|
(21), (22) Заявка: 2005119914/28, 27.06.2005
(24) Дата начала отсчета срока действия патента:
27.06.2005
(46) Опубликовано: 27.01.2007
(56) Список документов, цитированных в отчете о поиске:
RU 2003157 C1, 15.11.1993. RU 2040035 C1, 20.07.1995. RU 2146833 С1, 20.03.2000. RU 30048 U1, 10.06.2003. ЕР 0564220 А1, 06.10.1993. DE 3278943 A, 29.09.1988.
Адрес для переписки:
191187, Санкт-Петербург, наб. Кутузова, 10, ИПА РАН
|
(72) Автор(ы):
Ипатов Александр Васильевич (RU), Дикарев Виктор Иванович (RU), Кайдановский Михаил Наумович (RU), Койнаш Борис Васильевич (RU), Финкельштейн Андрей Михайлович (RU)
(73) Патентообладатель(и):
Институт прикладной астрономии Российской академии наук (RU)
|
(54) СПОСОБ СИНХРОНИЗАЦИИ ЧАСОВ
(57) Реферат:
Изобретение относится к технике связи и может быть использовано в радиоинтерферометрии со сверхдлинными базами, а также в службе единого времени и частот. Изобретение направлено на повышение помехоустойчивости и точности синхронизации удаленных шкал времени путем подавления ложных сигналов (помех), принимаемых по зеркальному и комбинационным каналам. Этот результат обеспечивается за счет того, что синхронизация часов основана на одновременном приеме разнесенными наземными пунктами шумоподобных СВЧ-сигналов с борта искусственного спутника Земли, когерентном их преобразовании к видеочастоте, цифровой регистрации принятых сигналов и определении временной задержки прихода одного и того же сигнала в пункты синхронизации методом корреляционной обработки зарегистрированных сигналов, по величине которой производят сличение шкал времени. При этом в начальный момент времени t1 по часам первого пункта с помощью кодовой последовательности формируют шумовой СВЧ-сигнал, регистрируют его на этом же пункте, сформированный сигнал преобразуют на частоту 1, усиливают его по мощности, излучают усиленный сигнал в направлении на искусственный спутник Земли-ретранслятор, в тот же момент времени t1 по часам второго пункта с помощью той же кодовой последовательности формируют такой же шумовой СВЧ-сигнал, регистрируют его на втором пункте, принимают бортовой аппаратурой искусственного спутника Земли-ретранслятора сигнал на частоте 1, переизлучают его на первый и второй пункты на частоте 2 с сохранением фазовых соотношений. При этом принимают сигнал на частоте 2, преобразуют по частоте с использованием напряжения второго гетеродина, сдвинутого по фазе на +90°, выделяют напряжение второй промежуточной частоты, сдвигают его по фазе на -90°, суммируют с исходным напряжением второй промежуточной частоты, перемножают полученное суммарное напряжение с принимаемым сигналом, выделяют гармоническое напряжение на частоте Г2 второго гетеродина, детектируют его и используют для разрешения дальнейшей обработки принимаемого сигнала. 4 ил.
Предлагаемый способ относится к технике связи и может быть использован в радиоинтерферометрии со сверхдлинными базами, а также в службе единого времени и частоты.
Известны способы и устройства синхронизации часов (авт. свид. СССР №№591799, 614416, 970300, 1180835, 1244632, 1278800; патенты РФ №№2001423, 2003157, 2040035, 2177167; B.C.Губанов, А.М.Финкельштейн, П.А.Фридман. Введение в радиоастрономию. – M., 1983 и другие).
Из известных способов наиболее близким к предлагаемому является «Способ синхронизации часов» (патент РФ №2003157, G 04 С 11/02, 1991), который и выбран в качестве прототипа.
Указанный способ обеспечивает сличение шкал времени, разнесенных на большие расстояния, и основан на использовании дуплексного метода связи через геостационарный ИСЗ-ретранслятор.
Основное достоинство дуплексного метода связи состоит в том, что в нем исключается длина трассы прохождения сигнала. Поэтому его точность в основном зависит от параметров бортового ретранслятора, типа используемого сигнала и техники измерения временных интервалов.
Для технической реализации известного способа используется супергетеродинный приемник, в котором одно и то же значение второй промежуточной частоты пр2 может быть получено в результате приема сигналов на двух частотах 2 и з, т.е.
пр2= Г2– 2 и пр2= з– Г2.
Следовательно, если частоту настройки 2 принять за основной канал приема, то наряду с ним будет иметь место зеркальный канал приема, частота з которого отличается от частоты 2 на 2 пр2 и расположена симметрично (зеркально) относительно частоты второго гетеродина Г2 (фиг.4).
Преобразование по зеркальному каналу приема происходит с тем же коэффициентом преобразования Кпр, что и по основному каналу. Поэтому он наиболее существенно влияет на избирательность и помехоустойчивость способа.
Кроме зеркального, существуют и другие дополнительные (комбинационные) каналы приема. В общем виде любой комбинационный канал приема имеет место при выполнении условий:
пр2=|±m ki±n Г2|,
где ki – частота i-го комбинационного канала приема;
m, n, i – целые положительные числа.
Наиболее вредными комбинационными каналами приема являются каналы, образующиеся при взаимодействии несущей частоты принимаемого сигнала с гармониками частоты Г2 второго гетеродина малого порядка (второй, третьем и т.д.), так как чувствительность приемника по этим каналам близка к чувствительности основного канала.
Так, двум комбинационным каналам при m=1 и n=2 соответствуют частоты:
к1=2 Г2– пp2 и к2=2 Г2+ пр2.
Наличие ложных сигналов (помех), принимаемых по зеркальному и комбинационным каналам, приводит к снижению помехоустойчивости и точности синхронизации удаленных шкал времени.
Технической задачей изобретения является повышение помехоустойчивости и точности синхронизации удаленных шкал времени путем подавления ложных сигналов (помех), принимаемых по зеркальному и комбинационным каналам.
Поставленная задача решается тем, что согласно способу синхронизации часов, основанному на одновременном приеме разнесенными наземными пунктами шумовых СВЧ-сигналов с борта искусственного спутника Земли, когерентном их преобразовании к видеочастоте, цифровой регистрации принятых сигналов и определении временной задержки прихода одного и того же сигнала в пункты синхронизации методом корреляционной обработки зарегистрированных сигналов, по величине которой производят сличение шкал времени, при этом в начальный момент времени t1 по часам первого пункта с помощью кодовой последовательности формируют шумовой СВЧ-сигнал, регистрируют его на этом же пункте, сформированный сигнал преобразуют на частоту 1, усиливают его по мощности, излучают усиленный сигнал в направлении на искусственный спутник Земли-ретранслятор, в тот же момент времени t1 по часам второго пункта с помощью той же кодовой последовательности формируют такой же шумовой СВЧ-сигнал, регистрируют его на втором пункте, принимают бортовой аппаратурой искусственного спутника Земли-ретранслятора сигнал на частоте 1, переизлучают его на первой и второй пункты на частоте 2 с сохранением фазовых соотношений, в произвольный момент времени t3 по часам второго пункта аналогично формируют и ретранслируют шумовой СВЧ-сигнал, сформированный сигнал преобразуют на частоту 1, усиливают его по мощности, излучают усиленный сигнал в направлении того же ИСЗ-ретранслятора, в тот же момент времени t3 по часам первого пункта с помощью той же кодовой последовательности формируют такой же шумовой СВЧ-сигнал, регистрируют его на первом пункте, принимают бортовой аппаратурой ИСЗ-ретранслятора сигнал на частоте 1 и переизлучают его на первый и второй пункты на частоте 2 с сохранением фазовых соотношений, принимаемый сигнал на частоте 2 преобразуют по частоте с использованием напряжения второго гетеродина, сдвинутого по фазе на +90°, выделяют напряжение второй промежуточной частоты, сдвигают его по фазе на -90°, суммируют с исходным напряжением второй промежуточной частоты, перемножают полученное суммарное напряжение с принимаемым сигналом, выделяют гармоническое напряжение на частоте Г2 второго гетеродина, детектируют его и используют для разрешения дальнейшей обработки принимаемого сигнала.
Геометрическая схема расположения наземных пунктов А и В и ИСЗ-ретранслятора S изображена на фиг.1, где введены следующие обозначения: О – центр масс Земли; d – база интерферометра; r – радиус-вектор ИСЗ-ретранслятора.
Временная диаграмма дуплексного метода сличения часов представлена на фиг.2, где введены следующие обозначения: S, A, B – шкала времени ИСЗ-ретранслятора и пунктов А и В соответственно.
Структурная схема аппаратуры одного из пунктов (А), реализующей предлагаемый способ синхронизации часов, представлена на фиг.3, где введены следующие обозначения: 1 – стандарт частоты и времени, 2.1 – первый гетеродин, 2.2 – второй гетеродин, 3 – генератор псевдошумового сигнала, 4 – переключатель, 5 – первый смеситель, 6 – усилитель первой промежуточной частоты, 7 – первый усилитель мощности, 8 – дуплексер, 9 – приемопередающая антенна, 10 – первый клиппер, 11 – первое буферное запоминающее устройство, 12 – второй усилитель мощности, 13 – второй смеситель, 14 – первый усилитель второй промежуточной частоты, 15 – второй клиппер, 16 – второе буферное запоминающее устройство, 17 – измеритель задержек и их производных, 18 – первый фазовращатель на +90°, 19 – третий смеситель, 20 – второй усилитель второй промежуточной частоты, 21 – второй фазовращатель на -90°, 22 – сумматор, 23 – перемножитель, 24 – узкополосный фильтр, 25 – амплитудный детектор, 26 – ключ.
Синхронизацию часов по предлагаемому способу осуществляют следующим образом.
В момент времени t1 А по часам первого пункта А с помощью кодовой последовательности формируют шумовой СВЧ-сигнал (сигнал 1) (фиг.2):
uc(t)=Uccos[ ct+ k(t)+ c], 0 t Тc,
где Uc, c, c, Tc – амплитуда, несущая частота, начальная фаза и длительность сигнала;
k(t)={0, } – манипулируемая составляющая фазы, отображающая закон фазовой манипуляции в соответствии с кодовой последовательностью M(t), причем k(t)=const при k ээ и может изменяться скачком при t=k э, т.е. на границах между элементарными посылками (K=1, 2, … N-1);
э, N – длительность и количество элементарных посылок, из которых составлен сигнал длительностью Тс (Тс=N э),
в генераторе 3 с помощью стандарта 1 частоты и времени.
Указанный сигнал поступает на вход клиппера 10, а затем регистрируется в буферном запоминающем устройстве 11. Регистрация синхронизуется стандартом 1 частоты и времени.
Сформированный сигнал 4 поступает на первый вход первого смесителя 5, на второй вход которого подается напряжение первого гетеродина 2.1
uГ1(t)=UГ1cos( Г1t+ Г1).
На выходе смесителя 5 образуются напряжения комбинационных частот. Усилителем 6 выделяется напряжение первой промежуточной (суммарной) частоты
uпр1(t)=Uпр1cos[ пp1t+ k(t)+ пр1], 0 t Тc,
где 
К1 – коэффициент передачи смесителя;
пp1= с+ Г1 – первая промежуточная (суммарная) частота;
пр1= с+ Г1,
которое после усиления в усилителе 7 мощности через дуплексер 8 и приемопередающую антенну 9 излучается в направлении ИСЗ-ретранслятора на частоте 1= пp1.
В тот же момент времени t1 А=t1 В по часам второго пункта В с помощью той же кодовой последовательности M(t) формируют такой же шумовой СВЧ-сигнал (сигнал 1). Регистрируют его на втором пункте В (сигнал 1, который, однако, не отправляют на ретрансляцию). Принимают бортовой аппаратурой ИСЗ-ретранслятора на частоте 1 (сигнал 1), переизлучают его на пункты А и В на частоте 2 с сохранением фазовых соотношений на интервале tc.
Ретранслированный сигнал (сигнал 2) на частоте 2
u2(t)=U2cos[ 2t+ k(t)+ 2], 0 t Tc,
принимается приемопередающей антенной 9 и через дуплексер 8 и усилитель 12 мощности поступает на первые входы второго 13 и третьего 19 смесителей и перемножителя 23. На вторые входы смесителей 13 и 19 подаются напряжения второго гетеродина 2.2:
uГ2(t)=UГ2( Г2t+ Г2),
uГ3(t)=UГ2cos( Г2t+ Г2+90°).
Причем частоты Г1 и Г2 первого 2.1 и второго 2.2 гетеродинов разнесены на вторую промежуточную частоту
Г2– Г1= пр2.
На выходах смесителей 13 и 19 образуются напряжения комбинационных частот. Усилителями 14 и 20 выделяются напряжения второй промежуточной (разностной) частоты:
uпр2(t)=Uпp2cos[ пp2(t)- к(t)+ пр2],
uпp2(t)=Uпр2cos[ пр2(t)- к(t)+ пр2+90°], 0 t Tc,
где 
пр2= Г2– 2 – вторая промежуточная (разностная) частота;
пр2= Г2– 2.
Напряжение Uпр3(t) с входа усилителя 20 второй промежуточной частоты поступает на вход фазовращателя 21 на -90°, на выходе которого образуется напряжение
uпp4(t)=Uпр2cos[ пр2(t)- к(t)+ пр2+90°]=Uпр2cos[ пр2t- к(t)+ пр2], 0 t Tс.
Напряжения uпp2(t) и uпp4(t) с выхода усилителя 14 и фазовращателя 21 на -90° поступают на два входа сумматора 22, на выходе которого образуется суммарное напряжение
u (t)=U cos[ пр2t- к(t)+ пр2], 0 t Tc,
где U =2Uпp2,
которое поступает на второй вход перемножителя 23. На выходе последнего образуется гармоническое напряжение
u1(t)=U1cos( Г2t+ Г2), 0 t Tc,
где 
К2 – коэффициент передачи перемножителя,
которое выделяется узкополосным фильтром 24 (частота настройки н которого выбирается равной частоте второго гетеродина 2.2 н= Г2), детектируется амплитудным детектором 25 и поступает на управляющий вход ключа 26, открывая его. В исходном состоянии ключ 26 всегда закрыт.
Напряжение u (t) с выхода сумматора 22 через открытый ключ 26 поступает на вход клиппера 15, где оно клиппируется и записывается в буферное запоминающее устройство 16. Регистрация синхронизируется стандартом 1 частоты и времени.
На втором шаге (при передаче сигнала из пункта В) переключатель 4 должен быть разомкнут, и сигнал 3 из генератора 3 через клиппер 10 поступает в то же запоминающее устройство 11. Ретранслированный сигнал 4 записывается, как и 2, в запоминающее устройство 16.
В произвольный момент времени t3 В=t2 В+ по часам второго пункта аналогично формируют и регистрируют шумовой СВЧ-сигнал (сигнал 3). Сформированный сигнал преобразуют на частоте 1, усиливают его по мощности, излучают усиленный сигнал в направлении того же ИСЗ-ретранслятора.
В тот же момент времени t3 В=t3 А по часам первого пункта А с помощью той же кодовой последовательности формируют такой же шумовой СВЧ-сигнал (сигнал ( 3). Регистрируют его на первом пункте А. Принимают бортовой аппаратурой ИСЗ-ретранслятора сигнал на частоте 1 (сигнал 3), переизлучают его на пункты А и В на частоте 2 с сохранением фазовых соотношений, принимают ретранслированный сигнал на обоих пунктах, преобразуют его на видеочастоту, регистрируют в моменты времени t4 A и t4 В соответственно (сигнал 4, 4).
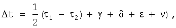
Корреляционной обработкой двух пар зарегистрированных сигналов в измерителе 17 определяют на каждом пункте следующие временные задержки:
1= 1 2=t2 B-t1 B=а1+b1+( B И+ В П+ S)+ t,
2= 3 4=t4 А-t3 А=а3+b2+( В И+ А П+ S)- t,
3= 1 2=t2 А-t1 А=a1+a2+( А И+ А П+ S),
4= 3 4=t4 В-t3 В=b2+b3+( В И+ В П+ S)
и соответствующие им частоты интерференции Fi (i=1, 2, 3, 4), которые определяют производные этих задержек:

где 
aj, bj, (j=1, 2, 3) – время распространения сигнала между ИСЗ и пунктами А и В соответственно (фиг.1);
А И, В И – задержки сигналов в излучающей аппаратуре обоих пунктов;
А П, В П – задержки сигналов в приемно-регистрирующей аппаратуре;
S – задержка сигналов в бортовом ИСЗ-ретрансляторе;
t=t1 В-t1 А – искомая разность показаний часов в один и тот же физический момент.
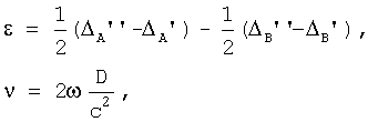
Полагая aj и bj линейными функциями с производными , получаем:

где


А,В‘, А,В” – задержки сигнала в атмосфере на частотах 1 и 2 соответственно;
– релятивистская поправка (эффект Саньяка);
– угловая скорость вращения Земли;
с – скорость света;
D – площадь четырехугольника OA’S’B’, образуемого в экваториальной плоскости центром масс Земли, проекциями пунктов А, В и ИСЗ-ретранслятора S.
Поправки на подвижность ИСЗ-ретренслятора во время единичного измерения проще всего свести к нулю соответствующим выбором свободного параметра :

который следует в начале измерений рассчитывать по приближенным эфемеридным данным, а затем уточнить по результатам текущих измерений.
Что касается поправки на аппаратурные задержки, то ее можно найти путем калибровки по методу «нулевой базы».
Атмосферная поправка также учитывается.
На пункте В аппаратура работает аналогично, только порядок шагов там обратный. Для вычисления разности показаний часов t теперь достаточно обменяться между пунктами полученными цифровыми данными, что можно делать по обычным телефонным или телеграфным каналам связи.
Описанная выше работа устройства, реализующего предлагаемый способ, соответствует приему полезных сигналов по основному каналу на частоте 2 (фиг.4).
Если ложный сигнал (помеха)
uз(t)=Uзcos( зt+ з), 0 t Tз,
принимается по зеркальному каналу на частоте з, то усилителями 14 и 20 второй промежуточной частоты выделяются следующие напряжения:
uпр5(t)=Uпр5cos( пр2t+ пp5),
uпр6(t)=Uпр5cos( пр2t+ пр5-90°), 0 t Тз,
где 
пр2= з– Г2 – вторая промежуточная (разностная) частота;
пр5= з– Г2.
Напряжение uпp6(t) с выхода усилителя 20 второй промежуточной частоты поступает на вход фазовращателя 21 на -90°, на выходе которого образуется следующее напряжение
uпр7(t)=Uпр5cos( пр2t+ пр5-90°-90°)=-Uпр5cos( пр2t+ пр5), 0 t Тр.
Напряжения uпр5(t) и uпp7(t), поступающие на два входа сумматора 22, на его выходе компенсируются.
Следовательно, ложный сигнал (помеха), принимаемый по зеркальному каналу на частоте з, подавляется.
По аналогичной причине подавляется и ложный сигнал (помеха), принимаемый по второму комбинационному каналу на частоте к2.
Если ложный сигнал (помеха) принимается по первому комбинационному каналу на частоте к1
uК1=UK1cos( К1t+ К1), 0 t ТК1,
то усилителями 14 и 20 второй промежуточной частоты выделяются следующие напряжения:
uпр8=Uпр2cos( пр2t+ пр8),
uпр9(t)=Uпр8cos( пр2t+ пр8+90°), 0 t ТК1,
где 
пр2=2 Г2– К1 – вторая промежуточная (разностная) частота;
пр8= Г2– К1.
Напряжение uпp9(t) с выхода усилителя 20 второй промежуточной частоты поступает на вход фазовращателя 21 на -90°, на выходе которого образуется напряжение
uпp10(t)=Uпр8cos( пр2t+ пр8+90°-90°)=Uпр8cos( пр2t+ пр8), 0 t TК1.
Напряжения uпр8(t) и uпp10(t) поступают на два входа сумматора 22, на выходе которого образуется следующее суммарное напряжение:
u 1(t)=U 1cos( пр2t+ пр8), 0 t ТК1,
где U 1=2Uпр8.
Это напряжение подается на второй вход перемножителя 23, на выходе которого образуется следующее гармоническое напряжение:
u2(t)=U2cos(2 Г2t+ Г2), 0 t ТК1,
где 
Это напряжение не попадает в полосу пропускания узкополосного фильтра 24. Следовательно, ложный сигнал (помеха), принимаемый по первому комбинационному каналу на частоте К1, подавляется.
Способ синхронизации часов позволяет:
– достичь предельной точности измерений (около ±0,1 нс) с помощью РСДБ техники и техники ретрансляции, которая уже широко используется на практике;
– формировать необходимые для проведения измерения СВЧ-сигналы на наземных пунктах, что дает возможность постепенно наращивать точность измерений за счет оптимизации структуры сигнала и усовершенствования наземной техники регистрации без вмешательства в бортовую аппаратуру ИСЗ;
– повысить оперативность измерений, т.е. довести интервал времени от начала измерений до получения результатов вплоть до нескольких десятков секунд (практически до времени корреляционной обработки сигналов);
– избежать установки на борту ИСЗ высокостабильных хранителей времени и измерителей временных интервалов, ограничить бортовую аппаратуру только системой фазостабильной ретрансляции СВЧ-сигналов.
Таким образом, предлагаемый способ по сравнению с прототипом обеспечивает повышение помехоустойчивости и точности синхронизации удаленных шкал времени. Это достигается подавлением ложных сигналов (помех), принимаемых по зеркальному и комбинационным каналам.
Причем подавление ложных сигналов (помех), принимаемых по зеркальному и второму комбинационному каналу, обеспечивается фазокомпенсационным методом, который реализуется гетеродином 2.2, смесителями 13 и 19, усилителями 14 и 20 второй промежуточной частоты, фазовращателями 18 и 21 на +90° и -90° и сумматором 22.
Подавление ложных сигналов (помех), принимаемых по первому комбинационному каналу, обеспечивается методом узкополосной фильтрации, который реализуется перемножителем 23, узкополосым фильтром 24, амплитудным детектором 25 и ключом 26.
Формула изобретения
Способ синхронизации часов, основанный на одновременном приеме разнесенными наземными пунктами шумоподобных СВЧ-сигналов с борта искусственного спутника Земли, когерентном их преобразовании к видеочастоте, цифровой регистрации принятых сигналов и определении временной задержки прихода одного и того же сигнала в пункты синхронизации методом корреляционной обработки зарегистрированных сигналов, по величине которой производят сличение шкал времени, при этом в начальный момент времени t1 по часам первого пункта с помощью кодовой последовательности формируют шумовой СВЧ-сигнал, регистрируют его на этом же пункте, сформированный сигнал преобразуют на частоту 1, усиливают его по мощности, излучают усиленный сигнал в направлении на искусственный спутник Земли-ретранслятор, в тот же момент времени t1 по часам второго пункта с помощью той же кодовой последовательности формируют такой же шумовой СВЧ-сигнал, регистрируют его на втором пункте, принимают бортовой аппаратурой искусственного спутника Земли-ретранслятора сигнал на частоте 1, переизлучают его на первый и второй пункты на частоте 2 с сохранением фазовых соотношений, в произвольный момент времени t3 по часам второго пункта аналогично формируют и регистрируют шумовой СВЧ-сигнал, сформированный сигнал преобразуют на частоту 1, усиливают его по мощности, излучают усиленный сигнал в направлении того же искусственного спутника Земли-ретранслятора, в тот же момент времени t3 по часам первого пункта с помощью той же кодовой последовательности формируют такой же шумовой СВЧ-сигнал, регистрируют его на первом пункте, принимают бортовой аппаратурой искусственного спутника Земли-ретранслятора сигнал на частоте 1 и переизлучают его на первый и второй пункты на частоте 2 с сохранением фазовых соотношений, отличающийся тем, что принимают сигнал на частоте 2, преобразуют по частоте с использованием напряжения второго гетеродина, сдвинутого по фазе на +90°, выделяют напряжение второй промежуточной частоты, сдвигают его по фазе на -90°, суммируют с исходным напряжением второй промежуточной частоты, перемножают полученное суммарное напряжение с принимаемым сигналом, выделяют гармоническое напряжение на частоте Г2 второго гетеродина, детектируют его и используют для разрешения дальнейшей обработки принимаемого сигнала.
РИСУНКИ
MM4A – Досрочное прекращение действия патента СССР или патента Российской Федерации на изобретение из-за неуплаты в установленный срок пошлины за поддержание патента в силе
Дата прекращения действия патента: 28.06.2007
Извещение опубликовано: 20.02.2009 БИ: 05/2009
|