|
|
(21), (22) Заявка: 2003127736/04, 13.03.2002
(24) Дата начала отсчета срока действия патента:
13.03.2002
(30) Конвенционный приоритет:
15.03.2001 SE 0100903-4
(43) Дата публикации заявки: 27.03.2005
(46) Опубликовано: 20.02.2007
(56) Список документов, цитированных в отчете о поиске:
ЕР 0640594 А1, 01.03.1995. WO 9906361 А2, 11.02.1999. WO 0040577 А1, 13.07.2000. RU 2163603, 27.12.1998.
(85) Дата перевода заявки PCT на национальную фазу:
15.10.2003
(86) Заявка PCT:
SE 02/00479 (13.03.2002)
(87) Публикация PCT:
WO 02/074752 (26.09.2002)
Адрес для переписки:
191036, Санкт-Петербург, а/я 24, НЕВИНПАТ, пат.пов. А.В.Поликарпову
|
(72) Автор(ы):
ЛЕПИСТЕ Матти (SE), МУНК АФ РОЗЕНСКЕЛЬД Магнус (SE)
(73) Патентообладатель(и):
АстраЗенека АБ (SE)
|
(54) ИНГИБИТОРЫ МЕТАЛЛОПРОТЕИНАЗ, ИХ ПРИМЕНЕНИЕ И ФАРМАЦЕВТИЧЕСКИЕ КОМПОЗИЦИИ НА ИХ ОСНОВЕ
(57) Реферат:
Описывается соединение формулы I или его фармацевтически приемлемая соль

где X выбран из NR1, S; Y1 и Y2 представляют собой О; Z представляет собой О; m равно 0 или 1; А выбран из прямой связи, (С1-6)алкила; R1 выбран из Н, алкила; R3 и R6 независимо выбраны из Н, алкила, галогеноалкила, гетероалкила, циклоалкила, арила, циклоалкил-алкила, циклоалкил-гетероалкила, гетероциклоалкил-алкила, алкиларила, гетероарила, арилалкила, арил-гетероалкила, гетероарил-алкила, гетероарил-гетероалкила или гетероциклоалкила, R4 выбран из Н, алкила; R5 представляет собой бициклическую или трициклическую группу, содержащую две или три кольцевые структуры, каждая из которых содержит от 3 до 7 кольцевых атомов, независимо выбранных из циклоалкила, арила, гетероциклоалкила или гетероарила; где каждая кольцевая структура соединена со следующей кольцевой структурой через прямую связь, через -O-, через -S-, через (С1-6)алкил, через (С1-6)гетероалкил, через (С1-6)алкинил, через карбокси(С1-6)алкил или конденсирована со следующей кольцевой структурой, где гетероалкил представляет собой замещенный гетероатомом алкил, содержащий один гетероатом, выбранный из N, О и S. Описываются также соединения формулы Ib, Ic, Id, фармацевтичекая композиция и применение этих соединений в изготовлении лекарства для использования в лечении заболевания или состояния, опосредованного одним или более чем одним ферментом, представляющим собой металлопротеиназу. Представленные соединения полезны в качестве ингибиторов металлопротеиназ, особенно в качестве ингибиторов ММР12. 6 н. и 11 з.п. ф-лы, 3 табл.
Настоящее изобретение относится к соединениям, пригодным для ингибирования металлопротеиназ и, в частности, к фармацевтически композициям, содержащим эти соединения, а также к их применению.
Соединения по данному изобретению являются ингибиторами одного или более чем одного фермента, представляющего собой металлопротеиназу. Металлопротеиназы представляют собой надсемейство протеиназ (ферментов), число которых в последние годы резко возросло. По структурным и функциональным соображениям эти ферменты разделены на семейства и подсемейства, как описано в N.М.Hooper (1994) FEBS Letters 354: 1-6. Примерами металлопротеиназ являются матриксные металлопротеиназы (ММР), такие как коллагеназы (ММР1, ММР8, ММР13), желатиназы (ММР2, ММР9), стромелизины (ММРЗ, ММР10, ММР11), матрилизин (ММР7), металлоэластаза (ММР12), энамелизин (ММР19), МТ-ММР (ММР14, ММР15, ММР16, ММР17); репролизин или адамализин, или семейство MDC, которое включает в себя секретазы и шеддазы, такие как TNF-конвертирующие ферменты (ADAM10 и ТАСЕ); семейство астацинов, которое включает в себя такие ферменты, как протеиназа процессинга проколлагена (РСР), а также другие металлопротеиназы, такие как аггреканаза, семейство эндотелин-конвертирующих ферментов и семейство ангиотензин-конвертирующих ферментов.
Считается, что металлопротеиназы имеют важное значение при многих физиологических болезненных процессах, в которые вовлечено ремоделирование тканей, такое как развитие эмбриона, костеобразование и маточное ремоделирование во время менструации. В основе этого лежит способность металлопротеиназ расщеплять целый ряд матриксных субстратов, таких как коллаген, протеогликан и фибронектин. Считается также, что металлопротеиназы играют важную роль в процессинге, или секреции, биологически значимых клеточных медиаторов, таких как фактор некроза опухоли (TNF), и в посттрансляционном протеолитическом процессинге, или шеддинге, биологически значимых мембранных белков, таких как lgE рецептор CD23 низкой аффинности (более полный перечень смотри в N. М. Hooper et al., (1997) Biochem. J. 321: 265-279).
Металлопротеиназы ассоциированы со многими заболеваниями или состояниями. Ингибирование активности одной или более чем одной металлопротеиназы может принести большую пользу при этих заболеваниях или состояниях, например при различных воспалительных и аллергических заболеваниях, таких как воспаление сустава (особенно ревматоидный артрит, остеоартрит и подагра), воспаление желудочно-кишечного тракта (особенно воспалительное кишечное заболевание, неспецифический язвенный колит и гастрит), воспаление кожи (особенно псориаз, экзема, дерматит); при метастазировании опухоли или инвазии; при заболевании, ассоциированном с неконтролируемым разрушением внеклеточного матрикса, таком как остеоартрит; при заболевании, связанном с резорбцией кости (таком как остеопороз и болезнь Педжета); при заболеваниях, ассоциированных с аберрантным ангиогенезом; при усиленном ремоделировании коллагена, ассоциированным с диабетом, заболеванием периодонта (таким как гингивит), изъязвлением роговицы, изъязвлением кожи, послеоперационными состояниями (такими как кишечный анастомоз) и заживлением кожных ран; при заболеваниях, связанных с демиелинизацией центральной и периферической нервных систем (таких как рассеянный склероз); при болезни Альцгеймера; при ремоделировании внеклеточного матрикса, которое наблюдается при сердечно-сосудистых заболеваниях, таких как рестеноз и атеросклероз; при астме; при рините и при хронических обструктивных болезнях легких (ХОБЛ).
ММР12, известная также как макрофагальная эластаза или металлоэластаза, первоначально была клонирована в мыши исследователями Shapiro et al. [1992, Journal of Biological Chemistry 267: 4664] и в человеке той же группой исследователей в 1995 году. ММР12 преимущественно экспрессируется в активированных макрофагах, и было показано, что она секретируется из альвеолярных макрофагов курящих людей [Shapiro et al., 1993, Journal of Biological Chemistry 268: 23824], а также в пенистых клетках при атеросклеротических повреждениях [Matsumoto et al., 1998, Am J Pathol 153: 109]. Мышиная модель ХОБЛ основана на провокации мышей сигаретным дымом в течение шести месяцев, две сигареты в сутки шесть суток в неделю. После такой обработки у мышей дикого типа развивалась легочная эмфизема. Когда в данной модели тестировали мышей, которым вводили ударную дозу ММР12, у них не развивалась значительная эмфизема, что четко указывает на то, что ММР12 является ключевым ферментом в патогенезе ХОБЛ. Роль ММР, таких как ММР12, при ХОБЛ (эмфиземе и бронхите) обсуждалась в работе Anderson and Shinagawa, 1999, Current Opinion in Anti-inflammatory and Immunomodulatory Investigational Drugs 1(1): 29-38. Недавно было обнаружено, что курение усиливает инфильтрацию макрофагов и экспрессию ММР12 макрофагального происхождения в бляшках Кангавари сонной артерии человека [Matetzky S., Fishbein MC et al., Circulation 102(18). 36-39 Suppl. S, Oct 31,2000].
MMP13, или коллагеназа 3, первоначально была клонирована из библиотеки кДНК из опухоли молочной железы [J. M. P. Freije et al. (1994) Journal of Biological Chemistry 269 (24): 16766-16773]. ПЦР-РНК анализ РНК из различных тканей показал, что экспрессия MMP13 ограничивается карциномами молочной железы, поскольку она не была обнаружена в фиброаденомах молочной железы, в нормальной или покоящейся молочной железе, в плаценте, печени, яичнике, матке, простате или околоушной железе, или в клеточных линиях рака молочной железы (T47-D, MCF-7 и ZR75-1). После этого наблюдения MMP13 была обнаружена в трансформированных эпидермальных кератиноцитах [N. Johansson et al. (1997) Cell Growth Differ. 8(2): 243-250], плоскоклеточных карциномах [N. Johansson et al. (1997) Am. J. Pathol. 151(2): 499-508] и эпидермальных опухолях [К. Airola et al. (1997) J. Invest. Dermatol. 109(2): 225-231]. Эти результаты говорят о том, что MMP13 секретируется трансформированными эпителиальными клетками и может быть вовлечена в разрушение внеклеточного матрикса и во взаимодействие клетка-матрикс, ассоциированное с метастазированием, в частности, как это было обнаружено при инвазивных повреждениях раковой опухоли молочной железы и при злокачественном эпителиальном росте при онкогенезе кожи.
Из недавно опубликованных данных вытекает, что ММР13 играет роль в обновлении других соединительных тканей. Например, была выдвинута гипотеза, согласующаяся с субстратной специфичностью ММР13 и предпочтительным разрушением коллагена типа II [Р. G. Mitchell et al. (1996) J. Clin. Invest. 97(3): 761-768; V. Knauper et at., (1996) The Biochemical Journal 271: 1544-1550], о том, что ММР13 выполняет определенную роль в процессе первичного окостенения и скелетного ремоделирования [М. Stahle-Backdahl et al. (1997) Lab. Invest. 76(5): 717-728; N. Johansson et al., (1997) Dev. Dyn. 208(3): 387-397], при деструктивных заболеваниях суставов, таких как ревматоидный артрит и остеоартрит [D. Wernicke et al. (1996) J. Rheumatol. 23: 590-595; P. G. Mitchell et al., (1996) J. Clin. Invest. 97(3): 761-768; О. Lindy et al., (1997) Arthritis Rheum 40(8): 1391-1399], и при асептическом ослаблении заменителей тазобедренного сустава [S. Imai et al. (1998) J. Bone Joint Surg. Br. 80(4): 701-710]. MMP13 также вовлечена в хронический периодонтит взрослых, так как она локализуется в эпителии хронически воспаленной слизистой оболочки ткани десен человека [V. J. Ditto et al. (1998) Am. J. Pathol. 152(6): 1489-1499], и в ремоделирование коллагенового матрикса в застарелых ранах [М. Vaalamo et al. (1997) J. Invest. Dermatol. 109(1): 96-101].
ММР9 (желатиназа В; коллагеназа типа IV 92 кДа; желатиназа 92 кДа) представляет собой секретируемый белок, который впервые был очищен, затем клонирован и секвенирован в 1989 году [S. М. Wilhelm et al. (1989) J. Biol. Chem. 264(29): 17213-17221; опечатки опубликованы в J. Bioi. Chem. (1990) 265(36): 22570]. Недавно опубликованный обзор по ММР9 [Т.Н. Vu & Z. Werb (1998) (In: Matrix Metalloproteases, 1998. Edited by W. C. Parks & R. P. Mecham. pp 115-148. Academic Press. ISBN 0-12-545090-7)] является отличным источником подробной информации и ссылок по этой протеазе. Из этого обзора Т.Н. Vu & Z. Werb (1998) вытекает следующее.
Экспрессия ММР9 в норме ограничена несколькими типами клеток, в том числе трофобластами, остеокластами, нейтрофилами и макрофагами. Однако ее экспрессия может быть индуцирована в этих клетках и в клетках других типов несколькими медиаторами, включая воздействие на эти клетки факторов роста или цитокинов. Они представляют собой те самые медиаторы, которые, как правило, вовлечены в инициирование воспалительной реакции. Как и другие секретируемые ММР, ММР9 высвобождается в виде неактивного профермента (Pro-), который впоследствии расщепляется с образованием ферментативно-активного фермента. Протеазы, необходимые для этой активации in vivo, не известны. Баланс активной ММР9 в сравнении с неактивным ферментом дополнительно регулируется in vivo взаимодействием с природным белком Т1МР-1 (тканевый ингибитор металлопротеаз-1). Т1МР-1 связывается с С-концевым участком ММР9, что приводит к ингибированию каталитического домена ММР9. Сочетание баланса индуцированной экспрессии РrоММР9, расщепления Pro- до активной ММР9 и присутствия TIMP-1 определяет количество каталитически активной ММР9, присутствующей в сайте локализации. Протеолитически активная ММР9 атакует субстраты, которые включают желатин, эластин и природные коллагены типа IV и типа V; она не обладает активностью против нативного коллагена типа I, протеогликанов или ламининов.
Существует все возрастающая масса сведений о роли ММР9 в различных физиологических и патологических процессах. Физиологические роли включают инвазию эмбриональных трофобластов через эпителий матки на ранних стадиях эмбриональной имплантации, определенное участие в росте и развитии костей и миграцию воспалительных клеток из сосудистой сети в ткани.
Высвобождение ММР9, измеренное с применением иммуноферментного анализа, было значительно более высоким в жидкостях и в AM супернатантах от не подвергавшихся лечению астматиков по сравнению с другими популяциями [Am. J. Resp. Cell & Mol. Biol., Nov 1997, 17(5): 583-591]. Повышенную экспрессию ММР9 наблюдали также при некоторых других патологических состояниях, и эти наблюдения свидетельствуют о том, что ММР9 вовлечена в такие болезненные процессы, как ХОБЛ, артрит, метастазирование опухолей, болезнь Альцгеймера, рассеянный склероз и перфорация бляшек при атеросклерозе, приводящая к острым коронарным состояниям, таким как инфаркт миокарда.
ММР8 (коллагеназа-2, нейтрофильная коллагеназа) представляет собой фермент 53 кД семейства матриксных металлопротеаз, который преимущественно экспрессируется в нейтрофилах. Последние исследования указывают на то, что ММР8 экспрессируется также в других клетках, таких как остеоартритные хондроциты [Shiopov et al., 1997, Arthritis Rheum, 40: 2065]. ММР, продуцируемые нейтрофилами, могут вызывать ремоделирование тканей. Следовательно, блокирование ММР8 может оказывать положительный эффект при фиброзных заболеваниях, например, легкого и при дегенеративных заболеваниях, подобных эмфиземе легких. Обнаружена также положительная регуляция ММР8 при остеоартрите, указывающая на то, что блокирование ММР8 также может быть полезным при этом заболевании.
ММР3 (стромелизин-1) представляет собой фермент 53 кД семейства матриксных металлопротеаз. Активность ММР3 была продемонстрирована в фибробластах, выделенных из воспаленной десны [Uitto V. J. et at., 1981, J. Periodontal Res., 16: 417-424], и было показано, что уровни фермента коррелируют с тяжестью заболевания десны [Overall С. М. et al., 1987, J. Periodontal Res., 22: 81-88]. ММР3 продуцируется также базальными кератиноцитами при различных хронических язвах [Saarialho-Kere U, К. et al., 1994, J. Clin. Invest. 94: 79-88]. мРНК и белок ММР3 были обнаружены в базальных кератиноцитах рядом с краем раны, но на отдалении от него, где вероятно имеются сайты пролиферирующего эпидермиса. Таким образом, ММР3 может препятствовать заживлению эпидермиса. Несколько исследователей продемонстрировали стойкое повышение ММР3 в синовиальных жидкостях пациентов с ревматоидным артритом и остеоартритом по сравнению с контролями [Walakovits L.А. et al., 1992, Arthritis Rheum., 35: 35-42, Zafarullah M. et al., 1993, J. Rheumatol. 20: 693-697]. Эти исследования дают основание полагать, что ингибитор ММР3 будет лечить заболевания, в которые вовлечено разрушение внеклеточного матрикса, приводящее к воспалению вследствие инфильтрации лимфоцитов или к потере структурной целостности, необходимой для функционирования органа.
Известно множество ингибиторов металлопротеиназ (смотри, например, обзор по ингибиторам ММР Beckett R. P. and Whittaker M., 1998, Exp. Opin. Ther. Patents, 8(3): 259-282). Разные классы соединений могут иметь разные степени эффективности и избирательности в отношении ингибирования различных металлопротеиназ.
Whittaker M. et al. [1999, Chemical Reviews 99(9): 2735-2776] рассматривают целый ряд известных соединений – ингибиторов ММР. Они утверждают, что эффективному ингибитору ММР необходима связывающая цинк группа (ZBG) (функциональная группа, способная хелатировать ион цинка(II) в активном сайте), по меньшей мере одна функциональная группа, которая обеспечивает взаимодействие водородной связи с основной цепью фермента, и одна или более чем одна боковая цепь, которая подвергается эффективным Ван-дер-Ваальсовым взаимодействиям с подсайтами фермента. В известных ингибиторах ММР связывающие цинк группы включают карбоновокислотные группы, гидроксамовокислотные группы, сульфгидрильные или меркаптогруппы и т.д. Например, Whittaker M. et al. обсуждают следующие ингибиторы ММР.

Приведенное выше соединение вошло в стадию клинической разработки. Оно имеет меркаптоацильную связывающую цинк группу, триметилгидантоинилэтильную группу в положении Р1 и лейцинил-трет-бутилглициниловую основную цепь.

Приведенное выше соединение имеет меркаптоацильную связывающую цинк группу и имидную группу в положении Р1.

Приведенное выше соединение разработано для лечения артрита. Оно имеет непептидную сукцинилгидроксаматную связывающую цинк группу и триметилгидантоинилэтильную группу в положении Р1.

Приведенное выше соединение представляет собой фталимидопроизводное, которое ингибирует коллагеназы. Оно имеет непептидную сукцинилгидроксаматную связывающую цинк группу и циклическую имидную группу в положении Р1.
Whittaker M. et al. также обсуждают другие ингибиторы ММР, имеющие Р1 циклическую имидогруппу и различные связывающие цинк группы (сукцинилгидроксаматную, карбоновокислотную, тиоловую группу, группу на основе фосфора).

Приведенные выше соединения представляются хорошими ингибиторами ММР8 и ММР9 (РСТ заявки WO 9858925, WO 9858915). Они имеют пиримидин-2,3,4-трионовую связывающую цинк группу.
Указанные ниже соединения не известны как ингибиторы ММР:
в патенте Японии №5097814 (1993) описан способ получения соединений, полезных в качестве промежуточных соединений для производства антибиотиков, в том числе соединение, имеющее формулу

Morton et al. [1993, J Agric Food Chem 41(1): 148-152] описывают получение соединений с фунгицидной активностью, в том числе соединение, имеющее формулу

Dalgatov, D. et al [1967, Khim. Geterotsikl. Soedin. 5: 908-909] описывают синтез указанного ниже соединения, не предлагая применения этого соединения:

Crooks, P. et al. [1989, J. Heterocyclic Chem. 26(4): 1113-17] описывают синтез указанных ниже соединений, которые были протестированы на противосудорожную активность у мышей:

Gramain, J.C. et al. [1990, Recl. Trav. Chim. Pays-Bas 109: 325-331] описывают синтез следующего соединения:

В патенте Японии №63079879 (1988) описан способ синтеза промежуточных соединений на пути к важным аминокислотам. В качестве исходных веществ использовали следующие соединения:

Wolfe, J. et al [1971, Synthesis 6: 310-311] описывают синтез следующего соединения, не предлагая применения этого соединения:

Moharram et al. [1983, Egypt J. Chem. 26: 301-11] описывают следующие соединения:

В патенте Венгрии №26403 (1983) описан синтез и применение в качестве пищевой добавки следующего соединения:

Теперь авторы изобретения открыли новый класс соединений, которые являются ингибиторами металлопротеиназ и представляют особый интерес в плане ингибирования ММР, таких как ММР12. Эти соединения являются ингибиторами металлопротеиназ, имеющими связывающую металл группу, которой нет в известных ингибиторах металлопротеиназ. В частности, авторы изобретения открыли, что такие соединения являются сильнодействующими ингибиторами ММР12 и обладают необходимыми профилями активности. Соединения по данному изобретению обладают благоприятной эффективностью, избирательностью и/или фармакокинетическими свойствами.
Соединения по данному изобретению, представляющие собой ингибиторы металлопротеиназ, содержат связывающую металл группу и одну или более чем одну функциональную группу или боковую цепь, отличаются тем, что связывающая металл группа имеет формулу (k)

где X выбран из NR1, О, S;
Y1 и Y2 независимо выбраны из О, S;
R1 выбран из Н, алкила, галогеноалкила;
любые алкильные группы, упомянутые выше, могут быть прямоцепочечными или разветвленными; любая алкильная группа, упомянутая выше, предпочтительно представляет собой (С1-7)алкил и наиболее предпочтительно (С1-6) алкил.
Соединение, представляющее собой ингибитор металлопротеиназ, является соединением, которое ингибирует активность фермента, представляющего собой металлопротеиназу (например ММР). В качестве неограничивающего примера соединение-ингибитор может демонстрировать величины IC50 in vitro в диапазоне 0,1-10000 наномоль, предпочтительно в диапазоне 0,1-1000 наномоль.
Связывающая металл группа представляет собой функциональную группу, способную связывать ион металла в активном сайте фермента. Например, в ингибиторах ММР связывающая металл группа представляет собой связывающую цинк группу, хелатирующую ион цинка(II) в активном сайте. Связывающая металл группа формулы (k) основана на пятичленной кольцевой структуре и предпочтительно представляет собой гидантоиновую группу, наиболее предпочтительно 5-замещенный 1-Н,3-Н-имидазолидин-2,4-дион.
Таким образом, в первом аспекте изобретения предложены соединения формулы I

где Х выбран из NR1, О, S;
Y1 и Y2 независимо выбраны из О, S;
Z выбран из NR2, О, S;
m равно 0 или 1;
А выбран из прямой связи, (С1-6)алкила, (С1-6)алкенила, (С1-6)галогеноалкила или (С1-6)гетероалкила, содержащего гетерогруппу, выбранную из N, О, S, SO, SO2, или содержащего две гетерогруппы, выбранные из N, О, S, SO, SO2 и разделенные по меньшей мере двумя атомами углерода;
R1 выбран из Н, алкила, галогеноалкила;
R2 выбран из Н, алкила, галогеноалкила;
R3 и R6 независимо выбраны из Н, галогена (предпочтительно F), алкила, галогеноалкила, алкоксиалкила, гетероалкила, циклоалкила, арила, алкил-циклоалкила, алкил-гетероциклоалкила, гетероалкил-циклоалкила, гетероалкил-гетероциклоалкила, циклоалкил-алкила, циклоалкил-гетероалкила, гетероциклоалкил-алкила, гетероциклоалкил-гетероалкила, алкиларила, гетероалкил-арила, гетероарила, алкилгетероарила, гетероалкил-гетероарила, арилалкила, арил-гетероалкила, гетероарил-алкила, гетероарил-гетероалкила, бисарила, арил-гетероарила, гетероарил-арила, бисгетероарила, циклоалкила или гетероциклоалкила, содержащих от 3 до 7 кольцевых атомов, где алкильный, гетероалкильный, арильный, гетероарильный, циклоалкильный или гетероциклоалкильный радикалы могут быть возможно замещены одной или более чем одной группой, независимо выбранной из гидрокси, алкила, гетероалкила, циклоалкила, гетероциклоалкила, арила, гетероарила, галогено, галогеноалкила, гидроксиалкила, алкокси, алкоксиалкила, галогеноалкокси, галогеноалкоксиалкила, карбокси, карбоксиалкила, алкилкарбокси, амино, N-алкиламино, N,N-диалкиламино, алкиламино, алкил(N-алкил)амино, алкил(N,N-диалкил)амино, амидо, N-алкиламидо, N,N-диалкиламидо, алкиламидо, алкил(N-алкил)амидо, алкил(N,N-диалкил)амидо, алкилкарбамата, алкилкарбамида, тиола, сульфона, сульфонамино, алкилсульфонамино, арилсульфонамино, сульфонамидо, галогеноалкилсульфона, алкилтио, арилтио, алкилсульфона, арилсульфона, аминосульфона, N-алкиламиносульфона, N,N-диалкиламиносульфона, алкиламиносульфона, ариламиносульфона, циано, алкилциано, гуанидино, N-цианогуанидино, тиогуанидино, амидино, N-аминосульфонамидино, нитро, алкилнитро, 2-нитроэтен-1,1-диамина;
R4 выбран из Н, алкила, гидроксиалкила, галогеноалкила, алкоксиалкила, галогеноалкокси, аминоалкила, амидоалкила, тиоалкила;
R5 представляет собой бициклическую или трициклическую группу, содержащую две или три кольцевые структуры, каждая из которых содержит от 3 до 7 кольцевых атомов, независимо выбранных из циклоалкила, арила, гетероциклоалкила или гетероарила, причем каждая кольцевая структура независимо возможно замещена одним или более чем одним заместителем, независимо выбранным из галогена, тиоло, тиоалкила, гидрокси, алкилкарбонила, галогеноалкокси, амино, N-алкиламино, N,N-диалкиламино, циано, нитро, алкила, галогеноалкила, алкокси, алкилсульфона, алкилсульфонамидо, галогеноалкилсульфона, алкиламидо, алкилкарбамата, алкилкарбамида, карбонила, карбокси, где любой алкильный радикал в пределах любого заместителя сам возможно может быть замещен одной или более чем одной группой, независимо выбранной из галогена, гидрокси, амино, N-алкиламино, N,N-диалкиламино, алкилсульфонамино, алкилкарбоксиамино, циано, нитро, тиола, алкилтиола, алкилсульфоно, алкиламиносульфоно, алкилкарбоксилата, амидо, N-алкиламидо, N,N-диалкиламидо, алкилкарбамата, алкилкарбамида, алкокси, галогеноалкокси, карбонила, карбокси;
R5 представляет собой бициклическую или трициклическую группу, где каждая кольцевая структура соединена со следующей кольцевой структурой через прямую связь, через -О-, через -S-, через -NH-, через (С1-6)алкил, через (С1-6)галогеноалкил, через (С1-6)гетероалкил, через (С1-6)алкенил, через (С1-6)алкинил, через сульфон, через карбокси(С1-6)алкил или конденсирована со следующей кольцевой структурой;
возможно, R2 и R4 могут соединяться с образованием кольца, содержащего вплоть до 7 кольцевых атомов, или R3 и R6 могут соединяться с образованием кольца, содержащего вплоть до 7 кольцевых атомов;
любая гетероалкильная группа, упомянутая выше или ниже, представляет собой замещенный гетероатомом алкил, содержащий одну или более чем одну гетерогруппу, независимо выбранную из N, О, S, SO, SO2 (причем гетерогруппа представляет собой гетероатом или группу атомов);
любая гетероциклоалкильная или гетероарильная группа, упомянутая выше или ниже, содержит одну или более чем одну гетерогруппу, независимо выбранную из N, О, S, SO, SO2;
любая алкильная, алкенильная или алкинильная группа, упомянутая выше или ниже, может быть прямоцепочечной или разветвленной; если не указано иное, любая алкильная группа, упомянутая выше, предпочтительно представляет собой (С1-7)алкил и наиболее предпочтительно (С1-6)алкил;
при условии, что
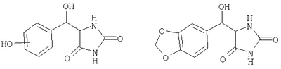
когда Х представляет собой NR1, R1 представляет собой Н, Y1 представляет собой О, Y2 представляет собой О, Z представляет собой О, m равно 0, А представляет собой прямую связь, R3 представляет собой Н, R4 представляет собой Н и R6 представляет собой Н, то тогда R5 не представляет собой н-метилбензимидазол или 5-(бензо[1,3]диоксол-5-ил);
когда Х представляет собой S, по меньшей мере один из Y1 и Y2 представляет собой О, m равно 0, А представляет собой прямую связь, R3 представляет собой Н или метил, R6 представляет собой Н или метил, то тогда R5 не представляет собой хиноксалин-1,4-диоксид.
Предпочтительными соединениями формулы I являются те, к которым применимо одно или более чем одно из указанного ниже:
Х представляет собой NR1;
по меньшей мере один из Y1 и Y2 представляет собой О, особенно предпочтительно и Y1, и Y2 представляют собой О;
Z представляет собой О;
m равно 0;
А представляет собой прямую связь;
R1 представляет собой Н, (С1-3)алкил или (С1-3)галогеноалкил, особенно предпочтительно R1 представляет собой Н или (С1-3)алкил,
наиболее предпочтительно R1 представляет собой Н;
R3 представляет собой Н, алкил или галогеноалкил, особенно предпочтительно R3 представляет собой H, (С1-6)алкил или (С1-6)галогеноалкил;
R4 представляет собой Н, алкил или галогеноалкил, особенно предпочтительно R4 представляет собой Н, (С1-6)алкил или (С1-6)галогеноалкил, наиболее предпочтительно R4 представляет собой Н;
R5 представляет собой бициклическую группу, содержащую две возможно замещенные кольцевые структуры, каждая из которых содержит 5 или 6 кольцевых атомов и независимо выбрана из циклоалкила, арила, гетероциклоалкила или гетероарила, особенно предпочтительно R5 содержит два арильных или гетероарильных 5- или 6-членных кольца, более предпочтительно R5 представляет собой возможно замещенный бифенил, такой как пара-бифенил или пара-феноксифенил;
R6 представляет собой Н, алкил, гидроксиалкил, аминоалкил, циклоалкил-алкил, алкил-циклоалкил, арилалкил, алкиларил, гетероалкил, гетероциклоалкил-алкил, алкил-гетероциклоалкил, гетероарил-алкил или гетероалкил-арил, особенно предпочтительно R6 представляет собой алкил, аминоалкил или гетероарил-алкил.
Конкретные соединения по изобретению включают соединения формулы I, где
по меньшей мере один из Y1 и Y2 представляет собой О (предпочтительно и Y1, и Y2 представляют собой О); Х представляет собой NH и m равно 0; или
по меньшей мере один из Y1 и Y2 представляет собой О, Х представляет собой NH; Z представляет собой О; А представляет собой прямую связь, a R3 и R4 независимо выбраны из Н, алкила или галогеноалкила; или
и Y1, и Y2 представляют собой О; Х представляет собой NH; m равно 0;
Z представляет собой О, а R4 представляет собой Н.
В следующем аспекте изобретения предложены соединения формулы Ib

где X выбран из NR1, О, S;
Y1 и Y2 независимо выбраны из О, S;
Z выбран из NR2, О, S;
m равно 0 или 1;
А выбран из прямой связи, (С1-6)алкила, (С1-6)галогеноалкила или (С1-6)гетероалкила, содержащего гетероатом, выбранный из О, S;
В выбран из прямой связи, -О-, -S-, -NH-, амида, карбамата, карбонила, (С1-6)алкила, (С1-6)галогеноалкила, (С2-6)алкенила, (С2-6)алкинила или (С1-6)гетероалкила, содержащего гетероатом, выбранный из О, S;
R1 выбран из Н, (С1-3)алкила или (С1-3)галогеноалкила;
R2 выбран из Н, (С1-3)алкила или (С1-3)галогеноалкила;
R3 выбран из Н, (С1-3)алкила или (С1-3)галогеноалкила;
R4 выбран из Н, (С1-3)алкила или (С1-3)галогеноалкила;
R6 выбран из Н, алкила, гетероалкила, (С3-7)циклоалкила, (С3-7)гетероциклоалкила, (С3-7)арила, (С3-7)гетероарила, алкил-(С3-7)циклоалкила, алкил-(С3-7)гетероциклоалкила, алкил-(С3-7)арила, алкил-(С3-7)гетероарила, гетероалкил-(С3-7)циклоалкила, гетероалкил-(С3-7)гетероциклоалкила, гетероалкил-(С3-7)арила, гетероалкил-(С3-7)гетероарила, (С3-7)циклоалкил-алкила, (С3-7)гетероциклоалкил-алкила, (С3-7)арил-алкила, (С3-7)гетероарил-алкила, (С3-7)циклоалкил-гетероалкила, (С3-7)гетероциклоалкил-гетероалкила, (С3-7)арил-гетероалкила, (С3-7)гетероарил-гетероалкила;
алкильный, гетероалкильный, арильный, гетероарильный, циклоалкильный или гетероциклоалкильный радикалы в составе R6 могут быть возможно замещены одной или более чем одной группой, независимо выбранной из гидрокси, алкила, галогено, галогеноалкила, гидроксиалкила, алкокси, алкоксиалкила, галогеноалкокси, галогеноалкоксиалкила, карбокси, карбоксиалкила, алкилкарбокси, амино, N-алкиламино, N,N-диалкиламино, алкиламино, алкил(N-алкил)амино, алкил(N,N-диалкил)амино, амидо, N-алкиламидо, N,N-диалкиламидо, алкиламидо, алкил(N-алкил)амидо, алкил(N,N-диалкил)амидо, алкилкарбамата, алкилкарбамида, тиола, сульфона, сульфонамино, алкилсульфонамино, арилсульфонамино, сульфонамидо, галогеноалкилсульфона, алкилтио, арилтио, алкилсульфона, арилсульфона, аминосульфона, N-алкиламиносульфона, N,N-диалкиламиносульфона, алкиламиносульфона, ариламиносульфона, циано, алкилциано, гуанидино, N-цианогуанидино, тиогуанидино, амидино, N-аминосульфонамидино, нитро, алкилнитро, 2-нитро-этен-1,1-диамина;
либо G1 представляет собой моноциклическую группу, a G2 выбран из моноциклической группы и бициклической группы, либо G1 представляет собой бициклическую группу, а G2 представляет собой моноциклическую группу, где такая моноциклическая группа содержит одну кольцевую структуру, а такая бициклическая группа содержит две кольцевые структуры, либо конденсированные друг с другом, либо соединенные вместе через В, как определено выше, причем каждая кольцевая структура содержит вплоть до 7 кольцевых атомов и независимо выбрана из циклоалкила, арила, гетероциклоалкила или гетероарила, где каждая кольцевая структура возможно независимо возможно замещена одним или более чем одним заместителем, независимо выбранным из галогена, тиоло, тиоалкила, гидрокси, алкилкарбонила, галогеноалкокси, амино, N-алкиламино, N,N-диалкиламино, циано, нитро, алкила, галогеноалкилалкокси, алкилсульфона, алкилсульфонамидо, галогеноалкилсульфона, алкиламидо, алкилкарбамата, алкилкарбамида, где любой алкильный радикал в пределах любого заместителя сам может быть возможно замещен одной или более чем одной группой, независимо выбранной из галогена, гидрокси, амино, N-алкиламино, N,N-диалкиламино, алкилсульфонамино, циано, нитро, тиола, алкилтиола, алкилсульфоно, алкиламиносульфоно, алкилкарбоксилата, амидо, N-алкиламидо, N,N-диалкиламидо, алкилкарбамата, алкилкарбамида, алкокси, галогеноалкокси;
возможно R3 и R6 могут соединяться с образованием кольца, содержащего вплоть до 7 кольцевых атомов.
Предпочтительными соединениями формулы Ib являются те, к которым применимо одно или более чем одно из указанного ниже:
Х представляет собой NR1;
по меньшей мере один из Y1 и Y2 представляет собой О, особенно предпочтительно и Y1, и Y2 представляют собой О;
Z представляет собой О;
m равно 0;
А представляет собой прямую связь, (С1-6)алкил или (С1-6)гетероалкил, содержащий гетероатом, выбранный из О, S;
В представляет собой прямую связь, ацетилен, CON (амид), (С1-С4)алкилокси, -О-, -S- или -NH-;
R1 представляет собой Н или метил;
R3 представляет собой Н, (С1-3)алкил или (С1-3)галогеноалкил;
R4 представляет собой Н, (С1-3)алкил или (С1-3)галогеноалкил.
Особенно предпочтительными соединениями формулы Ib являются те, в которых
Х представляет собой NR1, R1 представляет собой Н;
Y1 и Y2 каждый представляет собой О;
Z представляет собой О;
m равно 0;
А представляет собой прямую связь;
В выбран из прямой связи, ацетилена, -О-, -NH-, -S- или СН2O;
R3 представляет собой Н и
R4 представляет собой Н.
Далее предложены соединения формулы Ic

где В выбран из прямой связи, ацетилена, -О-, -NH-, -S- или СН2O;
каждый из G1, G2 и R6 является таким, как определено для формулы Ib.
Предпочтительными соединениями формулы Ic являются те, к которым применимо одно или более чем одно из указанного ниже:
В выбран из прямой связи, -О-, -S- или СН2О, наиболее предпочтительно В выбран из прямой связи, -О-, CH2O;
G2 представляет собой моноциклическую группу, содержащую арильное кольцо, наиболее предпочтительно G2 представляет собой фенил;
G1 представляет собой моноциклическую или бициклическую группу, содержащую по меньшей мере одно арильное кольцо, наиболее предпочтительно G1 представляет собой моноциклическую или бициклическую группу, содержащую по меньшей мере одно пяти- или шестичленное арильное кольцо;
R6 выбран из Н, (С1-6)алкила, (С1-6)гетероалкила, гетероциклоалкила, гетероциклоалкил-(С1-6)алкила, гетероарила или гетероарил-(С1-6)алкила, предпочтительными гетероарилами являются пиридин, диазины (такие как пиримидин) или азолы (такие как имидазол), предпочтительными гетероциклоалкилами являются морфолино, пиперидин или пиперазин, предпочтительными гетероалкилами являются амино-(С1-6)алкилы, предпочтительными заместителями на гетероарилах являются галогены, предпочтительными заместителями на аминах в гетероалкилах и гетероциклоалкилах являются алкил, алкилсульфон, алкиламинокарбонил или алкилоксикарбонил.
Далее предложены соединения формулы Id

где В выбран из прямой связи, О или СН2О;
G1 представляет собой моноциклическую или бициклическую группу, содержащую по меньшей мере одно пяти- или шестичленное арильное кольцо;
R6 представляет собой Н, алкил, гидроксиалкил, аминоалкил, алкиловый эфир алкил-карбаминовой кислоты, алкил-алкил-мочевину, алкилсульфонил-алкил, N-алкил-алкилсульфонамид, гетероарил-алкил;
L выбран из Н, алкила, галогеноалкила, гидрокси, алкокси, галогеноалкокси, амино, алкиламино, амидо, алкиламидо, алкилкарбамата, алкилкарбамида, алкилсульфоно, алкилсульфонамидо, нитро, циано, галогено;
либо L представляет собой группу
T-U-V-
где V присоединен к G1 и этот V выбран из СН2, О, NCO, NCOO, NCON или NSO2;
U представляет собой (С1-5)алкил;
Т выбран из гидрокси, алкокси, циано, амино, алкиламино, алкилсульфоно, алкилсульфонамида, алкилкарбамата, алкилкарбамида, алкиламида, имидазолила, триазолила или пирролидона.
Предпочтительными соединениями формулы Id являются те, к которым применимо одно или более чем одно из указанного ниже:
G1 выбран из фенила, пиридила, нафтила или хинолина;
R6 выбран из Н, (С1-6)алкила, гидрокси-(С1-6)алкила, амино-(С1-6)алкила или гетероарил-(С1-6)алкила, наиболее предпочтительно R6 представляет собой Н, метил, пиридинилметил, N-замещенный амино-(С1-4)алкил (предпочтительными N-заместителями являются алкил, алкилсульфонил или алкиловый эфир карбаминовой кислоты);
L выбран из Н, (С1-5)алкила, (С1-5)галогеноалкила, гидрокси, алкокси, галогеноалкокси, амино, (С1-5)алкиламино, амидо, (С1-5)алкиламидо, (С1-5)алкилкарбамата, (С1-5)алкилкарбамида, (С1-5)алкилсульфоно, (С1-5)алкилсульфонамидо, нитро, циано, галогено; либо L представляет собой группу T-U-V-, где V является таким, как определено для формулы Ic, U представляет собой неразветвленный (С1-5)алкил, а Т выбран из гидрокси, алкокси, циано, амино, (С1-3)алкиламино, (С1-3)алкилсульфоно, (С1-3)алкилсульфонамида, (С1-3)алкилкарбамата, (С1-3)алкилкарбамида, (С1-3)алкиламида, имидазолила, триазолила или пирролидона;
L представляет собой мета- или пара-заместитель, когда G1 представляет собой 6-членное кольцо.
Подходящие значения для R6 в соединениях формул I, Ib, Ic или Id включают в себя следующие:

Подходящие значения для R5 в соединениях формулы I или для G1-B-G2 в соединениях формулы Ib, Ic или Id включают в себя следующие:
Должно быть понятно, что конкретные заместители и количество заместителей в соединениях по изобретению выбраны таким образом, чтобы избежать стерически нежелательных комбинаций.
Каждое проиллюстрированное примером соединение представляет собой конкретный и независимый аспект изобретения.
Если в соединениях имеются оптически активные центры, авторы изобретения раскрывают все индивидуальные оптически активные формы и их комбинации как индивидуальные конкретные воплощения изобретения, так же как и их соответствующие рацематы. Рацематы могут быть разделены на индивидуальные оптически активные формы с использованием известных методик (см. Advanced Organic Chemistry: 3rd Edition: author J March, p104-107), включая, например, образование диастереомерных производных, имеющих подходящие оптически активные вспомогательные группы, с последующим разделением, а затем отщеплением этих вспомогательных групп.
Должно быть понятно, что соединения по изобретению могут содержать один или более чем один асимметрически замещенный атом углерода. Наличие одного или более чем одного такого асимметрического центра (хиральных центров) в соединении по изобретению может привести к образованию стереоизомеров, и в каждом случае следует иметь в виду, что изобретение распространяется все такие стереоизомеры, включая энантиомеры и диастереомеры, а также их смеси, включая их рацемические смеси.
В тех случаях, когда существуют таутомеры соединений по изобретению, авторы изобретения раскрывают все индивидуальные таутомерные формы и их комбинации как индивидуальные конкретные воплощения изобретения.
Как упомянуто выше, соединения по изобретению являются ингибиторами металлопротеиназ, в частности они являются ингибиторами ММР12. Каждое из перечисленных выше показаний для соединений по изобретению представляет собой независимое и конкретное воплощение изобретения.
Некоторые соединения по изобретению имеют конкретное применение в качестве ингибиторов ММР13 и/или ММР9, и/или ММР8, и/или ММР3. Некоторые соединения по изобретению имеют конкретное применение в качестве ингибиторов аггреканазы, то есть ингибиторов разрушения аггрекана.
Соединения по изобретению проявляют благоприятный профиль селективности. Хотя авторы изобретения не желают быть связанными теоретическими соображениями, они утверждают, что соединения по изобретению демонстрируют селективное ингибирование по отношению к любому из перечисленных выше указаний по сравнению с любой ингибиторной активностью в отношении ММР1, в качестве неограничивающего примера они могут проявлять 100-1000-кратную селективность по сравнению с ингибиторной активностью в отношении ММР1.
Соединения по изобретению могут быть представлены в виде фармацевтически приемлемых солей. Эти соли включают соли присоединения кислот, такие как гидрохлорид, гидробромид, цитрат и малеат, и соли, образованные с фосфорной кислотой и серной кислотой. В другом аспекте подходящими солями являются соли оснований, такие как соль щелочного металла, например натрия или калия, соль щелочноземельного металла, например кальция или магния, или соль органического амина, например триэтиламина.
Эти соединения могут быть также представлены в виде in vivo гидролизуемых эфиров. Эти эфиры представляют собой фармацевтически приемлемые эфиры, которые гидролизуются в организме человека, продуцируя родительское соединение. Такие эфиры можно идентифицировать путем введения, например, внутривенно испытуемому животному тестируемого соединения и последующего исследования жидкостей организма этого испытуемого животного. Подходящие in vivo гидролизуемые эфиры для карбокси включают метоксиметиловый эфир, а для гидрокси включают формиловый и ацетиловый эфиры, особенно ацетиловый эфир.
Для того чтобы использовать соединение по изобретению (включая соединение формул I, Ib, Ic, Id) или его фармацевтически приемлемую соль или in vivo гидролизуемый эфир в терапевтическом лечении (включая профилактическое лечение) млекопитающих, в том числе людей, обычно его готовят в соответствии со стандартной фармацевтической практикой в виде фармацевтической композиции.
Следовательно, в другом аспекте настоящего изобретения предложена фармацевтическая композиция, которая содержит соединение по изобретению (такое как соединение формул I, Ib, Ic, Id) или его фармацевтически приемлемую соль или in vivo гидролизуемый эфир и фармацевтически приемлемый носитель.
Фармацевтические композиции по данному изобретению можно вводить стандартным способом при заболевании или состоянии, которое требуется лечить, например, путем перорального, местного, парентерального, трансбуккального, интраназального, вагинального или ректального введения, или ингаляцией. Для этих целей соединения по данному изобретению могут быть приготовлены известными в данной области техники способами в форме, например, таблеток, капсул, водных или масляных растворов, суспензий, эмульсий, кремов, мазей, гелей, назальных спреев, суппозиториев, тонкоизмельченных порошков или аэрозолей для ингаляции, а для парентерального применения (включая внутривенное, внутримышечное или инфузию) – в форме стерильных водных или масляных растворов или суспензий или стерильных эмульсий.
В дополнение к соединению по настоящему изобретению фармацевтическая композиция по данному изобретению может также содержать один или более чем один фармакологический агент, полезный в лечении одного или более чем одного заболевания или состояния, описанного здесь выше, либо ее можно совместно вводить (одновременно или последовательно) с одним или более чем одним таким фармакологическим агентом.
Фармацевтические композиции по данному изобретению обычно вводят людям таким образом, чтобы принятая суточная доза составляла, например, от 0,5 до 75 мг/кг массы тела (и предпочтительно от 0,5 до 30 мг/кг массы тела). Эту суточную дозу при необходимости можно давать в разделенных дозах, причем точное количество получаемого соединения и путь введения зависят от массы, возраста и пола пациента, которого лечат, и от конкретного заболевания или состояния, которое лечат, в соответствии с принципами, известными в данной области техники.
Типичные стандартные лекарственные формы будут содержать примерно от 1 до 500 мг соединения по данному изобретению.
Таким образом, в следующем аспекте предложено соединение формулы I (в частности соединение формул Ib, Ic, Id) или его фармацевтически приемлемая соль или in vivo гидролизуемый эфир для применения в способе терапевтического лечения человеческого или животного организма или для применения в качестве терапевтического агента. Авторы изобретения раскрывают применение в лечении заболевания или состояния, опосредованного одним или более чем одним ферментом, представляющим собой металлопротеиназу. В частности, авторы изобретения раскрывают применение в лечении заболевания или состояния, опосредованного ММР12 и/или ММР13, и/или ММР9, и/или ММР8, и/или ММРЗ и/или аггреканазой, в особенности в лечении заболевания или состояния, опосредованного ММР12 или ММР9, главным образом в лечении заболевания или состояния, опосредованного ММР12.
В следующем аспекте изобретения предложен способ лечения опосредованного металлопротеиназами заболевания или состояния, при котором теплокровному животному вводят терапевтически эффективное количество соединения формул I, Ib, Ic или Id или его фармацевтически приемлемой соли или in vivo гидролизуемого эфира.
Авторы изобретения также раскрывают применение соединения формул I, Ib, Ic, Id или его фармацевтически приемлемой соли или in vivo гидролизуемого предшественника в изготовлении лекарства для использования в лечении заболевания или состояния, опосредованного одним или более чем одним ферментом, представляющим собой металлопротеиназу.
Заболевания или состояния, опосредованные металлопротеиназами включают астму, ринит, хронические обструктивные болезни легких (ХОБЛ), артрит (такой как ревматоидный артрит и остеоартрит), атеросклероз и рестеноз, рак, инвазию и метастазирование, заболевания, в которые вовлечено разрушение тканей, ослабление заменителей тазобедренного сустава, заболевание периодонта, фиброзное заболевание, инфаркт и сердечное заболевание, фиброз печени и почки, эндометриоз, заболевания, связанные с истощением внеклеточного матрикса, сердечную недостаточность, аневризмы аорты, заболевания ЦНС, такие как болезнь Альцгеймера и рассеянный склероз (PC), гематологические расстройства.
Получение соединений по изобретению
В другом аспекте настоящего изобретения предложен способ получения соединения формул I, Ib, Ic, Id или его фармацевтически приемлемой соли или in vivo гидролизуемого эфира, как описано ниже в (б)-(з) (X, Y1, Y2, Z, m, А и R1-R6 являются такими, как определено выше для соединения формулы I).
(а) Соединение по изобретению можно превратить в соль, особенно в фармацевтически приемлемую соль, или наоборот известными способами; соль, в частности фармацевтически приемлемую соль, соединения по изобретению можно превратить в другую соль, в частности в фармацевтически приемлемую соль, известными способами.
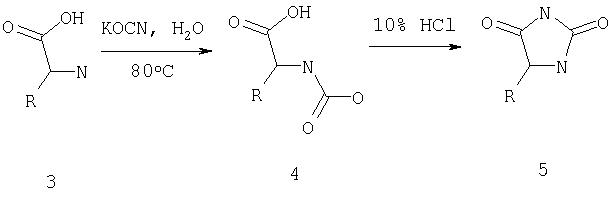
(б) Соединения по изобретению, в которых Z=O и R4=H, могут быть получены путем взаимодействия соединения формулы IIa с соединением формулы IIIa или подходящим образом защищенной формой соединения формулы IIIa (как показано на схеме 1) с последующим возможным образованием его фармацевтически приемлемой соли или in vivo гидролизуемого эфира:
Схема 1

Альдегиды или кетоны формулы IIa и соединения формулы IIIa в подходящем растворителе обрабатывают основанием, предпочтительно в интервале температур от температуры окружающей среды до температуры образования флегмы. Предпочтительные комбинации основание-растворитель включают алифатические амины, такие как триметиламин, пирролидин или пиперидин, в растворителях, таких как метанол, этанол, тетрагидрофуран, ацетонитрил или диметилформамид, если необходимо, с добавлением воды для растворения реагентов (Phillips, A. P. and Murphy, J. G., 1951, J. Org. Chem. 16); или гексаметилдисилазан лития в тетрагидрофуране (Mio, S. et a/., 1991, Tetrahedron 47: 2121-2132); или октагидрат гидроксида бария в смеси изопропанол-вода (Ajinomoto К. К., 1993, патент Японии №05097814).
Предпочтительно при получении соединений по изобретению этим способом R3, R5 или R6 не должны содержать дополнительных функциональных групп, таких как альдегидные, кетонные, галогенированные радикалы или какие-либо другие радикалы, хорошо известные специалистам в данной области техники, которые имеют потенциальные возможности вмешиваться в реакцию образования связи или конкурировать с ней или ингибировать ее.
Должно быть понятно, что многие релевантные исходные вещества имеются в продаже или доступны иным путем либо их можно синтезировать известными способами или найти в научной литературе.
Для получения соединений общей формулы IIIa (R6 является таким, как описано здесь выше) соединения формулы IIIa, в которых R6 представляет собой Н, можно подвергнуть взаимодействию с подходящим альдегидом или кетоном с последующей дегидратацией и последующим восстановлением образовавшейся двойной связи способами, которые хорошо известны специалистам в данной области техники.
(в) Соединения по изобретению, в которых Z=O, R4=H и X=N или NR1, в частности их конкретные стереоизомеры, также можно получить так, как изображено для двух из четырех возможных стереоизомеров на приведенных ниже схемах 2 и 3.

Начиная с производных пропеноата формулы IV через диолы VIa или VIb посредством либо асимметрического эпоксидирования с последующим региоселективным разрывом с помощью воды, либо асимметрического дигидроксилирования, в зависимости от хирального вспомогательного вещества при эпоксидировании или дигидроксилировании могут быть получены либо показанные стереоизомеры диолов формулы VIa или VIb, либо их энантиомеры [например, Ogino, Y. et at., 1991, Tetrahedron Lett. 32 (41): 5761-5764; Jacobsen, E. N. et al., 1994, Tetrahedron, 50 (15): 4323-4334; Song, С. Е. et al., 1997, Tetrahedron Asymmetry, 8 (6): 841-844]. Обработка органическим основанием и тионилхлоридом и последующее окисление, катализируемое тетраоксидом рутения, приводят к получению циклических сульфатов VIIa и VIIb.
Циклические сульфаты формул VIIa и VIIb превращают в гидроксиазиды (схема 3) формул VIIIa и VIIIb путем обработки азидом натрия в диметилформамиде с последующим осторожным гидролизом промежуточных гемисульфатов перед водной обработкой (Gao, Sharpless, 1988, J. Am. Chem. Soc., 110: 7538; Kim, Sharpless, 1989, Tetrahedron Lett. 30: 655). Гидроксиазиды формул VIIIa и VIIIb подвергают гидролизу и восстанавливают до -гидрокси- -аминокислот (не показано на схеме 3), предпочтительно гидролизу с использованием LiOH в ТГФ с последующим восстановлением сероводородом, магнием в метаноле или органическими фосфинами по методике Штаудингера (Stadinger). В свою очередь, в результате обработки цианатом и кислотой в водной среде -гидрокси- -аминокислоты дают соединения формулы Ia.
(г) Соединения по изобретению, в которых Z=О, a R4 не является Н, в частности их конкретные стереоизомеры, также могут быть получены так, как изображено на схемах 2 и 3 для двух из четырех возможных стереоизомеров. Эти соединения могут быть получены взаимодействием эпоксидов формулы V по схеме 2 со спиртом формулы R4-OH с образованием спиртов VIa. Последующее превращение в азиды с использованием фосфоазидата [Thompson, A. S. et al., 1993, J. Org. Chem. 58 (22): 5886-5888] приводит к получению эфирных аналогов азидоэфиров VIIIa на схеме 3, превращение которых можно продолжить до образования конечных продуктов, как это описано в способе (в). Радикал R4 в спиртах R4-OH и радикалы R3, R5 и R6 могут быть соответствующим образом защищены. Защитные группы могут быть удалены после превращения в гидантоины формулы Ia, и это будет последняя стадия.
(д) Соединения по изобретению, в которых Z представляет собой S или NR2, a Y1 и/или Y2 представляет собой О, в частности их конкретные стереоизомеры, также можно получить так, как изображено на схемах 2 и 3 для двух из четырех возможных стереоизомеров. Эти соединения могут быть синтезированы путем разрыва эпоксидов формулы V (схема 2) тиолами R4-SH или аминами R4-NH2 и последующих превращений, аналогичных превращениям, изображенным для спиртов VIIIa и VIIIb на схеме 3. При использовании аминов R4-NH2 может потребоваться защитить N промежуточных аминоспиртов, особенно когда радикал R4 представляет собой н-алкильную группу.
(е) Соединения по изобретению, в которых Х представляет собой S, a Y1 и/или Y2 представляет собой О, в частности их конкретные стереоизомеры, можно также получить так, как изображено на схемах 2 и 3 для двух из четырех возможных стереоизомеров. Эти соединения могут быть получены путем взаимодействия циклических сульфатов формулы VIIa или VIIb или -гидроксиэфиров формулы VIa через их сульфонатные эфиры с тиомочевиной и кислотой (1997, патент Японии №09025273).
Производные пропеноата формулы IV могут быть легко получены, например из альдегидов и фосфониевых или фосфонатных производных уксусной кислоты по реакции Виттига (Wittig) или Хорнера-Эммонса (Horner-Emmons) (см., например, van Heerden, Р. S. et al., 1997, J. Chem. Soc., Perkin Trans. 1(8): 1141-1146).
(ж) Соединения по изобретению, в которых X=NR1 и R1=H, могут быть получены в результате взаимодействия соответствующего замещенного альдегида или кетона формулы IId с карбонатом аммония и цианидом калия в водных спиртах при 50-100°С в герметичном сосуде в течение 4-24 часов.

Получение некоторых альдегидов или кетонов формулы IId описано в следующих источниках:
Marte, A.-M. et al., Tetrahedron Lett, 1990, 31 (18): 2599-2602;
Kren, V. et al., 1993, J. Chem. Soc., Chem. Commun., 4: 341-343;
Schmittel, M. et al., 1990, Angew. Chem., 102 (10): 1174-1176;
Chakraborty, R. et al., 1992, Synth. Commun., 22 (11): 1523;
Harder, T. et al., 1994, Tetrahedron Lett., 35 (40): 7365-7368;
Ruder, S. M., 1992, Tetrahedron Lett, 33 (9): 2621-2624;
Maeda, H.ef al., 1997, Chem. Pharm. Bull., 45 (11): 1729-1733;
Montana, J. G. et al., 1994, J. Chem. Soc., Chem. Commun., 19: 2289-2290;
Davis, В. R. et al., 1992, Aust. J. Chem. 45 (5): 865-875.
Некоторые из альдегидов или кетонов получают посредством
альдольных реакций (m=1, Z=O):
Mahrwald, R.et al., 1998, J. Am. Chem. Soc., 120 (2): 413-414;
Auerbach, R. A. et al., 1988, Org. Synth., VI: 692;
Mukaiyama, Т., 1977, Angew. Chem. (Int. Ed.) 16;
Shimizu, N. et al., 1983, Bull. Chem. Soc. Jpn., 56 (12): 853;
Maruoka, К. et al., 1986, J. Am. Chem. Soc., 108 (13): 3827.
Известные примеры получения соединений формулы IId перечислены в таблице 1.
| Таблица 1 |
| Название (формил первый, даже когда “не IUPAC”) |
CAS (Chemical Abstracts) номер |
| 2-формил-5-пиридин-3-ил-фуран |
38588-49-7 |
| 2-формил-5-пиридин-2-ил-фуран |
55484-36-1 |
| 5-формил-2-фенил-оксазол |
92629-13-5 |
| 2-формил-5-фенил-фуран |
13803-39-9 |
| 2-формил-3-метил-5-фенил-фуран |
160417-25-4 |
| 2-формил-З-этоксикарбонил-фуран |
50800-39 |
| 2-формил-5-фенил-3,4-оксадиазол |
22816-01-9 |
| 2-формил-5-фенил-оксазол |
96829-89-9 |
| 2-формил-4-хлор-5-фенил-оксазол |
119344-57-9 |
| 2-формил-4-хлор-2-пиридин-3-ил-тиазол |
131969-58-9 |
| 2-формил-5-пиридин-3-ил-тиофен |
133531-43-8 |
| 2-формил-5-пиридин-2-ил-тиофен |
132706-12-8 |
| 2-формил-5-пиридин-4-ил-тиофен |
21346-36-1 |
| 5-формил-2-фенил-тиазол |
1011-40-1 |
| 5-формил-4-хлор-2-фенил-тиазол |
108263-77-0 |
| 5-формил-4-метил-2-фенил-тиазол |
55327-23-6 |
| 2-формил-5-фенил-тиофен |
19163-21-4 |
| 2-формил-3-метил-5-фенил-тиофен |
1604417-30-1 |
| 4-формил-2-пиридин-2-ил-имидазол |
279251-08-0 |
| 2-формил-1-метил-5-пиридин-3-ил-пиррол |
3614-77-5 |
| 4-формил-2-пиридин-3-ил-имидазол |
279251-09-1 |
| 4-формил-2-пиридин-4-ил-1,3,4-триазол |
42786-73-2 |
| 4-формил-2-пиридин-4-ил-имидазол |
279251-10-4 |
| 4-формил-5-метокси-5-фенил-тиазол |
73725-36-7 |
| 4-формил-5-этоксикарбонил-5-фенил-тиазол |
88469-73-2 |
| 4-формил-5-этоксикарбонил-5-фенил-оксазол |
189271-85-0 |
| 2-формил-3-метил-5-фенил-1,3,4-триазол |
89060-36-6 |
| 4-формил-1-метил-2-фенил-имидазол |
94938-02-0 |
| 5-формил-1-метил-2-фенил-имидазол |
94938-03-1 |
| 4-формил-1-бутил-2-фенил-имидазол |
198066-02-3 |
| 4-формил-1-пропил-2-фенил-имидазол |
75378-63-1 |
| 5-формил-1-бутил-2-фенил-имидазол |
198065-92-8 |
| 2-формил-1-метил-4-фенил-имидазол |
123511-51-3 |
| 4-формил-2-фенил-5-метил-оксазол |
70170-23-9 |
| 2-формил-5-фенил-1,3,4-триазол |
26899-64-9 |
| 4-формил-2-фенил-5-хлор-имидазол |
60367-52-4 |
| 4-формил-2-фенил-имидазол |
68282-47-3 |
| 4-формил-2-фенил-5-метил-имидазол |
68282-50-8 |
| 2-формил-1-метил-5-фенил-1,3,4-триазол |
219600-03-0 |
| 2-формил-4-фенил-имидазол |
56248-10-3 |
| 2-формил-1-метил-4-фенил-имидазол |
118469-06-0 |
| 2-формил-5-фенил-пиразол |
52179-74-5 |
| 2-формил-3-метил-5-фенил-пиразол |
160417-28-7 |
| 2-формил-3-этоксикарбонил-5-фенил-пиразол |
63202-77-7 |
| 2-формил-5-морфолин-1-ил-фуран |
3680-96-4 |
| 2-формил-5-пиперидин-1-ил-фуран |
22868-60-6 |
| 2-формил-5-циклогексил-фуран |
14174-51-7 |
| 2-формил-3-метил-5-циклогексил-фуран |
160417-27-6 |
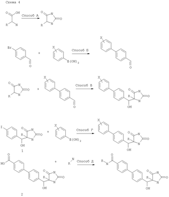
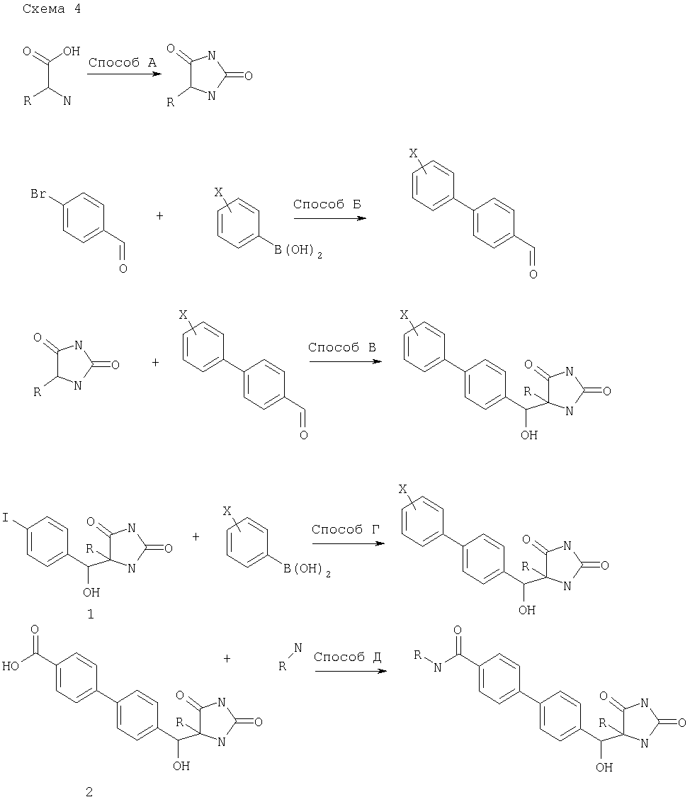
(з) Соединения по изобретению можно синтезировать также по приведенной ниже схеме 4. Подходящие целевые соединения включают группу соединений, представляющих собой замещенный 5-(бифенил-4-ил-гидрокси-метил)-имидазолидин-2,4-дион, и группу соединений, представляющих собой замещенный 5-[4-фенокси-фенил]-гидрокси-метил-имидазолидин-2,4-дион, описанные в примере 8.
Ключевой реакцией является альдольная конденсация (способ В), в результате которой образуются целевые соединения. Синтетические промежуточные соединения в этой реакции представляют собой 5-гидантоины, полученные из аминокислот (способ А), и альдегиды, полученные реакцией сочетания Сузуки (способ Б) общепринятым способом. Способом В также получают соединения 1 и 2, которые можно использовать для последующих превращений, сочетания Сузуки (способ Г) и амидного сочетания (способ Д).
Альдольная конденсация дает диастереомерную смесь. Рацематы выделяют хроматографией или, в некоторых случаях, кристаллизацией. Энантиомеры можно разделить хиральной хроматографией.

Соединения по изобретению могут быть оценены, например, следующими анализами.
Анализы выделенного фермента
Семейство матриксных металлопротеиназ, включая, например, ММР12, ММР13
Каталитический домен рекомбинантной человеческой ММР12 можно экспрессировать и очистить, как описано Parkar A. A. et al. (2000), Protein Expression and Purification, 20: 152. Этот очищенный фермент можно использовать для мониторинга ингибиторов активности следующим образом.
ММР12 (конечная концентрация 50 нг/мл) инкубируют в течение 30 минут при КТ (комнатной температуре) в аналитическом буфере (0,1 М Трис-HCI, рН 7,3, содержащий 0,1 М NaCl, 20 мМ CaCl2, 0,040 мМ ZnCl и 0,05% (мас./об.) Brij 35), используя синтетический субстрат Mac-Pro-Cha-Gly-Nva-His-Ala-Dpa-NH2, в присутствии или в отсутствие ингибиторов. Активность определяют путем измерения флуоресценции при ех 328 нм и em 393 нм. Процент ингибирования вычисляют следующим образом: % ингибирования равен [флуоресценцияплюс ингибитор – флуоресценцияфон], деленное на [флуоресценцияминус ингибитор – флуоресценцияфон].
Рекомбинантную человеческую ргоММР13 можно экспрессировать и очистить, как описано Knauper et al. [V. Knauper et al. (1996), The Biochemical Journal 271: 1544-1550 (1996)]. Этот очищенный фермент можно использовать для мониторинга ингибиторов активности следующим образом: очищенную ргоММР13 активируют, используя 1 мМ аминофенилмеркуровой кислоты (АРМА), 20 часов при 21°С; активированную ММР13 (11,25 нг на анализ) инкубируют в течение 4-5 часов при 35°С в аналитическом буфере (0,1 М Трис-HCI, рН 7,5, содержащий 0,1 М NaCI, 20 мМ CaCl2, 0,02 мМ ZnCl и 0,05% (мас./об.) Brij 35), используя синтетический субстрат 7-(метоксикумарин-4-ил)ацетил. Pro. Leu.Gly.Leu. N-3-(2,4-динитрофенил)-L-2,3-диаминопропионил.Ala.Arg.NH2, в присутствии или в отсутствие ингибиторов. Активность определяют путем измерения флуоресценции при ех 328 нм и em 393 нм. Процент ингибирования вычисляют следующим образом: % ингибирования равен [флуоресценцияплюс ингибитор – флуоресценцияфон], деленное на [флуоресценцияминус ингибитор – флуоресценцияфон].
Аналогичный протокол можно использовать для других экспрессированных и очищенных ргоММР, используя условия субстратов и буферов, оптимальные для конкретной ММР, например, как описано в С. Graham Knight etal. (1992) FEBS Lett. 296 (З): 263-266.
Семейство адамализинов, включая, например, TNF-конвертазу
Способность соединений ингибировать фермент proTNF -конвертазу можно оценить, используя анализ частично очищенного выделенного фермента, который получают из мембран ТНР-1, как описано К. М. Mohler et al. (1994) Nature 370: 218-220. Активность этого очищенного фермента и его ингибирование определяют путем инкубации этого частично очищенного фермента в присутствии или в отсутствие тестируемых соединений с использованием субстрата 4′,5′-диметокси-флуоресцеинил-Ser.Pro.Leu.Ala.Gln.Ala.Val.Arg.Ser.Ser.Ser.Arg.Суз(4-(3-сукцинимид-1-ил)флуоресцеин)-NH2 в аналитическом буфере (50 мМ Трис-HCl, рН 7,4, содержащий 0,1% (мас./об.) Тритон-Х-100 и 2 мМ CaCl2) при 26°С в течение 18 часов. Величину ингибирования определяют так же, как для ММР13, за исключением того, что используют ех 490 нм и em 530 нм. Субстрат синтезировали следующим образом. Пептидную часть субстрата собирали на смоле Fmoc-NH-Rink-MBHA-полистирол либо вручную, либо на автоматическом синтезаторе пептидов стандартными способами, включающими в себя использование Fmoc-аминокислот и O-бензотриазол-1-ил-N,N,N’,N’-тетраметилурония гексафторфосфата (HBTU) в качестве агента сочетания с по меньшей мере 4- или 5-кратным избытком Fmoc-аминокислоты и HBTU. Ser1 и Pro2 связывали двойной связью. Использовали следующую стратегию защиты боковой цепи: Ser1(But), Gln5(Trityl), Arg8,12(Pmc или Pbf), Ser9,10,11(Trityl), Cys13(Trityl). После сборки N-концевую Fmoc-защитную группу удаляли путем обработки Fmoc-пептидил-смолы в ДМФ. Полученную таким образом аминопептидил-смолу ацилировали путем обработки в течение 1,5-2 ч при 70°С 1,5-2 эквивалентами 4′,5′-диметокси-флуоресцеин-4(5)-карбоновой кислоты [Khanna & Ullman (1980) Anal. Biochem. 108: 156-161], которую предварительно активировали диизопропилкарбодиимидом и 1-гидроксибензотриазолом в ДМФ. Затем одновременно удаляли защиту с этого диметоксифлуоресцеинил-пептида и отщепляли его от смолы путем обработки трифторуксусной кислотой, содержащей по 5% воды и триэтилсилана. Диметоксифлуоресцеинил-пептид выделяли упариванием, растиранием с диэтиловым эфиром и фильтрованием. Этот выделенный пептид подвергали взаимодействию с 4-(N-малеимидо)-флуоресцеином в ДМФ, содержащем диизопропилэтиламин, продукт очищали с помощью ВЭЖХ (высокоэффективной жидкостной хроматографии) с обращенной фазой и, наконец, выделяли из водной уксусной кислоты лиофилизацией. Характеристики продукта определяли с помощью MALDI-TOF MS (времяпролетного масс-спектрометра с лазерной ионизацией путем десорбции из матрицы) и аминокислотного анализа.
Природные субстраты
Активность соединений по изобретению как ингибиторов разрушения аггрекана можно проанализировать с использованием методов, основанных, например, на сведениях Е.С. Arner et al., (1998) Osteoarthritis and Cartilage 6: 214-228; (1999) Journal of Biological Chemistry, 274 (10). 6594-6601, и антителах, описанных там. Способность соединений действовать в качестве ингибиторов против коллагеназ может быть определена, как описано Т. Cawston and A. Barrett (1979) Anal. Biochem. 99: 340-345.
Ингибирование активности металлопротеиназ в основанном на клетках/тканях тесте на способность агента ингибировать мембранные шеддазы, такие как TNF-конвертаза
Способность соединений по данному изобретению ингибировать клеточный процессинг продуцирования TNF можно оценить на клетках ТНР-1, используя ELISA (иммуноферментный твердофазный анализ) для обнаружения высвобожденного TNF, в сущности, как описано К. М. Mohler et al. (1994) Nature 370: 218-220. Подобным образом процессинг, или шеддинг, других мембранных молекул, таких как молекулы, описанные в N. М. Hooper et al., (1997) Biochem. J. 321: 265-279, можно протестировать, используя соответствующие клеточные линии и подходящие антитела для обнаружения шеддированного белка.
Тест на способность агента ингибировать клеточную инвазию
Способность соединений по данному изобретению ингибировать миграцию клеток в анализе на инвазию можно определить, как описано в А. Albini et al. (1987) Cancer Research 47: 3239-3245.
Тест на способность агента ингибировать активность TNF-шеддазы цельной крови
Способность соединений по данному изобретению ингибировать продуцирование TNF оценивают в анализе цельной крови человека, где LPS (липополисахарид) используют для стимуляции высвобождения TNF . Гепаринизированную (100 ед/мл) кровь человека, полученную от добровольцев, разбавляют 1:5 средой (RPMI1640 + бикарбонат, пенициллин, стрептомицин и глутамин) и инкубируют (160 мкл) с 20 мкл тестируемого соединения (три повтора) в ДМСО или в подходящем носителе в течение 30 мин при 37°С в увлажненном (5% CO2/95% воздух) инкубаторе, после чего добавляют 20 мкл LPS (E. coli. 0111:B4; конечная концентрация 10 мкг/мл). Каждый анализ включает в себя контроли разбавленной крови, инкубируемой только со средой (6 лунок/планшет) или с известным ингибитором TNF в качестве стандарта. Затем планшеты инкубируют в течение 6 часов при 37°С (увлажненный инкубатор), центрифугируют (2000 об/мин в течение 10 мин; 4°С), собирают плазму (50-100 мкл) и хранят в 96-луночных планшетах при -70°С до последующего анализа на концентрацию TNF с помощью ELISA.
Тест на способность агента ингибировать разрушение хряща in vitro
Способность соединений по данному изобретению ингибировать разрушение аггреканового или коллагенового компонентов хряща можно оценить, в частности, как описано в К. М. Bottomley et al. (1997) Biochem. J. 323:483-488.
Фармакодинамический тест
Для оценки свойств клиренса и биодоступности соединений по данному изобретению применяют ex vivo фармакодинамический тест, в котором используют вышеописанные анализы синтетического субстрата или, альтернативно, ВЭЖХ или масс-спектрометрический анализ. Этот тест является общим тестом, который можно использовать для оценки скорости клиренса соединений у различных видов. Животным (например, крысам, мартышкам) внутривенно или перорально вводят дозу растворимого препарата соединения (такого как 20% мас./об. ДМСО, 60% мас./об. PEG400) и в последующие моменты времени (например 5, 15, 30, 60, 120, 240, 480, 720, 1220 минут) из подходящего сосуда забирают образцы крови в 10 ед. гепарина. Плазматические фракции получают, осуществляя центрифугирование, и плазматические белки осаждают ацетонитрилом (конечная концентрация 80% мас./об.). После 30 мин при -20°С плазматические белки осаждают центрифугированием, а надосадочную фракцию выпаривают до сухости, используя скоростной вакуумный насос Savant. Осадок перерастворяют в аналитическом буфере, после чего анализируют на содержание соединения, используя анализ синтетического субстрата. Кратко, для оцениваемого соединения строят кривую концентрация соединения-ответ. Серийные разведения перерастворенных плазматических экстрактов оценивают на активность и количество соединения, присутствующего в исходном образце плазмы, вычисляют, используя кривую концентрация-ответ с учетом коэффициента разведения суммарной плазмы.
Оценка in vivo
Тест на способность соединения действовать как анти-TNF агент
Способность соединений по данному изобретению действовать в качестве ингибиторов TNF ex vivo оценивают на крысах. Кратко, группам самцов крыс Wistar Alderley Park (АР) (180-210 г) вводят соединение (6 крыс) или носитель для лекарства (10 крыс) подходящим путем, например пероральным (по), внутрибрюшинным (вб), подкожным (пк). Через 90 минут крыс умерщвляют, поднимая концентрацию CO2, и забирают кровь из задней полой вены в 5 ед. гепарина натрия/мл крови. Образцы крови сразу помещают на лед и центрифугируют при 2000 об/мин в течение 10 мин при 4°С, а собранную плазму замораживают при -20°С для последующего анализа ее воздействия на продуцирование TNF LPS-стимулированной человеческой кровью. Образцы плазмы крыс оттаивают и по 175 мкл каждого образца добавляют по схеме серийного формата в 96-луночный планшет. Затем в каждую лунку добавляют по 50 мкл гепаринизированной человеческой крови, смешивают и инкубируют планшет в течение 30 мин при 37°С (увлажненный инкубатор). В лунки добавляют LPS (25 мкл; конечная концентрация 10 мкг/мл) и инкубацию продолжают в течение следующих 5,5 часов. Контрольные лунки инкубируют с 25 мкл одной среды. Затем планшеты центрифугируют в течение 10 мин при 2000 об/мин, по 200 мкл супернатантов переносят в 96-луночный планшет и замораживают при -20°С для последующего анализа на концентрацию TNF с помощью ELISA.
Специализированная компьютерная программа анализирует данные и вычисляет для каждого соединения/дозы

Тест на активность соединения как противоартритного агента
Активность соединения как противоартритного агента тестируют при индуцированном коллагеном артрите (CIA, collagen-induced arthritis), как определено D. Е. Trentham et al. (1977) J. Exp. Med. 146: 857. В данной модели растворимый в кислоте коллаген типа II вызывает полиартрит у крыс при введении в неполном адъюванте Фрейнда. Подобные условия можно использовать для индуцирования артрита у мышей и приматов.
Тест на активность соединения как противоракового агента
Активность соединения как противоракового агента можно оценить в сущности, как описано в I. J. Fidler (1978) Methods in Cancer Research 15: 399-439, используя, например, клеточную линию В16 (описана в В. Hibner et al., Abstract 283 p75 10th NCl-EORTC Symposium, Amsterdam June 16-19 (1998).
Тест на активность соединения как противоэмфиземного агента
Активность соединения как противоэмфиземного агента можно оценить в сущности, как описано в Hautamaki et al. (1997) Science 277: 2002.
Изобретение иллюстрируется, но не ограничивается, следующими примерами.
Общие аналитические методы. Спектры 1H-ЯМР записывали на приборах либо Varian Unity Inova 400 МГц, либо Varian Mercury-VX 300 МГц. В качестве внутренних стандартов использовали центральный пик растворителя хлороформ-d ( H 7,27 млн-1), диметилсульфоксид-d6 ( H 2,50 млн-1) или метанол-d4 ( Н 3,31 млн-1). Масс-спектры низкого разрешения получали на системе Agilent 1100 ЖХ-МС (жидкостная хроматография-масс-спектрометрия), оснащенной ионизационной камерой ХИАД (химическая ионизация при атмосферном давлении).
Если не указано иначе, использовали имеющиеся в продаже исходные вещества или промежуточные соединения, приведенные в таблицах 2 и 3.
ПРИМЕР 1
5-(Бифенил-4-ил-гидрокси-метил)-5-метил-имидазолидин-2,4-дион

4-Бифенилкарбоксальдегид (182 мг, 1,0 ммоль) и триметиламин (45% в воде, 160 мкл, 1,0 ммоль) добавляли к теплому раствору 5-метилимидазолидин-2,4-диона (114 мг, 1,0 ммоль) в метаноле (4,0 мл) и воде (1,0 мл). Эту реакционную смесь нагревали до образования флегмы в течение 16 часов с азотом в качестве инертной атмосферы.
Раствор охлаждали, выпаривали и перемешивали в смеси 100:1 дихлорметан/метанол (15 мл). Фильтрование, промывание осадка той же смесью растворителей (10 мл) и высушивание отсасыванием воздуха привели к получению 5-(бифенил-4-ил-гидрокси-метил)-5-метил-имидазолидин-2,4-диона (190 мг) с выходом 64,1% в виде смеси диастереомеров 60/40 согласно 1Н ЯМР.
Эту смесь изомеров (180 мг) растворяли в диоксане (8 мл) и воде (4 мл). Препаративная ВЭЖХ на колонке Chromasli C18 250/20 мм (KR-100-5-C18) с градиентом ацетонитрил/вода (0,1% трифторуксусная кислота) от 20/80 до 40/60 в течение 25 мин привела к получению двух отдельных диастереомеров с суммарным выходом 43,5%.
Предварительное определение стереоструктуры каждого изомера было выполнено путем сравнения 1Н ЯМР с двумя диастереомерами 5-[(4-хлор-фенил)-гидрокси-метил)]-имидазолидин-2,4-диона, обе диастереомерные структуры которого были детально определены ранее различными ЯМР экспериментами. Сдвиг относительно 1-NH протона и фенила, присоединенного к имидазолидиндиону, был особенно показательным в данном диастереомерном распределении.
(RR)-5-(Бифенил-4-ил-гидрокси-(SS)-метил)-5-метил-имидазолидин-2,4-дион
1H ЯМР (400 МГц, ДМСО-d6) : 10.19 (1Н, s); 8.11 (1Н, s); 7.66 (2Н, d, J=7.6 Гц); 7.59 (2Н, d, J=8.20 Гц); 7.45 (2Н, t, J=7.68 Гц); 7.37 (2Н, d, J=8.27 Гц); 7.35 (1 H, t, J=7.62 Гц); 5.92 (1 H, bs); 4.67 (1 Н, s); 1.44 (3Н, s).
13С ЯМР (400 МГц, ДМСО-d6) : 176.79; 156.25; 139.74; 139.39; 139.14; 128.91; 128.20; 127.37; 126.51; 125.54; 75.32; 66.96; 21.11.
ХИАД-МС: m/z 297,3 [MH+].
(SR)-5-(Бифенил-4-ил-гидрокси-(RS)-метил)-5-метил-имидазолидин-2,4-дион
1H ЯМР (400 МГц, ДМСО-d6) : 10.48 (1Н, s); 7.67 (2Н, d, J=7.48 Гц); 7.64 (2Н, d, J=8.29 Гц); 7.56 (1Н, s); 7.48-7.45 (4Н, m); 7.36 (1Н, t, J=7.30 Гц); 5.75 (1Н, d, J=4.73 Гц); 4.65 (1 H, d, J=3.57 Гц); 1.08 (3Н, s).
13C ЯМР (400 МГц, ДМСО-d6) : 177.89; 157.28; 139.88; 139.44; 139.27; 128.95; 128.47; 127.38; 126.54; 125.89; 74.68; 66.18; 20.22.
ХИАД-МС: m/z 297,3 [MH+].
Соединения, описанные в примерах 2-4, получали с использованием способа, аналогичного способу, приведенному в примере 1.
ПРИМЕР 2
(RR)-5-(Бифенил-4-ил-гидрокси-(SS)-метил)-имидазолидин-2,4-дион

1H ЯМР (400 МГц, ДМСО-d6) : 10.33 (1Н, s); 8.10 (1Н, s); 7.66 (2Н, d, J=8.20 Гц); 7.61 (2Н, d, J=8.20 Гц); 7.45 (2Н, dd, J=8.20/7.20 Гц); 7.39 (2Н, d, J=8.24 Гц); 7.35 (1Н, t, J=7.48 Гц); 5.89 (1Н, bs); 4.97 (1Н, d, J=2.5 Гц); 4.40 (1Н, d, J=2.5 Гц).
ХИАД-МС: m/z 283,1 [MH+].
(SR)-5-(Бифенил-4-ил-гидрокси-(RS)-метил)-имидазолидин-2,4-дион
ХИАД-МС: m/z 283,1 [MH+].
ПРИМЕР 3
5-(Бифенил-4-ил-гидрокси-метил)-тиазолидин-2,4-дион

(RR)-5-(Бифенил-4-ил-гидрокси-(SS)-метил)-тиазолидин-2,4-дион
1H ЯМР (400 МГц, ДМСО-d6) : 11.81 (1Н, s); 7.68 (2Н, d, J=8.20 Гц); 7.64 (2Н, d, J=8.20 Гц); 7.46 (2Н, dd, J=8.30/7.50 Гц); 7.42 (2Н, d, J=8.30 Гц); 7.36 (1Н, t, J=7.50 Гц); 6.24 (1Н, d, J=3.96 Гц); 5.36 (1Н, t, J=3.95 Гц); 5.06 (1Н, d, J=4.03 Гц).
ХИАД-МС: m/z 183,1 [MH+– тиазолидин-2,4-дион].
(SR)-5-(Бифенил-4-ил-гидрокси-(RS)-метил)-тиазолидин-2,4-дион
1H ЯМР (400 МГц, ДМСО-d6) : 12.04 (1Н, s); 7.67 (2Н, d, J=8.30 Гц); 7.65 (2Н, d, J=8.30 Гц); 7.51 (2Н, d, J=8.20 Гц); 7.46 (2Н, dd, J=8.20/7.40 Гц); 7.36 (1Н, t, J=7.40 Гц); 6.22 (1Н, d, J=5.20 Гц); 5.42 (1Н, dd, J=5.20/2.60 Гц); 5.02 (1Н, d, J=2.60 Гц).
ХИАД-МС: m/z 183,1 [МН+– тиазолидин-2,4-дион].
ПРИМЕР 4
5-(Бифенил-4-ил-гидрокси-метил)-1-метил-имидазолидин-2,4-дион

(RR)-5-(Бифенил-4-ил-гидрокси-(SS)-метил)-1-метил-имидазолидин-2,4-дион
1H ЯМР (400 МГц, ДМСО-d6) : 10.53 (1Н, s); 7.67 (2Н, d, J=7.20 Гц); 7.63 (2Н, d, J=8.43 Гц); 7.46 (2Н, dd, J=7.71/7.20 Гц); 7.38 (2Н, d, J=8.63 Гц); 7.35 (1Н, t, J=7.63 Гц); 6.01 (1Н, d, J=4.16 Гц); 5.13 (1Н, dd, J=4.18/2.60 Гц); 4.33 (1Н, d, J=2.58 Гц); 2.97 (3Н, s).
13С ЯМР (400 МГц, ДМСО-d6) : 176.63; 156.83; 139.78; 138.97; 138.95; 128.89; 127.35; 127.13; 126.53; 125.91; 71.28; 28.63.
ХИАД-МС: m/z 297,1 [MH+].
(SR)-5-(Бифенил-4-ил-гидрокси-(RS)-метил)-1-метил-имидазолидин-2,4-дион
1H ЯМР (400 МГц, ДМСО-d6) : 10.73 (1Н, s); 7.70 (4Н, m); 7.54 (2Н, d, J=8.22 Гц); 7.46 (2Н, dd, J=8.20/7.10 Гц); 7.36 (1Н, t, J=7.11 Гц); 5.96 (1Н, d, J=6.06 Гц); 5.11 (1Н, dd, J=6.06/2.14 Гц); 4.38 (1Н, d, J=2.14 Гц); 2.33 (3Н, s).
ХИАД-МС: m/z 297,1 [MH+].
ПРИМЕР 5
5-[Гидрокси-(3-фенокси-фенил)-метил]-имидазолидин-2,4-дион

Это соединение получали способом, приведенным в примере 1, но вместо получения с помощью ВЭЖХ, флэш-хроматографией (SiO, дихлорметан/метанол: градиент до 100/4) получили 60 мг соединения, указанного в заголовке, в виде белого твердого вещества с выходом 20,1% (смесь диастереомеров). 1Н ЯМР подтвердил, что соотношение диастереомеров в смеси составило 1:1.
1H ЯМР (400 МГц, ДМСО-d6) : 10.51 (1Н, bs); 10.37 (1Н, bs); 8.04 (1Н, s); 7.56 (1Н, s); 7.40-7.29 (6Н, m); 7.16-7.09 (4Н, m); 6.96 (2Н, d, J=8.71 Гц); 6.89 (2Н, m); 5.89 (1Н, d, J=3.91 Гц); 5.78 (1Н, d, J=5.68 Гц); 4.93-4.90 (2Н, m); 4.34 (1Н, dd); 4.25 (1H, dd).
13С ЯМР (400 МГц, ДМСО-d6) : 174.04; 173.05; 158.09; 157.40; 156.89; 156.83; 156.31; 155.63; 144.01; 141.69; 129.96; 129.94; 129.55; 129.15; 123.20; 123.06; 122.26; 121.28; 118.44; 118.06; 118.02; 117.80; 117.46; 116.76; 71.98; 70.28:64.01.
ХИАД-МС: m/z 281,1 [МН+-H2О].
ПРИМЕР 6
5-[Гидрокси-(4-фенокси-фенил)-метил]-имидазолидин-2,4-дион

Это соединение получали способом, приведенным в примере 1, но вместо получения с помощью ВЭЖХ, флэш-хроматографией (SiO, дихлорметан/метанол: градиент до 100/3) получили 40 мг соединения, указанного в заголовке, в виде белого твердого вещества с выходом 13,4% (смесь диастереомеров). 1Н ЯМР подтвердил, что соотношение диастереомеров в смеси составило 1:1.
1H ЯМР (400 МГц, ДМСО-d6) : 10.49 (1Н, bs); 10.36 (1Н, bs); 8.04 (1Н, s); 7.55 (1Н, s); 7.41-7.35 (6Н, m); 7.31 (2Н, d, J=8.60 Гц); 7.13 (2Н, ddd, J=7.44/3.52/1.14 Гц); 7.01-6.92 (8Н, m); 5.84 (1Н, d, J=3.76 Гц); 5.74 (1Н, d, J=5.55 Гц); 4.91 (2Н, m); 4.34 (1Н, dd, J=3.03/1.05 Гц); 4.22 (1Н, dd, 2.68/1.52 Гц).
ХИАД-МС: m/z 281,1 [МН+-H2О].
ПРИМЕР 7
Следующие соединения были получены способами, описанными в приведенных выше примерах.
5-[(4′-Фтор-бифенил-4-ил)-гидрокси-метил]-имидазолидин-2,4-дион

ХИАД-МС: m/z 283 [MH+-H2O].
5-[(4′-Фтор-бифенил-4-ил)-гидрокси-метил]-5-метил-имидазолидин-2,4-дион

ХИАД-МС: m/z 314,9 [MH+].
5-[(4′-Фтор-бифенил-4-ил)-гидрокси-метил]-5-изобутил-имидазолидин-2,4-дион

ХИАД-МС: m/z 357,1 [MH+].
5-[(4′-Хлор-бифенил-4-ил)-гидрокси-метил]-имидазолидин-2,4-дион

ХИАД-МС: m/z 298,9 [MH+-H2O].
5-[(4′-Хлор-бифенил-4-ил)-гидрокси-метил]-5-метил-имидазолидин-2,4-дион

ХИАД-МС: m/z 331 [MH+].
5-[(4′-Хлор-бифенил-4-ил)-гидрокси-метил]-5-изобутил-имидазолидин-2,4-дион

ХИАД-МС: m/z 373,1 [МН+].
5-[(Бифенил-4-ил)-гидрокси-метил]-5-гидроксиметил-имидазолидин-2,4-дион

ХИАД-МС: m/z 313,0 [МН+].
ПРИМЕР 8
Соединения синтезировали способом В на схеме 4 (показана в описании выше).
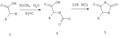
а) Получение промежуточных гидантоинов (способ А на схеме 4)
Согласно приведенной ниже схеме 5 гидантоины 5 получали в две стадии из общих аминокислот 3 с выделением промежуточных соединений 4.
Схема 5 (способ А)

В таблице 2 приведен перечень промежуточных гидантоинов, которые были синтезированы. Общий способ получения был следующим. Суспензию аминокислоты 3 (25 ммоль) и цианата калия (5,1 г, 63 ммоль) в воде (75 мл) нагревали при 80°С в течение примерно 1 часа. Прозрачный раствор охлаждали до 0°С и подкисляли примерно до рН 1 концентрированной соляной кислотой (водн.). Полученный белый осадок 4 нагревали с обратным холодильником в течение 0,5-1 часа, а затем охлаждали на льду. В некоторых случаях полная конверсия не достигалась после 1 часа нагревания. В этих случаях сырое вещество обрабатывали снова согласно тому же протоколу. Белое твердое вещество отфильтровывали, промывали водой, высушивали и анализировали посредством 1Н ЯМР и ЖХ-МС.
| Таблица 2 |
| Промежуточные гидантоины |
| Название |
Выход (%) |
ХИАД-МС m/z: [MH+] |
| 5-(4-Хлор-бензил)-имидазолидин-2,4-дион |
87 |
224,9 |
| Бензиловый эфир [3-(2,5-диоксо-имидазолидин-4-ил)-пропил]-карбаминовой кислоты |
50 |
292,0 |
| 5-Изобутил-имидазолидин-2,4-дион |
85 |
157,0 |
| 5-Бензилсульфанилметил-имидазолидин-2,4-дион |
87 |
237,0 |
| 5-Метилсульфанилметил-имидазолидин-2,4-дион |
45 |
161,0 |
| 5-Циклогексилметил-имидазолидин-2,4-дион |
63 |
197,1 |
| 5-втор-Бутил-имидазолидин-2,4-дион |
52 |
157,0 |
| 5-Фенетил-имидазолидин-2,4-дион |
94 |
205,1 |
| 5-Бутил-имидазолидин-2,4-дион |
82 |
157,0 |
| 5-Изопропил-имидазолидин-2,4-дион |
49 |
|
| 5-(1Н5-Индол-3-илметил)-имидазолидин-2,4-дион |
94 |
230,0 |
| 5-(2-Гидрокси-этил)-имидазолидин-2,4-дион |
36 |
|
б) Получение промежуточных альдегидов (способ Б на схеме 4)
Замещенные бензальдегиды получали реакцией сочетания Сузуки между различными коммерчески доступными фенилбромидами и 4-формилфенилбороновой кислотой согласно приведенной ниже схеме 6.
Схема 6 (способ Б)

4-Пиридин-2-ил-бензальдегид
Это соединение получали следующим образом. Смесь 4-формилфенилбороновой кислоты (195 мг, 1,3 ммоль), 2-бромпиридина (102,7 мг, 0,65 ммоль) и порошкообразного К2СО3 (1,07 г, 7,8 ммоль) в диоксане (12 мл) и воде (2 мл) подвергали дезоксигенированию (вакуум и аргон). Добавляли диацетат палладия (30 мг, 0,2 мол.%) и смесь перемешивали в течение 2 часов при 80°С в атмосфере аргона.
Суспензию охлаждали до комнатной температуры. Фильтрование и выпаривание дали сырой продукт. Препаративная ВЭЖХ (колонка Chromasil С18, ацетонитрил, вода и трифторуксусная кислота) привела к получению соединения, указанного в заголовке, 4-пиридин-2-ил-бензальдегида (72 мг, выход 60%).
1H ЯМР (400 МГц, ДМСО-d6) : 10.07 (1Н, s); 8.73 (1Н, d, J=4.20 Гц); 8.31 (2Н, d, J=8.20); 8.11 (1Н, d, J=8.01); 8.03 (2Н, d, J=8.20); 7.97 (1Н, m).
ХИАД-МС: m/z 184,2 [MH+].
Другие замещенные бензальдегиды (перечисленные в таблице 3) были получены таким же способом.
| Таблица 3 |
| Замещенные бензальдегиды |
| Название |
Выход (%) |
ХИАД-МС m/z |
| 4′-Формил-бифенил-4-карбонитрил |
65 |
208,0 |
| 4′-Формил-бифенил-3-карбонитрил |
|
208,0 |
| 4′-Метокси-бифенил-4-карбальдегид |
50 |
213,1 |
| 3-Метокси-бифенил-4-карбальдегид |
62 |
213,1 |
| Бифенил-4,4′-дикарбальдегид |
|
211,0 |
| 4′-Формил-бифенил-3-иловый эфир уксусной кислоты |
|
239,1 |
| 4′-Формил-бифенил-4-иловый эфир уксусной кислоты |
|
239,1 |
| N-(4′-Формил-бифенил-3-ил)-ацетамид |
75 |
240,1 |
| 4′-Гидроксиметил-бифенил-4-карбальдегид |
55 |
213,1 |
| 3′-Фтор-бифенил-4-карбальдегид |
70 |
201,1 |
| 4-Пиридин-З-ил-бензальдегид |
67 |
184,2 |
| 3′,4′-Дифтор-бифенил-4-карбальдегид |
72 |
219,1 |
| 4-Пиридин-4-ил-бензальдегид |
67 |
184,2 |
| N-[4-(4-Формил-фенил)-пиридин-2-ил]-ацетамид |
30 |
241,0 |
| 4-Бензо[1,3]диоксол-5-ил-бензальдегид |
20 |
226,1 |
в) Альдольная конденсация промежуточных гидантоинов и альдегидов (способ В на схеме 4)
Общая методика проиллюстрирована примером синтеза 5-{[4-(4-фтор-фенокси)-фенил]-метил-метил}-5-пропил-имидазолидин-2,4-диона ниже.
5-{[4-(4-Фтор-фенокси)-фенил]-метил-метил}-5-пропил-имидазолидин-2,4-дион
Коммерчески доступный 4-(4-фтор-фенокси)-бензальдегид (201,5 мг, 1,0 ммоль), 5-пропил-гидантоин (438 мг, 3,08 ммоль) и 45%-ный водный триметиламин (0,240 мл, 1,5 ммоль) кипятили с обратным холодильником в этаноле (12 мл) и воде (3 мл) в течение 20 часов.
Выпаривание и препаративная ВЭЖХ (колонка С18, ацетонитрил, вода и трифторуксусная кислота) привели к получению соединения, указанного в заголовке, 5-{[4-(4-фтор-фенокси)-фенил]-метил-метил}-5-пропил-имидазолидин-2,4-диона (11 мг, 0,03 ммоль), с выходом 3% в виде белого твердого вещества в форме чистого рацемата.

1H ЯМР (300 МГц, ДМСО-d6) : 10.71 (1Н, s); 7.99 (1Н, s); 7.70 (2Н, dd, J=4.38, 5.37 Гц); 7.75 (2Н, d, J=8.44 Гц); 7.35 (2Н, d, J=8.03 Гц); 7.27 (2Н, dd, J=4.59, 8.60 Гц); 5.89 (1Н, d, J=4.42 Гц); 4.66 (1Н, d, J=4.34 Гц); 1.96 (1Н, dd, J=12.89, 4.36 Гц); 1.71 (1Н, dd, J=12.95, 4.77 Гц); 1.32 (1Н, m); 1.10 (1Н, m); 0.89 (3Н, t, J=7.49 Гц).
ХИАД-МС: m/z 343,1 [MH+-OH].
Следующие соединения были получены таким же способом.
5-[4-Фенокси-фенил]-гидрокси-метил]-5-метил-имидазолидин-2,4-дион

1H ЯМР (400 МГц, ДМСО-d6) : 10.12 (1Н, bs); 8.06 (1Н, s); 7.38 (2Н, dd, J=3.94, 7.60 Гц); 7.28 (2Н, d, J=8.62 Гц); 7.13 (1Н, t, J=7.43 Гц); 6.96 (2Н, d, J=8.75 Гц); 6.91 (2Н, d, J=8.61 Гц); 5.89 (1Н, d, J=4.33 Гц); 4.62 (1Н, d, J=4.48 Гц); 1.41 (3Н, s).
ХИАД-МС: m/z 313,0 [MH+].
Бензиловый эфир 4-[гидрокси-(4-метил-2,5-диоксо-имидазолидин-4-ил)-метил]-пиперидин-1-карбоновой кислоты
Получали из коммерчески доступных исходных веществ.

ХИАД-МС: m/z 362,1 [MH+].
5-[(4′-Фтор-бифенил-4-ил)-гидрокси-метил]-имидазолидин-2,4-дион
Получали из коммерчески доступных исходных веществ.

1H ЯМР (400 МГц, ДМСО-d6) : 10.32 (1Н, s); 8.09 (1Н, s); 7.71 (2Н, dd, J=4.47, 5.60 Гц); 7.60 (2Н, d, J=8.27 Гц); 7.38 (2Н, d, J=8.33 Гц); 7.28 (2Н, dd, J=5.05, 8.68 Гц); 5.88 (1Н, d, J=3.90 Гц); 4.97 (1Н, t, J=3.29 Гц); 4.39 (1Н, d, J=2.64 Гц).
ХИАД-МС: m/z 301,2 [MH+].
5-Этил-5-[(4′-фтор-бифенил-4-ил)-гидрокси-метил]-имидазолидин-2,4-дион
Получали альдольной конденсацией 4′-фтор-бифенил-4-карбальдегида и 5-этил-имидазолидин-2,4-диона.

1H ЯМР (400 МГц, ДМСО-d6) : 10.18 (1Н, s); 7.96 (1Н, s); 7.69 (2Н, dd, J=8.77/5.53 Гц); 7.57 (2Н, d, J=8.20 Гц); 7.35 (2Н, d, J=8.20 Гц); 7.26 (2Н, t, J=8.87 Гц); 5.87 (1Н, d, J=4.39 Гц); 4.66 (1Н, d, 4.39 Гц); 1.98 (1Н, m); 1.75 (1Н, m); 0.78 (3Н, t, J=7.34 Гц).
ХИАД-МС: m/z 329,1 [MH+].
5-[(4′-Фтор-бифенил-4-ил)-гидрокси-метил]-5-пропил-имидазолидин-2,4-дион
Получали альдольной конденсацией 4′-фтор-бифенил-4-карбальдегида и 5-пропил-имидазолидин-2,4-диона.

1H ЯМР (400 МГц, ДМСО-d6) : 10.16 (1Н, s); 7.98 (1Н, s); 7.69 (2Н, dd, J=8.68/5.44 Гц); 7.56 (2Н, d, J=8.20 Гц); 7.34 (2Н, d, J=8.20 Гц); 7.26 (2Н, t, J=8.77 Гц); 5.87 (1Н, d, J=4.39 Гц); 4.64 (1Н, d, 4.39 Гц); 1.94 (1Н, m); 1.70 (1Н, m); 1.31 (1Н, m); 1.10 (1Н, m); 0.88 (3Н, t, J=7.34 Гц).
ХИАД-МС: m/z 343,1 [МН+].
5-[Гидрокси-(4′-метокси-бифенил-4-ил)-метил]-5-метил-имидазолидин-2,4-дион
Получали альдольной конденсацией 4′-метокси-бифенил-4-карбальдегида и 5-метил-имидазолидин-2,4-диона.

1H ЯМР (400 МГц, ДМСО-d6) : 10.16 (1Н, s); 8.08 (1Н, s); 7.59 (2Н, d, J=8.77 Гц); 7.52 (2Н, d, J=8.20 Гц); 7.31 (2Н, d, J=8.20 Гц); 6.99 (2Н, d, J=8.58 Гц); 5.87 (1Н, d, J=4.39 Гц); 4.63 (1Н, d, 4.39 Гц); 3.77 (ЗН, t); 1.42 (3Н, s).
ХИАД-МС: m/z 327,1 [МН+].
5-[Гидрокси-(3′-метокси-бифенил-4-ил)-метил]-5-метил-имидазолидин-2,4-дион
Получали альдольной конденсацией З-метокси-бифенил-4-карбальдегида и 5-метил-имидазолидин-2,4-диона.

1H ЯМР (400 МГц, ДМСО-d6) : 10.18 (1Н, s); 8.08 (1Н, s); 7.59 (2Н, d, J=8.01 Гц); 7.35 (3Н, m); 7.21 (1Н, d, J=7.63 Гц); 7.17 (1Н, s); 6.91 (1Н, dd, J=8.11/2.19 Гц); 5.91 (1Н, d, J=4.39 Гц); 4.65 (1Н, d, 4.39 Гц); 3.81 (3Н, t); 1.43 (3Н, s).
ХИАД-МС: m/z 327,1 [МН+].
4′-[Гидрокси-(4-метил-2,5-диоксо-имидазолидин-4-ил)-метил]-бифенил-4-карбонитрил
Получали альдольной конденсацией 4′-формил-бифенил-4-карбонитрила и 5-метил-имидазолидин-2,4-диона.

1H ЯМР (400 МГц, ДМСО-d6) : 10.18 (1Н, s); 8.11 (1Н, s); 7.89 (4Н, m); 7.69 (2Н, d, J=8.20 Гц); 7.40 (2Н, d, J=8.20 Гц); 5.97 (1Н, d, J=4.39 Гц); 4.67 (1Н, d, J=4.39 Гц); 3.81 (ЗН, t); 1.43 (ЗН, s).
ХИАД-МС: m/z 322,1 [МН+].
4′-[Гидрокси-(4-метил-2,5-диоксо-имидазолидин-4-ил)-метил]-бифенил-3-карбонитрил
Получали альдольной конденсацией 4′-формил-бифенил-3-карбонитрила и 5-метил-имидазолидин-2,4-диона.

1H ЯМР (400 МГц, ДМСО-d6) : 10.18 (1Н, s); 8.14 (1Н, s); 8.11 (1Н, s); 8.02 (1Н, d, J=8.01 Гц); 7.80 (1Н, d, J=7.63 Гц); 7.69 (2Н, d, J=8.20 Гц); 7.64 (1Н, t, J=7.82 Гц); 7.38 (2Н, d, J=8.20 Гц); 5.96 (1Н, d, J=4.20 Гц); 4.67 (1Н, d, 3.81 Гц); 1.42 (3H, s).
ХИАД-МС: m/z 322,1 [MH+].
4′-[Гидрокси-(4-метил-2,5-диоксо-имидазолидин-4-ил)-метил]-бифенил-4-карбальдегид
Получали альдольной конденсацией бифенил-4,4′-дикарбальдегида и 5-метил-имидазолидин-2,4-диона.

1H ЯМР (400 МГц, ДМСО-d6) : 10.19 (1Н, s); 10.03 (1Н, s); 8.12 (1Н, s); 7.97 (2Н, d, J=8.40 Гц); 7.91 (2Н, d, J=8.40); 7.71 (2H, d, J=8.20 Гц); 7.40 (2Н, d, J=8.40 Гц); 5.97 (1Н, d, J=4.39 Гц); 4.67 (1Н, d, 4.39 Гц); 3.81 (ЗН, t); 1.43 (3Н, s).
ХИАД-МС: m/z 325,1 [MH+].
4′-[Гидрокси-(4-метил-2,5-диоксо-имидазолидин-4-ил)-метил]-бифенил-3-иловый эфир уксусной кислоты
Получали альдольной конденсацией 4′-формил-бифенил-3-илового эфира уксусной кислоты и 5-метил-имидазолидин-2,4-диона.

1H ЯМР (400 МГц, ДМСО-d6) : 10.18 (1Н, s); 8.16 (1Н, s); 8.11 (1Н, s); 7.92 (1Н, dd, J=7.72/1.24 Гц); 7.66 (2H, d, J=8.40); 7.60 (1H, t, J=7.73 Гц); 7.38 (2H, d, J=8.40 Гц); 5.94 (1H, d, J=4.39 Гц); 4.67 (1H, d, 4.39 Гц); 2.63 (3Н, s); 1.42 (3Н, s).
ХИАД-МС: m/z 321,1 [МН+-H2О].
4′-[Гидрокси-(4-метил-2,5-диоксо-имидазолидин-4-ил)-метил]-бифенил-4-иловый эфир уксусной кислоты
Получали альдольной конденсацией 4′-формил-бифенил-4-илового эфира уксусной кислоты и 5-метил-имидазолидин-2,4-диона.

1H ЯМР (400 МГц, ДМСО-d6) : 10.19 (1Н, s); 8.11 (1Н, s); 8.01 (2Н, d, J=8.39 Гц); 7.82 (2Н, d, J=8.20); 7.68 (2Н, d, J=8.20 Гц); 7.39 (2Н, d, J=8.20 Гц); 5.96 (1Н, d, J=4.39 Гц); 4.67 (1Н, d, 4.39 Гц); 2.59 (3Н, t); 1.43 (3Н, s).
ХИАД-МС: m/z 321,1 [MH+-Н2O].
N-{4′-[Гидрокси-(4-метил-2,5-диоксо-имидазолидин-4-ил)-метил]-бифенил-3-ил}-ацетамид
Получали альдольной конденсацией N-(4′-формил-бифенил-3-ил)-ацетамида и 5-метил-имидазолидин-2,4-диона.

1H ЯМР (400 МГц, ДМСО-d6) : 10.17 (1Н, s); 9.98 (1Н, s); 8.08 (1Н, s); 7.87 (1Н, s); 7.50 (3Н, m); 7.32 (4Н, m); 5.91 (1Н, d, J=4.56 Гц); 4.64 (1Н, d, 4.28 Гц); 2.05 (3H, s); 1.42 (3H, s).
ХИАД-МС: m/z 354,1 [MH+].
5-[Гидрокси-(4-гидроксиметил-бифенил-4-ил)-метил]-5-метил-имидазолидин-2,4-дион
Получали альдольной конденсацией 4′-гидроксиметил-бифенил-4-карбальдегида и 5-метил-имидазолидин-2,4-диона.

1H ЯМР (400 МГц, ДМСО-d6) : 10.17 (1Н, s); 8.09 (1Н, s); 7.61 (2Н, d, J=8.20 Гц); 7.57 (2Н, d, J=8.20); 7.38 (2H, d, J=8.20 Гц); 7.34 (2Н, d, J=8.20 Гц); 5.90 (1Н, d, J=4.39 Гц); 5.19 (1Н, t, 5.72 Гц); 4.65 (1Н, d, 4.39 Гц); 4.52 (2H, d, J=5.72 Гц); 1.43 (3H, s).
ХИАД-МС: m/z 327,1 [МН+].
5-[(4-Бензилокси-фенил)-гидрокси-метил]-5-метил-имидазолидин-2,4-дион
Получали альдольной конденсацией 4-бензилокси-бензальдегида и 5-метил-имидазолидин-2,4-диона.

1H ЯМР (400 МГц, ДМСО-d6) : 10.10 (1Н, s); 8.01 (1Н, s); 7.46-7.27 (5Н, m); 7.18 (2Н, d, J=8.58 Гц); 6.89 (2Н, d, J=8.58 Гц); 5.75 (1Н, d, J=4.39 Гц); 5.04 (2Н, s); 4.55 (1Н, d, J=4.39 Гц); 1.43 (3Н, s).
ХИАД-МС: m/z 309,1 [MH+-H2O].
5-[Гидрокси-(4-пиридин-3-ил-фенил)-метил]-5-метил-имидазолидин-2,4-дион
Получали альдольной конденсацией 4-пиридин-3-ил-бензальдегида и 5-метил-имидазолидин-2,4-диона.

ХИАД-МС: m/z 298,1 [MH+].
5-[(3′-Фтор-бифенил-4-ил)-гидрокси-метил]-5-метил-имидазолидин-2,4-дион
Получали альдольной конденсацией 3′-фтор-бифенил-4-карбальдегида и 5-метил-имидазолидин-2,4-диона.

1H ЯМР (400 МГц, ДМСО-d6) : 10.17 (1Н, s); 8.10 (1Н, s); 7.63 (2Н, d, J=8.20 Гц); 7.49 (3Н, m); 7.36 (2Н, d, J=8.20 Гц); 7.17 (1Н, m); 5.93 (1Н, d, J=4.20 Гц); 4.66 (1Н, d, 3.81 Гц); 1.42 (3Н, s).
ХИАД-МС: m/z 315 [МН+].
5-[Гидрокси-(4-фенилэтенил-фенил)-метил]-5-метил-имидазолидин-2,4-дион
Исходный альдегид синтезировали согласно Thorand S. et al. (J. Org. Chem. 1998, 63(23), 8551-8553).

1H ЯМР (400 МГц, ДМСО-d6) : 10.18 (1Н, s); 8.08 (1Н, s); 7.53 (2Н, m); 7.45 (2Н, d, J=8.40 Гц); 7.41 (3Н, m); 7.30 (2Н, d, J=8.20 Гц); 5.99 (1Н, d, J=4.58 Гц); 4.64 (1Н, d, 4.39 Гц); 1.41 (3Н, s).
ХИАД-МС: m/z 321,1 [MH+].
5-[Гидрокси-(4-пиридин-4-ил-фенил)-метил]-5-метил-имидазолидин-2,4-дион
Получали альдольной конденсацией 4-пиридин-4-ил-бензальдегида и 5-метил-имидазолидин-2,4-диона.

1H ЯМР (400 МГц, ДМСО-d6) : 10.19 (1Н, s); 8.61 (2Н, m); 8.12 (1Н, s); 7.74 (2Н, d, J=8.39); 7.70 (2Н, m); 7.41 (2Н, d, J=8.20 Гц); 5.99 (1Н, s); 4.67 (1Н, s); 1.42 (3Н, s).
ХИАД-МС: m/z 298,1 [МН+].
N-{4′-[Гидрокси-(4-метил-2,5-диоксо-имидазолидин-4-ил)-метил]-бифенил-4-ил}-ацетамид
Получали альдольной конденсацией N-(4′-формил-бифенил-4-ил)-ацетамида и 5-метил-имидазолидин-2,4-диона.

ХИАД-МС: m/z 354,1 [MH+].
N-(5-{4-[Гидрокси-(4-метил-2,5-диоксо-имидазолидин-4-ил)-метил]-фенил}-пиридин-2-ил)-ацетамид
Получали альдольной конденсацией N-[4-(4-формил-фенил)-пиридин-2-ил]-ацетамида и 5-метил-имидазолидин-2,4-диона.

ХИАД-МС: m/z 355,1 [MH+].
5-[(3′,4′-Дифтор-бифенил-4-ил)-гидрокси-метил]-5-метил-имидазолидин-2,4-дион
Получали альдольной конденсацией 3′,4′-дифтор-бифенил-4-карбальдегида и 5-метил-имидазолидин-2,4-диона.

1H ЯМР (400 МГц, ДМСО-d6) : 10.16 (1Н, s); 8.10 (1Н, s); 7.75 (1Н, m); 7.61 (2Н, d, J=8.27 Гц); 7.50 (2Н, m); 7.35 (2Н, d, J=8.27); 5.93 (1Н, d, J=3.99 Гц); 4.66 (1H, d, J=3.98 Гц); 1.41 (3H, s).
ХИАД-МС: m/z 333 [MH+].
5-[Гидрокси-(4-[1,2,3]тиадиазол-5-ил-фенил)-метил]-5-метил-имидазолидин-2,4-дион
Получали альдольной конденсацией 4-[1,2,3]тиадиазол-5-ил-бензальдегида и 5-метил-имидазолидин-2,4-диона.

ХИАД-МС: m/z 305 [MH+].
5-{[5-(2-Хлор-4-трифторметил-фенил)-фуран-2-ил]-гидрокси-метил}-5-метил-имидазолидин-2,4-дион
Получали альдольной конденсацией 5-(3-хлор-4-трифторметил-фенил)-фуран-2-карбальдегида и 5-метил-имидазолидин-2,4-диона.

ХИАД-МС: m/z 389 [МН+].
5-{[5-(4-Хлор-фенилсульфанил)-тиофен-2-ил]-гидрокси-метил}-5-метил-имидазолидин-2,4-дион
Получали альдольной конденсацией 5-(4-хлор-фенилсульфанил)-тиофен-2-карбальдегида и 5-метил-имидазолидин-2,4-диона.

ХИАД-МС: m/z 350,9 [МН+-H2О].
5-{[4-(4-трет-Бутил-тиазол-2-ил)-фенил]-гидрокси-метил}-5-метил-имидазолидин-2,4-дион
Получали альдольной конденсацией 4-(4-трет-бутил-тиазол-2-ил)-бензальдегида и 5-метил-имидазолидин-2,4-диона.

ХИАД-МС: m/z 360 [MH+].
5-{[4-(2-Хлор-6-фтор-бензилокси)-3-метокси-фенил]-гидрокси-метил}-5-метил-имидазолидин-2,4-дион
Получали альдольной конденсацией 4-(2-хлор-6-фтор-бензилокси)-3-метокси-бензальдегида и 5-метил-имидазолидин-2,4-диона.

ХИАД-МС: m/z 391 [MH+-H2O].
5-{[2-(4-Хлор-фенилсульфанил)-фенил]-гидрокси-метил}-5-метил-имидазолидин-2,4-дион
Получали альдольной конденсацией 2-(4-хлор-фенилсульфанил)-бензальдегида и 5-метил-имидазолидин-2,4-диона.

5-{[1-(4-Хлор-фенил)-1Н-пиррол-2-ил]-гидрокси-метил}-5-метил-имидазолидин-2,4-дион
Получали альдольной конденсацией 1-(4-хлор-фенил)-1H-пиррол-2-карбальдегида и 5-метил-имидазолидин-2,4-диона.

ХИАД-МС: m/z 302,1 [МН+-H2О].
5-[Гидрокси-(2-пиридин-2-ил-тиофен-2-ил)-метил]-5-метил-имидазолидин-2,4-дион
Получали альдольной конденсацией 5-пиридин-2-ил-тиофен-2-карбальдегида и 5-метил-имидазолидин-2,4-диона.

ХИАД-МС: m/z 304 [MH+].
5-[Гидрокси-(5-тиофен-2-ил-2Н-пиразол-3-ил)-метил]-5-метил-имидазолидин-2,4-дион
Получали альдольной конденсацией 5-тиофен-2-ил-2H-пиразол-3-карбальдегида и 5-метил-имидазолидин-2,4-диона.

ХИАД-МС: m/z 293,1 [MH+].
5-{Гидрокси-[5-(4-трифторметил-фенил-2Н-пиразол-3-ил)]-5-метил-имидазолидин-2,4-дион
Получали альдольной конденсацией 5-(4-трифторметил-фенил-2Н-пиразол-3-карбальдегида и 5-метил-имидазолидин-2,4-диона.

ХИАД-МС: m/z 355 [MH+].
5-(Бифенил-4-ил-гидрокси-метил)-5-(4-хлор-бензил)-имидазолидин-2,4-дион
Получали альдольной конденсацией бифенил-4-карбальдегида и 5-(4-хлор-бензил)-имидазолидин-2,4-диона.

1H ЯМР (400 МГц, ДМСО-d6) : 9.89 (1Н, s); 8.29 (1Н, s); 7.65 (2Н, d, J=7.73 Гц); 7.59 (2Н, d, J=8.20 Гц); 7.43 (2Н, m); 7.39 (2Н, d, J=8.20 Гц); 7.32 (3Н, m); 7.20 (2Н, d, J=8.39 Гц); 6.13 (1Н, d, J=4.01 Гц); 4.85 (1Н, d, J=4.01 Гц); 3.28 (1Н, d, J=13.35 Гц); 3.04 (1Н, d, J=13.35).
ХИАД-МС: m/z 407,2 [MH+].
5-Бензилсульфанилметил-5-(бифенил-4-ил-гидрокси-метил)-имидазолидин-2,4-дион
Получали альдольной конденсацией бифенил-4-карбальдегида и 5-бензилсульфанилметил-имидазолидин-2,4-диона.

ХИАД-МС: m/z 419,2 [MH+].
5-(Бифенил-4-ил-гидрокси-метил)-5-метилсульфанилметил-имидазолидин-2,4-дион
Получали альдольной конденсацией бифенил-4-карбальдегида и 5-метилсульфанилметил-имидазолидин-2,4-диона.

ХИАД-МС: m/z 343,1 [MH+].
5-(Бифенил-4-ил-гидрокси-метил)-5-циклогексилметил-имидазолидин-2,4-дион
Получали альдольной конденсацией бифенил-4-карбальдегида и 5-циклогексилметил-имидазолидин-2,4-диона.

ХИАД-МС: m/z 379,3 [MH+].
5-(Бифенил-4-ил-гидрокси-метил)-5-фенилэтил-имидазолидин-2,4-дион
Получали альдольной конденсацией бифенил-4-карбальдегида и 5-фенилэтил-имидазолидин-2,4-диона.

ХИАД-МС: m/z 387,3 [MH+].
5-(Бифенил-4-ил-гидрокси-метил)-5-(2-гидрокси-этил)-имидазолидин-2,4-дион
Получали альдольной конденсацией бифенил-4-карбальдегида и 5-(2-гидрокси-этил)-имидазолидин-2,4-диона.

ХИАД-МС: m/z 309,3 [MH+-H2O].
5-[Гидрокси-(4′-метокси-бифенил-4-ил)-метил]-имидазолидин-2,4-дион
Получали альдольной конденсацией 4′-метокси-бифенил-4-карбальдегида и имидазолидин-2,4-диона.

1H ЯМР (400 МГц, ДМСО-d6) : 10.30 (1Н, s); 8.06 (1Н, s); 7.60 (2Н, d, J=8.77 Гц); 7.54 (2Н, d, J=8.39 Гц); 7.33 (2Н, d, J=8.20 Гц); 7.00 (2Н, d, J=8.77 Гц); 5.83 (1Н, d, J=3.81 Гц); 4.94 (1Н, t, J=3.34 Гц); 4.33 (1Н, d, J=2.67 Гц); 3.77 (3Н, s).
ХИАД-МС: m/z 295 [MH+-Н2О].
5-(Бифенил-4-ил-гидрокси-метил)-5-пиридин-4-илметил-имидазолидин-2,4-дион
Получали альдольной конденсацией бифенил-4-карбальдегида и 5-пиридин-4-илметил-имидазолидин-2,4-диона.

ХИАД-МС: m/z 374,2 [MH+].
5-(Гидрокси-{3-[4-(5-трифторметил-пиридин-2-ил)-пиперазин-1-ил]-фенил}-метил)-5-метил-имидазолидин-2,4-дион
Получали альдольной конденсацией 4-[4-(5-трифторметил-пиридин-2-ил)-пиперазин-1-ил]-бензальдегида и 5-метил-имидазолидин-2,4-диона.

ХИАД-МС: m/z 450,2 [MH+].
5-[(4-{2-[4-(3-Хлор-5-трифторметил-пиридин-2-ил)-пиперазин-1-ил]-этокси}-фенил)-гидрокси-метил]-5-метил-имидазолидин-2,4-дион
Получали из коммерчески доступных исходных веществ.

ХИАД-МС: m/z 528,3 [MH+].
ПРИМЕР 9
Соединения синтезировали согласно способу Г (сочетание Сузуки) на схеме 4 (показана в приведенном выше описании) из коммерчески доступных арилбороновых кислот и 5-[гидрокси-(4-иод-фенил)-метил]-5-метил-имидазолидин-2,4-диона или 5-[гидрокси-(4-иод-фенил)-метил]-имидазолидин-2,4-диона, описанных ниже.
5-[Гидрокси-(4-иод-фенил)-метил]-5-метил-имидазолидин-2,4-дион
4-Иод-бензальдегид (9,280 г, 40,0 ммоль), 5-метил-гидантоин (4,564 г, 40,0 ммоль) и 45%-ный водный триметиламин (6,40 мл, 40,0 ммоль) кипятили с обратным холодильником в этаноле (60 мл) и воде (40 мл) в течение 20 часов в атмосфере азота. Образовался белый осадок. После охлаждения при комнатной температуре в течение примерно 15 минут этот осадок собирали фильтрованием, промывали последовательно этанолом (50%, 50 мл), водой (50 мл) и диэтиловым эфиром (50 мл). Высушивание отсасыванием воздуха привело к получению соединения, указанного в заголовке, 5-[гидрокси-(4-иод-фенил)-метил]-5-метил-имидазолидин-2,4-диона (7,968 г, 23,0 ммоль) с выходом 57,5% в виде белого твердого вещества в форме чистого рацемата.
1H ЯМР (300 МГц, ДМСО-d6) : 10.19 (1Н, s); 8.08 (1Н, s); 7.64 (2Н, d, J=8.55 Гц); 7.07 (2Н, d, J=8.43 Гц); 5.98 (1Н, d, J=4.49 Гц); 4.57 (1Н, d, J=4,32 Гц); 1.40 (3H, s).
ХИАД-МС: m/z 346,9 [МН+].
5-[Гидрокси-(4-иод-фенил)-метил]-имидазолидин-2,4-дион
Получали по тому же протоколу, который использовали для получения 5-[гидрокси-(4-иод-фенил)-метил]-5-метил-имидазолидин-2,4-диона, описанному выше.
1H ЯМР (300 МГц, ДМСО-d6) : 10.32 (1Н, s); 8.06 (1Н, s); 7.66 (2Н, d, J=8.14 Гц); 7.10 (2Н, d, J=8.27 Гц); 5.91 (1Н, d, J=3.90 Гц); 4.87 (1Н, t, J=2.70 Гц); 4.34 (1H, d, J=2.48 Гц).
ХИАД-МС: m/z 333,1 [MH+].
4′-[Гидрокси-(4-метил-2,5-диоксо-имидазолидин-4-ил)-метил]-бифенил-4-карбоновая кислота

Перемешанную смесь 4-карбокси-фенил-бороновой кислоты (214 мг, 1,3 ммоль), 5-[гидрокси-(4-иод-фенил)-метил]-имидазолидин-2,4-диона (347 мг, 1,0 ммоль) и гидрокарбоната натрия (318 мг, 3,8 ммоль) в ацетоне (5,0 мл) и воде (5,0 мл) подвергали дезоксигенированию 3 сменами вакуум/азот. Добавляли диацетат палладия (20 мг) и дезоксигенирование повторяли, а затем смесь перемешивали при 50°С в течение 90 минут в атмосфере азота.
Твердому веществу давали возможность осесть. Супернатант распределяли между водой (20 мл), этилацетатом (15 мл) и диэтиловым эфиром (15 мл). Водную фазу подкисляли 1 М HCl (водн., 10 мл), затем экстрагировали два раза этилацетатом (15 мл) и диэтиловым эфиром (15 мл). Выпаривание органической фазы дало 340 мг сырого продукта, который суспендировали в диоксане (6 мл) и воде (6 мл) вместе с трифторуксусной кислотой (100 микролитров) и фильтровали. Препаративная ВЭЖХ (колонка, ацетонитрил/вода/трифторуксусная кислота) привела к получению соединения, указанного в заголовке, 4′-[гидрокси-(4-метил-2,5-диоксо-имидазолидин-4-ил)-метил]-бифенил-4-карбоновой кислоты (114 мг, 0,33 ммоль) в виде белого твердого вещества с выходом 33,5%.
1H ЯМР (400 МГц, ДМСО-d6) : 10.20 (1Н, s); 8.13 (1Н, s); 8.00 (2Н, d, J=8.33 Гц); 7.79 (2Н, d, J=8.49 Гц); 7.67 (2Н, d, J=8.39); 7.40 (2Н, d, J=8.48); 5.97 (1Н, bs); 4.68 (1Н, s); 1.44 (3Н, s).
ХИАД-МС: m/z 341 [MH+].
Следующие соединения были получены по тому же протоколу, который использовали для получения 4′-[гидрокси-(4-метил-2,5-диоксо-имидазолидин-4-ил)-метил]-бифенил-4-карбоновой кислоты, описанному выше.
5-[Гидрокси-(4′-метилсульфанил-бифенил-4-ил)-метил]-5-метил-имидазолидин-2,4-дион

1H ЯМР (300 МГц, ДМСО-d6) : 10.18 (1Н, s); 8.10 (1Н, s); 7.62 (2Н, d, J=8.61 Гц); 7.57 (2Н, d, J=8.42 Гц); 7.35 (2Н, d, J=5.73); 7.32 (2Н, d, J=6.30); 5.91 (1Н, d, J=4.32 Гц); 4.65 (1Н, d, J=4.31 Гц); 2.50 (3Н, s); 1.43 (3Н, s).
ХИАД-МС: m/z 343,0 [МН+].
5-[Гидрокси-(4-нафталин-2-ил-фенил)-метил]-5-метил-имидазолидин-2,4-дион

ХИАД-МС: m/z 347,1 [MH+].
5-(Гидрокси[1,1′;4,1″]терпенил-4″-ил-метил)-5-метил-имидазолидин-2,4-дион

ХИАД-МС: m/z 373,1 [МН+].
5-[(3′-Бензилокси-бифенил-4-ил)-гидрокси-метил]-5-метил-имидазолидин-2,4-дион

ХИАД-МС: m/z 403,1 [МН+].
5-[(4-Бензо[1,3]диоксол-5-ил-фенил)-гидрокси-метил]-имидазолидин-2,4-дион

1H ЯМР (400 МГц, ДМСО-d6) : 10.31 (1Н, s); 8.04 (1Н, s); 7.53 (2Н, d, J=8.39 Гц); 7.33 (2Н, d, J=8.20 Гц); 7.24 (1Н, s); 7.14 (1Н, d, J=8.11); 6.97 (1Н, d, J=8.01 Гц); 6.03 (2Н, d, J=6.87 Гц); 5.84 (1Н, d, J=3.62 Гц); 4.92 (1Н, s); 4.35 (1Н, s).
ХИАД-МС: m/z 309 [MH+-H2O].
5-[Гидрокси-(3′-нитро-бифенил-4-ил)-метил]-5-метил-имидазолидин-2,4-дион

1H ЯМР (400 МГц, ДМСО-d6) : 10.18 (1Н, s); 8.41 (1Н, t, J=8.41 Гц); 8.20 (1Н, m); 8.15 (1Н, m); 8.12 (1Н, s); 7.73 (3Н, m); 7.41 (2Н, d, J=8.20); 5.97 (1Н, d, J=4.39 Гц); 4.68 (1Н, d, J=4.58 Гц); 1.43 (3Н, s).
ХИАД-МС: m/z 342,1 [MH+].
ПРИМЕР 10
Соединения синтезировали согласно способу Д (амидное сочетание) на схеме 4 (показана в приведенном выше описании). Соединения получали общим способом, описанным ниже. Все использованные в сочетании амины коммерчески доступны.

К 0,3 М раствору 4′-[гидрокси-(4-метил-2,5-диоксо-имидазолидин-4-ил)-метил]-бифенил-4-карбоновой кислоты в 1-метил-2-пирролидиноне (50 мкл) добавляли 1-этил-3-(3-диметиламинопропил)карбодиимида гидрохлорид (1,3 экв., 45 мкл 0,5 М в 1-метил-2-пирролидиноне), 1-гидроксибензотриазол (1,7 экв., 51 мкл 0,5 М в 1-метил-2-пирролидиноне), N,N-диизопропилэтиламин (1 экв., 20 мкл 1 М в 1-метил-2-пирролидиноне) и соответствующий амин (2 экв., 100 мкл 0,3 М в 1-метил-2-пирролидиноне). Эту реакционную смесь перемешивали в течение ночи при комнатной температуре. Очистку осуществляли препаративной ВЭЖХ-C18.
4′-[Гидрокси-(4-метил-2,5-диоксо-имидазолидин-4-ил)-метил]-бифенил-4-карбоновой кислоты (2-гидрокси-этил)-метил-амид

ХИАД-МС m/z: 398,1 [MH+].
5-{Гидрокси-[4′-(морфолин-4-карбонил)-бифенил-4-ил]-метил}-5-метил-имидазолидин-2,4-дион

ХИАД-МС m/z: 410,1 [МН+].
4′-[Гидрокси-(4-метил-2,5-диоксо-имидазолидин-4-ил)-метил]-бифенил-4-карбоновой кислоты метил-(1-метил-пирролидин-3-ил)-амид

ХИАД-МС m/z: 437,1 [МН+].
4′-[Гидрокси-(4-метил-2,5-диоксо-имидазолидин-4-ил)-метил]-бифенил-4-карбоновой кислоты (2-морфолин-4-ил-этил)-амид

ХИАД-МС m/z: 453,1 [MH+].
4′-[Гидрокси-(4-метил-2,5-диоксо-имидазолидин-4-ил)-метил]-бифенил-4-карбоновой кислоты (2-метокси-этил)-амид

ХИАД-МС m/z: 398,1 [МН+].
5-{Гидрокси-[4′-(пирролидин-1-карбонил)-бифенил-4-ил]-метил}-5-метил-имидазолидин-2,4-дион

ХИАД-МС m/z: 394,1 [МН+].
4′-[Гидрокси-(4-метил-2,5-диоксо-имидазолидин-4-ил)-метил]-бифенил-4-карбоновой кислоты (2-циано-этил)-метил-амид

ХИАД-МС m/z: 407,1 [МН+].
4′-[Гидрокси-(4-метил-2,5-диоксо-имидазолидин-4-ил)-метил]-бифенил-4-карбоновой кислоты метил-фенетил-амид

ХИАД-МС m/z: 458,1 [MH+].
4′-[Гидрокси-(4-метил-2,5-диоксо-имидазолидин-4-ил)-метил]-бифенил-4-карбоновой кислоты (4-циано-циклогексил)-метил-амид

ХИАД-МС m/z: 461,1 [MH+].
5-{Гидрокси-[4′-(4-гидроксиметил-пиперидин-1-карбонил)-бифенил-4-ил]-метил}-5-метил-имидазолидин-2,4-дион

ХИАД-МС m/z: 438,1 [MH+].
4′-[Гидрокси-(4-метил-2,5-диоксо-имидазолидин-4-ил)-метил]-бифенил-4-карбоновой кислоты [3-(2-оксо-пирролидин-1-ил)-пропил]-амид

ХИАД-МС m/z: 465,1 [МН+].
4′-[Гидрокси-(4-метил-2,5-диоксо-имидазолидин-4-ил)-метил]-бифенил-4-карбоновой кислоты циклопентиламид

ХИАД-МС m/z: 408,1 [MH+].
4′-[Гидрокси-(4-метил-2,5-диоксо-имидазолидин-4-ил)-метил]-бифенил-4-карбоновой кислоты (1-фенил-этил)-амид

ХИАД-МС m/z: 444,1 [МН+].
4′-[Гидрокси-(4-метил-2,5-диоксо-имидазолидин-4-ил)-метил]-бифенил-4-карбоновой кислоты (пиридин-4-илметил)-амид

ХИАД-МС m/z: 431,1 [МН+].
4′-[Гидрокси-(4-метил-2,5-диоксо-имидазолидин-4-ил)-метил]-бифенил-4-карбоновой кислоты бензиламид

ХИАД-МС m/z: 430,1 [MH+].
4′-[Гидрокси-(4-метил-2,5-диоксо-имидазолидин-4-ил)-метил]-бифенил-4-карбоновой кислоты циклопропиламид

ХИАД-МС m/z: 380,1 [МН+].
4′-[Гидрокси-(4-метил-2,5-диоксо-имидазолидин-4-ил)-метил]-бифенил-4-карбоновой кислоты 4-метокси-бензиламид

ХИАД-МС m/z: 460,1 [МН+].
4′-[Гидрокси-(4-метил-2,5-диоксо-имидазолидин-4-ил)-метил]-бифенил-4-карбоновой кислоты (3-имидазол-1-ил-пропил)-амид

ХИАД-МС m/z: 448,1 [MH+].
N-{4-[Гидрокси-(4-метил-2,5-диоксо-имидазолидин-4-ил)-метил]-фенил}-бензамид
5-[Гидрокси-(4-нитро-фенил)-метил]-5-метил-имидазолидин-2,4-дион синтезировали согласно способу В по протоколу, описанному в примере 1 (ХИАД-МС m/z: 268,8 [МН+]). Соответствующий амин 5-[(4-амино-фенил)-гидрокси-метил]-5-метил-имидазолидин-2,4-дион получали катализируемой Pd(0) гидрогенизацией в этаноле (ХИАД-МС m/z: 218,0 [МН+] (-Н2O)). В конце 5-[(4-амино-фенил)-гидрокси-метил]-5-метил-имидазолидин-2,4-дион подвергали сочетанию с бензойной кислотой согласно приведенному выше протоколу (способ Д) с получением соединения, указанного в заголовке.

ХИАД-МС m/z: 240,0 [MH+].
ПРИМЕР 11
Энантиомеры выделяли способом, описанным ниже для разделения 4′-(гидрокси-(4-метил-2,5-диоксоимидазолидин-4-ил)-метил)бифенил-4-карбонитрила.
4′-(Гидрокси-(4-метил-2,5-диоксоимидазолидин-4-ил)-метил)бифенил-4-карбонитрил

Хроматографическое разделение
0,10 г диастереомерно чистого 4′-(гидрокси-(4-метил-2,5-диоксоимидазолидин-4-ил)-метил)бифенил-4-карбонитрила растворяли в 76 мл смеси абсолютный этанол/изогексан (75:25) и фильтровали через 0,45 мкм нейлоновый фильтр. Объемы по 5,0 мл повторно впрыскивали на хиральную колонку (Chiralpak AD-H, внутренний диаметр 2 см × длина 25 см), соединенную с УФ-детектором (254 нм) и коллектором фракций. Разделение проводили смесью абсолютный этанол/изогексан (75:25) при скорости потока 8,0 мл/мин и чистые энантиомеры элюировали примерно через 15 минут и 21 минуту соответственно. Фракции, содержащие один и тот же энантиомер, объединяли, концентрировали и оценивали оптическую чистоту хиральной хроматографией (смотри ниже).
Энантиомер А (“ранние” фракции)
Выход 0,047 г белого твердого вещества.
Хиральная хроматография (Chiralpak AD-H (внутренний диаметр 0,45 см × длина 25 см) при скорости потока смеси абсолютный этанол/изогексан (75:25) 0,43 мл/мин)
Время удерживания 11,4 минут.
Оптическая чистота 99,9% э.и. (энантиомер Б не присутствует).
1Н ЯМР (CD3OD) : 1.60 (s, 3H), 4.84 (m, скрыт синглетом воды, 1Н), 7.50 (d, 2Н, J=8 Гц), 7.62 (d, 2Н, J=8 Гц) и 7.79 (m, 4H) млн-1.
Энантиомер Б (“поздние” фракции)
Выход 0,040 г белого твердого вещества.
Хиральная хроматография (Chiralpak AD-H (внутренний диаметр 0,45 см × длина 25 см) при скорости потока смеси абсолютный этанол/изогексан (75:25) 0,43 мл/мин)
Время удерживания 18,0 минут.
Оптическая чистота 99,0% э.и. (присутствует 0,50% энантиомера А).
1Н ЯМР (CD3OD) : 1.60 (s, 3H), 4.84 (m, скрыт синглетом воды, 1Н), 7.50 (d, 2H, J=8 Гц), 7.62 (d, 2H, J=8 Гц) и 7.79 (m, 4H) млн-1.
N-(4′-(Гидрокси-(4-метил-2,5-диоксоимидазолидин-4-ил)-метил)-бифенил-3-ил)ацетамид

Хроматографическое разделение
0,040 г диастереомерно чистого N-4′-(гидрокси-(4-метил-2,5-диоксоимидазолидин-4-ил)-метил)бифенил-3-ил)ацетамида растворяли в 224 мл смеси абсолютный этанол/изогексан (71:29) и разделяли, как описано выше, смесью абсолютный этанол/изогексан (50:50) в качестве элюента при скорости потока 6,0 мл/мин.
Энантиомер А (“ранние” фракции)
Выход 0,019 г белого твердого вещества.
Хиральная хроматография (Chiralpak AD-H (внутренний диаметр 0,45 см × длина 25 см) при скорости потока смеси абсолютный этанол/изогексан (50:50) 0,43 мл/мин).
Время удерживания 10,4 минут.
Оптическая чистота 99,9% э.и. (энантиомер Б не присутствует).
1Н ЯМР (CD3OD) : 1.60 (s, 3H), 2.14 (s, 3Н), 4.82 (m, скрыт синглетом воды, 1Н), 7.33 (m, 1Н), 7.36 (t, 1Н, J=8 Гц), 7.44 (d, 2Н, J=8 Гц), 7.50 (m, 1H), 7.54 (d, 2H, J=8 Гц) и 7.82 (m, 1H) млн-1.
Энантиомер Б (“поздние” фракции)
Выход 0,018 г белого твердого вещества.
Хиральная хроматография (Chiralpak AD-H (внутренний диаметр 0,45 см × длина 25 см) при скорости потока смеси абсолютный этанол/изогексан (50:50) 0,43 мл/мин)
Время удерживания 14,8 минут.
Оптическая чистота 99,6% э.и. (присутствует 0,20% энантиомера А).
1Н ЯМР (CD3OD) : 1.60 (s, 3Н), 2.14 (s, 3H), 4.82 (m, скрыт синглетом воды, 1H), 7.33 (m, 1H), 7.36 (t, 1H, J=8 Гц), 7.44 (d, 2H, J=8 Гц), 7.50 (m, 1H), 7.54 (d, 2H, J=8 Гц) и 7.82 (m, 1H) млн-1.
5-(Бифенил-4-ил-гидрокси-метил)-имидазолидин-2,4-дион

Хроматографическое разделение
Разделение проводили на системе ВЭЖХ Gilson (колонка: CHIRALPAK AD, 2,0×25 см. Растворитель: изогексан/EtOH=25/75. Скорость потока 6,0 мл/мин. УФ 254 нм. Впрыскиваемый объем 3,0 мл). 24 мг рацемического вещества растворяли в 24 мл смеси изогексан/EtOH 25/75. Два энантиомера с Rt 17,72 мин и 20,47 мин собирали и растворитель удаляли выпариванием. Анализировали на энантиомерную чистоту, используя следующую систему ВЭЖХ Gilson (колонка: CHIRALPAK AD, 0,46,0×25 см. Растворитель: изогексан/EtOH 25/75. Скорость потока 0,5 мл/мин. УФ 254 нм). Более быстрый энантиомер: 9 мг, Rt=10,12 мин, э.и.=99,9%. Более медленный энантиомер: 7 мг, Rt=11,78 мин, э.и.=99,2%.
ПРИМЕР 12
Следующие соединения получали способом, аналогичным способу, описанному в примере 1.
5-[(9Н-Флуорен-2-ил)-гидрокси-метил]-имидазолидин-2,4-дион

ХИАД-МС m/z: 277 [MH+-Н2О].
(3-{4-[(4′-Фтор-бифенил-4-ил)-гидрокси-метил]-2,5-диоксо-имидазолидин-4-ил}-пропил)-карбаминовой кислоты бензиловый эфир

1H ЯМР (400 МГц, ДМСО-d6) : 10.20 (1Н, s); 8.53 (1Н, d, J=4.01 Гц); 8.01 (1Н, s); 7.69 (2Н, m); 7.56 (2Н, d, J=8.39); 7.30 (9Н, m); 5.90 (1Н, d, J=4.20 Гц); 4.99 (2Н, s); 4.64 (1Н, d, J=4.20 Гц); 2.98 (2Н, m); 1.97 (1Н, m); 1.72 (1Н, m); 1.42 (1H, m); 1.22(1H, m).
ХИАД-МС m/z: 492,2 [MH+].
5-(3-Амино-пропил)-5-[(4′-фтор-бифенил-4-ил)-гидрокси-метил]-имидазолидин-2,4-дион
Получали из описанного выше (3-{4-[(4′-фтор-бифенил-4-ил)-гидрокси-метил]-2,5-диоксо-имидазолидин-4-ил}-пропил)-карбаминовой кислоты бензилового эфира стандартным способом, известным специалистам в данной области техники.

ХИАД-МС m/z: 358,1 [МН+].
5-[Гидрокси-(4′-метокси-бифенил-4-ил)-метил]-5-метилсульфанилметил-имидазолидин-2,4-дион
Получали из 4′-метокси-бифенил-4-карбальдегида (таблица 3, способ Б) и 5-метилсульфанилметил-имидазолидин-2,4-диона (таблица 2, способ А) согласно способу В, пример 1.

1H ЯМР (400 МГц, ДМСО-d6) : 10.25 (1Н, s); 8.16 (1Н, s); 7.59 (2Н, d, J=8.77 Гц); 7.53 (2Н, d, J=8.20); 7.31 (2Н, d, J=8.20 Гц); 6.99 (2Н, d, J=8.77 Гц); 5.98 (1Н, d, J=4.20 Гц); 4.71 (1Н, d, J=4.01 Гц); 3.77 (3Н, s); 3.16 (1Н, d, J=14.3 Гц); 2.92 (2Н, d, J=14.31 Гц); 2.11 (3Н, s).
ХИАД-МС m/z: 373,1 [MH+].
5-[Гидрокси-(4′-метокси-бифенил-4-ил)-метил]-5-пиридин-2-илметил-имидазолидин-2,4-дион
Получали из 4′-метокси-бифенил-4-карбальдегида (таблица 3, способ Б) и коммерчески доступного 5-пиридин-2-илметил-имидазолидин-2,4-диона согласно способу В, пример 1.

1H ЯМР (400 МГц, ДМСО-d6) : 10.00 (1Н, s); 8.53 (1Н, d, J=4.01 Гц); 8.13 (1Н, s); 7.91 (1Н, s); 7.58 (2Н, m); 7.53 (2Н, m); 7.38 (4Н, m); 7.00 (2Н, m); 6.11 (1H, s);4.81 (1H, s); 3.48 (2H, m).
ХИАД-МС m/z: 404,3 [MH+].
5-[Гидрокси-(4-пиразин-2-ил-фенил)-метил]-5-метил-имидазолидин-2,4-дион
Получали из коммерчески доступных 4-пиразин-2-ил-бензальдегида и 5-метил-гидантоина согласно способу В, пример 1.

ХИАД-МС m/z: 299 [MH+].
5-{3-[4-(5-Хлор-пиридин-2-илокси)-фенил]-1-гидрокси-пропил}-5-метил-имидазолидин-2,4-дион
3-[4-(5-Хлор-пиридин-2-илокси)-фенил]-пропан-1-ол
3-(4-Гидроксифенил)-пропанол (768,5 мг, 5,05 ммоль), 2,5-дихлорпиридин (934,8 мг, 6,32 ммоль), карбонат цезия (2,48 г, 7,60 ммоль), смешанные в N-метил-пирролидоне (10 мл), перемешивали и нагревали (100°С) в течение 20 часов. Колбу охлаждали и содержимое распределяли между этилацетатом (100 мл), ди-трет-бутиловым эфиром (100 мл) и водой (300 мл). Органическую фазу промывали водой (3×30 мл). Выпаривание дало указанное в заголовке сырое соединение (1,502 г, 5,70 ммоль) в виде желтого масла с выходом 113%. Чистое согласно ТСХ анализу.
ХИАД-МС m/z: 264 [MH+].
3-[4-(5-Хлор-пиридин-2-илокси)-фенил]-пропиональдегид
3-[4-(5-Хлор-пиридин-2-илокси)-фенил]-пропан-1-ол (267 мг, 1,0 ммоль) и пиридинийхлорхромат (302 мг, 1,4 ммоль) перемешивали в дихлорметане (20 мл, высушен молекулярными ситами) в течение 2 часов. Флэш-хроматография (SiO2, дихлорметан/метанол: градиент до 100/5) привела к получению указанного в заголовке соединения (169 мг, 0,65 ммоль) в виде масла с выходом 65%.
ХИАД-МС m/z: 262 [MH+].
5-{3-[4-(5-Хлор-пиридин-2-илокси)-фенил]-1-гидрокси-пропил}-5-метил-имидазолидин-2.4-дион
3-[4-(5-Хлор-пиридин-2-илокси)-фенил]-пропиональдегид и коммерчески доступный 5-метил-гидантоин использовали для синтеза указанного в заголовке соединения согласно способу В, пример 1.

ХИАД-МС m/z: 376,0 [МН+].
5-{[4-(5-Хлор-пиридин-2-ил-окси)-фенил]-гидрокси-метил}-5-метил-имидазолидин-2,4-дион
4-(5-Хлор-пиридин-2-илокси)-бензальдегид
4-Гидрокси-бензальдегид (620,9 мг, 5,08 ммоль), карбонат цезия (2,6 г, 7,98 ммоль) и 2,5-дихлорпиридин (947 мг, 6,40 ммоль), смешанные в N-метил-пирролидоне (10 мл), перемешивали и нагревали (75°С) в течение 16 часов. ЖХ-МС анализ показал образование продукта в минорном количестве. Дальнейшая реакция при повышенной температуре (150°С) в течение дополнительных шести часов привела к увеличению образования продукта. Колбу охлаждали и содержимое распределяли между этилацетатом (100 мл), эфиром (100 мл) и водой (200 мл). Органическую фазу промывали водой (3×30 мл). Выпаривание и флэш-хроматография (SiO2, дихлорметан/метанол: градиент до 100/4) привели к получению 4-(5-хлор-пиридин-2-илокси)-бензальдегида (181 мг, 0,77 ммоль) с выходом 15,2%.
1H ЯМР (400 МГц, ДМСО-d6) : 9.98 (1Н, s); 8.27 (1Н, d); 8.04 (1Н, dd); 7.97 (2Н, d); 7.35 (2Н, d); 7.23 (1Н, d).
ХИАД-МС m/z: 234 [MH+].
5-{[4-(5-Хлор-пиридин-2-илокси)-фенил]-гидрокси-метил}-5-метил-имидазолидин-2.4-дион
4-(5-Хлор-пиридин-2-илокси)-бензальдегид и коммерчески доступный 5-метил-гидантоин использовали для синтеза соединения, указанного в заголовке, согласно способу В, пример 1.

ХИАД-МС m/z: 348 [МН+].
ПРИМЕР 13
5-[(3′-Амино-бифенил-4-ил)-гидрокси-метил]-5-метил-имидазолидин-2,4-дион
Получали из 5-[гидрокси-(3′-нитро-бифенил-4-ил)-метил]-5-метил-имидазолидин-2,4-диона, описанного в примере 8, стандартным способом синтеза, хорошо известным специалистам в данной области техники (катализируемой Pd(0) гидрогенизацией в этаноле).

ХИАД-МС m/z: 312,1 [MH+].
ПРИМЕР 14
Следующие соединения получали согласно протоколу, использованному для синтеза N-{4′-[гидрокси-(4-метил-2,5-диоксо-имидазолидин-4-ил)-метил]-бифенил-3-ил}-метансульфонамида, описанному ниже.
N-{4′-[Гидрокси-(4-метил-2,5-диоксо-имидазолидин-4-ил)-метил]-бифенил-3-ил}-метансульфонамид
Метансульфонилхлорид (10 мкп, 0,165 ммоль) добавляли по каплям к раствору 5-[(3′-амино-бифенил-4-ил)-гидрокси-метил]-5-метил-имидазолидин-2,4-диона (41 мг, 0,132 ммоль) в пиридине (1 мл). Полученную смесь перемешивали в течение 6 часов при температуре окружающей среды. Добавляли воду (15 мл) и эту водную смесь экстрагировали EtOAc (3×10 мл). Объединенные экстракты в EtOAc высушивали (MgSO4) и концентрировали при пониженном давлении с получением сырого продукта. Препаративной ВЭЖХ на колонке Chromasil C18 с ацетонитрилом/водой (0,1% трифторуксусной кислоты) получали 40 мг (выход 80%) соединения, указанного в заголовке, N-{4′-[гидрокси-(4-метил-2,5-диоксо-имидазолидин-4-ил)-метил]-бифенил-3-ил}-метансульфонамида.

1H ЯМР (400 МГц, ДМСО-d6) : 10.17 (1Н, s); 9.79 (1Н, s); 8.10 (1Н, s); 7.57 (2Н, d, J=8.39 Гц); 7.40 (5Н, m); 7.19 (1Н, m); 7.25 (2Н, d, J=8.39 Гц); 7.20 (1Н, m); 5.92 (1Н, m); 4.65 (1Н, s); 3.01 (3Н, s); 1.42 (3Н, s).
ХИАД-МС m/z: 390,1 [МН+].
N-{4′-[Гидрокси-(4-метил-2,5-диоксо-имидазолидин-4-ил)-метил]-бифенил-3-ил}-пропионат

1H ЯМР (400 МГц, ДМСО-d6) : 10.17 (1Н, s); 9.90 (1Н, s); 8.09 (1Н, s); 7.90 (1Н, s); 7.51 (3Н, m); 7.32 (4Н, m); 5.92 (1Н, d, J=4.39 Гц); 4.65 (1Н, d, J=4.39 Гц); 2.32 (1Н, q, J=7.44 Гц); 1.42 (3Н, s); 1.08 (3Н, t, J=7.53 Гц).
ХИАД-МС m/z: 368,1 [МН+].
N-{4′-[Гидрокси-(4-метил-2,5-диоксо-имидазолидин-4-ил)-метил]-бифенил-3-ил}-изобутирамид

1H ЯМР (400 МГц, ДМСО-d6) : 10.15 (1Н, s); 9.87 (1Н, s); 8.09 (1Н, s); 7.92 (1Н, s); 7.52 (3Н, m); 7.33 (4Н, m); 5.92 (1Н, d, J=4.39 Гц); 4.65 (1Н, d, J=4.39 Гц); 2.59 (1Н, m); 1.42 (3Н, s); 1.10 (6Н, d, J=6.87 Гц).
ХИАД-МС m/z: 382,1 [МН+].
N-{4′-[Гидрокси-(4-метил-2,5-диоксо-имидазолидин-4-ил)-метил]-бифенил-3-ил}-2,2-диметилпропионамид

1H ЯМР (400 МГц, ДМСО-d6) : 10.15 (1Н, s); 9.23 (1Н, s); 8.09 (1Н, s); 7.93 (1Н, s); 7.58 (3Н, m); 7.33 (4Н, m); 5.91 (1Н, d, J=4.39 Гц); 4.65 (1Н, d, J=4.39 Гц); 1.42 (3H, s); 1.22 (9H, s).
ХИАД-МС m/z: 396,2 [МН+].
ПРИМЕР 15
5-[(4′-Хлорбифенил-4-ил)метоксиметил]-5-метил-имидазолидин-2,4-дион

4-Хлор-4′-(2-нитропропенил)бифенил
4-(4-Хлорфенил)бензальдегид (0,66 г, 3,0 ммоль), нитроэтан (2 мл), карбонат аммония (3,5 г) и ледяную уксусную кислоту (17 мл) перемешивали в атмосфере азота при 82°С в течение 20 часов. Летучие вещества выпаривали, желтый остаток растворяли в эфире и промывали один раз водой. Водную фазу отделяли и промывали один раз эфиром. Объединенные органические фазы промывали водой, рассолом, высушивали над безводным сульфатом натрия, фильтровали и концентрировали с диксидом кремния (3 г) роторным выпариванием. Сухой остаток наносили на колонку с диоксидом кремния. Элюирование смесью этилацетат/н-гептан от (1:20) до (1:8) дало 0,50 г (выход 61%) соединения, указанного в заголовке, в виде желтых кристаллов. Т. пл. 113,8-114,3°С (не скорректирована).
FT-IR (ATR) (ИК-Фурье спектр нарушенного полного внутреннего отражения (НПВО)) 1647 (w), 1504 (str), 1484 (str), 1320 ( str), 812 (str) см-1.
1H ЯМР (300 МГц, CDCl3) : 2.50 (d, 3H, J=1 Гц); 7.44 (d, 2H, J=9 Гц); 7.52 (d, 2H, J=9 Гц); 7.55 (d, 2H, J=9 Гц); 7.65 (d, 2H, J=9 Гц) и 8.12 (br s, 1H) млн-1.
13C ЯМР (100 МГц, CDCl3) : 14.2, 127.2, 128.2, 129.1, 130.5, 131.5, 132.9, 134.1,138.1, 141.3 и 147.6 млн-1.
4-Хлор-4′-(1-метокси-2-нитропропил)бифенил
Смесь 4-хлор-4′-(2-нитропропенил)бифенила (0,39 г, 1,3 ммоль), метилата натрия (4,0 ммоль; свежеприготовленного из 0,091 г натрия и сухого метанола) и безводного 1,2-диметоксиэтана (3,0 мл) перемешивали в атмосфере азота при 22°С в течение трех часов, подкисляли 10%-ной уксусной кислотой в метаноле (4 мл), концентрировали до сухости роторным выпариванием, а затем растворяли в этилацетате и воде. Водную фазу отделяли и промывали один раз этилацетатом. Объединенные органические фазы промывали рассолом, высушивали над безводным сульфатом натрия, фильтровали и концентрировали с диоксидом кремния (3 г) роторным выпариванием. Сухой остаток наносили на колонку диоксида кремния. Элюирование смесью дихлорметан/н-гептан от (1:3) до (1:1) привело к получению 0,40 г (выход 95%) соединения, указанного в заголовке, в виде белого твердого вещества.
FT-IR (ATR) v 1552 ( str), 1485 (str), 1092 (str), 814 (str) см-1.
1H ЯМР (400 МГц, CDCl3) : 1.30 (d, 1,33H, J=7 Гц); 1.56 (d, 1,7H, J=7 Гц); 3.22 (s, 1,2H), 3.32 (s, 1,8H), 4.56 (d, 1,2H, J=10 Гц); 4.63 (me, 1,8 Н), 4.76 (me, 1,2Н), 4.88 (d, 1,8H, J=5 Гц) и 7.38-7.62 (m’s, 8H) млн-1.
13C ЯМР (100 МГц, CDCl3) : 13.0, 16.3, 57.0, 57.7, 83.5, 84.8, 86.9, 87.5, 127.3, 127.5, 128.3, 129.0, 129.1, 132.7, 133.7, 133.9, 135.1, 135.9, 138.7, 138.8, 140.4, 140.9 млн-1 (диастереомерные сигналы).
1-(4′-Хлорбифенил-4-ил)-1-метоксипропан-2-он
Смесь 4-хлор-4′-(1-метокси-2-нитропропил)бифенила (0,123 г, 0,40 ммоль), сухого дихлорметана (2,8 мл) и тонкоизмельченных молекулярных сит ЗÅ (0,040 г) в атмосфере аргона охлаждали на ледяной бане. Перрутенат тетрапропиламмония (0,170 г, 0,48 ммоль) добавляли порциями к холодной перемешанной смеси. После завершения добавления ледяную баню убирали и смесь перемешивали при 22°С в течение 4,0 часов. Добавляли диэтиловый эфир (30 мл) и полученную в результате темную суспензию фильтровали через целит. Прозрачный фильтрат концентрировали с диоксидом кремния (4 г) роторным выпариванием. Сухой остаток наносили на колонку с диоксидом кремния. Элюирование смесью дихлорметан/н-гептан от (1:2) до (2:1) привело к получению 0,052 г (выход 47%) соединения, указанного в заголовке, в виде белого твердого вещества.
FT-IR (ATR) 1716 ( str), 1485 (str), 1093 см-1 ( str).
1H ЯМР (300 МГц, CDCl3) : 2.16 (s, 3Н); 3.42 (s, 3Н); 4.69 (s, 1H), 7.40 (d, 2Н, J=9 Гц); 7.46 (d, 2Н, J=8 Гц), 7.51 (d, 2Н, J=9 Гц) и 7.56 (d, 2H, J=8 Гц) млн-1.
13C ЯМР (100 МГц, CDCl3) : 25.1, 57.3, 89.1, 127.2, 127.4, 128.2, 128.8, 133.5, 135.1, 138.8, 140.1 и 206.4 млн-1.
5-[(4′-Хлорбифенил-4-ил)метоксиметил]-5-метил-имидазолидин-2,4-дион
1-(4′-Хлорбифенил-4-ил)-1-метоксипропан-2-он (0,051 г, 0,19 ммоль), карбонат аммония (0,089 г, 0,93 ммоль), цианид калия (0,025 г, 0,37 ммоль; ОСТОРОЖНО!) и 50%-ный этанол в воде (1,4 мл) перемешивали в герметичном сосуде (4,5 мл) при 87°С (температура масляной бани) в течение 19 часов. Растворитель выпаривали, добавляли воду до получения объема примерно 20 мл, рН доводили до 3 ледяной уксусной кислотой и сырой продукт растворяли в этилацетате (50 мл). Органическую фазу промывали один раз рассолом, высушивали над безводным сульфатом натрия, фильтровали и концентрировали роторным выпариванием с получением 0,065 г (выход 100%) соединения, указанного в заголовке, в виде белого твердого вещества.
1H ЯМР (400 МГц, ДМСО-d6) : 1.06 (s, 2Н); 1.43 (s, 1H); 3.07 (s, 2H), 3.17 (s, 1H), 4.33 (s, 0,7H); 4.34 (s, 0,3 Н), 7.30-7.75 (m’s, 8,7H), 8.24 (brs, 0,3H), 10.26 (br s, 0,3H) и 10.56 (br s, 0,7H) млн-1.
13C ЯМР (100 МГц, ДМСО-d6) : 20.2, 21.1, 56.6, 57.0, 65.5, 66.2, 84.2, 84.9, 125.8, 126.1, 128.20, 128.22, 128.74, 128.76, 128.79, 128.9, 132.2, 135.3, 135.4, 138.2, 138.3, 138.3, 138.4, 156.1, 156.9, 175.9 и 177.1 млн-1 (диастереомерные сигналы).
ПРИМЕР 16
5-[Гидрокси-(4-хинолин-3-ил-фенил)-метил]-имидазолидин-2,4-дион
Это соединение синтезировали согласно J. Org. Chem. 2001, 66, 1500-1502, из коммерчески доступного 3-бром-хинолина и 5-[гидрокси-(4-иод-фенил)-метил]-имидазолидин-2,4-диона, описанного выше.

ХИАД-МС m/z: 348,2 [МН+].
ПРИМЕР 17
Изготовление фармацевтической композиции и лекарства, содержащих ингибитор металлопротеиназ.
Приведенные ниже примеры иллюстрируют типичные фармацевтические лекарственные формы, содержащие соединение формулы (I) и предназначенные для лечения опосредованных металлопротеиназами заболеваний.
(а)
| Таблетка |
мг/таблетка |
| Соединение формулы (I) |
100 |
| Лактоза (Европейская фармакопея) |
179 |
| Кроскармелозы натриевая соль |
12,0 |
| Поливинилпирролидон |
6 |
| Магния стеарат |
3,0 |
(б)
| Капсула |
мг/капсула |
| Соединение формулы (I) |
10 |
| Лактоза (Европейская фармакопея) |
389 |
| Кроскармелозы натриевая соль |
100 |
| Магния стеарат |
1,0 |
Вышеуказанные препараты могут быть получены традиционными способами, хорошо известными в фармацевтической области техники. Таблетки могут быть покрыты оболочкой обычными способами
Способ изготовления
Соединение формулы (I) помещают в сосуд, добавляют указанные эксципиенты, тщательно перемешивают до гомогенности (контролируя визуально). После этого (а) полученную смесь прессуют в таблетки или (б) этой смесью наполняют капсулы, пригодные для перорального введения.
Формула изобретения
1. Соединение формулы I или его фармацевтически приемлемая соль

где Х выбран из NR1, S;
Y1 и Y2 представляют собой О;
Z представляет собой О;
m равно 0 или 1;
А выбран из прямой связи, (С1-6)алкила;
R1 выбран из Н, алкила;
R3 и R6 независимо выбраны из Н, алкила, галогеноалкила, гетероалкила, циклоалкила, арила, циклоалкил-алкила, циклоалкил-гетероалкила, гетероциклоалкил-алкила, алкиларила, гетероарила, арилалкила, арил-гетероалкила, гетероарил-алкила, гетероарил-гетероалкила или гетероциклоалкила, содержащих от 3 до 7 кольцевых атомов, где алкильный, гетероалкильный, арильный, гетероарильный, циклоалкильный или гетероциклоалкильный радикалы могут быть возможно замещены одной или более чем одной группой, независимо выбранной из гидрокси, алкила, циклоалкила, арила, гетероарила, галогено, алкокси, карбокси, амино, алкилтио, где гетероалкил представляет собой замещеный гетероатомом алкил, содержащий один гетероатом, выбранный из N и S;
R4 выбран из Н, алкила;
R5 представляет собой бициклическую или трициклическую группу, содержащую две или три кольцевые структуры, каждая из которых содержит от 3 до 7 кольцевых атомов, независимо выбранных из циклоалкила, арила, гетероциклоалкила или гетероарила, причем каждая кольцевая структура независимо возможно замещена одним или более чем одним заместителем, независимо выбранным из галогена, тиоалкила, гидрокси, галогеноалкокси, амино, циано, нитро, алкила, галогеноалкила, алкокси, алкилсульфонамидо, алкиламидо, алкилкарбамата, алкилкарбамида, карбонила, карбокси, где любой алкильный радикал в пределах любого заместителя сам возможно может быть замещен одной или более чем одной группой, независимо выбранной из галогена, гидрокси, циано, алкокси;
R5 представляет собой бициклическую или трициклическую группу, где каждая кольцевая структура соединена со следующей кольцевой структурой через прямую связь, через -O-, через -S-, через (С1-6)алкил, через (С1-6)гетероалкил, через (С1-6)алкинил, через карбокси(С1-6)алкил или конденсирована со следующей кольцевой структурой, где гетероалкил представляет собой замещенный гетероатомом алкил, содержащий один гетероатом, выбранный из N, О и S;
при условии, что
когда Х представляет собой NR1, R1 представляет собой H, Y1 представляет собой О, Y2 представляет собой О, Z представляет собой О, m равно 0, А представляет собой прямую связь, R3 представляет собой Н, R4 представляет собой Н, и R6 представляет собой Н, то тогда R5 не является н-метилбензимидазолом или 5-(бензо[1,3]диоксол-5-илом);
когда Х представляет собой S, по меньшей мере один из Y1 и Y2 представляет собой О, m равно 0, А представляет собой прямую связь, R3 представляет собой Н или метил, R6 представляет собой Н или метил, то тогда R5 не является хиноксалин-1,4-диоксидом.
2. Соединение формулы I по п.1, или его фармацевтически приемлемая соль, где Х представляет собой NR1, R1 представляет собой Н или (С1-3)алкил, по меньшей мере один из Y1 и Y2 представляет собой О, Z представляет собой О, m равно 0, и А представляет собой прямую связь.
3. Соединение по п.1 или 2 или его фармацевтически приемлемая соль, где R3 представляет собой Н, алкил или галогеноалкил, R4 представляет собой Н, алкил.
4. Соединение по любому из пп.1-3 или его фармацевтически приемлемая соль, где R5 представляет собой бициклическую группу, содержащую два возможно замещенных 5- или 6-членных кольца, независимо выбранных из циклоалкила, арила, гетероциклоалкила или гетероарила.
5. Соединение по любому из пп.1-4 или его фармацевтически приемлемая соль, где R6 представляет собой Н, алкил, гидроксиалкил, аминоалкил, циклоалкил-алкил, арилалкил, алкиларил, гетероалкил, гетероциклоалкил-алкил, гетероарил-алкил.
6. Соединение формулы Ib или его фармацевтически приемлемая соль 
где Х выбран из NR1, S;
Y1 и Y2 представляют собой О;
Z представляет собой О;
m равно 0 или 1;
А выбран из прямой связи, (С1-6)алкила;
В выбран из прямой связи, -O-, -S-, амида, карбонила, (С1-6)алкила, (С2-6)алкинила или (С1-6)гетероалкила, содержащего гетероатом, выбранный из О, S;
R1 выбран из Н, (С1-3)алкила;
R3 выбран из H;
R4 выбран из H;
R6 выбран из H, алкила, гетероалкила, (С3-7)циклоалкила, (С3-7)гетероциклоалкила, (С3-7)арила, (С3-7)гетероарила, алкил-(С3-7)арила, (С3-7)циклоалкил-алкила, (С3-7)гетероциклоалкил-алкила, (С3-7)арил-алкила, (С3-7)гетероарил-алкила, (С3-7)циклоалкил-гетероалкила, (С3-7)арил-гетероалкила, (С3-7)гетероарил-гетероалкила;
алкильный, гетероалкильный, арильный, гетероарильный, циклоалкильный или гетероциклоалкильный радикалы в составе R6 могут быть возможно замещены одной или более чем одной группой, независимо выбранной из гидрокси, алкила, галогено, алкокси, карбокси, амино, алкилтио, где гетероалкил представляет собой замещений гетероатомом алкил, содержащий один гетероатом, выбранный из N и S;
либо G1 представляет собой моноциклическую группу, a G2 выбран из моноциклической группы и бициклической группы, либо G1 представляет собой бициклическую группу, a G2 представляет собой моноциклическую группу, причем эта моноциклическая группа содержит одну кольцевую структуру, а бициклическая группа содержит две кольцевые структуры либо конденсированные друг с другом, либо соединенные вместе через В, как он определен выше, причем каждая кольцевая структура содержит вплоть до 7 кольцевых атомов и независимо выбрана из циклоалкила, арила, гетероциклоалкила или гетероарила, где каждая кольцевая структура возможно независимо замещена одним или более чем одним заместителем, независимо выбранным из галогена, тиоалкила, гидрокси, галогеноалкокси, амино, циано, нитро, алкила, алкилсульфонамидо, алкиламидо, алкилкарбамата, алкилкарбамида, причем любой алкильный радикал в пределах любого заместителя сам может быть возможно замещен одной или более чем одной группой, независимо выбранной из галогена, гидрокси, циано, алкокси.
7. Соединение формулы Ib по п.6 или его фармацевтически приемлемая соль, где Х представляет собой NR1; по меньшей мере один из Y1 и Y2 представляет собой О; Z представляет собой О; m равно 0; А представляет собой прямую связь, (С1-6)алкил; В представляет собой прямую связь, ацетилен, CON (амид), (С1-С4)алкилокси, -O-, -S-; R1 представляет собой Н или метил; R3 представляет собой Н; R4 представляет собой Н.
8. Соединение формулы Ib по п.6 или его фармацевтически приемлемая соль, где Х представляет собой NR1, R1 представляет собой Н; Y1 и Y2 каждый представляет собой О; Z представляет собой О; m равно 0; А представляет собой прямую связь; В выбран из прямой связи, ацетилена, -O-, -S- или CH2O; R3 представляет собой Н и R4 представляет собой Н.
9. Соединение формулы 1 с или его фармацевтически приемлемая соль

где В выбран из прямой связи, ацетилена, -O-, -S- или CH2О;
R6 выбран из Н, алкила, гетероалкила, (С3-7)циклоалкила, (С3-7)гетероциклоалкила, (С3-7)арила, (С3-7)гетероарила, алкил-(С3-7)арила, (С3-7)циклоалкил-алкила, (С3-7)гетероциклоалкил-алкила, (С3-7)арил-алкила, (С3-7)гетероарил-алкила, (С3-7)циклоалкил-гетероалкила, (С3-7)арил-гетероалкила, (С3-7)гетероарил-гетероалкила;
алкильный, гетероалкильный, арильный, гетероарильный, циклоалкильный или гетероциклоалкильный радикалы в составе R6 могут быть возможно замещены одной или более чем одной группой, независимо выбранной из гидрокси, алкила, галогено, амино, алкилтио, где гетероалкил представляет собой замещеный гетероатомом алкил, содержащий один гетероатом, выбранный из N и S;
либо G1 представляет собой моноциклическую группу, а G2 выбран из моноциклической группы и бициклической группы, либо G1 представляет собой бициклическую группу, a G2 представляет собой моноциклическую группу, где эта моноциклическая группа содержит одну кольцевую структуру, а бициклическая группа содержит две кольцевые структуры, либо конденсированные друг с другом, либо соединенные вместе через В, как он определен выше, причем каждая кольцевая структура содержит вплоть до 7 кольцевых атомов и независимо выбрана из циклоалкила, арила, гетероциклоалкила или гетероарила, где каждая кольцевая структура возможно независимо замещена одним или более чем одним заместителем, независимо выбранным из галогена, тиоалкила, гидрокси, галогеноалкокси, амино, циано, нитро, алкила, алкилсульфонамидо, алкиламидо, алкилкарбамата, алкилкарбамида, причем любой алкильный радикал в пределах любого заместителя сам может быть возможно замещен одной или более чем одной группой, независимо выбранной из галогена, гидрокси, циано, алкокси.
10. Соединение формулы Ic по п.9 или его фармацевтически приемлемая соль, где В выбран из прямой связи, -O-, -S- или СН2О; G2 представляет собой моноциклическую группу, содержащую арильное кольцо; G1 представляет собой моноциклическую или бициклическую группу, содержащую по меньшей мере одно арильное кольцо; R6 выбран из Н, (С1-6)алкила, (С1-6)гетероалкила, гетероциклоалкила, гетероциклоалкил-(С1-6)алкила, гетероарила или гетероарил-(С1-6)алкила; алкильный, гетероалкильный, арильный, гетероарильный, циклоалкильный или гетероциклоалкильный радикалы в составе R6 могут быть возможно замещены одной или более чем одной группой.
11. Соединение формулы Id или его фармацевтически приемлемая соль

где В выбран из прямой связи, О или СН2О;
G1 представляет собой моноциклическую или бициклическую группу, содержащую по меньшей мере одно пяти- или шестичленное арильное кольцо;
R6 представляет собой H, алкил, гидроксиалкил, аминоалкил, алкиловый эфир алкил-карбаминовой кислоты, гетероарил-алкил;
L выбран из Н, алкила, галогеноалкила, гидрокси, алкокси, амино, алкиламидо, алкилкарбамата, алкилкарбамида, алкилсульфонамидо, нитро, циано, галогено;
либо L представляет собой группу
T-U-V-,
где V присоединен к G1, a V представляет собой NCO;
U представляет собой (С1-5)алкил;
Т выбран из гидрокси, алкокси, циано, имидазолила или пирролидона.
12. Соединение формулы Id по п.11 или его фармацевтически приемлемая соль, где G1 выбран из фенила, пиридила, нафтила или хинолина.
13. Соединение формулы Id по п.11 или 12 или его фармацевтически приемлемая соль, где R6 выбран из Н, (С1-6)алкила, гидрокси-(С1-6)алкила, амино-(С1-6)алкила или гетероарил-(С1-6)алкила.
14. Соединение формулы Id по любому из пп.11-13 или его фармацевтически приемлемая соль, где L выбран из Н, (С 1-5)алкила, (С1-5)галогеноалкила, гидрокси, алкокси, амино, (С1-5)алкиламидо, (С1-5)алкилкарбамата, (С1-5)алкилкарбамида, (С1-5)алкилсульфонамидо, нитро, циано, галогено либо
L представляет собой группу T-U-V-, где U представляет собой неразветвленный (С1-5)алкил, а Т выбран из гидрокси, алкокси, циано, имидазолила или пирролидона.
15. Соединение формулы Id по любому из пп.11-14 или его фармацевтически приемлемая соль, где L представляет собой мета- или пара-заместитель, а G1 представляет собой 6-членное кольцо.
16. Фармацевтическая композиция, пригодная для ингибирования металлопротеиназ, которая содержит соединение формулы I по п.1, либо соединение формулы Ib по п.6, либо соединение формулы Ic по п.9, либо соединение формулы Id по п.11, либо его фармацевтически приемлемую соль и фармацевтически приемлемый носитель.
17. Применение соединения формул I, или Ib, или Ic, или Id, или его фармацевтически приемлемой соли в изготовлении лекарства для использования в лечении заболевания или состояния, опосредованного одним или более чем одним ферментом, представляющим собой металлопротеиназу.
|
|