|
(21), (22) Заявка: 2005123942/28, 27.07.2005
(24) Дата начала отсчета срока действия патента:
27.07.2005
(46) Опубликовано: 27.01.2007
(56) Список документов, цитированных в отчете о поиске:
SU 1136021 А, 23.01.1985. RU 2217721 C1, 27.11.2003. SU 1700409 А1, 23.12.1991. GB 2164453 А, 19.03.1986. GB 2132364 А, 04.07.1984. US 4754638 А, 05.07.1988. ЕР 0556542 А, 25.08.1993.
Адрес для переписки:
198095, Санкт-Петербург, ул. Промышленная, 7, ФГУП “ЦНИИТС”
|
(72) Автор(ы):
Воронин Александр Иванович (RU), Горбач Владимир Дмитриевич (RU), Кузавков Владислав Михайлович (RU), Штайц Валентин Валерьевич (RU)
(73) Патентообладатель(и):
Федеральное государственное унитарное предприятие “Центральный научно-исследовательский институт технологии судостроения” (ФГУП “ЦНИИТС”) (RU)
|
(54) СПОСОБ ОПРЕДЕЛЕНИЯ ОБЪЕМА И/ИЛИ СТЕПЕНИ ГЕРМЕТИЧНОСТИ ЗАМКНУТОЙ ОБОЛОЧКИ
(57) Реферат:
Изобретение может быть использовано в судостроении, атомной энергетике, машиностроении и других отраслях промышленности, где проводятся испытания на герметичность. Техническим результатом изобретения является снижение продолжительности измерений при их высокой точности. Этот результат обеспечивается за счет того, что в оболочке изделия монтируют планку с двумя калиброванными отверстиями, имеющими разные диаметры, оболочку заполняют сжатым воздухом и поочередно для каждого калиброванного отверстия определяют величину падения давления за одинаковый промежуток времени при одинаковых начальных условиях испытаний. Далее определяют величину объема оболочки и/или степень ее герметичности по математическим формулам, приведенным в формуле и в описании изобретения. 1 ил.
Изобретение относится к способам испытаний изделий на герметичность и может быть использовано в судостроении, атомной энергетике, машиностроении и других отраслях промышленности.
Известен способ определения объема и/или степени герметичности [1], заключающийся в том, что в оболочке изделия монтируют две технологические калиброванные течи, имеющие разный расход, и поочередно для каждой течи при одинаковом начальном избыточном давлении определяют, исходя из полученных экспериментальных данных, натекание и время падения на заранее заданную величину Р избыточного давления, выбираемую из величины объема оболочки, величины натекания тарированных течей и расчета погрешности определения степени герметичности. Далее по формулам определяют величину натекания через микронеплотности оболочки, а затем определяют величину свободного воздушного объема оболочки и/или степень герметичности оболочки расчетным путем.
В качестве прототипа выбран известный способ определения объема судовой емкости [2], согласно которому в судовой емкости создают избыточное начальное давление, измеряют падение давления в заданный интервал времени, затем в емкости выполняют калиброванное отверстие, повторно создают начальное избыточное давление и вновь измеряют падение давления за тот же интервал времени. После этого вычисляют объем судовой емкости по формуле

где V – объем судовой емкости;
С – коэффициент истечения;
fк – площадь калиброванного отверстия;
Рнк – падение давления при первом измерении;
Рн – падение давления при повторном измерении;
t – заданный интервал времени при падении давления.
Недостатком данного способа является то, что для конструкций с высокой степенью герметичности, например для защитных оболочек атомных паропроизводящих установок, время первого измерения достаточно велико и может составлять несколько суток.
Задачей настоящего изобретения является получение более быстрого способа определения объема и/или степени герметичности высокогерметичных замкнутых оболочек.
Техническим результатом настоящего изобретения, позволяющим решить настоящую задачу, является снижение продолжительности измерений при одинаковой точности по сравнению со способом-прототипом.
Технический результат достигается за счет того, что в оболочку устанавливают первое технологическое калиброванное отверстие, задают продолжительность испытаний на основе метрологического расчета, заполняют оболочку сжатым воздухом и замеряют величину падения давления в оболочке через указанное отверстие, после чего заглушают первое калиброванное отверстие, устанавливают в оболочку второе калиброванное отверстие другого размера, вторично заполняют оболочку сжатым воздухом и замеряют величину падения давления через второе калиброванное отверстие за то же время. Далее по формулам определяют объем и/или степень герметичности замкнутой оболочки.
На чертеже представлена схема устройства, реализующего заявленный способ.
На чертеже приведены следующие обозначения:
KO1, KO2 – калиброванные отверстия 1 и 2 с заглушками;
DPI – прибор для измерения давления (калибратор);
К – компрессор;
D – условное обозначение всех микронеплотностей оболочки.
Измерения начинают с демонтажа заглушки отверстия KO1, о величине падения давления судят по калибратору DPI, после падения начального избыточного давления на величину Р1и в течение времени t закрывают заглушку отверстия KО1 и производят аналогичное измерение за тот же промежуток времени для второго калиброванного отверстия.
Падение давления при первом измерении P1и составит, согласно [3]

где fk1 – площадь калиброванного отверстия KO1;
f – суммарная площадь всех дефектов.
Согласно [3], коэффициент С определяют по формуле

В качестве В и Е в формуле (3) обозначены следующие выражения

 
где m – показатель политропы;
k – величина отношения теплоемкости газа при постоянном давлении к теплоемкости при постоянном объеме;
Pa – атмосферное давление;
Рисп – среднее давление при испытаниях;
g – ускорение свободного падения;
R – универсальная газовая постоянная;
Т – температура газа.
Выразив f из (2), получают

Падение давления при втором измерении Р2и составит

где fk2 – площадь калиброванного отверстия КО2.
Подставив значение f из (6) в (7), после преобразования получают расчетную формулу определения объема оболочки

Подставив значение V из (8) в (2) и проведя преобразования, получают формулу для расчета степени герметичности по критерию f/V

Формулы (8) и (9) являются расчетными при реализации предлагаемого способа.
Полученное значение критерия герметичности сравнивают с допускаемым из ТУ испытания оболочки.
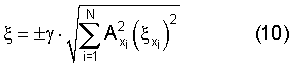
При необходимости, для проверки полученных результатов, требуется оценить величину погрешности измерений. Погрешность каждой расчетной многопараметрической величины определяют, согласно [4], по формуле

где – коэффициент гарантированной надежности измерения (например, при значении вероятности 0,95 =1.1);
– погрешность измерения параметра испытаний i;
– коэффициенты влияния, которые в свою очередь определяются как частные производные функции по соответствующему параметру

где f(x1,…, xi) – многопараметрическая функция;
x1,…, хi – контролируемые параметры, для которых известны погрешности прямых измерений.
Расчетная величина считается достоверной, если погрешность ее определения не превышает 30% от самой величины.
Пример расчетов.
При проведении измерений были получены следующие значения параметров:
диаметр первого калиброванного отверстия d1=5·10-3 мм;
диаметр второго калиброванного отверстия d2=1·10-2 мм;
погрешность измерения диаметра отверстия d=1·10-4м;
продолжительность испытаний t=10800 с (3 ч);
погрешность измерения продолжительности испытаний t=60 с;
падение давления в первом измерении P1 =-10000 Па;
падение давления во втором измерении Р2=-20000 Па;
(знак минус объясняется тем, что в расчетных формулах под Р понимается приращение давления, в данном случае оно отрицательно);
погрешность измерения падения давления  P=50 Па;
абсолютное давление испытаний Рисп=150000 Па;
погрешность измерения падения испытаний Рисп=50 Па;
атмосферное давление Рa=100000 Па;
погрешность измерения атмосферного давления Pa=133 Па;
температура воздуха Т=293К;
погрешность измерения температуры воздуха T=0.2К.
При проведении расчетов приняты следующие значения коэффициентов:
коэффициент расхода =0.7;
ускорение свободного падения g=9.81 м/с2;
показатель политропы m=1.2;
коэффициент адиабаты k=1.4;
газовая постоянная для воздуха R=287 Дж/моль·К.
Определим площади калиброванных отверстий fk1 и fk2


где 1000000 – коэффициент перевода размерности из мм2 в м2.
Погрешность определения площади калиброванного отверстия находят в соответствии с (10) по формуле

где по (11)

Подставив значения величин в(14)и(15), получают

Условия достоверности определения площадей калиброванных отверстий выполняются.
Для вычисления значения коэффициента С находят значения выражений В и Е. После подстановки числовых значений в (4), получают В=3.59·10-7.
В соответствии с (10) погрешность определения коэффициента В равна

где коэффициенты влияния определяют по формулам

После подстановки значений в выражения, получают значение B=3.99·10-1.
После подстановки числовых значений в (5), получают Е=0.037.
Погрешность определения коэффициента Е находят по формуле

где коэффициенты влияния определяют по формулам

Произведя расчет по полученным формулам, находят значение E=6.66·10-5.
После расчета по формуле (3), получают значение коэффициента истечения С
С=-1.33·10-8.
Определяют величину погрешности коэффициента С

где коэффициенты влияния определяют по формулам
АB=-Е, АE=-В.
Окончательно C=3.094·10-11.
Находят объем оболочки

Находят погрешность определения объема
v=1.1((At· t)2+(Ac· c)2+(Afk1· fk1)2+(Afk2· fk2)2+(A P1· P1)2+(A P2· P2)2)0.5,
где коэффициенты влияния определяют по формулам

Окончательно V=178.8 м3, , условие достоверности выполняется.
Далее находят степень герметичности оболочки

Погрешность определения степени герметичности находят по формуле

где коэффициенты влияния определяют по формулам

Окончательно , условие достоверности выполняется.
Таким образом, объем оболочки равен V=4770±179 м3, степень герметичности 
Источники информации
1. Патент №2217721 «Способ определения объема и/или степени герметичности оболочек большого объема».
2. Авторское свидетельство СССР №1136021, кл. G 01 F 17/00, 1983.
3. Паллер А.М., Соколов В.Ф. Непроницаемость и герметичность металлических судов. Л.: Судостроение. 1967 г., с.239.
4. Рабинович С.Г. «Погрешность измерений». Л., Энергия, 1978 г., 262 с.
Формула изобретения
Способ определения объема и/или степени герметичности замкнутой оболочки, при котором в оболочку устанавливают технологическое калиброванное отверстие, задают время испытаний, заполняют оболочку сжатым воздухом и замеряют величину падения давления в оболочке через указанное отверстие, отличающийся тем, что после падения давления калиброванное отверстие заглушают и устанавливают в оболочку второе калиброванное отверстие другого размера, вторично заполняют оболочку сжатым воздухом и замеряют величину падения давления через второе калиброванное отверстие за то же время, после чего определяют объем оболочки по формуле

и/или степень герметичности по формуле

где V – объем оболочки; P1И – падение давления при первом измерении; Р2И – падение давления при втором измерении; t – продолжительность измерений; С – коэффициент истечения; fk1 – площадь первого калиброванного отверстия; fk2 – площадь второго калиброванного отверстия; f/V – критерий герметичности.
РИСУНКИ
Прежний патентообладатель:
Федеральное государственное унитарное предприятие “Центральный научно-исследовательский институт технологии судостроения”
(73) Патентообладатель:
Открытое акционерное общество “Центр технологии судостроения и судоремонта”
Договор № РП0000841 зарегистрирован 17.06.2010
Извещение опубликовано: 27.07.2010 БИ: 21/2010
|