|
|
(21), (22) Заявка: 2005111032/28, 14.04.2005
(24) Дата начала отсчета срока действия патента:
14.04.2005
(46) Опубликовано: 27.01.2007
(56) Список документов, цитированных в отчете о поиске:
SU 1012037 А, 15.04.1983. SU 1239522 A1, 23.06.1986. SU 1374060 A1, 15.02.1988. US 4321464 A, 23.03.1982. JP 3120404 A, 22.05.1991. JP 2001108519 A, 20.04.2001.
Адрес для переписки:
659305, Алтайский край, г. Бийск, ул. Трофимова, 27, БТИ АлтГТУ
|
(72) Автор(ы):
Леонов Геннадий Валентинович (RU), Хмелев Владимир Николаевич (RU), Савин Игорь Игоревич (RU), Абраменко Денис Сергеевич (RU)
(73) Патентообладатель(и):
Государственное образовательное учреждение высшего профессионального образования “Алтайский государственный технический университет им. И.И. Ползунова” (АлтГТУ) (RU)
|
(54) СПОСОБ ИЗМЕРЕНИЯ АМПЛИТУДЫ КОЛЕБАНИЙ
(57) Реферат:
Изобретение относится к области измерительной техники, а именно к виброметрии. Способ измерения амплитуды колебаний тела заключается в том, что колеблющееся тело освещают световым потоком, формируемым двумя импульсными источниками излучения с различной длиной волн, таким образом, что колеблющееся тело перекрывает часть светового потока, при этом синхронизируют момент излучения первого импульсного источника излучения с максимальным отклонением кромки колеблющегося тела в одну сторону, момент излучения второго импульсного источника излучения – с противоположным максимальным отклонением кромки колеблющегося тела, световой поток пропускают через ограничительную диафрагму. Неперекрытую часть светового потока разделяют на два равных. Каждый световой поток падает на отдельный преобразователь “освещенность-напряжение”. Амплитуду колебаний определяют по разности напряжений регистрируемых электрических сигналов. Технический результат заключается в повышении эффективности способа измерений за счет увеличения быстродействия и точности измерения. 4 ил.
Изобретение относится к области измерительной техники, а именно к виброметрии, и может быть использовано для измерения амплитуды периодических механических колебаний поверхностей твердых тел в диапазоне звуковых и ультразвуковых частот, в частности для измерения амплитуды колебаний ультразвуковых колебательных систем, используемых в составе аппаратов, предназначенных для интенсификации технологических процессов.
Известны различные методы измерения амплитуды колебаний различных тел в области звуковых и ультразвуковых частот [1], широко используемые для решения частных метрологических задач. Общим недостатком большинства известных методов является сложность или невозможность получения абсолютных значений измеряемой величины, без осуществления предварительной калибровки под конкретную измерительную ситуацию.
Наиболее близким по технической сущности, к предлагаемому техническому решению, является способ измерения амплитуды колебаний, описанный в работе [2, прототип]. Способ представляет собой вариант известного стробоскопического метода измерения амплитуды колебаний, позволяющего получать абсолютные значения измеряемой величины в широком диапазоне частот колебаний для различных типов поверхностей, без осуществления предварительной калибровки средства измерений под конкретную измерительную ситуацию.
Суть способа, принятого за прототип, по [2] заключается в следующем. Тело, совершающее периодические колебания, размещается между микроскопом и импульсными источниками излучения, отличающимися длинами волн излучения (цветом). Источники излучения создают световые потоки, синхронизированные с максимальными колебательными смещениями кромки колеблющегося тела. Результатом регистрации являются два быстроменяющихся теневых изображения, сдвинутых относительно друг друга на расстояние, равное удвоенной амплитуде колебаний. Микроскоп обеспечивает оптическое увеличение полученного изображения. Фотографическое устройство, закрепленное на окуляре микроскопа, регистрирует изображение и преобразует его в цифровой образ, который обрабатывается ЭВМ. Расчет значений измеряемой величины осуществляется ЭВМ на основании полученного цифрового образа изображения.
Способу, принятому за прототип, присущи следующие недостатки:
1. Высокая погрешность измерений, обусловленная ограниченной разрешающей способностью регистрирующих устройств, обеспечивающих преобразование изображения в цифровой образ.
2. Недостаточное быстродействие процесса измерения амплитуды колебаний, обусловленное ограниченным быстродействием регистрирующего устройства и низкой пропускной способностью протокола передачи информации между регистрирующим устройством и ЭВМ.
3. Попытки увеличения разрешающей способности и быстродействия регистрирующего устройства обуславливают возрастание требований к вычислительной способности, используемой для обработки результатов ЭВМ, что приводит к увеличению стоимости практической реализации способа и делает его экономически необоснованным.
Таким образом, способ, принятый за прототип, характеризуется высокой погрешностью измерений, низким быстродействием, что не позволяет использовать его при решении ряда исследовательских и производственных задач.
Суть предлагаемого технического решения заключается в том, что колеблющееся тело освещают световым потоком, формируемым двумя импульсными источниками излучения с различной длиной волн, таким образом, что колеблющееся тело перекрывает часть светового потока, при этом направление регистрируемых колебаний тела перпендикулярно оптическим осям импульсных источников излучения. Синхронизируют момент излучения первого импульсного источника излучения с максимальным отклонением кромки колеблющегося тела в одну сторону, а момент излучения второго импульсного источника излучения – с противоположным максимальным отклонением кромки колеблющегося тела. Перекрываемый колеблющимся телом световой поток пропускают через ограничительную диафрагму с отверстием прямоугольной формы, которую располагают таким образом, чтобы направление колебаний тела совпадало с одной из граней ее отверстия. Неперекрытую часть светового потока разделяют на два равных световых потока, при этом один из них проходит через светофильтр, пропускающий только излучение, имеющее длину волны излучения первого импульсного источника излучения, а второй проходит через другой светофильтр, пропускающий только излучение, имеющее длину волны излучения второго импульсного источника излучения. После чего каждый световой поток падает на отдельный преобразователь «освещенность-напряжение», причем указанные преобразователи имеют равную чувствительность, но первый – к излучению с длиной волны излучения первого импульсного источника излучения, а второй – к излучению с длиной волны излучения второго импульсного источника излучения. Амплитуду колебаний определяют по разности напряжений регистрируемых электрических сигналов.
Технический результат изобретения заключается в следующем: повышение точности измерения; увеличение быстродействия; уменьшение стоимости реализации способа.
Указанный технический результат достигается за счет применения в заявленном способе ограничительной диафрагмы с отверстием прямоугольной формы. Указанная диафрагма располагается таким образом, чтобы направление колебаний тела совпадало с одной из его граней. Также для достижения указанного технического результата в заявленном способе световой поток, прошедший через диафрагму, делят на два равных потока. Далее каждый световой поток падает через светофильтры на два преобразователя «освещенность-напряжение», которые имеют равную чувствительность, но только первый преобразователь чувствителен к длине волны излучения первого источника излучения, а второй преобразователь – ко второму источнику излучения. При этом один светофильтр пропускает только излучение, имеющее длину волны, соответствующую испускаемому первым импульсным источником света, а второй светофильтр пропускает излучение, имеющее длину волны, соответствующую испускаемому вторым импульсным источником света.
Сущность предлагаемого технического решения поясняет фиг.1, на которой схематично представлены процессы преобразования световых потоков, испускаемых первым (а) и вторым (б) импульсными источниками излучения, происходящие при измерении амплитуды и обработке результатов.
Пусть импульсные источники излучения 1 излучают равные световые потоки Ф0, отличающиеся длинами волн излучения. Колеблющееся тело 2 закрывает часть светового потока, причем, поскольку моменты излучения световых импульсов синхронизованы с противоположными максимальными колебательными смещениями кромки колеблющегося тела от положения равновесия, площади неперекрытых областей световых потоков будут различны.
Световые потоки ограничиваются, проходя через диафрагму 3 с отверстием прямоугольной формы, в результате чего формируются прямоугольные световые потоки равные, соответственно, Ф1 и Ф2, площадью, соответственно, S1 и S2. Ограничительную диафрагму располагают таким образом, чтобы направление колебаний тела совпадало с одной из граней ее отверстия. В этом случае площадь светового потока будет определяться как произведение высоты диафрагмы h на ширину не перекрытой зоны.

 |
(1) |
| где L |
– ширина отверстия диафрагмы; |
| h |
– высота диафрагмы; |
| L1 |
– ширина неперекрытой части первого светового потока; |
| L2 |
– ширина неперекрытой части второго светового потока. |
Проходя через ограничительную диафрагму 3, неперекрытые части световых потоков падают на призму 4, которая разделяет их на два равных. Один световой поток проходит через светофильтр 5, пропускающий только излучение, имеющее длину волны излучения первого импульсного источника излучения, а второй поток проходит через другой светофильтр 6, пропускающий только излучение, имеющее длину волны излучения второго импульсного источника излучения. После этого световой поток падает на отдельный преобразователь «освещенность-напряжение» 7, 8, причем указанные преобразователи имеют равную чувствительность, но первый – к излучению с длиной волны излучения первого импульсного источника излучения, а второй – к излучению с длиной волны излучения второго импульсного источника излучения
На фиг.2а и фиг.2б представлены изображения поперечного сечения световых потоков, прошедших соответственно через первый и второй светофильтр.
Выходной сигнал (напряжение) преобразователя «освещенность-напряжение» пропорционален освещенности его поверхности:

При использовании преобразователя «освещенность-напряжение» в его линейной области выражение (2) можно переписать как:

где k – тангенс угла наклона прямой к оси абсцисс;
Sпр – площадь фоточувствительного элемента преобразователя;
U0 – напряжение на выходе преобразователя при отсутствии падающего на него светового потока.
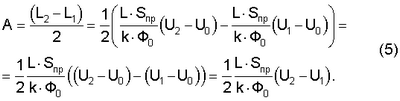
Как видно из фиг.2, амплитуду колебаний можно определить как уменьшенную вдвое разность L2 и L1. Выразим из (3) L2 и L1:

Соответственно, амплитуда будет равна:

Поскольку в правой части уравнения (5) переменными являются только U1 и U2, то его можно переписать в виде:

Коэффициент пропорциональности К необходимо определить в процессе калибровки.
Площадь светового потока, (фиг.3) ограниченная двумя максимальными смещениями кромки колеблющегося тела, будет равна произведению высоты светового потока h на его ширину L, вне зависимости от формы кромки колеблющегося тела, при соблюдении следующих условий:
1. Отверстие диафрагмы имеет прямоугольную форму.
2. Перемещение кромки колеблющегося тела происходит поступательно в направлении, совпадающем с одной из граней отверстия диафрагмы.
Предложенный способ был реализован в практической конструкции, фотографическое изображение которой представлено на фиг.4. Созданное устройство применялось для измерения амплитуды колебаний излучающей поверхности ультразвуковой колебательной системы 5. В качестве импульсных источников излучения 4 был использован двухцветный (красно-зеленый) светоизлучающий диод повышенной яркости свечения. Управление моментами испускания импульсов осуществлялось «электронным блоком» 6. Для оптического увеличения изображения, а также разделения световых потоков использовался микроскоп 3 модели МБС-10, имеющий два окуляра, на одном из которых закреплялся светофильтр, пропускающий только излучение, имеющее длину волны излучения первого импульсного источника излучения, и фотодиод 1, на втором окуляре закреплялся светофильтр, пропускающий только излучение, имеющее длину волны излучения второго импульсного источника излучения, и фотодиод 2. Для определения разности напряжений был использован «измеритель параметров» 7. «Электронный блок» и «измеритель параметров» были ранее разработаны в лаборатории акустических процессов и аппаратов Бийского технологического института Алтайского государственного технического университета.
Опытная эксплуатация позволила подтвердить снижение погрешности измерения на 3% и увеличение быстродействия в 12 раз.
Таким образом, предложенный способ обеспечит увеличение быстродействия и повышение точности измерения, а так же уменьшение стоимости реализации способа.
Разработанный в лаборатории акустических процессов и аппаратов Бийского технологического института Алтайского государственного технического университета способ измерения амплитуды колебаний прошел лабораторные и технические испытания и был практически реализован в действующем устройстве. Мелкосерийное производство устройств, реализующих предложенный способ, планируется начать в 2006 году.
Литература
1. Макаров Л.О. Акустические измерения в процессах ультразвуковой технологии, – М., Машиностроение, 1983.
2. Хмелев В.Н., Абраменко Д.С., Савин И.И. “Способ измерения амплитуды колебаний излучающей поверхности ультразвуковой колебательной системы”. Измерения, автоматизация и моделирование в промышленности и научных исследованиях: Межвузовский сборник. / Под редакцией Г.В.Леонова, АлтГТУ, БТИ, 2004.
Формула изобретения
Способ измерения амплитуды колебаний тела, при котором колеблющееся тело освещают световым потоком, формируемым двумя импульсными источниками излучения с различной длиной волн, таким образом, что колеблющееся тело перекрывает часть светового потока, при этом направление регистрируемых колебаний тела перпендикулярно оптическим осям импульсных источников излучения, синхронизируют момент излучения первого импульсного источника излучения с максимальным отклонением кромки колеблющегося тела в одну сторону, а момент излучения второго импульсного источника излучения – с противоположным максимальным отклонением кромки колеблющегося тела, отличающийся тем, что перекрываемый колеблющимся телом световой поток пропускают через ограничительную диафрагму с отверстием прямоугольной формы, которую располагают таким образом, чтобы направление колебаний тела совпадало с одной из граней ее отверстия, неперекрытую часть светового потока разделяют на два равных световых потока, при этом один из них проходит через светофильтр, пропускающий только излучение, имеющее длину волны излучения первого импульсного источника излучения, а второй проходит через другой светофильтр, пропускающий только излучение, имеющее длину волны излучения второго импульсного источника излучения, после чего каждый световой поток падает на отдельный преобразователь освещенность-напряжение, причем указанные преобразователи имеют равную чувствительность, но первый – к излучению с длиной волны излучения первого импульсного источника излучения, а второй – к излучению с длиной волны излучения второго импульсного источника излучения, при этом амплитуду колебаний определяют по разности напряжений регистрируемых электрических сигналов.
РИСУНКИ
|
|