Патент на изобретение №2291867
|
|||||||||||||||||||||||||||||||||||||||||||||||||||||||||||||||||||||||||||||||||||||||||||||||||||||||||||||||||||||||||||||||||||||||||||||||||||||||||||||||||||||||||||||||||||||||||||||||||||||||||||||||||||||||||||||||||||||||||||||||
(54) ЗАМЕЩЕННЫЕ ПРОИЗВОДНЫЕ БЕНЗОПИРАНА ПРОТИВ АРИТМИИ
(57) Реферат:
Настоящее изобретение касается производных бензопирана формулы (1) или формулы (2) где каждый из R1 и R2 независимо от другого означает атом водорода, R3 означает гидроксильную группу; R4 означает атом водорода; R5 означает C1-6-алкильную группу, замещенную С6-14-арильной группой, где указанная C1-6-алкильная группа может быть, необязательно, замещена гидроксильной группой, метильной группой, и указанная С6-14-арильная группа может быть, необязательно, замещена 1-3 R7 (где R7 представляет галоген или аминогруппу) или линейную С5-8-алкильную группу; R6 означает C1-6-алкильную группу (где указанная алкильная группа может быть, необязательно, замещена гидроксильной группой или аминогруппой) галоген, нитрогруппу или C(O)NH2; исключая соединение формулы 1, где R6 означает NO2 в положении 6, R5 обозначает CH2CH2Ph и R1 и R2 обозначают метил; и соединение формулы 1, где R6 обозначает бром в положении 6, R5 обозначает бензил и R1 и R2 обозначает метил, или их фармацевтически приемлемых солей, а также фармацевтического препарата на их основе. Указанные соединения полезны в качестве противоаритмических средств. 2 н. и 6 з.п. ф-лы, 7 табл.
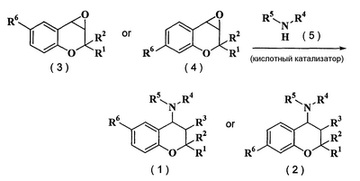
Настоящее изобретение относится к замещенным производным бензопирана, оказывающим пролонгирующее действие на рефракторный период, используемым для лечения аритмии у млекопитающих, включая человека. В качестве производных бензопирана известны производные 4-ациламинобензопирана, представленные в качестве примера Cromakalim’ом (выложенная патентная заявка Японии № Sho 58-67683). Известно, что эти 4-ациламинопроизводные бензопирана, представленные в качестве примера Cromakalim’ом, открывают АТФ-чувствительный канал K+, являясь по этой причине эффективными для лечения гипертензии и астмы, но какое-либо упоминание о возможности лечения аритмии, основанной на пролонгирующем действии на рефракторный период, отсутствует. В настоящее время общепринятые средства против аритмии, обладающие, в качестве основного механизма воздействия, пролонгирующим действием на рефракторный период (такие как лекарственные средства класса I согласно классификации противоаритмических средств по Vaughan Williams или d-соталол, принадлежащий к классу III), связаны с терапевтическими проблемами, состоящими в индуцировании очень опасной аритмии, приводящей к скоропостижной смерти от таких нарушений, в числе прочих, как трепетание-мерцание, связанными с пролонгированием потенциала действия в мышце желудочка, коррелируемым с пролонгирующим действием на рефракторный период. Таким образом, крайне необходимы лекарственные средства с меньшим нежелательным воздействием. Заявителями настоящего изобретения открыты соединения, оказывающие пролонгирующее действие на рефракторный период, селективное в отношении мышцы предсердия, но не мышцы желудочка, и обнаружено, что соединение формулы (1) или формулы (2) обладает пролонгирующим действием на рефракторный период, селективным в отношении мышцы предсердия, не оказывая влияния на рефракторный период и потенциал действия в мышце желудочка. Заявители настоящего изобретения с интересом изучали производные бензопирана и обнаружили, что соединение формулы (1) или формулы (2) обладает достаточно сильным пролонгирующим действием на рефракторный период для того, чтобы быть полезным в качестве противоаритмического средства. Таким образом, изобретение было завершено. Настоящее изобретение касается производного бензопирана формулы (1) или формулы (2) где каждый из R1 и R2 независимо от другого означает атом водорода или C1-6-алкильную группу (где указанная алкильная группа может быть, необязательно, замещена атомом галогена, C1-6-алкоксигруппой или гидроксильной группой); R3 означает гидроксильную группу или C1-6-алкилкарбонилоксигруппу; R4 означает атом водорода или C1-6-алкильную группу; R5 означает C1-6-алкильную группу, замещенную C6-14-арильной группой или гетероарильной группой [где указанная C1-6-алкильная группа может быть, необязательно, замещена гидроксильной группой, метильной группой, и указанная C6-14-арильная группа или гетероарильная группа может быть, необязательно, замещена 1-3 R7 (где R7 может быть, необязательно, замещен атомом галогена, нитрогруппой, цианогруппой, гидроксильной группой, формильной группой, формамидной группой, аминогруппой, C1-6-алкильной группой, C1-6-алкоксигруппой (где указанная C1-6-алкильная группа, C1-6-алкоксигруппа может быть, необязательно, замещена атомом галогена), C3-6-циклоалкильной группой, C1-6-алкиламиногруппой, ди-C1-6-алкиламиногруппой, C1-6-алкилкарбониламиногруппой, C1-6-алкилсульфониламино-группой, аминокарбонильной группой, C1-6-алкиламинокарбонильной группой, ди-C1-6-алкиламинокарбонильной группой, C1-6-алкилкарбонильной группой, C1-6-алкоксикарбонильной группой, аминосульфонильной группой, C1-6-алкилсульфонильной группой, карбоксильной группой или бензоильной группой (где указанная бензоильная группа может быть, необязательно, замещена C1-6-алкильной группой, C1-6-алкоксигруппой, атомом галогена, нитрогруппой или цианогруппой))], или линейной C5-8-алкильной группой (где указанная C5-8-алкильная группа может быть, необязательно, замещена атомом фтора или гидроксильной группой); R6 означает C1-6-алкильную группу (где указанная алкильная группа может быть, необязательно, замещена гидроксильной группой, карбоксильной группой, аминогруппой, C1-6-алкиламиногруппой, ди-C1-6-алкиламино-группу, C(O)OR8, NHSO2R8, C(O)NH2, C(O)NHR8 или C(O)NR8R9 (где каждый из R8 и R9 независимо от другого означает C1-6-алкильную группу, замещенную C6-14-арильной группой или гетероарильной группой, или C1-6-алкильной группой)), C1-6-алкоксигруппу, атом галогена, нитрогруппу, C(O)NH2, C(O)NHR8 или C(O)NR8R9 (где каждый из R8 и R9 независимо от другого означает C1-6-алкильную группу, замещенную C6-14-арильной группой или гетероарильной группой, или C1-6-алкильной группой)]; или его фармацевтически приемлемой соли. Соединение по настоящему изобретению оказывает сильное пролонгирующее действие на рефракторный период и может быть использовано для лечения аритмии. Конкретные соответствующие заместители для соединения (1) по настоящему изобретению указаны ниже. Кроме того, в данном описании “n” означает нормальный (н), “i” означает изо (изо), “s” означает вторичный (втор), “t” означает третичный (трет), “c” означает цикло (цикло), “o” означает орто (о), “m” означает мета (м) и “p” означает пара (п). Примерами C1-6-алкильной группы являются такие, как метил, этил, н-пропил, изопропил, н-бутил, изобутил, втор-бутил, трет-бутил, 1-пентил, 2-пентил, 3-пентил, изопентил, неопентил, 2,2-диметилпропил, 1-гексил, 2-гексил, 3-гексил, 1-метил-н-пентил, 1,1,2-триметил-н-пропил, 1,2,2-триметил-н-пропил, 3,3-диметил-н-бутил, трифторметил, трифторэтил, пентафторэтил, цианометил, гидроксиметил и тому подобное. Предпочтительными являются: метил, этил, н-пропил, изопропил и н-бутил. Примерами галогенов являются такие, как фтор, хлор, бром и иод. Предпочтительно могут быть упомянуты: фтор, хлор и бром. Примерами C1-6-алкоксигруппы являются такие, как метокси, трифторметокси, этокси, н-пропокси, изопропокси, н-бутокси, изобутокси, втор-бутокси, трет-бутокси, 1-пентилокси, 2-пентилокси, 3-пентилокси, изопентилокси, неопентилокси, 2,2-диметилпропокси, 1-гексилокси, 2-гексилокси, 3-гексилокси, 1-метил-н-пентилокси, 1,1,2-триметил-н-пропокси, 1,2,2-триметил-н-пропокси, 3,3-диметил-н-бутокси и тому подобное. Предпочтительными являются: метокси, этокси, н-пропокси и изопропокси. Примерами C1-6-алкилкарбонилокси-группы являются такие, как метилкарбонилокси, этилкарбонилокси, н-пропилкарбонилокси, изопропилкарбонилокси, н-бутилкарбонилокси, изобутилкарбонилокси, втор-бутилкарбонилокси, трет-бутилкарбонилокси, 1-пентилкарбонилокси, 2-пентилкарбонилокси, 3-пентилкарбонилокси, изопентилкарбонилокси, неопентилкарбонилокси, трет-пентилкарбонилокси, 1-гексилкарбонилокси, 2-гексилкарбонилокси, 3-гексилкарбонилокси, 1-метил-н-пентилкарбонилокси, 1,1,2-триметил-н-пропилкарбонилокси, 1,2,2-триметил-н-пропилкарбонилокси, 3,3-диметил-н-бутилкарбонилокси и тому подобное. Предпочтительными являются: метилкарбонилокси, этилкарбонилокси, н-пропилкарбонилокси, изопропилкарбонилокси, н-бутилкарбонилокси и трет-бутилкарбонилокси. Примерами C6-14-арильной группы являются такие, как фенил, дифенил, нафтил, антрил, фенантрил и тому подобное. Предпочтительными является фенил. Примерами гетероарильной группы являются такие, как 2-тиенильная группа, 3-тиенильная группа, 2-фурильная группа, 3-фурильная группа, 2-пиранильная группа, 3-пиранильная группа, 4-пиранильная группа, 2-бензофуранильная группа, 3-бензофуранильная группа, 4-бензофуранильная группа, 5-бензофуранильная группа, 6-бензофуранильная группа, 7-бензофуранильная группа, 1-изобензофуранильная группа, 4-изобензофуранильная группа, 5-изобензофуранильная группа, 2-бензотиенильная группа, 3-бензотиенильная группа, 4-бензотиенильная группа, 5-бензотиенильная группа, 6-бензотиенильная группа, 7-бензотиенильная группа, 1-изобензотиенильная группа, 4-изобензотиенильная группа, 5-изобензотиенильная группа, 2-хроменильная группа, 3-хроменильная группа, 4-хроменильная группа, 5-хроменильная группа, 6-хроменильная группа, 7-хроменильная группа, 8-хроменильная группа, 1-пирролильная группа, 2-пирролильная группа, 3-пирролильная группа, 1-имидазолильная группа, 2-имидазолильная группа, 4-имидазолильная группа, 1-пиразолильная группа, 3-пиразолильная группа, 4-пиразолильная группа, 2-тиазолильная группа, 4-тиазолильная группа, 5-тиазолильная группа, 3-изотиазолильная группа, 4-изотиазолильная группа, 5-изотиазолильная группа, 2-оксазолильная группа, 4-оксазолильная группа, 5-оксазолильная группа, 3-изооксазолильная группа, 4-изооксазолильная группа, 5-изооксазолильная группа, 2-пиридильная группа, 3-пиридильная группа, 4-пиридильная группа, 2-пирадинильная группа, 2-пиримидинильная группа, 4-пиримидинильная группа, 5-пиримидинильная группа, 3-пиридазинильная группа, 4-пиридазинильная группа, 1-индолизинильная группа, 2-индолизинильная группа, 3-индолизинильная группа, 5-индолизинильная группа, 6-индолизинильная группа, 7-индолизинильная группа, 8-индолизинильная группа, 1-изоиндолильная группа, 4-изоиндолильная группа, 5-изоиндолильная группа, 1-индолильная группа, 2-индолильная группа, 3-индолильная группа, 4-индолильная группа, 5-индолильная группа, 6-индолильная группа, 7-индолильная группа, 1-индазолильная группа, 2-индазолильная группа, 3-индазолильная группа, 4-индазолильная группа, 5-индазолильная группа, 6-индазолильная группа, 7-индазолильная группа, 2-хинолильная группа, 3-хинолильная группа, 4-хинолильная группа, 5-хинолильная группа, 6-хинолильная группа, 7-хинолильная группа, 8-хинолильная группа, 1-изохинолильная группа, 3-изохинолильная группа, 4-изохинолильная группа, 5-изохинолильная группа, 6-изохинолильная группа, 7-изохинолильная группа, 8-изохинолильная группа, 1-фталазинильная группа, 5-фталазинильная группа, 6-фталазинильная группа, 2-нафтиридинильная группа, 3-нафтиридинильная группа, 4-нафтиридинильная группа, 2-хиноксалинильная группа, 5-хиноксалинильная группа, 6-хиноксалинильная группа, 2-хиназолинильная группа, 4-хиназолинильная группа, 5-хиназолинильная группа, 6-хиназолинильная группа, 7-хиназолинильная группа, 8-хиназолинильная группа и тому подобные. Предпочтительными являются: 2-пиридильная группа, 3-пиридильная группа и 4-пиридильная группа. Примерами C3-6-циклоалкильной группы являются такие, как циклопропил, циклобутил, циклопентил, циклогексил, циклогептил, циклооктил и тому подобное. Предпочтительными являются: циклопропил, циклобутил и циклогексил. Примерами C1-6-алкиламиногруппы являются такие, как метиламино, этиламино, н-пропиламино, изопропиламино, циклопропиламино, н-бутиламино, изобутиламино, втор-бутиламино, трет-бутиламино, циклобутиламино, 1-пентиламино, 2-пентиламино, 3-пентиламино, изопентиламино, неопентиламино, трет-пентиламино, циклопентиламино, 1-гексиламино, 2-гексиламино, 3-гексиламино, циклогексиламино, 1-метил-н-пентиламино, 1,1,2-триметил-н-пропиламино, 1,2,2-триметил-н-пропиламино, 3,3-диметил-н-бутиламино и тому подобное. Предпочтительно могут быть упомянуты: метиламино, этиламино, н-пропиламино, изопропиламино и н-бутиламино. Примерами ди-C1-6-алкиламиногруппы являются такие, как диметиламино, диэтиламино, ди-н-пропиламино, диизопропиламино, дициклопропиламино, ди-н-бутиламино, диизобутиламино, ди-втор-бутиламино, ди-трет-бутиламино, дициклобутиламино, ди-1-пентиламино, ди-2-пентиламино, ди-3-пентиламино, диизопентиламино, динеопентиламино, ди-трет-пентиламино, дициклопентиламино, ди-1-гексиламино, ди-2-гексиламино, ди-3-гексиламино, дициклогексиламино, ди-(1-метил-н-пентил)амино, ди-(1,1,2-триметил-н-пропил)амино, ди-(1,2,2-триметил-н-пропил)амино, ди-(3,3-диметил-н-бутил)амино, метил(этил)амино, метил(н-пропил)амино, метил(изопропил)амино, метил(циклопропил)амино, метил(н-бутил)амино, метил(изобутил)амино, метил(втор-бутил)амино, метил(трет-бутил)-амино, метил(циклобутил)амино, этил(н-пропил)амино, этил(изопропил)амино, этил(циклопропил)амино, этил(н-бутил)-амино, этил(изобутил)амино, этил(втор-бутил)амино, этил(трет-бутил)амино, этил(циклобутил)амино, н-пропил(изопропил)амино, н-пропил(циклопропил)амино, н-пропил(н-бутил)амино, н-пропил-(изобутил)амино, н-пропил(втор-бутил)амино, н-пропил(трет-бутил)амино, н-пропил(циклобутил)амино, изопропил(циклопропил)амино, изопропил(н-бутил)амино, изопропил(изобутил)амино, изопропил(втор-бутил)амино, изопропил(трет-бутил)амино, изопропил(циклобутил)амино, циклопропил(н-бутил)амино, циклопропил(изобутил)амино, циклопропил(втор-бутил)амино, циклопропил(трет-бутил)амино, циклопропил(циклобутил)амино, н-бутил(изобутил)амино, н-бутил-(втор-бутил)амино, н-бутил(трет-бутил)амино, н-бутил-(циклобутил)амино, изобутил(втор-бутил)амино, изобутил(трет-бутил)амино, изобутил(циклобутил)амино, втор-бутил(трет-бутил)амино, втор-бутил(циклобутил)амино, трет-бутил-(циклобутил)амино и тому подобное. Предпочтительными являются: диметиламино, диэтиламино, ди-н-пропиламино, диизопропиламино и ди-н-бутиламино. Примерами C1-6-алкилкарбониламиногруппы являются такие, как метилкарбониламино, этилкарбониламино, н-пропилкарбониламино, изопропилкарбониламино, н-бутилкарбониламино, изобутилкарбониламино, втор-бутилкарбониламино, трет-бутилкарбониламино, 1-пентилкарбониламино, 2-пентилкарбониламино, 3-пентилкарбониламино, изопентилкарбониламино, неопентилкарбониламино, трет-пентилкарбониламино, 1-гексилкарбониламино, 2-гексилкарбониламино, 3-гексилкарбониламино и тому подобное. Предпочтительными являются: метилкарбониламино, этилкарбониламино, н-пропилкарбониламино, изопропилкарбониламино и н-бутилкарбониламино. Примерами C1-6-алкилсульфониламиногруппы являются такие, как метилсульфониламино, этилсульфониламино, н-пропилсульфониламино, изопропилсульфониламино, н-бутилсульфониламино, изобутилсульфониламино, втор-бутилсульфониламино, трет-бутилсульфониламино, 1-пентилсульфониламино, 2-пентилсульфониламино, 3-пентилсульфониламино, изопентилсульфониламино, неопентилсульфониламино, трет-пентилсульфониламино, 1-гексилсульфониламино, 2-гексилсульфониламино, 3-гексилсульфониламино и тому подобное. Предпочтительными являются: метилсульфониламино, этилсульфониламино, н-пропилсульфониламино, изопропилсульфониламино и н-бутилсульфониламино. Примерами C1-6-алкиламинокарбонильной группы являются такие, как метиламинокарбонил, этиламинокарбонил, н-пропиламинокарбонил, изопропиламинокарбонил, н-бутиламинокарбонил, изобутиламинокарбонил, втор-бутиламинокарбонил, трет-бутиламинокарбонил, 1-пентиламинокарбонил, 2-пентиламинокарбонил, 3-пентиламинокарбонил, изопентиламинокарбонил, неопентиламинокарбонил, трет-пентиламинокарбонил, 1-гексиламинокарбонил, 2-гексиламинокарбонил, 3-гексиламинокарбонил и тому подобное. Предпочтительными являются: метиламинокарбонил, этиламинокарбонил, н-пропиламинокарбонил, изопропиламинокарбонил и н-бутиламинокарбонил. Примерами ди-C1-6-алкиламинокарбонильной группы являются такие, как диметиламинокарбонил, диэтиламинокарбонил, ди-н-пропиламинокарбонил, диизопропиламинокарбонил, дициклопропиламинокарбонил, ди-н-бутиламинокарбонил, диизобутиламинокарбонил, ди-втор-бутиламинокарбонил, ди-трет-бутиламинокарбонил, дициклобутиламинокарбонил, ди-1-пентиламинокарбонил, ди-2-пентиламинокарбонил, ди-3-пентиламинокарбонил, диизопентиламинокарбонил, ди-неопентиламинокарбонил, ди-трет-пентиламинокарбонил, дициклопентиламинокарбонил, ди-1-гексиламинокарбонил, ди-2-гексиламинокарбонил, ди-3-гексиламинокарбонил и тому подобное. Предпочтительными являются: диметиламинокарбонил, диэтиламинокарбонил, ди-н-пропиламинокарбонил, диизопропиламинокарбонил, дициклопропиламинокарбонил и ди-н-бутиламинокарбонил. Примерами C1-6-алкилкарбонильной группы являются такие, как метилкарбонил, этилкарбонил, н-пропилкарбонил, изопропилкарбонил, н-бутилкарбонил, изобутилкарбонил, втор-бутилкарбонил, трет-бутилкарбонил, 1-пентилкарбонил, 2-пентилкарбонил, 3-пентилкарбонил, изопентилкарбонил, неопентилкарбонил, трет-пентилкарбонил, 1-гексилкарбонил, 2-гексилкарбонил, 3-гексилкарбонил и тому подобное. Предпочтительными являются: метилкарбонил, этилкарбонил, н-пропилкарбонил, изопропилкарбонил н-бутилкарбонил. Примерами C1-6-алкоксикарбонильной группы являются такие, как метоксикарбонил, этоксикарбонил, н-пропоксикарбонил, изопропоксикарбонил, н-бутоксикарбонил, изобутоксикарбонил, втор-бутоксикарбонил, трет-бутоксикарбонил, 1-пентилоксикарбонил, 2-пентилоксикарбонил, 3-пентилоксикарбонил, изопентилоксикарбонил, неопентилоксикарбонил, трет-пентилоксикарбонил, 1-гексилоксикарбонил, 2-гексилоксикарбонил, 3-гексилоксикарбонил и тому подобное. Предпочтительными являются: метоксикарбонил, этоксикарбонил, н-пропоксикарбонил, изопропоксикарбонил, н-бутоксикарбонил, изобутоксикарбонил, втор-бутоксикарбонил и трет-бутоксикарбонил. Примерами C1-6-алкилсульфонильной группы являются такие, как метансульфонил, этансульфонил и тому подобное. Примерами линейной C5-8-алкильной группы являются такие, как н-пентильная группа, 5-гидрокси-н-пентильная группа, 5-трифтор-н-пентильная группа, н-гексильная группа, 6-гидрокси-н-гексильная группа, 6-трифтор-н-гексильная группа, н-гептильная группа, н-октильная группа и тому подобное. Предпочтительными являются: н-пентильная группа, н-гексильная группа. В качестве предпочтительных соединений, используемых по настоящему изобретению, могут быть упомянуты следующие соединения. 1. Производное бензопирана формулы (1) или формулы (2), или его фармацевтически приемлемая соль, где как R1, так и R2 означают метильную группу, R3 означает гидроксильную группу и R4 означает атом водорода. 2. Производное бензопирана или его фармацевтически приемлемая соль, указанные выше в п.(1), где R5 означает C1-6-алкильную группу, замещенную C6-14-арильной группой. 3. Производное бензопирана или его фармацевтически приемлемая соль, указанные выше в п.(2), где R6 означает нитрогруппу. 4. Производное бензопирана формулы (2) или его фармацевтически приемлемая соль, указанные выше в п.(3). 5. Производное бензопирана или его фармацевтически приемлемая соль, указанные выше в п.(2), где R6 означает C(O)NH2. 6. Производное бензопирана или его фармацевтически приемлемая соль, указанные выше в п.(2), где R6 означает метильную группу. Конкретные примеры соединений, которые могут быть использованы по настоящему изобретению, представлены ниже, но настоящее изобретение не ограничивается указанными примерами. Вдобавок, “Me” означает метильную группу, “Et” означает этильную группу, “Pr” означает пропильную группу, “Bu” означает бутильную группу, “Pen” означает пентильную группу, “Hex” означает гексильную группу, “Ph” означает фенильную группу, “o” означает “орто” (о), “m” означает “мета” (м) и “p” означает “пара” (п), соответственно. Соединение по настоящему изобретению имеет асимметричные углеродные атомы в 3-положении и 4-положении, поэтому существуют оптические изомеры, основанные на асимметричных углеродных атомах, и оптически активные вещества также могут быть использованы при применении настоящего изобретения, как и рацемические модификации. Кроме того, могут быть включены цис- и транс-изомеры, основанные на конфигурации в 3-положении и 4-положении, но транс-изомер является предпочтительным. Далее, когда соединения могут образовывать соли, их фармацевтически приемлемые соли также могут быть использованы в качестве активных ингредиентов. Примерами фармацевтически приемлемой соли являются такие соли, как гидрохлориды, гидробромиды, сульфаты, метансульфонаты, ацетаты, бензоаты, тартраты, фосфаты, лактаты, малеаты, фумараты, малаты, фумараты, глюконаты, салицилаты и тому подобные. Предпочтительными являются гидрохлориды, метансульфонаты и малеаты. Ниже иллюстрируется способ получения соединения по настоящему изобретению. Соединение формулы (1) или формулы (2) может быть получено взаимодействием соединения формулы (3) или формулы (4) с соединением (5) в инертном растворителе, как указано ниже на реакционной схеме. Соединение формулы (3) или формулы (4) может быть синтезировано известными способами (способы описаны в J. M. Evans et al., J. Med. Chem. 1984, 27, 1127; J. Med. Chem. 1986, 29, 2194; J. T. North et al., J. Org. Chem. 1995, 60, 3397; а также в выложенной патентной заявке Японии № Sho 56-57785, выложенной патентной заявке Японии № Sho 56-57786, выложенной патентной заявке Японии № Sho 58-188880, выложенной патентной заявке Японии № Hei 2-141, выложенной патентной заявке Японии № Hei 10-87650 и выложенной патентной заявке Японии № Hei 11-209366 и тому подобном). В качестве растворителей, используемых при взаимодействии соединения формулы (3) или формулы (4) с соединением (5), могут быть использованы следующие. Могут использоваться растворители сульфоксидного типа, представленные диметилсульфоксидом; растворители амидного типа, представленные диметилформамидом или диметилацетамидом; растворители типа простых эфиров, представленные диэтиловым эфиром, диметоксиэтаном или тетрагидрофураном; растворители галогенового типа, представленные дихлорметаном, хлороформом и дихлорэтаном; растворители нитрилового типа, представленные ацетонитрилом и пропионитрилом; растворители ароматического углеводородного типа, представленные бензолом и толуолом; растворители углеводородного типа, представленные гексаном и гептаном; и растворители сложноэфирного типа, представленные этилацетатом. Кроме того, взаимодействие может быть проведено в отсутствии растворителя. Предпочтительно могут быть упомянуты растворители типа простых эфиров и растворители нитрилового типа. Температура взаимодействия находится обычно в пределах от -80°C до температуры кипения реакционного растворителя, предпочтительно, от -10°C до 100°C. Молярное соотношение реакционных материалов находится в пределах 0,5-20,0, предпочтительно, 1,0-10,0, для соотношений соединение (5)/соединение (3) или соединение (5)/соединение (4). При взаимодействии может быть использован кислотный катализатор. Примерами используемого кислотного катализатора служат такие, как неорганические кислоты, представленные хлористоводородной кислотой и серной кислотой, и кислоты Льюиса, представленные хлоридом алюминия, тетрахлоридом титана, также могут быть упомянуты комплекс трифторида бора и диэтилового эфира, перхлорная кислота, перхлорат лития, бромид лития и трифторметансульфонат иттербия. Предпочтительными являются: бромид лития, перхлорная кислота и перхлорат лития. Соединения формулы (2) могут быть получены диазотированием соединения формулы (6) с последующей реакцией восстановительного деаминирования, как показано на приведенной ниже реакционной схеме (способ, описанный в выложенной патентной заявке Японии № Sho 52-91866). Соединение формулы (6) может быть синтезировано известными способами (способами, описанными в J. M. Evans et al., J. Med. Chem. 1984, 27, 1127; J. Med. Chem. 1986, 29, 2194; а также в выложенной патентной заявке Японии № Sho 56-57785, выложенной патентной заявке Японии № Sho 56-57786, выложенной патентной заявке Японии № Sho 58-188880, выложенной патентной заявке Японии № Hei 2-141, выложенной патентной заявке Японии № Hei 10-87650 и выложенной патентной заявке Японии № Hei 11-209366, выложенной патентной заявке Японии № 2001-151767 и тому подобном). Примерами кислоты, используемой при диазотировании, являются такие, как хлористоводородная кислота, серная кислота и тому подобные. Примерами восстанавливающего агента, используемого в реакции восстановительного деаминирования соли диазония, являются такие соединения как спирт, представленный метанолом и этанолом, фосфорноватистая кислота, боргидрид натрия и тому подобные, но предпочтительной является фосфорноватистая кислота. Синтез оптически активных соединений, относящихся к числу соединений формулы (1) или формулы (2), может быть осуществлен путем использования методов оптического разделения (выложенная патентная заявка Японии № Hei 3-141286, патент США № 5.097.037 и европейский патент № 409.165). Кроме того, синтез оптически активных соединений формулы (3) или формулы (4) может быть осуществлен путем использования методов асимметрического синтеза (национальная заявка Японии № Hei 5-507645, выложенная патентная заявка Японии № Hei 5-301878, выложенная патентная заявка Японии № Hei 7-285983, европейская выложенная патентная заявка № 535377 и патент США № 5420314). Как указано выше, заявителями настоящего изобретения обнаружено, что соединение формулы (1) или формулы (2) обладает пролонгирующим действием на рефракторный период. Пролонгирующее действие на рефракторный период является одним из механизмов противоаритмического действия и служит важным показателем, на основании которого можно проводить оценку эффективности при клинической аритмии. Общепринятые средства против аритмии, обладающие, в качестве основного механизма воздействия, пролонгирующим действием на рефракторный период (такие как d-соталол, принадлежащий к классу III согласно классификации противоаритмических средств по Vaughan Williams), связаны с терапевтическими проблемами, состоящими в индуцировании очень опасной аритмии, приводящей к скоропостижной смерти от таких нарушений, в числе прочих, как трепетание-мерцание, связанными с пролонгированием потенциала действия в мышце желудочка, коррелируемым с пролонгирующим действием на рефракторный период и, таким образом, терапевтическая задача сводится в основном к аритмии мышцы предсердия (такой как суправентрикулярная тахикардия, трепетание предсердий, мерцание предсердий и тому подобное). В целях решения проблем заявители настоящего изобретения провели исследование соединений, оказывающих пролонгирующее действие на рефракторный период, селективное в отношении мышцы предсердия, но не мышцы желудочка, и обнаружили, что соединение формулы (1) или формулы (2) обладает пролонгирующим действием на рефракторный период, селективным в отношении мышцы предсердия, не оказывая влияния на рефракторный период и потенциал действия в мышце желудочка. Различие между открытиями заявителей по настоящему изобретению и известными из предшествующего уровня техники состоит в обеспечении пролонгирующего действия указанной группы соединений на рефракторный период, селективного в отношении мышцы предсердия, такое действие может быть подтверждено теми фактами, что отсутствует влияние на потенциал действия в течение длительного времени для изолированной мышцы желудочка и отсутствует влияние на QT в электрокардиограмме анестезированного животного. Из сказанного выше следует, что соединения по настоящему изобретению не оказывают индуцирующего действия в отношении аритмии мышцы желудочка, таким образом, они могут быть намного безопаснее при использовании в случае аритмии, главным образом, мышцы предсердия по сравнению с соединениями, известными из уровня техники. Представленные технические знания полезны при терапевтическом и профилактическом применении в качестве агентов против мерцания предсердий, агентов против трепетания предсердий и агентов против суправентрикулярной тахикардии, связанных с пароксизмальной, хронической, дооперационной, интраоперационной или послеоперационной предсердной аритмией, предупреждения прогрессирования, ведущего к эмболу, из-за аритмии предсердного характера, предупреждения прогрессирования, ведущего к желудочковой аритмии или тахикардии, из-за предсердной аритмии или тахикардии, и предотвращения опасного для жизни прогноза путем профилактического воздействия на предсердную аритмию или тахикардию, ведущих к желудочковой аритмии или тахикардии. Настоящее изобретение касается фармацевтической композиции или фармацевтической композиции для ветеринарии, содержащей соединение формулы (1) или формулы (2) в количестве, эффективном для указанного лечения. В качестве форм введения соединения по настоящему изобретению могут быть упомянуты парентеральные формы введения, такие как инъекции (подкожная, внутривенная, внутримышечная и внутрибрюшинная инъекции), мази, суппозитории, аэрозоли и тому подобное, и пероральные формы введения, такие как таблетки, капсулы, гранулы, пилюли, сиропы, растворы, эмульсии, суспензии и тому подобное. Вышеуказанная фармацевтическая композиция или фармацевтическая композиция для ветеринарии содержит соединение по настоящему изобретению в количестве около 0,01-99,5%, предпочтительно, около 0,1-30% по отношению к общей массе композиции. Дополнительно соединение по настоящему изобретению или композиция, содержащая соединение, могут включать другие фармацевтически активные или фармацевтически активные в ветеринарии соединения. Кроме того, данные композиции могут содержать целый ряд соединений по настоящему изобретению. Количество соединения по настоящему изобретению, используемое в целях клинического введения, может варьироваться в зависимости от возраста, массы и чувствительности пациента, симптоматического состояния и тому подобного, но эффективное количество для клинического введения обычно составляет около 0,003-1,5 г, предпочтительно, 0,01-0,6 г на день для взрослого пациента. Однако при необходимости может быть использовано количество, выходящее за вышеуказанные пределы. Соединение по настоящему изобретению формулируют для введения общепринятыми фармацевтическими способами. Так, таблетки, капсулы, гранулы и пилюли для перорального введения получают, используя наполнители, такие как сахароза, лактоза, глюкоза, крахмал и маннит; связующие вещества, такие как гидроксипропилцеллюлоза, очищенная патока, гуммиарабик, желатин, сорбит, трагакант, метилцеллюлоза и поливинилпирролидон; дезинтеграторы, такие как крахмал, карбоксиметилцеллюлоза или ее кальциевая соль, микрокристаллическая целлюлоза и полиэтиленгликоль; агенты скольжения, такие как тальк, стеарат магния или кальция и диоксид кремния; смазывающие агенты, такие как лаурат натрия и глицерин и тому подобное. Инъекции, растворы, эмульсии, суспензии, сиропы и аэрозоли получают, используя растворители для активных компонентов, такие как вода, этиловый спирт, изопропиловый спирт, пропиленгликоль, 1,3-бутиленгликоль и полиэтиленгликоль; поверхностно-активные вещества, такие как эфир сорбитана и жирной кислоты, эфир полиоксиэтиленсорбитана и жирной кислоты, эфир полиоксиэтилена и жирной кислоты, полиоксиэтиленовый эфир гидрогенизированного касторового масла и лецитин; суспендирующие агенты, такие как карбоксиметилнатриевая соль, производные целлюлозы, такие как метилцеллюлоза, трагакант и природные каучуки, такие как гуммиарабик; и консерванты, такие как эфиры п-гидроксибензойной кислоты, бензалконий хлорид и соли сорбиновой кислоты, и тому подобное. Для мазей, которые являются трансдермально адсорбируемыми фармацевтическими средствами, используют, например, белый вазелин, вазелиновое масло, высшие спирты, Macrogol мази, гидрофильные мази, водные основы гелевого типа и тому подобное. Суппозитории получают, используя, например, масло какао, полиэтиленгликоль, ланолин, триглицерид жирных кислот, кокосовое масло, полисорбат и тому подобное. Наилучший способ выполнения изобретения Настоящее изобретение иллюстрируется подробно следующими примерами, но данное изобретение не ограничивается этими примерами. Далее комплекс сален-марганец означает оптически активное соединение приведенной ниже формулы, синтезируемое способом, подобным описанному в выложенной патентной заявке Японии № Hei 7-285983. Кроме того, (3R*,4S*)-6-амино-3,4-дигидро-2,2-диметил-7-нитро-4-(2′-фенетиламино)-2H-1-бензопиран-3-ол, используемый в качестве исходного материала в примере синтеза 6, получают нагреванием соединения, синтезируемого способом, описанным в выложенной патентной заявке Японии № 2001-151767 (пример синтеза 72), в этаноле и 35% хлористоводородной кислоте. ПРИМЕРЫ СИНТЕЗА Ссылочный пример синтеза 1 (3R*,4R*)-6-Циано-3,4-эпокси-3,4-дигидро-2,2-диметил-2H-1-бензопиран К раствору (34 мл) этилацетата, содержащему 3,4 г (18 ммоль) 6-циано-2,2-диметил-2H-1-бензопирана (синтезирован способом, описанным в SYNTHSIS, 1995, 707), добавляют при комнатной температуре комплекс сален-марганец (0,56 г, 0,54 ммоль), 4-(3-фенилпропил)пиридиноксид (0,42 г, 1,8 ммоль) и водный раствор гипохлорита натрия (21 г, 12,8 мас.%, 36 ммоль) и затем перемешивают в течение одного часа при комнатной температуре. После фильтрации через целит при промывании водой отделяют органическую фазу, промывают насыщенным водным раствором хлорида натрия и сушат над безводным сульфатом натрия. После отгонки растворителя остаток очищают хроматографией на колонке с силикагелем (гексан:ацетон = 5:1) и затем перекристаллизовывают из смеси этилацетат-гексан, получая 2,05 г заданного соединения в виде светло-коричневого кристаллического вещества (выход 57%). 1Н-ЯМР (CDCl3) MC (EI) м/z: 145 (уш.п.), 201. Т.пл. 145,3-146,6°C. [ Ссылочный пример синтеза 2 (3R*,4R*)-3,4-Эпокси-6-этил-3,4-дигидро-2,2-диметил-2H-1-бензопиран К раствору (2 мл) этилацетата, содержащему 100 мг (0,53 ммоль) 6-этил-2,2-диметил-2H-1-бензопирана (синтезирован способом, описанным в выложенной патентной заявке Японии № Sho 62-273972), добавляют при комнатной температуре комплекс сален-марганец (17 мг, 0,016 ммоль), 4-(3-фенилпропил)пиридиноксид) (12 мг, 0,053 ммоль) и водный раствор гипохлорита натрия (0,96 г, 1,14 кг/моль, 1,1 ммоль) и затем перемешивают в течение двух часов при комнатной температуре. После фильтрации через целит при промывании водой отделяют органическую фазу, промывают насыщенным водным раствором хлорида натрия и сушат над безводным сульфатом натрия. После отгонки растворителя остаток очищают хроматографией на колонке с силикагелем (хлороформ), получая 75 мг заданного соединения в виде коричневого маслянистого вещества (выход 69%). 1Н-ЯМР (CDCl3) Ссылочный пример синтеза 3 (3R*,4R*)-3,4-Эпокси-3,4-дигидро-6-метил-2,2-диметил-2H-1-бензопиран 1Н-ЯМР (CDCl3) MC (EI) м/z: 135 (уш.п.), 189 [М-1]+. Ссылочный пример синтеза 4 (3R*,4S*)-6-Циано-4-(2-фенилэтиламино)-3,4-дигидро-2,2-диметил-2H-1-бензопиран-3-ол К раствору (13 мл) ацетонитрила, содержащего соединение, синтезированное по ссылочному примеру синтеза 1, (1,3 г, 6,5 ммоль) и перхлорат лития (2,8 г, 26 ммоль), добавляют при комнатной температуре 2-фенилэтиламин (3,3 мл, 26 ммоль) и перемешивают в течение одного часа при 65°C. После добавления этилацетата органическую фазу промывают водой и насыщенным водным раствором хлорида натрия, и затем сушат над безводным сульфатом натрия. После отгонки растворителя остаток очищают хроматографией на колонке с силикагелем (гексан:этилацетат = 3:1), получая 1,88 г заданного соединения в виде коричневого маслянистого вещества (выход 90%). 1Н-ЯМР (CDCl3) MC (EI) м/z: 202 (уш.п,), 323 [М+1]+. Ссылочный пример синтеза 5 (3R*,4S*)-6-Циано-4-[2-(4-фторфенил)этиламино]-3,4-дигидро-2,2-диметил-2H-1-бензопиран-3-ол Соединение синтезируют, используя 2-(4-фторфенил)этиламин, способом, аналогичным способу, описанному в ссылочном примере синтеза 4. Выход 91%. Коричневое маслянистое вещество 1Н-ЯМР (CDCl3) MC (EI) м/z: 109, 132 (уш.п,), 269, 340 [М]+. Ссылочный пример синтеза 6 (3R*,4S*)-6-Циано-4-[2-(2-фторфенил)этиламино]-3,4-дигидро-2,2-диметил-2H-1-бензопиран-3-ол Соединение синтезируют, используя 2-(2-фторфенил)этиламин, способом, аналогичным способу, описанному в ссылочном примере синтеза 4. Выход 73%. Коричневое маслянистое вещество 1Н-ЯМР (CDCl3) MC (EI) м/z: 109, 160 (уш.п.), 268, 341 [М+1]+. Пример синтеза 1 (3R*,4S*)-4-[2-(4-Хлорфенил)этиламино]-6-этил-3,4-дигидро-2,2-диметил-2Н-1-бензопиран-3-ол К раствору (0,30 мл) ацетонитрила, содержащего соединение, синтезированное по ссылочному примеру синтеза 2 (59 мг, 0,29 ммоль), и перхлорат лития (0,38 г, 1,2 ммоль), добавляют при комнатной температуре 2-(4-хлорфенил)этиламин (0,21 мл, 1,2 ммоль) и перемешивают в течение двух часов при 65°C. После добавления этилацетата органическую фазу промывают водой и насыщенным водным раствором хлорида натрия, и затем сушат над безводным сульфатом натрия. После отгонки растворителя остаток очищают хроматографией на колонке с силикагелем (хлороформ:этилацетат = 5:1), получая 36 мг заданного соединения в виде коричневого твердого вещества (выход 34%). 1Н-ЯМР (CDCl3) MC (EI) м/z: 290 (уш.п.), 341, 358 [М-1]+.
Пример 7 (свободн.) 1H-ЯМР (CDCl3) МС (ES) м/z свободн.; 362 [М+2]+ Пример 8 (свободн.) 1Н-ЯМР (CDCl3) МС (EI) м/z; 360 [М]+ Пример 9 1H-ЯМР (CDCl3) МС (ESI+) m/z; 376 [М+1]+ Пример 10 1H-ЯМР (CDCl3) МС (ESI+) m/z; 376 [M+1+HCO2H]+. *Эти соединения были определены в форме соли НСО2Н путем измерения с использованием LC-MS. Пример 11 (свободн.) 1Н-ЯМР (CDCl3) МС (ESI+) m/z: 312 [M+1]+. Пример 12 (свободн.) 1Н-ЯМР (CDCl3) МС (EI) m/z: 340 [М+1]+, 219 [bp, M-PhCH2CH2NH2]+ Пример 13 (свободн.) 1Н-ЯМР (CDCl3) МС (EI) м/z; 357 [М]+, 219 [M-H2NCH2CH2PhF, bp]+, 177, 161. Пример 14 (свободн.) 1H-ЯМР (CDCl3) МС (EI) m/z; 357 [М]+, 219, 177, 161. Пример 15 1Н-ЯМР (CDCl3) МС (EI) м/z; 356 [М+1]+, 219, 177, 161. Пример 16 (свободн.) 1Н-ЯМР (CDCl3) Пример 17 MC(ES) m/z; 360 [М]+ Пример 18 МС (FAB) m/z; 377 [M+1]+. Пример 19 MC (EI) m/z; 420 [M]+ Пример 20 (свободн.) 1H-ЯМР (CDCl3) Пример 21 (свободн.) 1H-ЯМР (DMSO) Пример 22 (свободн.) 1H-ЯМР (CDCl3) Пример 23 1Н-ЯМР (CDCl3) 2,84-2,98 (м, 4Н), 3,52 (д, J=9,9 Гц, 1Н), 3,62 (д, J=9,9 Гц, 1Н), 6,66-7,23 (м, 8Н). MC(EI) m/z; 330 [M+1]+ Пример 24 MC(ES) m/z; 418 [М]+ Пример 25 (свободн.) 1H-ЯМР (CDCl3) MC(ES) m/z; 308 [М]+ Пример 26 (свободн.) 1H-ЯМР (CDCl3) MC (EI) m/z: 306 [М+1]+, 219 [bp, M-CH3CH2CH2CH2CH2NH2]+. Пример синтеза 2 (3R*,4S*)-4-[2-(4-(4-Хлорфенил)этиламино]-3,4-дигидро-6-метил-2,2-диметил-2H-1-бензопиран-3-ол Соединение синтезируют, используя соединение, синтезированное в ссылочном примере синтеза 3, способом, аналогичным способу, описанному в примере синтеза 1. Выход 60%. Бесцветное кристаллическое вещество 1Н-ЯМР (CDCl3) MC (FAB) м/z: 346 [М]+ (уш.п.). Т.пл. 133-135°C. Пример синтеза 3 (3R*,4S*)-6-Карбамоил-4-(2-фенилэтиламино)-3,4-дигидро-2,2-диметил-2H-1-бензопиран-3-ол К раствору (7,2 мл) диметилсульфида, содержащего соединение, синтезированное в ссылочном примере синтеза 4 (1,44 г, 4,47 ммоль), при охлаждении льдом добавляют 30% водный раствор перекиси водорода (1,44 мл) и карбонат калия (93 мг, 0,67 ммоль) и перемешивают в течение 30 минут при комнатной температуре. После добавления небольшого количества воды и последующего добавления насыщенного бикарбоната натрия экстрагируют этилацетатом и сушат над безводным сульфатом натрия. После отгонки растворителя остаток перекристаллизовывают из растворителя этилацетат-гексан, получая 1,28 г заданного соединения в виде бесцветного кристаллического вещества (выход 84%). 1Н-ЯМР (CDCl3) MC (EI) м/z: 267 (уш.п.), 341 [М+1]+ Т.пл. 162,0-162,5°C. Пример синтеза 4 (3R*,4S*)-6-Карбамоил-4-[2-(4-фторфенил)этиламино]-3,4-дигидро-2,2-диметил-2H-1-бензопиран-3-ол Соединение синтезируют, используя соединение, синтезированное в ссылочном примере синтеза 5, способом, аналогичным способу, описанному в примере синтеза 3.Выход 79%. Бесцветное кристаллическое вещество 1Н-ЯМР (CDCl3) MC (EI) м/z: 177 (уш.п.), 286, 358 [М]+. Т.пл. 186,5-189,3°C. Пример синтеза 5 (3R*,4S*)-6-Карбамоил-4-[2-(4-фторфенил)этиламино]-3,4-дигидро-2,2-диметил-2H-1-бензопиран-3-ол Соединение синтезируют, используя соединение, синтезированное в ссылочном примере синтеза 6, способом, аналогичным способу, описанному в примере синтеза 3. Выход 34%. Бесцветное кристаллическое вещество 1Н-ЯМР (CDCl3) MC (EI) м/z: 286 (уш.п.), 359 [М+1]+. Т.пл. 149,0-152,1°C. Пример синтеза 6 (3R*,4S*)-3,4-Дигидро-2,2-диметил-7-нитро-4-(2′-фенетиламино)-2H-1-бензопиран-3-олмалеат К смешанному раствору уксусной кислоты (135 мл) и 4 моль/л хлористоводородной кислоты (135 мл), содержащему (3R*,4S*)-6-амино-3,4-дигидро-2,2-диметил-7-нитро-4-(2′-фенэтиламино)-2H-1-бензопиран-3-ол (45 г, 125,9 ммоль), добавляют по каплям водный раствор нитрита натрия (8,69 г, 125,9 ммоль, растворенный в 45 мл воды) при -20°C в течение 30 минут, с последующим добавлением по каплям 50% раствора фосфористой кислоты (225 мл). Температуру реакционного раствора повышают до 0°C и указанный раствор перемешивают в течение одного часа. Реакционную смесь подщелачивают (pH 12) с помощью 10 моль/л водного раствора гидроксида натрия, экстрагируют этилацетатом, затем органическую фазу промывают 1 моль/л водным раствором гидроксида натрия, насыщенным водным раствором хлорида аммония и насыщенным водным раствором хлорида натрия, и, наконец, сушат над безводным сульфатом натрия. После отгонки растворителя остаток очищают хроматографией на колонке с силикагелем (гексан:этилацетат = 5:1), заданное соединение в свободной форме получают в виде коричневого маслянистого вещества. Затем этанольный раствор (172 мл), содержащий малеиновую кислоту (13,5 г, 115 ммоль), добавляют по каплям в этанольный раствор (345 мл), содержащий соединение в свободной форме, в условиях кипения растворителя. Реакционный раствор перемешивают в течение одного часа при комнатной температуре. Полученные кристаллы фильтруют, промывают этанолом и сушат, получая заданное соединение (41,3 г, выход 72%). Светло-желтые кристаллы, т.пл. 201-202°C. 1Н-ЯМР (CDCl3) MC (EI) м/z; 343 [М+1]+, 105 (уш.п.). ПРЕПАРАТИВНЫЕ ПРИМЕРЫ Препаративный пример 1
Вышеуказанные ингредиенты смешивают общепринятым способом и затем получают 10.000 таблеток, покрытых сахарной оболочкой, каждая из которых содержит 1 мг активного ингредиента на таблетку. Препаративный пример 2
Вышеуказанные ингредиенты смешивают общепринятым способом и затем заполняют в желатиновые капсулы, получая 10000 капсул, каждая из которых содержит 1 мг активного ингредиента на капсулу. Препаративный пример 3
Вышеуказанные ингредиенты смешивают общепринятым способом и затем заполняют в мягкие желатиновые капсулы № 3, получая 10000 мягких капсул, каждая из которых содержит 1 мг активного ингредиента на капсулу. Препаративный пример 4
Вышеуказанные ингредиенты смешивают общепринятым способом, получая 1% мазь. Препаративный пример 5
(* торговое название соединений триглицеридного типа). Вышеуказанные ингредиенты смешивают в расплаве общепринятым способом, заливают в контейнеры для суппозиториев и охлаждают до затвердевания, получают 1.000 суппозиториев (1 г), каждый содержащий 1 мг активного ингредиента на суппозиторий. Препаративный пример 6
ПРИМЕР ФАРМАКОЛОГИЧЕСКОГО ИССЛЕДОВАНИЯ Действия на эффективный рефракторный период Методика Гончих собак анестезируют с помощью пентобарбитала натрия и осуществляют торакотомию вдоль серединной линии, применяя аппарат искусственной вентиляции легких, делают разрез на перикарде для раскрытия сердца. Снимают ЭКГ, используя биполярные электроды, присоединенные к поверхности освобожденной стенки правого предсердия, ушку правого предсердия и освобожденной стенки правого желудочка. Стимулируют блуждающие нервы, используя аппарат для электростимуляции с нихромовыми проводками, введенными двусторонне в блуждающие нервы шеи. Условия для электростимуляции блуждающих нервов устанавливают так, чтобы RR интервалы на ЭКГ имели продолжительность почти на 100 мсек больше по сравнению с RR интервалами до начала стимуляции. Предсердный и желудочковый эффективные рефракторные периоды определяют, применяют S1-S2-метод экстрастимуляции при длине основного цикла 300 мсек во время билатеральной стимуляции блуждающих нервов, используя программируемый электростимулятор. После ряда из 10 основных стимулов (S1) возникают преждевременные экстрастимулы (S2) при 2-кратной диастолической пороговой величине. Интервал S1-S2 последовательно снижают до 2 мсек, и эффективный рефракторный период определяют как точку, при которой S2 оказывается недостаточным, чтобы вызывать распространенный ответ. Для оценки эффективности лекарственного средства определяют предсердный и желудочковый эффективные рефракторные периоды перед введением лекарственного средства, затем вводят внутривенно соответствующее соединение при дозе 0,3 мг/кг и предсердный и желудочковый эффективные рефракторные периоды определяют через 5 мин после введения. Результаты выражены во времени пролонгации предсердного и желудочкового эффективных рефракторных периодов, т.е. [эффективный рефракторный период после введения лекарственного средства] – [эффективный рефракторный период до введения лекарственного средства] (мсек).
Результаты Соединения по настоящему изобретению оказывают пролонгирующее действие на эффективный рефракторный период, селективное в отношении предсердия. Эффективность действия соединений настоящего изобретения Соединения по настоящему изобретению оказывают пролонгирующее действие на эффективный рефракторный период, селективное в отношении предсердия, и поэтому могут быть использованы в качестве агентов против мерцания предсердий и агентов против суправентрикуляй тахикардии и полезны в качестве фармацевтических средств. Далее, поскольку соединения по настоящему изобретению оказывают слабое влияние на желудочек, они способны обеспечить безопасное лечение вышеуказанных аритмических состояний.
Формула изобретения
1. Производное бензопирана формулы (1) или формулы (2) где каждый из R1 и R2 независимо от другого означает водород или С1-6-алкильную группу; R3 означает гидроксильную группу; R4 означает водород; R5 означает С1-6-алкильную группу, замещенную С6-14-арильной группой, где указанная C1-6-алкильная группа может быть, необязательно, замещена гидроксильной группой, метильной группой, и указанная С6-14-арильная группа может быть, необязательно, замещена 1-3 R7 (где R7 представляет галоген или аминогруппу) или линейную С5-8-алкильную группу; R6 означает С1-6-алкильную группу (где указанная алкильная группа может быть, необязательно, замещена гидроксильной группой или аминогруппой) галоген, нитрогруппу или C(O)NH2; исключая соединение формулы 1, где R6 означает NO2 в положении 6, R5 обозначает CH2CH2Ph и R1 и R2 обозначают метил; и соединение формулы 1, где R6 обозначает бром в положении 6, R5 обозначает бензил и R1 и R2 обозначает метил, или его фармацевтически приемлемая соль. 2. Производное бензопирана или его фармацевтически приемлемая соль по п.1, где оба, R1 и R2, означают метильную группу. 3. Производное бензопирана или его фармацевтически приемлемая соль по п.2, где R5 означает C1-6алкильную группу, замещенную С6-14арильной группой. 4. Производное бензопирана или его фармацевтически приемлемая соль по п.3, где R6 означает нитрогруппу. 5. Производное бензопирана или его фармацевтически приемлемая соль по п.4, в которой производное бензопирана представляет соединение формулы 2. 6. Производное бензопирана или его фармацевтически приемлемая соль по п.3, где R6 означает C(O)NH2. 7. Производное бензопирана или его фармацевтически приемлемая соль по п.3, где R6 означает метильную группу. 8. Фармацевтический препарат для лечения аритмии, отличающийся тем, что включает производное бензопирана или его фармацевтически приемлемую соль по п.1 в качестве активного ингредиента.
|
|||||||||||||||||||||||||||||||||||||||||||||||||||||||||||||||||||||||||||||||||||||||||||||||||||||||||||||||||||||||||||||||||||||||||||||||||||||||||||||||||||||||||||||||||||||||||||||||||||||||||||||||||||||||||||||||||||||||||||||||













: 1,30 (c, 3H), 1,60 (c, 3H), 3,54 (д, J=4,3 Гц, 1H), 3,91 (д, J=4,3 Гц, 1H), 6,87 (д, J=8,5 Гц, 1H), 7,53 (дд, J=1,9, 8,5 Гц, 1H), 7,65 (д, J=1,9 Гц, 1H).
]D 25=74,7 (c=1,0, CHCl3).












