|
|
(21), (22) Заявка: 2005121862/09, 11.07.2005
(24) Дата начала отсчета срока действия патента:
11.07.2005
(46) Опубликовано: 27.01.2007
(56) Список документов, цитированных в отчете о поиске:
КОНДРАТЬЕВ B.C. и др. Многопозиционные радиотехнические системы. Москва, Радио и связь, 1986, с.241, 242. RU 2248584 C2, 20.03.2005. RU 2258941 C1, 20.08.2005. US 6806823 B1, 19.10.2004. US 2004178956 A1, 16.09.2004. WO 2004011955 A2, 25.02.2004.
Адрес для переписки:
394052, г.Воронеж, ул. Краснознаменная, 153, ФГУ “ФГНИИЦ РЭБ ОЭСЗ” Минобороны России
|
(72) Автор(ы):
Уфаев Владимир Анатольевич (RU), Уфаев Денис Владимирович (RU), Чикин Михаил Геннадьевич (RU)
(73) Патентообладатель(и):
Федеральное государственное учреждение “Федеральный научно-исследовательский центр радиолектронной борьбы и оценки эффективности снижения заметности” МО РФ (ФГУ “ФГНИИЦ РЭБ ОЭСЗ” Минообороны России) (RU)
|
(54) СПОСОБ ОПРЕДЕЛЕНИЯ МЕСТОПОЛОЖЕНИЯ ИСТОЧНИКА РАДИОИЗЛУЧЕНИЯ
(57) Реферат:
Изобретение относится к радиотехнике и может быть использовано в системах радиоконтроля для определения местоположения наземных источников радиоизлучения коротковолнового и ультракоротковолнового диапазона. Технический результат: обеспечение однозначного определения местоположения источника при одновременном уменьшении времени определения местоположения. В способе определения местоположения источника радиоизлучения, включающем прием радиоизлучения в центральном и не менее чем в двух периферийных пунктах, измерение амплитуды принятых радиосигналов, передачу с периферийных пунктов на центральный пункт измеренных значений амплитуды, преобразование всех измеренных значений амплитуды в функцию пространственной неопределенности, по положению максимума которой определяют местоположение источника, причем прием радиоизлучения выполняют с помощью идентичных приемников и антенн, всенаправленных в горизонтальной плоскости с одинаковыми высотами поднятия над поверхностью земли, согласно изобретению в центральном пункте дополнительно принимают радиосигналы с помощь дополнительных антенн и приемников, по результатам приема в центральном пункте определяют линию положения источника радиоизлучения, а преобразование всех измеренных значений амплитуды в функцию пространственной неопределенности и определение положения ее максимума выполняют на линии положения источника радиоизлучения. Предлагаемый способ позволяет однозначно определять координаты как в зонах симметричных относительно оси абсцисс, так и на линии продолжения базы. Время определения местоположения источника уменьшается более чем в 300 раз. 5 ил.
Изобретение относится к радиотехнике и может быть использовано в системах радиоконтроля для определения местоположения наземных источников радиоизлучения коротковолнового и ультракоротковолнового диапазона.
Известен разностно-дальномерный способ определения местоположения источника радиоизлучения, включающий прием радиоизлучения источника не менее чем в трех пространственно-разнесенных пунктах, передачу принятых радиосигналов на центральный пункт, измерение взаимных задержек между принятыми сигналами и вычисление координат источника радиоизлучения по взаимным задержкам [Патент РФ №2013785, G 01 S 13/00, 1994 г.].
Данный способ имеет следующие основные недостатки. При размещении пунктов приема на прямой линии местоположение источника излучения, находящегося вне этой прямой, определяется неоднозначно, поскольку гиперболические линии положения источника имеют две ветви и пересекаются в двух точках, расположенных симметрично относительно линии базы (прямой проходящей через пункты приема). Положение источника на линии базы не может быть определено, так как линии положения в этом случае превращаются в прямые, которые не пересекаются. Для узкополосных радиосигналов, имеющих широкие корреляционные пики, способ обеспечивает неприемлемо низкую точность определения местоположения.
Известен угломерный способ определения координат, включающий прием радиосигналов и определение пеленгов на источник радиоизлучения не менее чем в двух пространственно-разнесенных пунктах, передачу пеленгов на центральный пункт и вычисление по ним координат источника радиоизлучения [Кондратьев B.C., Котов А.Ф., Марков Л.Н. Под ред. проф. В.В.Цветаева. Многопозиционные радиотехнические системы. – М.: Радио и связь, 1986, с.241-242].
Данный способ не позволяет определять местоположение источника излучения на линии базы и вблизи нее, поскольку линии положения источника (в данном случае лучи из пунктов приема в направлении источника) сливаются в одну прямую линию.
Наиболее близким к предлагаемому способу по технической сущности и достигаемому положительному эффекту является относительно-дальномерный способ определения местоположения источника радиоизлучения, включающий прием радиоизлучения в центральном и не менее чем в двух периферийных пунктах, измерение амплитуды принятых радиосигналов, передачу с периферийных пунктов на центральный пункт измеренных значений амплитуды, преобразование всех измеренных значений амплитуды в функцию пространственной неопределенности, по положению максимума которой определяют местоположение источника, причем прием радиоизлучения выполняют с помощью идентичных приемников и антенн, всенаправленных в горизонтальной плоскости с одинаковыми высотами поднятия над поверхностью земли, а функцию пространственной неопределенности определяют по формуле:

где Um – амплитуда радиосигнала в m-м пункте приема,
– расстояние от точки с координатами (х, y) до m-го пункта приема с известными (Хm, Ym) координатами, М – число пунктов приема [Заявка на изобретение №2004111586, 2004 г., 7 МПК: G 01 S 5/00, 13/00].
Способ основан на учете квадратичной зависимости напряженности электромагнитного поля от расстояния до источника. Нормированные амплитуды (на одно из совокупности значений) пропорциональны отношению соответствующих дальностей до источника, что и получило отражение в названии способа. Линии положения источника в данном способе представляют собой окружности, причем в точках на линии базы окружности, соответствующие различным парам пунктов приема, касаются друг друга, что позволяет определять положение источника на линии и вблизи линии базы. Однако так как в общем случае окружности пересекаются в двух точках, относительно линии базы сохраняется неоднозначность определения координат. Другим недостатком способа является значительное время, затрачиваемое на расчет функции неопределенности, определяемой в каждой (х, y) точке пространства. Эти затраты тем больше, чем меньше требуемый шаг квантования пространства, и требуется более высокая инструментальная точность определения координат.
Техническая задача данного изобретения – обеспечение однозначного определения местоположения источника при одновременном уменьшении времени определения местоположения.
Поставленная задача достигается за счет того, что в известном способе определения местоположения источника радиоизлучения, включающем прием радиоизлучения в центральном и не менее чем в двух периферийных пунктах, измерение амплитуды принятых радиосигналов, передачу с периферийных пунктов на центральный пункт измеренных значений амплитуды, преобразование всех измеренных значений амплитуды в функцию пространственной неопределенности, по положению максимума которой определяют местоположение источника, причем прием радиоизлучения выполняют с помощью идентичных приемников и антенн, всенаправленных в горизонтальной плоскости с одинаковыми высотами поднятия над поверхностью земли, дополнительно в центральном пункте принимают радиосигналы с помощью дополнительных антенн и приемников, по результатам приема в центральном пункте определяют линию положения источника радиоизлучения, а преобразование всех измеренных значений амплитуды в функцию пространственной неопределенности и определение положения ее максимума выполняют на линии положения источника радиоизлучения.
Сопоставительный анализ заявленного решения с прототипом показывает, что предложенный способ отличается от известного наличием, во-первых, новых действия над сигналом: в центральном пункте выполняют дополнительный прием радиоизлучения, по результатам приема определяют линию положения источника радиоизлучения, во-вторых, новых условий и порядка выполнения действий: преобразование значений амплитуды в функцию пространственной неопределенности и определение положения ее максимума выполняют на линии положения источника радиоизлучения.
При изучении других известных технических решений в данной области техники указанная совокупность признаков, отличающая изобретение от прототипа, не была выявлена.
Основой достижения положительного эффекта является использование особенностей и специальное комплексирование части операций, выполняемых над сигналами при угломерном и относительно-дальномерном способах. Определение линии положения (линии пеленга) потенциально обеспечивает однозначность определения местоположения источника относительно линии базы. В свою очередь, максимизация функции пространственной неопределенности именно относительно-дальномерного способа и именно на линии пеленга снимает неопределенность положения источника на линии базы и одновременно позволяет вследствие перехода от максимизации по пространству к максимизации по линии в пространстве уменьшить число точек расчета и соответственно время определения местоположения источника. Следует подчеркнуть, что за счет действия шумов и помех определяемое предлагаемым способом положение источника не обязательно совпадает с положением источника при определении координат относительно-дальномерным способом (даже с учетом неоднозначности), поскольку определяется не глобальный максимум функции пространственной неопределенности, а ее максимум на линии пеленга.
Таким образом, использование особенностей и специальное комплексирование части операций, выполняемых над сигналами в известных способах, интегральный учет информации о сигналах всех пространственно-разнесенных пунктов в соответствии с предложенными новыми действиями, условиями и порядком их выполнения, обеспечивают однозначность определения местоположения источника при одновременном уменьшении времени определения местоположения.
На фиг.1 приведена структурная схема системы определения координат, реализующей предложенный способ; на фиг.2 – взаимное положение элементов системы и источника излучения; на фиг.3 – пример функции пространственной неопределенности, построенной по результатам моделирования системы; на фиг.4 – рабочая зона системы определения координат; на фиг.5 – программа модели системы определения координат в среде Mathcad-2000.
Система определения координат, реализующая предложенный способ, содержит (фиг.1) периферийные приемные пункты 1.1, 1.2 и центральный приемный пункт 2. Каждый периферийный приемный пункт содержит приемную антенну 3.1 (3.2), приемное устройство 4.1 (4.2), амплитудный детектор 5.1 (5.2), аппаратуру передачи данных 6.1 (6.2). Центральный приемный пункт 2 содержит приемные антенны 3.3, 3.4, приемные устройства 4.3, 4.4, амплитудные детекторы 5.3, 5.4, аппаратуру передачи данных 6.3, 6.4, фазовый детектор 7, блок определения пеленга 8, блок определения линии пеленга 9, блок расчета функции неопределенности 10, устройство определения максимума 11 и вычислитель координат 12.
Приемные антенны 3.1 (3.2, 3.3), приемные устройства 4.1 (4.2, 4.3) и амплитудные детекторы 5.1 (5.2, 5.3) соответствующих приемных пунктов соединены последовательно. Выходы амплитудных детекторов 5.1, 5.2 периферийных приемных пунктов 1.1, 1.2 через аппаратуру передачи данных 6.1, 6.2 этих пунктов и аппаратуру передачи 6.3, 6.4 центрального приемного пункта 2 подключены соответственно к первому и второму входам блока расчета функции неопределенности 10, к третьему и четвертому входу которого подключены выходы амплитудных детекторов 5.3, 5.4. Выходы приемных устройств 4.3, 4.4 соединены соответственно с первым и вторым входом фазового детектора 7, выход которого через последовательно соединенные блок определения пеленга 8, блок определения линии пеленга 9, блок расчета функции неопределенности 10 (пятый вход), устройство определения максимума 11 подключен к первому входу вычислителя координат 12, ко второму входу которого подключен выход блока определения пеленга 9. Выход вычислителя координат 12 является выходом системы определения координат.
Антенны 3.1-3.4 и приемные устройства 4.1-4.4 идентичные, антенны всенаправленные в горизонтальной плоскости с одинаковыми высотами поднятия над поверхностью земли. Выравнивание эквивалентных высот поднятия антенн достигается предварительной калибровкой системы по сигналам передатчика с известными координатами и введением соответствующих корректировок коэффициентов передачи приемников. Взаимное положение элементов системы и источника излучения в декартовой системе координат показано на фиг.2. Кружками показано размещение приемных пунктов, точками – антенн в пределах приемных пунктов, квадратиком – источника радиоизлучения. Антенны 3.3, 3.4 расположены по оси ординат симметрично относительно начала координат на одинаковом взаимном удалении, не превышающем половины длины излучения. Приемные устройства 4.1-4.4 (фиг.1) настроены на частоту источника излучения. Антенны 3.3, 3.4, приемные устройства 4.3, 4.4, фазовый детектор 7 и блок определения пеленга 8 в совокупности функционально образуют двухканальный фазовый пеленгатор.
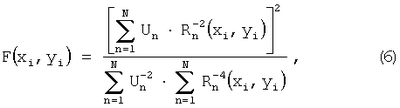
Блок расчета функции неопределенности 10 обеспечивает определение известной (способ-прототип) функции пространственной неопределенности на линии положения источника (линии пеленга) в дискретных точках

где Un – измеренное значение амплитуды радиосигнала в n-й точке приема;
N – общее число точек приема
– расстояние от i=0, 1, 2, …-й точки линии положения с координатами (хi, yi) до n-й точки приема с координатами Xn, Yn, i=0, 1, …, I – номер шага квантования дальности до источника при общем количестве , Rmax – максимальна возможная дальность до источника, которая ограничивается, по крайней мере, дальностью прямой видимости, – заданный шаг квантования дальности.
Информация о линии положения (хi, yi) поступает с выхода блока 9 на пятый вход блока расчета функции неопределенности 10, а измеренные значения амплитуды Un – на входы 1-4.
Блоки 8-12 выполнены на основе микропроцессоров, другие элементы системы являются типовыми радиотехническими устройствами.
Принцип функционирования системы состоит в следующем.
Радиоизлучение источника принимают в приемных пунктах 1.1, 1.2, 2 с помощью антенн 3.1-3.4 и приемных устройств 4.1-4.4, преобразуя в радиосигналы. Путем детектирования в амплитудных детекторах 5.1-5.4 измеряют амплитуду принятых радиосигналов. При наличии прямой видимости до источника излучения и невысоко поднятых над поверхностью земли антеннах измеренные значения амплитуды обратно пропорциональны квадрату расстояния от точки приема до источника радиоизлучения:

где – расстояние от источника с координатами (х0, y0) до n-ой точки приема с известными координатами (Xn, Yn), n=1, 2, …, N; N – общее число точек приема.
Подчеркнем, что в рассматриваемой системе имеется три пункта приема, но четыре N=4 точки приема (по числу пространственно-разнесенных антенн, две из которых находятся на центральном приемном пункте).
Коэффициент взаимосвязи не известен и зависит от мощности передатчика, высоты поднятия антенн объекта и приемных пунктов действующей высоты антенн приемных пунктов, коэффициента направленного действия антенны излучателя, длины волны излучения.
Измеренные значения амплитуды с периферийных приемных пунктов 1.1, 1.2 предают на центральный приемный пункт 2 с помощью аппаратуры передачи данных 6.1-6.4. Значения амплитуды с пунктов 1.1 и 1.2 (U1 и U2) поступают соответственно на вход 1 и вход 2 блока расчета функции неопределенности 10, значения амплитуды, измеренные в центральном приемном пункте (U3, U4), подаются на третий и четвертый вход блока 10 непосредственно с амплитудных детекторов 5.3, 5.4.
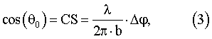
Одновременно с амплитудным детектированием в блоке 7 выполняют фазовое детектирование радиосигналов, определяя таким образом разность фаз между радиосигналами антенн 3.3, 3.4, принятыми на центральном пункте. Эта разность фаз определяется соотношением:

где b – расстояние между антеннами центрального приемного пункта;
0 – пеленг на источник радиоизлучения.
Значение пеленга отсчитывается от оси y по часовой стрелке в соответствии с фиг.2.
В блоке 8 по измеренной разности фаз определяют пеленг на источник радиоизлучения в виде его синуса и косинуса:


В соответствии с формулами (3), (4) при фазовом пеленговании с применением двух антенн пеленг определяется неоднозначно относительно оси ординат. Так как эта неоднозначность противоположного типа, наблюдаемой в относительно-дальномерной системе, то при принятой конфигурации системы неоднозначность определения пеленга не препятствует решению поставленной технической задачи. Кроме того, неоднозначность пеленгования может быть устранена при увеличении числа антенн, применяемых для пеленгования.
В блоке определения линии пеленга 9 по данным, поступающим с блока 8, определяют линию пеленга, то есть линию положения источника на плоскости по результатам определения его пеленга:

где i=0, 1, …, I – номер шага квантования дальности до источника при общем количестве , Rmax – максимальна возможная дальность до источника, – заданный шаг квантования дальности.
В соответствии с формулой (5), линия положения задается в виде дискретных точек с заданным шагом квантования возможных значений дальности. Информация о линии положения с блока 9 поступает на пятый вход блока расчета функции неопределенности 10, где совокупность всех измеренных амплитуд преобразуется в известную функцию пространственной неопределенности, но только на линии положения источника радиоизлучения:

где – расстояние от i-й точки положения до n-й точки приема.
Типичный вид функции неопределенности (6), построенной по результатам моделирования для случая расположения источника на линии базы, показан на фиг.3. Функция имеет максимум в точке истинных координат источника излучения.
Положение максимума функции пространственной неопределенности определяется в устройстве 11 по совокупности всех ее значений на линии пеленга:

На заключительном этапе в вычислителе координат 12 по положению максимума функции пространственной неопределенности на линии пеленга (линии положения источника), поступающему на первый вход блока 12, определяют местоположение (координаты) источника

Необходимые при этом дополнительные данные о линии положения (SS, CS) поступают с выхода блока определения линии пеленга 9 по второму входу вычислителя координат 12. Результаты определения местоположения источника выдаются потребителю с выхода вычислителя координат 12.
В вариантном исполнении в систему может входить более двух периферийных пунктов с произвольным взаимным положением и пеленгованием на центральном пункте другими известными способами при числе антенн больше двух.
Работоспособность предлагаемого способа проверена моделированием. Программа модели системы определения координат в среде Mathcad-2000 приведена на фиг.5, а на фиг.4 показаны результаты определения местоположения источника излучения (рабочие зоны системы) для двух вариантов взаимного положения приемных пунктов (отмечены на чертежах квадратиками). Крестиками на фиг.6 отмечены места расположения источника излучения, где линейная ошибка определения координат не превышает 100 м.
Результаты получены для следующих основных исходных данных, указанных на фиг.5: мощность передатчика PI=0,1 Вт, длина волны излучения =5 м, коэффициент направленного действия передающей антенны DI=1, высота поднятия над поверхностью Земли приемных hP=6 м, передающих антенн hI=1,5 м, действующая высота приемной антенны HD=0,1 м, среднее квадратичное значение флуктуации амплитуды сигналов А=0,1 (0,8 дБ), чувствительность приемных устройств 1 мкВ. Принятые параметры флуктуации амплитуды соответствуют условиям распространения радиоволн в пригородной зоне.
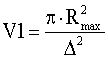
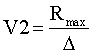
Эффективность изобретения выражается в обеспечении однозначного определения местоположения источника при одновременном уменьшении времени определения местоположения. Обеспечение однозначности определения координат подтверждается данными моделирования, показанными на фиг.4а). Видно, что предлагаемый способ позволяет однозначно определять координаты как в зонах симметричных относительно оси абсцисс (не достижимо разностно-дальномерным и относительно-дальномерным способом), так и на линии продолжения базы (не достижимо угломерным и разностно-дальномерным способом). Время определения местоположения пропорционально числу точек, где рассчитывается функция пространственной неопределенности. Количество таких точек для способа-прототипа при равномерном квантовании рабочей зоны составляет
,
где Rmax – максимальная дальность до источника; – заданный шаг квантования.
В предлагаемом способе вследствие максимизации не по пространству, а по линии пеленга в пространстве число точек расчета равно . Следовательно, число точек расчета относительно прототипа снижается в раз. Так, для Rmax=1000 м, =10 м число точек расчета и время определения местоположения источника уменьшается более чем в 300 раз.
Формула изобретения
Способ определения местоположения источника радиоизлучения, включающий прием радиоизлучения в пространственно разнесенных центральном пункте, содержащем не менее двух приемных антенн и двух приемных устройств, и не менее чем в двух периферийных пунктах, измерение амплитуды принятых радиосигналов в центральном и периферийных пунктах, передачу с периферийных пунктов на центральный пункт измеренных значений амплитуды, преобразование в центральном пункте всех измеренных значений амплитуды в функцию пространственной неопределенности, определение в центральном пункте пеленга на источник радиоизлучения и линии пеленга источника радиоизлучения, задаваемой в виде дискретных точек с заданным шагом квантования возможных значений дальности, определение положения максимума функции пространственной неопределенности на линии пеленга источника радиоизлучения, по положению максимума которой на линии пеленга определяют местоположение источника радиоизлучения.
РИСУНКИ
MM4A – Досрочное прекращение действия патента СССР или патента Российской Федерации на изобретение из-за неуплаты в установленный срок пошлины за поддержание патента в силе
Дата прекращения действия патента: 12.07.2007
Извещение опубликовано: 20.12.2008 БИ: 35/2008
|
|