|
(21), (22) Заявка: 2005127725/28, 05.09.2005
(24) Дата начала отсчета срока действия патента:
05.09.2005
(46) Опубликовано: 27.01.2007
(56) Список документов, цитированных в отчете о поиске:
SU 528489 A1, 15.09.1976. RU 2134894 C1, 20.08.1999. SU 601606 A1, 05.04.1978. US 6040696 A, 21.03.2000. GB 2333367 A, 21.07.1999.
Адрес для переписки:
614066, г.Пермь, ул. Советской Армии, 29, ООО “ПермНИПИнефть”, патентный сектор, пат.опв. Т.А.Юшкиной, рег.№ 706
|
(72) Автор(ы):
Злобин Александр Аркадьевич (RU)
(73) Патентообладатель(и):
Общество с ограниченной ответственностью “ПермНИПИнефть” (RU)
|
(54) СПОСОБ ОПРЕДЕЛЕНИЯ КОЭФФИЦИЕНТОВ АНИЗОТРОПИИ И ХАРАКТЕРИСТИК ГЛАВНЫХ ОСЕЙ АНИЗОТРОПИИ ПОРОВОГО ПРОСТРАНСТВА ГОРНЫХ ПОРОД
(57) Реферат:
Использование: для определения коэффициентов анизотропии и характеристик главных осей анизотропии порового пространства горных пород. Сущность заключается в том, что наносят на образец видимую метку для измерения угла поворота образца вокруг своей оси, насыщают образец протонсодержащей жидкостью, помещают его в датчик спектрометра, совмещают видимую метку образца с направлением вдоль выбранной оси лабораторной системы координат, далее производят вращение образца вокруг своей оси с равномерным угловым шагом на текущий угол поворота, пока величина указанного угла поворота между меткой и направлением вдоль выбранной оси лабораторной системы координат не достигнет 360°, при этом для каждого текущего угла поворота проводят измерение текущей угловой амплитуды сигнала спин-эхо от протонсодержащей жидкости в исследуемом образце до и после воздействия на образец фиксированной величиной импульсного градиента магнитного поля, значение которого после достижения угла поворота в 360° ступенчато изменяют в сторону увеличения или в сторону уменьшения, и вновь проводят по вышеприведенной схеме измерение текущей угловой амплитуды сигнала спин-эхо от протонсодержащей жидкости в исследуемом образце до и после воздействия на образец указанной измененной величиной импульсного градиента магнитного поля, далее по массиву измеренных при фиксированной величине импульсного градиента магнитного поля текущих угловых амплитуд сигнала спин-эхо определяются коэффициенты анизотропии и характеристики главных осей анизотропии порового пространства горных пород. Технический результат: расширение информативности и функциональных возможностей импульсного метода ЯМР. 2 з.п. ф-лы, 4 табл.,11 ил.
Изобретение относится к области исследования структуры пустотного пространства горных пород-коллекторов методом ядерного магнитного резонанса (ЯМР) и предназначается для определения коэффициентов анизотропии размеров пор и характеристик главных осей анизотропии порового пространства горных пород. Коэффициент анизотропии определяет изменчивость петрофизических свойств пород в различных направлениях и отражает сложные закономерности образования и последующих деформаций осадочных нефтесодержащих пород. Изобретение может быть использовано в петрофизике, геофизике, нефтяной геологии, разработке месторождений полезных ископаемых, физике твердого тела.
Известен способ определения коэффициента анизотропии пород, основанный, например, на измерении проницаемости образцов горных пород кубической формы [1]. При этом средний коэффициент анизотропии получают в двух взаимно перпендикулярных направлениях (X, Z) между двумя парами параллельных плоскостей куба. Метод является контактным и требует применения специальной аппаратуры.
Более упрощенный вариант в указанном известном способе включает использование двух цилиндрических образцов из одного куска керна, ориентированных параллельно и перпендикулярно напластованию. Однако в этом случае также получают только один коэффициент анизотропии. Дополнительным отрицательным моментом является то, что указанные выше контактные способы не позволяют определять коэффициенты анизотропии по керну в произвольных направлениях, не только параллельно или перпендикулярно напластованию в объеме образца, а также не позволяет определять пространственные характеристики внутренней главной оси анизотропии, описывающие направление, величину и характер действия внешних физических полей (деформационных, тепловых, фильтрационных и т.п.).
Также известен способ определения оптической анизотропии горных пород и руд [2]. Сущность способа заключается в использовании интегрального поляризационно-оптического излучения кристаллов минеральных агрегатов породы. Анизотропия пород рассчитывается по измерению интенсивности света, отраженного от аншлифа горной породы при различной угловой ориентации источника света.
Основной недостаток известного способа тот, что информация, получаемая от объекта, ограничивается только небольшой внешней плоской поверхностью, на которой к тому же должны находиться минералы определенного типа, что существенно, во-первых, ограничивает класс анализируемых горных пород, во-вторых, не позволяет исследовать объемную анизотропию пустотного пространства пористых сред, к которым относятся коллектора нефти и газа.
Способностью неразрушаемого анализа объемных характеристик горных пород (коэффициентов пористости, проницаемости, размеров пор) обладает импульсный метод ядерного магнитного резонанса, показания которого не зависят от формы и литологического типа пород. Указанный способ является бесконтактным, экспрессным и простым в исполнении. Однако до сих пор нам не известны способы определения по ЯМР коэффициентов анизотропии горных пород.
Технический результат, достигаемый предлагаемым техническим решением, заключается в расширении информативности и функциональных возможностей импульсного метода ЯМР за счет обеспечения возможности определения коэффициентов анизотропии размеров пор горных пород и характеристик главных осей анизотропии пустотного пространства горных пород, описывающих внутреннюю перестройку микроструктуры геоматериалов, в частности, продуктивных пластов, содержащих промышленные скопления углеводородов.
Указанный технический результат достигается предлагаемым способом определения коэффициентов анизотропии и характеристик главных осей анизотропии порового пространства горных пород методом ядерного магнитного резонанса, основанным на явлении ограниченной самодиффузии молекул жидкости, характеризующимся тем, что проводят подготовку исследуемого образца горной породы, наносят на образец видимую метку для измерения угла поворота образца вокруг своей оси, насыщают образец протонсодержащей жидкостью, помещают его в датчик спектрометра, совмещают видимую метку образца с направлением вдоль выбранной оси лабораторной системы координат, далее производят вращение образца вокруг своей оси с равномерным угловым шагом на текущий угол поворота, пока величина указанного угла поворота между меткой и направлением вдоль выбранной оси лабораторной системы координат не достигнет 360°, при этом для каждого текущего угла поворота проводят измерение текущей угловой амплитуды сигнала спин-эхо от протонсодержащей жидкости в исследуемом образце до и после воздействия на образец фиксированной величиной импульсного градиента магнитного поля, значение которого после достижения угла поворота в 360° ступенчато изменяют в сторону увеличения или в сторону уменьшения, и вновь проводят по вышеприведенной схеме измерение текущей угловой амплитуды сигнала спин-эхо от протонсодержащей жидкости в исследуемом образце до и после воздействия на образец указанной измененной величиной импульсного градиента магнитного поля, далее по массиву измеренных при фиксированной величине импульсного градиента магнитного поля текущих угловых амплитуд сигнала спин-эхо определяются текущие коэффициенты диффузионного затухания, равные отношению текущих угловых амплитуд сигнала спин-эхо после и до воздействия на образец импульсного градиента магнитного поля, по которым рассчитывают средние текущие угловые диаметры пор образца и текущие угловые коэффициенты анизотропии пор образца для каждой фиксированной величины импульсного градиента магнитного поля, прилагаемого к образцу, далее в полярных координатах с учетом фиксированной величины импульсного градиента магнитного поля для каждой его ступени строят графическую зависимость в виде круговой диаграммы средней формы сечения анизотропных пор для каждой заданной группы пор образца, после чего в прямоугольной системе координат строят графики изменения текущего углового коэффициента анизотропии для каждой заданной группы пор образца, затем на базе указанных графиков в виде замкнутых двухмерных многоугольников строят эквивалентные по площади эллипсы анизотропии заданной группы пор образца и выделяют в них главную большую ось анизотропии и рассчитывают характеристики главных осей анизотропии для каждой заданной группы пор образца.
Для каждой заданной группы пор образца при реализации предлагаемого способа можно рассчитывать модуль – длину главной оси эллипса анизотропии, или модули, отношение модулей, углы между модулями и углы ориентации главной оси анизотропии в лабораторной системе координат и в приведенной к образцу системе координат.
В предлагаемом варианте выполнения способа характеристики анизотропии пор горных пород определяют при любой ориентации образца, преимущественно параллельно или перпендикулярно напластованию.
Благодаря предложенной совокупности указанных выше операций, их последовательности при осуществлении заявляемого способа обеспечивается достижение нового технического результата – получение коэффициентов анизотропии и возможности установления закономерностей пространственной ориентации главных осей анизотропии перового пространства горных пород-коллекторов, отражающих сложные процессы пластического деформирования при разноосных тектонических напряжениях в толще. Достижение такого нового технического результата получено впервые и неожиданно в ходе проводимых экспериментальных исследований по определению петрофизических и структурных свойств горных пород импульсным методом ЯМР.
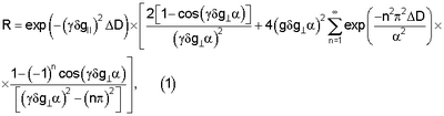
Физические основы предлагаемого способа заключаются в реализации принципа неразрушающего ЯМР-сканирования размеров пор от различных участков образца породы при последовательном изменении угловых координат источника импульсного градиента магнитного поля (далее ИГМП). Измерение текущих размеров пор основано на ограниченной самодиффузии молекул зондирующей жидкости. В свою очередь, процесс ограниченной диффузии становится доступным наблюдению по изменению скорости спада поперечной ядерной намагниченности магнитных спинов в неоднородном магнитном поле. Для случая ограниченной диффузии в слоистой системе известно общее аналитическое уравнение диффузионного затухания амплитуды спинового эха (Таннер, Стейскал, 1965):

где R – коэффициент диффузионного затухания амплитуды сигнала спин-эхо;
– расстояние между ограничивающими стенками;
gII и g – компоненты вектора ИГМП параллельно и перпендикулярно к поверхности стенок барьера;
– интервал между градиентными импульсами;
– длительность градиентного импульса;
– гиромагнитная постоянная для ядра;
D – коэффициент диффузии.
При увеличении интервала времени диффузионный вклад в затухание спинового эха будет стремиться к некоторому пределу, обусловленному конечным размером ограничивающего барьера, а уравнение (1) при условии   и дополнительного действия только перпендикулярной компоненты градиента поля gII=0, g =g и узкого импульса ( g) 0 упрощается и используется для расчета пространственного расстояния а между плоскими барьерами:

В случае реальной пористой среды средний диаметр пор определяется по обобщенной формуле:

где С – структурный коэффициент.
Линейный градиент магнитного поля g=dH/dz в общем случае задает направление – соответствующую ось координат, вдоль которой фиксируется изменение амплитуды интегрального протонного сигнала спин-эхо, и соответственно измеряется линейный размер ограничивающего пространства. Если обеспечить вращение источника импульсного градиента магнитного поля вокруг образца и отслеживать при этом изменение текущей угловой амплитуды сигнала спин-эхо, то в итоге получим полную пространственную характеристику образца горной породы как совокупности текущих параметров этого образца от отдельных плоскостей сканирования в различных угловых направлениях, по которым рассчитываются текущие угловые коэффициенты анизотропии ( ) размеров пор, как мера относительного отклонения текущего диаметра от измеренного максимального диаметра пор:

где – угол вращения плоскости сканирования в лабораторной системе координат (далее ЛСК),
( ) – текущий диаметр пор;
max – максимальный диаметр пор.
Уравнение (4), в частности, может описывать процесс неоднородного деформирования пор при разноосном сжатии насыщенной породы, приводящем к уменьшению средних размеров в направлении действия максимальной нагрузки.
Если затем построить круговые графические диаграммы направленности коэффициента анизотропии ( ) в плоскости XZ сечения образца в прямоугольной системе координат, то по ним можно рассчитать чрезвычайно важные количественные характеристики главных осей анизотропии перового пространства пород-коллекторов: модуль или модули анизотропии и углы ориентации главных осей анизотропии, как абсолютные в ЛСК, так и приведенные к собственной системе координат образца.
Существенная особенность предлагаемого способа заключается в том, что информативность нового способа значительно увеличивается в случае дополнительного измерения и сопоставления указанных характеристик анизотропии в различных по размерам группах пор образца породы. Дело в том, что реальные горные породы характеризуются очень широким диапазоном размеров пор, начиная от 1 мкм и включительно до 250 мкм. При этом каждая группа пор имеет свой объемный вклад и особенности микроструктуры в различных направлениях.
Данный методический подход ранее не описан и позволяет впервые заглянуть «внутрь» порового пространства горных пород и оценить факторы и механизмы локальной изменчивости петрофизических свойств осадочных пород-коллекторов на различных структурных подуровнях системы.
Дополнительная особенность заключается в том, что с целью упрощения способа ЯМР-сканирование реализуется путем кругового вращения не внешнего источника ИГМП, а непосредственно самого образца горной породы вокруг своей оси при неизменном фиксированном положении источника переменного магнитного поля. В этом случае при каждом текущем угловом повороте образца фиксируется среднее расстояние между криволинейными стенками отдельной поры вдоль линии действия сильного текущего градиента магнитного поля. Это расстояние численно равно среднему диаметру сечения поры в плоскости XZ ЛСК. Наличие большого количества различных по размерам пор в образце приводит к тому, что в итоге получаем средневзвешенный диаметр пор, отражающий их размер, форму и взаимную ориентацию (укладку) в объеме образца в фиксированном направлении. Для изотропных однородных пород средний угловой размер пор будет везде один и тот же, что соответствует нулевому или близкому к нему коэффициенту анизотропии. В случае неоднородных слоистых горных пород коэффициент анизотропии может принимать различные значения в соответствии с индивидуальной структурой пустотного пространства, обусловленной действием длительных тектонических напряжений.
Предлагаемый способ позволяет впервые устанавливать количественную оценку влияния различных внешних факторов (давления, температуры, фильтрации вод и др.) на деформацию структурных элементов порового объема как в статических, так и в динамических условиях.
Предлагаемый способ характеризуется чертежами, где на фиг.1 приведена схема ядерно-магнитного спектрометра для проведения экспериментов по измерению коэффициентов анизотропии ( ) размеров пор горных пород; на фиг.2 показана схема измерения текущего диаметра единичной анизотропной поры o, 1, 2 при различной ориентации ее в пространстве: в частности, при вращении образца по часовой стрелке вокруг своей оси на угол , равный 0°, 45° и 90°; на фиг.3 в качестве примера приведены экспериментальные диаграммы анизотропии пор диаметром 68 мкм в упрощенном модельном образце из спеченного стекла, в котором наблюдается только одна главная ось анизотропии; на фиг.4-7 для сложнопостроенного карбонатного фораминиферово-водорослевого образца №19II керна скважины 2303 Осинского месторождения построены в плоскости XZ экспериментальные графики средних нормированных сечений для 4-х групп анизотропных пор: черным цветом на указанных круговых диаграммах выделены области изменения текущих размеров пор в различных направлениях при изменении угла поворота от 0° до 360°; на фиг.8-11 – для того же образца № 19II приведены диаграммы направленности коэффициента анизотропии размеров пор, по которым рассчитываются характеристики главных осей анизотропии порового пространства: штриховой линией на фиг.8-11 показаны эллипсы составляющих компонентов анизотропии MI и МII, сплошной линией – модули главных осей анизотропии и соответствующие углы 1, 2 ориентации осей анизотропии).
Для осуществления предлагаемого способа были использованы экстрагированные образцы горных пород из нефтенасыщенной части пласта Осинской площади Пермской области, а также следующие вещества и оборудование:
– исследуемые образцы пород-коллекторов цилиндрической формы диаметром 10 мм и длиной 20 мм;
– импульсный когерентный протонный ЯМР-спектрометр “MINISPEC P-20” (Bruker, Германия) с частотой 20 МГц, сопряженный с компьютером и оснащенный системой для вращения образца вокруг своей оси в датчике спектрометра;
– блок кварцевого генератора импульсов градиента магнитного поля с плоскими градиентными катушками Гельмгольца, ориентированными перпендикулярно оси Z;
– бумага фильтровальная по ГОСТ 12026-76;
– аналитические весы ВЛА-200М по ГОСТ 24104-80;
– шкаф сушильный WS-983 с температурой 105°С;
– бюксы объемом 45 см3;
– вода дистиллированная по ГОСТ 6709-72;
– установка для вакуумирования и насыщения горных пород.
Пример осуществления заявляемого способа. Для экспериментов из куска керна алмазной коронкой выпиливают цилиндрической формы образцы горных пород. Подготовка образцов горных пород к анализам включает стандартные по ГОСТу 26450.0-85, 26450.1-85 лабораторные операции: горячую экстракцию спиртобензольной смесью от остаточной нефти, сушку образцов при 105°С до постоянного веса. Затем проводят стандартные определения емкостно-фильтрационных характеристик пород: коэффициентов газопроницаемости и пористости по методу жидкостенасыщения. Далее исследуемый образец породы насыщают протонсодержащей жидкостью, например водой, в установке раздельного вакуумирования и насыщения горных пород. Предварительно на сухих цилиндрических образцах по диагонали торцового круга наносится тушью видимая метка в виде стрелки для отсчета угла вращения образца вокруг своей оси в датчике спектрометра.
В качестве примера для экспериментов из нефтяной части башкирского пласта скв.2303 Осинской площади был приготовлен сложнопостроенный карбонатный образец № 19II с пористостью KП=19,8%, и с проницаемостью по газу вдоль напластования 0,2846 мкм2 и поперек напластования соответственно 0,0357 мкм2. Указанный образец был высверлен параллельно напластования из керна диаметром 100 мм, отобранного с глубины 1051,5-1056,5 м.
Исследуемый образец № 19II после подготовки обтирают фильтровальной бумагой, помещают в герметичный фторопластовый контейнер 1 (фиг.1) и далее устанавливают в датчик ЯМР-спектрометра.
Специфика предлагаемого способа заключается в том, что в опытах фиксируют не одну точечную стационарную амплитуду спин-эхо, а большое количество текущих значений амплитуды, как функции угла поворота образца в лабораторной системе координат, ось Z которой направлена вдоль силовых линий постоянного магнитного поля Но, ось Х направлена вдоль радиуса образца, а ось Y – соответственно вдоль оси симметрии образца (см. фиг.1).
При проведении экспериментов используется специальное устройство для вращения образца 2 в датчике спектрометра и одновременного отсчета текущих углов поворота 3 относительно оси Z, выбранной в качестве нулевой линии отсчета. Шкала отсчета углов представляет собой лимб в виде окружности с нанесенными равномерными делениями, например, через 22,5 градусов. Шкала располагается в плоскости над датчиком и жестко фиксируется относительно положения датчика. Исследуемый образец в опытах помещается в герметичный контейнер, на крышке которого также имеется метка в виде стрелки. При закрывании крышки эту метку совмещают с меткой на торце образца. Метка на крышке контейнера служит в дальнейшем для установки и контроля значения текущего угла поворота образца. Дополнительно цилиндрический образец жестко фиксируется относительно внутренней боковой стенки контейнера с целью исключения проворачивания образца при вращении контейнера. Контейнер в датчике имеет верхнюю и нижнюю точки опоры, что обеспечивает балансировку и точную центровку образца вдоль длинной оси катушки датчика. Отклонение текущей угловой амплитуды сигнала спин-эхо без градиента магнитного поля от средней величины не превышает ±1% отн.
После помещения образца в контейнер устанавливают начальный нулевой угол =0, включают трехимпульсную программу стимулированного эха [To-(90°- 1-90°- 2-90°)]n с амплитудным детектированием и с периодом в 10 с производят измерение 10 текущих значений исходной амплитуды Ао(0) сигнала спинового эха без ИГМП, среднее значение которой составляет 419,0 mV. Измерение исходной амплитуды Ао( ) необходимо для учета несимметричной формы самого образца.
Далее при постоянном интервале задержки между градиентными импульсами магнитного поля =600 мс устанавливают первую ступень фиксированной величины импульсного градиента g1 магнитного поля, воздействующего на образец, с длительностью градиентного импульса =27 мкс и амплитудой градиента поля g=125 Гс/см, и включают запуск блока генератора ИГМП. Производят измерение 10 текущих значений исходной текущей угловой амплитуды Ag(0) сигнала спинового эха после воздействия ИГМП, среднее значение которой составляет 306,8 mV.
Затем увеличивают угол поворота образца на 22,5° и снова повторяют измерения текущей угловой амплитуды спин-эхо от протонсодержащей жидкости в исследуемом образце без воздействия и с воздействием на образец фиксированной величиной импульсного градиента магнитного поля, которые составляют 420 mV и 301,5 mV. Последовательно изменяют величину угла поворота образца i на 22,5° в сторону увеличения по часовой стрелке и снова по описанной выше схеме регистрируют для каждого угла поворота соответствующую пару значений текущей угловой амплитуды сигналов спин-эхо до и после воздействия ИГПМ, пока величина угла не достигнет значения в 360°, что определяет полный оборот исследуемого образца вокруг своей оси. В результате первого цикла получают массив числовых значений средних амплитуд сигналов спин-эхо, соответствующий 16·2=32 числам, где число экспериментальных точек n=360°:22,5°.
После этого устанавливают новое фиксированное значение величины импульсного градиента магнитного поля g2 действующего ИГМП с длительностью градиентного импульса, равной =44 мкс и повторяют все операции по регистрации нового массива текущей угловой амплитуды сигналов спин-эхо при совершении полного оборота образца вокруг своей оси.
В конкретном эксперименте с образцом 19II использовали 4 ступени действующего ИГМП с длительностью градиентных импульсов 27, 44, 112 и 170 мкс.
Использование фиксированных ступеней ИГМП дает возможность выборочно наблюдать ограниченную диффузию молекул в группах пор заданного размера. Величина заданного диаметра сканируемых пор Ø на каждой фиксированной ступени ИГМП в карбонатных породах вычисляется по эмпирической формуле =537,538 -0,654, где в мкм, а в мкс, полученной при эталонировке метода ЯМР по данным анализа петрографических шлифов под микроскопом.
В результате 4-х циклов ЯМР-эксперимента получили 128 усредненных числовых значений текущей угловой амплитуды сигнала спин-эхо, которые далее обрабатываются по следующей схеме.
По полученным усредненным числовым значениям вначале рассчитывают текущий коэффициент диффузионного затухания R( ), равный отношению текущих угловых амплитуд сигнала спин-эхо после воздействия на образец импульсного градиента магнитного поля к исходной текущей угловой амплитуде сигнала спин-эхо до воздействия. Например, для углов =0° и =22,5° в первом цикле с g1 коэффициенты диффузионного затухания составляют R(0°)=306,8/419,0=0,732 д.ед. и R(22,5°)=307,4/420,0=0,731 д.ед.
Затем по текущему коэффициенту диффузионного затухания R( ) с использованием формулы (3) рассчитываются величины средних текущих угловых диаметров пор образца ( ), соответствующих углам поворота образца вокруг своей оси, и производится их нормировка к единице, для чего все значения ( ) делятся на максимальное значение диаметра max в числовом массиве. Для углов =0° и =22,5° текущие диаметры пор образца составляют 55,2 и 54,9 мкм, а нормированные соответственно 0,812 и 0,808 д.ед. По полученному массиву угловых нормированных диаметров ( ) в среде пакета GRAPHER строятся в полярных координатах круговые диаграммы изменения радиус-вектора размеров от угла поворота (см. фиг.4-7). Здесь же проводится линия окружности единичного радиуса, которая визуально показывает величину отклонения среднего диаметра пор в заданном угловом направлении от идеальной изотропной формы поры (неокрашенная область внутри окружности).
Далее по формуле (4) и массиву текущих диаметров рассчитывается новый массив текущих коэффициентов анизотропии ( ) и производится переход от полярной к декартовой прямоугольной системе координат по формулам:
(x)= ( )sin( /180); (y)= ( )cos( /180),
где (х), (у) – коэффициенты анизотропии пор вдоль осей Х и Y, и по преобразованным данным строятся соответствующие графики изменения текущего углового коэффициента анизотропии размеров пор в плоскости сечения XZ для каждой заданной группы пор образца (см. фиг.8-11).
По характерной форме и направленности графиков коэффициента анизотропии для каждой заданной группы пор образца строятся затем эквивалентные по площади эллипсы анизотропии, в которых проводят главную или большую ось анизотропии, которая показывает направление максимальных изменений диаметров пор. В свою очередь, пространственная ось, перпендикулярная главной оси анизотропии, характеризует направление слоистости породы. С использованием известных геометрических приемов рассчитывают значение модуля – длину главной оси эллипса анизотропии М и угол наклона этой оси по отношению к нулевой оси Z в ЛСК. В том случае, когда анизотропию можно представить как суперпозицию нескольких составляющих, например двух компонентов (факторов), действующих в разных угловых направлениях, как в случае анализа карбонатного образца 19II, рассчитывают количественные характеристики всех главных осей.
Углы ориентации ( ) главных осей, полученные в эксперименте, в общем случае являются переменными параметрами, зависящими от начального произвольного выбора внешней нулевой метки на торце образца, по которой отсчитывается угол поворота в ЛСК. Для перехода к собственной системе координат образца необходимо отсчет углов проводить относительно внутреннего репера системы, например направления одной из осей анизотропии. Отсюда по способу выбирается одна из осей, направление которой принимается за нулевое значение угла отсчета, например главная ось M1 в порах диаметром 16,6 мкм (см. фиг.11). Затем все остальные значения главных углов групп пор приводятся (пересчитываются) к новой системе координат образца. В итоге получаем собственные угловые характеристики образца, уже не зависящие от внешней системы координат, которые можно принять за паспортные данные образца породы.
В таблице 1 в качестве примера приведены результаты экспериментального определения 64-х текущих коэффициентов анизотропии ( , ) размеров пор в зависимости от угла поворота и диаметра пор в сложнопостроенном карбонатном образце 19II скв.2303 Осинской площади Пермской области.
Из анализа таблицы 1 следует, что в карбонатном коллекторе порового типа с увеличением реального диаметра пор происходит значительное увеличение ср среднего коэффициента анизотропии, а зависимость от угла вращения носит не монотонный и сложный характер. В частности, более низкие коэффициенты анизотропии присущи относительно мелким порам в 16-22,8 мкм: среднее значение равно ср=4,05%, а вдоль осей х=±(2…5)%; z=±(2…9)%. В крупных порах с диаметром 47-68 мкм анизотропия возрастает в среднем 2,9 раз (в интервале от 2 до 5 раз): cp=11,69%, а вдоль осей соответственно х=±(15…25)%; z=±(10…20)%. Отсюда крупные поры в карбонатном образце претерпевают более сильные деформации, чем мелкие, и могут являться прямыми индикаторами напряженного состояния скелета.
В таблице 2 для того же образца 19II показаны расчетные характеристики главных осей анизотропии размеров пор: 8 значений модулей MI и МII, их отношение и 24 значения углов 1, 2 ориентации составляющих компонентов MI и МII в ЛСК и в приведенной собственной системе координат образца. В частности, получается (см. табл.2), что средний угол 2 между компонентами анизотропии не зависит от системы координат (является инвариантом) и составляет 103,6° (т.е. незначительно отличается от 90° – условия ортогональности главных осей напряженного состояния), а отношение их модулей монотонно возрастает с увеличением диаметра пор и сдвига угла 1.
В таблице 3 приведены дополнительные экспериментальные данные по определению 112-ти коэффициентов анизотропии для второго карбонатного образца-двойника 19 , ориентированного уже перпендикулярно напластованию, то есть вдоль оси скважины. Второй эксперимент от первого отличался лишь более расширенным диапазоном сканируемых размеров групп пор от 22,8 мкм до 115 мкм для 7 групп пор. В этом случае сечения диаметров пор получаем в горизонтальной плоскости по латерали пласта. Анализ табличных данных показывает, что в радиальной к оси скважине плоскости уже нет ранее отмеченной закономерности увеличения среднего коэффициента анизотропии от диаметра пор (сравни табл.1 и 3). Здесь в порах с размерами вплоть до 68 мкм происходят одинаковые и слабые по абсолютной величине колебания средней анизотропии в интервале от 5 до 10%. Лишь в самых крупных порах 115 мкм коэффициент анизотропия резко увеличивается до 22,26%.
В таблице 4 для того же образца 19 приведены расчетные характеристики главных осей анизотропии размеров пор и отношение модулей (MI/M ) в ортогональных плоскостях XZ и XY сканирования пласта.
Из опытов получается, что закономерности изменения анизотропии в вертикальной и горизонтальной плоскостях разреза пласта существенно отличаются, что характеризует сложный механизм пластического деформирования пор породы в термобарических условиях на стадии позднего диагенеза и катагенеза.
Напротив, в искусственных однородных моделях из спеченых стеклянных гранул в порах экспериментально установлено наличие только одной главной оси анизотропии (см. фиг.3), угол наклона которой во всех порах примерно одинаковый. Отсюда плоское деформирование при уплотнении исходных гранул в модельном образце приводит к параллельности главных осей анизотропии в порах различного диаметра.
Отсюда характер нагружения породы четко фиксируется по динамике внутренних главных осей анизотропии.
Таким образом, показано, что заявляемый способ существенно расширяет возможности импульсного метода ЯМР, повышает его информативность при определении коэффициентов анизотропии и характеристик главных осей анизотропии размеров пор горных пород, что соответствует поставленной технической задаче настоящего изобретения.
На практике предлагаемый новый способ позволяет по керну дифференцировать характер анизотропии пустотного пространства пороколлекторов в разрезе скважины, оценивать величину горизонтальных сдвиговых деформаций, а с учетом направления и интенсивности главных осей деформации размеров пор прогнозировать ориентацию трещин гидроразрыва вдоль выявленной микрослоистости по вектору с минимальным коэффициентом анизотропии коллектора.
Источники информации
1. Методические рекомендации по исследованию пород-коллекторов нефти и газа физическими и петрографическими методами. – М.: ВНИГНИ, 1978. – С.188.
2. Патент РФ № 2031398, кл. G 01 N 21/23, 1995 г., «Способ определения оптической анизотропии горных пород и руд».
   
Формула изобретения
1. Способ определения коэффициентов анизотропии и характеристик главных осей анизотропии порового пространства горных пород методом ядерного магнитного резонанса, основанный на явлении ограниченной самодиффузии молекул жидкости, характеризующийся тем, что проводят подготовку исследуемого образца горной породы, наносят на образец видимую метку для измерения угла поворота образца вокруг своей оси, насыщают образец протонсодержащей жидкостью, помещают его в датчик спектрометра, совмещают видимую метку образца с направлением вдоль выбранной оси лабораторной системы координат, далее производят вращение образца вокруг своей оси с равномерным угловым шагом на текущий угол поворота, пока величина указанного угла поворота между меткой и направлением вдоль выбранной оси лабораторной системы координат не достигнет 360°, при этом для каждого текущего угла поворота проводят измерение текущей угловой амплитуды сигнала спин-эхо от протонсодержащей жидкости в исследуемом образце до и после воздействия на образец фиксированной величиной импульсного градиента магнитного поля, значение которого после достижения угла поворота в 360° ступенчато изменяют в сторону увеличения или в сторону уменьшения, и вновь проводят по вышеприведенной схеме измерение текущей угловой амплитуды сигнала спин-эхо от протонсодержащей жидкости в исследуемом образце до и после воздействия на образец указанной измененной величиной импульсного градиента магнитного поля, далее по массиву измеренных при фиксированной величине импульсного градиента магнитного поля текущих угловых амплитуд сигнала спин-эхо определяются текущие коэффициенты диффузионного затухания, равные отношению текущих угловых амплитуд сигнала спин-эхо после и до воздействия на образец импульсного градиента магнитного поля, по которым рассчитывают средние текущие угловые диаметры пор образца и текущие угловые коэффициенты анизотропии пор образца для каждой фиксированной величины импульсного градиента магнитного поля, прилагаемого к образцу, далее в полярных координатах с учетом фиксированной величины импульсного градиента магнитного поля для каждой его ступени строят графическую зависимость в виде круговой диаграммы средней формы сечения анизотропных пор для каждой заданной группы пор образца, после чего в прямоугольной системе координат строят графики изменения текущего углового коэффициента анизотропии для каждой заданной группы пор образца, затем на базе указанных графиков в виде замкнутых двухмерных многоугольников строят эквивалентные по площади эллипсы анизотропии заданной группы пор образца, выделяют в них главную большую ось анизотропии и рассчитывают характеристики главных осей анизотропии для каждой заданной группы пор образца.
2. Способ по п.1, характеризующийся тем, что для каждой заданной группы пор образца рассчитывают модуль – длину главной оси эллипса анизотропии, или модули, отношение модулей, углы между модулями и углы ориентации главной оси анизотропии в лабораторной системе координат и в приведенной к образцу системе координат.
3. Способ по п.1, характеризующийся тем, что характеристики анизотропии пор горных пород определяют при любой ориентации образца, преимущественно параллельно или перпендикулярно напластованию.
РИСУНКИ
PD4A – Изменение наименования обладателя патента СССР или патента Российской Федерации на изобретение
(73) Новое наименование патентообладателя:
Общество с ограниченной ответственностью «Пермский научно-исследовательский и проектный институт нефти» (ООО «ПермНИПИнефть») (RU)
Адрес для переписки:
614066, г. Пермь, ул. Советской Армии, 29, ООО «ПермНИПИнефть»
Извещение опубликовано: 10.09.2010 БИ: 25/2010
|