают многочисленными преимуществами. В частности, отсутствуют такие известные из уровня техники проблемы, как, например, осаждение улетучивающихся в процессе экструзии составных частей композиций на калибрующих устройствах или валках каландра. Это преимущество композиций согласно изобретению имеет особенно большое значение, если их используют для получения многослойных листов, причем один или оба наружных слоя состоят из композиций согласно изобретению или содержат такие композиции. В подобных случаях содержание УФ-абсорберов в композициях согласно изобретению, образующих один или оба наружных слоя листов, предпочтительно составляет от 3 до 8 мас.%. Композиции согласно изобретению надежно защищены от воздействия УФ-излучения. Композиции согласно изобретению и получаемые из них изделия наряду с указанными выше преимуществами обладают и многими другими достоинствами. Например, изделия согласно изобретению обладают хорошими механическими свойствами, которые в основном соответствуют аналогичным характеристикам используемых для их изготовления термопластичных полимеров. Вместе с тем, если для получения изделий согласно изобретению используют прозрачные термопластичные полимеры, соответствующая продукция обладает хорошими оптическими свойствами, например высоким светопропусканием. Композиции согласно настоящему изобретению, содержащие термопластичные полимеры, особенно предпочтительны с технической точки зрения. Они обладают способностью легко перерабатываться и в получаемых из них изделиях отсутствуют какие-либо дефекты. Атмосферостойкость листов на основе композиций согласно изобретению, по меньшей мере, не ниже соответствующего показателя, характерного для уровня техники. Соединения формул (I), (II) и (III), предназначенные для применения согласно настоящему изобретению, являются коммерчески доступными. Их можно также синтезировать, используя известные способы. Суммарное содержание термопластичных полимеров и УФ-абсорберов в композициях согласно изобретению предпочтительно составляет от 60 до 100 мас.%, особенно предпочтительно от 80 до 100 мас.%, еще более предпочтительно от 90 до 100 мас.%. Наряду с точно указанными выше составными частями композиции согласно изобретению могут содержать также обычные добавки в обычно используемых количествах. В соответствии с особенно предпочтительным вариантом осуществления настоящего изобретения композиции согласно изобретению не содержат каких-либо дополнительных составных частей, кроме точно указанных, то есть они состоят только из точно указанных компонентов. Соединения формулы (I), в частности 2,2-метилен-бис-(4-(1,1,3,3-тетраметилбутил)-6-(2Н-бензтриазол-2-ил)-фенол) поступают в продажу под торговым наименованием Tinuvin® 360 или Adeka Stab® LA 31. Соединениями формулы (II) являются 2-(2-гидрокси-5-трет-октилфенил)-2Н-бензотриазол (Tinuvin® 329), 2-(2Н-бензотриазол-2-ил)-4-(1,1-диметилэтил)-6-(2-метилпропил)фенол (Tinuvin® 350) или 2-[2′-гидрокси-3,5-ди(1,1-диметилбензил)-фенил]-2Н-бензотриазол (Tinuvin® 234). Продукция с торговым наименованием Tinuvin® поставляется в торговую сеть фирмой Ciba Spezialitätenchemie (Лампертхайм, Германия). Поликарбонаты, входящие в состав композиций согласно настоящему изобретению или изделий, получаемых из этих композиций, являются гомополикарбонатами, сополикарбонатами и термопластичными полиэфиркарбонатами. Их среднемассовая молекулярная масса Mw предпочтительно составляет от 18.000 до 40.000, преимущественно от 26.000 до 36.000 и, в частности, от 28.000 до 35.000 г/моль (Mw определяют путем измерения относительной вязкости растворов в дихлорметане или в смесях, состоящих из равных массовых частей фенола и о-дихлорбензола, с калибровкой методом светорассеяния). Если речь идет о соэкструзии, вязкость расплавов соэкструдируемых смесей должна быть ниже вязкости расплава субстрата, на который наносят такие смеси. Примеры получения поликарбонатов приводятся в “Schnell”, Chemistry and Physics of Polycarbonates, Polymer Reviews, Vol.9, Interscience Publishers, New York, London, Sydney 1964; D.C.Prevorsek, B.T.Debona and Y.Kesten, Corporate Research Center, Allied Chemical Corporation, Moristown, New Jersey 07960; “Synthesis of Poly(ester)carbonate Copolymers” in Journal of Polymer Science, Polymer Chemistry Edition, Vol.19, 75-90 (1980); D.Freitag, U.Grigo, P.R.Müller, N.Nouvertne, BAYER AG, “Polycarbonates” in Encyclopedia of Polymer Science and Engineering, Vol.11, Second Edition, 1988, Seiten 648-718; U.Grigo, K.Kircher und P.R.Müller, “Polycarbonate” in Becker/Braun, Kunststoff-Handbuch, Band 3/1, Polycarbonate, Polyacetale, Polyester, Celluloseester, Carl Hanser Verlag München, Wien 1992, Seiten 117-299. Поликарбонаты предпочтительно получают путем взаимодействия реагентов на границе раздела фаз или переэтерификацией в расплаве. Ниже описан способ получения поликарбонатов на границе раздела фаз. Предпочтительно используемыми исходными соединениями являются бисфенолы общей формулы HO-Z-OH, в которой Z представляет собой двухвалентный органический остаток с 6-30 атомами углерода, содержащий одну или несколько ароматических групп. Примерами таких соединений являются бисфенолы, относящиеся к группе дигидроксидифенилов, бис-(гидроксифенил)-алканов, индан-бисфенолов, простых бис-(гидроксифенил)-эфиров, бис-(гидроксифенил)-сульфонов, бис-(гидроксифенил)-кетонов и Особенно предпочтительными бисфенолами, относящимися к указанной выше группе соединений, являются бисфенол А, тетра-алкил-бисфенол А, 4,4-(мета-фенилен-ди-изопропил)-дифенол (бисфенол М), 4,4-(пара-фенилен-ди-изопропил)-дифенол, 1,1-бис-(4-гидроксифенил)-3,3,5-триметилциклогексан (ВР-ТМС), а также, при необходимости, соответствующие смеси. Особенно предпочтительными являются гомополикарбонаты на основе бисфенола А и сополикарбонаты на основе бисфенола А и 1,1-бис-(4-гидроксифенил)-3,3,5-триметилциклогексана в качестве исходных мономеров. Используемые согласно настоящему изобретению бисфенолы подвергают взаимодействию с производными угольной кислоты, в частности фосгеном, или с дифенилкарбонатом, или диметилкарбонатом (при осуществлении переэтерификации в расплаве). Полиэфиркарбонаты получают путем взаимодействия указанных выше бисфенолов, по меньшей мере, с одной ароматической дикарбоновой кислотой и, при необходимости, эквивалентами угольной кислоты. Пригодными ароматическими дикарбоновыми кислотами являются, например, фталевая, терефталевая и изофталевая кислоты, 3,3′- или 4,4′-дифенилдикарбоновая кислота и бензофенондикарбоновые кислоты. Определенная часть карбонатных групп, составляющая до 80 мол.%, предпочтительно от 20 до 50 мол.%, может быть замещена сложноэфирными группами ароматических дикарбоновых кислот. Инертными органическими растворителями, применяемыми в способе получения поликарбонатов путем взаимодействия реагентов на границе раздела фаз, являются, например, дихлорметан, различные производные дихлорэтана и хлорпропана, тетрахлорметан, трихлорметан, хлорбензол и хлортолуол, причем предпочтительно используют хлорбензол или дихлорметан и смеси этих растворителей. Для ускорения взаимодействия исходных реагентов на границе раздела фаз могут использоваться катализаторы, например третичные амины, в частности N-алкилпиперидины или ониевые соли, причем предпочтительными являются трибутиламин, триэтиламин и N-этилпиперидин. Для переэтерификации в расплаве предпочтительно используют катализаторы, приведенные в немецкой заявке на патент DE-A 4238123. Поликарбонаты могут быть контролируемым образом разветвлены путем добавления небольших количеств агентов разветвления полимерных цепей. Некоторыми из пригодных агентов разветвления являются флороглюцин, 4,6-диметил-2,4,6-три-(4-гидроксифенил)-гептен-2, 4,6-диметил-2,4,6-три-(4-гидроксифенил)-гептан, 1,3,5-три-(4-гидроксифенил)-бензол, 1,1,1-три-(4-гидроксифенил)-этан, три-(4-гидроксифенил)-фенилметан, 2,2-бис-[4,4-бис-(4-гидроксифенил)-циклогексил]пропан, 2,4-бис-(4-гидроксифенил-изо-пропил)-фенол, 2,6-бис-(2-гидрокси-5′-метилбензил)-4-метилфенол, 2-(4-гидроксифенил)-2-(2,4-дигидроксифенил)-пропан, сложные эфиры гекса-(4-(4-гидроксифенил-изопропил)-фенил)-ортотерефталевой кислоты, тетра-(4-гидроксифенил)-метан, тетра-(4-(4-гидроксифенил-изопропил)-фенокси)-метан, Предназначенные, при необходимости, для совместного использования агенты разветвления полимерных цепей или смеси таких агентов, количество которых составляет от 0,05 до 2 мол.% по отношению к применяемым для синтеза бисфенолам, могут быть введены вместе с бисфенолами или на более поздней стадии синтеза поликарбоната. Кроме того, в реакционную систему могут вводиться агенты обрыва полимерных цепей, в качестве которых предпочтительно используют фенолы, например фенол, алкилфенолы, например крезол и 4-трет-бутилфенол, хлорфенол, бромфенол, кумилфенол, или смеси этих соединений. Количество агентов обрыва цепей по отношению к бисфенолу составляет от 1 до 20 мол.%, предпочтительно от 2 до 10 мол.%. Предпочтительными агентами обрыва полимерных цепей являются фенол, 4-трет-бутилфенол и кумилфенол. Агенты обрыва и разветвления полимерных цепей могут быть введены в реакционную систему отдельно или вместе с бисфенолом. Получение поликарбонатов путем переэтерификации в расплаве описано, например, в немецкой заявке на патент DE-A 4238123. В состав композиций согласно настоящему изобретению могут входить также стабилизаторы. Стабилизаторами, пригодными для использования в составе композиций согласно изобретению, являются, например, фосфины, фосфиты или соединения, содержащие кремний (Si), а также другие описанные в европейской заявке на патент ЕР-А 0500496 соединения. Примерами пригодных стабилизаторов являются трифенилфосфиты, дифенилалкилфосфиты, фенилдиалкилфосфиты, трис-(нонилфенил)-фосфит, тетракис-(2,4-ди-трет-бутилфенил)-4,4′-бифенилендифосфонит и триарилфосфит. Особенно предпочтительными являются трифенилфосфин и трис-(2,4-ди-трет-бутилфенил)-фосфит. Кроме того, в состав содержащих поликарбонат композиций согласно изобретению могут входить от 0,01 до 0,6 мас.% полных или неполных сложных эфиров одноатомных-шестиатомных спиртов, частности сложных эфиров глицерина, пентаэритрита или спирты Гербе. Одноатомными спиртами являются, например, стеариловый спирт, пальмитиловый спирт и спирт Гербе. Двухатомным спиртом является, например, гликоль. Трехатомным спиртом является, например, глицерин. Четырехатомными спиртами являются, например, пентаэритрит и мезоэритрит. Пятиатомными спиртами являются, например, арабит, рибит и ксилит. Шестиатомными спиртами являются, например, маннит, глюцит (сорбит) и дульцит. Сложные эфиры предпочтительно являются моноэфирами, диэфирами, триэфирами, тетраэфирами, при необходимости, пентаэфирами и гексаэфирами или их смесями, в частности статистическими смесями, полученными из насыщенных алифатических монокарбоновых кислот с 10-36 атомами углерода, и, при необходимости, гидроксимонокислот, предпочтительно из насыщенных алифатических монокарбоновых кислот с 14-32 атомами углерода и, при необходимости, гидроксимонокислот. Коммерчески доступные сложные эфиры кислот жирного ряда, в частности эфиры на основе пентаэритрита и глицерина, в зависимости от условий их синтеза могут содержать до 60% различных неполных эфиров. Насыщенными алифатическими монокарбоновыми кислотами с 10-38 атомами углерода являются, например, каприновая, лауриновая, миристиновая, пальмитиновая, стеариновая, гидроксистеариновая, арахиновая, бегеновая, лигноцериновая, церотиновая и монтановая кислоты. Предпочтительными насыщенными алифатическими монокарбоновыми кислотами с 14-22 атомами углерода являются, например, миристиновая, пальмитиновая, стеариновая, гидроксистеариновая, арахиновая и бегеновая кислоты. Особенно предпочтительными насыщенными алифатическими монокарбоновыми кислотами являются, в частности, пальмитиновая, стеариновая и гидроксистеариновая кислоты. Насыщенные алифатические карбоновые кислоты с 10-36 атомами углерода и используемые согласно настоящему изобретению сложные эфиры кислот жирного ряда известны из литературы или могут быть синтезированы известными из литературы способами. Примерами эфиров на основе пентаэритрита и кислот жирного ряда являются эфиры монокарбоновых кислот, указанных выше в качестве особенно предпочтительных. Особенно предпочтительными являются эфиры на основе пентаэритрита и глицерина, стеариновой и пальмитиновой кислот. Особенно предпочтительными являются также эфиры на основе спиртов Гербе и глицерина, стеариновой и пальмитиновой кислот и, при необходимости, гидроксистеариновой кислоты. Примерами антистатиков, которые могут быть введены в состав композиций согласно настоящему изобретению, являются катионоактивные соединения, например четвертичные соли аммония, фосфония или сульфония, анионоактивные соединения, например алкилсульфонаты, алкилсульфаты, алкилфосфаты, карбоксилаты в форме солей щелочных или щелочно-земельных металлов, неионогенные соединения, например сложные и простые эфиры полиэтиленгликоля, сложные эфиры кислот жирного ряда и этоксилированные алифатические амины. Предпочтительными антистатиками являются неионогенные соединения. Кроме того, композиции согласно настоящему изобретению могут содержать органические красители, неорганические пигменты, флуоресцентные красители и оптические осветлители. Любые соединения и растворители, применяемые для приготовления соэкструдируемых смесей, в процессе их получения и хранения могут быть загрязнены теми или иными примесями. Для переработки необходимо использовать как можно более чистые исходные материалы. Отдельные компоненты композиций можно смешивать друг с другом последовательно или одновременно как при комнатной, так и при более высокой температуре, используя известные способы смешивания. Введение добавок в содержащие поликарбонат композиции согласно настоящему изобретению, в частности введение УФ-абсорберов и других указанных выше дополнительных компонентов, предпочтительно осуществляют известными способами, перемешивая гранулы полимера с добавками при температурах, предпочтительно находящихся в интервале от 200 до 360°С, используя обычные устройства, в частности закрытые смесители, одночервячные и двухчервячные экструдеры, например, путем компаундирования или экструдирования расплавов или путем перемешивания растворов полимера с растворами добавок и последующего испарения растворителя, осуществляемого обычными способами. Содержание добавок в формовочных массах с целью обеспечения желаемых свойств композиций можно варьировать в широких пределах. Суммарное содержание добавок в композициях предпочтительно составляет около 20 мас.%, преимущественно от 0,1 до 12 мас.%. УФ-абсорберы могут быть введены в состав композиций согласно настоящему изобретению, например, путем перемешивания растворов этих соединений, при необходимости, содержащих указанные выше дополнительные добавки, с растворами полимеров в пригодных органических растворителях, в частности дихлорметане (СН2Cl2), галогеналканах, галогенированных ароматических соединениях, хлорбензоле или ксилоле. Полученные смеси гомогенизируют обычными способами, предпочтительно путем экструзии. Далее смесь растворов подвергают, например, компаундированию, предпочтительно осуществляемому обычным способом путем испарения растворителя и последующей экструзии. Объектом настоящего изобретения являются также изделия, которые могут быть получены с использованием композиций согласно изобретению, содержащих термопластичные полимеры. Композиции, содержащие термопластичные полимеры, могут использоваться для производства монолитных полимерных листов и так называемых ребристых листов (например, сдвоенных или строенных листов с перегородками). Речь при этом также идет и о листах, снабженных с одной или обеих сторон дополнительным защитным покрытием, выполненным из композиций согласно изобретению, содержащих термопластичные полимеры и повышенное количество УФ-абсорберов. Из композиций согласно настоящему изобретению, содержащих термопластичные полимеры, можно легко получать продукцию, в частности листы, из которых могут быть изготовлены такие изделия, как, например, стекла для теплиц, зимних садов и автобусных остановок, рекламные щиты, указательные таблички, защитные и автомобильные стекла, окна и перекрытия. Кроме того, не исключается возможность дополнительной обработки изделий с покрытием из композиций согласно изобретению, содержащих термопластичные полимеры, в частности, путем формования глубокой вытяжкой или поверхностной обработки. Например, на них могут быть нанесены повышающее стойкость к царапанию лаковое покрытие, влагоотталкивающие составы и аналогичные покрытия, причем получаемые этим способом изделия также составляют объект настоящего изобретения. Соэкструзия является известным из литературы способом нанесения покрытий (смотри, например, европейские заявки на патент ЕР-А 110221 и ЕР-А 110238). В данном случае соэкструзию предпочтительно осуществляют следующим образом. К соэкструзионному переходному устройству присоединены экструдеры для изготовления сердцевинного слоя и защитного покрытия (защитных покрытий). Переходное устройство сконструировано таким образом, чтобы можно было обеспечить нанесение тонкого слоя расплава, из которого затем формируется защитное покрытие (защитные покрытия), на расплавленный сердцевинный слой с прочным взаимным сцеплением этих слоев. Полученное указанным образом многослойное расплавленное полотно предпочтительно поступает в последовательно присоединенную к переходному устройству щелевую головку, где расплаву придают желаемую конфигурацию (форму ребристого или монолитного листа). Затем расплав охлаждают в контролируемых условиях, предпочтительно используя известные способы: на каландре (монолитные листы) или вакуумном калибрующем устройстве (ребристые листы) и подвергают поперечной резке. При необходимости, изделие после калибровки может быть помещено в печь для термической обработки с целью устранения внутренних напряжений. Для соединения отдельных слоев расплава вместо переходного устройства может использоваться щелевая головка особой конструкции. Изобретение поясняет приведенный ниже пример. Пример Сдвоенные листы А-С толщиной 10 мм с перегородками, описанные, например, в европейской заявке на патент ЕР-А 0110238, получены из следующих содержащих поликарбонат композиций. Для изготовления сердцевинного слоя использовали Makrolon® 1143 (разветвленный поликарбонат на основе бисфенола А производства фирмы Bayer AG, Леверкузен, Германия, обладающий индексом расплава 3,0 г/10 мин при температуре 300°С под нагрузкой 1,2 кг). Этот полимер подвергали соэкструзии с приведенными в нижеследующей таблице композициями на основе Makrolon® 3208 (линейный поликарбонат на основе бисфенола А производства фирмы Bayer AG, Леверкузен, Германия, обладающий индексом расплава 4,5 г/10 мин при температуре 300°С под нагрузкой 1,2 кг). Толщина создаваемого путем соэкструзии слоя составляла около 50 мкм.
Ниже перечислено оборудование, используемое для получения композиций и последующего изготовления многослойных ребристых листов. Технологическое оборудование, предназначенное для изготовления композиций, включает следующие устройства: – дозатор исходных компонентов, – двухчервячный смеситель ZSK 53 (фирма Werner & Pfleiderer) с однонаправленным вращением червяков, обладающих диаметром 53 мм, – перфорированная фильера для формирования жгутов расплава, – водяная баня для охлаждения и затвердевания жгутов, – гранулятор. Технологическое оборудование, предназначенное для изготовления многослойных ребристых листов, включает следующие устройства: – основной экструдер с червяком длиной 33 D, диаметром 70 мм и вакуумным отсосом летучих продуктов, – соэкструзионное переходное устройство, – соэкструдер для нанесения защитного покрытия с червяком длиной 25 D, диаметром 30 мм, – специальная плоскощелевая головка шириной 350 мм, – калибрующее устройство, – роликовый транспортер, – устройство для поперечной резки полотна (пила), – приемный стол. Предназначенный для изготовления сердцевинного слоя гранулированный поликарбонат помещали в загрузочную воронку основного экструдера, а материал, предназначенный для нанесения УФ-защитного покрытия, в загрузочную воронку соэкструдера. В зоне пластификации соответствующих экструдеров (в зазоре между цилиндром и червяком) происходило плавление материала и перемещение расплава. Расплавы, выходящие из экструдеров, поступали в переходное устройство, затем в плоскощелевую головку и после охлаждения в калибрующем устройстве получали комбинированный материал. Остальные устройства предназначены для транспортировки, поперечной резки экструдированного полотна и укладки готовых листов. Соэкструзия со сравнительной композицией Е: – поверхностные дефекты на большой площади, оказывающие отрицательное воздействие на качество листов спустя 75 минут;
Соэкструзия с композицией А: – поверхностные дефекты на большой площади, оказывающие отрицательное воздействие на качество листов спустя 230 минут;
Соэкструзия с композицией В: – поверхностные дефекты на большой площади, оказывающие отрицательное воздействие на качество листов спустя 190 минут;
Соэкструзия с композицией С: – поверхностные дефекты на большой площади, оказывающие отрицательное воздействие на качество листов спустя 220 минут;
Соэкструзия с композицией D: – поверхностные дефекты на большой площади, оказывающие отрицательное воздействие на качество листов спустя 120 минут;
Соэкструзия со сравнительной композицией F: – поверхностные дефекты на большой площади, оказывающие отрицательное воздействие на качество листов спустя 260 минут;
Соэкструзия с композицией G: – поверхностные дефекты на большой площади, оказывающие отрицательное воздействие на качество листов, не появляются в течение периода эксперимента, составляющего 5 часов;
Формула изобретения
1. Пластина, содержащая, по меньшей мере, два слоя, причем один или оба наружных слоя пластины содержат композицию, содержащую поликарбонат, от 0,1 до 15 мас.% одного или нескольких разных соединений формулы (I) где R1 и R2 одинаковые или разные и означают водород, галоген, алкил с 1-10 атомами углерода, циклоалкил с 5-10 атомами углерода, аралкил с 7-13 атомами углерода, арил с 6-14 атомами углерода, группы -OR5 или -(CO)-O-R5, в которых R5 означает одинаково водород или алкил с 1-4 атомами углерода, R3 и R4 одинаковые или разные и означают водород, алкил с 1-4 атомами углерода, циклоалкил с 5-6 атомами углерода, бензил или арил с 6-14 атомами углерода, m означает 1, 2 или 3, n означает 1, 2, 3 или 4, и от 0,0001 до 0,4 мас.% одного или нескольких разных соединений формулы (II)
где R и Х одинаковые или разные и означают водород, алкил или алкиларил. 2. Пластина по п.1, в которой содержание соединений формулы (I) составляет от 0,11 до 10 мас.%, а содержание соединений формулы (II) – от 0,015 до 0,35 мас.%. 3. Пластина по п.1 или 2, в которой суммарное содержание поликарбоната и соединений формул (I) и (II) составляет от 60 до 100 мас.%. 4. Пластина по одному из пп.1-3, в которой поликарбонат выбран из группы, включающей гомополикарбонат на основе бисфенола А и сополикарбонат на основе бисфенола А и 1,1-бис-(4-гидрокси-фенил)-3,3,5-триметилциклогексана. 5. Пластина по одному из пп.1-4, дополнительно содержащая от 0,01 до 0,6 мас.% полных или неполных сложных эфиров одноатомных – шестиатомных спиртов. 6. Пластина по одному из пп.1-5, дополнительно содержащая термостабилизаторы в концентрации от 10 до 6000 ч./млн. 7. Пластина по п.6, в которой термостабилизатор выбран из группы, включающей трис-(2,4-ди-трет-бутилфенил)-фосфит и трифенилфосфин. 8. Пластина по одному из пп.1-7, представляющая собой ребристую многослойную пластину, волнистую монолитную пластину, ребристое профилированное изделие, ребристое профилированное изделие с пазом и вставным шипом, соединительный элемент, стекло для теплиц, зимних садов и автобусных остановок, рекламный щит, указательную табличку, защитное и автомобильное стекло, окно и перекрытие.
|
||||||||||||||||||||||||||||||||||||||||||||







,
оценка: «плохо».
