Патент на изобретение №2292567
|
||||||||||||||||||||||||||||||
(54) СПОСОБ РЕГИСТРАЦИИ ИОНИЗИРУЮЩИХ ИЗЛУЧЕНИЙ
(57) Реферат:
Изобретение может быть использовано при ядерно-физических, радиометрических, дозиметрических и других измерениях. Сущность: способ заключается в предварительном усреднении длительности временных интервалов между актами распада, используя пересчетную схему. С выхода пересчетной схемы регистрируют не все временные интервалы, а только короткие, длительность которых не превышает значения, определяемого из условия сохранения величины полезного сигнала. Технический результат изобретения: снижение статистических ошибок за счет уменьшения фонового излучения. 1 табл.
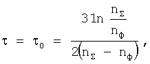
Предлагаемое изобретение относится к области регистрации ионизирующих излучений. В частности, оно может быть использовано при ядерно-физических, радиометрических, дозиметрических и других измерениях. Известны способы регистрации ионизирующих излучений, основанные на измерении числа актов распада – так называемый способ счета числа импульсов (цифровой способ) и способ средней скорости счета (аналоговый способ) (И.И.Крейндлин, Р.А.Маркова и др. «Приборы для радиометрического обогащения руд». Москва, Атомиздат, 1972 г., стр.42-47. «Радиометрические методы поисков и разведки урановых руд», Госгеолтехиздат, Москва, 1957 г., стр.246-252). Однако эти способы регистрации ионизирующих излучений обладают рядом недостатков. Случайный характер радиоактивного распада и наличие фонового излучения являются основными источниками статистических ошибок при регистрации и обработке ионизирующих излучений. Величина этих ошибок определяется временем измерения, чувствительностью блока детектирования, величиной регистрируемого и фонового излучения и плотностью потока гамма-квантов. Для существенного снижения статистических ошибок измерения, при прочих равных условиях, необходимо снижать величину фонового излучения. Известные способы борьбы с фоновым излучением – экранировка детектора излучения свинцовым экраном, выбор места их расположения, применение дополнительных компенсирующих блоков детектирования – не позволяют уменьшить его величину до приемлемого значения. Наиболее близким способом регистрации ионизирующего излучения является цифровой способ, основанный на счете числа актов распада, в котором уменьшение фонового излучения осуществляется за счет экранировки блока детектирования свинцовым экраном (И.И.Крейндлин, Р.А.Маркова и др. «Приборы для радиометрического обогащения руд», Москва, Атомиздат, 1972 г., стр.42-47). Однако этот способ борьбы с фоновым излучением не позволяет уменьшить космическую составляющую фона, доля которой в общей его величине весьма значительна. Техническим результатом предлагаемого изобретения является снижение статистических ошибок измерения за счет уменьшения фона, особенно его космической составляющей, и, как следствие этого, увеличение отношения сигнал – фон. Технический результат достигается тем, что в способе регистрации ионизирующих излучений, включающем усреднение длительности временных интервалов между актами распада, используя пересчетную схему, с выхода которой регистрируют только те временные интервалы, длительность которых не превышает значения, определяемого из условия сохранения величины интенсивности полезного сигнала, длительность этих временных интервалов определяют по формуле:
где
nф – скорость счета фонового излучения [1/с]; nz – скорость счета суммарного излучения [1/с]. Для решения поставленной задачи проанализируем информацию, полученную от детектора ионизирующего излучения. Введем обозначения n Это различие в длительности – фонового tф и суммарного t Сущность предложенного способа заключается в следующем. Блок детектирования регистрирует акты распада ионизирующего излучения и преобразует их в импульсы напряжения. Эти импульсы напряжения после усиления поступают на блок, нормализирующий их как по длительности, так и по амплитуде. Далее импульсы поступают на вход пересчетной схемы с общим коэффициентом пересчета, равным m>2. Пересчетная схема позволяет более эффективно отделять фоновое излучение от полезного. Выбор коэффициента пересчета зависит от величины регистрируемой интенсивности ионизирующего излучения. С увеличением интенсивности регистрируемого излучения необходимо увеличивать и коэффициент пересчета. С выхода пересчетной схемы импульсы напряжения поступают на блок, преобразующий длительность временных интервалов в пропорциональную им амплитуду, и одновременно на блок задержки. С выхода блока преобразователя импульсы напряжения поступают на вход амплитудного дискриминатора с регулируемым порогом дискриминации. Иными словами, с выхода амплитудного дискриминатора снимаются только те импульсы, которые соответствуют временным интервалам, подлежащи исключению из дальнейшего счета. Селекция выбранных (коротких) временных интервалов осуществляется схемой антисовпадений, на один из входов которой поступают импульсы напряжений с выхода амплитудного дискриминатора, а на другой – с блока задержки (задержанные по времени импульсы напряжения с выхода пересчетной схемы). Блок задержки необходим для более четкой работы схемы антисовпадений. Таким образом, на выходе блока антисовпадений появятся только те импульсы напряжения, которые не совпадают по времени с импульсами блока амплитудного дискриминатора, т.е. импульсы, которые соответствуют временным интервалам, лежащим в пределах от нуля до выбранного значения Докажем математически преимущество предложенного способа по сравнению с прототипом (цифровой способ). Известно, что распределение числа актов распада радиоактивного вещества подчиняется нормальному (Гауссовому) закону, тогда как распределение временных интервалов на выходе пересчетной схемы с коэффициентом пересчета равным «m» отличается от Гауссова закона и определяется формулой:
где n0 – скорость счета импульсов на входе пересчетной схемы; m – коэффициент пересчета; t – экспозиция измерения длительности произвольного временного интервала на выходе пересчетной схемы (М.Н.Царегородцев «Ядерная электроника» часть 1, Москва, 1966 г., изд. МИФИ, стр.43). Анализ формулы (1) показывает, что средний временной интервал равен tm=m/n0, а относительная квадратичная ошибка измерения равна:
Из этого следует, что только применение пересчетной схемы позволит уменьшить относительную среднеквадратичную ошибку измерения в
Из формулы (3) следует, а это особенно важно, что наиболее вероятный временной интервал фонового излучения (tф вер) больше соответствующего временного вероятного интервала суммарного излучения (t Следовательно, применение пересчетной схемы позволяет нам более эффективно отделять временные интервалы фонового излучения от суммарного. Для оценки положительного эффекта проанализируем предложенный способ регистрации ионизирующих излучений при использовании пересчетной схемы с минимальным коэффициентом пересчета m=2. Применительно к конкретному случаю функция распределения временных интервалов на выходе пересчетной схемы будет иметь вид:
Анализ формулы (4) показывает, что диапазон длительности временных интервалов лежит в пределах от нуля до бесконечности. Определим долю временных интервалов на выходе пересчетной схемы от их общего числа, длительность которых не превышает значения
Решение интеграла по частям приводит к следующему результату:
Анализ формулы (6) показывает, что при Применительно к фоновому измерению эта доля равна
При измерении суммарного излучения эта доля составит
Количество временных интервалов за единицу времени, длительность которых не превышает значения для фонового излучения для суммарного излучения Анализ формул (7) и (8) показывает, что nф Особенно важно, что доля зарегистрированных временных интервалов суммарного излучения F2
Для удобства анализа преобразуем выражение (10) Из выражения 11 вытекает, что nа Определим при каком значении Для этого необходимо выражение, стоящее в скобках (формула 11), приравнять нулю: Далее, логарифмируя выражение (12), после небольших преобразований получим:
где
nф – скорость счета фонового излучения; nz – скорость счета суммарного излучения. Выражение (13) и есть то необходимое и достаточное условие сохранения величины интенсивности полезного излучения. Определим отношение сигнал – фон (К где Анализ формул (12) и (14) показывает, что величина полезного излучения na
Таким образом, регистрируя только наиболее вероятные (короткие) временные интервалы между актами распада, можно уменьшать величину фонового излучения (при неизменной величине полезного сигнала) и тем самым повысить отношение сигнал – фон. Изменяя диапазон регистрируемых временных интервалов, можно в широких пределах изменять величину регистрируемого фонового излучения и отношение сигнал – фон. На конкретном примере покажем преимущество предложенного способа регистрации ионизирующего излучения по сравнению со способом-прототипом при условии постоянства величины полезного излучения, т.е. nа Задаемся исходными данными: nф=50 имп/с; n Приводим размерность величин расчетной формулы (13):
nф – 1/с; nz – 1|с (В «Справочнике по физике» Х.Кухлинга на стр.50, а также в книге «Единицы физических величин и их размерность» Л.А.Сена показано, что n=имп/с – это n=1/T, где Т – время, т.е n=1/с). Все расчетные данные сведены в табл.1
Применение предложенного способа регистрации ионизирующего излучения позволит более достоверно, особенно при регистрации слабого ионизирующего излучения, оценивать результаты ядерно-физических, радиометрических, дозиметрических и других измерений при проведении работ на ядерных установках, в космическом пространстве, при поисках, разведке и обогащении полезных ископаемых, в дефектоскопии, при контроле технологических процессов, в медицине и т.п. Все это будет способствовать эффективности проводимых работ и обеспечит определенный экономический эффект в народном хозяйстве страны.
Формула изобретения
Способ регистрации ионизирующих излучений, отличающийся тем, что производят усреднение длительности временных интервалов между актами распада, используя пересчетную схему, с выхода которой регистрируют только те временные интервалы, длительность которых не превышает значения, определяемого из условия сохранения величины интенсивности полезного излучения, длительность этих временных интервалов определяют по формуле
где
nф – скорость счета фонового излучения [1/с]; n
|
||||||||||||||||||||||||||||||


– длительность временных интервалов [с];
, nф, nа – средние скорости счета суммарного, фонового и полезного излучения соответственно. tф, tz – средние временные интервалы фонового и суммарного излучения соответственно. Так как n

m раз. Кроме того, кривая функции распределения временных интервалов имеет максимум в точке:



0 F2(t)
F2(t)



nф и n





отношение сигнал – фон для случая счета числа импульсов.
по сравнению с «К».
– скорость счета суммарного излучения [1/с].