|
|
(21), (22) Заявка: 2005121863/09, 11.07.2005
(24) Дата начала отсчета срока действия патента:
11.07.2005
(46) Опубликовано: 10.02.2007
(56) Список документов, цитированных в отчете о поиске:
ДИДЕНКО А.Н. и др. Мощные СВЧ-импульсы наносекундной длительности. – М.: Энергоатомиздат, 1984, с.112. RU 2128877 C1, 10.04.1999. RU 2125340 C1, 20.01.1999. RU 2152126 C1, 27.06.2000. US 4897556 A, 30.01.1990. JP 3185914 A, 13.08.1991.
Адрес для переписки:
115409, Москва, Каширское ш., 31, МИФИ (ГУ), патентный отдел, Г.В. Бейгул
|
(72) Автор(ы):
Пономаренко Алексей Гаврилович (RU)
(73) Патентообладатель(и):
Московский инженерно-физический институт (государственный университет) (RU)
|
(54) УСТРОЙСТВО ВРЕМЕННОЙ КОМПРЕССИИ ИМПУЛЬСОВ СВЧ-ЭНЕРГИИ
(57) Реферат:
Изобретение относится к технике СВЧ, конкретно к области формирования импульсов СВЧ-энергии. Оно может быть использовано в системах питания электрофизической аппаратуры, например ускорителей заряженных частиц, и предназначено для повышения уровня выходной мощности. Устройство содержит прямоугольный призматический резонатор-накопитель, узел связи с генератором и высокочастотный коммутатор. Резонатор-накопитель разделен металлической перегородкой на две части, каждая из которых представляет прямоугольный волновод длиной в нечетное число четвертей длины волны в, при этом с одного конца волноводы закорочены, а с противоположного конца, в месте подключения нагрузки, размеры поперечного сечения резонатора совпадают с размерами волновода нагрузки. Толщина d металлический перегородки в месте подключения много меньше, чем в. Узел связи с генератором выполнен в виде полуволнового прямоугольного призматического резонатора, который соединен своей широкой стенкой с узкими стенками обоих волноводов и имеет на своих противоположных концах два отверстия связи, расстояние l1 которых от закороченного конца волноводов определяется соотношением , где k – целое число, кроме того, высокочастотный коммутатор установлен внутри одного из волноводов на расстоянии от закороченного конца. 2 ил.
Изобретение относится к технике СВЧ, конкретно к области формирования импульсов СВЧ-энергии. Оно может быть использовано в системах питания электрофизической аппаратуры, например ускорителей заряженных частиц, и предназначено для повышения уровня выходной мощности.
Известно [1] устройство для компрессии импульсов СВЧ-питания ускорительных секций, содержащее резонатор-накопитель, узел связи с генератором и высокочастотный коммутатор. В нем энергия СВЧ, поступающая от генератора, накапливается внутри резонатора в течение некоторого времени. Затем происходит срабатывание коммутатора и конфигурация цепи изменяется так, что накопленная энергия выводится из резонатора в нагрузку за время, существенно меньшее, чем время накопления. Тем самым мощность сигнала в нагрузке оказывается больше той, которую давал генератор. Недостатками этого устройства являются непрямоугольная форма огибающей выходного импульса и относительно невысокое значение коэффициента компрессии и выходной мощности.
Наиболее близким к предложенному устройству, принятым в качестве прототипа, является временной компрессор импульсов СВЧ, описанный в книге [2]. Он содержит резонатор-накопитель на основе прямоугольного волновода, который с одного конца через индуктивную диафрагму питается от магнетрона, работающего в импульсном режиме. К противоположному концу призматического резонатора подключен волноводный тройник в плоскости Н с закороченным боковым плечом. Нагрузка установки подключена к свободному прямому плечу тройника. Расстояние от закоротки бокового плеча до точки ветвления тройника равно длине волны в. В боковом плече на расстоянии в/4 от закоротки расположен управляемый разрядник, играющий роль высокочастотного коммутатора. В режиме накопления энергии разрядник выключен, при этом входное сопротивление бокового плеча тройника равно нулю и в точке ветвления реализуется режим короткого замыкания. Длина резонатора-накопителя, равная расстоянию от диафрагмы до точки ветвления, насчитывает целое число полуволн l=n· в/2, и в режиме накопления имеет место резонанс.
Включение разрядника делает входное сопротивление бокового плеча тройника в точке ветвления равным бесконечности. Это означает, что внутренняя полость накопителя оказывается подключенной к согласованной нагрузке и накопленная в нем энергия передается в нагрузку за время

Недостатком указанного устройства является то, что из-за ограничения электрической прочности резонатора-накопителя уровень мощности выходного импульса оказывается недостаточным для ряда применений.
Технический результат, на достижение которого направлено заявляемое изобретение, заключается в двукратном сокращении времени вывода энергии из резонатора-накопителя и соответствующем увеличении выходной мощности и коэффициента компрессии при том же уровне электрической прочности накопителя и запасенной энергии.
Сущность предлагаемого изобретения заключается в том, что в известном устройстве, содержащем прямоугольный призматический резонатор-накопитель, узел связи с генератором и высокочастотный коммутатор, резонатор-накопитель разделен металлической перегородкой на две части, каждая из которых представляет прямоугольный волновод длиной l0 в нечетное число четвертей длины волны в:l0=(2n+1)· в/4 (n=1, 2, …). Оба волновода с одной стороны закорочены, а с противоположной стороны к ним подключен волновод нагрузки. В месте подключения нагрузки волноводы накопителя касаются один другого своими широкими стенками, причем размеры суммарного поперечного сечения резонатора совпадают с размерами волновода нагрузки. В месте подключения нагрузки перегородка, разделяющая волноводы накопителя, имеет толщину много меньше длины волны. Узел связи с генератором выполнен в виде полуволнового прямоугольного призматического резонатора, который соединен своей широкой стенкой с узкими стенками обоих волноводов и имеет на своих противоположных концах два отверстия связи, расстояние l1 которых от закороченного конца волноводов определяется соотношением , где k – целое число, кроме того, высокочастотный коммутатор, установлен внутри одного из волноводов на расстоянии от закороченного конца.
Полная длина l резонатора-накопителя, измеряемая как расстояние от одной закоротки до другой, в предлагаемом устройстве равна l=2l0=(2n+1)· в/2. Это означает, что в накопителе имеет место резонанс, причем благодаря специальному выбору длин l0 в месте подключения нагрузки электрические поля в двух волноводах накопителя направлены навстречу друг другу.
Благодаря тому, что магнитное поле в резонаторе связи вблизи отверстий связи имеет одинаковую амплитуду и противоположное направление на протяжении всей длительности импульса генератора, возбуждение обоих волноводов происходит строго противофазно. Это гарантирует антисимметрию поля в месте подключения нагрузки и исключает возбуждение волновода нагрузки на всем протяжении переходного процесса накопления энергии.
В целях обеспечения необходимого уровня связи при минимальных размерах отверстий связи последние расположены на расстоянии l1 в целое число четвертей длины волны от закороченного конца волноводов. Это гарантирует максимум напряженности магнитного поля обоих волноводов вблизи отверстий связи.
В предлагаемом устройстве высокочастотный коммутатор установлен внутри одного из волноводов на расстоянии l2= в/4 от закороченного конца. Замыкание коммутатора вызывает переход предлагаемого устройства из режима накопления энергии к ее быстрому выводу в нагрузку. Факт замыкания коммутатора приводит к тому, что сечение короткого замыкания одного из волноводов переносится на в/4, а фаза отраженной волны в нем изменяется на . Эта измененная волна достигает сечения подключения нагрузки спустя время задержки . В этот момент в месте подключения нагрузки структура поля с антисимметричной изменяется на симметричную. При указанном выше соотношении размеров резонатора-накопителя и волновода нагрузки выполняется условие согласования, когда волновое сопротивление нагрузки Zн равно сумме волновых сопротивлений Zв двух волноводов, образующих резонатор-накопитель: Zн=2Zв. Это приводит к тому, что энергия, запасенная в накопителе, передается в нагрузку без отражений. Время вывода энергии равно времени распространения волны от сечения подключения до закоротки и обратно: . Это в два раза меньше времени вывода из устройства-прототипа, имеющего ту же длину l накопителя. В течение tвых. и энергия в нагрузку передается одновременно из обоих волноводов, поэтому мощность выходного сигнала и коэффициент компрессии вдвое превышают аналогичные параметры устройства-прототипа.
Если связь резонатора-накопителя с питающим генератором оптимальная, то мощность волны, циркулирующей в конце этапа накопления от одной закоротки до другой и обратно, превышает мощность питающего магнетрона в раз,
где Q0 – собственная добротность накопителя,
T= 0l/ гр – коэффициент затухания волны за одну циркуляцию, а
G0 – геометрический параметр, зависящий от соотношения между резонансной длиной волны в свободном пространстве 0 и в волноводе в и длиной l резонатора-накопителя следующим образом:

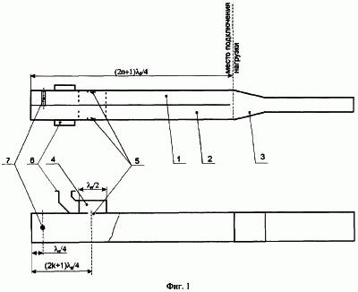
На фиг.1 дан схематический чертеж возможного варианта предлагаемого устройства. Здесь резонатор-накопитель разделен металлической стенкой на две части 1 и 2, каждая из которых представляет прямоугольный волновод длиной в нечетное число четвертей длины волны в. Оба волновода с одной стороны закорочены, а с противоположной стороны к ним подключен волновод нагрузки 3. Узел связи с генератором выполнен в виде полуволнового прямоугольного призматического резонатора 4, который соединен своей широкой стенкой с узкими стенками обоих волноводов. На своих противоположных концах резонатор связи имеет два отверстия связи 5, находящиеся на расстоянии l1=(2k+1)· в/4 от закороченного конца волноводов. К питающему генератору узел связи подключается с помощью фланца 6. Высокочастотный коммутатор, роль которого в данном примере выполняет искровой разрядник 7, установлен внутри одного из волноводов на расстоянии l2= в/4 от закороченного конца.
Предлагаемое устройство работает следующим образом. На этапе накопления энергии разрядник 7 выключен и структура электромагнитного поля в резонаторе вблизи места подключения нагрузки имеет вид, приведенный на фиг.2, а. Сплошными линиями здесь обозначено электрическое поле, а штриховыми – магнитное. Внутри резонатора-накопителя поле имеет вид стоячей волны типа Н10n . В волноводе нагрузки поле отсутствует из-за противофазного возбуждения верхнего и нижнего по рисунку волноводов накопителя.
Переход от режима накопления к режиму вывода энергии происходит в момент срабатывания разрядника. В результате коммутации фаза волны, отраженной от короткозамкнутого конца верхнего по фиг.1 волновода, изменяется на . Эта волна достигает места подключения нагрузки спустя время задержки tз. Начиная с этого момента, волны, поступающие в сечение подключения нагрузки через верхний и нижний волноводы, возбуждают волновод нагрузки синфазно и устремляются в него без отражений. Соответствующая структура поля в окрестности сечения подключения нагрузки в режиме вывода при t>tз дана на фиг.2, б. В обоих отрезках волноводов накопителя и в волноводе нагрузки структура поля на этапе вывода соответствует бегущей волне типа Н10 .
Таким образом, предложенное устройство временной компрессии импульса СВЧ-энергии, по сравнению с прототипом, позволяет вдвое сократить время tвых.и вывода накопленной энергии и во столько же раз повысить предельное значение коэффициента компрессии М2 и уровень выходной мощности Рвых.
СПИСОК ЛИТЕРАТУРЫ
2. Диденко А.Н., Юшков Ю.Г. Мощные СВЧ-импульсы наносекундной длительности. М.: Энергоатомиздат, 1984, 112 с.
th Int. Conf. on High Energy Accelerators. Stanford, 1974. SLAC. 1974, p.576-583.
4. Вишняков В.А., Ракитянский A.A., Терехов Б.А., Шендерович А.М. Автоускорение электронных пучков линейных ускорителей бегущей волны с помощью резонаторов с фольгами. Препринт ХФТИ №81-18, Харьков, 1981.
Формула изобретения
Устройство временной компрессии импульсов СВЧ-энергии, содержащее прямоугольный призматический резонатор-накопитель, узел связи с генератором и высокочастотный коммутатор, отличающееся тем, что резонатор-накопитель разделен металлической перегородкой на две части, каждая из которых представляет прямоугольный волновод длиной в нечетное число четвертей длины волны в, при этом с одного конца волноводы закорочены, а с противоположного конца в месте подключения нагрузки размеры поперечного сечения резонатора совпадают с размерами волновода нагрузки, причем толщина d металлической перегородки в месте подключения много меньше чем в, узел связи с генератором выполнен в виде полуволнового прямоугольного призматического резонатора, который соединен своей широкой стенкой с узкими стенками обоих волноводов и имеет на своих противоположных концах два отверстия связи, расстояние l1 которых от закороченного конца волноводов определяется соотношением

где k – целое число, кроме того, высокочастотный коммутатор установлен внутри одного из волноводов на расстоянии от закороченного конца.
РИСУНКИ
PD4A – Изменение наименования обладателя патента СССР или патента Российской Федерации на изобретение
(73) Новое наименование патентообладателя:
Федеральное государственное бюджетное образовательное учреждение высшего профессионального образования «Национальный исследовательский ядерный университет «МИФИ» (НИЯУ МИФИ) (RU)
Адрес для переписки:
115409, Москва, Каширское ш., 31, НИЯУ МИФИ, Патентный отдел, Г.В. Бейгул
Извещение опубликовано: 20.08.2010 БИ: 23/2010
|
|