|
(21), (22) Заявка: 2005124192/28, 29.07.2005
(24) Дата начала отсчета срока действия патента:
29.07.2005
(46) Опубликовано: 27.01.2007
(56) Список документов, цитированных в отчете о поиске:
SU 1030690 A, 23.07.1983. SU 1784751 A1, 30.12.1992. SU 1651100 A1, 23.05.1991. SU 1357745 A1, 07.12.1987.
Адрес для переписки:
428003, г.Чебоксары, ул. К. Маркса, 29, ФГОУ ВПО “Чувашская государственная сельскохозяйственная академия”
|
(72) Автор(ы):
Максимов Иван Иванович (RU), Васильев Сергей Анатольевич (RU), Максимов Владимир Иванович (RU)
(73) Патентообладатель(и):
Федеральное государственное образовательное учреждение высшего профессионального образования “Чувашская государственная сельскохозяйственная академия” (RU)
|
(54) СПОСОБ ОПРЕДЕЛЕНИЯ ГИДРАВЛИЧЕСКИХ ПОТЕРЬ НА ТРЕНИЕ
(57) Реферат:
Изобретение относится к сельскому хозяйству, в частности к способам для изучения стока талых и дождевых вод, возникающего на стокоформирующей поверхности. Сущность изобретения: моделируют процесс взаимодействия потока воды с шероховатой поверхностью путем замены рабочей части наклонного лотка прецизионно изготовленным образцом с гладкой поверхностью, измеряют высоту потока воды с помощью микрометра с мерной иглой во входной и выходной частях лотка, определяют расход воды, замеряют ширину лотка. Прецизионно изготовленный образец с гладкой поверхностью заменяют на рабочую часть, выполненную с шероховатой поверхностью, и измеряют высоту потока воды в выходной части лотка. Для оценки гидравлических потерь определяют безразмерный показатель. Технический результат изобретения заключается в упрощении способа. 4 ил., 1 табл.
Изобретение относится к сельскому хозяйству, в частности к способам для изучения стока талых и дождевых вод, возникающего на стокоформирующей поверхности (на склонах, в овражно-балочной сети, во временных руслах и т.д.), и может быть использовано в области гидрологии, гидротехники, гидромелиорации, в промышленно-гражданском и дорожном строительстве.
Известен способ определения гидравлических потерь на трение, включающий измерение глубины потока жидкости при помощи тастера [2, с.121], имеющего нониус с ценой деления 0,1 мм, и расхода жидкости с помощью водослива Томсона [2, с.123].
Оценку гидравлических потерь на трение производят по коэффициенту гидравлического сопротивления [2, с.125], который определяют с помощью формулы А. Дарси – Ю.Вейсбаха

где R – коэффициент гидравлического сопротивления; g – ускорение свободного падения; R – гидравлический радиус; i – уклон склона; V – скорость потока воды.
При проектировании гидротехнических сооружений обычно сталкиваются с квадратичной областью сопротивления, когда поток воды имеет достаточно большие скорости, где можно применить формулу Шези [4, с.174], используя для оценки гидравлических потерь на трение коэффициент Шези

где С – коэффициент Шези; V – скорость потока воды; R – гидравлический радиус; i – уклон склона.
Для вычисления выше приведенных коэффициентов С и R рекомендуется использовать коэффициент шероховатости n, предложенный швейцарскими инженерами Е.Гангилье и В.Куттером, определение которого возможно по таблице Гангилье-Куттера [4, с.175].
Недостатком известного способа является то, что при определении параметров потока жидкости (расхода, высоты потока) необходимо установление равномерного движения [2, с.145]; использование эмпирических и полуэмпирических формул для определения коэффициента гидравлического сопротивления R и коэффициента Шези С, применение которых ограничено пределами тех опытов, на которых они основаны [2, с.123]; использование коэффициента шероховатости n по таблице Гангилье-Куттера на основании чисто описательных (а не количественных) характеристик русла [4, с.175]; коэффициент гидравлического сопротивления R и коэффициент Шези С величины не постоянные и зависят от разных параметров потока и русла [1, с.33].
Цель изобретения – упрощение способа определения гидравлических потерь на трение.
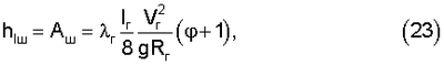
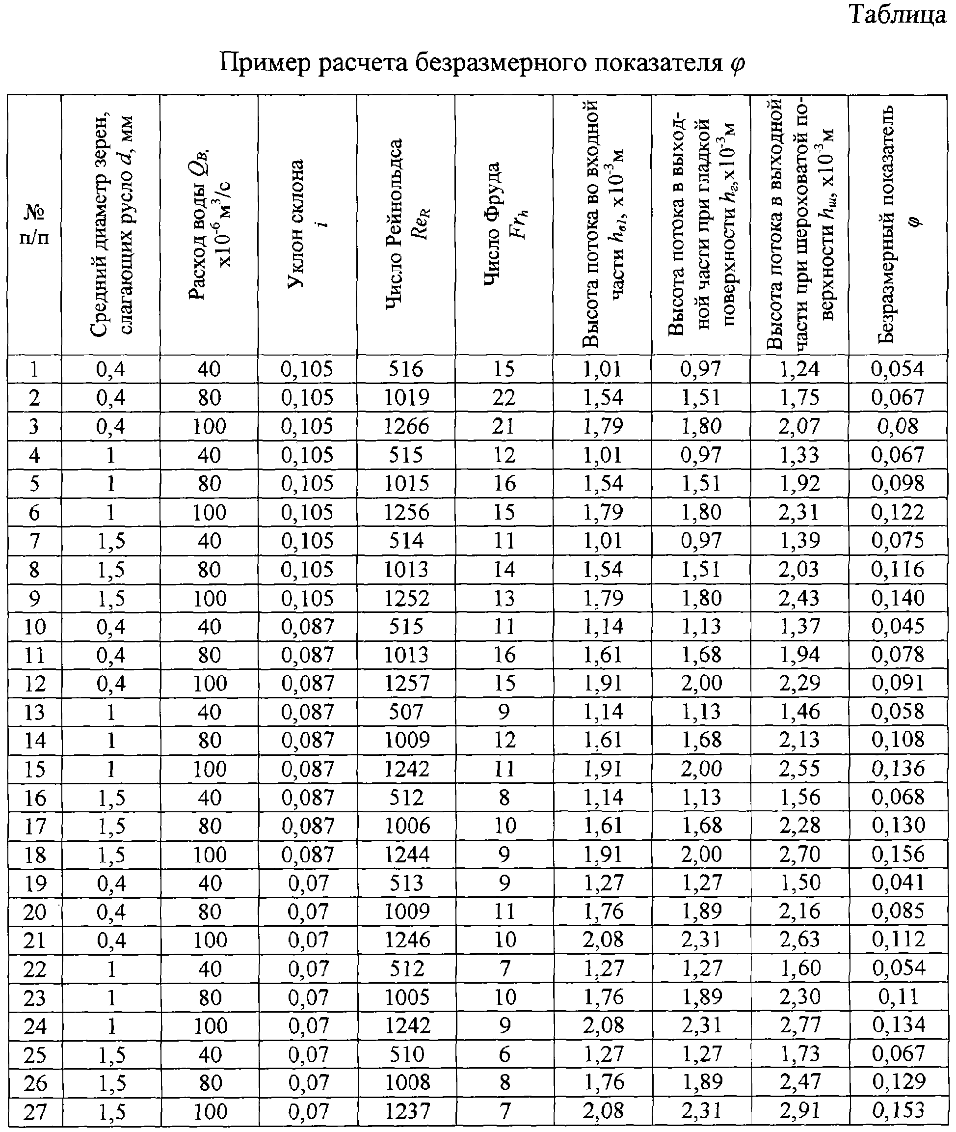
Поставленная цель достигается тем, что в способе определения гидравлических потерь на трение, включающем моделирование процесса взаимодействия потока воды с шероховатой поверхностью, для которого используют рабочую часть наклонного лотка, выполненную в виде прецизионно изготовленного образца с гладкой и шероховатой поверхностью, измеряют высоту потока воды с помощью микрометра с мерной иглой во входной и выходной частях лотка, определяют расход воды, замеряют ширину лотка, а безразмерный показатель , по которому производят оценку гидравлических потерь на трение, определяют по формуле

где QВ – расход воды, м3/с; hг – высота потока воды в выходной части лотка при взаимодействии с гладкой поверхностью, м; hш – высота потока воды в выходной части лотка при взаимодействии с шероховатой поверхностью трения, м; hв1 – высота потока воды во входной части лотка, м; В – ширина лотка, м; g – ускорение свободного падения, м/с2; z – вертикальная координата между центрами тяжести потока в сечениях потока во входной и выходной частях лотка, м.
Для обоснования формулы (1) рассмотрим течение воды в лотке с гладкой поверхностью трения (фиг.1) и с шероховатой поверхностью трения (фиг.2). Для одноразмерного потока уравнение сплошности может быть записано

где Ux – скорость воды в лотке по х.
Умножив уравнение (2) на dx и интегрируя, получим расход воды в лотке

где Qв – расход воды в лотке; – площадь живого сечения потока; V – средняя скорость в живом сечении.
Уравнение (3) показывает, что при установившемся течении воды в лотке, несмотря на изменение средних скоростей V и площадей живых сечений по длине потока, расход Qв в нем остается постоянным.
Изменение средней скорости К может быть определено из следующих предпосылок. Пусть в струйке площадью живого сечения d скорости по отдельным линиям тока одинаковы. Тогда по струйке в единицу времени протекает количество воды

В гидродинамике [4] под средней скоростью в живом сечении понимают такую скорость, с которой должны двигаться все частицы жидкости в потоке, чтобы пропустить через его живое сечение действительный расход. Поэтому для наглядности одновременно с действительным потоком рассматривают фиктивный поток, у которого все струйки в живом сечении обладают одинаковыми скоростями Ux. Для целого потока при Ux V уравнение (4) можно проинтегрировать

Отсюда выражение для определения средней скорости

Из уравнений (3) и (5) можно получить зависимость

показывающую, что средние скорости всегда обратно пропорциональны площадям соответствующих живых сечений. Поэтому

где В – ширина лотка; Vв, Vг – скорость течения воды соответственно на входной (сечение 1-1) и выходной (сечение 2-2) частях лотка; hв, hг – высота потока воды соответственно на входной (сечение 1-1) и выходной (сечение 2-2) частях лотка.
Масса воды, протекающей через лоток за время t:

где в – плотность воды.
Изменение кинетической энергии воды в сечениях 1-1 и 2-2:

Выражение (10) с учетом (8) и (9) после некоторых преобразований перепишется

Изменение полной энергии в сечениях 1-1 и 2-2

где z – вертикальная координата между центрами тяжести потока в сечениях 1-1 и 2-2.
Рассмотрим течение воды в лотке с шероховатой поверхностью трения (фиг.2).
Изменение энергии воды в лотке соответственно в сечениях 1-1 и 2-2

где Vв1, Vш – скорость течения воды соответственно на входной (сечение 1-1) и выходной (сечение 2-2) частях лотка.
Поскольку здесь рассматриваем взаимодействие водного потока с недеформируемой поверхностью трения, то имеется основание полагать, что

где mш, mв1 – масса воды, протекающей через лоток за время t.
Так как для рассматриваемого случая

то выражение (13) после некоторых преобразований примет вид

Изменение полной энергии в сечениях 1-1 и 2-2

где z – вертикальная координата между центрами тяжести потока в сечениях 1-1 и 2-2.
Разделив выражения (12) и (17) на силу тяжести протекающей воды mшg=mгg= вQвtg, получим формулы для определения изменения удельных энергий потоков:


где Аг – изменение удельной энергии потока жидкости при взаимодействии с гладкой поверхностью, м; Аш – изменение удельной энергии потока жидкости при взаимодействии с шероховатой поверхностью трения, м.
Экспериментальные исследования показали, что hв hв1, z z при одних и тех же значениях Qв.
Введем безразмерный показатель :

Подставив выражения (18) и (19) в (20) с учетом hв hв1 и z z , получим формулу (1)

Оценка гидравлических потерь на трение исходя из конкретных значений безразмерного показателя может быть осуществлена следующим образом. Из выражения (20) или (1) искомая величина Аш равна

а величина потерь напора по длине на гладкой поверхности трения определяется по формуле [4, с.159]

где г – коэффициент гидравлического сопротивления на гладкой поверхности трения; lг – длина гладкой поверхности трения, м; Vг – скорость потока по гладкой поверхности трения, м/с; Rг – гидравлический радиус, м. В формуле (22) изменение удельной энергии потока жидкости Аг имеет размерность, выраженную в единицах длины, и равно по величине потерям напора по длине hlг.
Тогда выражение (21) с учетом (22) примет вид

где hlш – потери напора по длине на шероховатой поверхности трения, м.
В этом случае, чтобы определить потери напора по длине на шероховатой поверхности трения hlш=Aш, достаточно знать для гидравлически гладких поверхностей трения табличные данные величины г [4, с.163] и заданные значения величин lг, Vг, Rг hг и безразмерный показатель .
На фиг.3 показано устройство для реализации предложенного способа [3]; на фиг.4 – разрез А-А на фиг.3.
Устройство состоит из наклонного лотка 1 закрепленного на основании 2 (фиг.3), где лоток составлен из трех отдельных составных частей, состоящих из входной и выходной 3, выполненных с гидравлически гладкой поверхностью (например, зеркальное стекло), и рабочей 4, выполненной с исследуемой шероховатой поверхностью, прецизионно устанавливаемой между входной и выходной частями с помощью микрометрических винтов 5, размещенных в основании 2, микрометров 6 с мерными иглами 7, установленных во входной и выходной частях лотка вдоль его продольной оси на боковых стенках (фиг.4), уголков 8, размещенных с боков основания по всей длине, обеспечивающих прямолинейность лотка 1. Устройство снабжено системой питания 9 постоянного напора, успокоителем 10 и зажимом Гофмана 11.
Способ реализуется следующим образом. Предварительно перед началом опытов взамен рабочей части 4 в лоток 1 устанавливается прецизионно изготовленный образец с гидравлически гладкой поверхностью (например, зеркальное стекло), который по линиям стыка гидроизолируется (условно не показано). Затем с помощью системы питания постоянного напора устанавливается заданный расход воды QВ. Открывается зажим Гофмана 11 и при помощи микрометров 6 с мерной иглой 7 замеряется высота потока воды во входной hв1 и выходной hг частях лотка 1. Полученные результаты заносятся в журнал наблюдений.
Затем взамен зеркального стекла в лоток 1 устанавливается рабочая часть 4 с шероховатой поверхностью. Места стыка рабочей части 4 и лотка 1 гидроизолируются. Открывается зажим Гофмана 11 и при помощи микрометров 6 с мерной иглой 7, по вышеописанной методике, замеряется высота потока воды hв во входной части лотка (в результате исследований было установлено, что для одних и тех же заданных расходов высота потока hв hв1, поэтому hв не замеряется) и высота потока воды hш в выходной части лотка. Полученные данные QВ, hв hв1, hг, hш подставляются в выражение

где QВ – расход воды, м3/с; hг – высота потока воды в выходной части лотка при взаимодействии с гладкой поверхностью, м; hш – высота потока воды в выходной части лотка при взаимодействии с шероховатой поверхностью трения, м; hв1 – высота потока воды во входной части лотка, м; В – ширина лотка, м; g – ускорение свободного падения, м/с2; z – вертикальная координата между центрами тяжести потока в сечениях потока во входной и выходной частях лотка, м.
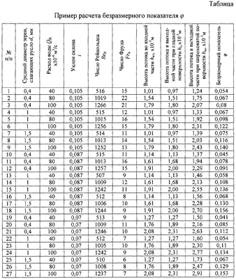
Пример реализации способа приведен в таблице. Фракции частиц определенного среднего диаметра d получены с помощью ситового анализа песка древнеаллювиальных отложений.
Источники информации
1. Гришанин К.В. Гидравлическое сопротивление естественных русел/ К.В.Гришанин. – СПб.: Гидрометеоиздат, 1992. – 180 с.
2. Зегжда А.П. Гидравлические потери на трение в каналах и трубопроводах/ А.П.Зегжда. – Л.-М.: Госстройиздат, 1957. – 278 с.
3. Патент РФ № 2021647, кл. А 01 В 13/16, 1994.
4. Чугаев P.P. Гидравлика: Учебник для вузов/ Р.Р.Чугаев. – СПб.: Энергоиздат, 1982. – 672 с.

Формула изобретения
1. Способ определения гидравлических потерь на трение, включающий моделирование процесса взаимодействия потока воды с шероховатой поверхностью, измерение высоты потока жидкости, отличающийся тем, что при проведении опытов с гладкой и шероховатой поверхностями с использованием наклонного лотка измеряют высоту потока воды с помощью микрометра с мерной иглой во входной и выходной частях лотка, определяют расход воды, замеряют ширину лотка, а безразмерный показатель , по которому производят оценку гидравлических потерь на трение, определяют по формуле

где Qв – расход воды, м3/с; hг – высота потока воды в выходной части лотка при взаимодействии с гладкой поверхностью, м; hш – высота потока воды в выходной части лотка при взаимодействии с шероховатой поверхностью трения, м; hв1 – высота потока воды во входной части лотка, м; В – ширина лотка, м; g – ускорение свободного падения, м/с2; z – вертикальная координата между центрами тяжести потока в сечениях потока во входной и выходной частях лотка, м.
РИСУНКИ
MM4A – Досрочное прекращение действия патента СССР или патента Российской Федерации на изобретение из-за неуплаты в установленный срок пошлины за поддержание патента в силе
Дата прекращения действия патента: 30.07.2008
Извещение опубликовано: 10.07.2010 БИ: 19/2010
|