Патент на изобретение №2293085
|
||||||||||||||||||||||||||||||||||||||||||||||||||||||||||||||||||||||||||||||||||||||||||||||||||||||||||||||||||||||||||||||||||||||||||||||
(54) 3,7-ДИАЗАБИЦИКЛО[3.3.0]ОКТАНЫ И ИХ ПРИМЕНЕНИЕ ПРИ ЛЕЧЕНИИ СЕРДЕЧНЫХ АРИТМИЙ
(57) Реферат:
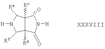
Изобретение относится к новым 3,7-диазабицикло[3.3.0]октанам формулы I где волнистые линии означают возможную относительную цис- или транс-стереохимию; R1 означаетС1-12алкил (возможно замещенный и/или оканчивающийся одной или более чем одной группой, выбранной из арила, Гет1, -C(O)R5a, -OR5b, -N(R6)R5c, -C(O)XR7, -C(O)N(R8)R5d и -S(O)2R9), Гет2, -C(O)R5a, -C(O)XR7 или -S(O)2R9; R5a-R5d, в каждом случае, когда используются здесь, независимо означают Н, C1-6алкил (возможно замещенный и/или оканчивающийся одним или более чем одним заместителем, выбранным из -ОН, C1-6алкокси, циано, арила, Гет3 и -NHC(O)R10), арил или Гет4; R10 означает Н, С1-4алкил; R6 означает Н, арил, Х означает О; R7, в каждом случае, когда используется здесь, означает С1-12алкил (причем алкильная группа возможно замещена и/или оканчивается одним заместителем, выбранным из -ОН, циано, C1-6алкокси, -SO2R13a, -C(O)R13b и Гет5); R13a и R13b независимо означают С1-6алкил; R8, в каждом случае, когда используется здесь, означает Н, С1-12алкил, C1-6алкокси (причем последние две группы возможно замещены и/или оканчиваются одним заместителем, выбранным из -ОН, С1-4алкила и C1-4алкокси), -D-арил, -D-Гет6, -D-S(O)2R15a, R15a независимо означает арил; D означает прямую связь или C1-6алкилен; R9, в каждом случае, когда используется здесь, означает С1-6алкил (возможно замещенный и/или оканчивающийся одним заместителем, выбранным из арила) или арил; R2 означает Н, -E-OR16, -E-N(R17)R18, либо вместе с R3 представляют собой =O; R3 означает Н, либо вместе с R2 представляют собой =O; R16 означает Н, C1-6алкил или -Е-арил; R17 означает H; R18 означает Н; Е, в каждом случае, когда используется здесь, означает прямую связь или С1-4алкилен; А означает -G-; В означает -Z-, -Z-N(R22)-, -N(R22)-Z-, -Z-S(O)n-, -Z-O- (причем в последних двух группах Z присоединен к атому углерода, несущему R2 и R3); G означает прямую связь или C1-6алкилен; Z означает прямую связь или С1-4алкилен; R22 независимо означает Н; R4 означает арил или Гет13, причем обе эти группы возможно замещены одним или более чем одним заместителем, выбранным из -ОН, циано, галогено, C1-6алкила, C1-6алкокси, -C(O)R24c или -S(O)nR23c; Гет13 означает пяти-шестичленную гетероциклическую группу, содержащую один или более чем один гетероатом, выбранный из кислорода, азота и/или серы; Гет1-Гет6, в каждом случае, когда используются здесь, независимо означают пяти-шестичленные гетероциклические группы, содержащие один или более чем один гетероатом, выбранный из кислорода, азота и/или серы, причем данные гетероциклические группы возможно замещены одним или более чем одним заместителем, включающим в себя C1-6алкил или -C(O)R24c; R23c, в каждом случае, когда используется здесь, независимо означают C1-6алкил; R24c, в каждом случае, когда используется здесь, независимо означают Н или С1-6алкил; n в каждом случае означает 0, 1 или 2 и Ra-Rf независимо означают Н или С1-4алкил, где каждая арильная и арилоксигруппа, если не указано иначе, возможно замещена одним или более чем одним заместителем, выбранным из -ОН, циано, галогено, C1-6алкила, C1-6алкокси, -С(O)R24c или -S(O)nR23c; или его фармацевтически приемлемое производное; при условии, что (а) когда R2 означает -E-OR16 или -E-N(R17)R18, где Е означает прямую связь, тогда (1) А не означает прямую связь и (2) В не означает -N(R22)-, -S(O)n-, -О- или -N(R22)-Z- (причем в последней группе -N(R22) присоединен к атому углерода, несущему R2 и R3); (б) данное соединение не является 3,7-бис(1-фенилэтил)-3,7-диазабицикло[3.3.0]октаном; 3-метил-7-бензил-3,7-диазабицикло[3.3.0]октаном; 3-циклогексил-7-бензил-3,7-диазабицикло[3.3.0]октаном; 3-(тиазол-2-ил)-7-бензил-3,7-диазабицикло[3.3.0]октаном; 3-(2-пиримидил)-7-бензил-3,7-диазабицикло[3.3.0]октаном, 3-(5,5-диметокси)пентил-7-бензил-3,7-диазабицикло[3.3.0]октаном; (в) когда R2 вместе с R3 представляют собой =O и В означает -Z-N(R22)- или -N(R22)-Z-, тогда G не является прямой связью. Соединения I могут быть использованы в фармацевтической композиции для лечения или профилактики аритмии. Описаны способы их получения и промежуточные соединения, используемые в этих способах. 11 н. и 27 з.п. ф-лы.
Область изобретения Данное изобретение относится к новым фармацевтически полезным соединениям, в частности к соединениям, которые полезны при лечении сердечных аритмий. Предшествующий уровень техники Сердечные аритмии можно определить как отклонения от нормы в скорости, регулярности или месте возникновения сердечного импульса либо как нарушения в проводимости, что вызывает аномальную последовательность возбуждения. С точки зрения клиники аритмии можно классифицировать по предположительному месту их возникновения (то есть как наджелудочковые аритмии, включая предсердные и предсердно-желудочковые, и желудочковые аритмии) и/или по частоте сокращений (то есть брадиаритмии (медленные) и тахиаритмии (быстрые)). Отрицательный результат некоторых клинических испытаний (смотри, например, результат испытания по подавлению сердечной аритмии (Cardiac Arrhythmia Suppression Trial (CAST)), изложенный в New England Journal of Medicine 321, 406 (1989)) при лечении сердечных аритмий “традиционными” противоаритмическими лекарствами, действующими главным образом путем снижения скорости проводимости (антиаритмические лекарства класса I), побудил направить разработку лекарств на соединения, которые селективно замедляют сердечную реполяризацию, тем самым удлиняя QT-интервал. Антиаритмические лекарства класса III могут быть определены как лекарства, удлиняющие продолжительность трансмембранного потенциала действия (что может быть вызвано блокированием направленных вовне токов K+или увеличением направленных внутрь ионных токов) и рефрактерность, не влияя на сердечную проводимость. Известно, что одним из ключевых недостатков известных до настоящего времени лекарств, которые действуют путем замедления реполяризации (класса III или других) является тот факт, что все они приводят к уникальной форме проаритмии, известной как torsades de pointes (трепетание-мерцание), которая иногда может заканчиваться смертельным исходом. С точки зрения безопасности сведение к минимуму этого явления (для которого также было показано, что оно проявляется как результат введения несердечных лекарств, таких как фенотиазины, трициклические антидепрессанты, антигистамины и антибиотики) представляет собой ключевую, требующую решения проблему при предложении эффективных антиаритмических лекарств. Антиаритмические лекарства на основе биспидинов (3,7-диазабицикло[3.3.1]нонанов) известны среди прочего из международных заявок на патент WO 91/07405 и WO 99/31100, европейских заявок на патент 306871, 308843 и 665228 и патентов США 3962449, 4556662, 4550112, 4459301 и 5468858, а также из журнальных статей, включая среди прочего J. Med. Chem. 39, 2559 (1996); Pharmacol. Res. 24, 149 (1991); Circulation 90, 2032 (1994), и Anal. Sci. 9, 429 (1993). Ни в одном из этих документов не раскрыты и не предполагаются соединения на основе 3,7-диазабицикло[3.3.0]октана. Известно, что соединения на основе 3,7-диазабицикло[3.3.0]октана используются в ряде медицинских применений, включая среди прочего средства против мигрени (как описано в WO 98/06725 и WO 97/11945); антибиотики (как описано в WO 97/10223 и WO 96/35691); нейролептики (как описано в WO 95/15327 и WO 95/13279); ингибиторы обратного захвата серотонина (как описано в WO 96/07656); ингибиторы тромбина (как описано в Helvetica. Chim. Acta 83, 855 (2000); Chem. & Biol. 4, 287 (1997) и Angew. Chem. Int. Ed. Eng. 34, 1739 (1995)), и анксиолитические агенты (как описано в J. Med. Chem. 32, 1024 (1989)). Кроме того, соединения на основе 3,7-диазабицикло[3.3.0]октана были использованы при лечении среди прочего желудочно-кишечных расстройств (как описано в DE 3930266 А1) и заболеваний, вызываемых дисфункцией глутаминергической системы (как описано в WO 01/04107). Другие 3,7-диазабицикло[3.3.0]октановые соединения известны как редкие химические соединения, среди прочего из J. Heterocyclic. Chem. 20, 321 (1983), Chem. Ber. 101, ЗОЮ (1968), J. Chem. Soc., Perkin Trans. I 1475 (1983), Tetrahedron, Suppl. 8 Part I, 279 (1966) и J. Org. Chem. 61, 8897 (1996). Кроме того известно, что 3,7-бис(1-фенилэтил)-3,7-диазабицикло[3.3.0]октан полезен при контролировании энантиоселективности реакций между реагентами Гриньяра и альдегидами (как описано в Tetrahedron 5, 569 (1994)). Ни в одном из документов предшествующего уровня техники, упомянутых выше и относящихся к 3,7-диазабицикло[3.3.0]октанам, не раскрыто или не предусматривается никакое предположение о том, что описанные там соединения могут быть полезны при лечении сердечных аритмий. Авторами настоящего изобретения неожиданно обнаружено, что новая группа соединений на основе 3,7-диазабицикло[3.3.0]октана проявляет электрофизиологическую активность, предпочтительно электрофизиологическую активность класса III, и вследствие этого ожидается, что они могут быть полезны при лечении сердечных аритмий. Описание изобретения Согласно данному изобретению предложены соединения формулы I где волнистые линии означают возможную относительную цис- или транс-стереохимию; R1 представляет собой С1-12алкил (возможно замещенный и/или оканчивающийся одной или более чем одной группой, выбранной из галогено, циано, нитро, арила, Гет1, -C(O)R5a, -OR5b, -N(R6)R5c, -C(O)XR7, -C(O)N(R8)R5d и -S(O)2R9), Гет2, -COR5a, -C(O)XR7, -C(O)N(R8)R5d или -S(O)2R9; R5a – R5d g каждом случае, когда используются здесь, независимо представляют собой Н, C1-6алкил (возможно замещенный и/или оканчивающийся одним или более чем одним заместителем, выбранным из -ОН, C1-6алкокси, галогено, циано, нитро, арила, Гет3 и -NHC(O)R10), арил или Гет4, либо R5d вместе с R8 представляют собой С3-6алкилен (причем алкиленовая группа возможно прервана атомом О и/или возможно замещена одной или более чем одной C1-3алкильной группой); R10 представляет собой Н, С1-4алкил (возможно замещенный и/или оканчивающийся одним или более чем одним заместителем, выбранным из галогено, циано, арила и -NHC(O)R11) или арил; R11 представляет собой Н, С1-4алкил или арил; R6 представляет собой Н, C1-6алкил (возможно замещенный и/или оканчивающийся одним или более чем одним заместителем, выбранным из -ОН, галогено, циано, нитро и арила), арил, -С(O)R12a, -C(O)OR12b или -C(O)N(H)R12c; R12a, R12b и R12 с представляют собой C1-6алкил (возможно замещенный и/или оканчивающийся одним или более чем одним заместителем, выбранным из -ОН, галогено, циано, нитро и арила) или арил, либо R12a и R12b представляют собой Н; Х представляет собой О или S; R7, в каждом случае, когда используется здесь, представляет собой арил или С1-12алкил (причем алкильная группа возможно замещена и/или оканчивается одним или более чем одним заместителем, выбранным из -ОН, галогено, циано, нитро, арила, С1-6алкокси, -SO2R13a, -C(O)R13b Гет5); R13a и R13b независимо представляют собой C1-6алкил или арил; R8, в каждом случае, когда используется здесь, представляет собой Н, С1-12алкил, С1-6алкокси (причем последние две группы возможно замещены и/или оканчиваются одним или более чем одним заместителем, выбранным из -ОН, галогено, циано, нитро, С1-4алкила и С1-4алкокси), -D-арил, -D-арилокси, -D-Гет6, -D-N(H)C(O)R14a, -D-S(O)2R15a, -D-C(O)R14b, -D-C(O)R15b, -D-C(O)N(R14c)R14d, либо R8 вместе с R5d представляют собой С3-6алкилен (причем алкиленовая группа возможно прервана атомом О и/или возможно замещена одной или более чем одной C1-3алкильной группой); R14a-R14d независимо представляют собой Н, С1-6алкил (возможно замещенный и/или оканчивающийся одним или более чем одним заместителем, выбранным из -ОН, галогено, циано, нитро и арила), арил либо R14c и R14d вместе представляют собой С3-6алкилен; R15a и R15b независимо представляют собой С1-6алкил (возможно замещенный и/или оканчивающийся одним или более чем одним заместителем, выбранным из -ОН, галогено, циано, нитро и арила) или арил; D представляет собой прямую связь или C1-6алкилен; R9, в каждом случае, когда используется здесь, представляет собой C1-6алкил (возможно замещенный и/или оканчивающийся одним или более чем одним заместителем, выбранным из -ОН, галогено, циано, нитро и арила), арил или Гет7; R2 представляет собой Н, галогено, С1-6алкил, -E-OR16, -E-N(R17)R18 либо вместе с R3 представляет собой =O; R3 представляет собой Н, С1-6алкил либо вместе с R2 представляет собой =O; R16 представляет собой Н, С1-6алкил, -Е-арил, -Е-Гет8, -C(O)R19a, -C(O)OR19b или -C(O)N(R20a)R20b; R17 представляет собой Н, С1-6алкил, -Е-арил, -Е-Гет8, -C(O)R19a, -C(O)OR19b, -S(O)2R19c, -[(CO)]pN(R20a)R20b или -C(NH)NH2; R18 представляет собой Н, C1-6алкил, -Е-арил или -C(O)R19d; R19a-R19d в каждом случае, когда используются здесь, независимо представляют собой С1-6алкил (возможно замещенный и/или оканчивающийся одним или более чем одним заместителем, выбранным из галогено, арила и Гет9), арил, Гет10, либо R19a и R19d независимо представляют собой Н; R20a и R20d, в каждом случае, когда используются здесь, независимо представляют собой Н или C1-6алкил (возможно замещенный и/или оканчивающийся одним или более чем одним заместителем, выбранным из галогено, арила и Гет11), арил, Гет12 либо вместе представляют собой С3-6алкилен, возможно прерванный атомом О; Е, в каждом случае, когда используется здесь, представляет собой прямую связь или С1-4алкилен; р представляет собой 1 или 2; А представляет собой -G-, -J-N(R21)- или -J-O- (причем в последних двух группах N(R21)- или О- присоединен к атому углерода, несущему R2 и R3); В представляет собой -Z-, -Z-N(R22)-, -N(R22)-Z-, -Z-S(O)n-, -Z-O- (причем в последних двух группах Z присоединен к атому углерода, несущему R2 и R3); G представляет собой прямую связь или C1-6алкилен; J представляет собой С2-6алкилен; Z представляет собой прямую связь или С1-4алкилен; R21 и R22 независимо представляют собой Н или C1-6алкил; R4 представляет собой арил или Гет13, причем обе эти группы возможно замещены одним или более чем одним заместителем, выбранным из -ОН, циано, галогено, нитро, C1-6алкила (возможно оканчивающегося -N(H)C(O)R23a), C1-6алкокси, Гет1, арила, -N(R24a)R24b, -C(O)R24c, -С(O)OR24d, -C(O)N(R24e)R24f, -N(R24g)C(O)R24h, -N(R24i)C(O)N(R24j)R24k, -N(R24m)S(O)2R23b, -S(O)nR23c, -OS(O)2R23d, -S(O)2N(R24n)R24p и (только в случае Гет13) оксо; Гет13 представляет собой четырех-двенадцатичленную гетероциклическую группу, содержащую один или более чем один гетероатом, выбранный из кислорода, азота и/или серы; Гет1-Гет12, в каждом случае, когда используются здесь, независимо представляют собой четырех-двенадцатичленные гетероциклические группы, содержащие один или более чем один гетероатом, выбранный из кислорода, азота и/или серы, причем гетероциклические группы возможно замещены одним или более чем одним заместителем, включающим в себя =O, -ОН, циано, галогено, нитро, C1-6алкил (возможно оканчивающийся -N(Н)С(O)OR23a), С1-6алкокси, Гет1, арил, -N(R24a)R24b, -C(O)R24c, -C(O)R24d, -C(O)N(R24e)R24f -N(R24g)C(O)R24h -N(R24j)C(O)N(R24j)R24k, -N(R24m)S(O)2R23b, -S(O)nR23c, -OS(O)2R23d и -S(O)2N(R24n)R24p; R23a-R23d, в каждом случае, когда используются здесь, независимо представляют собой C1-6алкил; R24а-R24р, в каждом случае, когда используются здесь, независимо представляют собой Н или C1-6алкил; n в каждом случае представляет собой 0, 1 или 2 и Ra-Rf независимо представляют собой Н или С1-4алкил; где каждая арильная и арилоксигруппа, если не указано иначе, возможно замещена; или их фармацевтически приемлемые производные; при условии, что (а) когда R3 представляет собой Н или С1-4алкил и А представляет собой -J-N(R21)- или -J-O-, тогда В не представляет собой -N(R22)-, -S(O)n-, -О- или -N(R22)Z- (причем в последней группе -N(R22) присоединен к атому углерода, несущему R2 и R3); (б) когда R2 представляет собой -E-OR16 или -E-N(R17)R18, где Е представляет собой прямую связь, тогда (1) А не представляет собой прямую связь, -J-N(R21)- или -J-O- и (2) В не представляет собой -N(R22)-, -S(O)n-, -О- или -N(R22)Z- (причем в последней группе -N(R22) присоединен к атому углерода, несущему R2 и R3); (в) Гет1 и Гет13 не представляют собой 9-членные гетероциклы, которые содержат конденсированное бензольное или пиридиновое кольцо, и (г) данное соединение не является: 3,7-бис(1-фенилэтил)-3,7-диазабицикло[3.3.0]октаном; 2-{4-(7-бензил-3,7-диазабицикло[3.3.0]октан-3-ил)бутил}-1,2-бензизотиазол-3-он-1,1-диоксидом; 3-метил-7-бензил-3,7-диазабицикло[3.3.0]октаном; 3-циклогексил-7-бензил-3,7-диазабицикло[3.3.0]октаном; 3-(тиазол-2-ил)-7-бензил-3,7-диазабицикло[3.3.0]октаном; 3-(2-пиримидил)-7-бензил-3,7-диазабицикло[3.3.0]октаном или 3-(5,5-диметокси)пентил-7-бензил-3,7-диазабицикло[3.3.0]октаном, такие соединения называют в данном описании как “соединения по изобретению”. Если не указано иначе, алкильные группы и алкоксигруппы, как они определены здесь, могут быть с прямой цепью или, когда имеется достаточное количество атомов углерода (то есть минимум три), могут быть с разветвленной цепью и/или циклическими. Кроме того, когда имеется достаточное количество атомов углерода (то есть минимум четыре), то такие алкильные и алкоксигруппы могут также быть частично циклическими/ациклическими. Такие алкильные и алкоксигруппы могут также быть насыщенными или, когда имеется достаточное количество атомов углерода (то есть минимум два), могут быть ненасыщенными и/или могут быть прерваны одним или более чем одним атомом кислорода и/или серы. Если не указано иначе, алкильные и алкоксигруппы могут также быть замещены одним или более чем одним атомом галогена, в особенности фтора. Если не указано иначе, алкиленовые группы, как они определены здесь, могут быть с прямой цепью или, когда имеется достаточное количество атомов углерода (то есть минимум два), могут быть с разветвленной цепью. Такие алкиленовые цепи могут также быть насыщенными или, когда имеется достаточное количество атомов углерода (то есть минимум два), могут быть ненасыщенными и/или могут быть прерваны одним или более чем одним атомом кислорода и/или серы. Если не указано иначе, алкиленовые группы могут также быть замещены одним или более чем одним атомом галогена. Термин “арил”, когда он использован здесь, включает в себя С6-10арильные группы, такие как фенил, нафтил и им подобные. Термин “арилокси”, когда он использован здесь, включает в себя С6-10арилоксигруппы, такие как фенокси, нафтокси и им подобные. Во избежание сомнения, арилоксигруппы, указанные здесь, присоединены к остатку молекулы через атом О оксигруппы. Если не указано иначе, арильные и арилоксигруппы могут быть замещены одним или более чем одним заместителем, включая -ОН, циано, галогено, нитро, С1-6алкил (возможно оканчивающийся -N(Н)С(O)OR23a), C1-6алкокси, Гет1, арил (причем арильная группа не может быть замещена любыми дополнительными арильными группами), -N(R24a)R24b, -C(O)R24c, -C(O)OR24d, -C(О)N(R24e)R24f, -N(R24g)C(O)R24h, -N(R24i)C(O)N(R24j)R24k, -N(R24m)S(O)2R23b, -S(O)nR23c, -OS(O)2R23d и -S(O)2N(R24n)R24p (где Гет1, R23a – R23d, R24a – R24p и n такие, как они определены выше). Арильные и арилоксигруппы, когда они являются замещенными, предпочтительно замещены заместителями в количестве от одного до трех. Термин “галогено”, когда он использован здесь, включает в себя фторо, хлоро, бромо и иодо. Гет-группы (Гет1-Гет13), которые могут быть упомянуты, включают в себя группы, содержащие от 1 до 4 гетероатомов (выбранных из группы кислород, азот и/или сера), и в которых общее количество атомов в кольцевой системе составляет от пяти до двенадцати. По характеру Гет-группы (Гет1-Гет13) могут быть полностью насыщенными, целиком ароматические, частично ароматические и/или бициклические. Гетероциклические группы, которые могут быть упомянуты, включают в себя бенздиоксанил, бенздиоксепанил, бенздиоксолил, бензофуранил, бензофуразанил, бензимидазолил, бензморфолинил, бензтиофенил, хроманил, циннолинил, диоксанил, фуранил, гидантоинил, имидазолил, имидазо[1,2-а]пиридинил, индолил, изохинолинил, изоксазолил, малеимидо, морфолинил, оксазолил, фталазинил, пиперазинил, пиперидинил, пуринил, пиранил, пиразинил, пиразолил, пиридинил, пиримидинил, пирролидинонил, пирролидинил, пирролинил, пирролил, хиназолинил, хинолинил, 3-сульфоленил, тетрагидропиранил, тетрагидрофуранил, тиазолил, тиенил, тиохроманил, триазолил и им подобные. Значения Гет1, которые могут быть упомянуты, включают в себя пиперазинил и тиазолил. Значения Гет2, которые могут быть упомянуты, включают в себя тиазолил. Значения Гет4, которые могут быть упомянуты, включают в себя изоксазолил и тетрагидропиранил. Значения Гет5, которые могут быть упомянуты, включают в себя морфолинил, пиперазинил и пиридинил. Значения Гет6, которые могут быть упомянуты, включают в себя изоксазолил и тетрагидропиранил. Если Гет-группа (Гет1 – Гет13) замещена одной или более чем одной арильной и/или Гет1-группой, то указанный арильный и/или Гет1-заместитель сам не может быть замещен никакой арильной и/или Гет1-группой. Заместители на Гет-группах (Гет1-Гет13) могут быть локализованы на любом атоме, где подходит, в кольцевой системе, включая гетероатом. Точка присоединения Гет-групп (Гет1 – Гет13) может быть через любой атом в кольцевой системе, включая (где подходит) гетероатом или атом на любом конденсированном карбоциклическом кольце, которое может быть представлено как часть кольцевой системы. Кроме того, Гет-группы (Гет1-Гет13) могут быть в N- или S-окисленной форме. Фармацевтически приемлемые производные включают в себя соли и сольваты. Соли, которые могут быть упомянуты, включают в себя соли присоединения кислот. Кроме того, фармацевтически приемлемые производные включают в себя, при 3,8-диазабицикло[3.2.1]октане или (когда Гет-группы (Гет1-Гет13) содержат четвертичный атом азота) при четвертичных гетероциклических атомах азота, С1-4алкильные соли четвертичного аммония и N-оксиды, при условии, что когда представлены N-оксидом, то (а) никакие Гет-группы (Гет1-Гет13) не содержат неокисленный атом S и/или (б) n не равен 0, когда В представляет собой -Z-S(O)n-. Соединения формулы I могут проявлять таутомерию. Все таутомерные формы и их смеси включены в объем данного изобретения. Кроме того, соединения формулы I могут содержать один или более чем один асимметричный атом углерода и поэтому могут проявлять оптическую и/или диастереоизомерию. Диастереоизомеры могут быть разделены с использованием традиционных методик, например хроматографии или фракционной кристаллизации. Различные стереоизомеры могут быть выделены путем разделения рацемической или иной смеси соединений с использованием традиционных методик, например фракционной кристаллизации или ВЭЖХ. Альтернативно, желаемые оптические изомеры могут быть получены путем осуществления взаимодействия соответствующих оптически активных исходных материалов в условиях, которые не будут вызывать рацемизацию или эпимеризацию, либо путем дериватизации, например, с гомохиральной кислотой с последующим разделением диастереомерных сложных эфиров с помощью традиционных способов (например, ВЭЖХ, хроматографии на диоксиде кремния). Все стереоизомеры включены в объем данного изобретения. Сокращения перечислены в конце данного описания. Соединения формулы I, которые могут быть упомянуты, включают в себя соединения, где R1 представляет собой С1-12алкил (возможно замещенный и/или оканчивающийся одной или более чем одной группой, выбранной из галогено, циано, нитро, арила, Гет1, -C(O)R5a, -OR5b, -N(R6)R5c, -C(O)XR7, -C(O)N(R8)R5d и -S(O)2R9), -C(O)XR7, -C(O)N(R8)R5d или -S(O)2R9; R5a – R5d, в каждом случае, когда используются здесь, независимо представляют собой Н, C1-6алкил (возможно замещенный и/или оканчивающийся одним или более чем одним заместителем, выбранным из -ОН, C1-6алкокси, галогено, циано, нитро, арила и Гет3), арил или Гет4, либо R5d вместе с R8 представляют собой С3-6алкилен (причем алкиленовая группа возможно прервана атомом О и/или возможно замещена одной или более чем одной C1-3алкильной группой); R7, в каждом случае, когда используется здесь, представляет собой C1-12алкил (причем алкильная группа возможно замещена и/или оканчивается одним или более чем одним заместителем, выбранным из -ОН, галогено, циано, нитро, арила, С1-6алкокси, -SO2R13a, -C(O)R13b и Гет5); R9, в каждом случае, когда используется здесь, представляет собой C1-6алкил (возможно замещенный и/или оканчивающийся одним или более чем одним заместителем, выбранным из -ОН, галогено, циано, нитро и арила) или арил; R2 представляет собой Н, галогено, C1-6алкил, -OR16, -E-N(R17)R18 либо вместе с R3 представляют собой =O; R4 представляет собой арил или пиридил, причем данные группы возможно замещены одним или более чем одним заместителем, выбранным из -ОН, циано, галогено, нитро, C1-6алкила (возможно оканчивающегося -М(Н)С(O)OR23a), C1-6алкокси, -N(R24a)R24d, -C(O)R24c, -С(O)OR24d, -C(O)N(R24e)R24f, -N(R24g)C(O)R24h, -N(R24i)C(O)N(R24j)R24k, -N(R24m)S(O)2R23b, -S(O)nR23c и -OS(O)2R23d. Следующие соединения, которые могут быть упомянуты, включают в себя соединения, где Гет1 и Гет13 независимо представляют собой 4-8-членные гетероциклические группы, содержащие один или более чем один гетероатом, выбранный из кислорода, азота и/или серы, причем данные группы возможно замещены, как определено выше. Еще одни соединения, которые могут быть упомянуты, включают в себя соединения, где R1 представляет собой С1-12алкил (возможно замещенный и/или оканчивающийся одной или более чем одной группой, выбранной из галогено, циано, нитро, арила, Гет1, -OR5b, -N(R6)R5c, -C(O)XR7, -C(O)N(R8)R5d и -S(O)2R9), Гет2, -C(O)R5a, -C(O)XR7, -C(O)N(R8)R5d, -S(O)2R9, -СН2-С(O)-(незамещенный C1-6алкил) или -СН2-С(O)-(арил) (причем арильная часть последней группы возможно замещена одним или более чем одним заместителем, выбранным из -ОН, циано, галогено, нитро, C1-6алкила (возможно оканчивающегося -N(H)C(O)R23a), C1-6алкокси, Гет1, арила (причем арильная группа не может быть замещена любыми дополнительными арильными группами), -N(C1-6алкил)R24b, -C(O)R24c, -С(O)OR24d, -C(O)N(R24e)R24f, -N(R24g)C(O)R24h, -N(R24i)C(O)N(R24j)R24k, -N(R24m)S(O)2R23b, -S(O)nR23c, -OS(O)2R23d и -S(O)2(R24n)R24p); R2 и R3 вместе не представляют собой =O; G не представляет собой прямую связь и/или Гет3 и Гет4 независимо представляют собой 4-8-членные гетероциклические группы, содержащие один или более чем один гетероатом, выбранный из кислорода, азота и/или серы, причем данные группы возможно замещены, как определено выше. Предпочтительные соединения по изобретению включают в себя соединения, где волнистые линии означают относительную цис-стереохимию; R1 представляет собой C1-8алкил (возможно замещенный и/или оканчивающийся одной или более чем одной группой, выбранной из галогено, возможно замещенного фенила, Гет1, -C(O)R5a, -OR5b, -C(O)OR7, -C(O)N(H)R8 и -S(O)2-С1-6алкила), Гет2, -C(O)OR7, -C(O)N(H)R8 или -S(O)2R9; R5а и R5b, в каждом случае, когда используются здесь, независимо представляют собой Н, С1-6алкил (возможно замещенный и/или оканчивающийся одним или более чем одним заместителем, выбранным из -ОН, С1-4алкокси и галогено), возможно замещенный фенил или Гет4; R7, в каждом случае, когда используется здесь, представляет собой C1-8алкил (причем данная группа возможно замещена и/или оканчивается одним или более чем одним заместителем, выбранным из -ОН, галогено, циано, возможно замещенного фенила, С1-4алкокси, -SO2R13a, -C(O)R13b Гет5); R13а и R13b независимо представляют собой C1-6алкил; R8, в каждом случае, когда используется здесь, представляет собой C1-8алкил (причем данная группа возможно замещена и/или оканчивается одним или более чем одним заместителем, выбранным из -ОН, галогено, циано и C1-4алкокси), -D-(возможно замещенный фенил), -D-Гет6, -D-S(O)2R15a, -D-C(O)-C1-6алкил или -D-C(O)OR15b; R15a и R15b независимо представляют собой C1-6алкил (возможно замещенный и/или оканчивающийся одним или более чем одним заместителем, выбранным из галогено, циано и возможно замещенного фенила) или возможно замещенный фенил; D представляет собой прямую связь или C1-3алкилен; R9, в каждом случае, когда используется здесь, представляет собой C1-5алкил (возможно замещенный и/или оканчивающийся одним или более чем одним заместителем, выбранным из галогено, циано и возможно замещенного фенила) или возможно замещенный фенил; R2 представляет собой Н, С1-2алкил, -OR16, -N(H)R17, либо вместе с R3 представляют собой =O; R3 представляет собой Н, С1-2алкил, либо вместе с R2 представляют собой =O; R16 представляет собой Н, С1-4алкил, -Е-(возможно замещенный фенил), -C(O)R19a или -C(O)N(H)R20a; R17 представляет собой Н, С1-4алкил, -Е-(возможно замещенный фенил), -C(O)R19a или -C(O)R19b; R19a и R19b, в каждом случае, когда используются здесь, независимо представляют собой C1-6алкил, возможно замещенный фенил или Гет10; R20a представляет собой Н или С1-4алкил; Е, в каждом случае, когда используется здесь, представляет собой прямую связь или С1-2алкилен; А представляет собой -G-; В представляет собой -Z-, -Z-N(H)-, -Z-S(O)n-, -Z-O- (причем в последних трех группах Z присоединен к атому углерода, несущему R2 и R3); G представляет собой прямую связь или С1-5алкилен; Z представляет собой прямую связь или С1-3алкилен; R4 представляет собой фенил или Гет13, причем обе эти группы возможно замещены одним или более чем одним заместителем, выбранным из циано, галогено, нитро, С1-4алкила (возможно оканчивающегося -N(H)C(O)R23a), С1-4алкокси, возможно замещенного фенила, -C(O)N(H)R24e, -N(Н)С(O)R24h, -N(H)C(O)N(H)R24j, -N(H)S(O)2R23b, -S(O)2R23c и -S(O)2N(R24n)R24p; Гет13 представляет собой пяти-десятичленную гетероциклическую группу, содержащую один или более чем один гетероатом, выбранный из кислорода, азота и/или серы; Гет1-Гет12, в каждом случае, когда используются здесь, независимо представляют собой пяти-десятичленные гетероциклические группы, содержащие один или более чем один гетероатом, выбранный из кислорода, азота и/или серы, причем данные гетероциклические группы возможно замещены одним или более чем одним заместителем, включающим в себя =O, -ОН, циано, галогено, нитро, С1-4алкил, С1-4алкокси, возможно замещенный фенил, -NH2, -C(O)R24c, -C(O)OR24d, -C(O)N(H)R24e, -N(Н)С(O)R24h и -S(O)nR23c; Ra-Rf независимо представляют собой Н или С1-4алкил; возможные заместители на фенильных группах представляют собой одну или более чем одну группу, выбранную из -ОН, циано, галогено, нитро, C1-4алкила (возможно оканчивающегося -N(H)C(O)OR23a), С1-4алкокси, -NH2, -C(O)R24c, -С(O)OR24d, -C(O)N(H)24e, -N(Н)С(O)R24h, -N(H)C(O)N(H)R24j, -N(H)S(O)2R23b, -S(O)nR23c и -S(O)2N(R24n)R24p; R23а-R23с, R24с, R24d, R24е, R24h, R24j, R24n и R24р, в каждом случае, когда используются здесь, независимо представляют собой С1-4алкил; n представляет собой 0 или 2; алкильные группы и алкоксигруппы могут быть, если не указано иначе: (1) с прямой или разветвленной цепью либо циклические или частично циклические/ациклические; (2) насыщенные или ненасыщенные; (3) прерваны одним или более чем одним атомом кислорода и/или (4) замещены одним или более чем одним атомом фтора или хлора. Более предпочтительные соединения по изобретению включают в себя соединения, где R1 представляет собой C1-6алкил (возможно замещенный и/или оканчивающийся одной или более чем одной группой, выбранной из галогено, фенила (возможно замещенного одной или более чем одной группой, выбранной из галогено, циано и С1-2алкокси), Гет1, -C(O)R5a, -OR5b, -C(O)N(H)-С1-4алкила и -S(O)2-С1-4алкила), Гет2, -C(O)OR7, -C(O)N(H)R8 или -S(O)2-C1-5алкил; Гет2 представляет собой 5-членную гетероциклическую группу, содержащую от одного до четырех гетероатомов, выбранных из кислорода, азота и/или серы, причем данная гетероциклическая группа возможно замещена одним или более чем одним заместителем, выбранным из циано, галогено, нитро, С1-4алкила и С1-4алкокси; R5а и R5b, в каждом случае, когда используются здесь, независимо представляют собой Н, С1-5алкил (возможно замещенный и/или оканчивающийся одним или более чем одним заместителем, выбранным из C1-2алкокси и галогено) или фенил (возможно замещенный одним или более чем одним галогено, циано и C1-2алкокси); R7 представляет собой С1-6алкил (причем данная группа возможно замещена и/или оканчивается одним или более чем одним заместителем, выбранным из -ОН, галогено, циано, С1-2алкокси, -SO2-С1-4алкила, -C(O)-C1-5алкила и Гет5); Гет1 и Гет5 независимо представляют собой 5-7-членные гетероциклические группы, причем данные группы содержат от одного до четырех гетероатомов, выбранных из кислорода, азота и/или серы, и данные гетероциклические группы возможно замещены одним или более чем одним заместителем, выбранным из циано, галогено, нитро, С1-4алкила, С1-4алкокси и -С(O)-С1-4алкила; R8, в каждом случае, когда используется здесь, представляет собой C1-6алкил (причем данная группа возможно замещена и/или оканчивается одним или более чем одним заместителем, выбранным из галогено и C1-3алкокси), фенил (причем данная группа возможно замещена одним или более чем одним из -ОН, циано, галогено, нитро, С1-4алкила, С1-4алкокси и -S-(С1-4алкила)), Гет6 или -S(O)2R15a; Гет6 представляет собой 5-7-членную гетероциклическую группу, причем данная группа содержит от одного до четырех гетероатомов, выбранных из кислорода, азота и/или серы, и данная гетероциклическая группа возможно замещена одним или более чем одним заместителем, выбранным из циано, галогено, нитро, С1-4алкила и С1-4алкокси; R15a представляет собой С1-4алкил или фенил (причем данная группа возможно замещена одним или более чем одним из -ОН, циано, галогено, нитро, С1-4алкила и С1-4алкокси); R2 представляет собой Н, -OR16 или -N(H)R17; R3 представляет собой Н или метил; R16 представляет собой Н, С1-2алкил или фенил (причем данная группа возможно замещена одним или более чем одним из -ОН, циано, галогено, нитро, С1-4алкила и С1-4алкокси); R17 представляет собой Н, С1-2алкил, -(СН2)0-1-фенил (причем данная группа возможно замещена одним или более чем одним из -ОН, циано, галогено, нитро, С1-4алкила и С1-4алкокси) или -С(O)O-(С1-4алкил); А представляет собой С1-4алкилен; В представляет собой -Z-, -Z-N(H)-, -Z-S(O)2-, -Z-O- (причем в последних трех группах Z присоединен к атому углерода, несущему R2 и R3); Z представляет собой прямую связь или С1-2алкилен; R4 представляет собой фенил, причем данная группа возможно замещена одним или более чем одним заместителем, выбранным из циано, галогено, нитро, С1-4алкила и С1-4алкокси; Ra-Rf все представляют собой Н; алкильные группы и алкоксигруппы могут быть, если не указано иначе: (1) с прямой или разветвленной цепью либо циклические или частично циклические/ациклические; (2) насыщенные или ненасыщенные; (3) прерваны атомом кислорода и/или (4) замещены одним или более чем одним атомом фтора. В частности, предпочтительные соединения по изобретению включают в себя соединения, где R1 представляет собой С1-5алкил (причем данная алкильная группа является возможно частично циклической/ациклической, прервана атомом кислорода и/или замещена либо оканчивается одним фенилом (возможно замещенным одним или более чем одним фторо и метокси), Гет1, -С(O)R5a, -OR5b, -С(O)N(Н)-С1-3алкилом и -S(O)2-С1-3алкилом), Гет2, -C(O)OR7, -C(O)N(H)R8 или -S(O)2-С1-5алкил; Гет2 представляет собой 5-членную гетероциклическую группу, содержащую один или два гетероатома, выбранных из кислорода, азота и/или серы, причем данная гетероциклическая группа возможно замещена одним или более чем одним заместителем, выбранным из галогено, С1-2алкила и C1-2алкокси; R5а и R5b и в каждом случае, когда используются здесь, независимо представляют собой Н, С1-4алкил (возможно замещенный или оканчивающийся метокси) или фенил (возможно замещенный одним или более чем одним фторо и метокси); R7 представляет собой С1-5алкил (причем данная группа является возможно ненасыщенной и/или замещена либо оканчивается одним из -ОН, циано, метокси, -SO2-С1-2алкила, -С(O)-С1-4алкила и Гет5); Гет1 и Гет5 независимо представляют собой 5-7-членные гетероциклические группы, причем данные группы содержат от одного до трех гетероатомов, выбранных из кислорода, азота и/или серы, и данные гетероциклические группы возможно замещены одним или более чем одним заместителем, выбранным из С1-2алкила, C1-2алкокси и -С(O)-С1-2алкила; R8, в каждом случае, когда используется здесь, представляет собой C1-5алкил (причем данная группа является возможно ненасыщенной, частично циклической/ациклической, прервана атомом кислорода и/или замещена либо оканчивается метокси), фенил (причем данная группа возможно замещена одним или более чем одним фторо, С1-2алкилом, С1-2алкокси и -S-(С1-2алкилом) (причем алкильная часть последней группы возможно замещена одним или более чем одним атомом фтора)), Гет6 или -S(O)2R15a; Гет6 представляет собой 5-7-членную гетероциклическую группу, причем данная группа содержит от одного до трех гетероатомов, выбранных из кислорода, азота и/или серы, и данная гетероциклическая группа возможно замещена одним или более чем одним заместителем, выбранным из C1-2алкила и С1-2алкокси; R15a представляет собой фенил (причем данная группа возможно замещена одним или более чем одним С1-2алкилом и С1-2алкокси); R2 представляет собой Н, -OR16 или -NH2; R3 представляет собой Н; R16 представляет собой Н или фенил (причем данная группа возможно замещена одной или более чем одной циано- или С1-2алкоксигруппой); А представляет собой C1-3алкилен; В представляет собой -Z-, -Z-N(H)-, -Z-S(O)2-, -Z-O- (причем в последних трех группах Z присоединен к атому углерода, несущему R2 и R3); Z представляет собой прямую связь или СН2; R4 представляет собой фенил, причем данная группа возможно замещена по меньшей мере одной цианогруппой и данная группа возможно замещена одним или двумя дополнительными заместителями, выбранными из циано, галогено и нитро; алкильные группы и алкоксигруппы могут быть, если не указано иначе, с прямой или разветвленной цепью. Особенно предпочтительные соединения по изобретению включают в себя соединения, где R16 представляет собой Н или фенил (причем данная группа возможно замещена метоксигруппой в количестве от одной до трех); А представляет собой C1-3алкилен; В представляет собой -Z-, -Z-N(H)-, -Z-S(O)2-, -Z-O- (причем в последних трех группах Z присоединен к атому углерода, несущему R2 и R3); Z представляет собой прямую связь, либо, когда R2 представляет собой ОН или NH2, Z представляет собой CH2; R4 представляет собой фенил, замещенный по положению 4 (относительно группы В) цианогруппой и возможно замещенный по положению 2 (относительно группы В) дополнительной цианогруппой. Согласно еще одному аспекту данного изобретения предложены соединения формулы I, которые представляют собой соединения формулы Ia где волнистые линии означают возможную относительную цис- или транс-стереохимию; R1 представляет собой С1-12алкил (возможно замещенный и/или оканчивающийся одной или более чем одной группой, выбранной из галогено, циано, нитро, арила, Гет1a, -C(O)R5a1, -OR5b, -N(R6)R5c, -C(O)XR7, -C(O)N(R8)R5d и -S(O)2R9), Гет2, -C(O)R5a2, -C(O)XR7, -C(O)N(R8)R5d, -S(O)2R9 или -CH2C(O)-(незамещенный С1-6алкил); R5a1 представляет собой арил (причем последняя группа возможно замещена одним или более чем одним заместителем, выбранным из -ОН, циано, галогено, нитро, C1-6алкила (возможно оканчивающегося -N(H)C(O)OR23a), C1-6алкокси, Гет1, арила (причем данная арильная группа не может быть замещена любыми дополнительными арильными группами), -N(C1-6акрил)R24b, -C(O)R24c, -C(O)OR24d, -C(O)N(R24e)R24f, -N(R24g)C(O)R24h, -N(R24i)C(O)N(R24j)R24k, -N(R24m)S(O)2R23b, -S(O)nR23c, -OS(O)2R23d и -S(O)2N(R24n)R24p) или Гет4a; R5a2 представляет собой Н, C1-6алкил (возможно замещенный и/или оканчивающийся одним или более чем одним заместителем, выбранным из -ОН, С1-6алкокси, галогено, циано, нитро, арила, Гет3a и -N(H)C(O)R10), арил или Гет4a; R5b-R5d в каждом случае, когда используются здесь, независимо представляют собой Н, C1-6алкил (возможно замещенный и/или оканчивающийся одним или более чем одним заместителем, выбранным из -ОН, C1-6алкокси, галогено, циано, нитро, арила, Гет3 и -NHC(O)R10), арил или Гет4, либо R5d вместе с R8 представляют собой С3-6алкилен (причем алкиленовая группа возможно прервана атомом О и/или возможно замещена одной или более чем одной C1-3алкильной группой); R10 представляет собой Н, С1-4алкил (возможно замещенный и/или оканчивающийся одним или более чем одним заместителем, выбранным из галогено, циано, арила и -NHC(O)R11) или арил; R11 представляет собой Н, С1-4алкил или арил; R6 представляет собой Н, С1-6алкил (возможно замещенный и/или оканчивающийся одним или более чем одним заместителем, выбранным из -ОН, галогено, циано, нитро и арила), арил, -C(O)R12a, -C(O)R12b или -C(O)N(H)R12c; R12a, R12b и R12 с представляют собой С1-6алкил (возможно замещенный и/или оканчивающийся одним или более чем одним заместителем, выбранным из -ОН, галогено, циано, нитро и арила) или арил, либо R12a и R12c представляют собой Н; Х представляет собой О или S; R7, в каждом случае, когда используется здесь, представляет собой арил или С1-12алкил (причем алкильная группа возможно замещена и/или оканчивается одним или более чем одним заместителем, выбранным из -ОН, галогено, циано, нитро, арила, С1-6алкокси, -SO2R13a, -C(O)R13b и Гет5); R13а и R13b независимо представляют собой С1-6алкил или арил; R8, в каждом случае, когда используется здесь, представляет собой Н, С1-12алкил, C1-6алкокси (причем последние две группы возможно замещены и/или оканчиваются одним или более чем одним заместителем, выбранным из -ОН, галогено, циано, нитро, С1-4алкила и С1-4алкокси), -D-арил, -D-арилокси, -D-Гет6, -D-N(H)C(O)R14a, -D-S(O)2R15a, -D-C(O)R14b, -D-C(O)OR15b, -D-C(O)N(R14c)R14d, либо R8 вместе с R5d представляют собой С3-6алкилен (причем алкиленовая группа возможно прервана атомом О и/или возможно замещена одной или более чем одной C1-3алкильной группой); R14a – R14d независимо представляют собой Н, C1-6алкил (возможно замещенный и/или оканчивающийся одним или более чем одним заместителем, выбранным из -ОН, галогено, циано, нитро и арила), арил, либо R14c и R14d вместе представляют собой С3-6алкилен; R15a и R15b независимо представляют собой C1-6алкил (возможно замещенный и/или оканчивающийся одним или более чем одним заместителем, выбранным из -ОН, галогено, циано, нитро и арила) или арил; D представляет собой прямую связь или C1-6алкилен; R9, в каждом случае, когда используется здесь, представляет собой C1-6алкил (возможно замещенный и/или оканчивающийся одним или более чем одним заместителем, выбранным из -ОН, галогено, циано, нитро и арила), арил или Гет7; R2 представляет собой Н, галогено, С1-6алкил, -E-OR16 или -E-N(R17)R18; R3 представляет собой Н или C1-6валкил; R16 представляет собой Н, C1-6алкил, -Е-арил, -Е-Гет8, -C(O)R19a, -C(O)OR19b или -C(O)N(R20a)R20b; R17 представляет собой Н, C1-6алкил, -Е-арил, -Е-Гет8, -C(O)R19a, -C(O)OR19b, -S(O)2R19c, -[C(O)]pN(R20a)R20b или -C(NH)NH2; R18 представляет собой Н, С1-6алкил, -Е-арил или -C(O)R19d; R19а-R19d g каждом случае, когда используются здесь, независимо представляют собой С1-6алкил (возможно замещенный и/или оканчивающийся одним или более чем одним заместителем, выбранным из галогено, арила и Гет9), арил, Гет10 либо R19a и R19d независимо представляют собой Н; R20a и R20b, в каждом случае, когда используются здесь, независимо представляют собой Н или C1-6алкил (возможно замещенный и/или оканчивающийся одним или более чем одним заместителем, выбранным из галогено, арила и Гет11), арил, Гет12, либо вместе представляют собой С3-6алкилен, возможно прерванный атомом О; Е, в каждом случае, когда используется здесь, представляет собой прямую связь или С1-4алкилен; р представляет собой 1 или 2; А представляет собой -G-, -J-N(R21)- или -J-O- (причем в последних двух группах N(R21)- или О- присоединен к атому углерода, несущему R2 и R3); В представляет собой -Z-, -Z-N(R22)-, -N(R22)-Z-, -Z-S(O)n-, -Z-O- (причем в последних двух группах Z присоединен к атому углерода, несущему R2 и R3); G представляет собой C1-6алкилен; J представляет собой С2-6алкилен; Z представляет собой прямую связь или С1-4алкилен; R21 и R22 независимо представляют собой Н или C1-6алкил; R4 представляет собой арил или Гет13, причем обе эти группы возможно замещены одним или более чем одним заместителем, выбранным из -ОН, циано, галогено, нитро, C1-6алкила (возможно оканчивающегося -N(Н)С(O)OR23a), C1-6алкокси, Гет1, арила, -N(R24a)R24b, -C(O)R24c, -С(O)OR24d, -C(O)N(R24e)R24f -N(R24g)C(O)R24h, -N(R24i)C(O)N(R24j)R24k, -N(R24m)S(O)2R23b, -S(O)nR23c, -OS(O)2R23d, -S(O)2N(R24n)R24p и (только в случае Гет13)оксо; Гет13 представляет собой четырех-восьмичленную гетероциклическую группу, содержащую один или более чем один гетероатом, выбранный из кислорода, азота и/или серы; Гет1-Гет12, в каждом случае, когда используются здесь, независимо представляют собой четырех-двенадцатичленные гетероциклические группы, содержащие один или более чем один гетероатом, выбранный из кислорода, азота и/или серы, причем данные гетероциклические группы возможно замещены одним или более чем одним заместителем, включающим в себя =O, -ОН, циано, галогено, нитро, C1-6алкил (возможно оканчивающийся -N(H)C(O)OR23a), C1-6алкокси, Гет1, арил, -N(R24a)R24b, -C(O)R24c, -С(O)OR24d, -C(O)N(R24e)R24f, -N(R24g)C(O)R24h, -N(R24i)C(O)N(R24j)R24k, -N(R24m)S(O)2R23b, -S(O)nR23c, -OS(O)2R23d и -S(O)2N(R24n)R24p; Гет1a, Гет3a и Гет4a, в каждом случае, когда используются здесь, независимо представляют собой четырех-восьмичленные гетероциклические группы, содержащие один или более чем один гетероатом, выбранный из кислорода, азота и/или серы, причем данные гетероциклические группы возможно замещены одним или более чем одним заместителем, включающим в себя =O, -ОН, циано, галогено, нитро, C1-6алкил (возможно оканчивающийся -N(H)C(O)OR23a), C1-6алкокси, Гет1, арил, -N(R24a)R24b, -C(O)R24c, -С(O)OR24d, -С(О)N(R24e)R24f, -N(R24g)C(O)R24h, -N(R24i)C(O)N(R24j)R24k, -N(R24m)S(O)2R23b, -S(O)nR23c, -OS(O)2R23d и -S(O)2N(R24n)R24p; R23a-R23d, в каждом случае, когда используются здесь, независимо представляют собой С1-6алкил; R24а-R24р, в каждом случае, когда используются здесь, независимо представляют собой Н или C1-6алкил; n в каждом случае представляет собой 0,1 или 2 и Ra-Rf независимо представляют собой Н или С1-4алкил; где каждая арильная и алкоксигруппа, если не указано иначе, является возможно замещенной; или их фармацевтически приемлемые производные; при условии, что (а) когда R3 представляет собой Н или С1-4алкил и А представляет собой -J-N(R21)- или -J-O-; тогда В не представляет собой -N(R22)-, -S(O)n-, -О- или -N(R22)-Z- (причем в последней группе -N(R22) присоединен к атому углерода, несущему R2 и R3), и (б) когда R2 представляет собой -E-OR16 или -E-N(R17)R18, где Е является прямой связью; тогда (1) А не представляет собой -J-N(R21)- или -J-O- и (2) В не представляет собой -N(R22)-, -S(O)n-, -О- или -N(R22)-Z- (причем в последней группе -N(R22) присоединен к атому углерода, несущему R2 и R3); причем такие соединения также называются в данном описании как “соединения по изобретению”. Предпочтительные соединения формулы la включают в себя (где подходит) предпочтительные соединения формулы I, которые определены выше. Предпочтительные соединения формулы la также включают в себя соединения, где R1 представляет собой С1-2алкил (замещенный или оканчивающийся группой Гет1a или -C(O)R5a1), -C(O)R5a2 или -СН2С(O)-(незамещенный С1-4алкил); R5a1 представляет собой фенил (причем последняя группа возможно замещена одним или двумя заместителями, выбранными из галогено и C1-2алкокси); R5a2 представляет собой Н, C1-6алкил (возможно замещенный и/или оканчивающийся одним или более чем одним заместителем, выбранным из C1-3алкокси и галогено) или Гет4a; G представляет собой С1-4алкилен; Гет13 представляет собой пяти- или шестичленную гетероциклическую группу, содержащую один или более чем один гетероатом, выбранный из кислорода, азота и/или серы; Гет1a, Гет3a и Гет4a, в каждом случае, когда используются здесь, независимо представляют собой пяти- или шестичленные гетероциклические группы, содержащие один или более чем один гетероатом, выбранный из кислорода, азота и/или серы, причем данные гетероциклические группы возможно замещены заместителями в количестве от одного до трех, выбранными из =O, циано, галогено, нитро, С1-4алкила, С1-4алкокси, арила, -N(H)R24a, -C(O)R24c, -С(O)OR24d, -C(O)N(H)R24e, -N(R24g)C(O)R24h и -S(O)nR23c. Предпочтительные соединения по изобретению включают в себя соединения из примеров, раскрытых ниже в данном описании. Получение Согласно данному изобретению также предложен способ получения соединений формулы I, при котором (а) осуществляют взаимодействие соединения формулы II где R1 и Ra-Rf такие, как они определены выше, с соединением формулы III где L1 представляет собой уходящую группу (например, мезилат, тозилат или галогено), и R2, R3, R4, А и В такие, как они определены выше, например, при температуре от -10°С до температуры дефлегмации в присутствии подходящего основания (например, триэтиламина или К2СО3) и соответствующего органического растворителя (например, дихлорметана, ацетонитрила или ДМСО); (б) для соединений формулы I, в которых А представляет собой С2алкилен и R2 и R3 вместе представляют собой =O, осуществляют взаимодействие соответствующего соединения формулы II, как оно определено выше, с соединением формулы IV где R4 и В такие, как они определены выше, например, при комнатной температуре в присутствии подходящего органического растворителя (например, этанола); (в) для соединений формулы I, в которых А представляет собой СН2 и R2 представляет собой -ОН или -N(H)R17, осуществляют взаимодействие соответствующего соединения формулы II, как оно определено выше, с соединением формулы V где Y представляет собой О или N(R17) и R3, R4, R17 и В такие, как они определены выше, например, при повышенной температуре (например, от 60°С до температуры дефлегмации) в присутствии подходящего растворителя (например, низшего алкилового спирта (например, ИПС), ацетонитрила или смеси низшего алкилового спирта и воды); (г) для соединений формулы I, в которых А представляет собой C1-6алкилен, В представляет собой С1-4алкилен и R2 и R3 оба представляют собой Н, осуществляют восстановление соответствующего соединения формулы I, где R2 и R3 вместе представляют собой =O, в присутствии подходящего восстанавливающего агента и в подходящих реакционных условиях, например путем активирования релевантной группы С=O с использованием подходящего агента (такого как тозилгидразин) в присутствии подходящего восстанавливающего агента (например, борогидрида натрия или цианборогидрида натрия) и подходящего органического растворителя (например, низшего (например C1-6) алкилового спирта); (д) для соединений формулы I, в которых R2 и R3 оба представляют собой Н, и (1) А представляет собой простую связь или -J-N(R21), а В представляет собой С1-4алкилен, либо (2) А представляет собой C1-6алкилен, а В представляет собой N(R22) или -N(R22)-Z- (причем в последней группе -N(R22) присоединен к атому углерода, несущему R2 и R3), осуществляют восстановление соответствующего соединения формулы I, где R2 и R3 вместе представляют собой =O, в присутствии подходящего восстанавливающего агента (например, LiAIH4) и подходящего растворителя (например, ТГФ); (е) для соединений формулы I, в которых А представляет собой C1-6алкилен, В представляет собой прямую связь, С1-4алкилен, -Z-N(R22)-, -Z-S(O)n– или -Z-O- (причем в последних трех группах Z представляет собой С1-4алкилен), R2 представляет собой ОН и R3 представляет собой Н, осуществляют восстановление соответствующего соединения формулы I, где R2 и R3 вместе представляют собой =O, в присутствии подходящего восстанавливающего агента (например, NaBH4) и подходящего органического растворителя (например, ТГФ); (ж) для соединений формулы I, в которых В представляет собой -Z-O-, осуществляют взаимодействие соединения формулы VI где R1, R2, R3, Ra-Rf, А и Z такие, как они определены выше, с соединением формулы VII где R4 такой, как он определен выше, например, в условиях типа условий Мицунобу (Mitsunobu), например при температуре от температуры окружающей среды (например, 25°С) до температуры дефлегмации в присутствии третичного фосфина (например, трибутилфосфина или трифенилфосфина), азодикарбоксилатного производного (например, диэтилазодикарбоксилата или 1,1′-(азодикарбонил)дипиперидина) и подходящего органического растворителя (например, дихлорметана или толуола); (з) для соединений формулы I, в которых В представляет собой -Z-O-, осуществляют взаимодействие соединения формулы VI, как оно определено выше, с соединением формулы VIII где L2 представляет собой уходящую группу, такую как галогено, алкансульфонат, перфторалкансульфонат или аренсульфонат, и R4 такой, как он определен выше, например, в условиях, известных специалистам в данной области техники (например, когда R4 представляет собой 2- или 4-пиридил, взаимодействие при температуре от 10°С до температуры дефлегмации в присутствии подходящего основания (например, гидрида натрия) и подходящего растворителя (такого как N,N-диметилформамид)); (и) для соединений формулы I, в которых А представляет собой C1-6алкилен и В представляет собой -N(R22)-Z- (где группа -N(R22)- присоединена к атому углерода, несущему R2 и R3), осуществляют взаимодействие соединения формулы IX где Аa представляет собой C1-6алкилен и R1, R2, R3, R22 и Ra – Rf такие, как они определены выше, с соединением формулы X где L2, R4 и Z такие, как они определены выше, например, при 40°С в присутствии подходящего органического растворителя (например, ацетонитрила); (к) для соединений формулы I, в которых R2 представляет собой -Е-NH2, осуществляют восстановление соответствующего соединения формулы XI где R1, R3, R4, Ra-Rf, А, В и Е такие, как они определены выше, например, путем гидрирования при подходящем давлении в присутствии подходящего катализатора (например, палладия на углероде) и подходящего растворителя (например, водно-этанольной смеси); (л) для соединений формулы I, в которых R2 представляет собой -E-N(R18)C(O)N(H)R20a, осуществляют взаимодействие соответствующего соединения формулы I, где R2 представляет собой -E-N(R18)H, с соединением формулы XII где R20a такой, как он определен выше, например, при температуре окружающей среды (например, 25°С) в присутствии подходящего растворителя (например, бензола); (м) для соединений формулы I, в которых R2 представляет собой -E-N(H)[C(O)]2NH2, осуществляют взаимодействие соответствующего соединения формулы I, где R2 представляет собой -E-NH2, с диамидом щавелевой кислоты, например, при температуре от -10 до 25°С в присутствии подходящего агента сочетания (например, 1-(3-диметиламинопропил)-3-этилкарбодиимида), подходящего активирующего агента (например, 1-гидроксибензотриазола), подходящего основания (например, триэтиламина) и реакционно-инертного органического растворителя (например, ДМФ); (н) для соединений формулы I, в которых R2 представляет собой -E-N(R17)R18, где R17 и R18 такие, как они определены выше, при условии, что R17 не представляет собой Н, осуществляют взаимодействие соответствующего соединения формулы I, где R2 представляет собой -D-N(H)R18, с соединением формулы XIII где R17a представляет собой R17, как он определен выше, за исключением того, что он не представляет собой Н, и L3 является уходящей группой, такой как галогено (например, хлоро или бромо), п-нитрофенолят, С1-4алкоксид, C1-4алкилтиолат, -OC(О)R19a, -OC(O)OR19b или -OS(O)2R19c, где R19a-R19c такие, как они определены выше, например, в условиях, которые хорошо известны специалистам в данной области техники; (о) для соединений формулы I, в которых R2 представляет собой -E-OR16, где R16 представляет собой С1-6алкил, -Е-арил или -Е-Гет8, осуществляют взаимодействие соответствующего соединения формулы I, где R2 представляет собой -Е-ОН, с соединением формулы XIV где R16a представляет собой C1-6алкил, -Е-арил или -Е-Гет8, где Гет8 такой, как он определен выше, например, при температуре от температуры окружающей среды (например, 25°С) до температуры дефлегмации в условиях типа условий Мицунобу (Mitsunobu) (то есть в присутствии, например, трифенилфосфина, азодикарбоксилатного производного (например, 1,1′-(азодикарбонил)дипиперидина) и подходящего органического растворителя (например, дихлорметана)); (п) для соединений формулы I, в которых R2 представляет собой -E-OR16 (где R16 представляет собой C1-6балкил, -Е-арил или -Е-Гет8), осуществляют взаимодействие соответствующего соединения формулы XV где L2, R1, R3, R4, Ra-Rf, А, В и Е такие, как они определены выше, с соединением формулы XIV, как оно определено выше, например, при температуре от температуры окружающей среды (например, 25°С) до температуры дефлегмации в условиях типа условий Вильямсона (Williamson) (то есть в присутствии подходящего основания (например, КОН или NaH) и подходящего органического растворителя (например, диметилсульфоксида или ДМФ)); (р) для соединений формулы I, в которых R2 представляет собой -E-OR16, где R16 такой, как он определен выше, при условии, что он не представляет собой Н, осуществляют взаимодействие соответствующего соединения формулы I, в котором R2 представляет собой -Е-ОН, с соединением формулы XVI где R16b представляет собой R16, как он определен выше, за исключением того, что он не представляет собой Н, и L4 представляет собой уходящую группу, такую как ОН, галогено, алкансульфонат, аренсульфонат или -ОС(O)R19a, где R19a такой, как он определен выше, например, при температуре от комнатной температуры до температуры дефлегмации, возможно в присутствии реакционно-инертного органического растворителя (например, ТГФ или CH2CI2), подходящего основания (например, триэтиламина или К2СО3) и/или подходящего агента сочетания (например, 1,3-дициклогексилкарбодиимида или 1-(3-диметиламинопропил)-3-этилкарбодиимида, возможно объединенного с подходящим катализатором, таким как 4-диметиламинопиридин) (например, когда R16b представляет собой -C(O)R19a и L4 представляет собой ОН, это взаимодействие можно осуществить при температуре окружающей среды (например, 25°С) в присутствии агента сочетания, такого как 1-(3-диметиламинопропил)-3-этилкарбодиимид, подходящего катализатора, такого как 4-(диметиламино)пиридин, и растворителя, такого как ТГФ); (с) для соединений формулы I, в которых R2 представляет собой галогено, осуществляют замещение соответствующего соединения формулы I, в котором R2 представляет собой -ОН, с использованием подходящего галогенирующего агента (например, для соединений, в которых R2 представляет собой фторо, осуществляют взаимодействие с трифторидом (диэтиламино)серы); (т) осуществляют взаимодействие соответствующего соединения формулы XVII где R2, R3, R4, Ra-Rf, А и В такие, как они определены выше, с соединением формулы XVIII где L5 представляет собой уходящую группу, такую как галогено, ОН, алкансульфонат, перфторалкансульфонат, аренсульфонат, имидазол, R25O- (где R25 представляет собой, например, С1-10алкил или арил, причем данные группы возможно замещены одной или более чем одной галогено- или нитрогруппой), -OC(O)R5a, -OC(O)OR7 или -OS(O)2R9, и R1, R5a, R7 и R9 такие, как они определены выше, например, при температуре от -10°С до температуры дефлегмации возможно в присутствии подходящего растворителя (например, CHCl3, СН3CN, 2-пропанола, диэтилового эфира, СН2Cl2, ДМСО, ДМФ, ТГФ, толуола или их смесей) и/или подходящего основания (например, К2СО3, пиридина или триэтиламина); (у) для соединений формулы I, в которых R1 представляет собой -C(O)XR7 или -C(O)N(R8)R5d, осуществляют взаимодействие соединения формулы XIX где R2, R3, R4, Ra-Rf, А, В и L5 такие, как они определены выше, с соединением формулы XX где R26 представляет собой -XR7 или -N(R8)R5d и R5d, R7, R8 и Х такие, как они определены выше, например, в условиях, описанных выше (стадия (т) способа получения); (ф) для соединений формулы I, в которых R1 представляет собой -C(O)N(H)R8, осуществляют взаимодействие соответствующего соединения формулы XVII, как оно определено выше, с соединением формулы XXI где R8 такой, как он определен выше, например, при температуре от 0°С до температуры дефлегмации в присутствии соответствующего органического растворителя (например, дихлорметана), или посредством твердофазного синтеза в условиях, известных специалистам в данной области техники; (х) для соединений формулы I, в которых R1 представляет собой C1-12алкил, причем алкильная группа замещена по С-2-углероду (относительно азота биспидина) ОН или N(H)R6, либо возможно замещена иным образом одним или более чем одним дополнительным заместителем, как определено выше для R1, осуществляют взаимодействие соответствующего соединения формулы XVII, как оно определено выше, с соединением формулы XXII где Ya представляет собой О или N(R6), R13 представляет собой C1-10алкил, возможно замещенный одним или более чем одним заместителем, как определено выше для R1, и R6 такой, как он определен выше, например, как описано выше для получения соединений формулы I (стадия (в) способа получения); (ц) для соединений формулы I, в которых R1 представляет собой -C(O)OR7, и Rа и/или Rb представляют собой С1-4алкил, осуществляют взаимодействие соответствующего соединения формулы I, в котором R1 представляет собой -C(O)OR7, и Ra и Rb представляют собой Н, с одним или более чем одним эквивалентом соединения формулы XXIII где R27 представляет собой С1-4алкил и L2 такой, как он определен выше, в присутствии подходящего сильного основания (например, основания, способного к депротонированию 3,7-диазабицикло[3.3.0]октанового кольца по положению (ч) для соединений формулы I, которые являются N-оксидными производными по азоту 3,7-диазабицикло[3.3.0]октана, осуществляют окисление соответствующего азота 3,7-диазабицикло[3.3.0]октана соответствующего соединения формулы I в присутствии подходящего окисляющего агента (например, м-СРВА), например, при 0°С в присутствии подходящего органического растворителя (например, ДХМ); (ш) для соединений формулы I, которые являются производными C1-4алкильных солей четвертичного аммония, в которых алкильная группа присоединена к азоту 3,7-диазабицикло[3.3.0]октана, осуществляют взаимодействие по данному азоту 3,7-диазабицикло[3.3.0]октана, соответствующего соединения формулы I с соединением формулы XXIII, как оно определено выше, например, при комнатной температуре в присутствии соответствующего органического растворителя (например, ДМФ) с последующей очисткой (с использованием, например, ВЭЖХ) в присутствии подходящего источника противоиона (например, NH4OAc); (щ) осуществляют превращение одного заместителя на R4 в другой с использованием методик, хорошо известных специалистам в данной области техники, или (э) осуществляют превращение одной группы R1 в другую с использованием методик, хорошо известных специалистам в данной области техники. Соединения формулы II могут быть получены путем осуществления взаимодействия соответствующего соединения формулы XXIV где Ra-Rf такие, как они определены выше, с соединением формулы XVIII, как оно определено выше, например, как описано выше для синтеза соединений формулы I (стадия (т) способа получения). Соединения формулы III могут быть получены с помощью стандартных методик. Например, соединения формулы III, в которых (1) В представляет собой -Z-O-, могут быть получены путем сочетания соединения формулы VII, как оно определено выше, с соединением формулы XXV где R2, R3, A, Z и L1 такие, как они определены выше, и две группы L1 могут быть одинаковыми или разными, либо (2) В представляет собой -N(R22)-Z- (где N(R22) присоединен к атому углерода, несущему R2 и R3), и R2 и R3 вместе представляют собой =O, могут быть получены путем сочетания соединения формулы XXVI где R4, R22 и Z такие, как они определены выше, с соединением формулы XXVII где L6 представляет собой подходящую уходящую группу (например, -ОН или галогено), и А и L1 такие, как они определены выше; в обоих случаях в условиях, которые хорошо известны специалистам в данной области техники. Соединения формулы III, в которых А представляет собой С2алкилен и R2 представляет собой -OR16, где R16 представляет собой С1-6алкил, -Е-арил или -Е-Гет8, альтернативно могут быть получены путем осуществления взаимодействия соединения формулы XIV, как оно определено выше, с соединением формулы XXVIII где R3, R4, R27 и В такие, как они определены выше, например, при температуре от температуры окружающей среды (например, 25°С) до температуры дефлегмации в присутствии подходящего основания (например, карбоната калия) и подходящего органического растворителя (например, ацетонитрила) с последующим превращением эфирной функциональной группировки в группу -CH2-L1 (где L1 такая, как она определена выше) в условиях, которые хорошо известны специалистам в данной области техники. Соединения формулы III, в которых А представляет собой С2-6алкилен, могут быть получены путем восстановления соответствующего соединения формулы XXIX где Аb представляет собой прямую связь или С1-4алкилен и R2, R3, R4 и В такие, как они определены выше, с подходящим борановым комплексом или комплексом боран-основание Льюиса (например, боран-диметилсульфидом) в присутствии подходящего растворителя (например, диэтилового эфира, ТГФ или их смеси) с последующим окислением получающегося боранового аддукта подходящим окисляющим агентом (например, перборатом натрия) и затем превращением получающейся ОН-группы в группу L1 в условиях, известных специалистам в данной области техники. Соединения формулы III, в которых А представляет собой C1-6алкилен и В представляет собой -Z-N(R22)- (причем в последнем случае Z присоединен к атому углерода, несущему R2 и R3), могут быть получены путем сочетания соединения формулы VIII, как оно определено выше, с соединением формулы XXX где Aa, Z, R2, R3 и R22 такие, как они определены выше, например, при температуре от комнатной температуры до температуры дефлегмации, возможно в присутствии подходящего растворителя и/или подходящего основания с последующим превращением ОН-группы в группу L1 в условиях, известных специалистам в данной области техники. Соединения формулы III, в которых В представляет собой -Z-S(O)- или -Z-S(O)2-, могут быть получены путем окисления соответствующего соединения формулы III, в котором В представляет собой -Z-S-, где Z такой, как он определен выше, в присутствии соответствующего количества подходящего окисляющего агента (например, м-СРВА) и подходящего органического растворителя. Соединения формулы V могут быть получены в соответствии с методиками, которые хорошо известны специалистам в данной области техники. Например, соединения формулы V, в которых (1) В представляет собой -CH2O- и Y представляет собой О, могут быть получены путем осуществления взаимодействия соединения формулы VII, как оно определено выше, с соединением формулы XXXI где R3 и L2 такие, как они определены выше, например, при повышенной температуре (например, от 60°С до температуры дефлегмации) в присутствии подходящего основания (например, карбоната калия или NaOH) и подходящего органического растворителя (например, ацетонитрила или смеси толуол/вода), либо как иным образом описано в уровне техники; (2) R3 представляет собой Н, В представляет собой прямую связь, C1-4алкилен, -Z-N(R22)-, -Z-S(O)n– или -Z-O- (причем в каждом случае группа Z представляет собой С1-4алкилен, присоединенный к атому углерода, несущему R3), и Y представляет собой О, могут быть получены путем восстановления соединения формулы XXXIIA или XXXIIB где Вa представляет собой -Za-N(R22), -Za-S(O)n– или -Za-О- (причем в каждом случае группа Za представляет собой прямую связь или C1-3алкилен, присоединенный к атому углерода, несущему R3), Вb представляет собой прямую связь или С1-4алкилен, а R4, R22 и n такие, как они определены выше, например, при температуре от -15°С до комнатной температуры в присутствии подходящего восстанавливающего агента (например, NaBH4) и подходящего органического растворителя (например, ТГФ) с последующим осуществлением реакции внутреннего замещения в получающемся промежуточном соединении, например, при комнатной температуре в присутствии подходящего основания (например, карбоната калия) и подходящего органического растворителя (например, ацетонитрила); (3) В представляет собой прямую связь, С1-4алкилен, -Z-N(R22)-, -Z-S(O)2– или -Z-O- (причем в каждом случае группа Z представляет собой С1-4алкилен, присоединенный к атому углерода, несущему R3), и Y представляет собой О, могут быть получены путем окисления соединения формулы XXXIIIA или XXXIIIB где R3, R4 и Вb такие, как они определены выше, и В3 такой, как он определен выше, за исключением того, что n равен 2, в присутствии подходящего окисляющего агента (например, м-СРВА), например, путем кипячения с обратным холодильником в присутствии подходящего органического растворителя (например, дихлорметана), или (4) В представляет собой -Z-O-, причем группа Z представляет собой C1-4алкилен, присоединенный к атому углерода, несущему R3, и Y представляет собой -N(R17), где R17 представляет собой -C(O)OR19b или -S(O)2R19c, могут быть получены путем циклизации соединения формулы XXXIV где R17b представляет собой -C(O)OR19b или -S(O)2R19c, Zb представляет собой С1-4алкилен и R3, R4, R19b, R19c и L2 такие, как они определены выше, например, при температуре от 0°С до температуры дефлегмации в присутствии подходящего основания (например, гидроксида натрия), подходящего растворителя (например, дихлорметана, воды или их смеси) и, при необходимости, межфазного катализатора (такого как тетрабутиламмонийгидросульфат). Соединения формул VI, IX, XI и XV могут быть получены таким же способом, как и соединения формулы I (смотри, например, стадии (а) – (в) способа получения). Соединения формулы XI альтернативно могут быть получены путем осуществления взаимодействия соответствующих соединений формулы I, в которых R2 представляет собой -Е-ОН, с соединением формулы XXXV где R28 представляет собой С1-4алкил или арил (причем эти две группы возможно замещены одним или более чем одним заместителем, выбранным из С1-4алкила, галогено и нитро), например, при температуре от -10 до 25°С в присутствии подходящего растворителя (например, дихлорметана) с последующим взаимодействием с подходящим источником азид-иона (например, азидом натрия), например, при температуре от температуры окружающей среды до температуры дефлегмации в присутствии соответствующего растворителя (например, N,N-диметилформамида) и подходящего основания (например, гидрокарбоната натрия). Соединения формулы XI также могут быть получены путем осуществления взаимодействия соединения формулы II, как оно определено выше, с соединением формулы XXXVI где R3, R4, А, В, Е и L2 такие, как они определены выше, например, в условиях, аналогичных описанным выше для синтеза соединений формулы I (стадия (а) способа получения). Соединения формулы XV альтернативно могут быть получены путем замещения группы -ОН соответствующего соединения формулы I, в котором R2 представляет собой -Е-ОН, на группу L2 в условиях, которые хорошо известны специалистам в данной области техники. Соединения формулы XVII могут быть получены путем осуществления взаимодействия соответствующего соединения формулы XXIV, как оно определено выше, с соединением формулы III, как оно определено выше, например, в условиях, аналогичных описанным выше для синтеза соединений формулы I (стадия (а) способа получения). Соединения формулы XVII, в которых А представляет собой С2алкилен, а R2 и R3 вместе представляют собой =O, могут быть получены путем осуществления взаимодействия соответствующего соединения формулы XXIV, как оно определено выше, с соединением формулы IV, как оно определено выше, например, как описано выше для синтеза соединений формулы I (стадия (б) способа получения). Соединения формулы XVII, в которых А представляет собой CH2 и R2 представляет собой -ОН или -N(H)R17, могут быть получены путем осуществления взаимодействия соответствующего соединения формулы XXIV, как оно определено выше, с соединением формулы V, как оно определено выше, например, как описано выше для синтеза соединений формулы I (стадия (в) способа получения). Соединения формулы XIX могут быть получены путем осуществления взаимодействия соответствующего соединения формулы II, как оно определено выше, с соединением формулы XXXVII где L5 такой, как он определен выше, и где обе группы L5 могут быть одинаковыми или разными, например, при температуре от 0°С до температуры дефлегмации в присутствии подходящего основания (например, триэтиламина или карбоната калия) и подходящего органического растворителя (например, толуола или дихлорметана). Соединения формулы XXIV, в которых Ra и Rb оба представляют собой Н, могут быть получены путем восстановления соответствующего соединения формулы XXXVIII или его N-защищенного производного, где Rc – Rf такие, как они определены выше, например, при температуре от комнатной температуры до температуры дефлегмации в присутствии подходящего восстанавливающего агента (например, LiAl4) и подходящего органического растворителя (например, ТГФ). Соединения формулы XXIV, в которых Ra и Rb оба представляют собой Н, альтернативно могут быть получены путем осуществления взаимодействия соответствующего соединения формулы XXXIX или его N-защищенного производного, где Rc-Rf и L2 такие, как они определены выше, с аммиаком или его защищенным производным (например, бензиламином), например, в условиях, которые описаны в публикации международной заявки WO 96/07656, включенной в данное описание путем ссылки, например, при температуре от комнатной температуры до температуры дефлегмации в присутствии подходящего растворителя (например, низшего алкилового спирта (такого как метанол) или ДМФ)). Соединения формулы XXIV, в которых Rc и Rd оба представляют собой метил, a Ra, Rb, Re и Rf все представляют собой Н, альтернативно могут быть получены согласно методике, описанной в J. Org. Chem. 61, 8897 (1996), включенном в данное описание путем ссылки. Соединения формулы XXIX, в которых В представляет собой C1-4алкилен, могут быть получены путем сочетания соединения формулы XL где Вc представляет собой С1-4алкилен, Hal представляет собой хлоро, бромо или иодо и Аb, R2 и R3 такие, как они определены выше, с соединением формулы VIII, как оно определено выше, например, при температуре от -25°С до комнатной температуры в присутствии подходящей соли цинка(II) (например, безводного ZnBr2), подходящего катализатора (например, Pd(PPh3)4 или Ni(PPh3)4) и реакционно-инертного органического растворителя (например, ТГФ, толуола или диэтилового эфира). Соединения формулы XXXVI могут быть получены таким же способом, как и для соединений формулы XI (то есть из соответствующего спирта). Соединения формулы XXXVIII, в которых Rc и Rd оба представляют собой Н, могут быть получены путем восстановления соответствующего соединения формулы XLI или его N-защищенного либо N,N’-двузащищенного производного, например, как описано в J. Heterocyclic Chem. 20, 321 (1983), включенном в данное описание путем ссылки, например, посредством гидрирования при повышенном давлении (например, от 25 до 35 кПа) в присутствии подходящего катализатора (например, палладия на углероде) и подходящего растворителя (например, ледяной уксусной кислоты). Соединения формулы XXXVIII альтернативно могут быть получены путем сочетания соединения формулы XLIIA или XLIIB или его N-защищенного производного, где L7 представляет собой уходящую группу (такую как галогено или -ОН) и Rc-Rf такие, как они определены выше, с аммиаком или его защищенным производным (например, бензиламином), например, в условиях, которые хорошо известны специалистам в данной области техники (например, когда реагирующим веществом является соединение формулы XLIIB, то взаимодействие может быть осуществлено при температуре от комнатной температуры до температуры дефлегмации в присутствии подходящего растворителя (такого как ТГФ) с последующей циклизацией получающегося амидного промежуточного соединения в условиях, которые хорошо известны специалистам в данной области техники (например, путем осуществления взаимодействия с дегидратирующим агентом, таким как SOCl2)). Соединения формулы XXXVIII также могут быть получены путем осуществления взаимодействия соединения формулы XLIII или его N-защищенного (например, N-бензильного) производного, где L8 представляет собой подходящую уходящую группу (такую как низший алкокси (например, метокси) или циано), R29a-R29c независимо представляют собой C1-6алкил или фенил, Rx представляет собой Re или Rf, Ry представляет собой Rf или Re (как подходит), и Re и Rf такие, как они определены выше, с соединением формулы XLIV или его N-защищенным (например, N-бензильным) производным, где Rc и Rd такие, как они определены выше, например, в условиях, идентичных или аналогичных описанным в публикации международной заявки WO 97/11945 и в Tetrahedron 41(17), 3529 (1985), включенных в данное описание путем ссылки, например, при температуре от комнатной температуры до температуры дефлегмации в присутствии подходящего растворителя (например, дихлорметана) и подходящего катализатора (например, кислоты, такой как трифторуксусная кислота, или источника фторид-иона, такого как тетрабутиламмонийфторид или фторид серебра)). Соединения формулы XXXIX могут быть получены путем осуществления взаимодействия диэфира малеиновой кислоты, такого как соединение формулы XLV где R27, Rc и Rd такие, как они определены выше, с соединением формулы XLVI где Rx такой, как он определен выше, в присутствии соединения формулы XLVII где Ry такой, как он определен выше, например, в условиях, идентичных или аналогичных описанным в публикациях международных заявок WO 96/07656 и WO 95/15327, включенных в данное описание путем ссылки, с последующим превращением двух групп -C(O)OR27 в получающемся промежуточном соединении в группы -CH2-L2 в условиях, которые хорошо известны специалистам в данной области техники. Соединения формулы XLI могут быть получены путем сочетания соединения формулы XLVIIIA или XLVIIIB или его N-защищенного (например, N-бензильного) производного, где Re, Rf и L7 такие, как они определены выше, с аммиаком или его защищенным производным (например, бензиламином), например, в условиях, которые описаны в данной заявке в отношении получения соединений формулы XXXVIII, с последующей циклизацией получающегося амидного промежуточного соединения в условиях, известных специалистам в данной области техники. Соединения формулы XLIIA могут быть получены путем осуществления взаимодействия соответствующего соединения формулы XLV либо (1) с соединением формулы XLIII, как оно определено выше, или его N-защищенным (например, N-бензильным) производным, например, в условиях, которые описаны выше в отношении получения соединений формулы XXXVIII, с последующим превращением двух групп -C(O)OR27 в получающемся промежуточном соединении в группы -C(O)L7 в условиях, которые хорошо известны специалистам в данной области техники (например, для соединений формулы XLIIA, в которых L7 представляет собой ОН, путем гидролиза в присутствии основания щелочного металла (такого как КОН) и подходящего растворителя (например, этанола, воды или их смесей)), либо (2) с соединением формулы XLVI, как оно определено выше, в присутствии соединения формулы XLVII, как оно определено выше, например, в условиях, которые описаны выше в отношении получения соединений формулы XXXIX, с последующим превращением двух групп -C(O)OR27 в получающемся промежуточном соединении в группы -C(O)L7 в условиях, хорошо известных специалистам в данной области техники. Соединения формулы XLIIB могут быть получены путем осуществления взаимодействия соответствующего соединения формулы XLIX где Rc и Rd такие, как они определены выше, либо (1) с соединением формулы XLIII, как оно определено выше, или его N-защищенным (например, N-бензильным) производным, например, в условиях, которые описаны выше в отношении получения соединений формулы XXXVIII, либо (2) с соединением формулы XLVI, как оно определено выше, в присутствии соединения формулы XLVII, как оно определено выше, например, в условиях, которые описаны выше в отношении получения соединений формулы XXXIX. Соединения формулы XLIIB альтернативно могут быть получены путем циклизации соответствующего соединения формулы XLIIA, где L7 представляет собой ОН, например, в условиях, хорошо известных специалистам в данной области техники (например, путем осуществления взаимодействия с дегидратирующим агентом (таким как N,N’-дициклогексилкарбодиимидом) в присутствии подходящего растворителя (такого как ТГФ)). Соединения формулы XLIII могут быть получены путем осуществления взаимодействия соответствующего соединения формулы L или его N-защищенного (например, N-бензильного) производного, где Rx и R29а – R29c такие, как они определены выше, с соединением формулы XLVII, как оно определено выше, в присутствии либо низшего алкилового спирта, такого как метанол (с получением соединения формулы XLIII, в котором L8 представляет собой низший алкокси; например, в условиях, идентичных или аналогичных описанным в публикации международной заявки WO 97/11945 (например, при температуре от 0°С до комнатной температуры в присутствии воды)), либо источника цианид-иона, такого как цианид калия (с получением соединения формулы XLIII, в котором L8 представляет собой циано, например, в условиях, идентичных или аналогичных описанным в Tetrahedron 41(17), 3529 (1985)). Соединения формул XLVIIIA и XLVIIIB могут быть получены с помощью известных методик, например согласно процедурам, описанным в J. Heterocyctic Chem. 20, 321 (1983). Соединения формулы L могут быть получены с помощью известных методик, например согласно процедурам, описанным в публикации международной заявки WO 97/11945. Соединения формул IV, VII, VIII, X, XII, XIII, XIV, XVI, XVIII, XX, XXI, XXII, XXIII, XXV, XXVI, XXVII, XXVIII, XXX, XXXI, XXXIIA, XXXIIB, XXXIIIA, XXXIIIB, XXXIV, XXXV, XXXVII, XL, XLIV, XLV, XLVI, XLVII, XLIX и их производные либо имеются в продаже, известны из литературных данных, либо могут быть получены или аналогично описанным здесь способам, или с помощью общепринятых методов синтеза в соответствии со стандартными методиками из легко доступных исходных материалов с использованием соответствующих реагентов и реакционных условий. Например, превращения, дающие соединения формулы I (например, стадии (г), (д), (е), (к), (л), (м), (н), (о), (п), (р), (с), (ц), (щ) и (э) способа получения), можно осуществлять, где подходит, на промежуточных соединениях, описанных в данной заявке (например, соединениях формул II, VI, IX, XI, XV, XVII и XIX), с получением других промежуточных соединений, которые полезны в синтезе соединений формулы I. Заместители на арильной (например, фенильной) и (если подходит) гетероциклической группе(ах) в соединениях, определенных в данном описании, могут быть преобразованы в другие заявленные заместители с использованием методик, хорошо известных специалистам в данной области техники. Например, гидрокси может быть преобразован в алкокси, фенил может быть галогенирован с получением галогенофенила, нитро может быть восстановлен с получением амино, галогено может быть заменен на циано и так далее. Специалисту также очевидно, что взаимопревращения и трансформации различных стандартных заместителей или функциональных групп в пределах некоторых соединений формулы I будут обеспечивать получение других соединений формулы I. Например, карбонил может быть восстановлен до гидрокси или алкилена, а гидрокси может быть преобразован в галогено. Соединения по изобретению могут быть выделены из их реакционных смесей с использованием общепринятых методик. Специалистам в данной области техники очевидно, что в способах, описанных выше, функциональные группы промежуточных соединений могут быть защищены или могут нуждаться в защите с помощью защитных групп. Функциональные группы, которые желательно защищать, включают в себя гидрокси, амино и карбоновую кислоту. Подходящие защитные группы для гидрокси включают в себя триалкилсилильные и диарилалкилсилильные группы (например, трет-бутилдиметилсилил, трет-бутилдифенилсилил или триметилсилил), тетрагидропиранильные и алкилкарбонильные группы (например, метил- и этилкарбонильные группы). Подходящие защитные группы для амино включают в себя бензил, сульфонамидо (например, бензолсульфонамидо), трет-бутилоксикарбонил, 9-флуоренилметоксикарбонил или бензилоксикарбонил. Подходящие защитные группы для амидино и гуанидино включают в себя бензилоксикарбонил. Подходящие защитные группы для карбоновой кислоты включают в себя C1-6алкиловые или бензиловые сложные эфиры. Защита и снятие защиты с функциональных групп могут иметь место до или после любой из реакционных стадий, описанных выше. Защитные группы могут быть удалены в соответствии с методиками, которые хорошо известны специалистам в данной области техники и которые описаны ниже. Использование защитных групп полностью описано в Protective Groups in Organic Chemistry, под редакцией J.W.F. McOmie, Plenum Press (1973) и Protective Groups in Organic Synthesis, 3rd edition, T.W. Greene & P.G.M. Wutz, Wiley-lnterscience (1999). Специалистам в данной области техники очевидно, что для того чтобы получить соединения по изобретению альтернативным и в некоторых случаях более удобным способом, упомянутые в данном описании индивидуальные стадии способа получения могут быть выполнены в другом порядке, и/или индивидуальные реакции могут быть выполнены на другой стадии общего пути (то есть могут быть добавлены заместители к другим промежуточным соединениям, и/или химические трансформации выполнены на других промежуточных соединениях по сравнению с теми, которые были здесь связаны с конкретной реакцией). Это будет зависеть среди прочего от таких факторов, как природа других функциональных групп, присутствующих в конкретном субстрате, пригодность ключевых промежуточных соединений и принятая стратегия (если она существует) защитных групп. Очевидно, что тип химической реакции будет оказывать влияние на выбор реагента, который используется в указанных стадиях синтеза, на необходимость и тип применяемых защитных групп и последовательность выполнения синтеза. Кроме того, специалистам в данной области техники очевидно, что несмотря на то что определенные защищенные производные соединений формулы I, которые могут быть получены до конечной стадии снятия защиты, могут не обладать фармакологической активностью как таковой, они могут быть введены парентерально или перорально и после этого подвергаться метаболизму в организме с образованием соединений по изобретению, которые будут фармакологически активными. Поэтому такие производные могут быть описаны как “пролекарства”. Более того, определенные соединения формулы I могут действовать как пролекарства других соединений формулы I. Все пролекарства соединений формулы I включены в объем данного изобретения. Специалистам в данной области техники также очевидно, что определенные соединения формулы I будут полезны в качестве промежуточных соединений в синтезе некоторых других соединений формулы I. Некоторые промежуточные соединения, упомянутые выше, являются новыми. Таким образом, согласно еще одному аспекту данного изобретения предложено (а) соединение формулы II, как оно определено выше (при условии, что когда Ra-Rf все представляют собой Н, тогда R1 не представляет собой (1) С1-12алкил, возможно замещенный арилом или Гет1, (2) -С(O)-(возможно замещенный арил) или (3) трет-бутилоксикарбонил), или его защищенное производное; (б) соединение формулы VI, как оно определено выше, или его защищенное производное; (в) соединение формулы IX, как оно определено выше, или его защищенное производное; (г) соединение формулы XI, как оно определено выше, или его защищенное производное; (д) соединение формулы XV, как оно определено выше, или его защищенное производное; (е) соединение формулы XVII, как оно определено выше (при условии, что когда В представляет собой Z, тогда R2 представляет собой -Е-O-(возможно замещенный арил)), или его защищенное производное и (ж) соединение формулы XIX, как оно определено выше, или его защищенное производное. Соединения формулы II, которые могут быть упомянуты, включают в себя такие соединения, в которых (а) когда R1 представляет собой -C(O)XR7, тогда R7 не представляет собой незамещенный С1-12алкил; R7 представляет собой арил; Х представляет собой S; (б) когда Ra-Rf все представляют собой Н, тогда R1 не представляет собой (1) -C(O)XR7; (2) незамещенный С1-4алкил с прямой или разветвленной цепью; (3) незамещенный С1-5алкил с прямой или разветвленной цепью; (4) С1-4алкил с прямой или разветвленной цепью, замещенный фенилом (причем последняя группа является моно- или дизамещенной одним фторо, хлоро, бромо, метилом или метокси); (5) С1-4алкил с прямой или разветвленной цепью, замещенный одним фторо, хлоро, бромо, метилом или фенилом (причем последняя группа является моно- или дизамещенной одной или двумя метоксигруппами); (6) С1-4алкил с прямой или разветвленной цепью, замещенный одним фторо, хлоро, бромо, метилом, метокси или фенилом; (7) С1-4алкил с прямой или разветвленной цепью, замещенный галогено, метилом, метокси или арилом; (в) R1 представляет собой (1) Гет2, -C(O)R5a, -C(O)XR7, -C(O)N(R8)R5d, -S(O)2R9, незамещенный циклический или частично циклический/ациклический С4-12алкил, либо С1-4алкил, замещенный или оканчивающийся, либо C5-12алкил, возможно замещенный и/или оканчивающийся одной или более чем одной группой, выбранной из галогено, циано, нитро, фенила (причем последняя группа возможно замещена -ОН, циано, нитро, С2-6алкилом (возможно оканчивающимся -N(H)C(O)OR23a), С2-6алкокси, Гет1, арилом (причем арильная группа не может быть замещена любыми дополнительными арильными группами), -N(R24a)R24b, -C(O)R24c, -С(O)OR24d, -C(O)N(R24e)R24f, -N(R24g)C(O)R24g, -N(R24i)C(O)N(R24j)R24k, -N(R24m)S(O)2R23b, -S(O)nR23c, -OS(O)2R23d и -S(O)2N(R24n)R24p), нафтила (причем последняя группа возможно замещена одной или более чем одной группой, выбранной из -ОН, циано, галогено, нитро, C1-6алкила (возможно оканчивающегося -N(H)C(O)OR23a), С1-6алкокси, Гет1, арила (причем арильная группа не может быть замещена любыми дополнительными арильными группами), -N(R24a)R24b, -C(O)R24c, -C(O)OR24d, -C(O)N(R24e)R24f, -N(R24g)C(O)R24h, -N(R24i)C(O)N(R24j)R24k, -N(R24m)S(O)2R23b, -S(O)nR23c, -OS(O)2R23d и -S(O)2N(R24n)R24p), Гет1, -C(O)R5a, -OR5b, -N(R6)R5c, -C(O)XR7, -C(O)N(R8)R5d и -S(O)2R9; (2) Гет2, -C(O)R5a, -C(O)XR7, -C(O)N(R8)R5d, -S(O)2R9, незамещенный циклический или частично циклический/ациклический С4-12алкил, либо С1-5алкил, замещенный или оканчивающийся, либо C6-12алкил, возможно замещенный и/или оканчивающийся одной или более чем одной группой, выбранной из циано, нитро, фенила (причем последняя группа возможно замещена -ОН, галогено, циано, нитро, С1-6алкилом (возможно оканчивающимся -N(H)C(O)OR23a), С2-6алкокси, Гет1, арилом (причем арильная группа не может быть замещена любыми дополнительными арильными группами), -N(R24a)R24b, -C(O)R24c, -С(O)OR24d, -C(O)N(R24e)R24f, -N(R24g)C(O)R24h, -N(R24i)C(O)N(R24j)R24k, -N(R24m)S(O)2R23b, -S(O)nR23c, -OS(O)2R23d и -S(O)2N(R24n)R24p), нафтила (причем последняя группа возможно замещена одной или более чем одной группой, выбранной из -ОН, циано, галогено, нитро, C1-6алкила (возможно оканчивающимя -N(H)C(O)OR23a), C1-6алкоси, Гет1, арила (причем арильная группа не может быть замещена любыми дополнительными арильными группами), -N(R24a)R24b, -С(O)R24c, -С(O)OR24d, -C(O)N(R24e)R24f, -N(R24g)C(O)R24h, -N(R24i)C(O)N(R24j)R24k, -N(R24m)S(O)2R23b, -S(O)nR23c, -OS(O)2R23d и -S(O)2N(R24n)R24p), Гет1, -C(O)R5a, -OR5b, -N(R6)R5c, -C(O)XR7, -C(O)N(R8)R5d и -S(O)2R9; (3) Гет2, -C(O)R5a, -C(O)XR7, -C(O)N(R8)R5d, -S(O)2R9, незамещенный циклический или частично циклический/ациклический С4-12алкил, либо С1-4алкил, замещенный или оканчивающийся, либо C5-12алкил, возможно замещенный и/или оканчивающийся, одной или более чем одной группой, выбранной из галогено, циано, нитро, Гет1, -С(O)R5a, -OR5b, -N(R6)R5c, -C(O)XR7, -C(O)N(R8)R5d и -S(O)2R9; (4) Гет2, -C(O)R5a, -C(O)XR7, -C(O)N(R8)R5d, -S(O)2R9, незамещенный циклический или частично циклический/ациклический С4-12алкил, либо С1-5алкил, замещенный или оканчивающийся, либо C6-12алкил, возможно замещенный и/или оканчивающийся одной или более чем одной группой, выбранной из циано, нитро, Гет1, -C(O)R5a, -N(R6)R5c, -C(O)XR7, -C(O)N(R8)R5d, -S(O)2R9 и -OR5b (где R5b представляет собой Н, С2-6алкил (возможно замещенный и/или оканчивающийся одним или более чем одним заместителем, выбранным из -ОН, C1-6алкокси, галогено, циано, нитро, арила, Гет3 и -NHC(O)R10), арил или Гет4). Соединения формулы XVII, которые могут быть упомянуты, включают в себя соединения, где (а) когда Ra-Rf все представляют собой Н и группа -A-C(R2)(R3)-B- представляет собой С1-4алкилен, тогда R4 не представляет собой фенильную группу, которая является моно- или дизамещенной одним фторо, хлоро, бромо, метилом или метокси; (б) когда Ra-Rf все представляют собой Н и группа -A-C(R2)(R3)-B- представляет собой С1-5алкилен или С1-4алкилен, замещенный галогено, тогда R4 не представляет собой фенильную группу, которая является моно- или дизамещенной метокси; (в) R4 представляет собой нафтил или Гет13, причем обе эти группы возможно замещены одним или более чем одним заместителем, выбранным из -ОН, циано, галогено, нитро, С1-6алкила (возможно оканчивающегося -N(H)C(O)OR23a), С1-6алкокси, Гет1, арила, -N(R24a)R24b, -C(O)R24c, -С(O)OR24d, -C(O)N(R24e)R24f, -N(R24g)C(O)R24h, -N(R24i)C(O)N(R24j)R24k, -N(R24m)S(O)2R23b, -S(O)nR23c, -OS(O)2R23d, -S(O)2N(R24n)R24p и (только в случае Гет13) оксо, либо R4 представляет собой фенил, замещенный одним или более чем одним заместителем, выбранным из -ОН, циано, нитро, С2-6алкила (возможно оканчивающегося -N(H)C(O)OR23a), С2-6алкоси, Гет1, арила, -N(R24a)R2b, -C(O)R24c, -С(O)OR24d, -C(O)N(R24e)R24f, -N(R24g)C(O)R24h, -N(R24i)C(O)N(R24j)R24k, -N(R24m)S(O)2R23b, -S(O)nR23c, -OS(O)2R23d и -S(O)2N(R24n)R24p. Медицинское и фармацевтическое применение Соединения по изобретению являются полезными, так как они обладают фармакологической активностью. Поэтому они показаны в качестве фармацевтических средств. Таким образом, согласно еще одному аспекту данного изобретения предложены соединения по изобретению для применения в качестве фармацевтических средств. В частности, соединения по изобретению проявляют миокардиальную электрофизиологическую активность, например, как продемонстрировано в тестах, описанных ниже. Таким образом, ожидается, что соединения по изобретению будут полезны как при профилактике, так и при лечении аритмий, в частности предсердной и желудочковой аритмий. Таким образом, соединения по изобретению показаны при лечении или профилактике сердечных заболеваний либо при показаниях, относящихся к сердечным заболеваниям, при которых, как полагают, аритмии играют главную роль, включая ишемическую болезнь сердца, внезапный сердечный приступ, инфаркт миокарда, сердечную недостаточность, операцию на сердце и тромбоэмболические случаи. При лечении аритмий было обнаружено, что соединения по изобретению селективно замедляют сердечную реполяризацию, тем самым увеличивая QT-интервал, и, в частности, проявляют активность класса III. Несмотря на то, что было показано, что соединения по изобретению проявляют активность класса III, в частности, при лечении аритмий, вид(ы) их активности необязательно ограничен(ы) этим классом. Согласно еще одному аспекту данного изобретения предложен способ лечения аритмии, при котором субъекту, страдающему от такого состояния или подверженного такому состоянию, вводят терапевтически эффективное количество соединения по изобретению. Фармацевтические препараты Соединения по данному изобретению обычно будут вводиться перорально, подкожно, внутривенно, внутриартериально, трансдермально, интраназально, посредством ингаляции или посредством любого другого парентерального способа применения, в форме фармацевтических препаратов, содержащих активный ингредиент либо в виде свободного основания, либо нетоксичной соли присоединения органической или неорганической кислоты, в фармацевтически приемлемой лекарственной форме. В зависимости от заболевания и пациента, подвергаемого лечению, а также от способа введения, композиции могут быть введены в различных дозах. Соединения по изобретению можно также комбинировать с любыми другими лекарствами, полезными при лечении аритмий и/или других сердечно-сосудистых заболеваний. Таким образом, согласно еще одному аспекту данного изобретения предложен фармацевтический препарат, включающий в себя соединение по изобретению в смеси с фармацевтически приемлемым адъювантом, разбавителем или носителем. Подходящие суточные дозы соединений по изобретению при терапевтическом лечении людей составляют приблизительно от 0,005 до 25,0 мг/кг массы тела при пероральном введении и приблизительно от 0,005 до 10,0 мг/кг массы тела при парентеральном введении. Предпочтительные интервалы суточных доз соединений по изобретению при терапевтическом лечении людей составляют приблизительно от 0,005 до 10,0 мг/кг массы тела при пероральном введении и приблизительно от 0,005 до 5,0 мг/кг массы тела при парентеральном введении. Соединения по изобретению имеют преимущество в том, что они являются эффективными против сердечных аритмий. Соединения по изобретению имеют также преимущество в том, что они могут быть более эффективными, менее токсичными, иметь более широкий интервал активности (включая проявление любой комбинации активности класса I, класса II, класса III и/или класса IV (в особенности активности класса II и/или класса IV в дополнение к активности класса III)), быть более сильнодействующими, иметь более продолжительную активность, вызывать меньше побочных эффектов (включая более низкий процент проаритмий, таких как torsades de pointes), легче всасываться, или в том, что они могут обладать другими полезными фармакологическими свойствами помимо имеющихся у соединений, известных из уровня техники. Биологические тесты Тест А Первичные электрофизиологические эффекты на анестезированных морских свинках Использовали морских свинок весом от 660 до 1100 г. Животных содержали по меньшей мере в течение одной недели перед экспериментом при свободном доступе в этот период к еде и водопроводной воде. Анестезию осуществляли путем внутрибрюшинной инъекции пентобарбитала (от 40 до 50 мг/кг), и катетеры вводили в одну сонную артерию (для регистрации кровяного давления и отбора крови) и в одну шейную вену (для инфузий лекарств). Игольчатые электроды помещали на конечности для регистрации ЭКГ (отведение II). Термистор помещали в прямую кишку и животное помещали на электрогрелку, устанавливая ректальную температуру от 37,5 до 38,5°С. Проводили трахеотомию и животное подвергали искусственному вентилированию с помощью комнатного воздуха, используя небольшой вентилятор для животных, установленный так, чтобы поддерживать газы крови в нормальных пределах для данных видов. Для того чтобы снизить воздействия на вегетативную нервную систему, за 15 минут до начала эксперимента разрезали оба блуждающих нерва в области шеи и внутривенно вводили 0,5 мг/кг пропранолола. Эпикард левого желудочка обнажили посредством левосторонней торакотомии и к свободной стенке левого желудочка приложили изготовленный на заказ присасывающийся электрод для регистрации однофазного потенциала действия (ОПД). Электрод сохраняли в этом положении до тех пор, пока не был зарегистрирован приемлемый сигнал, в противном случае его перемещали в новое положение. Биполярный электрод для электокардиостимуляции прикрепили к левому предсердию. Электрокардиостимуляцию (длительность 2 мс, дважды диастолический порог) выполняли с помощью изготовленного на заказ стимулятора постоянного тока. Сердце стимулировали с частотой несколько выше нормального синусового ритма в течение 1 минуты каждые пять минут на протяжении всего исследования. Кровяное давление, ОПД-сигнал и отведение II ЭКГ регистрировали на струйном самописце Mingograph (Siemens-Elema, Швеция). Все сигналы собирали (частота сбора 1000 Гц) на ПК в течение последних 10 секунд каждой последовательности стимуляции и последних 10 секунд следующей минуты синусового ритма. Сигналы обрабатывали с использованием изготовленной на заказ программы, разработанной для сбора и анализа физиологических сигналов, измеряемых на подопытных животных (смотри Axenborg and Hirsch, Comput. Methods Programs Biomed. 41, 55 (1993)). Процедура тестирования заключалась в снятии двух базовых контрольных записей с интервалом 5 минут в продолжение как электрокардиостимуляции, так и синусового ритма. После второй контрольной записи проводили инфузию первой дозы тестируемого вещества в течение 30 секунд в объеме 0,2 мл в катетер в шейной вене. Тремя минутами позже начинали электрокардиостимуляцию и делали новую запись. Через пять минут после предыдущей дозы вводили следующую дозу тестируемого вещества. В продолжение каждого эксперимента давали от шести до десяти последовательных доз. Анализ данных Из многочисленных переменных, измеряемых в этом виде анализа, выбрали три как наиболее важные для сравнения и выбора активных соединений. Этими тремя выбранными переменными являлись продолжительность ОПД при 75%-ной реполяризации в продолжение электрокардиостимуляции, время атриовентрикулярной (АВ) проводимости (определяемое как интервал между предсердным стимулирующим импульсом и началом желудочкового ОПД) в продолжение электрокардиостимуляции и частота сердечных сокращений (определяемая как RR-интервал в продолжение синусового ритма). Систолическое и диастолическое кровяное давление измеряли для того, чтобы оценить гемодинамический статус анестезированного животного. Далее проверяли ЭКГ на наличие аритмий и/или морфологических изменений. Среднюю величину по двум контрольным записям принимали за нулевое значение и эффекты, зарегистрированные после последовательных доз тестируемого вещества, выражали как отклонения от этой величины, в процентах. Построение кривых доза-ответ было осуществлено путем нанесения на график этих величин в процентах против совокупной введенной дозы перед каждой записью. Таким образом, каждый эксперимент давал три кривых доза-ответ, одну для продолжительности ОПД, одну для времени АВ-проводимости и одну для частоты синусового ритма (RR-интервал). Вычисляли среднюю кривую по всем экспериментам, проведенным с тестируемым веществом, и из средней кривой получали величины эффективности. Все кривые доза-ответ в этих экспериментах строили путем линейного соединения полученных экспериментальных точек. Совокупную дозу, увеличивающую продолжительность ОПД на 10% по сравнению с базовой линией, использовали в качестве индекса для оценки электрофизиологической эффективности класса III исследуемого агента (D10). Тест Б Фибробласты мышей, обработанных глюкокортикоидами, в качестве модели для обнаружения блокаторов К+-каналов медленного выпрямления IC50 для блокады K+-каналов определяли с использованием метода скрининга на микротитрационных планшетах, основанного на изменениях мембранного потенциала фибробластов мышей, обработанных глюкокортикоидами. Мембранный потенциал фибробластов мышей, обработанных глюкокортикоидами, измеряли, используя флуоресценцию красителя бисоксонола (bisoxonol) DiBac4(3), которую можно с достоверностью обнаружить при использовании планшет-ридера с лазерным формированием изображений флуоресценции (fluorescence laser imaging plate rider, FLIPR). Экспрессию калиевого канала медленного выпрямления в фибробластах мышей индуцировали, подвергая их воздействию глюкокортикоида дексаметазона (5 мкМ) в течение 24 часов. Блокада этих калиевых каналов деполяризовала фибробласты, приводя в результате к повышенной флуоресценции DiBac4(3). 1tk фибробласты мышей (L-клетки) получили от Американской коллекции типовых культур (АТСС, Manassa, VA) и культивировали на модифицированной по способу Дульбекко среде Игла с добавлением фетальной телячьей сыворотки (5% об./об.), пенициллина (500 ЕД/мл), стрептомицина (500 мкг/мл) и L-аланин-L-глутамина (0,862 мг/мл). Клетки пересевали каждые 3-4 дня, используя трипсин (0,5 мг/мл в растворе фосфатного буфера, свободного от ионов кальция, Gibco BRL). За три дня до начала экспериментов суспензию клеток пипетировали в 96-луночные планшеты из черного пластика с прозрачным дном (Costar) по 25000 клеток на лунку. Датчик флуоресценции DiBac4(3) (DiBac Molecular probes) использовали для измерения мембранного потенциала. DiBac4(3) максимально поглощает при длине волны 488 нм и излучает при 513 нм. DiBac4(3) представляет собой бисоксонол и поэтому отрицательно заряжен при рН 7. Вследствие его отрицательного заряда распространение DiBac4(3) через мембрану зависит от трансмембранного потенциала: если клетка деполяризуется (то есть внутри клетка становится менее отрицательно заряженной, чем снаружи), то концентрация DiBac4(3) внутри клетки увеличивается вследствие электростатических сил. Оказавшись внутри клетки, молекулы DiBac4(3) могут связываться с липидами и протеинами, которые вызывают увеличение флуоресцентного излучения. Таким образом, деполяризация будет выражаться в увеличении флуоресценции DiBac4(3). Изменение флуоресценции DiBac4(3) регистрировали при помощи FLIPR. Перед каждым экспериментом клетки промывали 4 раза забуференным фосфатом физиологическим раствором (PBS) для полного удаления культуральной среды. Клетки затем обрабатывали 5 мкм DiBac4(3) (в 180 мкл PBS) при 35°С. Как только достигалась постоянная флуоресценция (обычно через 10 минут), добавляли 20 мкл тестируемого вещества, используя внутреннюю 96-луночную систему пипетирования FLIPR. Затем проводили измерения флуоресценции каждые 20 секунд в течение последующих 10 минут. Все эксперименты осуществляли при 35°С вследствие высокой чувствительности к температуре как проводимости калиевых каналов медленного выпрямления, так и флуоресценции DiBac4(3). Тестируемое вещество готовили во втором 96-луночном планшете в PBS, содержащем 5 мкМ DiBac4(3). Концентрация приготовленного вещества была в 10 раз больше, чем концентрация, требуемая для эксперимента, так как происходило дополнительное разбавление 1:10 во время добавления вещества в течение эксперимента. В качестве положительного контроля использовали дофетилид (10 мкМ), то есть определяли максимальное возрастание флуоресценции. Аппроксимацию кривых по точкам, используемую для определения значений IC50, проводили согласно Graphpad Prism program (Graphpad Software Inc., San Diego, CA). Тест В Метаболическая стабильность тестируемых соединений С целью определения метаболической стабильности соединений формулы I проводили скрининг in vitro. Использовали печеночную фракцию S-9 собаки, человека, кролика и крысы вместе с NADPH в качестве кофактора. Условия анализа были следующие: S-9 (3 мг/мл), NADPH (0,83 мМ), буфер трис-HCl (50 мМ) при рН 7,4 и 10 мкМ тестируемого соединения. Реакцию начинали добавлением тестируемого соединения и заканчивали через 0, 1, 5, 15 и 30 минут путем увеличения рН в образце выше 10 (NaOH; 1 мМ). После экстракции растворителем концентрацию тестируемого соединения измеряли против внутреннего стандарта с помощью LC (детектирование флуоресценции/УФ). Рассчитывали процент оставшегося после 30 минут тестируемого соединения (и, следовательно, t1/2) и использовали его в качестве единицы измерения метаболической стабильности. Данное изобретение иллюстрируется следующими примерами. Примеры Общие экспериментальные методики Масс-спектры регистрировали на одном из следующих приборов: спектрометре Perkin-Elmer SciX API 150ex; строенном квадрупольном масс-спектрометре VG Quattro II; единичном квадрупольном масс-спектрометре VG Platform II или единичном квадрупольном масс-спектрометре Micromass Platform LCZ (последние три прибора оборудованы пневматически управляемым электроспрей-интерфейсом (LC-MS)). 1H ЯМР- и 13С ЯМР-измерения выполняли на спектрометрах BRUKER АСР 300 и Varian 300, 400 и 500 работающих на 1H-частотах 300, 400 и 500 МГц соответственно, и на 13С-частотах 75,5, 100,6 и 125,7 МГц соответственно. Альтернативно, 13С ЯМР-измерения выполняли на спектрометре BRUKER АСЕ 200 на частоте 50,3 МГц. Ротамеры могут различаться или могут не различаться в спектре, в зависимости от легкости интерпретации спектра. Если не оговорено особо, химические сдвиги дают в миллионных долях с растворителем в качестве внутреннего стандарта. Синтез промежуточных соединений Следующие промежуточные соединения отсутствовали в продаже, и поэтому их получали описанными ниже способами. Получение А трет-Бутилгексагидропирроло[3,4-с]пиррол-2(1H)-карбоксилат (а) 3,7-Дибензил-цис-3,7-диазабицикло[3.3.0]октан-2,4-дион Трифторуксусную кислоту (1-3 мл) добавляли по каплям к раствору N-(метоксиметил)-N-триметилсилилметил)бензиламина (137,0 г; 580 ммоль) и имида N-бензилмалеиновой кислоты (95,0 г; 500 ммоль) в CH2Cl2 (1 л) до достижения интенсивной экзотермической реакции. По окончании экзотермической реакции (приблизительно 10 мин) смесь нагревали при температуре дефлегмации в течение 3 ч. Реакционную смесь охлаждали и затем гасили 1 н. NaOH (200 мл). Органический слой отделяли, промывали соляным раствором, высушивали (Na2SO4), фильтровали и концентрировали под вакуумом с получением 170,0 г неочищенного продукта. Кристаллизация из изопропилового эфира давала 109,0 г (67%) указанного в подзаголовке соединения. 1H ЯМР (300 МГц, CDCl3) (б) 3-Бензил-цис-3,7-диазабицикло[3.3.0]октан-2,4-диона гидрохлорид Концентрированную соляную кислоту (28,4 мл; 341 ммоль) добавляли к суспензии 3,7-дибензил-3,7-диазабицикло[3.3.0]октан-2,4-диона (109,0 г; 341 ммоль; со стадии (а), описанной выше) в СН3OH в атмосфере N2. К полученному раствору добавляли 10%-ный Pd/C (мас.%; 5 г). Атмосферу N2 заменяли на H2 (давление 98 кПа (1 атм)) и реакционную смесь перемешивали в течение 12 ч. Реакционную смесь разбавляли H2O (160 мл), фильтровали через набивку целлюлозы для удаления катализатора и фильтрат концентрировали под вакуумом с получением твердого вещества. Растирание с абсолютным EtOH позволило получить 74,6 г (82%) указанного в подзаголовке соединения в виде беловатого твердого вещества после высушивания в вакуумном шкафу при 50°С/66,5 Па (0,5 мм рт.ст.). 1H ЯМР (300 МГц, CDCl3) (в) 3-Бензил-цис-3,7-диазабицикло[3.3.0]октан 3-Бензил-3,7-диазабицикло[3.3.0]октан-2,4-диона гидрохлорид (73,8 г; 275 ммоль; со стадии (б), описанной выше) добавляли порциями к суспензии LiAlH4 (83,5 г; 2,26 моль) в ТГФ при 0°С.Реакционную смесь медленно нагревали до температуры дефлегмации. После кипячения с обратным холодильником в течение 16 ч реакционную смесь охлаждали до 0°С. К охлажденной реакционной смеси по каплям последовательно добавляли H2O (84 мл), 3 М NaOH (84 мл) и H2O (250 мл). Затем реакционную смесь перемешивали в течение дополнительных 15 минут и фильтровали через набивку целита (Celite®) для удаления неорганических солей. Фильтрат концентрировали под вакуумом с получением неочищенного продукта. Дистилляция по Кугельрору (Kugelrohr) (95-115°С/66,5 Па (0,5 мм Hg)) давала 46,8 г (84%) указанного в подзаголовке соединения в виде бесцветного масла. 1H ЯМР (300 МГц, CDCl3) (г) 3-Бензил-7-(трет-бутоксикарбонил)-цис-3,7-диазабицикло[3.3.0]октана гидрохлорид Раствор ди-трет-бутилдикарбоната (65,3 г; 299 ммоль) в ТГФ (100 мл) по каплям добавляли к перемешиваемому раствору 3-бензил-3,7-диазабицикло[3.3.0]октана (55 г; 272 ммоль; со стадии (в), описанной выше) в ТГФ (650 мл) при 0°С. По завершении добавления реакционную смесь перемешивали в течение 12 ч при комнатной температуре. Реакционную смесь разбавляли EtOAc (300 мл) и соляным раствором (300 мл). Органический слой отделяли и сохраняли, водный слой экстрагировали EtOAc (5×200 мл). Объединенные органические экстракты высушивали с помощью Na2SO4, фильтровали и концентрировали под вакуумом с получением бесцветного масла. Это масло растворяли в EtOAc (750 мл), охлаждали до 0°С и медленно добавляли 1 М раствор HCl в Et2O (275 мл). Осажденную соль HCl собирали и высушивали в вакуумном шкафу с получением 91,1 г (99%) указанного в подзаголовке соединения в виде беловатого твердого вещества. 1H ЯМР (300 МГц, CD3OD) (д) трет-Бутилгексагидропирроло[3,4-с]пиррол-2(1Н)-карбоксилата гидрохлорид К раствору 3-бензил-7-(трет-бутоксикарбонил)-3,7-диазабицикло[3.3.0]октана гидрохлорида (91,1 г; 269 ммоль; со стадии (г), описанной выше) в метаноле (250 мл) в атмосфере N2 добавляли 10%-ный Pd/C (мас.%; 9,8 г). Атмосферу N2 заменяли на Н2 (давление 98 кПа (1 атм)) и реакционную смесь перемешивали в течение 18 ч. Реакционную смесь фильтровали через набивку целлюлозы для удаления катализатора. Фильтрат концентрировали под вакуумом с получением беловатого твердого вещества. Это твердое вещество суспендировали в EtOAc и собирали. После высушивания в вакуумном шкафу в течение 18 ч при 60°С/66,5 Па (0,5 мм рт.ст.) получили 58,0 г (87%) указанного в заголовке соединения в виде беловатого твердого вещества. Т.пл. 175-178°С. Rf=0,45 (50:40:9:1, СН2Cl2/CHCl3/МеОН/конц. NH4OH). MS(CI): m/z=213(M+H). 1H ЯМР (300 МГц, CD3OD) 13С ЯМР (75 МГц, CD3OD) Соответствующее свободное основание получали путем следующей процедуры. Соль гидрохлорид растворяли в СН3CN. Добавляли четыре эквивалента К2СО3 вместе с небольшим количеством воды. Смесь перемешивали в течение 2 ч и затем фильтровали и упаривали с получением основания с количественным выходом. Получение Б трет-Бутил-(1S)-2-(4-цианофенокси)-1-(гексагидропирроло[3.4-с]пиррол-2(1Н)-илметил)этилкарбамат (а) 4-(2-Оксиранилметокси)бензонитрил Указанное в подзаголовке соединение получили с 75%-ным выходом согласно методике, описанной в публикации международной заявки WO 99/31100 (то есть путем осуществления взаимодействия п-цианофенола и эпихлоргидрина). (б) 4-[(3-Амино-2-гидроксипропил)окси]бензонитрил 4-(2-Оксиранилметокси)бензонитрил (100 г; 0,57 моль; смотри стадию (а), описанную выше) добавляли к смеси концентрированного водного гидроксида аммония (500 мл) и изопропанола (300 мл). Полученную взвесь перемешивали при комнатной температуре в течение 3 дней. Реакционную смесь фильтровали для удаления нерастворимого побочного продукта и фильтрат концентрировали под вакуумом с получением неочищенного продукта, который кристаллизовали из ацетонитрила с получением 50 г (46%) указанного в подзаголовке соединения. (в) трет-Бутил-3-(4-цианофенокси)-2-гидроксипропилкарбамат Охлажденный (0°С) раствор 4-[(3-амино-2-гидроксипропил)окси]бензонитрила (со стадии (б), описанной выше; 44,6 г; 0,23 моль) в смеси ТГФ/Н2О (1,5 л (1:1)) обрабатывали ди-трет-бутилдикарбонатом (53 г; 0,24 моль). Смесь перемешивали при комнатной температуре в течение ночи, после чего добавляли NaCl и полученный органический слой отделяли. Водный слой экстрагировали эфиром и объединенные органические экстракты высушивали и концентрировали под вакуумом. Полученное масло (70 г) фильтровали через набивку диоксида кремния и затем кристаллизовали из смеси диэтиловый эфир/диизопропиловый эфир с получением 50 г указанного в подзаголовке соединения. (г) 2-[(трет-Бутоксикарбонил)амино]-1-[(4-цианоФенокси)метил]этилметансульфонат Метансульфонилхлорид (22,3 г; 0,195 моль) добавляли в течение 1,5 часов к охлажденному (0°С) раствору трет-бутил-3-(4-цианофенокси)-2-гидроксипропилкарбамата (со стадии (в), описанной выше; 51,2 г; 0,177 моль) и 4-(диметиламино)пиридина (1,3 г; 10,6 ммоль) в пиридине (250 мл) в атмосфере инертного газа. Реакционную смесь перемешивали в течение 2 ч при комнатной температуре перед тем, как добавить воду и ДХМ. Органический слой отделяли, промывали водой, высушивали (MgSO4) и концентрировали под вакуумом с получением 68,1 г (100%) указанного в подзаголовке соединения. (д) трет-Бутил-2-[(4-цианофенокси)метил]-1-азиридинкарбоксилат Охлажденный (0°С) раствор 2-[(трет-бутоксикарбонил)амино]-1-[(4-цианофенокси)метил]этилметансульфоната (со стадии (г), описанной выше; 30,6 г; 82,6 ммоль) и тетрабутиламмония гидросульфата (3 г; 8,8 ммоль) в ДХМ (100 мл) обрабатывали 50 мас.% водным NaOH (60 мл) в атмосфере инертного газа. Полученную смесь перемешивали и оставляли, давая ее температуре медленно повышаться до комнатной в течение более 4 ч, и затем экстрагировли эфиром. Органический слой промывали водой и концентрировали под вакуумом с получением остатка, который очищали колоночной хроматографией (элюент дихлорметан). Кристаллизация из смеси диэтиловый эфир/диизопропиловый эфир давала указанное в подзаголовке соединение с количественным выходом. (е) трет-Бутил-(2S)-2-[(4-цианофенокси)метил]-1-азиридинкарбоксилат Указанное в подзаголовке соединение получили согласно методикам, описанным выше на стадиях (а) – (д) для синтеза трет-бутил-2-[(4-цианофенокси)метил]-1-азиридинкарбоксилата, но используя на стадии (a) (S)-(+)-эпихлоргидрин вместо эпихлоргидрина. (ж) Бензил-трет-бутилтетрагидропирроло[3,4-с]пиррол-2,5(1H,3Н)-дикарбоксилат трет-Бутилгексагидропирроло[3,4-с]пиррол-2(1Н)-карбоксилата гидрохлорид (10,0 г; 0,04 моль; смотри Получение А, описанное выше) и триэтиламин (14 мл; 0,1 моль) смешивали в CHCl3 (100 мл). Добавляли N-бензилоксикарбонилоксисукцинимид (11 г; 0,044 моль), растворенный в CHCl3 (100 мл), при 0-5°С. Смесь оставляли медленно достигать комнатной температуры и перемешивали при комнатной температуре в течение 5 ч. Реакционную смесь промывали водой, высушивали (Na2SO4) и упаривали с получением указанного в подзаголовке соединения с количественным выходом. 13С ЯМР (CDCl3) (з) Бензилгексагидропирроло[3,4-с]пиррол-2(1Н)-карбоксилат Бензил-трет-бутилтетрагидропирроло[3,4-с]пиррол-2,5(1Н,3Н)-дикарбоксилат (40 ммоль; со стадии (ж), описанной выше) растворяли в этилацетате. Добавляли при 0°С этилацетат, насыщенный HCl (г) (500 мл), и перемешивали, пока температура не достигла комнатной температуры. Растворитель выпаривали и продукт растворяли в СН3CN. Добавляли К2СО3 (4 экв.) и воду (2 мл). Смесь перемешивали в течение 2 ч перед тем, как отфильтровать и упарить, с получением 8 г (82%) указанного в подзаголовке соединения, которое использовали без дальнейшей очистки на следующей стадии. (и) Бензил-5-[(2S)-2-[(трет-бутоксикарбонил)амино]-3-(4-цианофенокси)пропил]гексагидропирроло[3,4-с]пиррол-2(1H)-карбоксилат трет-Бутил-(2S)-2-[(4-цианофенокси)метил]азиридин-1-карбоксилат (2,5 г; 9,1 ммоль; со стадии (е), описанной выше) и бензилгексагидропирроло[3,4-с]пиррол-2(1Н)-карбоксилат (2,24 г; 9,1 ммоль; со стадии (з), описанной выше) растворяли в изопропаноле (30 мл) и перемешивали при 56°С в течение 24 ч. Затем растворитель выпаривали. Продукт очищали хроматографией на диоксиде кремния (элюент этилацетат, 0-5% МеОН) с получением 3,8 г (80%) указанного в подзаголовке соединения. MS (ES): m/z=521 (М+Н)+. (к) трет-Бутил-(1S)-2-(4-цианофенокси)-1-(гексагидропирроло[3,4-с]пиррол-2(1H)-илметил)этилкарбамат Бензил-5-[(2S)-2-[(трет-бутоксикарбонил)амино]-3-(4-цианофенокси)пропил]гексагидропирроло[3,4-с]пиррол-2(1H)-карбоксилат (3,6 г; 6,9 ммоль; со стадии (и), описанной выше) растворяли в этаноле (300 мл 95%-ного) и гидрировали над 5%-ным Pd/C (мас./мас.). Реакцию останавливали, когда было израсходовано теоретическое количество Н2 (173 мл). Смесь фильтровали (через Celite®) и затем упаривали. Очистка хроматографией на диоксиде кремния (элюент ДХМ, 5% МеОН) давала 1,7 г (63,6%) указанного в заголовке соединения. 13С ЯМР (CDCl3) MS (ES): m/z=387 (М+Н)+. Получение В 4-[1-(3,4-Диметоксифенокси)-4-гексагидропирроло[3,4-с[пиррол-2(1H)-илбутил]бензонитрил (а) 4-[1-(3,4-Диметоксифенокси)-3-бутенил]бензонитрил Охлажденную (0°С) смесь 4-(1-гидрокси-3-бутенил)бензонитрила (14,6 г; 84,3 ммоль) и 3,4-диметоксифенола (19,5 г; 125,4 ммоль) в толуоле (500 мл) обрабатывали трибутилфосфином (32,14 мл 97,%-ной чистоты; 25,6 г; 126,4 ммоль) с последующим добавлением 1,1′-(азодикарбонил)дипиперидина (31,8 г; 126,4 ммоль). По завершении добавления реакционная смесь сгущалась и температура поднималась до 15°С. Добавляли дополнительное количество толуола (500 мл) и смесь перемешивали при комнатной температуре в течение ночи. Осадок оксида трибутилфосфина затем удаляли посредством фильтрования и фильтрат концентрировали под вакуумом с получением 65,8 г неочищенного продукта. Этот продукт очищали хроматографией на силикагеле, элюируя смесью толуол/метанол (98:2), с получением 17,9 г указанного в подзаголовке соединения. (б) 4-[1-(3,4-Диметоксифенокси)-4-гидроксибутил]бензонитрил Комплекс боран-метилсульфид (2 М в эфире, 11 мл, 22 ммоль) добавляли по каплям к охлажденному (-5°С) раствору 4-[1-(3,4-диметоксифенокси)-3-бутенил]бензонитрила (со стадии (а), описанной выше; 17,6 г; 56,8 ммоль) в безводном ТГФ (15 мл) в течение периода времени 15 минут (в течение этого времени реакционная температура поднимается до 0°С). Полученную смесь перемешивали при температуре от 0 до 10°С в течение 1,5 ч перед тем, как оставить нагреваться до комнатной температуры. Перемешивание продолжали в течение дополнительных 3,5 ч при этой температуре перед тем, как добавить воду (22 мл) и натрия пербората тетрагидрат (11 г, 66 ммоль). Бифазную смесь перемешивали в течение 2 ч при комнатной температуре перед тем, как отделить водный слой и экстрагировать эфиром. Объединенные органические слои промывали соляным раствором, высушивали и концентрировали под вакуумом. Полученный остаток очищали хроматографией на силикагеле, элюируя смесью ИПС/этилацетат/гептан (5:25:70), с получением 14,5 г (77%) указанного в подзаголовке соединения. (в) 4-(4-Цианофенил)-4-(3,4-диметоксифенокси)бутилметансульфонат Раствор метансульфонилхлорида (3,4 мл; 5,0 г; 44 ммоль) в ДХМ (15 мл) медленно добавляли к охлажденной (-5°С) смеси 4-[1-(3,4-диметоксифенокси)-4-гидроксибутил]бензонитрила (со стадии (б), описанной выше; 11 г; 34 ммоль) и триэтиламина (7 мл; 5,2 г; 50,6 ммоль) в ДХМ (50 мл), при этом во время добавления температура не поднимается выше 2°С. Перемешивание продолжали при температуре от 0 до 5°С в течение дополнительных 2 ч перед тем, как добавить воду. Полученный органический слой отделяли и промывали водой, снова отделяли и затем высушивали с получением указанного в подзаголовке соединения со 100%-ным выходом. (г) трет-Бутил-5-[4-(4-цианофенил)-4-(3,4-диметоксифенокси)бутил]гексагидропирроло[3,4-с]пиррол-2(1H)-карбоксилат 4-(4-Цианофенил)-4-(3,4-диметоксифенокси)бутилметансульфонат (1,12 г; 2,8 ммоль; смотри стадию (в), описанную выше), трет-бутилгексагидропирроло[3,4-с]пиррол-2(1Н)-карбоксилат (0,59 г; 2,8 ммоль; смотри Получение А, описанное выше) и Cs2СО3 смешивали в CH3CN (30 мл) и перемешивали при комнатной температуре в течение 3 дней. Затем эту смесь фильтровали и упаривали. Очистка на диоксиде кремния (элюент этилацетат/МеОН (9:1)) давала 0,9 г (60%) указанного в подзаголовке соединения. MS (ES): m/z=522 (М+Н)+. (д) 4-[1-(3,4-Диметоксифенокси)-4-гексагидропирроло[3,4-с]пиррол-2(1Н)-илбутил]бензонитрил трет-Бутил-5-[4-(4-цианофенил)-4-(3,4-диметоксифенокси)бутил]гексагидропирроло[3,4-с]пиррол-2(1H)-карбоксилат (0,9 г; 1,7 ммоль; со стадии (г), описанной выше) растворяли в этилацетате (25 мл). Раствор охлаждали до 0°С. Добавляли этилацетат (25 мл), насыщенный газообразным HCl и смесь перемешивали при комнатной температуре в течение 4 ч. Эту смесь упаривали и затем растворяли в СН3CN. Добавляли К2СО3 (1 г) и воду (0,05 мл) и смесь перемешивали в течение 2 ч. Соли отфильтровывали и растворитель выпаривали с получением 0,71 г (100%) указанного в заголовке соединения. MS (ES): m/z=421 (М+Н)+. Получение Г 4-[{(2S)-3-Гексагидропирроло[3,4-с]пиррол-2(1Н)-ил-2-гидроксипропил]окси}бензонитрил (а) трет-Бутил-5-[(2S)-3-(4-цианофенокси)-2-гидроксипропил]гексагидропирроло[3,4-с]пиррол-2(1H)-карбоксилат 4-[(2S)-Оксиранилметокси]бензонитрил (4,36 г; 0,025 моль; полученный, как описано в публикации международной заявки WO 99/31100) и трет-бутилгексагидропирроло[3,4-с]пиррол-2(1H)-карбоксилат (6,2 г; 0,025 моль; смотри Получение А, описанное выше) смешивали в изопропаноле и перемешивали при 60°С в течение ночи. Растворитель выпаривали и продукт очищали флэш-хроматографией на диоксиде кремния, элюируя этилацетатом, 10%-ным МеОН. Было получено 1,2 г (88%) указанного в подзаголовке соединения. (б) 4-{[(2S)-3-Гексагидропирроло[3,4-с]пиррол-2(1Н)-ил-2-гидроксипропил]окси}бензонитрил Указанное в заголовке соединение получили с 90%-ным выходом согласно методике, описанной выше на стадии (д) Получения В, используя трет-бутил-5-[(2S)-3-(4-цианофенокси)-2-гидроксипропил]гексагидропирроло[3,4-с]пиррол-2(1H)-карбоксилат (0,9 г; 2,3 ммоль; смотри стадию (а), описанную выше) вместо трет-бутил-5-[4-(4-цианофенил)-4-(3,4-диметоксифенокси)бутил]гексагидропирроло[3,4-с]пиррол-2(1Н)-карбоксилата. Получение Д 4-[(3-Гексагидропирроло[3,4-с]пиррол-2(1Н)-илпропил)амино]бензонитрил (а) 4-[(3-Гидроксипропил)амино]бензонитрил Смесь 4-фторбензонитрила (12,0 г; 99,1 ммоль) и 3-амино-1-пропанола (59,6 г; 793 ммоль) перемешивали при 80°С в атмосфере инертного газа в течение 3 часов перед тем, как добавить воду (150 мл). Смесь оставляли охлаждаться до комнатной температуры и затем экстрагировали диэтиловым эфиром. Органический слой отделяли, высушивали (Na2SO4), фильтровали и концентрировали под вакуумом с получением 17 г (97%) указанного в подзаголовке соединения в виде масла, которое кристаллизуется при стоянии. (б) 3-(4-Цианоанилино)пропил-4-метилбензолсульфонат Охлажденный (0°С) раствор 4-[(3-гидроксипропил)амино]бензонитрила (со стадии (а), описанной выше; 17 г; 96,5 ммоль) в безводном MeCN (195 мл) обрабатывали триэтиламином (9,8 г; 96,5 ммоль) и затем п-толуолсульфонилхлоридом (20,2 г; 106 ммоль). Смесь перемешивали при 0°С в течение 90 минут перед тем, как концентрировать под вакуумом. К остатку добавляли воду (200 мл) и водный раствор экстрагировали ДХМ. Органическую фазу высушивали (Na2SO4), фильтровали и концентрировали под вакуумом. Полученный остаток очищали кристаллизацией из изопропанола с получением 24,6 г (77%) указанного в подзаголовке соединения. (в) трет-Бутил-5-{3-[(4-цианофенил)амино]пропил}гексагидропирроло[3,4-с]пиррол-2(1H)-карбоксилат 3-(4-Цианоанилино)пропил-4-метилбензолсульфонат (1,98 г; 6 ммоль; смотри стадию (б), описанную выше) и трет-бутил-гексагидропирроло[3,4-с]пиррол-2(1Н)-карбоксилат (1,49 г; 6 ммоль; смотри Получение А, описанное выше) смешивали с К2СО3 (1,93 г; 14 ммоль) и CH3CN (100 мл) и затем перемешивали при 50°С в течение ночи. Растворитель выпаривали и продукт очищали хроматографией на диоксиде кремния (ДХМ/МеОН (20:1)) с получением 1,83 г (82%) указанного в подзаголовке соединения. (г) 4-[(3-Гексагидропирроло[3,4-с]пиррол-2(1H)-илпропил)амино1-бензонитрил Указанное в заголовке соединение получили с количественным выходом согласно методике, описанной выше на стадии (д) Получения В, используя трет-бутил-5-{3-[(4-цианофенил)амино]пропил}гексагидропирроло[3,4-с]пиррол-2(1Н)-карбоксилат (смотри стадию (в), описанную выше) вместо трет-бутил-5-[4-(4-цианофенил)-4-(3,4-диметоксифенокси)бутил]гексагидропирроло[3,4-с]пиррол-2(1Н)-карбоксилата. Получение Е 4-(2-Гексагидропирроло[3,4-с]пиррол-2(1H)-илэтокси)бензонитрил (а) 4-(2-Бромэтокси)бензонитрил Смесь 4-цианофенола (35,7 г; 0,3 моль), K2СО3 (41,4 г; 0,3 моль) и 1,2-дибромэтана (561 г; 3,0 моль) в MeCN (450 мл) перемешивали при температуре дефлегмации в течение ночи. Смесь фильтровали и упаривали с получением 30,2 г (45%) указанного в подзаголовке соединения, которое использовали без дальнейшей очистки. (б) трет-Бутил-5-[2-(4-цианофенокси)этил]гексагидропирроло[3,4-с]пиррол-2(1H)-карбоксилат Указанное в подзаголовке соединение получили с 91%-ным выходом согласно методике, описанной выше на стадии (в) Получения Д, используя 4-(2-бромэтокси)бензонитрил (смотри стадию (а), описанную выше) вместо 3-(4-цианоанилино)пропил-4-метилбензолсульфоната. (в) 4-(2-Гексагидропирроло[3,4-с]пиррол-2(1H)-илэтокси)бензонитрил Указанное в заголовке соединение получили со 100%-ным выходом согласно методике, описанной выше на стадии (д) Получения В, используя трет-бутил-5-[2-(4-цианофенокси)этил]гексагидропирроло[3,4-с]пиррол-2(1H)-карбоксилат (смотри стадию (б), описанную выше) вместо трет-бутил-5-[4-(4-цианофенил)-4-(3,4-диметоксифенокси)бутил]гексагидропирроло[3,4-с]пиррол-2(1H)-карбоксилата. Получение Ж 4-[(3-Гексагидропирроло[3,4-с]пиррол-2(1Н)-илпропил)сульфонил]бензонитрил (а) 4-[(3-Бромпропил)сульфанил]бензонитрил Смесь 4-цианотиофенола (20,8 г; 154 ммоль), 1,3-дибромпропана (155 г; 0,77 моль) и К2СО3 (21,3 г; 154 ммоль) в MeCN (300 мл) кипятили с обратным холодильником в течение ночи. Фильтрование и выпаривание растворителя давало коричневое масло, которое кристаллизовалось при обработке EtOH. Кристаллы отделяли фильтрованием с получением указанного в подзаголовке соединения (24,5 г; 62%). (б) 4-[(3-Бромпропил)сульфонил]бензонитрил 3-Хлорпероксибензойную кислоту (44,9 г 70%-ной; 182 ммоль) медленно добавляли к охлажденному (0°С) раствору 4-[(3-бромпропил)сульфанил]бензонитрила (со стадии (а), описанной выше; 23,4 г; 91 ммоль) в ДХМ (250 мл). Затем смесь перемешивали при комнатной температуре в течение ночи и полученный осадок отфильтровывали. Фильтрат концентрировали под вакуумом с получением остатка, для которого показано (с помощью ЯМР-анализа), что он содержит 25% сульфоксида в дополнение к желаемому продукту. Остаток перерастворяли в ДХМ (250 мл), добавляли дополнительное количество 3-хлорпероксибензойной кислоты (5,6 г 70%-ной; 23 ммоль) и смесь перемешивали в течение 30 мин. Для нейтрализации избытка м-СРВА добавляли диметилсульфоксид (20 ммоль) перед тем, как ДХМ-раствор промыть водным NaHCO3, отделить, высушить и сконцентрировать под вакуумом. Получили указанное в подзаголовке соединение с 76%-ным выходом. (в) трет-Бутил-5-{3-[(4-цианофенил)сульфонил]пропил}гексагидропирроло[3,4-с]пиррол-2(1Н)-карбоксилат Указанное в подзаголовке соединение получили с 75%-ным выходом согласно методике, описанной выше на стадии (в) Получения Д, используя 4-[(3-бромпропил)сульфонил]бензонитрил (смотри стадию (б), описанную выше) вместо 3-(4-цианоанилино)пропил-4-метилбензолсульфоната. (г) 4-[(3-Гексагидропирроло[3,4-с]пиррол-2(1Н)-илпропил)сульфонил]бензонитрил Указанное в заголовке соединение получили со 100%-ным выходом согласно методике, описанной выше на стадии (д) Получения В, используя трет-бутил-5-{3-[(4-цианофенил)сульфонил]пропил}гексагидропирроло[3,4-с]пиррол-2(1H)-карбоксилат (смотри стадию (в), описанную выше) вместо трет-бутил-5-[4-(4-цианофенил)-4-(3,4-диметоксифенокси)бутил]гексагидропирроло[3,4-с]пиррол-2(1Н)-карбоксилата. Получение 3 4-(2-Гексагидропирроло[3,4-с]пиррол-2(1H)-илэтокси)изофталонитрил (а) 4-(2-Бромэтокси)изофталонитрил Указанное в подзаголовке соединение получили с 64%-ным выходом согласно методике, описанной выше на стадии (а) Получения Е, используя 4-гидроксиизофталонитрил вместо 4-цианофенола. (б) трет-Бутил-5-[2-(2,4-дицианофенокси)этил]гексагидропирроло[3,4-с]пиррол-2(1Н)-карбоксилат Указанное в подзаголовке соединение получили с 75%-ным выходом согласно методике, описанной выше на стадии (в) Получения Д, используя 4-(2-бромэтокси)изофталонитрил (смотри стадию (а), описанную выше) вместо 3-(4-цианоанилино)пропил-4-метилбензолсульфоната. (в) 4-(2-Гексагидропирроло[3,4-с]пиррол-2(1Н)-илэтокси)изофталонитрил Указанное в заголовке соединение получили с 80%-ным выходом согласно методике, описанной выше на стадии (д) Получения В, используя трет-бутил-5-[2-(2,4-дицианофенокси)этил]гексагидропирроло[3,4-с]пиррол-2(1Н)-карбоксилат (смотри стадию (б), описанную выше) вместо трет-бутил-5-[4-(4-цианофенил)-4-(3,4-диметоксифенокси)бутил]гексагидропирроло[3,4-с]пиррол-2(1Н)-карбоксилата. Получение И 2-(Ацетилокси)-1,1-диметилэтил-1Н-имидазол-1-карбоксилат Смесь 2-гидрокси-2-метилпропилацетата (3,35 г; 25,3 ммоль) и 1,1′-карбонилдиимидазола (4,11 г; 25,3 ммоль) в ДХМ перемешивали в течение 8 ч при комнатной температуре. Затем смесь переносили в закрытый сосуд и нагревали до 100°С в течение ночи. Смесь концентрировали под вакуумом перед тем, как добавить эфир и воду. Органическую фазу отделяли, высушивали и концентрировали под вакуумом. Полученный остаток очищали хроматографией на силикагеле, элюируя смесью ТГФ/гептан (1:1), с получением указанного в заголовке соединения с 20%-ным выходом. Получение К 1-Циано-1-метилэтил-1Н-имидазол-1-карбоксилат Смесь 1,1′-карбонилдиимидазола (5 г; 31 ммоль) и 2-гидрокси-2-метилпропаннитрила (2,6 г; 31 ммоль) в ДХМ перемешивали при комнатной температуре в течение ночи. Добавляли воду и органический слой отделяли, высушивали (Na2SO4) и концентрировали под вакуумом. Полученный остаток очищали хроматографией на силикагеле, элюируя этилацетатом, с получением 2,7 г (50%) указанного в заголовке соединения. Получение Л 2-(4-Морфолинил)этил-1H-имидазол-1-карбоксилат Смесь 1,1′-карбонилдиимидазола (6,5 г; 40 ммоль) и 2-(4-морфолинил)-1-этанола (5,0 г; 38,1 ммоль) в ДХМ (200 мл) перемешивали в течение 22 ч при комнатной температуре. Добавляли эфир (400 мл) и смесь промывали водой. Водный слой затем экстрагировали ДХМ. Объединенные органические слои высушивали над Na2SO4 и упаривали с получением 6,0 г (70%) указанного в заголовке соединения. Получение М 2-(4-Пиридинил)этил-1Н-имидазол-1-карбоксилат Указанное в заголовке соединение получили со 100%-ным выходом согласно методике, описанной выше в Получении Л, используя 2-(4-пиридинил)-1-этанол вместо 2-(4-морфолинил)-1-этанола. Получение Н N-[2-(2-Метоксиэтокси)этил]-1Н-имидазол-1-карбоксамид Указанное в заголовке соединение получили с 40%-ным выходом согласно методике, описанной выше в Получении Л, используя 2-(2-метоксиэтокси)этиламин вместо 2-(4-морфолинил)-1-этанола. Получение О 2-(4-Ацетил-1-пиперазинил)этил-1Н-имидазол-1-карбоксилат (1) 1-[4-(2-Гидроксиэтил)-1-пиперазинил1-1-этанон Раствор 2-(1-пиперазинил)-1-этанола (6,5 г; 0,05 моль) в ДХМ (5 мл) обрабатывали ангидридом уксусной кислоты (5,1 г; 0,05 моль), добавляли по каплям. Во время добавления температура реакционной смеси поднималась от 22 до 60°С. Эту реакционную смесь несколько раз упаривали с толуолом с получением 5,6 г (65%) указанного в подзаголовке соединения. (2) 2-(4-Ацетил-1-пиперазинил)этил-1Н-имидазол-1-карбоксилат Раствор 1,1′-карбонилдиимидазола (5 г; 31 ммоль) в ДХМ (200 мл) обрабатывали раствором 1-[4-(2-гидроксиэтил)-1-пиперазинил]-1-этанона (смотри стадию (1), описанную выше; 5 г; 29 ммоль) в ДХМ (50 мл). Реакционную смесь перемешивали при комнатной температуре в течение ночи перед тем, как добавить воду. Слои разделяли, органический слой промывали водой, высушивали и концентрировали под вакуумом с получением 7,4 г (96%) указанного в заголовке соединения. Получение П 1-[4-(3-Бромпропил)-1-пиперазинил]-1-этанон Смесь 1-(1-пиперазинил)-1-этанона (6,7 г; 0,052 моль), дибромпропана (330 мл, избыток) и К2СО3 (10,2 г; 0,079 моль) перемешивали при комнатной температуре в течение 4 ч. Смесь промывали водой, 4×100 мл, и органическую фазу (разбавленную ДХМ) подкисляли водной бромистоводородной кислотой (7 мл 62%-ной HBr, растворенной в 150 мл воды). Органический слой отделяли и промывали водой (2×50 мл). Объединенные водные слои экстрагировали эфиром, нейтрализовали (до рН 7) 13 мл 10 М NaOH и затем экстрагировали ДХМ. Объединенные органические слои высушивали и концентрировали под вакуумом с получением 4,1 г (32%) указанного в заголовке соединения. Получение Р 3-(Этилсульфонил)пропил-4-метилбензолсульфонат (1) 3-(Этилсульфонил)-1-пропанол Раствор 3-(этилтио)-1-пропанола (13 г; 0,11 моль) в уксусной кислоте (40 мл) обрабатывали Н2O2 (30% в воде; 12,2 г; 0,11 моль), добавляли по каплям. Смесь перемешивали в течение 2 ч при комнатной температуре перед тем, как концентрировать под вакуумом. ЯМР-анализ показал, что полученный остаток состоит из 40% желаемого продукта и 60% соответствующего O-ацетата. Данный ацетат гидролизовали путем растворения реакционной смеси в 200 мл метанола и добавления 3 г NaOH (растворенных в небольшом количестве воды). Эту смесь перемешивали в течение ночи при комнатной температуре, затем концентрировали под вакуумом. Полученный неочищенный продукт растворяли в ДХМ и нерастворимый материал отфильтровывали. ДХМ удаляли выпариванием с получением 13,4 г (88%) указанного в подзаголовке соединения. (2) 3-(Этилсульфонил)пропил-4-метилбензолсульфонат Смесь 3-(этилсульфонил)-1-пропанола (смотри стадию (1), описанную выше; 13,4 г; 88 ммоль) и п-толуолсульфонилхлорида (16,8 г; 88 ммоль в ДХМ (150 мл)) обрабатывали ТЭА (13,4 г; 132 ммоль), добавляли по каплям. Полученную смесь перемешивали при комнатной температуре в течение 3 ч перед тем, как промыть водным раствором хлорида аммония. Затем органический слой отделяли, высушивали и концентрировали под вакуумом. Продукт кристаллизовали из эфира, содержащего небольшое количество ДХМ, с получением 17,9 г (66%) указанного в заголовке соединения. Синтез соединений формулы I Пример 1 Ниже приведено общее описание получения соединений из примера 2. Один из продуктов приведенных выше Получений от Б до З (0,25 ммоль) растворяли в CHCl3 (0,5 мл). Добавляли подходящий электрофил (0,25 ммоль), растворенный в CH3CN (2 мл), с последующим добавлением К2СО3 или триэтиламина (0,375 ммоль) (такие основания не являются необходимыми, если электрофилом является изоцианат). Реакционные смеси перемешивали при температуре от комнатной температуры до 50°С в течение от 2 до 5 дней. Реакции контролировали с помощью LC-MS. По завершении реакций реакционную смесь фильтровали, растворители выпаривали и затем остатки растворяли в MeCN или СН2Cl2 (2 мл). Полученные растворы добавляли в набивки для ионообменной твердофазной экстракции (2 г СВА). Набивки затем элюировали смесью ДХМ/MeCN (4:1, фракция 1) с последующим элюированием смесью ДХМ/МеОН/ТЭА (8:1:1, 4×2 мл). Фракции упаривали. Дальнейший анализ с помощью ВЭЖХ и MS позволил идентифицировать фракцию(и), в которой(ых) находится продукт. Пример 2 Следующие соединения были получены из соответствующих промежуточных соединений (таких как описанные выше) в соответствии или по аналогии с описанными в данной заявке способами (например, с помощью процедуры, описанной выше) и/или с помощью стандартных методик жидкофазной химии (масс-спектры соединений, когда их регистрировали, приведены в скобках): трет-бутил-5-[3-(4-цианофенокси)-2-гидроксипропил]гексагидропирроло[3,4-с]пиррол-2(1Н)-карбоксилат (m/z=388); трет-бутил-5-[2-(4-цианофенил)этил]гексагидропирроло[3,4-с]пиррол-2(1Н)-карбоксилат (m/z=342); трет-бутил-5-[(2S)-3-(4-цианофенокси)-2-гидроксипропил]гексагидропирроло[3,4-с]пиррол-2(1H)-карбоксилат (m/z=388); трет-бутил-5-{3-[(4-цианофенил)амино]пропил}гексагидропирроло[3,4-с]пиррол-2(1Н)-карбоксилат (m/z=371); трет-бутил-5-[2-(4-цианофенокси)этил]гексагидропирроло[3,4-с]пиррол-2(1Н)-карбоксилат (m/z=358); 5-[(2S)-3-(4-цианофенокси)-2-гидроксипропил]-N-этилгексагидропирроло[3,4-с]пиррол-2(1Н)-карбоксамид (m/z=359); 4-({(2R)-3-[5-[2-(3,4-диметоксифенил)этил]гексагидропирроло[3,4-с]-пиррол-2(1H)-ил]-2-гидроксипропил}окси)бензонитрил (m/z=452); 4-({3-[5-(бутилсульфонил)гексагидропирроло[3,4-с]пиррол-2(1H)-ил]пропил}амино)бензонитрил (m/z=391); 4-({3-[5-(3,3-диметил-2-оксобутил)гексагидропирроло[3,4-с]пиррол-2(1H)-ил]пропил}амино)бензонитрил (m/z=369); 4-({3-[5-[2-(3,4-диметоксифенил)этил]гексагидропирроло[3,4-с]пиррол-2(1Н)-ил]пропил}амино)бензонитрил (m/z=435); 5-[2-(4-цианофенокси)этил]-N-этилгексагидропирроло[3,4-с]пиррол-2(1Н)-карбоксамид (m/z=329); 5-[4-(4-цианофенил)-4-(3,4-диметоксифенокси)бутил]-N-этилгексагидропирроло[3,4-с]пиррол-2(1H)-карбоксамид (m/z=493); 4-{2-[5-(бутилсульфонил)гексагидропирроло[3,4-с]пиррол-2(1H)-ил]этокси}бензонитрил (m/z=378); 4-[4-[5-(бутилсульфонил)гексагидропирроло[3,4-с]пиррол-2(1H)-ил]-1-(3,4-диметоксифенокси)бутил]бензонитрил (m/z=542); 4-{2-[5-(3,3-диметил-2-оксобутил)гексагидропирроло[3,4-с]пиррол-2(1H)-ил]этокси}бензонитрил (m/z=356); 4-{1-(3,4-диметоксифенокси)-4-[5-(3,3-диметил-2-оксобутил)гексагидропирроло[3,4-с]пиррол-2(1H)-ил]бутил}бензонитрил (m/z=520); 4-{2-[5-[2-(3,4-диметоксифенил)этил]гексагидропирроло[3,4-с]пиррол-2(1H)-ил]этокси}бензонитрил (m/z=422); 4-{1-(3,4-диметоксифенокси)-4-[5-[2-(3,4-диметоксифенил)этил]гексагидропирроло[3,4-с]пиррол-2(1Н)-ил]бутил}бензонитрил (m/z=586); 4-({(2S)-3-[5-(бутилсульфонил)гексагидропирроло[3,4-с]пиррол-2(1H)-ил]-2-гидроксипропил}окси)бензонитрил; 4-({(2S)-3-[5-(3,3-диметил-2-оксобутил)гексагидропирроло[3,4-с]пиррол-2(1H)-ил]-2-гидроксипропил}окси)бензонитрил (m/z=386); 5-{3-[(4-цианофенил)амино]пропил}-N-этилгексагидропирроло[3,4-с]пиррол-2(1Н)-карбоксамид (m/z=342); трет-бутил-5-[4-(4-цианофенил)-4-(3,4-диметоксифенокси)бутил]гексагидропирроло[3,4-с]пиррол-2(1Н)-карбоксилат (m/z=522); трет-бутил-5-{3-[(4-цианофенил)сульфонил]пропил}гексагидропирроло[3,4-с]пиррол-2(1Н)-карбоксилат (m/z=420); 5-[(2S)-3-(4-цианофенокси)-2-гидроксипропил]-N-(3,5-диметилизоксазол-4-ил)гексагидропирроло[3,4-с]пиррол-2(1Н)-карбоксамид; N-{[5-[(2S)-3-(4-цианофенокси)-2-гидроксипропил]гексагидропирроло[3,4-с]пиррол-2(1H)-ил]карбонил}-4-метилбензолсульфонамид; 5-[(2S)-3-(4-цианофенокси)-2-гидроксипропил]-N-(4-метоксифенил)гексагидропирроло[3,4-с]пиррол-2(1H)-карбоксамид; 5-[(2S)-3-(4-цианофенокси)-2-гидроксипропил]-N-{4-[(трифторметил)тио]фенил}гексагидропирроло[3,4-с]пиррол-2(1H)-карбоксамид (m/z=507); 5-[(2S)-3-(4-цианофенокси)-2-гидроксипропил]-N-тетрагидро-2Н-пиран-2-илгексагидропирроло[3,4-с]пиррол-2(1H)-карбоксамид; 5-[(2S)-3-(4-цианофенокси)-2-гидроксипропил]-N-(циклопропилметил)гексагидропирроло[3,4-с]пиррол-2(1H)-карбоксамид (m/z=385); 5-[(2S)-3-(4-цианофенокси)-2-гидроксипропил]-N-изопропилгексагидропирроло[3,4-с]пиррол-2(1H)-карбоксамид; 5-[(2S)-3-(4-цианофенокси)-2-гидроксипропил]-N-(3,4-дифторфенил)гексагидропирроло[3,4-с]пиррол-2(1H)-карбоксамид (m/z=443); N-бутил-5-[(2S)-3-(4-цианофенокси)-2-гидроксипропил]гексагидро-пирроло[3,4-с]пиррол-2(1H)-карбоксамид (m/z=387); 5-{3-[(4-цианофенил)амино]пропил}-N-(3,5-диметилизоксазол-4-ил)гексагидропирроло[3,4-с]пиррол-2(1Н)-карбоксамид; 5-{3-[(4-цианофенил)амино]пропил}-N-(4-метоксифенил)гексагидропирроло[3,4-с]пиррол-2(1 Н)-карбоксамид; 5-{3-[(4-цианофенил)амино]пропил}-N-{4-[(трифторметил)тио]фенил}гексагидропирроло[3,4-с]пиррол-2(1Н)-карбоксамид (m/z=490); 5-{3-[(4-цианофенил)амино]пропил}-N-тетрагидро-2Н-пиран-2-илгексагидропирроло[3,4-с]пиррол-2(1H)-карбоксамид; 5-{3-[(4-цианофенил)амино]пропил}-N-(циклопропилметил)гексагидропирроло[3,4-с]пиррол-2(1H)-карбоксамид (m/z=490); 5-{3-[(4-цианофенил)амино]пропил}-N-изопропилгексагидропирроло[3,4-с]пиррол-2(1H)-карбоксамид (m/z=356); 5-{3-[(4-цианофенил)амино]пропил}-N-(3,4-дифторфенил)гексагидропирроло[3,4-с]пиррол-2(1Н)-карбоксамид (m/z=426); N-бутил-5-{3-[(4-цианофенил)амино]пропил}гексагидропирроло[3,4-с]пиррол-2(1Н)-карбоксамид; 5-[2-(4-цианофенокси)этил]-N-(3,5-диметилизоксазол-4-ил)гексагидропирроло[3,4-с]пиррол-2(1H)-карбоксамид; N-{[5-[2-(4-цианофенокси)этил]гексагидропирроло[3,4-с]пиррол-2(1Н)-ил]карбонил}-4-метилбензолсульфонамид; 5-[2-(4-цианофенокси)этил]-N-(4-метоксифенил)гексагидропирроло[3,4-с]пиррол-2(1H)-карбоксамид (m/z=407); 5-[2-(4-цианофенокси)этил]-N-{4-[(трифторметил)тио]фенил}гексагидропирроло[3,4-с]пиррол-2(1H)-карбоксамид (m/z=477); 5-[2-(4-цианофенокси)этил]-N-тетрагидро-2H-пиран-2-илгексагидропирроло[3,4-с]пиррол-2(1H)-карбоксамид; 5-[2-(4-цианофенокси)этил]-N-(циклопропилметил)гексагидропирроло[3,4-с]пиррол-2(1H)-карбоксамид (m/z=355); 5-[2-(4-цианофенокси)этил]-N-изопропилгексагидропирроло[3,4-с]пиррол-2(1Н)-карбоксамид (m/z=343); 5-[2-(4-цианофенокси)этил]-N-(3,4-дифторфенил)гексагидропирроло[3,4-с]пиррол-2(1Н)-карбоксамид (m/z=413); N-бутил-5-[2-(4-цианофенокси)этил]гексагидропирроло[3,4-с]пиррол-2(1Н)-карбоксамид (m/z=357); 5-{3-[(4-цианофенил)сульфонил]пропил}-N-этилгексагидропирроло[3,4-с]пиррол-2(1H)-карбоксамид; 5-{3-[(4-цианофенил)сульфонил]пропил}-N-(3,5-диметилизоксазол-4-ил)-гексагидропирроло[3,4-с]пиррол-2(1H)-карбоксамид; N-{[5-{3-[(4-цианофенил)сульфонил]пропил}гексагидропирроло[3,4-с]-пиррол-2(1H)-ил]карбонил}-4-метилбензолсульфонамид; 5-{3-[(4-цианофенил)сульфонил]пропил}-N-(4-метоксифенил)гексагидропирроло[3,4-с]пиррол-2(1H)-карбоксамид; 5-{3-[(4-цианофенил)сульфонил]пропил}-N-{4-[(трифторметил)тио]фенил}гексагидропирроло[3,4-с]пиррол-2(1H)-карбоксамид (m/z=539); 5-[3-[(4-цианофенил)сульфонил]пропил}-N-тетрагидро-2H-пиран-2-илгексагидропирроло[3,4-с]пиррол-2(1Н)-карбоксамид; 5-{3-[(4-цианофенил)сульфонил]пропил}-N-(цикпопропилметил)гексагидропирроло[3,4-с]пиррол-2(1H)-карбоксамид (m/z=417); 5-{3-[(4-цианофенил)сульфонил]пропил}-N-изопропилгексагидропирроло[3,4-с]пиррол-2(1Н)-карбоксамид; 5-{3-[(4-цианофенил)сульфонил]пропил}-N-(3,4-дифторфенил)гексагидропирроло[3,4-с]пиррол-2(1H)-карбоксамид (m/z=475); N-бутил-5-{3-[(4-цианофенил)сульфонил]пропил}гексагидропирроло[3,4-с]пиррол-2(1H)-карбоксамид (m/z=419); 5-[(2S)-2-амино-3-(4-цианофенокси)пропил]-N-этилгексагидропирроло[3,4-с]пиррол-2(1H)-карбоксамид (m/z=358); 5-[(2S)-2-амино-3-(4-цианофенокси)пропил]-N-(3,5-диметилизоксазол-4-ил)гексагидропирроло[3,4-с]пиррол-2(1Н)-карбоксамид; N-{[5-[(2S)-2-амино-3-(4-цианофенокси)пропил]гексагидропирроло[3,4-с]пиррол-2(1H)-ил]карбонил}-4-метилбензолсульфонамид; 5-[(2S)-2-амино-3-(4-цианофенокси)пропил]-N-(4-метоксифенил)гексагидропирроло[3,4-с]пиррол-2(1H)-карбоксамид (m/z=436); 5-[(2S)-2-амино-3-(4-цианофенокси)пропил]-N-{4-[(трифторметил)тио]фенил}гексагидропирроло[3,4-с]пиррол-2(1H)-карбоксамид (m/z=506); 5-[(2S)-2-амино-3-(4-цианофенокси)пропил]-N-(цикпопропилметил)гексагидропирроло[3,4-с]пиррол-2(1H)-карбоксамид (m/z=384); 5-[(2S)-2-амино-3-(4-цианофенокси)пропил]-N-изопропилгексагидропирроло[3,4-с]пиррол-2(1Н)-карбоксамид (m/z=372); 5-[(2S)-2-амино-3-(4-цианофенокси)пропил]-N-(3,4-дифторфенил)гексагидропирроло[3,4-с]пиррол-2(1H)-карбоксамид (m/z=442); 5-[(2S)-2-амино-3-(4-цианофенокси)пропил]-N-бутилгексагидропирроло[3,4-с]пиррол-2(1Н)-карбоксамид (m/z=386); 5-[2-(2,4-дицианофенокси)этил]-N-этилгексагидропирроло[3,4-с]пиррол-2(1H)-карбоксамид; 5-[2-(2,4-дицианофенокси)этил]-N-(3,5-диметилизоксазол-4-ил)гексагидропирроло[3,4-с]пиррол-2(1H)-карбоксамид; N-{[5-[2-(2,4-дицианофенокси)этил]гексагидропирроло[3,4-с]пиррол-2(1H)-ил]карбонил}-4-метилбензолсульфонамид; 5-[2-(2,4-дицианофенокси)этил]-N-(4-метоксифенил)гексагидропирроло[3,4-с]пиррол-2(1Н)-карбоксамид (m/z=432); 5-[2-(2,4-дицианофенокси)этил]-N-{4-[(трифторметил)тио]фенил}гексагидропирроло[3,4-с]пиррол-2(1Н)-карбоксамид (m/z=502); 5-[2-(2,4-дицианофенокси)этил]-N-тетрагидро-2Н-пиран-2-илгексагидропирроло[3,4-с]пиррол-2(1H)-карбоксамид (m/z=410); N-(циклопропилметил)-5-[2-(2,4-дицианофенокси)этил]гексагидропирроло[3,4-с]пиррол-2(1H)-карбоксамид (m/z=380); 5-[2-(2,4-дицианофенокси)этил]-N-изопропилгексагидропирроло[3,4-с]пиррол-2(1Н)-карбоксамид (m/z=368); 5-[2-(2,4-дицианофенокси)этил]-N-(3,4-дифторфенил)гексагидропирроло[3,4-с]пиррол-2(1Н)-карбоксамид; N-бутил-5-[2-(2,4-дицианофенокси)этил]гексагидропирроло[3,4-с]пиррол-2(1Н)-карбоксамид (m/z=382); этил-5-[(2S)-3-(4-цианофенокси)-2-гидроксипропил]гексагидропирроло[3,4-с]пиррол-2(1H)-карбоксилат (m/z=360); 2-гидрокси-1,1-диметилэтил-5-[(2S)-3-(4-цианофенокси)-2-гидроксипропил]гексагидропирроло[3,4-с]пиррол-2(1H)-карбоксилат (m/z=404); 1-циано-1-метилэтил-5-[(2S)-3-(4-цианофенокси)-2-гидроксипропил]гексагидропирроло[3,4-с]пиррол-2(1H)-карбоксилат; бут-2-инил-5-[(2S)-3-(4-цианофенокси)-2-гидроксипропил]гексагидропирроло[3,4-с]пиррол-2(1Н)-карбоксилат (m/z=384); 2-метоксиэтил-5-[(2S)-3-(4-цианофенокси)-2-гидроксипропил]гексагидропирроло[3,4-с]пиррол-2(1H)-карбоксилат; 3-(метилсульфонил)пропил-5-[(2S)-3-(4-цианофенокси)-2-гидроксипропил]гексагидропирроло[3,4-с]пиррол-2(1Н)-карбоксилат; 2-морфолин-4-илэтил-5-[(2S)-3-(4-цианофенокси)-2-гидроксипропил]гексагидропирроло[3,4-с]пиррол-2(1H)-карбоксилат; 2-пиридин-4-илэтил-5-[(2S)-3-(4-цианофенокси)-2-гидроксипропил]гексагидропирроло[3,4-с]пиррол-2(1Н)-карбоксилат (m/z=437); 2-(4-ацетилпиперазин-1-ил)этил-5-[(2S)-3-(4-цианофенокси)-2-гидроксипропил]гексагидропирроло[3,4-с]пиррол-2(1H)-карбоксилат; 5-[(2S)-3-(4-цианофенокси)-2-гидроксипропил]-N-[2-(2-метоксиэтокси)этил]гексагидропирроло[3,4-с]пиррол-2(1H)-карбоксамид; этил-5-{3-[(4-цианофенил)амино]пропил}гексагидропирроло[3,4-с]пиррол-2(1H)-карбоксилат (m/z=343); 2-гидрокси-1,1-диметилэтил-5-{3-[(4-цианофенил)амино]пропил}гексагидропирроло[3,4-с]пиррол-2(1H)-карбоксилат (m/z=387); 1-циано-1-метилэтил-5-{3-[(4-цианофенил)амино]пропил}гексагидропирроло[3,4-с]пиррол-2(1H)-карбоксилат (m/z=382); бут-2-инил-5-{3-[(4-цианофенил)амино]пропил}гексагидропирроло[3,4-с]пиррол-2(1Н)-карбоксилат (m/z=367); 2-метоксиэтил-5-{3-[(4-цианофенил)амино]пропил}гексагидропирроло-[3,4-с]пиррол-2(1H)-карбоксилат (m/z=373); 3-(метилсульфонил)пропил-5-{3-[(4-цианофенил)амино]пропил}гексагидропирроло[3,4-с]пиррол-2(1H)-карбоксилат; 2-морфолин-4-илэтил-5-{3-[(4-цианофенил)амино]пропил}гексагидропирроло[3,4-с]пиррол-2(1Н)-карбоксилат; 2-пиридин-4-илэтил-5-{3-[(4-цианофенил)амино]пропил}гексагидропирроло[3,4-с]пиррол-2(1H)-карбоксилат (m/z=420); 2-(4-ацетилпиперазин-1-ил)этил-5-{3-[(4-цианофенил)амино]пропил}гексагидропирроло[3,4-с]пиррол-2(1H)-карбоксилат; 5-{3-[(4-цианофенил)амино]пропил}-N-[2-(2-метоксиэтокси)этил]гексагидропирроло[3,4-с]пиррол-2(1H)-карбоксамид; этил-5-[2-(4-цианофенокси)этил]гексагидропирроло[3,4-с]пиррол-2(1Н)-карбоксилат (m/z=330); 2-гидрокси-1,1-диметилэтил-5-[2-(4-цианофенокси)этил]гексагидропирроло[3,4-с]пиррол-2(1H)-карбоксилат (m/z=374); 1-циано-1-метилэтил-5-[2-(4-цианофенокси)этил]гексагидропирроло[3,4-с]пиррол-2(1H)-карбоксилат (m/z=369); бут-2-инил-5-[2-(4-цианофенокси)этил]гексагидропирроло[3,4-с]пиррол-2(1H)-карбоксилат (m/z=354); 2-метоксиэтил-5-[2-(4-цианофенокси)этил]гексагидропирроло[3,4-с]пиррол-2(1H)-карбоксилат (m/z=359); 3-(метилсульфонил)пропил-5-[2-(4-цианофенокси)этил]гексагидропирроло[3,4-с]пиррол-2(1Н)-карбоксилат {m/z=422); 2-морфолин-4-илэтил-5-[2-(4-цианофенокси)этил]гексагидропирроло[3,4-с]пиррол-2(1H)-карбоксилат (m/z=415); 2-пиридин-4-илэтил-5-[2-(4-цианофенокси)этил]гексагидропирроло[3,4-с]пиррол-2(1Н)-карбоксилат (m/z=407); 2-(4-ацетилпиперазин-1-ил)этил-5-[2-(4-цианофенокси)этил]гексагидропирроло[3,4-с]пиррол-2(1Н)-карбоксилат (m/z=456); 5-[2-(4-цианофенокси)этил]-N-[2-(2-метоксиэтокси)этил]гексагидропирроло[3,4-с]пиррол-2(1H)-карбоксамид (m/z=403); этил-5-{3-[(4-цианофенил)сульфонил]пропил}гексагидропирроло[3,4-с]пиррол-2(1H)-карбоксилат (m/z=392); 2-гидрокси-1,1-диметилэтил-5-{3-[(4-цианофенил)сульфонил]пропил}гексагидропирроло[3,4-с]пиррол-2(1H)-карбоксилат (m/z=436); 1-циано-1-метилэтил-5-{3-[(4-цианофенил)сульфонил]пропил}гексагидропирроло[3,4-с]пиррол-2(1H)-карбоксилат (m/z=431); бут-2-инил-5-{3-[(4-цианофенил)сульфонил]пропил}гексагидропирроло[3,4-с]пиррол-2(1H)-карбоксилат (m/z=416); 2-метоксиэтил-5-{3-[(4-цианофенил)сульфонил]пропил}гексагидропирроло[3,4-с]пиррол-2(1H)-карбоксилат (m/z=422); 3-(метилсульфонил)пропил-5-{3-[(4-цианофенил)сульфонил]пропил}гексагидропирроло[3,4-с]пиррол-2(1Н)-карбоксилат (m/z=484); 2-морфолин-4-илэтил-5-{3-[(4-цианофенил)сульфонил]пропил}гексагидропирроло[3,4-с]пиррол-2(1Н)-карбоксилат (m/z=477); 2-пиридин-4-илэтил-5-{3-[(4-цианофенил)сульфонил]пропил}гексагидропирроло[3,4-с]пиррол-2(1H)-карбоксилат (m/z=469); 2-(4-ацетилпиперазин-1-ил)этил-5-{3-[(4-цианофенил)сульфонил]пропил}гексагидропирроло[3,4-с]пиррол-2(1H)-карбоксилат (m/z=518); 5-{3-[(4-цианофенил)сульфонил]пропил}-N-[2-(2-метоксиэтокси)этил]гексагидропирроло[3,4-с]пиррол-2(1H)-карбоксамид (m/z=465); 4-({(2S-3-[5-(циклопропилметил)гексагидропирроло[3,4-с]пиррол-2(1H)-ил]-2-гидроксипропил}окси)бензонитрил (m/z=342); 4-({(2S)-3-[5-[3-(4-ацетилпиперазин-1-ил)пропил]гексагидропирроло[3,4-с]пиррол-2(1H)-ил]-2-гидроксипропил}окси)бензонитрил (m/z=456); 2-[5-[(2S)-3-(4-цианофенокси)-2-гидроксипропил]гексагидропирроло[3,4-с]пиррол-2(1H)-ил]-N-изопропилацетамид (m/z=387); 4-({(2S)-3-[5-[3-(этилсульфонил)пропил]гексагидропирроло[3,4-с]пиррол-2(1Н)-ил]-2-гидроксипропил}окси)бензонитрил (m/z=422); 4-({(2S)-2-гидрокси-3-[5-[2-(2-метоксиэтокси)этил]гексагидропирроло[3,4-с]пиррол-2(1H)-ил]пропил}окси)бензонитрил (m/z=390); 4-({3-[5-(циклопропилметил)гексагидропирроло[3,4-с]пиррол-2(1H)-ил]пропил}амино)бензонитрил (m/z=325); 4-({3-[5-[3-(4-ацетилпиперазин-1-ил)пропил]гексагидропирроло[3,4-с]пиррол-2(1H)-ил]пропил}амино)бензонитрил (m/z=439); 2-[5-{3-[(4-цианофенил)амино]пропил}гексагидропирроло[3,4-с]пиррол-2(1H)-ил]-N-изопропилацетамид (m/z=370); 4-({3-[5-[3-(этилсульфонил)пропил]гексагидропирроло[3,4-с]пиррол-2(1Н)-ил]пропил}амино)бензонитрил (m/z=404 (М-1)); 4-({3-[5-[2-(2-метоксиэтокси)этил]гексагидропирроло[3,4-с]пиррол-2(1Н)-ил]пропил}амино)бензонитрил (m/z=373); 4-{2-[5-[3-(4-ацетилпиперазин-1-ил)пропил]гексагидропирроло[3,4-с]пиррол-2(1H)-ил]этокси}бензонитрил (m/z=426); 2-[5-[2-(4-цианофенокси)этил]гексагидропирроло[3,4-с]пиррол-2(1H)-ил]-N-изопропилацетамид (m/z=357); 4-{2-[5-[3-(этилсульфонил)пропил]гексагидропирроло[3,4-с]пиррол-2(1H)-ил]этокси}бензонитрил (m/z=392); 4-{2-[5-[2-(2-метоксиэтокси)этил]гексагидропирроло[3,4-с]пиррол-2(1H)-ил]этокси}бензонитрил (m/z=360); 4-{2-[5-(4-фторбензил)гексагидропирроло[3,4-с]пиррол-2(1H)-ил]этокси}бензонитрил (m/z=366); 4-({3-[5-(3,3-диметил-2-оксобутил)гексагидропирроло[3,4-с]пиррол-2(1H)-ил]пропил}сульфонил)бензонитрил (m/z=418); 4-({3-[5-(циклопропилметил)гексагидропирроло[3,4-с]пиррол-2(1H)-ил]пропил}сульфонил)бензонитрил (m/z=375); 4-({3-[5-[3-(4-ацетилпиперазин-1-ил)пропил]гексагидропирроло[3,4-с]пиррол-2(1H)-ил]пропил}сульфонил)бензонитрил (m/z=488); 2-[5-{3-[(4-цианофенил)сульфонил]пропил}гексагидропирроло[3,4-с]пиррол-2(1Н)-ил]-N-изопропилацетамид (m/z=419); 4-({3-[5-[3-(этилсульфонил)пропил]гексагидропирроло[3,4-с]пиррол-2(1Н)-ил]пропил}сульфонил)бензонитрил (m/z=454); 4-({3-[5-[2-(2-метоксиэтокси)этил]гексагидропирроло[3,4-с]пиррол-2(1Н)-ил]пропил}сульфонил)бензонитрил (m/z=422); 4-({3-[5-[2-(4-метоксифенил)-2-оксоэтил]гексагидропирроло[3,4-с]пиррол-2(1Н)-ил]пропил}сульфонил)бензонитрил (m/z=468); 4-({(2S)-2-амино-3-[5-(3,3-диметил-2-оксобутил)гексагидропирроло[3,4-с]пиррол-2(1H)-ил]пропил}окси)бензонитрил (m/z=385); 4-({(2S)-2-амино-3-[5-(циклопропилметил)гексагидропирроло[3,4-с]пиррол-2(1H)-ил]пропил}окси)бензонитрил (m/z=341); 4-({(2S)-3-[5-[3-(4-ацетилпиперазин-1-ил)пропил]гексагидропирроло[3,4-с]пиррол-2(1H)-ил]-2-аминопропил}окси)бензонитрил (m/z=455); 2-[5-[(2S)-2-амино-3-(4-цианофенокси)пропил]гексагидропирроло[3,4-с]пиррол-2(1H)-ил]-N-изопропилацетамид (m/z=386); 4-({(2S)-2-амино-3-[5-[3-(этилсульфонил)пропил]гексагидропирроло[3,4-с]пиррол-2(1H)-ил]пропил}окси)бензонитрил (m/z=421); 4-({(2S)-2-амино-3-[5-[2-(2-метоксиэтокси)этил]гексагидропирроло[3,4-с]пиррол-2(1Н)-ил]пропил}окси)бензонитрил (m/z=389); 4-({(2S)-2-амино-3-[5-(4-фторбензил)гексагидропирроло[3,4-с]пиррол-2(1Н)-ил]пропил}окси)бензонитрил (m/z=395); 4-{2-[5-(3,3-диметил-2-оксобутил)гексагидропирроло[3,4-с]пиррол-2(1Н)-ил]этокси}изофталонитрил (m/z=381); 4-{2-[5-(циклопропилметил)гексагидропирроло[3,4-с]пиррол-2(1H)-ил]этокси}изофталонитрил (m/z=337); 4-{2-[5-[3-(4-ацетилпиперазин-1-ил)пропил]гексагидропирроло[3,4-с]пиррол-2(1Н)-ил]этокси}изофталонитрил (m/z=451); 2-[5-[2-(2,4-дицианофенокси)этил]гексагидропирроло[3,4-с]пиррол-2(1H)-ил]-N-изопропилацетамид (m/z=382); 4-{2-[5-[3-(этилсульфонил)пропил]гексагидропирроло[3,4-с]пиррол-2(1H)-ил]этокси}изофталонитрил (m/z=417); 4-{2-[5-[2-(2-метоксиэтокси)этил]гексагидропирроло[3,4-с]пиррол-2(1Н)-ил]этокси}изофталонитрил (m/z=385); 4-{2-[5-(4-фторбензил)гексагидропирроло[3,4-с]пиррол-2(1H)-ил]этокси}изофталонитрил (m/z=391); 4-{2-[5-[2-(4-метоксифенил)-2-оксоэтил]гексагидропирроло[3,4-с]пиррол-2(1H)-ил]этокси}изофталонитрил (m/z=431); трет-бутил-5-[2-(2,4-дицианофенокси)этил]гексагидропирроло[3,4-с]пиррол-2(1H)-карбоксилат; 3,3-диметил-2-оксобутил-5-[(2S)-3-(4-цианофенокси)-2-гидроксипропил]гексагидропирроло[3,4-с]пиррол-2(1H)-карбоксилат; 5-{3-[(4-цианофенил)амино]пропил}-N-метилгексагидропирроло[3,4-с]пиррол-2(1H)-карбоксамид; 5-{3-[(4-цианофенил)амино]пропил}-N-пропилгексагидропирроло[3,4-с]пиррол-2(1Н)-карбоксамид; N-аллил-5-{3-[(4-цианофенил)амино]пропил}гексагидропирроло[3,4-с]пиррол-2(1Н)-карбоксамид и N-(трет-бутил)-5-{3-[(4-цианофенил)амино]пропил}гексагидропирроло[3,4-с]пиррол-2(1Н)-карбоксамид. Пример 3 Соединения из приведенных выше Примеров были протестированы в Тесте А, описанном выше, и было обнаружено, что они показывают величины D10 по меньшей мере 5,5. Пример 4 Соединения из приведенных выше Примеров были протестированы в Тесте Б, описанном выше, и было обнаружено, что они показывают величины pIC50 по меньшей мере 4,5. Пример 5 Получение 2-морфолин-4-илэтил-5-[2-(4-цианофенокси)этил]гексагидропирроло[3,4-с]пиррол-2(1Н)-карбоксилата 0,25 ммоль 4-(2-гексагидропирроло[3,4-с]пиррол-2(1Н)-илэтокси)бензо-нитрила (см. Получение Е) растворяли в CHCl3 (0,5 мл). Добавляли 0,25 ммоль 2-(4-морфолинил)этил-1Н-имидазолкарбоксилата (см. Получение Л), растворенного СН3CN (2 мл), с последующим добавлением К2СО3 или триэтиламина (0,375 ммоль). Реакционную смесь перемешивали при температуре 50°С в течение от 2 до 5 дней. Реакцию контролировали с помощью LC-MS. По завершении реакции реакционную смесь фильтровали, растворители выпаривали и затем остаток растворяли в СН2Cl2 (2 мл). Полученный раствор добавляли в набивки для ионообменной твердофазной экстракции (2 г СВА). Набивки затем элюировали смесью ДХМ/MeCN (4:1, фракция 1) с последующим элюированием смесью ДХМ/МеОН/ТЭА (8:1:1, 4×2 мл). Фракции упаривали. Дальнейший анализ с помощью ВЭЖХ и MS позволил идентифицировать фракцию, в которой находится продукт, указанный в заголовке (m/z=415). Пример 6 Получение 2-пиридин-4-илэтил-5-{3-[(4-цианофенил)сульфонил]пропил}гексагидропирроло[3,4-с]пиррол-2(1Н)-карбоксилата 0,25 ммоль 4-[(3-гексагидропирроло[3,4-с]пиррол-2(1Н)-илпропил)сульфонил]бензонитрила (см. Получение Ж) растворяли в CHCl3 (0,5 мл). Добавляли 0,25 ммоль 2-(4-пиридинил)этил-1Н-имидазол-1-карбоксилата (см. Получение М), растворенного СН3CN (2 мл), с последующим добавлением К2СО3 или триэтиламина (0,375 ммоль). Реакционную смесь перемешивали при температуре 50°С в течение от 2 до 5 дней. Реакцию контролировали с помощью LC-MS. По завершении реакции реакционную смесь фильтровали, растворители выпаривали и затем остаток растворяли в CH2Cl2 (2 мл). Полученный раствор добавляли в набивки для ионообменной твердофазной экстракции (2 г СВА). Набивки затем элюировали смесью ДХМ/MeCN (4:1, фракция 1) с последующим элюированием смесью ДХМ/МеОН/ТЭА (8:1:1, 4×2 мл). Фракции упаривали. Дальнейший анализ с помощью ВЭЖХ и MS позволил идентифицировать фракцию, в которой находится продукт, указанный в заголовке (m/z=469).
Формула изобретения
1. 3,7-Диазабицикло[3.3.0]октан формулы I, где волнистые линии означают возможную относительную цис- или транс-стереохимию; R1 представляет собой С1-12алкил (возможно замещенный и/или оканчивающийся одной или более чем одной группой, выбранной из арила, Гет1, -C(O)R5a, -OR5b, -N(R6)R5c, -C(O)XR7, -C(O)N(R8)R5d и -S(O)2R9), Гет2, -C(O)R5a, -C(O)XR7 или -S(O)2R9; R5a-R5d в каждом случае, когда используются здесь, независимо представляют собой Н, C1-6алкил (возможно замещенный и/или оканчивающийся одним или более чем одним заместителем, выбранным из -ОН, C1-6алкокси, циано, арила, Гет3 и -NHC(O)R10), арил или Гет4; R10 представляет собой Н, С1-4алкил; R6 представляет собой Н, арил, Х представляет собой О; R7 в каждом случае, когда используется здесь, представляет собой С1-12алкил (причем алкильная группа возможно замещена и/или оканчивается одним заместителем, выбранным из -ОН, циано, C1-6алкокси, -SO2R13a, -С(O)R13b и Гет5); R13а и R13b независимо представляют собой C1-6алкил; R8 в каждом случае, когда используется здесь, представляет собой Н, С1-12алкил, C1-6алкокси (причем последние две группы возможно замещены и/или оканчиваются одним заместителем, выбранным из -ОН, С1-4алкила и С1-4алкокси), -D-арил, -D-Гет6, -D-S(O)2R15a; R15a независимо представляет собой арил; D представляет собой прямую связь или С1-6алкилен; R9 в каждом случае, когда используется здесь, представляет собой C1-6алкил (возможно замещенный и/или оканчивающийся одним заместителем, выбранным из арила) или арил; R2 представляет собой Н, -E-OR16, -Е-N(R17)R18 либо вместе с R3 представляют собой =O; R3 представляет собой Н либо вместе с R2 представляют собой =O; R16 представляет собой Н, C1-6алкил или -Е-арил; R17 представляет собой Н; R18 представляет собой Н; Е в каждом случае, когда используется здесь, представляет собой прямую связь или С1-4алкилен; А представляет собой -G-; В представляет собой -Z-, -Z-N(R22)-, -N(R22)-Z-, -Z-S(O)n-, -Z-O- (причем в последних двух группах Z присоединен к атому углерода, несущему R2 и R3); G представляет собой прямую связь или C1-6алкилен; Z представляет собой прямую связь или С1-4алкилен; R22 независимо представляет собой Н; R4 представляет собой арил или Гет13, причем обе эти группы возможно замещены одним или более чем одним заместителем, выбранным из -ОН, циано, галогено, C1-6алкила, C1-6алкокси, -С(O)R24c или -S(O)nR23c; Гет13 представляет собой пяти-шестичленную гетероциклическую группу, содержащую один или более чем один гетероатом, выбранный из кислорода, азота и/или серы; Гет1-Гет6 в каждом случае, когда используются здесь, независимо представляют собой пяти-шестичленные гетероциклические группы, содержащие один или более чем один гетероатом, выбранный из кислорода, азота и/или серы, причем данные гетероциклические группы возможно замещены одним или более чем одним заместителем, включающим в себя C1-6алкил или -C(O)R24c; R23c в каждом случае, когда используется здесь, независимо представляет собой C1-6алкил; R24c в каждом случае, когда используется здесь, независимо представляет собой Н или C1-6алкил; n в каждом случае представляет собой 0, 1 или 2 и Ra-Rf независимо представляют собой Н или С1-4алкил, где каждая арильная и арилоксигруппа, если не указано иначе, возможно замещена одним или более чем одним заместителем, выбранным из -ОН, циано, галогено, С1-6алкила, C1-6алкокси, -С(O)R24c или -S(O)nR23c, или его фармацевтически приемлемое производное, при условии, что: (а) когда R2 представляет собой -E-OR16 или -E-N(R17)R18, где Е представляет собой прямую связь, тогда: (1) А не представляет собой прямую связь и (2) В не представляет собой -N(R22)-, -S(O)n-, -О- или -N(R22)-Z- (причем в последней группе -N(R22) присоединен к атому углерода, несущему R2 и R3); (б) данное соединение не является 3,7-бис(1-фенилэтил)-3,7-диазабицикло[3.3.0]октаном; 3-метил-7-бензил-3,7-диазабицикло[3.3.0]октаном; 3-циклогексил-7-бензил-3,7-диазабицикло[3.3.0]октаном; 3-(тиазол-2-ил)-7-бензил-3,7-диазабицикло[3.3.0]октаном; 3-(2-пиримидил)-7-бензил-3,7-диазабицикло[3.3.0]октаном или 3-(5,5-диметокси)пентил-7-бензил-3,7-диазабицикло[3.3.0]октаном; (в) когда R2 вместе с R3 представляют собой =O и В представляет собой -Z-N(R22)- или -N(R22)-Z-, тогда G не является прямой связью. 2. Соединение по п.1, где волнистые линии означают относительную цис-стереохимию. 3. Соединение по любому из пп.1 и 2, где R1 представляет собой C1-8алкил (возможно замещенный и/или оканчивающийся одной или более чем одной группой, выбранной из возможно замещенного фенила, Гет1, -C(O)R5a, -OR5b, -C(O)OR7, -С(O)N(Н)R8 и -S(O)2-С1-6алкил), Гет2, -С(O)OR7 или -S(O)2R9. 4. Соединение по любому из пп.1-3, где R5a и R5b в каждом случае независимо представляют собой Н, C1-6алкил (возможно замещенный и/или оканчивающийся одним или более чем одним заместителем, выбранным из -ОН и С1-4алкокси), возможно замещенный фенил или Гет4. 5. Соединение по любому из пп.1-4, где R7 в каждом случае представляет собой C1-8алкил (причем данная группа возможно замещена и/или оканчивается одним заместителем, выбранным из -ОН, циано, С1-4алкокси, -SO2R13a, -C(O)R13b и Гет5). 6. Соединение по п.5, где R13a и R13b независимо представляют собой C1-6алкил. 7. Соединение по любому из пп.1-6, где R8 в каждом случае представляет собой С1-8алкил (причем данная группа возможно замещена и/или оканчивается одним заместителем, выбранным из -ОН и С1-4алкокси), -D- (возможно замещенный фенил), -D-Гет6 и -D-S(O)2R15a. 8. Соединение по п.7, где R15a независимо представляет собой возможно замещенный фенил. 9. Соединение по любому из пп.1-8, где D представляет собой прямую связь или C1-3алкилен. 10. Соединение по любому из пп.1-9, где R9 в каждом случае представляет собой С1-5алкил (возможно замещенный и/или оканчивающийся одним заместителем, выбранным из возможно замещенного фенила) или возможно замещенный фенил. 11. Соединение по любому из пп.1-10, где R2 представляет собой Н, -OR16, -N(H)R17 либо вместе с R3 представляют собой =O. 12. Соединение по любому из пп.1-11, где R3 представляет собой Н либо вместе с R2 представляют собой =O. 13. Соединение по любому из пп.1-12, где R16 представляет собой Н, C1-4алкил или -Е-(возможно замещенный фенил). 14. Соединение по любому из пп.1-12, где R17 представляет собой Н. 15. Соединение по любому из пп.1-14, где Е в каждом случае представляет собой прямую связь или С1-2алкилен. 16. Соединение по любому из пп.1-15, где В представляет собой -Z-, -Z-N(H)-, -Z-S(O)n-, -Z-O- (причем в последних трех группах Z присоединен к атому углерода, несущему R2 и R3). 17. Соединение по любому из пп.1-15, где G представляет собой прямую связь или C1-5алкилен. 18. Соединение по любому из пп.1-17, где Z представляет собой прямую связь или C1-3алкилен. 19. Соединение по любому из пп.1-18, где R4 представляет собой фенил или Гет13, причем обе эти группы возможно замещены одним или более чем одним заместителем, выбранным из циано, галогено, С1-4алкила, С1-4алкокси или -S(O)2R23c. 20. Соединение по любому из пп.1-19, где Гет1 – Гет6 в каждом случае, когда используются здесь, независимо представляют собой пяти-шестичленные гетероциклические группы, содержащие один или более чем один гетероатом, выбранный из кислорода, азота и/или серы, причем гетероциклические группы возможно замещены одним или более чем одним заместителем, включающим в себя С1-4алкил или -C(O)R24c. 21. Соединение по любому из пп.1-20, где Ra – Rf независимо представляют собой Н или С1-2алкил. 22. Соединение по любому из пп.1-21, где возможные заместители на фенильных группах представляют собой одну или более чем одну группу, выбранную из -ОН, циано, галогено, С1-4алкила, С1-4алкокси, -C(O)R24c или -S(O)nR23c. 23. Соединение по п.22, где R23c и R24c независимо представляют собой С1-4алкил. 24. Соединение по любому из пп.1-23, где n представляет собой 0 или 2. 25. Соединение по любому из пп.1-24, где алкильные группы и алкоксигруппы могут быть, если не указано иначе: (1) с прямой или разветвленной цепью либо циклические или частично циклические/ациклические; (2) насыщенные или ненасыщенные; (3) прерваны одним или более чем одним атомом кислорода и/или (4) замещены одним или более чем одним атомом фтора или хлора. 26. Фармацевтический препарат, селективно замедляющий сердечную реполяризацию, тем самым увеличивающий QT-интервал, включающий в себя соединение по любому из пп.1-25 в смеси с фармацевтически приемлемым адъювантом, разбавителем или носителем. 27. Фармацевтический препарат для применения при профилактике или лечении аритмии, содержащий соединение по любому из пп.1-25. 28. Соединение по любому из пп.1-25 для применения в качестве фармацевтического средства, селективно замедляющего сердечную реполяризацию, тем самым увеличивающего QT-интервал. 29. Соединение по любому из пп.1-25, но без условия (б), для применения при профилактике или лечении аритмии. 30. Применение соединения по любому из пп.1-25, но без условия (б), в качестве активного ингредиента для производства лекарства для применения при профилактике или лечении аритмии. 31. Применение по п.30, где аритмия представляет собой предсердную или желудочковую аритмию. 32. Способ профилактики или лечения аритмии, при котором субъекту, страдающему от такого состояния или подверженному такому состоянию, вводят терапевтически эффективное количество соединения по любому из пп.1-25, но без условия (б). 33. Способ получения соединения формулы I по п.1, при котором осуществляют взаимодействие соединения формулы II где R1 и Ra-Rf такие, как они определены в п.1, с соединением формулы III, где L1 представляет собой уходящую группу и R2, R3, R4, А и В такие, как они определены в п.1. 34. Способ получения соединения формулы I по п.1, в котором А представляет собой CH2 и R2 представляет собой -ОН или -N(H)R17, при котором осуществляют взаимодействие соответствующего соединения формулы II где R1 и Ra-Rf такие, как они определены в п.1, с соединением формулы V где Y представляет собой О или N(R17) и R3, R4, R17 и В такие, как они определены в п.1. 35. Способ получения соединения формулы I по п.1, при котором осуществляют взаимодействие соответствующего соединения формулы XVII где R2, R3, R4, Ra – Rf, А и В такие, как они определены в п.1, с соединением формулы XVIII где L5 представляет собой уходящую группу и R1 такой, как он определен в п.1. 36. Способ получения соединения формулы I по п.1, в котором R1 представляет собой С1-12алкил, причем алкильная группа замещена по С-2-углероду (относительно азота биспидина) ОН или N(H)R6, либо возможно замещена иным образом одним или более чем одним дополнительным заместителем, как определено в п.1 для R1, при котором осуществляют взаимодействие соответствующего соединения формулы XVII где R2, R3, R4, Ra – Rf, А и В такие, как они определены в п.1, с соединением формулы XXII где Ya представляет собой О или N(R6), R1a представляет собой C1-10алкил, возможно замещенный одним или более чем одним заместителем, как определено в п.1 для R1; и R6 такой, как он определен в п.1. 37. Соединение формулы II где R1 и Ra – Rf являются такими, как определено в п.1, при условии, что когда Ra – Rf все представляют собой Н, тогда R1 не представляет собой: (1) С1-12алкил, возможно замещенный арилом или Гет1; (2) -С(O)-(возможно замещенный арил) или (3) трет-бутилоксикарбонил. 38. Соединение формулы XVII где R2, R3, R4, Ra – Rf, А и В являются такими, как определено в п.1, при условии, что когда В представляет собой Z, тогда R2 представляет собой -Е-O- (возможно замещенный арил).
MM4A – Досрочное прекращение действия патента СССР или патента Российской Федерации на изобретение из-за неуплаты в установленный срок пошлины за поддержание патента в силе
Дата прекращения действия патента: 30.01.2008
Извещение опубликовано: 27.11.2010 БИ: 33/2010
|
||||||||||||||||||||||||||||||||||||||||||||||||||||||||||||||||||||||||||||||||||||||||||||||||||||||||||||||||||||||||||||||||||||||||||||||


























относительно азота, несущего группу -C(O)OR7 (например, бутиллития)), например, при температуре от -80°С до комнатной температуры в присутствии подходящего растворителя (например, N,N,N’,N’-тетраметилэтилендиамина, ТГФ или их смесей);






























7.4-7.0 (m, 10Н), 4.65 (s, 2H), 3.55 (s, 2H), 3.30 (d, 2H, J=12 Гц), 3.15 (d, 2H, J=6 Гц), 2.35 (m, 2H).





