|
| На основании пункта 3 статьи 13 Патентного закона Российской Федерации от 23 сентября 1992 г. № 3517-I патентообладатель обязуется передать исключительное право на изобретение (уступить патент) на условиях, соответствующих установившейся практике, лицу, первому изъявившему такое желание и уведомившему об этом патентообладателя и федеральный орган исполнительной власти по интеллектуальной собственности, – гражданину РФ или российскому юридическому лицу. |
|
(21), (22) Заявка: 2004113169/02, 28.04.2004
(24) Дата начала отсчета срока действия патента:
28.04.2004
(43) Дата публикации заявки: 27.10.2005
(46) Опубликовано: 27.01.2007
(56) Список документов, цитированных в отчете о поиске:
МЕРКУЛОВ В И., ЛЕПИН В.Н. Авиационные системы радиоуправления. М.: Радио и связь, 1997, с.201. RU 2114372 C1, 27.06.1998. RU 2107879 C1, 27.03.1998. FR 2472167 A1, 26.06.1981. FR 2474682 A1, 31.07.1981.
Адрес для переписки:
355003, г.Ставрополь, ул. Ленина, 320, ФВВИА, НИО, В.В. Ефанову
|
(72) Автор(ы):
Ефанов Василий Васильевич (RU), Мужичек Сергей Михайлович (RU)
(73) Патентообладатель(и):
Ефанов Василий Васильевич (RU), Мужичек Сергей Михайлович (RU)
|
(54) СПОСОБ ФУНКЦИОНИРОВАНИЯ ИНФОРМАЦИОННО-ВЫЧИСЛИТЕЛЬНОЙ СИСТЕМЫ РАКЕТЫ И УСТРОЙСТВО ДЛЯ ЕГО ОСУЩЕСТВЛЕНИЯ
(57) Реферат:
Изобретение относится к военной технике и предназначено для наведения ракеты на воздушную цель и информационного обеспечения функционирования боевого снаряжения ракеты. Технический результат – повышение эффективности боевого применения ракеты за счет использования дополнительной информации о воздушной цели и параметрах ее движения. Сущность изобретения заключается в том, что определяют на основе исходной информации об уголовном положении и дальности до цели в непосредственной близости от цели скорость сближения ракеты, промах ракеты, геометрические размеры цели. Определяют также ракурс цели и формируют команду на подрыв боевой части ракеты с учетом данной информации и начальной скорости разлета осколков боевой части ракеты посредством устройства, имеющего в своем составе первый ключ и вычислитель формирования команды на подрыв боевой части ракеты, первый, второй входы которого соединены соответственно с первым и вторым выходами модуля обработки информации, третий вход – с выходом приемника отраженного сигнала. Четвертый вход вычислителя соединен со вторым выходом системы автономных датчиков, первый выход соединен со вторым входом первого ключа, первый вход которого соединен со вторым выходом канала управления антенной. Выход первого ключа соединен с первым входом усилителя мощности и привода антенны, второй вход которого соединен со вторым выходом вычислителя формирования команды на подрыв боевой части ракеты, третий выход которого является выходом команды на подрыв боевой части ракеты. 2 н. и 14 з.п. ф-лы, 9 ил.
Изобретение относится к области авиационных управляемых ракет и может использоваться для решения задачи наведения ракеты на воздушную цель и для информационного обеспечения функционирования боевого снаряжения АУР.
Известен способ функционирования информационно-вычислительной системы (ИВС) ракеты, заключающийся в измерении параметров движения цели и собственного движения ракеты, формировании необходимых параметров относительного и абсолютного движения, неподдающихся непосредственному измерению, на основе использования априорных сведений, выборе метода наведения ракеты на цель, наилучшего по какому-либо критерию для данных условий применения, анализе помеховой обстановки и включении в зависимости от обстановки средств помехозащиты, нерадиотехнических измерителей, перенацеливании ракеты на постановщик помех, формировании сигнала подготовки и управления для радиовзрывателя (Меркулов, В.Н.Лепин. Авиационные системы радиоуправления. – Москва.: Радио и связь. 1997 г. – С.201).
Известно устройство, в состав которого входит последовательно соединенный приемник сигнала синхронизации, приемник отраженного сигнала, а также система автономных датчиков и модуль обработки информации, вычислитель и усилитель мощности, причем выход приемника синхронизации соединен с первым входом модуля обработки информации, выход приемника отраженного сигнала – со вторым входом модуля обработки информации, первый и второй выход системы датчиков соответственно – с третьим и четвертым входами модуля обработки информации, пятый вход которого соединен с усилителем мощности и приводом антенны, который имеет механическую связь с антенной, первый, второй, третий и четвертый выходы которых соединены соответственно с шиной сигнала контроля и обратной связи в аппаратуру истребителя, на первый и второй вход вычислителя параметров рассогласования, на вход усилителя мощности и привода антенны, выход которого имеет механическую связь с антенной (Меркулов, В.Н.Лепин. Авиационные системы радиоуправления. – Москва.: Радио и связь. 1997 г. – С.201).
Недостатком данных способа и устройства является слабое информационное обеспечение функционирования боевого снаряжения АУР в связи с отсутствием возможности получения дополнительной информации о воздушной цели и параметрах ее движения на борту ракеты.
Технической задачей изобретения является повышения эффективности боевого применения АУР за счет использования дополнительной информации о воздушной цели и параметрах ее движения в интересах боевого снаряжения АУР класса “в-в”.
Решение технической задачи достигается тем, что в способе функционирования информационно-вычислительной системы ракеты, заключающемся в измерении параметров движения цели и собственного движения ракеты, формировании необходимых параметров относительного и абсолютного движения, неподдающихся непосредственному измерению, на основе использования априорных сведений, выборе метода наведения ракеты на цель, наилучшего по какому-либо критерию для данных условий применения, анализе помеховой обстановки и включении в зависимости от обстановки средств помехозащиты и нерадиотехнических измерителей, перенацеливании ракеты на постановщик помех, формировании сигнала подготовки и управления для радиовзрывателя, дополнительно определяют на основе исходной информации об угловом положении и дальности до цели, в непосредственной близости от цели, скорость сближения ракеты, геометрические размеры цели, промах ракеты и формируют команду на подрыв боевой части ракеты на основе данной информации, с учетом начальной скорости разлета осколков боевой части ракеты.
Скорость сближения ракеты в непосредственной близости от цели определяют в момент прохода целью второго и третьего фиксированных расстояний в виде выражения: 
где Z2, Z3 – второе и третье фиксированные расстояния до цели, – временной интервал пропорциональной скорости движения цели при проходе данных фиксированных расстояний.
Линейный размер протяженной цели определяют в момент прохода ею второго фиксированного расстояния путем сканирования ее диаграммой излучения и фиксации угловых положений и дальности до начальной и конечной точек на протяженной цели соответственно в момент появления и пропадания отраженного сигнала от цели в виде выражения:

где D1, D2 – угловое положение начальной и соответственно конечной точки на теле цели;  = н– к – угловой размер цели.
Величину промаха ракеты определяют в виде выражения:

где А, В, С – постоянные коэффициенты, r1, r2, r3 – текущие расстояния, фиксируемые при проходе целью трех заданных расстояний.
Ракурс цели определяют в виде выражения:

где Vr, Vц – модули скорости ракеты и цели, – угол между составляющими вектора цели,  – угловой размер между двумя фиксированными точками относительно ракеты, rn, rn+1 – текущие значения дальности до цели.
Формируют команду на подрыв боевой части ракеты в виде следующих алгоритмов:
– если ракурс цели q>qп, то в виде: 
где V0 – начальная скорость разлета осколков;
– если qп и Vсбл.п, то в виде: 
– если qп и Vсбл.>Vп, то в виде: 
Устройство для функционирования информационно-вычислительной системы содержит последовательно соединенные антенну и приемник сигнала синхронизации, антенну и приемник отраженного сигнала, модуль обработки информации и вычислитель параметров рассогласования, а также систему автономных датчиков, усилитель мощности и привод антенны, модуль обработки информации состоит из устройства поиска, обнаружения, селекции и анализа сигналов, канала оценивания дальности и скорости сближения, канала управления антенной, причем его выход механически связан с антенной отраженного сигнала, выход приемника отраженного сигнала соединен с первым входом модуля обработки информации, второй, третий, четвертый, пятый, шестой, седьмой входы которого соответственно соединены с первым выходом приемника сигналов синхронизации, первым и вторым выходами системы автономных датчиков, с выходом команд подготовки и целеуказания из аппаратуры истребителя, которые одновременно соединены с третьим входом вычислителя параметров рассогласования, с выходом вычислителя автономной системы, первым выходом усилителя мощности и привода антенны, второй выход которого механически соединен с антенной отряженного сигнала, при этом первый, второй, третий выходы модуля обработки информации соединены соответственно с входом сигналов контроля и обратной связи аппаратуры истребителя, первым и вторым входами вычислителя параметров рассогласования, кроме того, второй выход приемника синхронизации соединен со вторым входом приемника отраженного сигнала, дополнительно введены ключ и вычислитель формирования команды на подрыв боевой части ракеты, первый, второй входы которого соединены соответственно с первым и вторым выходами модуля обработки информации, третий вход – с выходом приемника отраженного сигнала, а четвертый вход – со вторым выходом системы автономных датчиков, первый выход соединен со вторым входом первого ключа, первый вход которого соединен со вторым выходом канала управления антенной, а выход первого ключа соединен с первым входом усилителя мощности и привода антенны, второй вход которого соединен со вторым выходом вычислителя формирования команды на подрыв боевой части ракеты, третий выход которого является выходом команды на подрыв боевой части ракеты.
Кроме того, вычислитель формирования команды на подрыв боевой части ракеты состоит из блока фиксации текущих параметров движения цели, блока определения промаха ракеты, блока определения геометрических размеров цели, блока определения ракурса цели и блока формирования команды на подрыв боевой части ракеты, причем первый, второй, третий и четвертый входы вычислителя формирования команды на подрыв боевой части ракеты являются соответственно первыми и вторыми входами блока фиксации текущих параметров движения цели, блока определения геометрических размеров цели, блока определения ракурса цели, пятым входом блока определения геометрических размеров цели и четвертым входом блока определения ракурса цели, первый, второй, третий, четвертый, пятый и шестой выходы блока фиксации текущих параметров цели соединены соответственно с первыми, вторыми и третьими входами блока определения промаха ракеты, вторым входом блока формирования команды на подрыв боевой части ракеты, третьим входом блока определения геометрических размеров цели, третьим входом блока формирования команды на подрыв боевой части ракеты и одновременно четвертым входом блока определения геометрических размеров цели, выход блока определения промаха ракеты соединен с первым входом блока формирования команды на подрыв боевой части ракеты, первый, второй и третий выходы блока определения геометрических размеров цели соединены соответственно со вторым входом усилителя мощности и привода антенны, четвертым и пятым входами блока формирования команды на подрыв боевой части ракеты, четвертый вход которого соединен с третьим входом блока определения ракурса цели, выход которого соединен с шестым входом блока формирования команды на подрыв боевой части ракеты, пятый выход блока фиксации текущих параметров движения цели, первый выход блока определения геометрических размеров цели и выход блока формирования команды на подрыв боевой части ракеты являются соответственно первым, вторым и третьим выходами вычислителя формирования команды на подрыв боевой части ракеты.
Кроме того, блок фиксации текущих параметров движения цели состоит из первого функционального преобразователя, первого умножителя, первого, второго и третьего сравнивающих устройств, первого, второго и третьего запоминающих устройств, а также задатчика постоянных сигналов, причем первый и второй входы блока фиксации текущих параметров движения цели являются соответственно входом первого функционального преобразователя и первыми входами первого, второго, третьего запоминающих устройств, первого умножителя, второй вход которого соединен с выходом первого функционального преобразователя, а выход соединен с первыми входами первого, второго и третьего сравнивающих устройств, вторые входы которых соединены соответственно с первым, вторым, третьим выходами задатчика постоянных сигналов, а выходы первого, второго и третьего сравнивающих устройств соединены с первыми входами первого, второго и третьего запоминающих устройств, выходы которых, а также выход третьего сравнивающего устройства и четвертый выход первого задатчика постоянных сигналов, являются соответственно первым, вторым, третьим, четвертым и пятым выходами блока фиксации текущих параметров движения цели.
Кроме того, блок определения промаха ракеты состоит из первого, второго и третьего квадраторов, второго, третьего умножителей, первого вычитающего и второго суммирующего устройств, второго функционального преобразователя, а также из второго задатчика постоянного сигнала, причем первый, второй и третий входы блока определения промаха ракеты являются соответственно входами первого, второго и третьего квадраторов, выходы которых соединены соответственно с первыми входами второго, третьего и четвертого умножителей, вторые входы которых соединены соответственно с первым, вторым и третьим выходами второго задатчика постоянных сигналов, выходы второго, третьего и четвертого умножителей соединены соответственно с первым и вторым входами первого вычитающего устройства и вторым входом второго суммирующего устройства, первый вход которого соединен с выходом первого вычитающего устройства, а выход – со входом второго функционального преобразователя, выход которого является выходом блока определения промаха ракеты.
Кроме того, блок определения геометрических размеров цели состоит из первого элемента И, первого элемента И-НЕ, первого генератора импульсов, счетчика импульсов и последовательно соединенных первого сдвигового регистра, цифроаналогового преобразователя, а также из третьего, четвертого, пятого и шестого запоминающих устройств, третьего и четвертого квадраторов, третьего сумматора, второго и третьего вычитающих устройств, третьего и четвертого функциональных преобразователей, пятого умножителя, третьего задатчика постоянных сигналов, причем первый, второй, третий, четвертый и пятый входы блока определения геометрических размеров цели являются соответственно первыми входами третьего и четвертого, пятого и шестого запоминающих устройств, вторым входом первого элемента И, вторым входом счетчика, первым входом первого элемента И и входом первого элемента И-НЕ, выход первого элемента И-НЕ соединен со вторым входом первого сдвигового регистра и одновременно со вторыми входами четвертого и шестого запоминающих устройств, выход первого элемента И соединен со входом первого генератора импульсов и одновременно со вторыми входами третьего и пятого запоминающих устройств, выход первого генератора импульсов соединен с первым входом первого сдвигового регистра и одновременно с первым входом счетчика импульсов, n – выходов первого сдвигового регистра соединены с n – входами цифроаналогового преобразователя, выходы третьего, четвертого, пятого и шестого запоминающих устройств соединены соответственно со входами третьего и четвертого квадраторов, первым и вторым входами четвертого вычитающего устройства, кроме того, выходы третьего и четвертого запоминающих устройств соединены с первым и вторым входами пятого умножителя, выходы третьего и четвертого квадраторов соединены с первым и вторым входами третьего сумматора, выход которого соединен с первым входом второго вычитающего устройства, выход третьего вычитающего устройства соединен со входом третьего функционального преобразователя, выход которого соединен с третьим входом пятого умножителя, четвертый вход которого соединен с выходом третьего задатчика постоянных сигналов, а выход соединен со вторым входом второго вычитающего устройства, выход которого соединен со входом четвертого функционального преобразователя, выходы цифроаналогового преобразователя, счетчика и четвертого функционального преобразователя являются соответственно первым, вторым и третьим выходами блока определения геометрических размеров цели.
Кроме того, блок определения ракурса цели состоит из интегратора, шестого, седьмого и восьмого умножителей, первого и второго делителей, пятого, шестого, седьмого, восьмого, девятого и десятого функциональных преобразователей, пятого, шестого, седьмого, восьмого и девятого вычитающих устройств, второго, третьего, четвертого и пятого ключей, второго сдвигового регистра и второго генератора импульсов, причем первый, второй, третий и четвертый входы блока определения ракурса цели являются соответственно первыми входами второго и третьего, четвертого и пятого ключей, первым входом шестого вычитающего устройства и входом интегратора, выход которого соединен с первыми входами шестого умножителя и вторым входом шестого вычитающего устройства, выход которого соединен со вторым входом первого делителя, первый вход которого соединен с выходом шестого умножителя, второй вход которого соединен с выходом шестого функционального преобразователя, вход которого соединен с выходом седьмого вычитающего устройства, выход первого делителя соединен с входом пятого функционального преобразователя, выход которого соединен с первым входом пятого вычитающего устройства, второй вход которого соединен с выходом восьмого функционального преобразователя, выход которого также соединен со вторым входом седьмого вычитающего устройства, выход пятого вычитающего устройства соединен с входом седьмого функционального преобразователя, выходы второго, третьего, четвертого и пятого ключей соединены соответственно с первыми входами восьмого вычитающего устройства, седьмого и одновременно восьмого умножителей, первым и вторым входами девятого вычитающего устройства, с первым входом которого одновременно соединен первый вход седьмого вычитающего устройства, выход которого соединен с входом шестого функционального преобразователя, выходы седьмого и восьмого умножителей соединены соответственно со вторыми входами восьмого вычитающего устройства и второго делителя, первый вход которого соединен с выходом восьмого вычитающего устройства, а выход – с входом восьмого функционального преобразователя, выход девятого вычитающего устройства соединен со входами девятого и десятого функциональных преобразователей, выходы которых соединены соответственно со вторыми входами седьмого и восьмого умножителей, выход второго генератора импульсов соединен со входом второго сдвигового регистра, первый и второй выходы которого соединены соответственно со вторыми входами четвертого и второго, пятого и третьего ключей, выход седьмого функционального преобразователя является выходом блока определения ракурса цели.
Кроме того, блок формирования команды на подрыв боевой части ракеты состоит из третьего, четвертого и пятого делителей, девятого умножителя, девятого вычитающего устройства, четвертого и пятого суммирующих устройств, четвертого и пятого сравнивающих устройств, второго и третьего элементов И-НЕ, второго и третьего элементов И, шестого, седьмого и восьмого ключей, четвертого задатчика постоянных сигналов, причем первый, второй, третий, четвертый, пятый и шестой входы блока формирования команды на подрыв боевой части ракеты являются соответственно первыми и вторыми входами четвертого, третьего делителей, первым входом пятого делителя, входом пятого сравнивающего устройства, кроме того, второй вход третьего делителя соединен со вторым входом пятого делителя и со вторым входом четвертого сравнивающего устройства, выходы третьего, четвертого и пятого делителей соединены соответственно с первым, вторым входами девятого вычитающего устройства и первым входом девятого умножителя, выход которого соединен с третьим входом девятого вычитающего устройства, первый, второй, третий, четвертый, пятый выходы четвертого задатчика постоянных сигналов соединены соответственно с первыми входами пятого и четвертого сравнивающих устройств, вторыми входами шестого, седьмого и восьмого ключей, выходы четвертого и пятого сравнивающих устройств соединены соответственно с первыми входами второго элемента И и третьего элемента И-НЕ, шестого ключа и второго элемента И-НЕ, выход которого соединен со вторым входом второго элемента И и первым входом третьего элемента И, выходы которых соответственно соединены с первыми входами седьмого и восьмого ключей, выходы которых соединены соответственно со вторым входом четвертого суммирующего устройства и вторым входом пятого суммирующего устройства, первый вход которого соединен с выходом шестого ключа, а выход – со вторым входом девятого умножителя, выход которого соединен с третьим входом девятого вычитающего устройства, выход которого соединен с первым входом четвертого суммирующего устройства, выход которого является выходом блока формирования команды на подрыв боевой части ракеты.
Сопоставительный анализ с прототипом показывает, что заявляемые способ и устройство отличаются наличием новых действий, новых элементов схемы и новых связей, обеспечивающих технический результат изобретения, что позволяет сделать вывод о наличии в данном техническом решении критерия патентоспособности “новизна”, а именно в способе:
– определяют скорость сближения ракеты с целью в момент прохода второго и третьего фиксированных расстояний;
– определяют геометрические размеры цели;
– определяют промах ракеты относительно цели;
– определяют ракурс цели;
– формируют команду на подрыв боевой части ракеты на основе данной информации, с учетом скорости разлета осколков боевой части ракеты, а в устройство введены первый ключ и вычислитель формирования команды на подрыв боевой части ракеты.
Сравнение заявляемого решения с другими техническими решениями показывает, что оно явным образом не следует из уровня техники, в заявляемых способе и устройстве расширены функциональные возможности за счет управления моментом срабатывания боевой части АУР в соответствии с конкретными условиями подхода ракеты к цели.
Это позволяет сделать вывод о соответствии заявляемого изобретения критерию “существенные отличия”.
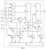
На фиг.1 приведена структурная схема информационно-вычислительной системы ракеты, на фиг.2, 3 – схема сближения ракеты с целью, на фиг.4 – структурная схема вычислителя формирования на подрыв боевой части ракеты, на фиг.5 – блок фиксации текущих параметров движения цели, на фиг.6 – блок определения промаха, на фиг.7 – блок определения геометрических размеров цели, на фиг.8 – блок определения ракурса цели, на фиг.9 – блок формирования команды на подрыв боевой части ракеты.
Устройство (фиг.1) для функционирования информационно-вычислительной системы содержит последовательно соединенные антенну 1 и приемник 2 сигнала синхронизации, антенну 3 и приемник 4 отраженного сигнала, модуль 5 обработки информации и вычислитель 6 параметров рассогласования, а также систему 7 автономных датчиков, усилитель 8 мощности и привод антенны, ключ 12 и вычислитель 13 формирования команды на подрыв боевой части ракеты, модуль 5 обработки информации состоит из устройства 9 поиска, обнаружения, селекции и анализа сигналов, канала 10 оценивания дальности и скорости сближения, канала 11 управления антенной, причем его выход механически связан с антенной 3 отраженного сигнала, выход приемника 4 отраженного сигнала соединен с первым входом модуля 5 обработки информации, второй, третий, четвертый, пятый, шестой, седьмой входы которого соответственно соединены с первым выходом приемника 2 сигналов синхронизации, первым и вторым выходами системы 7 автономных датчиков, с выходом команд подготовки и целеуказания из аппаратуры истребителя, которые одновременно соединены с третьим входом вычислителя 6 параметров рассогласования, с выходом вычислителя автономной системы, первым выходом усилителя 8 мощности и привода антенны, второй выход которого механически соединен с антенной 3 отраженного сигнала, при этом первый, второй, третий выходы модуля 5 обработки информации соединены соответственно с входом сигналов контроля и обратной связи аппаратуры истребителя, первым и вторым входами вычислителя 6 параметров рассогласования, кроме того, второй выход приемника 2 синхронизации соединен со вторым входом приемника 4 отраженного сигнала, первый, второй входы вычислителя 13 формирования команды на подрыв боевой части ракеты соединены соответственно с первым и вторым выходами модуля 5 обработки информации, третий вход – с выходом приемника 4 отраженного сигнала, а четвертый вход – со вторым выходом системы 7 автономных датчиков, первый выход соединен со вторым входом ключа 12, первый вход которого соединен со вторым выходом канала 11 управления антенной, а выход ключа 12 соединен с первым входом усилителя 8 мощности и привода антенны, второй вход которого соединен со вторым выходом вычислителя 13 формирования команды на подрыв боевой части ракеты, третий выход которого является выходом команды на подрыв боевой части ракеты.
Вычислитель 13 формирования команды на подрыв боевой части ракеты состоит из блока 14 фиксации текущих параметров движения цели, блока 15 определения промаха ракеты, блока 16 определения геометрических размеров цели, блока 17 определения ракурса цели и блока 18 формирования команды на подрыв боевой части ракеты, причем первый, второй, третий и четвертый входы вычислителя 13 формирования команды на подрыв боевой части ракеты являются соответственно первыми и вторыми входами блока 14 фиксации текущих параметров движения цели, блока 15 определения геометрических размеров цели, блока 16 определения ракурса цели, пятым входом блока определения геометрических размеров цели и четвертым входом блока 17 определения ракурса цели, первый, второй, третий, четвертый, пятый и шестой выходы блока 14 фиксации текущих параметров цели соединены соответственно с первыми, вторыми и третьими входами блока 15 определения промаха ракеты, вторым входом блока 18 формирования команды на подрыв боевой части ракеты, третьим входом блока 16 определения геометрических размеров цели, третьим входом блока 18 формирования команды на подрыв боевой части ракеты и одновременно четвертым входом блока 16 определения геометрических размеров цели, выход блока 15 определения промаха ракеты соединен с первым входом блока 18 формирования команды на подрыв боевой части ракеты, первый, второй и третий выходы блока 16 определения геометрических размеров цели соединены соответственно со вторым входом усилителя 8 мощности и привода антенны, четвертым и пятым входами блока 18 формирования команды на подрыв боевой части ракеты, четвертый вход которого соединен с третьим входом блока 17 определения ракурса цели, выход которого соединен с шестым входом блока 18 формирования команды на подрыв боевой части ракеты, пятый выход блока фиксации текущих параметров движения цели, первый выход блока 16 определения геометрических размеров цели и выход блока 18 формирования команды на подрыв боевой части ракеты являются соответственно первым, вторым и третьим выходами вычислителя 13 формирования команды на подрыв боевой части ракеты.
Блок 14 фиксации текущих параметров движения цели состоит из первого 18 функционального преобразователя, первого 19 умножителя, первого 20, второго 21 и третьего 22 сравнивающих устройств, первого 23, второго 24 и третьего 25 запоминающих устройств, а также задатчика 26 постоянных сигналов, причем первый и второй входы блока 14 фиксации текущих параметров движения цели являются соответственно входом первого 18 функционального преобразователя и первыми входами первого 23, второго 24, третьего 25 запоминающих устройств, первого 19 умножителя, второй вход которого соединен с выходом первого 18 функционального преобразователя, а выход соединен с первыми входами первого 20, второго 21 и третьего 22 сравнивающих устройств, вторые входы которых соединены соответственно с первым, вторым, третьим выходами задатчика 26 постоянных сигналов, а выходы первого 20, второго 21 и третьего 22 сравнивающих устройств соединены с первыми входами первого 23, второго 24 и третьего 25 запоминающих устройств, выходы которых, а также выход третьего 22 сравнивающего устройства и четвертый выход первого 26 задатчика постоянных сигналов, являются соответственно первым, вторым, третьим, четвертым и пятым выходами блока 14 фиксации текущих параметров движения цели.
Блок 15 определения промаха ракеты состоит из первого 28, второго 29 и третьего 30 квадраторов, второго 31, третьего 32 умножителей, первого 34 вычитающего и второго 35 суммирующего устройств, второго 36 функционального преобразователя, а также из второго 37 задатчика постоянного сигнала, причем первый, второй и третий входы блока 15 определения промаха ракеты являются соответственно входами первого 28, второго 29 и третьего 30 квадраторов, выходы которых соединены соответственно с первыми входами второго 31, третьего 32 и четвертого 33 умножителей, вторые входы которых соединены соответственно с первым, вторым и третьим выходами второго 37 задатчика постоянных сигналов, выходы второго 31, третьего 32 и четвертого 33 умножителей соединены соответственно с первым и вторым входами первого 34 вычитающего устройства и вторым входом второго 35 суммирующего устройства, первый вход которого соединен с выходом первого 34 вычитающего устройства, а выход – со входом второго 36 функционального преобразователя, выход которого является выходом блока 15 определения промаха ракеты.
Блок 16 определения геометрических размеров цели состоит из первого 38 элемента И, первого 39 элемента И-НЕ, первого 40 генератора импульсов, счетчика 41 импульсов и последовательно соединенных первого 42 сдвигового регистра, цифроаналогового преобразователя 43, а также из третьего 44, четвертого 45, пятого 46 и шестого 47 запоминающих устройств, третьего 48 и четвертого 49 квадраторов, третьего 50 сумматора, второго 51 и третьего 52 вычитающих устройств, третьего 53 и четвертого 54 функциональных преобразователей, пятого 55 умножителя, третьего 56 задатчика постоянных сигналов, причем первый, второй, третий, четвертый и пятый входы блока 16 определения геометрических размеров цели являются соответственно первыми входами третьего 44 и четвертого 45, пятого 46 и шестого 47 запоминающих устройств, вторым входом первого элемента И, вторым входом счетчика, первым входом первого 38 элемента И и входом первого 39 элемента И-НЕ, выход первого 39 элемента И-НЕ соединен со вторым входом первого 42 сдвигового регистра и одновременно со вторыми входами четвертого 45 и шестого 47 запоминающих устройств, выход первого 38 элемента И соединен со входом первого 40 генератора импульсов и одновременно со вторыми входами третьего 44 и пятого 46 запоминающих устройств, выход первого 40 генератора импульсов соединен с первым входом первого 42 сдвигового регистра и одновременно с первым входом счетчика 41 импульсов, n – выходов первого 42 сдвигового регистра соединены с n – входами цифроаналогового преобразователя, выходы третьего 44, четвертого 45, пятого 46 и шестого 47 запоминающих устройств соединены соответственно со входами третьего 48 и четвертого 49 квадраторов, первым и вторым входами четвертого 52 вычитающего устройства, кроме того, выходы третьего 44 и четвертого 45 запоминающих устройств соединены с первым и вторым входами пятого 55 умножителя, выходы третьего 48 и четвертого 49 квадраторов соединены с первым и вторым входами третьего 50 сумматора, выход которого соединен с первым входом второго 51 вычитающего устройства, выход третьего 52 вычитающего устройства соединен со входом третьего 53 функционального преобразователя, выход которого соединен с третьим входом пятого 55 умножителя, четвертый вход которого соединен с выходом третьего 56 задатчика постоянных сигналов, а выход соединен со вторым входом второго 51 вычитающего устройства, выход которого соединен со входом четвертого 54 функционального преобразователя, выходы цифроаналогового преобразователя 43, счетчика 41 и четвертого функционального преобразователя 54 являются соответственно первым, вторым и третьим выходами блока 16 определения геометрических размеров цели.
Блок 17 определения ракурса цели состоит из интегратора 57, шестого 58, седьмого 59 и восьмого 60 умножителей, первого 61 и второго 62 делителей, пятого 63, шестого 64, седьмого 65, восьмого 66, девятого 67 и десятого 68 функциональных преобразователей, пятого 69, шестого 70, седьмого 71, восьмого 72 и девятого 73 вычитающих устройств, второго 74, третьего 75, четвертого 76 и пятого 77 ключей, второго 78 сдвигового регистра и второго 79 генератора импульсов, причем первый, второй, третий и четвертый входы блока 17 определения ракурса цели являются соответственно первыми входами второго 74 и третьего 75, четвертого 76 и пятого 77 ключей, первым входом шестого 70 вычитающего устройства и входом интегратора 57, выход которого соединен с первыми входами шестого 58 умножителя и вторым входом шестого 70 вычитающего устройства, выход которого соединен со вторым входом первого 61 делителя, первый вход которого соединен с выходом шестого 58 умножителя, второй вход которого соединен с выходом шестого 64 функционального преобразователя, вход которого соединен с выходом седьмого 71 вычитающего устройства, выход первого 61 делителя соединен с входом пятого 63 функционального преобразователя, выход которого соединен с первым входом пятого 69 вычитающего устройства, второй вход которого соединен с выходом восьмого 66 функционального преобразователя, выход которого также соединен со вторым входом седьмого 71 вычитающего устройства, выход пятого 63 вычитающего устройства соединен со входом седьмого 65 функционального преобразователя, выходы второго 74, третьего 75, четвертого 76 и пятого 77 ключей соединены соответственно с первыми входами восьмого 72 вычитающего устройства, седьмого 59 и одновременно восьмого 60 умножителей, первым и вторым входами девятого 73 вычитающего устройства, с первым входом которого одновременно соединен первый вход седьмого 71 вычитающего устройства, выход которого соединен с входом шестого 64 функционального преобразователя, выходы седьмого 59 и восьмого 60 умножителей соединены соответственно со вторыми входами восьмого 72 вычитающего устройства и второго 62 делителя, первый вход которого соединен с выходом восьмого 72 вычитающего устройства, а выход – с входом восьмого 66 функционального преобразователя, выход девятого 73 вычитающего устройства соединен со входами девятого 67 и десятого 68 функционального преобразователя, выходы которых соединены соответственно со вторыми входами седьмого 59 и восьмого 60 умножителей, выход второго 79 генератор импульсов соединен со входом второго 78 сдвигового регистра, первый и второй выходы которого соединены соответственно со вторыми входами четвертого 76 и второго 74, пятого 77 и третьего 75 ключей, выход седьмого 65 функционального преобразователя является выходом блока определения ракурса цели.
Блок 18 формирования команды на подрыв боевой части ракеты состоит из третьего 80, четвертого 81 и пятого 82 делителей, девятого 83 умножителя, девятого 84 вычитающего устройства, четвертого 85 и пятого 86 суммирующих устройств, четвертого 87 и пятого 88 сравнивающих устройств, второго 89 и третьего 90 элементов И-НЕ, второго 91 и третьего 92 элементов И, шестого 93, седьмого 94 и восьмого 95 ключей, четвертого 96 задатчика постоянных сигналов, причем первый, второй, третий, четвертый, пятый и шестой входы блока 18 формирования команды на подрыв боевой части ракеты являются соответственно первыми и вторыми входами четвертого 81, третьего 80 делителей, первым входом пятого 82 делителя, входом пятого 88 сравнивающего устройства, кроме того, второй вход третьего 81 делителя соединен со вторым входом пятого 82 делителя и со вторым входом четвертого 87 сравнивающего устройства, выходы третьего 80, четвертого 81 и пятого 82 делителей соединены соответственно с первым, вторым входами девятого 84 вычитающего устройства и первым входом девятого 83 умножителя, выход которого соединен с третьим входом девятого 84 вычитающего устройства, первый, второй, третий, четвертый, пятый выходы четвертого задатчика 96 постоянных сигналов соединены соответственно с первыми входами пятого 88 и четвертого 87 сравнивающих устройств, вторыми входами шестого 93, седьмого 94 и восьмого 95 ключей, выходы четвертого 87 и пятого 88 сравнивающих устройств соединены соответственно с первыми входами второго 91 элемента И и третьего 90 элемента И-НЕ, шестого 93 ключа и второго 89 элемента И-НЕ, выход которого соединен со вторым входом второго 89 элемента И и первым входом третьего 90 элемента И, выходы которых соответственно соединены с первыми входами седьмого 94 и восьмого 95 ключей, выходы которых соединены соответственно со вторым входом четвертого 85 суммирующего устройства и вторым входом пятого 86 суммирующего устройства, первый вход которого соединен с выходом шестого 93 ключа, а выход – со вторым входом девятого 83 умножителя, выход которого соединен с третьим входом девятого 84 вычитающего устройства, выход которого соединен с первым входом четвертого 85 суммирующего устройства, выход которого является выходом блока 18 формирования команды на подрыв боевой части ракеты.
Устройство работает следующим образом.
Функционирования ИВС ракеты “в-в” осуществляется в следующих режимах: целеуказание, поиск и обнаружение цели при захвате ее на траектории, формирование параметра рассогласования и формирование команды на подрыв боевой части ракеты.
Первые два режима являются подготовительными, а собственно самонаведение и формирование команды на подрыв боевой части ракеты осуществляются в третьем режиме. В режиме целеуказания (ЦУ) из аппаратуры истребителя в модуль 5 обработки информации поступают команды подготовки ракеты к работе и команды ЦУ (фиг.1). По командам подготовки подаются питающие напряжения в ИВС, настраиваются приемники 2, 4 каналов синхронизации и отраженного сигнала на частоту сигнала подсвета цели (СПЦ) и тестируется работоспособность всей аппаратуры ракеты. По командам ЦУ измерители и вычислители подготавливаются к сопровождению цели, выбранной для поражения. В соответствии с этими командами антенна 3 головки самонаведения разворачивается в направлении на цель либо в упрежденную точку, в которой будет находится цель в момент взятия ее на автосопровождение. Наличие команд целеуказания по дальности Дцу и скорости сближения Vцу определяется используемыми методом наведения и сигналом подсвета цели.
Если в радиолокационной головке самонаведения (РГС) используется непрерывный СПЦ, то подается команда ЦУ по скорости сближения Vцу (доплеровской частоте), в соответствии с которой будут селектироваться радиосигналы только той цели, скорость сближения с которой соответствует скорости целеуказания. Если в РГС используется импульсный СПЦ, то в модуль 5 обработки поступает команда ЦУ по дальности, в соответствии с которой приемник отраженного сигнала будет отпираться только на время прихода сигналов, отраженных от цели, отстоящей от истребителя на нужную дальность Дцу. При квазинепрерывном СПЦ подаются команды ЦУ и по дальности, и по скорости. Кроме того, команды ЦУ по дальности, скорости сближения и угловым скоростям линии визирования поступают в качестве начальных условий в вычислители, экстраполирующие параметры относительного движения ракеты и цели в автономном режиме работы ИВС, предшествующем захвату цели на траектории, и в случае воздействия на нее радиопомех. Готовность ИВС к работе контролируется по специальным сигналом контроля, поступающим в аппаратуру истребителя по цепям обратной связи (фиг.1).
Необходимо отметить, что в зависимости от вида сигнала подсвета цели (СПЦ) поиск и селекция сигнала, отраженного от перехватываемой цели, выполняются по-разному.
После совпадения во времени следящих полустробов дальномера и импульса uц, отраженного от цели, поиск прекращается и решается задача обнаружения. В процессе решения этой задачи осуществляется накопление сигналов, имеющее целью повышение вероятности правильного обнаружения. Кроме того, обнаруженный сигнал анализируется на его принадлежность к цели либо постановщику помех. Анализ выполняется по энергетическому признаку, так как прямой сигнал активной помехи во много раз превышает сигнал, отраженный от цели.
Если в процессе анализа принимается решение о принадлежности обнаруженного сигнала постановщику помех, то либо включаются средства помехозащиты, либо продолжают использовать результаты измерений и экстраполяции автономных датчиков, либо происходит перенацеливание ракеты на постановщик помех. В последнем случае употребляется прямой метод наведения.
Если принимается решение о принадлежности обнаруженного сигнала перехватываемой цели, то измерители ИВС переходят в режим автоматического сопровождения цели по дальности и направлению, а ИВС переводится в режим формирования параметра рассогласования (самонаведения) и формирования команды на подрыв боевой части ракеты.
В этом режиме в дальномерном канале 10 формируются оценки и , а в угломерном канале 11 оценки углов и приращений угловых скоростей . Оценки и , а также рассчитываемые вычислителем автономной системы (АС) оценки используются для формирования параметра рассогласования , а оценки – для вычисления параметров рассогласования при методе наведения с постоянным углом упреждения.
Если ракета наводится по алгоритму в виде выражения:
в горизонтальной плоскости и в вертикальной, то в угломерном канале еще формируются оценки поперечных ускорений цели. Знание оценки Д позволяет селектировать по дальности импульсы, отраженные от перехватываемой цели, путем отпирания приемника 4 отраженных сигналов только на время их прихода. Эта особенность позволяет повысить помехозащищенность ИВС в целом.
Начало отсчета для оценивания дальности задают импульсы СПЦ, поступающие в приемник 2 сигналов синхронизации через антенну 1.
По пространству (направлению) цель селектируется за счет направленных свойств антенны 3 путем ее поворота в направлении, определяемом оценками углов .
При непрерывном СПЦ для селекции сигналов, отраженных от цели, используется доплеровская частота Fрц, пропорциональная скорости сближения ракеты с целью. В полуактивной РГС частота Fрц выделяется как разность частот двух сигналов. Один из них, отраженный от цели, принятый антенной 3 Аос и усиленный в приемнике 4 отраженных сигналов, содержит доплеровское смещение частоты, обусловленное скоростью сближения истребителя с целью и цели с ракетой. Второй сигнал uc, принятый антенной 1 и усиленный приемником 2, содержит доплеровское смещение частоты, вызываемое скоростью удаления ракеты от истребителя. После вычитания частот сигналов, поступающих в приемники 4, 2 отраженных и синхронизирующих сигналов, формируется сигнал, поиск и селекция которого выполняется в модуле 5 обработки. При дальности Дп Дз поиск этого сигнала осуществляется относительно частоты Fцу=2Vцу/ , которая устанавливается командой целеуказания Vцу по скорости, измеренной в БРЛС истребителя. Если Дп>Дз поиск производится относительно частоты , где – оценка скорости, экстраполированной в автономной системе наведения ракеты. Поиск осуществляется путем изменения по линейному закону частоты специального гетеродина. При некотором значении этой частоты сигнал промежуточной частоты приемника отраженных сигналов (ПРМОС) попадает в узкополосный фильтр, после чего поиск прекращается и начинается этап обнаружения и анализа.
Селектируемый сигнал анализируется на его принадлежность не только цели или постановщику помех, но и Земле. Этим самым исключается захват и сопровождение сигнала, отраженного от Земли, вместо сигнала, отраженного от низколетящей цели. Анализ проводится по энергетическим и частотным различиям сигналов, излучаемых постановщиком помех и отраженных от Земли либо от цели.
Принятие решения о принадлежности обнаруженного сигнала к постановщику помех приводит к тому же, что и при использовании импульсных сигналов, а именно, если принимается решение, что обнаруженный сигнал принадлежит Земле, то выдается команда на возобновление поиска сигнала цели по частоте. При принятии решения о принадлежности анализируемого сигнала к перехватываемой цели измерители РГС переходят к его автоматическому сопровождению по доплеровской частоте, выполняемому автоселектором скорости (каналом 10 оценивания Vсб), и по направлению, осуществляемому угломером, а РГС переводится в режим самонаведения.
Оценка, формируемая автоселектором скорости на основе измерения доплеровской частоты Fрц, поступает в вычислитель 6 параметров рассогласования для реализации методов наведения. Угломерный канал 11 при непрерывном СПЦ функционирует так же, как и при импульсном сигнале с НЧП.
При использовании квазинепрерывного сигнала поиск и селекция цели производятся как по дальности, так и по доплеровской частоте. В процессе обнаружения цели имеет место такой же анализ сигнала на его принадлежность к постановщику помех, Земле либо цели, что и при использовании непрерывного СПЦ. После перехода к автоматическому сопровождению цели по дальности, скорости и направлению устройства оценивания Д и Vсб формируют оценки дальности и скорости . При этом Д оценивается по времени запаздывания отраженного сигнала, а скорость по частоте Fрц. Наличие информации о дальности позволяет повысить помехозащищенность РЭСУ за счет отпирания приемника только на время прихода сигналов, отраженных от цели.
При квазинепрерывном СПЦ необходимо устранять неоднозначность отсчета дальности, поскольку время запаздывания отраженного сигнала может превышать период повторения импульсов СПЦ. Если невозможно обеспечить однозначность отсчета, дальность не оценивается и слежение по ней не реализуется. В такой ситуации отраженный сигнал селектируется не по дальности, а по периоду повторения, что позволяет также обеспечить стробирование приемника на время прихода отраженных импульсов. Целесообразность такого приема обусловлена тем, что при вычислении параметров рассогласования не требуется знания текущей дальности. Принцип работы угломерного канала 11 остается тем же, что и при использовании СПЦ, других типов.
Входящие в систему 7 автономных датчиков измерители параметров собственного движения (см. фиг.1), к которым относятся прежде всего акселерометры и гироскопы, выдают информацию об ускорениях jx и j1,2 и углах тангажа и рысканья . На основе измерения jx и j1,2 в вычислители автономной системы формируются оценки и , используемые при вычислении параметров рассогласования. Гироскопические датчики позволяют развязать антенну 3 РГС от угловых колебаний ракеты, что повышает точность и устойчивость сопровождения целей по направлению. Обработка исходной информации о дальности и угловом положении цели в вычислителе 13 позволяет получить дополнительную информацию о скорости и промахе ракеты относительно геометрического центра цели, а также о ее геометрических размерах. Рассмотрим схему сближения ракеты с целью (фиг.2).
Согласно фиг.2 координаты цели относительно оси Z обозначены дискретными значениями Z1, Z2, Z3, текущие значения дальности, соответствующие моменту прохода целью трех фиксированных точек, – r1, r2, r3 и текущие значения углового положения цели – 1, 2, 3.
Геометрические размеры цели определяются путем измерения дальности до цели и углового положения начальной и конечной точек на теле цели.
Скорость сближения ракеты с целью определяется на основе фиксации временного интервала при проходе целью двух заданных расстояний.
Промах ракеты относительно цели определяется на основе фиксации текущих значений дальности и углового положения при проходе целью трех заданных расстояний.
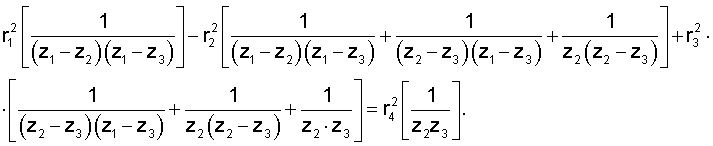
Трехмерный график, поясняющий алгоритм определения промаха ракеты относительно цели, приведен на фиг.3
Согласно фиг.3 расположение ракеты (М) и цели (Т) в некоторый момент времени t будет:

где Vm, VT – скорость ракеты и цели соответственно.
Тогда расстояние r до цели может быть рассчитано по формуле:
или

где V2 c=V2 T+V2 m-2VmVTcos .
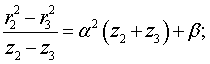
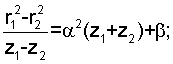
Тогда r2= 2Z2+ Z+ , где ; 
Для частного случая , , постоянны.
Для трех различных значений моментов времени:

и 


Определив r4 как предел, при котором Z=z4=0, получим:

Тогда, произведя преобразования, получим:

Промах ракеты относительно цели можно представить в виде выражения:

где – постоянные коэффициенты.
Ракурс цели определяется на основе информации о текущей дальности, угловом положении цели. Рассмотрим схему сближения ракеты с целью на фиг.2
Ц1ОрЦ4=90- n; ОЦ4Ц1= =180-[ +(90- )]=[90-( – n)];  = -90°=( n– )

при  n· (n=0,1)

где 
с учетом 1 и 2: 
Из рисунка видно, что: КЦ2Ц1= 

КЦ10= q= – .
С учетом 4 и 2 имеем: 
ракурс цели: 
Блок фиксации текущих параметров движения цели обеспечивает фиксацию текущих значений дальности r1, r2, r3 относительно заданных точек пространства, выдачу сигнала, соответствующего начальной скорости разлета осколков; а также сигналов фиксации моментов прохода цели второго и третьего заданного расстояния. Входной информацией является информация о дальности и угловом положении цели.
Информация о текущих значениях дальности и углового положения цели поступает на первый и второй вход блока 14 фиксации текущих значений параметров движения цели (фиг.4). Данные сигналы через функциональный преобразователь 18, первый умножитель 19 поступают на первые входы первого 20, второго 21 и третьего 22 сравнивающих устройств, на вторые входы которых поступают сигналы с первого задатчика постоянных сигналов 26. При превышении уровня заданных сигналов с выходов сравнивающих устройств сигналы поступают на первые входы первого 23, второго 24 и третьего 25 запоминающих устройств, на вторые входы которых поступают сигналы, пропорциональные текущей дальности до цели. Таким образом с выхода первого 23, второго 24 и третьего 25 запоминающих устройств последовательно по времени поступают сигналы, пропорциональные текущим значениям дальностям при проходе цели фиксированных точек пространства (Z1, Z2, Z3) относительно цели (фиг.2). Кроме того, с выхода второго 21 и третьего 22 сравнивающих устройств поступает сигнал, определяющий момент прохода целью двух фиксированных расстояний Z2 и Z3, а с четвертого выхода задатчика 26 постоянных сигналов-, пропорциональный начальной скорости осколков V0.
Блок 15 определения промаха ракеты на основе поступающих сигналов, пропорциональных значению r1, r2, r3, формирует промах ракеты относительно цели (см. фиг.6). Данные сигналы через первый 28, второй 29 и третий 30 квадраторы поступают на первые входы второго 31, третьего 32 и четвертого 33 умножителей, на выходах которых формируются сигналы, пропорциональные соответственно значениям А2r1 2, В2r2 2, С2r3 2. Данные сигналы поступают на вход второго функционального преобразователя 36 через первое 34 вычитающее устройство и второе 35 суммирующее устройство. На выходе функционального преобразователя 35 формируется сигнал, пропорциональный промаху ракеты в виде выражения: , который поступает на первый вход блока формирования команды на срабатывание боевой части ракеты (см. фиг.4).
Блок 16 определения геометрических размеров цели формирует сигнал, пропорциональный геометрическим размерам цели. Входными сигналами, обеспечивающими функционирование блока 16 определения геометрических размеров цели, являются сигналы о текущей дальности, угловом положении цели, а также с выхода приемника 4 отраженных сигналов и сигналы, определяющие момент прохода целью двух фиксированных расстояний Z2, Z3.
В момент прохода целью второго фиксированного расстояния сигнал с пятого выхода блока 14 фиксации текущих параметров движения цели Z2 поступает на второй вход элемента И 38, на первый вход которого поступает сигнал с выхода приемника 4 отраженных сигналов, при наличии данных сигналов с выхода элемента сигнал поступает на генератор 40 импульсов. С выхода генератора 40 импульсов через сдвиговый регистр 42 и ЦАП 43 сигнал управления антенной поступает на первый вход усилителя 8 мощности и привода антенны. При этом происходит сканирование пространства в заданном диапазоне (за счет срабатывания ключа 12 происходит отключение усилителя 8 мощности и привода антенны от канала 11 управления антенной).
Фиксация начальных значений дальности и углового положения цели происходит в момент появления отраженного сигнала от цели за счет срабатывания третьего 44 и пятого 46 запоминающих устройств при появлении сигнала со второго выхода элемента И 38.
Фиксация конечных значений дальности и углового положения цели происходит в момент пропадания сигнала с выхода приемника 4 отраженных сигналов за счет срабатывания четвертого 45 и шестого 47 запоминающих устройств при появлении сигнала с выхода элемента И-НЕ 39.
Данные сигналы с выходов третьего 44 и пятого 46, четвертого 45 и шестого 47 запоминающих устройств поступают через третий 48 и четвертый 49 квадраторы, третье 50 суммирующее устройство на первый вход второго 51 вычитающего устройства, а также через третье 52 вычитающее устройство, третий 53 функциональный преобразователь, пятый 55 умножитель на второй вход второго вычитающего устройства, с выхода которого поступает на четвертый 54 функциональный преобразователь, который формирует сигнал в соответствии с выражением

Блок 17 определения ракурса цели на основе обработки входной информации о текущей дальности и угловом положении цели в дискретные моменты времени, а также информации о скорости сближения и ускорения ракеты определяет ракурс цели. Дискретизация входной информации о текущей дальности и угловом положении цели осуществляется вторым 74, третьим 75, четвертым 76 и пятым 77 ключами, управление которыми осуществляется сдвиговым регистром 78, который запускается генератором 79 импульсов. С выхода второго и третьего ключей сигналы, пропорциональные значениям rn и rn+1, поступают на первые входы соответственно восьмого 72 вычитающего устройства, шестого 59 и седьмого 60 умножителей. С выхода четвертого 76 и пятого 77 ключей сигналы, пропорциональные значениям n и n+1, поступают соответственно на первый и второй входы девятого 73 вычитающего устройства. С выхода девятого 73 вычитающего устройства сигнал, пропорциональный значению  = n– n+1, поступает через девятый 67 и десятый 68 функциональные преобразователи на вторые входы шестого 59 и седьмого 60 умножителей. С выхода шестого 59 и седьмого 60 умножителей сигналы, пропорциональные значениям rn+1cos и rn+1sin , поступают соответственно на второй вход восьмого 72 вычитающего устройства и второй вход второго 62 делителя, на первый вход которого поступает сигнал с выхода восьмого 72 вычитающего устройства, пропорциональный значению rn-rn+1cos . С выхода второго 62 делителя через восьмой 66 функциональный преобразователь сигнал, пропорциональный значению arcctg(rn-rn+1cos /rn+1sin ), поступает на вторые входы пятого 69 и седьмого 71 вычитающих устройств. С выхода седьмого 71 вычитающего устройства сигнал, пропорциональный значению = n-arcctg(rn-rn+1cos /rn+1sin ), через шестой 64 функциональный преобразователь поступает на второй вход пятого 58 умножителя, на первый вход которого через интегратор 57 поступает сигнал, пропорциональный скорости движения цели. С выхода пятого 58 умножителя сигнал, пропорциональный значению Vrsin , поступает на первый вход первого 61 делителя, на второй вход которого с шестого 70 вычитающего устройства поступает сигнал, пропорциональный значению Vц. С выхода первого 61 делителя через пятый 63 функциональный преобразователь сигнал, пропорциональный значению arcsin(Vrsin /Vц), поступает на первый вход пятого 69 вычитающего устройства, с выхода которого сигнал поступает на седьмой 65 функциональный преобразователь, на выходе которого формируется сигнал в виде выражения:

Блок 18 формирования команды на подрыв боевой части ракеты осуществляет формирование сигнала на подрыв боевой части ракеты в соответствии с конкретными условиями подхода ракеты к цели и ее геометрическими размерами. Входной информацией, необходимой для функционирования данного блока, является информация о моменте прохода целью третьего фиксированного расстояния, о скорости сближения, промахе ракеты относительно цели, начальной скорости осколков, геометрических размерах цели и о ракурсе цели.
Информация о моменте прохода целью третьего фиксированного расстояния (Z3) и скорости сближения (Vсбл.), промахе ракеты (r4) и начальной скорости разлета осколков (V0) поступает соответственно через третий 80, четвертый 81 делители в виде сигналов, пропорциональных соответствующим соотношениям Z3/Vсбл. и r4/V0, на первый и второй входы девятого 84 вычитающего устройства. На первый вход восьмого умножителя поступает сигнал, пропорциональный отношению Lц/Vсбл., на второй вход которого в зависимости от значений ракурса цели и скорости сближения поступает сигнал, пропорциональный соотношению 1/2 или 2/3.
Если текущее значение ракурса цели больше определенного значения, то происходит срабатывание пятого 88 сравнивающего устройства (порог срабатывания равен значению сигнала на первом выходе четвертого 96 задатчика постоянных сигналов), которое обеспечивает срабатывание шестого 93 ключа. Тогда со второго выхода четвертого 96 задатчика постоянных сигналов сигнал, пропорциональный заданному значению, через шестой ключ 93, пятое 88 суммирующее устройство поступает на второй вход восьмого 83 умножителя. С выхода умножителя 83 поступает сигнал, пропорциональный значению , на третий вход девятого 84 вычитающего устройства. В данном случае на выходе девятого 84 вычитающего устройства будет сформирован сигнал в виде выражения:

Если ракурс цели и скорость сближения меньше заданного значения, то происходит срабатывание второго 89 и третьего 90 элементов И-НЕ и, как следствие, срабатывание третьего 92 элемента И, восьмого 95 ключа.
В данном случае сигнал с пятого выхода четвертого 96 задатчика постоянных сигналов через восьмой 95 ключ, второй вход пятого 86 суммирующего устройства и второй вход восьмого 83 умножителя поступает на третий вход девятого вычитающего устройств. На выходе девятого 84 вычитающего устройства будет сформирован сигнал в виде выражения:

Если ракурс цели меньше заданного значения, а скорость сближения больше заданного значения, тогда происходит срабатывание второго 89 элемента И-НЕ и, как следствие, первого 91 элемента И, седьмого 94 ключа.
В данном случае сигнал с четвертого выхода четвертого 96 задатчика постоянных сигналов через седьмой 94 ключ поступает на второй вход четвертого 85 суммирующего устройства, на выходе которого будет сформирован сигнал в виде выражения:

Таким образом, дополнительно с наведением ракеты осуществляется формирование команды на подрыв боевой части ракеты в соответствии с условиями подхода ракеты к цели и геометрическими размерами цели.
Источники информации
1. Меркулов, В.Н.Лепин. Авиационные системы радиоуправления. Москва. Радио и связь, 1997 г. – С.201 (прототип).
Формула изобретения
1. Способ функционирования информационно-вычислительной системы ракеты, включающий подготовку ракеты на борту самолета-носителя к работе, измерение параметров движения цели и собственного движения ракеты, формирование оценки необходимых параметров относительного движения цели и абсолютного движения ракеты, выбор метода наведения ракеты на цель, наилучшего по какому-либо критерию для данных условий применения, вычисление для выбранного метода параметров рассогласования, характеризующих степень несоответствия действительных параметров движения ракеты их требуемым значениям, анализ помеховой обстановки и включение в зависимости от помеховой обстановки средств помехозащиты и нерадиотехнических измерителей, перенацеливание ракеты на постановщик помех, формирование сигнала подготовки и управления для радиовзрывателя, отличающийся тем, что дополнительно определяют на основе текущих значений углового положения и дальности до цели скорость сближения ракеты с целью в непосредственной близости от нее, промах ракеты, геометрические размеры и ракурс цели, с учетом которых и начальной скорости разлета осколков боевой части ракеты формируют команду на подрыв боевой части ракеты.
2. Способ по п.1, отличающийся тем, что осуществляют подготовку ракеты к работе на борту самолета-носителя путем подачи питающих напряжений из аппаратуры истребителя, настройки приемников синхронизации и отраженного сигнала на частоту подсвета цели, тестирования работоспособности всей аппаратуры ракеты, определения готовности информационно-вычислительной системы ракеты к работе по специальным сигналам контроля, поступающим в аппаратуру истребителя по цепям обратной связи, подготовки измерителей и вычислителя к сопровождению цели, выбранной для поражения по командам целеуказаний.
3. Способ по п.2, отличающийся тем, что подготовку измерителей и вычислителя к сопровождению цели, выбранной для поражения по командам целеуказаний, осуществляют путем поворота антенны головки самонаведения в направлении на цель либо в упрежденную точку, в которой будет находиться цель в момент взятия ее на автосопровождение, выполнения команд целеуказания по дальности и скорости сближения.
4. Способ по п.3, отличающийся тем, что команды целеуказаний по дальности формируют в зависимости от используемого метода наведения и сигнала подсвета цели, при этом если в радиолокационной головке самонаведения используют непрерывный сигнал подсвета цели, то формируют команду целеуказания по скорости сближения, в соответствии с которой селектируют радиосигналы только той цели, скорость сближения с которой соответствует скорости целеуказания, если в радиолокационной головке самонаведения используют импульсный сигнал подсвета цели, то в модуль обработки подают команду целеуказания по дальности, в соответствии с которой приемник отраженного сигнала отпирают только на время прихода сигналов, отраженных от цели, отстоящей от истребителя на дальность Дцу, при квазинепрерывном сигнале подсвета цели формируют команды целеуказания и по дальности и по скорости, при этом команды целеуказания по дальности, скорости сближения и угловым скоростям линии визирования подают в качестве начальных условий в вычислители, экстраполирующие параметры относительного движения ракеты и цели в автономном режиме работы информационно-вычислительной системы ракеты, предшествующем захвату цели на траектории, и в случае воздействия на нее радиопомех.
5. Способ по п.1, отличающийся тем, что анализ помеховой обстановки осуществляют по энергетическим и частотным различиям сигналов, излучаемых постановщиком помех и отраженных от земли либо от цели, при принятии решения о принадлежности анализируемого сигнала к перехватываемой цели измерители радиолокационной головки самонаведения переходят к его автоматическому сопровождению по доплеровской частоте, выполняемому автоселектором скорости, и по направлению, осуществляемому угломером, а радиолокационнаую головку самонаведения переводят в режим самонаведения.
6. Способ по п.1, отличающийся тем, что определяют величину промаха ракеты по математическому выражению

где А, В, С – постоянные коэффициенты, r1 r2, r3 – текущие расстояния, фиксируемые при проходе целью трех заданных расстояний Z1, Z2, Z3.
7. Способ по п.1, отличающийся тем, что определяют скорость сближения ракеты с целью в непосредственной близости от цели в момент прохода целью второго и третьего фиксированных расстояний из математического выражения

где Z2, Z3 – второе и третье фиксированные расстояния до цели, – временной интервал при проходе данных фиксированных расстояний.
8. Способ по п.1, отличающийся тем, что определяют линейный размер цели в момент прохода ею второго заданного расстояния путем сканирования ее диаграммой излучения и фиксации угловых положений и дальности до начальной и конечной точек на цели соответственно в момент появления и пропадания отраженного сигнала от цели по математическому выражению

где D1, D2 – угловое положение начальной и соответственно конечной точки на цели;  = H– K – угловой размер цели.
9. Способ по п.1, отличающийся тем, что определяют ракурс цели по математическому выражению

где Vr, Vц – модули вектора скорости ракеты и цели, – угол между составляющими вектора цели,  1 – угловой размер между двумя фиксированными точками относительно ракеты, rn, rn+1 текущие значения дальности до цели.
10. Устройство для функционирования информационно-вычислительной системы ракеты, содержащее последовательно соединенные антенну и приемник сигнала синхронизации, антенну и приемник отраженного сигнала, модуль обработки информации и вычислитель параметров рассогласования, а также систему автономных датчиков, усилитель мощности и привод антенны, причем модуль обработки информации состоит из устройства поиска, обнаружения, селекции и анализа сигналов, канала оценки дальности и скорости сближения, канала управления антенной, выход которого механически соединен с антенной отраженного сигнала, выход приемника отраженного сигнала соединен с первым входом модуля обработки информации, второй, третий, четвертый, пятый, шестой, седьмой входы которого соответственно соединены с первым выходом приемника сигналов синхронизации, первым и вторым выходами системы автономных датчиков, с выходом команд подготовки и целеуказания из аппаратуры истребителя, которые одновременно соединены с третьим входом вычислителя параметров рассогласования, с выходом вычислителя автономной системы, первым выходом усилителя мощности и привода антенны, второй выход которого механически соединен с антенной отраженного сигнала, при этом первый, второй, третий выходы модуля обработки информации соединены соответственно с входом сигналов контроля и обратной связи аппаратуры истребителя, первым и вторым входами вычислителя параметров рассогласования, при этом второй выход приемника синхронизации соединен со вторым входом приемника отраженного сигнала, отличающееся тем, что оно снабжено первым ключом и вычислителем формирования команды на подрыв боевой части ракеты, первый, второй входы которого соединены соответственно с первым и вторым выходами модуля обработки информации, третий вход – с выходом приемника отраженного сигнала, а четвертый вход – со вторым выходом системы автономных датчиков, первый выход соединен со вторым входом первого ключа, первый вход которого соединен со вторым выходом канала управления антенной, а выход первого ключа соединен с первым входом усилителя мощности и привода антенны, второй вход которого соединен со вторым выходом вычислителя формирования команды на подрыв боевой части ракеты, третий выход которого является выходом команды на подрыв боевой части ракеты.
11. Устройство по п.10, отличающееся тем, что вычислитель формирования команды на подрыв боевой части ракеты состоит из блока фиксации текущих параметров движения цели, блока определения промаха ракеты, блока определения геометрических размеров цели, блока определения ракурса цели и блока формирования команды на подрыв боевой части ракеты, причем первый, второй, третий и четвертый входы вычислителя формирования команды на подрыв боевой части ракеты являются соответственно первыми и вторыми входами блока фиксации текущих параметров движения цели, блока определения геометрических размеров цели, блока определения ракурса цели, пятым входом блока определения геометрических размеров цели и четвертым входом блока определения ракурса цели, первый, второй, третий, четвертый, пятый и шестой выходы блока фиксации текущих параметров цели соединены соответственно с первыми, вторыми и третьими входами блока определения промаха ракеты, вторым входом блока формирования команды на подрыв боевой части ракеты, третьим входом блока определения геометрических размеров цели, третьим входом блока формирования команды на подрыв боевой части ракеты и одновременно четвертым входом блока определения геометрических размеров цели, выход блока определения промаха ракеты соединен с первым входом блока формирования команды на подрыв боевой части ракеты, первый, второй и третий выходы блока определения геометрических размеров цели соединены соответственно со вторым входом усилителя мощности и привода антенны, четвертым и пятым входами блока формирования команды на подрыв боевой части ракеты, четвертый вход которого соединен с третьим входом блока определения ракурса цели, выход которого соединен с шестым входом блока формирования команды на подрыв боевой части ракеты, пятый выход блока фиксации текущих параметров движения цели, первый выход блока определения геометрических размеров цели и выход блока формирования команды на подрыв боевой части ракеты являются соответственно первым, вторым и третьим выходами вычислителя формирования команды на подрыв боевой части ракеты.
12. Устройство по п.11, отличающееся тем, что блок фиксации текущих параметров движения цели состоит из первого функционального преобразователя, первого умножителя, первого, второго и третьего сравнивающих устройств, первого, второго и третьего запоминающих устройств, а также задатчика постоянных сигналов, причем первый и второй входы блока фиксации текущих параметров движения цели является соответственно входом первого функционального преобразователя и первыми входами первого, второго, третьего запоминающих устройств, первого умножителя, второй вход которого соединен с выходом первого функционального преобразователя, а выход соединен с первыми входами первого, второго и третьего сравнивающих устройств, вторые входы которых соединены соответственно с первым, вторым, третьим выходами задатчика постоянных сигналов, а выходы первого, второго и третьего сравнивающих устройств соединены с первыми входами первого, второго и третьего запоминающих устройств, выходы которых, а также выход третьего сравнивающего устройства и четвертый выход первого задатчика постоянных сигналов являются соответственно первым, вторым, третьим, четвертым и пятым выходами блока фиксации текущих параметров движения цели.
13. Устройство по п.11, отличающееся тем, что блок определения промаха ракеты состоит из первого, второго и третьего квадраторов, второго, третьего умножителей, первого вычитающего и второго суммирующего устройств, второго функционального преобразователя, а также из второго задатчика постоянного сигнала, причем первый, второй и третий входы блока определения промаха ракеты являются соответственно входами первого, второго и третьего квадраторов, выходы которых соединены соответственно с первыми входами второго, третьего и четвертого умножителей, вторые входы которых соединены соответственно с первым, вторым и третьим выходами второго задатчика постоянных сигналов, выходы второго, третьего и четвертого умножителей соединены соответственно с первым и вторым входами первого вычитающего устройства и вторым входом второго суммирующего устройства, первый вход которого соединен с выходом первого вычитающего устройства, а выход со входом второго функционального преобразователя, выход которого является выходом блока определения промаха ракеты.
14. Устройство по п.11, отличающееся тем, что блок определения геометрических размеров цели состоит из первого элемента И, первого элемента И-НЕ, первого генератора импульсов, счетчика импульсов и последовательно соединенных первого сдвигового регистра, цифроаналогового преобразователя, а также из третьего, четвертого, пятого и шестого запоминающих устройств, третьего и четвертого квадраторов, третьего сумматора, второго и третьего вычитающих устройств, третьего и четвертого функциональных преобразователей, пятого умножителя, третьего задатчика постоянных сигналов, причем первый, второй, третий, четвертый и пятый входы блока определения геометрических размеров цели являются соответственно первыми входами третьего и четвертого, пятого и шестого запоминающих устройств, вторым входом первого элемента И, вторым входом счетчика, первым входом первого элемента И и входом первого элемента И-НЕ, выход первого элемента И-НЕ соединен со вторым входом первого сдвигового регистра и одновременно со вторыми входами четвертого и шестого запоминающих устройств, выход первого элемента И соединен со входом первого генератора импульсов и одновременно со вторыми входами третьего и пятого запоминающих устройств, выход первого генератора импульсов соединен с первым входом первого сдвигового регистра и одновременно с первым входом счетчика импульсов, n выходов первого сдвигового регистра соединены с n входами цифроаналогового преобразователя, выходы третьего, четвертого, пятого и шестого запоминающих устройств соединены соответственно со входами третьего и четвертого квадраторов, первым и вторым входами четвертого вычитающего устройства, кроме того, выходы третьего и четвертого запоминающих устройств соединены с первым и вторым входами пятого умножителя, выходы третьего и четвертого квадраторов соединены с первым и вторым входами третьего сумматора, выход которого соединен с первым входом второго вычитающего устройства, выход третьего вычитающего устройства соединен со входом третьего функционального преобразователя, выход которого соединен с третьим входом пятого умножителя, четвертый вход которого соединен с выходом третьего задатчика постоянных сигналов, а выход соединен со вторым входом второго вычитающего устройства, выход которого соединен со входом четвертого функционального преобразователя, выходы цифроаналогового преобразователя, счетчика и четвертого функционального преобразователя являются соответственно первым, вторым и третьим выходами блока определения геометрических размеров цели.
15. Устройство по п.11, отличающееся тем, что, блок определения ракурса цели состоит из интегратора, шестого, седьмого и восьмого умножителей, первого и второго делителей, пятого, шестого, седьмого, восьмого, девятого и десятого функциональных преобразователей, пятого, шестого, седьмого, восьмого и девятого вычитающих устройств, второго, третьего, четвертого и пятого ключей, второго сдвигового регистра и второго генератора импульсов, причем первый, второй, третий и четвертый входы блока определения ракурса цели являются соответственно первыми входами второго и третьего, четвертого и пятого ключей, первым входом шестого вычитающего устройства и входом интегратора, выход которого соединен с первыми входами шестого умножителя и вторым входом шестого вычитающего устройства, выход которого соединен со вторым входом первого делителя, первый вход которого соединен с выходом шестого умножителя, второй вход которого соединен с выходом шестого функционального преобразователя, вход которого соединен с выходом седьмого вычитающего устройства, выход первого делителя соединен с входом пятого функционального преобразователя, выход которого соединен с первым входом пятого вычитающего устройства, второй вход которого соединен с выходом восьмого функционального преобразователя, выход которого также соединен со вторым входом седьмого вычитающего устройства, выход пятого вычитающего устройства соединен с входом седьмого функционального преобразователя, выходы второго, третьего, четвертого и пятого ключей соединены соответственно с первыми входами восьмого вычитающего устройства, седьмого и одновременно восьмого умножителей, первым и вторым входами девятого вычитающего устройства, с первым входом которого одновременно соединен первый вход седьмого вычитающего устройства, выход которого соединен с входом шестого функционального преобразователя, выходы седьмого и восьмого умножителей соединены соответственно со вторыми входами восьмого вычитающего устройства и второго делителя, первый вход которого соединен с выходом восьмого вычитающего устройства, а выход с входом восьмого функционального преобразователя, выход девятого вычитающего устройства соединен со входами девятого и десятого функциональных преобразователей, выходы которых соединены соответственно со вторыми входами седьмого и восьмого умножителей, выход второго генератора импульсов соединен со входом второго сдвигового регистра, первый и второй выходы которого соединены соответственно со вторыми входами четвертого и второго, пятого и третьего ключей, выход седьмого функционального преобразователя является выходом блока определения ракурса цели.
16. Устройство по п.11, отличающееся тем, что блок формирования команды на подрыв боевой части ракеты состоит из третьего, четвертого и пятого делителей, девятого умножителя, девятого вычитающего устройства, четвертого и пятого суммирующих устройств, четвертого и пятого сравнивающих устройств, второго и третьего элементов И-НЕ, второго и третьего элементов И, шестого, седьмого и восьмого ключей, четвертого задатчика постоянных сигналов, причем первый, второй, третий, четвертый, пятый и шестой входы блока формирования команды на подрыв боевой части ракеты являются соответственно первыми и вторыми входами четвертого, третьего делителей, первым входом пятого делителя, входом пятого сравнивающего устройства, кроме того, второй вход третьего делителя соединен со вторым входом пятого делителя и со вторым входом четвертого сравнивающего устройства, выходы третьего, четвертого и пятого делителей соединены соответственно с первым, вторым входами девятого вычитающего устройства и первым входом девятого умножителя, выход которого соединен с третьим входом девятого вычитающего устройства, первый, второй, третий, четвертый, пятый выходы четвертого задатчика постоянных сигналов соединены соответственно с первыми входами пятого и четвертого сравнивающих устройств, вторыми входами шестого, седьмого и восьмого ключей, выходы четвертого и пятого сравнивающих устройств соединены соответственно с первыми входами второго элемента И и третьего элемента И-НЕ, шестого ключа и второго элемента И-НЕ, выход которого соединен со вторым входом второго элемента И и первым входом третьего элемента И, выходы которых соответственно соединены с первыми входами седьмого и восьмого ключей, выходы которых соединены соответственно со вторым входом четвертого суммирующего устройства и вторым входом пятого суммирующего устройства, первый вход которого соединен с выходом шестого ключа, а выход со вторым входом девятого умножителя, выход которого соединен с третьим входом девятого вычитающего устройства, выход которого соединен с первым входом четвертого суммирующего устройства, выход которого является выходом блока формирования команды на подрыв боевой части ракеты.
РИСУНКИ
|
|