Патент на изобретение №2291862
|
||||||||||||||||||||||||||
(54) СПОСОБ ПОЛУЧЕНИЯ АРИЛКОНДЕНСИРОВАННЫХ ПОЛИЦИКЛИЧЕСКИХ ЛАКТАМОВ
(57) Реферат:
Способ получения арил-конденсированных полициклических лактамов формулы I, которые могут применяться в качестве промежуточных средств в синтезе конденсированных арильных азаполициклических соединений, представляющих собой лекарственные средства для лечения неврологических и психических расстройств. Описывается способ получения соединения формулы I включающий гидрирование соединения формулы II газообразным водородом и спиртом формулы R3OH в присутствии катализатора гидрирования и кислоты; где R1 и R2 независимо выбраны из водорода, C1-C5 алкила, C1-С6 алкокси, трифторметила, галогена, сульфонилалкила, алкиламино, амида, сложного эфира, арилалкила, гетероалкила и арилалкокси; или R1 и R2 вместе с атомами углерода, к которым они присоединены, образуют моно- или бицикл; и R3 представляет собой C1-С6 алкил; и а. катализатор гидрирования включает от примерно 5% до примерно 10% палладия на углероде; b. катализатор гидрирования присутствует при массовом отношении катализатора к соединению формулы II в интервале от примерно 1:99 до примерно 10:90; с. катализатор гидрирования включает от примерно 30% до примерно 60% воды из расчета на массу; d. нитрильная группа подвергается восстановлению до соответствующей аминогруппы; и е. кислота присутствует в эквивалентном отношении кислоты к аминогруппе, равном примерно 1:1. Технический результат – предлагаемый способ позволяет сохранить стабильность реакционноспособных аквалабильных исходного и промежуточного соединений, что приводит к повышенному выходу конечного продукта 10 з.п. ф-лы.
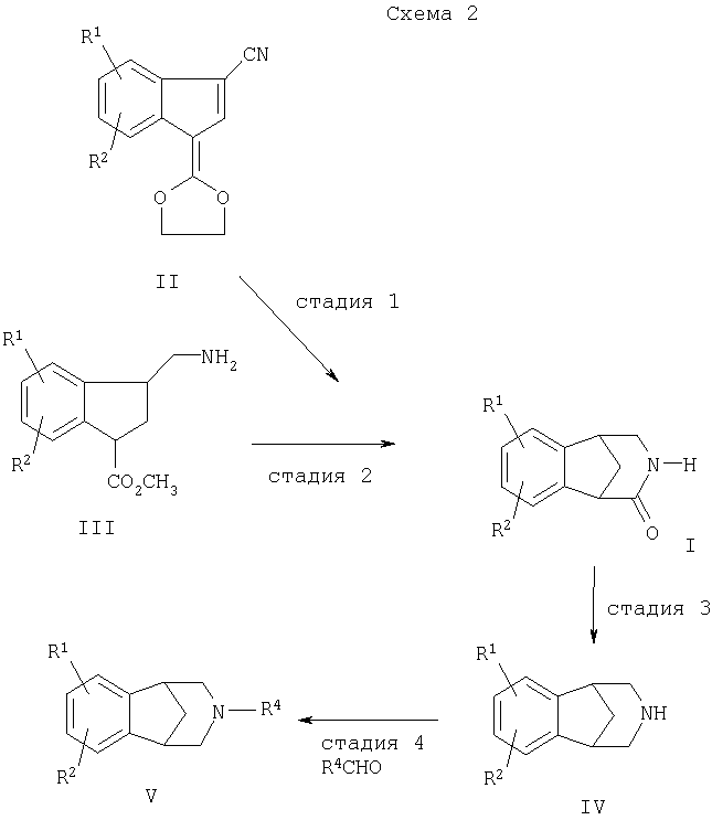
Настоящее изобретение относится к способу получения арилконденсированных полициклических лактамов формулы где R1 и R2 принимают значения, определенные ниже. Соединения формулы I являются полезными промежуточными продуктами при получении некоторых арилконденсированных азаполициклических соединений, которые проявляют активность в качестве лекарственных средств для лечения неврологических и психических расстройств. В заявке на патент США серийный №09/514002, заявленной 25 февраля 2000 года, описывается получение сложного метилового эфира 3-аминометилиндан-1-карбоновой кислоты и применение данного в качестве промежуточного продукта в синтезе некоторых арилконденсированных азаполициклических соединений. В заявке на патент США серийный №10/124135, заявленной 4 апреля 2002 года, описывается получение арилконденсированных азаполициклических соединений из промежуточных продуктов формулы I. Синтез, композиция и способы применения некоторых арилконденсированных азаполициклических соединений, которые проявляют активность в качестве лекарственных средств для лечения неврологических и психических расстройств, описываются в патенте США №6410550. Указанные выше заявки и патент введены в настоящее изобретение в виде ссылок во всей полноте. Настоящее изобретение относится к способу получения соединений формулы гидрированием соединения формулы газообразным водородом и спиртом формулы R3OH в присутствии катализатора гидрирования и кислоты. R1 и R2 независимо выбраны из водорода, C1-C5 алкила, C1-C6 алкокси, трифторметила, галогена, сульфонилалкила, алкиламино, амида, сложного эфира, арилалкила, гетероалкила и арилалкокси; или R1 и R2 вместе с атомами углерода, к которым они присоединены, образуют моно- или бицикл; и R3 представляет собой C1-С6 алкил. Катализатор представляет собой от примерно 5% до примерно 10% палладий на углероде. Предпочтительно, катализатор представляет собой примерно 5% палладий на углероде. В предпочтительном варианте осуществления настоящего изобретения R3 представляет собой C1 или С2 алкил. При гидрировании соединений формулы II нитрильная группа восстанавливается до соответствующей аминогруппы. Настоящее изобретение обеспечивает массовое соотношение катализатора и соединения формулы II от примерно 1:99 до примерно 10:90. Предпочтительным является соотношение, равное примерно 10:90. Катализаторы палладия на углероде безопасно хранятся в виде смеси воды и катализатора. Обычно смесь включает от примерно 30% до примерно 60% воды из расчета на массу. В предпочтительном варианте осуществления настоящего изобретения катализатор включает примерно 50% воды из расчета на массу. Кислота присутствует в эквивалентном отношении кислоты к аминогруппе примерно 1:1. Подходящие кислоты включают серную кислоту, соляную кислоту, фосфорную кислоту, трифторуксусную кислоту, метансульфоновую кислоту, паратолуолсульфоновую кислоту, уксусную кислоту, муравьиную кислоту, бензойную кислоту и салициловую кислоту. Предпочтительной кислотой является серная кислота. Промежуточные соединения формулы подвергаются циклизации с получением соединений формулы I обработкой основанием в растворителе, включающем спирт формулы R3OH. Предпочтительно основание представляет собой алкоксид металла I группы. Наиболее предпочтительно, основание представляет собой трет-бутоксид натрия. Циклизация соединений формулы III с получением соединений формулы I проводится в растворителе, включающем спирт формулы R3OH, где R3 представляет собой C1-С6 алкил. Предпочтительно, R3 представляет собой C1 или C2 алкил. В предпочтительном варианте осуществления настоящего изобретения промежуточные соединения формулы III подвергаются циклизации с получением соединений формулы I без предварительного выделения промежуточного продукта III. В другом варианте осуществления настоящего изобретения промежуточные соединения формулы III выделяются перед превращением в соединения формулы I. Соединения формулы III могут быть выделены, когда R3 представляет собой С3-C8 алкил и аминогруппа связана в кислотно-аддитивную соль. Примеры включают, но без ограничения, соли паратолуолсульфоновой кислоты, миндальной кислоты, салициловой кислоты и винной кислоты. В предпочтительном варианте осуществления настоящего изобретения соединения формулы I выбраны из группы, состоящей из 10-азатрицикло[6.3.1.0.2.7]додека-2,4,6-триен-9-она; 3-трифторметил-10-азатрицикло[6.3.1.02,7]додека-2(7),3,5-триен-9-она; (+)-3-трифторметил-10-азатрицикло[6.3.1.02,7]додека-2(7),3,5-триен-9-она; (-)-3-трифторметил-10-азатрицикло[6.3.1.02,7]додека-2(7),3,5-триен-9-она; 3-фтор-10-азатрицикло[6.3.1.02,7]додека-2(7),3,5-триен-9-она; (+)-3-фтор-10-азатрицикло[6.3.1.02,7]додека-2(7),3,5-триен-9-она; и (-)-3-фтор-10-азатрицикло[6.3.1.02,7]додека-2(7),3,5-триена. Настоящее изобретение предоставляет способ получения соединений формулы I посредством последовательности реакций, представленной на схеме 1. На стадии 1 соединения формулы II подвергаются гидрированию с получением промежуточного соединения III в присутствии катализатора гидрирования, спирта формулы R3OH и кислоты. Реакция включает восстановление нитрильной группы в соответствующий амин, насыщение инденового цикла и превращение кетенацеталя в соответствующую группу сложного эфира формулы -СО2R3. R1 и R2 независимо выбраны из водорода, C1-C5 алкила, С1-С6 алкокси, трифторметила, галогена, сульфонилалкила, алкиламино, амида, сложного эфира, арилалкила, гетероалкила и арилалкокси; или R1 и R2 вместе с атомами углерода, к которым они присоединены, образуют моно- или бицикл; и R3 представляет собой C1-C6 алкил. Катализаторы гидрирования, пригодные для стадии 1 превращения, обычно безопасно хранят в виде смеси катализатора и воды. Обычно для безопасного хранения и использования катализатор гидрирования включает от примерно 30% до примерно 60% воды из расчета на массу. Вследствие присущей соединениям формул II и III нестабильности в присутствии воды предметом настоящего изобретения является выбор катализатора и условий гидрирования, которые ограничивают количество введенной воды. Катализатор представляет собой палладий на углероде с содержанием палладия от примерно 5% до примерно 10%, предпочтительно палладий на углероде с содержанием палладия примерно 5%, при массовом отношении катализатора к соединению формулы II от примерно 1:99 до примерно 10:90. Предпочтительным является отношение, равное примерно 10:90. Обычно реакции гидрирования, подобные описанной на стадии 1 схемы 1, проводятся в присутствии избытка кислоты. В настоящем описании термин «избыток кислоты» относится к кислоте, которая не связана с аминогруппой соединения формулы III с образованием соли. Когда гидрирование соединений формулы II проводится при эквивалентном отношении кислоты к аминогруппе примерно 2:1, выход продукта очень низок. Исходя из полученных ранее результатов, считается, что соединения формулы II и формулы III являются неустойчивыми в присутствии избытка кислоты. В настоящем изоретении эквивалентное отношение кислоты к аминопроизводному составляет 1:1, так что вся кислота связана в виде соли с аминогруппой соединения формулы III. Гидрирование проводится в присутствии кислоты, такой как серная кислота, уксусная кислота, муравьиная кислота, бензойная кислота или салициловая кислота, предпочтительно серная кислота, муравьиная кислота, уксусная кислота или паратолуолсульфокислота, наиболее предпочтительно, серная кислота. Подходящими растворителями являются метанол, этанол, изопропанол, бутанол, пропанол, этилацетат, изопропилацетат, тетрагидрофуран, толуол или любая смесь этих растворителей, предпочтительно, метанол или этанол. Реакция проводится в атмосфере водорода с давлением до 7 атмосфер (приблизительно 100 фунтов на кв. дюйм), предпочтительно от 3 до 4 атмосфер (приблизительно 50 фунтов на кв. дюйм), в течение от 1 до 48 часов, предпочтительно в течение 12 часов. Это приводит к получению соединения формулы II, которое может представлять собой смесь диастереомеров. Описанные выше условия, которые ограничивают введение воды или кислоты в реакцию, как иллюстрируется стадией 1 схемы 1, обеспечивают химически стабильную среду, приводящую к повышенным выходам промежуточного продукта III. Термин «нестабильный» в настоящем описании относится к возможности протекания нежелательных побочных химических реакций, которым соединения формулы II или III подвергаются в присутствии воды или избытка кислот. Когда соединение формулы II или III подвергается нежелательной побочной реакции, выход соединения I значительно снижается. Термин «химически стабильная среда» в настоящем описании относится к относительно небольшой возможности протекания нежелательных побочных реакций соединений формулы II или III с водой или кислотой. Стадия 2 схемы 1 представляет способ получения лактама формулы I. Сложный эфир аминокислоты формулы (III) подвергается обработке основанием, таким как трет-бутоксид натрия, метоксид натрия, этоксид натрия, трет-бутоксид калия, метоксид калия и этоксид калия, карбонат натрия, карбонат калия, карбоната цезия, гидрид натрия, триэтиламин, метилимидазол, лутидин, пиридин, метилморфолин, этилморфолин или диизопропилэтиламин. Предпочтительно, основание представляет собой алкоксид металла I группы. Наиболее предпочтительно, основание представляет собой трет-бутоксид натрия. Содержание гидроксида натрия в алкоксидном основании предпочтительно является очень низким. Подходящими растворителями являются метанол, этанол, изопропанол, этилацетат, ацетонитрил, толуол или смесь любого из упомянутых выше растворителей, предпочтительно метанол или смесь метанола и этилацетата. Реакция проводится при температуре в интервале от 0°С до 120°С, предпочтительно при комнатной температуре. Реакция продолжается в течение периода времени в интервале от 0,5 часа до 72 часов, предпочтительно в течение 6 часов, для получения соединения формулы (I). Исходя из указанных выше побочных реакций соединений формул II и III, растворитель на стадии 2 содержит минимальное количество воды. В предпочтительном варианте осуществления настоящего изобретения промежуточные соединения формулы III не выделяются перед циклизацией на стадии 2. Основание добавляется непосредственно к отфильтрованному раствору промежуточного соединения III с последующей циклизацией в лактам I. В другом варианте осуществления настоящего изобретения промежуточное соединение III может выделяться, когда R3 представляет собой С3-С8 алкил и аминогруппа связана в виде кислотно-аддитивной соли. Примеры включают, но без ограничения, соли паратолуолсульфокислоты, миндальной кислоты, салициловой кислоты и винной кислоты. Промежуточный продукт III в форме выделенного соединения или в виде раствора без предварительного выделения может подвергаться превращению в лактам I в соответствии с описанными выше условиями циклизации. Соединения формулы I являются полезными промежуточными продуктами в синтезе арилконденсированных азаполициклических соединений, проявляющих активность в лечении неврологических и психиатрических расстройств. Превращение соединений формулы II в арилконденсированные азаполициклические соединения формулы IV представлено на схеме 2. где R4 представляет собой водород, C1-C6 алкил, несопряженный С3-С6 алкенил, бензил или C1-C6 алкокси. На стадии 1 гидрирование соединений формулы II приводит к получению промежуточного соединения III, которое подвергается циклизации на стадии 2 с использованием трет-бутоксида натрия в метаноле для получения лактама формулы I. Функциональная карбонильная группа подвергается восстановлению на стадии 3 с помощью борогидрида натрия-трифторида бора с получением арилконденсированного азополициклического соединения формулы IV. Примерами конкретных соединений формулы IV являются следующие соединения: 4-этинил-5-хлор-10-азатрицикло[6.3.02,7]додека-2(7),3,5-триен; 3-трифторметил-10-азатрицикло[6.3.02,7]додека-2(7),3,5-триен; 4,5-бистрифторметил-10-азатрицикло[6.3.1.02,7]додека-2(7),3,5-триен; 4-хлор-5-трифторметил-10-азатрицикло[6.3.1.02,7]додека-2(7),3,5-триен; 4-амино-10-азатрицикло[6.3.1.02,7]додека-2(7),3,5-триен; 4-нитро-10-азатрицикло[6.3.02,7]додека-2(7),3,5-триен; 4-метил-10-азатрицикло[6.3.02,7]додека-2(7),3,5-триен; 4-фтор-10-азатрицикло[6.3.02,7]додека-2(7),3,5-триен; 4-трифторметил-10-азатрицикло[6.3.02,7]додека-2(7),3,5-триен; 4,5-дифтор-10-азатрицикло[6.3.02,7]додека-2(7),3,5-триен; 4-нитро-10-азатрицикло[6.3.1.02,7]додека-2(7),3,5-триен; 4,5-динитро-10-азатрицикло[6.3.1.02,7]додека-2(7),3,5-триен; 4,5-дихлор-10-азатрицикло[6.3.1.02,7]додека-2(7),3,5-триен; 3-трифторметил-10-азатрицикло[6.3.1.02,7]додека-2(7),3,5-триен; (+)-3-трифторметил-10-азатрицикло[6.3.1.02,7]додека-2(7),3,5-триен; (-)-3-трифторметил-10-азатрицикло[6.3.1.02,7]додека-2(7),3,5-триен; 3-фтор-10-азатрицикло[6.3.1.02,7]додека-2(7),3,5-триен; (+)-3-фтор-10-азатрицикло[6.3.1.02,7]додека-2(7),3,5-триен; (-)-3-фтор-10-азатрицикло[6.3.1.02,7]додека-2(7),3,5-триен; 4-этинил-5-фтор-10-азатрицикло[6.3.1.02,7]додека-2(7),3,5-триен; (+)-4-этинил-5-фтор-10-азатрицикло[6.3.1.02,7]додека-2 (7),3,5-триен; (-)-4-этинил-5-фтор-10-азатрицикло[6.3.1.02,7]додека-2(7),3,5-триен; 4-фтор-5-трифторметил-10-азатрицикло[6.3.1.02,7]додека-2(7),3,5-триен; (+)-4-фтор-5-трифторметил-10-азатрицикло[6.3.1.02,7]додека-2(7),3,5-триен; (-)-4-фтор-5-трифторметил-10-азатрицикло[6.3.1.02,7]додека-2(7),3,5-триен; и их фармацевтически приемлемые соли. На стадии 4 схемы 2 производные формулы IV получают реакцией конденсирования вторичного амина формулы IV с альдегидом формулы R4CHO. Соединения формулы V связываются с нейронными никотиновыми ацетилхолиновыми специфическими рецепторными сайтами и применимы для модуляции холинергической функции. Такие соединения могут применяться при лечении воспалительного заболевания пищеварительного тракта (включая, но без ограничения, неспецифический язвенный колит, гангренозную пиодермию и болезнь Крона), синдрома раздраженной толстой кишки, спастической дистонии, хронической боли, острой боли, брюшной спру, дивертикул (pouchitis), вазоконстрикции, состояния беспокойства, состояния панического страха, депрессии, биполярного расстройства, аутизма, расстройств сна, физических проблем и повышенной усталости, возникающих из-за быстрой смены поясов (jet lag), бокового амиотрофического склероза (ALS), расстройства познавательной функции, гипертензии, булимии, анорексии, ожирения, сердечной аритмии, гиперсекреции желудочной кислоты, язв, феохромоцитомы, прогрессирующего надъядерного паралича, зависимости и привыкания к химическим веществам (например, зависимости от никотина или привыкания к никотину (и/или табачным изделиям), спирту, бензодиазепинам, барбитуратам, опиоидам или кокаину), головной боли, мигрени, удара, травматического повреждения мозга (TBI), обсессивно-компульсивного расстройства (OCD), психоза, хореи Гатингтона, поздней дискинезии, гиперкинезии, легастении, шизофрении, слабоумия, множественного инфаркта, возрастного прогрессирующего снижения познавательной способности, эпилепсии, включая малую эпилепсию, старческой деменции, такой как болезнь Альцгеймера (AD), болезни Паркинсона (PD), расстройства дефицита внимания-гиперактивности (ADHD) и синдрома Тауретта. Соединения формулы V и их фармацевтически приемлемые соли (называемые далее «активные соединения») могут вводиться перорально, чрескожным способом (например, с использованием заплаты), назально, подъязычным, ректальным, парентеральным или местным способами. Предпочтительными являются чрескожный и пероральный способы. Эти соединения, более желательно, вводятся в дозах в интервале от примерно 0,01 мг до примерно 1500 мг в сутки, предпочтительно от примерно 0,1 мг до примерно 300 мг в сутки в разовой дозе или в виде небольших доз, принимаемых через установленные промежутки времени, хотя в зависимости от массы тела и состояния субъекта, подлежащего лечению, и конкретного выбранного способа введения обязательно будут иметь место различные изменения дозировки. Однако наиболее желательно применение уровня доз в интервале от примерно 0,001 мг до примерно 10 мг на кг массы тела в сутки. Тем не менее, изменения дозы могут иметь место в зависимости от массы тела и состояния субъекта, подлежащего лечению, его индивидуальной восприимчивости к указанному лекарственному средству, типа выбранного фармацевтического препарата, периода времени, в течение которого проводится такое введение, и интервала, с которым оно осуществляется. В некоторых случаях уровни доз меньше нижнего предела указанного выше интервала могут быть более подходящими, в то время как в других случаях могут применяться дозы, превышающие указанный интервал, без любых неблагоприятных побочных эффектов при условии, что такие увеличенные дозы сначала делятся на несколько небольших доз для введения в течение суток. Активные соединения могут вводиться сами по себе или в сочетании с фармацевтически приемлемыми носителями или разбавителями любым из некоторых указанных выше способов. Точнее, активные соединения могут вводиться в различных лекарственных формах, например, они могут объединяться с различными фармацевтически приемлемыми инертными носителями в форме таблеток/ капсул, чрескожных заплаток, пастилок, пилюль, твердых конфет, порошков, спреев, кремов, бальзамов, свечей, желе, гелей, паст, лосьонов, мазей, водных суспензий, растворов для инъекций, эликсиров, сиропов и т.п. Такие носители включает твердые разбавители или наполнители, стерильную водную среду и различные нетоксичные органические растворители. Кроме того, фармацевтические композиции для перорального введения могут подходящим образом подслащиваться и/или может улучшаться их вкус. Обычно активные соединения присутствуют в таких лекарственных формах в концентрации в интервале от примерно 5,0% до примерно 70% из расчета на массу. Таблетки для перорального введения могут содержать различные наполнители, дезинтегранты, смазывающие добавки и разбавители. В водные суспензии для перорального введения может вводиться вкусовая добавка, краситель и разбавитель. Раствор активного соединения для парентерального введения может приготавливаться в виде буферного раствора и может разбавляться растительным маслом или пропиленгликолем. Следующие далее примеры приведены для дополнительной иллюстрации, но не предназначены для ограничения области настоящего изобретения. Пример 1 Сложный метиловый эфир З-аминометилиндан-1-карбоновой кислоты В первый реактор загружают 3-[1,3]диоксолан-2-илиден-3Н-инден-1-карбонитрил (47,3 кг, 223,9 моль) и 5% палладий на углероде (50% воды; 4,7 кг). Метанол (126 кг) загружают в реактор 2 и охлаждают до 0-5°С. В реактор 2 к метанолу добавляют серную кислоту (22,3 кг) и смесь охлаждают до 0-5°С. Температуру полученного кислотного раствора поддерживают на уровне 0-5°С до тех пор, пока это необходимо. В реактор 1 добавляют метанол (136,5 кг) при 0-5°С. Оба реактора независимо продувают для снижения до минимума времени выдерживания кетенацеталя в кислоте и воде из катализатора. Затем добавляют раствор метанол/серная кислота реактора 2 к содержимому реактора 1 при 0-5°С и в реактор немедленно вводят водород для того, чтобы начать гидрирование. Содержимое реактора 1 гидрируют под давлением 50 фунтов на кв. дюйм сначала при температуре 0°С, затем медленно нагревая до температуры 50-55°С, пока не прекратится поглощение водорода. Затем отбирают образец реакционной смеси для контроля полноты реакции и при подтверждении завершения реакции реактор 1 продувают азотом и охлаждают до 20-25°С. После этого содержимое реактора 1 фильтруют для удаления отработанного катализатора и осадок катализатора на фильтре промывают метанолом (165 кг). Фильтрат из реактора 1 и промывной метанол используют в следующей стадии без выделения продукта. Пример 2 10-азатрицикло[6.3.1.0.2.7]додека-2,4,6-триен-9-он Метанольный раствор, полученный в примере 1 (539 л, теоретический выход 46 кг), упаривают до объема 114 л в реакторе 1. Метанол (460 л) и 25% раствор метоксида натрия в метаноле (124 л) загружают в реактор 2 при 15-25°С. Содержимое реактора 1 медленно загружают в реактор 2 при 15-25°С. Реактор 1 промывают метанолом (19 л) и промывной раствор переносят в реактор 2 при 15-25°С. Содержимое реактора 2 перемешивают в течение 15 часов при 15-25°С. Отбирают образец реакционной смеси для контроля полноты реакции и при подтверждении завершения реакции небольшими порциями добавляют 85% фосфорную кислоту (20 л) для доведения рН до 4,5-5 при 15-25°С. Содержимое реактора 2 упаривают до 148 л и после этого в реактор 2 добавляют воду (322 л) при 15-25°С. Содержимое реактора 2 упаривают до 367 л и после этого в реактор 2 добавляют метиленхлорид при 15-25°С. Содержимое реактора 2 перемешивают в течение 30 минут при 15-25°С и затем оставляют на 45 минут. Слои разделяют и водный слой снова экстрагируют метиленхлоридом (45 л). Объединенные метиленхлоридные слои, обогащенные продуктом, промывают водой (91 л). Метиленхлоридный слой снова загружают в чистый реактор 2 и упаривают до объема 64 л. В реактор 2 медленно загружают этилацетат (185 л) и содержимое реактора 2 упаривают до объема 64 л. Снова загружают этилацетат и смесь упаривают еще один раз, после этого взвесь восстановленного продукта в реакторе 2 охлаждают в этилацетате до 15-25°С. Гранулируют содержимое в реакторе 2 в течение 2,5 часов и затем фильтруют. Осадок на фильтре промывают этилацетатом (34 л) и продукт сушат при 40°С. Температура плавления продукта 168-169°С.
Формула изобретения
1. Способ получения соединения формулы I включающий гидрирование соединения формулы II газообразным водородом и спиртом формулы R3ОН в присутствии катализатора гидрирования и кислоты; где R1 и R2 независимо выбраны из водорода, С1-С5 алкила, C1-С6 алкокси, трифторметила, галогена, сульфонилалкила, алкиламино, амида, сложного эфира, арилалкила, гетероалкила и арилалкокси; или R1 и R2 вместе с атомами углерода, к которым они присоединены, образуют моно- или бицикл; R3 представляет собой C1-С6 алкил; и а. катализатор гидрирования включает от примерно 5 до примерно 10% палладия на углероде; b. катализатор гидрирования присутствует при массовом отношении катализатора к соединению формулы II в интервале от примерно 1:99 до примерно 10:90; с. катализатор гидрирования включает от примерно 30 до примерно 60% воды из расчета на массу; d. нитрильная группа подвергается восстановлению до соответствующей аминогруппы; и е. кислота присутствует в эквивалентном отношении кислоты к аминогруппе, равном примерно 1:1. 2. Способ по п.1, где а. гидрирование соединений формулы II приводит к получению промежуточных соединений формулы где R3 представляет собой C1-C8 алкил; и b. промежуточные соединения формулы III подвергаются превращению в соединения формулы I обработкой основанием в растворителе, включающем спирт формулы R3OH, где R3 представляет собой C1-C6 алкил. 3. Способ по п.2, где промежуточные соединения формулы III подвергаются превращению в соединения формулы I без предварительного выделения. 4. Способ по п.2, в котором промежуточные соединения формулы III выделяют перед превращением в соединения формулы I, где R3 представляет собой С3-C8, и аминогруппа связана в виде кислотно-аддитивной соли. 5. Способ по п.1, где указанный катализатор гидрирования включает примерно 5% палладия на углероде. 6. Способ по п.1, где указанное массовое отношение катализатора к соединению формулы II составляет примерно 10:90. 7. Способ по п.1, где указанный катализатор гидрирования включает примерно 50% воды из расчета на массу. 8. Способ по п.1, где указанная кислота является серной кислотой. 9. Способ по п.2, где указанное основание представляет собой алкоксид металла I группы. 10. Способ по п.10, где указанное основание представляет собой трет-бутоксид натрия. 11. Способ по п.1, где соединение формулы I выбрано из группы, состоящей из 10-азатрицикло[6.3.1.0.2.7]додека-2,4,6-триен-9-она; 3-трифторметил-10-азатрицикло[6.3.1.02,7]додека-2(7),3,5-триен-9-она; (+)-3-трифторметил-10-азатрицикло[6.3.1.02,7]додека-2(7),3,5-триен-9-она; (-)-3-трифторметил-10-азатрицикло[6.3.1.02,7]додека-2(7),3,5-триен-9-она; 3-фтор-10-азатрицикло[6.3.1.02,7]додека-2(7),3,5-триен-9-она; (+)-3-фтор-10-азатрицикло[6.3.1.02,7]додека-2(7),3,5-триен-9-она; и (-)-3-фтор-10-азатрицикло[6.3.1.02,7]додека-2(7),3,5-триена.
MM4A – Досрочное прекращение действия патента СССР или патента Российской Федерации на изобретение из-за неуплаты в установленный срок пошлины за поддержание патента в силе
Дата прекращения действия патента: 09.01.2009
Извещение опубликовано: 27.07.2010 БИ: 21/2010
|
||||||||||||||||||||||||||










