Патент на изобретение №2157200
|
||||||||||||||||||||||||||
(54) ФАРМАЦЕВТИЧЕСКАЯ КОМПОЗИЦИЯ НА ОСНОВЕ ТАКСОИДОВ И СПОСОБ ЕЕ ПОЛУЧЕНИЯ
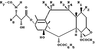
(57) Реферат: Изобретение относится к области химико-фармацевтической промышленности и касается стабильной и высококонцентрированной фармацевтической композиции. Изобретение заключается в том, что композиция содержит активное вещество из класса таксоидов, такое как доцетаксел, или его производные, и она дополнительно содержит один или несколько ненасыщенных фосфолипидов и незначительное количество одного или нескольких отрицательно заряженных фосфолипидов. Изобретение относится также к способу получения указанных композиций. Изобретение устраняет недостатки, связанные с наличием эксципиентов, токсичность которых проявляется при повышенных содержаниях. 2 с. и 26 з.п. ф-лы. Изобретение относится к фармацевтической композиции, используемой для инъекций, включающей терапевтический противоопухолевый агент, принадлежащий к классу таксоидов. Действующие начала из класса таксоидов являются инъекцируемыми продуктами, однако их растворимость в воде незначительна, что очень затрудняет получение на их основе препаратов для парентерального введения, приемлемых с терапевтической точки зрения. Класс таксоидов включает, в частности, Таксотер (доцетаксел) и его производныеОдними из производных доцетаксела могут быть, в частности, соединения общей формулы: ![]() в которой радикалы R1 и R2 каждый обозначают атом водорода или же один из радикалов R1 или R2 обозначает атом водорода, а другой обозначает гидроксильный, ацилокси- или ацилкарбонилокси- радикал, или R2 обозначает атом водорода, а R1 с атомом углерода метильного радикала в положении образует связь с получением циклопропанового кольца;– один из радикалов R3 или R4 обозначает атом водорода, а другой обозначает гидроксильный радикал, или R3 и R4 вместе образуют оксо-радикал; – радикалы R5 и R6 каждый обозначают атом водорода, или один из радикалов R5 или R6 обозначает атом водорода, а другой обозначает гидроксильный, ацилокси-, ацилкарбонилокси- или алкоксиметилкарбонилокси-радикал, или R5 и R6 вместе образуют оксо-радикал; – радикал R7 обозначает алкоксильный, алкенилокси- или циклоалкилокси-радикал; и -R8 обозначает алкильный, линейный или разветвленный алкенильный, линейный или разветвленный алкинильный радикал, циклоалкильный радикал с 3 – 6 атомами углерода, или обозначает фенильный радикал, в случае необходимости замещенный одним или несколькими атомами или радикалами, одинаковыми или разными, выбираемыми из атомов галогена и алкильных, алкоксильных, диалкиламино-, ациламино-, алкоксикарбониламино- или трифторметильного радикалов, или ароматический пятичленный гетероциклический радикал, содержащий один или несколько гетероатомов, одинаковых или разных, выбираемых среди атомов азота, кислорода и серы; имея в виду, что алкильные радикалы и алкильные части других радикалов содержат 1-8 атомов углерода в линейной или разветвленной цепи; и алкенильные или алкинильные радикалы содержат 2-8 атомов углерода. Таксоиды, которые могут быть использованы в более конкретном случае настоящего изобретения, представляют собой вышеназванные производные, в которых R2 обозначает атом водорода; R1 обозначает атом водорода или гидроксильный радикал, или R1 с атомом углерода метильного радикала в -положении образует простую связь; R3 и R4 вместе образуют оксо-радикал; R5 обозначает атом водорода и R6 обозначает атом водорода или гидроксильный, ацетилокси- или метоксиацетилокси-радикал, или R5 и R6 вместе образуют оксо-радикал; R7 обозначает трет.бутокси-радикал и R8 обозначает изобутил, иэобутенил, бутенил, циклогексил, фенил, 2-фурил, 3-фурил, 2-тиенил, 3-тиенил, 2-тиазолил, 4-тиазолил или 5-тиазолил.
Производные класса таксоидов могут быть получены согласно способам или по аналогии со способами, описанными в заявках ВОИС 92/09589, ВОИС 93/06093, европейский патент 534708, европейский патент 558959, патент Франции 2697019, или согласно методам или по аналогии с методами, описанными в примерах.
В настоящее время получены различные формулировки на основе таксоидов, например, композиции, содержащие поверхностно-активный агент и этанол. Этанол является наилучшим фармацевтическим растворителем продуктов класса таксоидов.
Пример их получения описан в публикации Rowinsky, Lorraine, Cazenave и Donehower, Journal of the National Cancer Institute. 82 (15), 1247 – 1259 (1990), согласно которой готовят первый так называемой “маточный раствор”, содержащий около 6 мг/мл Таксола в растворяющей смеси, состоящей из 50 объемн.% этанола и 50 объемн.% Кремофора EL. Во время инъекции вышеуказанный раствор смешивают с перфузионной жидкостью, содержащей хлорид натрия или декстрозу, для получения стабильной смеси с физической и с химической точки зрения. Согласно этой статье следует ограничивать концентрацию действующего начала в перфузионном растворе концентрациями, не превышающими 0,6 мг/мл (см. с. 1251, колонка 1 абзац 3).
Тем не менее желательно вводить инъекции с более высокой дозой действующего начала: обычно клиницисты считают, что нужно делать инъекции с концентрацией действующего начала, составляющей 0,3-1 мг/мл в перфузионной жидкости. К сожалению, ограничивающим фактором часто является содержание эксципиентов в композиции. В самом деле, в случае доз, превышающих вышеуказанные, могут возникать явления трудно подавляемых анафилактических шоков, вызываемых в основном Кремофором (Rowinsky и др., J. Nat. Cancer Inst., 82 (15), 1250, 1990), 2-я колонка, последний параграф; Cancer Treat. Report., 71, 1171 – 1184 (1987)).
Согласно вышеуказанной публикации при достижении таких концентраций (доходящих до 1 мг/мл) необходимо вводить путем инъекции растворы, содержащие наряду с действующим началом этанол и главным образом Кремофор, концентрация каждого из которых составляет около 8 г на 100 мл перфузионного раствора. При лечении, требующем подчас введения повышенных доз действующего начала, и при концентрации действующего начала в растворе относительно низкой инъекции значительных объемов приводят к тому, что возникают признаки этилизма (алкоголизма) во время лечения, помимо анафилактических симптомов.
Были проведены различные исследования с целью получения композиций для парентерального введения действующих начал, нерастворимых в воде, в частности, на основе фосфолипидов (европейский патент 118316). Однако, поскольку речь шла о различных типах действующих начал, то не рассматривалась проблема возможного повышения концентрации действующего начала до высоких содержаний в инъецируемых растворах. Следовательно, не известны из литературы композиции для инъекции, имеющие достаточно высокую концентрацию действующего начала, выбранного из класса таксоидов.
В настоящее время найдены для противораковых агентов, принадлежащих к классу таксоидов, таких как доцетаксел или его производные, такие формулировки, в которых они могут находиться в исключительно высоких концентрациях. Речь идет о фармацевтической композиции, стабильной и не вызывающей проблем непереносимости. Фармацевтические композиции согласно изобретению включают производное доцетаксела в качестве таксоида, один или несколько ненасыщенных фосфолипидов и незначительное количество одного или нескольких отрицательно заряженных фосфолипидов. Предпочтительно, фармацевтические композиции согласно изобретению содержат 3-15 мг/мл производного доцетаксела.
Композиции согласно изобретению могут быть жидкими, замороженными или лиофилизированными. Жидкие композиции представляют собой стабильные и прозрачные растворы, в которых не наблюдается никакого появления кристаллов. Замороженные или лиофилизированные композиции более приспособлены для хранения, из них также можно получить стабильные и прозрачные растворы с высокой концентрацией действующего начала класса таксоидов, такого как доцетаксел или его производные.
Термин “стабильные растворы” означает стабильные при комнатной температуре растворы, в которых не происходит никакого появления частиц действующего начала в течение времени более 8 недель, которое может доходить до 8 месяцев.
Лиофилизированные композиции составляют предпочтительный аспект изобретения. Они обладают преимуществом, т.к. имеют хорошую физическую и химическую стабильность и главным образом позволяют увеличивать содержание действующего начала в композициях для инъекции, не вызывая вышеуказанных проблем нетолерантности. Таким образом, можно путем применения настоящего изобретения очень сильно повысить растворимость противоракового агента класса таксоидов, такого как доцетаксел или его производные, и составлять композиции для инъекций, в которых относительная доля действующего начала по отношению к эксципиентам сильно повышена.
Таким образом, предлагаемая композиция устраняет недостатки, связанные с наличием эксципиентов, токсичность которых проявляется при повышенных содержаниях.
Согласно изобретению ненасыщенные фосфолипиды выбирают из природных, синтетических или полусинтетических фосфолипидов; особенно пригодны природные фосфолипиды, например, фосфолипиды растительного происхождения (в частности, лецитины рапса, подсолнечника или сои или лецитины, состоящие из различных фосфолипидов, находящихся в изменяемых пропорциях) или животного происхождения (например, яичный лецитин).
В качестве конкретных примеров можно назвать природные фосфатидилхолины, как, например, фосфолипоны : Фосфолипон 80 , Фосфолипон 90 , Фосфолипон 100 . Также можно назвать фосфатидилэтаноламины; фосфатидилинозитолы; фосфатидилсерины; фосфатидилглицерины; фосфатидиновую кислоту или смеси этих фосфолипидов. Разумеется при этом, что предпочтение отдается фосфолипидам с высокой степенью чистоты, т.е. имеющим чистоту выше 90%.
Синтетическими ненасыщенными фосфолипидами могут быть, например, фосфолипиды структуры:![]() в которой R обозначает алкильный радикал, замещенный амино-группой или группой триалкиламмонио (причем алкильные радикалы содержат 1-4 атома углерода), и Ra и Rb представляют собой атомы водорода или насыщенные или ненасыщенные остатки жирных цепей с 8 – 22 атомами углерода и являются одинаковыми или разными, при этом по крайней мере один радикал является ненасыщенным. В качестве примера наиболее предпочтительными являются ненасыщенные фосфолипиды, в которых R обозначает аминоэтил или триметиламмониоэтил; фосфолипиды, в которых Ra и/или Rb представляют собой пальмитоил, стеароил, миристоил, олеоил, линолеоил, линоленоил, причем по крайней мере один из Ra и Rb является ненасыщенным; и особенно производные фосфатидилхолина. Фосфолипоны представляют собой природные фосфолипиды растительного происхождения, извлекаемые из лецитина сои, которые содержат в количестве выше 70% ацильные ненасыщенные цепи.
Согласно изобретению отрицательно заряженные фосфолипиды выбирают из природных или синтетических анионных веществ, таких как соли щелочных металлов или соли четвертичного аммония фосфатидилглицерина, фосфатидилсерина, фосфатидилинозитола, фосфатидиновой кислоты или их производных.
Соли щелочных металлов анионных фосфолипидов представляют собой особенно соли натрия или калия.
Анионные вещества природного происхождения получают, в частности, из подсолнечника или сои.
Из анионных веществ особенно предпочтительны соли димиристоилфосфатидилглицерина, дипальмитоилфосфатидилглицерина или фосфатидилглицерина сои или их производные.
Приготовление композиции согласно изобретению имеет преимущество в том, что не используют токсичного с фармацевтической точки зрения органического растворителя (например, хлорированные растворители), удаление которого не может быть полным в готовой композиции.
Согласно изобретению получают гомогенную дисперсию путем растворения одного или нескольких ненасыщенных фосфолипидов, незначительного количества одного или нескольких отрицательно заряженных фосфолипидов и действующего начала класса таксоидов в спирте (предпочтительно в этаноле) с последующим выпариванием всего количества или части спирта до получения геля или вязкой жидкости, которую поглощают, добавляя воду при перемешивании, затем гомогенизируют. Полученная дисперсия может быть подвергнута замораживанию или лиофилиэации.
Имеют в виду, что гомогенизацию можно осуществлять в несколько повторяющихся стадий.
Таким образом, полученная дисперсия стабильна и прозрачна. Она обладает тем преимуществом, что содержит частицы очень незначительной величины (средний диаметр менее 200 нм и предпочтительно менее 100 нм) и таким образом может быть подвергнута стерилизующей фильтрации.
Полученные лиофилизаты могут быть растворены в среде для инъекции непосредственно в момент употребления.
Когда полученную гомогенную дисперсию предварительно подвергают стерилизующей фильтрации, то фильтрацию обычно осуществляют при использовании фильтра (с размерами пор) 0,40 – 0,10 мкм, предпочтительно 0,30 – 0,20 мкм и в особенности 0,22 мкм.
Стадию выпаривания осуществляют предпочтительно в инертной атмосфере, например, в атмосфере азота или аргона при температуре ниже 45oC и предпочтительно при температуре ниже 30oC. Предпочтительно работать при пониженном давлении. Не всегда является необходимым полное удаление спирта перед добавлением воды, т.к. остаток спирта может быть удален впоследствии после образования дисперсии.
Водный раствор в случае необходимости может содержать добавки. В среду можно добавлять, в частности, неионные соединения, например криозащитный агент, предназначенный для препятствования повторному осаждению действующего начала, и/или агент, предназначенный для доведения до нужной величины изотоничности конечного раствора для инъекции. Эти агенты могут быть выбраны среди сахаров (как, например, глюкоза, мальтоза, лактоза, маннитол, сорбитол), полимеров (как, например, декстран (декстран 1500, декстран 40 000), поливинилпирролидоны для инъекции, полиэтиленгликоль…), аминокислот (как, например, гликоль) или любого другого агента, который может выполнять эту функцию. Водный раствор также может содержать консервант (консерванты). Добавки могут быть введены на различных стадиях приготовления, однако, предпочтительно их добавлять в гомогенную дисперсию.
Замораживание можно осуществлять обычными способами и в случае необходимости ускоренным путем.
Лиофилизацию также можно осуществлять обычными способами.
Концентрация действующего начала в фармацевтической композиции согласно изобретению составляет 3-15 мг/мл без всякого появления частиц. Предпочтительно композиция содержит от 5 мг/мл до величин выше 10 мг/мл производного доцетаксела.
Действующее начало, вводимое в композицию, составляет 1 – 30% масс. в расчете на сумму введенных фосфолипидов. Предпочтительно действующее начало составляет 3 – 20% и особенно 3,5 – 10% масс., в расчете на сумму фосфолипидов.
Ненасыщенный фосфолипид или ненасыщенные фосфолипиды предпочтительно представляют собой производные фосфатидилхолина. Согласно предпочтительному аспекту изобретения фосфатидилхолин составляет 70 – 100% от вводимого ненасыщенного фосфолипида.
Отрицательно заряженный фосфолипид вводят в незначительном количестве. Обычно предпочитают вводить его в количестве 0,10 – 4%, предпочтительно 0,4-0,8% и более предпочтительно около 0,5% масс., в расчете на все количество ненасыщенного фосфолипида или ненасыщенных фосфолипидов.
Когда полученная композиция лиофилизирована, то ее можно снова растворять в момент употребления в любой среде для инъекции, которая совместима и фармацевтически приемлема. Лиофилизат преимущественно поглощают бидистиллированной водой качества, необходимого для инъекции, в объеме, эквивалентном первоначальному объему лиофилизируемого раствора. Когда раствор заморожен (например, в мешке для замораживания), то он может быть разморожен в момент употребления.
Таким образом, полученные растворы обладают тем преимуществом, что они стабильны и имеют высокое содержание действующего начала без какого-либо осаждения или кристаллизации. Согласно другой альтернативе лиофилизат может быть предварительно превращен в раствор, который хранят до момента использования. Объем жидкости для инъекции, добавляемой к вышеуказанной композиции, предпочтительно идентичен начальному объему композиции, предварительно подвергнутому лиофилизации. Когда раствор заморожен, то его можно также хранить после размораживания до его использования.
Следующие примеры, данные в качестве не ограничивающих объема охраны изобретения, иллюстрируют композиции согласно изобретению.
Пример 11,0 г Доцетаксела (Таксотер ), 10,0 г Фосфолипона 90 и 0,05 г натриевой соли фосфатидилглицерина растворяют в 9 мл этанола, затем перемешивают до полного растворения. Этанол выпаривают в инертной атмосфере (азот) и при пониженном давлении 0,5 кПа при температуре ниже 30oC до получения твердого пастообразного вещества, лишенного этанола. После добавления воды до объема 50,0 мл и диспергирования смеси путем перемешивания получают сначала дисперсию, похожую на молоко, которую гомогенизируют до получения тонкой и прозрачной дисперсии, и добавляют при перемешивании 50 мл водного раствора, содержащего 30,0 г мальтозы. Таким образом, полученную дисперсию подвергают стерилизующей фильтрации на фильтре (с размером пор) 0,22 мкм.
Стерильную дисперсию разделяют на порции по 10 мл, помещаемые во флаконы емкостью 20 мл, затем лиофилизируют.
После поглощения лиофилизата с помощью 10 мл бидистиллированной воды получают сразу же стабильный и прозрачный раствор (80% прозрачности, измеряемой на фотометре при 660 нм).
Пример 2Поступают, как описано выше в примере 1, но исходя из 0,1 г доцетаксела. 2,0 г Фосфолипона 90 и 0,01 г натриевой соли фосфатидилглицерина. После добавления воды до объема 16,7 мл, диспергирования смеси путем перемешивания и гомогенизации получают прозрачную дисперсию, к которой добавляют 3,3 мл водного раствора, содержащего 2,0 г мальтозы, затем подвергают стерилизующей фильтрации.
Прозрачную дисперсию разделяют на порции по 4 мл, помещаемые во флаконы емкостью 10 мл, затем лиофилизируют. Получают лиофилизат, из которого можно получить вполне прозрачный и стабильный раствор путем добавления 4 мл воды, содержащей 0,9% хлорида натрия.
Измерения стабильности показывают, что раствор всегда прозрачный после более 8 недель хранения при температуре 20oC.
Диаметр частиц около 47 нм.
Пример 3Поступают, как описано выше в примере 1, но исходя из 0,1 г доцетаксела, 1,5 г Фосфолипона 90 и 0,075 г натриевой соли фосфатидилглицерина. После добавления воды до объема 12,5 мл, диспергирования смеси путем перемешивания и гомогенизации получают прозрачную дисперсию, к которой добавляют 2,5 мл водного раствора, содержащего 1,5 г мальтозы, потом подвергают стерилизующей фильтрации.
Прозрачную дисперсию разделяют на порции по 1,5 мл, помещаемые во флаконы емкостью 5 мл, после чего лиофилизируют.
Получают лиофилизат, из которого можно получить прозрачный и стабильный раствор после добавления 1,5 мл воды, содержащей 0,9% хлорида натрия.
Измерения стабильности показывают, что раствор всегда прозрачен после хранения в течение более 8 недель при температуре 20oC.
Диаметр частиц составляет около 71 нм.
Пример 4Поступают, как описано выше в примере 1, но исходя из 0,1 г доцетаксела, 2,0 г Фосфолипона 90 и 0,01 г натриевой соли фосфатидилглицерина. Этанол выпаривают в инертной атмосфере и при пониженном давлении 0,15 кПа при температуре ниже 30oC до получения вязкой жидкости. После добавления воды до объема 20,0 мл, диспергирования смеси путем перемешивания и выпаривания этанола в инертной атмосфере и при пониженном давлении 0,4 кПа при температуре ниже 30oC дополняют объем до 20,0 мл путем нового добавления воды. Таким образом получают дисперсию в виде молока, которую гомогенизируют до получения прозрачной дисперсии. Дисперсию подвергают стерилизующей фильтрации, затем распределяют в ампулы по 2 мл.
Таким образом, полученную композицию без частиц замораживают. После размораживания получают сразу прозрачную дисперсию.
Пример 5Поступают, как описано выше в примере 4, но исходя из 0,1 г доцетаксела, 1,5 г Фосфолипона 90 и 0,075 г натриевой соли фосфатидилглицерина. После добавления воды до объема 15,0 мл, диспергирования смеси путем перемешивания и выпаривания этанола дополняют объем до 16,7 мл путем нового введения воды. После гомогенизации добавляют 3,3 мл водного раствора, содержащего 2,0 г мальтозы. Полученную дисперсию подвергают стерилизующей фильтрации, затем распределяют во флаконы емкостью 2 мл и лиофилизируют.
Из полученного лиофилизата можно получить прозрачный и стабильный раствор после добавления 2,0 мл воды, содержащей 0,9% хлорида натрия.
Измерения стабильности показывают, что раствор всегда прозрачен после хранения в течение 8 недель при температуре 20oC.
Пример 60,87 г 4 , 10 диaцeтoкcи- 2 бeнзoилoкcи-5 , 20-эпoкcи-1 -гидрокси-7 , 8 -метилен-9-оксо-19-нор-11-таксен-13 ил-3′- -трет.-бутоксикарбониламино-2′-гидрокси-3′-фенил(2R,3R)пропионата, 17,4 г Фосфолипона 90 и 0,087 г натриевой соли фосфатидилглицерина растворяют в 200 мл этанола, затем перемешивают до полного растворения. Этанол выпаривают в инертной атмосфере (азот) и при пониженном давлении 0,5 кПа при температуре ниже 30oC до получения твердого пастообразного вещества, лишенного этанола. После добавления воды до объема 143,0 мл и диспергирования смеси путем перемешивания получают сначала дисперсию в виде молока, которую гомогенизируют до получения тонкой и прозрачной дисперсии? и при перемешивании добавляют 50 мл водного раствора, содержащего 17,4 г мальтозы. Таким образом, полученную дисперсию подвергают стерилизующей фильтрации на фильтре (с размером пор) 0,22 мкм.
Стерильную дисперсию разделяют на порции по 4,0 мл, помещаемые во флаконы емкостью 10 мл, затем лиофилизируют.
После обработки лиофилизата с помощью 3,5 мл бидистиллированной воды, годного для инъецируемого препарата, немедленно получают стабильный и прозрачный раствор.
Этот раствор стабилен и прозрачен в течение более 8 недель.
Примеры 7-25Поступая как описано в вышеприведенных примерах, получают аналогичные композиции из производных класса таксоидов, указанных ниже: – 4-ацетокси-2 бензоилокси- 5 ,20-эпокси- 1 , 7 ,10 -тригидрокси-9-оксо-11-таксен-13 ил–3′-трет.-бутоксикарбониламино-3′-(2-фтор-фенил)-2′-гидрокси- (2R,3S)-пропионат;-4- ацетокси-2 бензоилокси-5 ,20-эпокси-1 , 7 ,10 -тригидрокси-9-оксо-11-таксен-13 ил–3′-трет. -бутоксикарбониламино-3′-(4-хлор-фенил)-2′-гидрокси- (2R,3R)-пропионат;-4-ацетокси-2 бензоилокси-5 ,20- эпокси- 1 ,7 ,10 – тригидрокси-9-оксо-11-таксен-13 ил–3′-трет.-бутоксикарбониламино-3′-(4-метокси-фенил)-2′-гидрокси- (2R,3S)-пропионат;-4-ацетокси-2 бензоилокси-5 ,20-эпокси-1 ,7 ,10 -тригидрокси-9-оксо-11-таксен-13 ил–3′-трет. -бутоксикарбониламино-3′-(4-фтор-фенил)-2′-гидрокси- (2R,3S)-пропионат;-4-aцeтoкcи- 2 бензоилокси-5 20-эпокси- 1 ,7 ,10 тригидрокси-9-оксо-11-таксен-13 ил–3′-адамантилоксикарбониламино-2′ -гидрокси-3′-фенил-(2R,3S)-пропионат;– 4-ацетокси-2 -бензоилокси-5 ,20-эпокси-1 ,7 , 10 -тригидрокси-9-оксо-11-таксен-13 ил-3′-трет. -пентилоксикарбониламино-2′-гидрокси-3′-фенил-(2R,3S)-пропионат;-4-ацетокси-2 -бензоилокси-5 ,20-эпокси-1 ,7 , 10 тригидрокси-9-оксо-11-таксен-13 ил-3′-(1-метил-циклогексил)окси-карбониламино-2′-гидрокси-3′-фенил- (2R,3S)-пропионат;-4-ацетокси-2 -бензоилокси-5 ,20-эпокси-1 , 7 ,10 -тригидрокси-9-оксо-11-таксен-13 ил–3′-(1-метил-циклопропил) оксикарбонил-амино-2′-гидрокси-3′-фенил-(2R,3S)-пропионат;-4-ацетокси-2 -бензоилокси-5 ,20-эпокси-1 , 7 ,10 -тригидрокси-9-оксо-11-таксен-13 ил–3′-(1-метил-циклопентил) оксикарбонил-амино-2′-гидрокси-3′-фенил-(2R,3S)-пропионат;-4-ацетокси-2 -бензоилокси-5 , 20-эпокси-1 , 7 , 10 -тригидрокси-9-оксо-11-таксен-13 ил–3′- (1,1-диметил-пропин-2-ил) оксикарбониламино-2′-гидрокси-3′-фенил-(2R,3S)-пропионат;– 4-ацетокси-2 -бензоилокси-5 , 20-эпокси-1 ,7 , 9 ,10 -тетрагидpoкcи-11-тaкceн-13 ил-3′-тpeт. -бyтoкcикapбoнилaминo-2′- гидрокси-3′-фенил-(2R,3S)-пропионат;-4-ацетокси-2 -бензоилокси-5 ,20-эпокси-1 , 7 -дигидрокси-9-оксо-тaксeн-13 ил-3′-тpeт.-бyтoкcикapбoнилaминo-2′-гидрокси-3′-фенил-(2R, 3S)-пропионат;-4-ацетокси-2 -бензоилокси-5 , 20-эпокси-1 ,7 ,10 -тригидрокси-9-оксо-11-таксен-13 ил–3′-трет. -бутоксикарбониламино- 2′-гидрокси-3′-(тиен-2-ил)-(2R,3S)-пропионат;-4-ацетокси-2 бензоилокси-5 ,20-эпокси-1 , 7 , 10 – тригидрокси-9-оксо-11-таксен- 13 ил–3′-трет. бутоксикарбониламино-3′-(фур-2-ил)-2′-гидрокси-(2R,3S)-пропионат;-4-ацетокси-2 бензоилокси-5 , 20-эпокси-1 ,7 , 10 -тригидрокси-9-оксо-11-таксен-13 -ил–3′-трет. бутоксикарбониламино-2′-гидрокси-3′-(тиен-3-ил)-(2R,3S)-пропионат;-4-ацетокси-2 бензоилокси-5 ,20-эпокси-1 , 10 -дигидрокси-9-оксо-11-таксен-13 ил– 3′- трет.бутоксикарбониламино-2′-гидрокси-3′-фенил-(2R,3S)-пропионат;-4-aцeтoкcи-2 бeнзoилoкcи-5 ,20-эпoкcи-1 ,7 -дигидpoкcи-9,10-диoкco-11-тaкceн-13 ил-3′-трет. бутоксикарбониламино-2′-гидрокси-3′-фенил-(2R,3S)-пропионат;– 4- ацетокси-2 -бензоилокси-5 , 20-эпокси- 1 -гидрокси-9-оксо-11-таксен-13 – ил-3′-трет.бутоксикарбониламино-2′-гидрокси-3′-фенил-(2R, 3S)-пропионат;-4-aцeтoкcи-2 -бeнзоилoкcи-5 , 20-эпокси-1 , 10 -дигидрокси-7 , 8 -метилен-9-оксо-19-нор-11-таксен-13 ил-3′-трет.бутоксикарбониламино- 2′-гидрокси-3′-фенил-(2R,3S)-пропионат.
Пример получения производного общей формулы (I)К раствору 550 мг 4 ,10 -диацетокси-2 бензоилокси-5 , 20-эпокси-1 гидрокси-7 , 8 -метилен- 9-оксо-19-нор-11- таксен-13 ил–3-амино-2-гидрокси-3-фенил- (2R, 3S)-пропионата в 1 см3 дихлорметана, находящемуся в атмосфере аргона, добавляют 76 мг бикарбоната натрия, затем прикапывают при температуре около 20oC раствор из 197 мг ди-трет.бутил-бикарбоната в 1 см3 дихлорметана. Полученный раствор перемешивают в течение 15 часов при температуре около 20oC, после чего добавляют смесь из 5 см3 дистиллированной воды и 10 см3 дихлорметана. Водную фазу экстрагируют с помощью 5 см3 дихлорметана. Объединенные органические фазы сушат над сульфатом магния, отфильтровывают, затем концентрируют досуха при пониженном давлении (2,7 кПа) при 40oC. Таким образом получают 780 мг продукта в виде пены белого цвета, которую очищают путем хроматографии при атмосферном давлении на 50 г диоксида кремния (0,063 – 0,2 мм), которые находятся в колонке диаметром 2,5 см, элюируя смесью метанол-дихлорметан (1:99, затем 2,5:97,5 по объему) и собирая фракции по 10 см3. Фракции, содержащие только искомый продукт, объединяют и концентрируют досуха при пониженном давлении (2,7 кПа) при 40oC. Таким образом получают 660 мг пенообразного продукта белого цвета. Образец весом 300 мг очищают путем препаративной тонкослойной хроматографии на 12 пластинах из диоксида кремния, (силикагель 60F254, Мерк; толщина 0,25 мм), элюируя смесью метанол-дихлорметан (4: 96 по объему). После элюирования зоны, соответствующей основному продукту, с помощью смеси метанола с дихлорметаном (10:90 по объему), затем выпаривания растворителей при пониженном давлении (0,27 кПа) при температуре около 40oC получают 159,7 мг 4 ,10 -диацетокси-2 бензоилокси-5 ,20-эпокси-1 -гидрокси-7 ,8 -метилен-9-оксо -19-нор-11-таксен-13 -ил–3-трет. бутоксикарбониламино-2-гидрокси- 3-фенил-(2R,3S)-пропионата в виде пенообразного продукта белого цвета, характеристики которого следующие:-вращательная способность: [ ]2D0= -34o(c=0,564; метанол);-спектр протонного ядерного магнитного резонанса (400 МГц; дейтерохлороформ; в м.д. (миллионные доли); константы связи J в Гц): 1.28 (с., 3H: -CH3 в положении 16 или 17); 1,30 (с., 9H: -С(CH3)3); 1,38 (м., 1H: -H в положении 7); 1,60 (с., 3H: -CH3 в положении 16 или 17); 1,68 и 2.25 (т. и м., 1H каждый: CH2 циклопропана); 1,85 (с., 3H: -CH3 в положении 18); 2,10 и 2,45 (д. и тд., 1H каждый: -CH2– в положении 6); 2,23 (с., 3H: -COCH3 в положении 10); 2,22 и 2,40(м., 1H каждый: -CH2 в положении 14); 2,40 (с., 3H: -COCH3 в положении 4); 3.28 (д., 1H: -OH в положении 2′); 4,05 и 4,22 (д., 1H каждый: -CH2– в положении 20); 4,10 (д., 1H: -H в положении 3); 4,62 (ш. с., 1H: -H в положении 2′); 4,73 (д., 1H: -H в положении 5); 5,29 (ш.д., 1H: -H в положении 3′); 5,37 (д., 1H: – CONH-) 5,67 (д., 1H: -H в положении 2); 6,28 (ш.т., 1H: -H в положении 13); 6,33 (с., 1H: -H в положении 10); 7,30 – 7,45 (мультиплет, 5H: -C6H5 в положении 3′); 7,51 (т., 2H: -OCOC6H5/-H в положении 3 и -H в положении 5/); 7,61 (т., 1H: -OCOC6H5/-H в положении 4/); 8,17 (д., 2H: -OCOC6H5/-H в положении 2 и -H в положении 6/);Из 1,6 г 4 ,10 -диацетокси-2 -бензоилокси-5 ,20-эпокси- 1 -гидрокси-7 ,8 -метилен-9-оксо-19-нор-11-таксен-13 ил-3- трет.бутоксикарбонил-2,2-диметил-4-фенил—оксазолидин-5-карбоксилата- (4S, 5R) получают 1,14 г 4 ,10 -диацетокси-2 бензоилокси-5 ,20-эпокси-1 -гидрокси-7 , 8 -метилен-9-оксо-19-нор-11-таксен-13 ил-3-амино-2-гидрокси-3-фенил-(2R,3S)-пропионата в виде пенообразного продукта белого цвета.
Из 2,2 г 4 ,10 -диацетокси-2 -бензоилокси-5 ,20-эпокси-1 -гидрокси-9-оксо-7 -трифторметансульфонат-11-таксен-13 -ил –3-трет.бутоксикарбонил-2,2-диметил-4-фенил-оксазолидин-5- карбоксилата-(4S,5R) получают 1,62 г 4 ,10 -диацетокси-2 – бензоилокси-5 ,20-эпокси-1 -гидрокси-7 ,8 -метилен- 9-оксо- 19-нop-11-тaкceн-13 -ил–3-тpeт.бутоксикарбонил-2,2-диметил- 4-фенил-оксазолидин-5-карбоксилата-(4S, 5R) в виде пенообразного продукта белого цвета.
Из 2,4 г 4 ,10 -диацетокси-2 бензоилокси-5 ,20-эпокси-1 ,7 -дигидрокси-9-оксо-11-таксен-13 ил–3-трет.бутоксикарбонил- 2,2-диметил-4-фенил-оксазолидин-5-карбоксилата-(4S,5R) получают 2,46 г 4 ,10 -диацетокси-2 бензоилокси-5 ,20-эпокси-1 -гидрокси-9-оксо-7 -трифторметансульфонат-11-таксен-13 -ил– 3-трет.бутоксикарбонил-2,2-диметил-4-фенил-оксазолидин- 5-карбоксилата-(4S, 5R) в виде пенообразного продукта белого цвета.
4 ,10 -диацетокси-2 -бензоилокси-5 ,20-эпокси- 1 ,7 -дигидрокси-9-оксо-11-таксен-13 -ил–3-трет. бутоксикарбонил-2,2-диметил-4-фенил-оксазолидин-5-карбоксилат- (4S,5R) получают в условиях, описанных в международной заявке ВОИС 92/09589.5
Формула изобретения
![]() в которой радикалы R1 и R2 каждый обозначают атом водорода, или же один из радикалов R1 или R2 обозначает атом водорода, а другой обозначает гидроксильный, ацилокси- или ацилкарбонилокси-радикал, или R2 обозначает атом водорода, а R1 с атомом углерода метильного радикала в положении образует связь с получением циклопропанового кольца;один из радикалов R3 или R4 обозначает атом водорода, а другой обозначает гидроксильный радикал или R3 и R4 вместе образуют оксорадикал; радикалы R2 и R6 каждый обозначают атом водорода, или один из радикалов R5 или R6 обозначает атом водорода, а другой обозначает гидроксильный, ацилокси-, ацилкарбонилокси- или алкоксиметилкарбонилокси-радикал, или R5 и R6 вместе образуют оксорадикал; R7 обозначает алкоксильный, алкенилокси- или циклоалкилокси-радикал; R8 обозначает алкильный, линейный или разветвленный, алкенильный, линейный или разветвленный, алкинильный, линейный или разветвленный радикал, циклоалкильный радикал с 3 – 6 атомами углерода, или обозначает фенильный радикал, в случае необходимости замещенный одним или несколькими атомами или радикалами, одинаковыми или разными, выбираемыми из атомов галогена и алкильных, алкоксильных, диалкиламино-, ациламино-, алкоксикарбониламино- или трифторметильного радикалов, или ароматический пятичленный гетероциклический радикал, содержащий один или несколько гетероатомов, одинаковых или разных, выбираемых среди атомов азота, кислорода и серы, имея в виду, что алкильные радикалы и алкильные части других радикалов содержат 1 – 8 атомов углерода в линейной или разветвленной цепи, и алкенильные или алкинильные радикалы содержат 2 – 8 атомов углерода. 4. Фармацевтическая композиция по пп.1, 2 или 3, отличающаяся тем, что активный агент из класса таксоидов, выбираемый среди доцетаксела или производных доцетаксела, выбирают из продуктов по п.2, в которых R2 обозначает атом водорода, R1 обозначает атом водорода или гидроксильный радикал или R1 вместе с атомом углерода метильного радикала в положении образует простую связь; R3 и R4 вместе образуют оксо-радикал, R5 обозначает атом водорода и R6 обозначает атом водорода и R6 обозначает атом водорода или гидроксильный, ацетилокси- или метоксиацетилокси-радикал или R5 и R6 вместе образуют оксо-радикал, R7 обозначает трет.бутокси-радикал и R8 обозначает изобутильный, изобутенильный, циклогексильный, фенильный, 2-фурильный, 3-фурильный, 2-тиенильный, 3-тиенильный, 2-тиазолильный, 4-тиазолильный или 5-тиазолильный радикал.
5. Фармацевтическая композиция по любому из пп.1 – 4, отличающаяся тем, что активным агентом является доцетаксел.
6. Фармацевтическая композиция по любому из пп.1 – 4, отличающаяся тем, что активным агентом является 4 , 10 -диацетокси-2 -бензоилокси -5 , 20-эпокси-1 -гидрокси- 7 , 8 – метилен-9-оксо-19-нор-11-таксен-13 -ил-3-трет. бутоксикарбониламино-2-гидрокси-3′-фенил-(2R, 3S)-пропионат.
7. Фармацевтическая композиция по любому из пп.1 – 6, отличающаяся тем, что концентрация действующего начала составляет величину от 5 и до значений выше 10 мг/мл.
8. Фармацевтическая композиция по любому из пп.1 – 7, отличающаяся тем, что ненасыщенным фосфолипидом является природный, синтетический или полусинтетический фосфолипид.
9. Фармацевтическая композиция по п.8, отличающаяся тем, что ненасыщенным фосфолипидом является природный фосфолипид.
10. Фармацевтическая композиция по п. 8 или 9, отличающаяся тем, что природным фосфолипидом является фосфолипид растительного происхождения, в особенности из подсолнечника или сои.
11. Фармацевтическая композиция по любому из пп.1 – 10, отличающаяся тем, что ненасыщенный фосфолипид состоит из 70 – 100% фосфатидилхолина.
12. Фармацевтическая композиция по п.10 или 11, отличающаяся тем, что природный фосфолипид растительного происхождения содержит более 70% ацильных ненасыщенных цепей.
13. Фармацевтическая композиция по любому из пп.1 – 12, отличающаяся тем, что активный агент из класса таксоидов, выбираемый среди доцетаксела или производных доцетаксела, введен в количестве 1-30 мас.%, в расчете на сумму фосфолипидов.
14. Фармацевтическая композиция по п.13, отличающаяся тем, что активный агент введен в количестве 3 – 20 мас.%, в расчете на сумму фосфолипидов.
15. Фармацевтическая композиция по п.13 или 14, отличающаяся тем, что активный агент введен в количестве 3,5 – 10 мас.%, в расчете на сумму фосфолипидов.
16. Фармацевтическая композиция по любому из пп.1 – 15, отличающаяся тем, что отрицательно заряженный фосфолипид или отрицательно заряженные фосфолипиды выбирают среди солей щелочных металлов или солей четвертичного аммония фосфатидилглицерина, фосфатидилсерина, фосфатидилинозитола, фосфатидиновой кислоты или их производных.
17. Фармацевтическая композиция по п.16, отличающаяся тем, что отрицательно заряженный фосфолипид или отрицательно заряженные фосфолипиды вводят в количестве около 0,1 – 4 мас.%, в расчете на всю совокупность ненасыщенного фосфолипида или ненасыщенных фосфолипидов.
18. Фармацевтическая композиция по п.16 или 17, отличающаяся тем, что отрицательно заряженный фосфолипид или отрицательно заряженные фосфолипиды вводят в количестве около 0,4 – 0,8 мас.%, в расчете на всю совокупность ненасыщенного фосфолипида или ненасыщенных фосфолипидов.
19. Фармацевтическая композиция по любому из пп.16 – 18, отличающаяся тем, что отрицательно заряженный фосфолипид или отрицательно заряженные фосфолипиды вводят в количестве около 0,5 мас.%, в расчете на всю совокупность ненасыщенного фосфолипида или ненасыщенных фосфолипидов.
20. Фармацевтическая композиция по любому из пп.1 – 9, отличающаяся тем, что она может быть жидкой, замороженной или лиофилизированной.
21. Фармацевтическая композиция по любому из пп.1 – 20, отличающаяся тем, что она содержит криозащитный агент и/или агент, предназначенный для доведения до нужного значения изотоничности конечного раствора для инъекции.
22. Фармацевтическая композиция по п.21, отличающаяся тем, что агент выбирают среди сахаров, полимеров или аминокислот.
23. Фармацевтическая композиция по любому из пп.1 – 22, отличающаяся тем, что она содержит частицы, средний диаметр которых менее 200 нм.
24. Фармацевтическая композиция по п.23, отличающаяся тем, что она содержит частицы, средний диаметр которых менее 100 нм.
25. Способ получения фармацевтической композиции по любому из пп.1 – 24, отличающийся тем, что готовят гомогенную дисперсию путем растворения в спирте одного или нескольких ненасыщенных фосфолипидов, одного или нескольких отрицательно заряженных фосфолипидов и действующего начала из класса таксоидов, выбираемого среди доцетаксела или производных доцетаксела, выпаривают весь или часть спирта до получения геля или вязкой жидкости, которую поглощают путем добавления воды при перемешивании, затем гомогенизируют, после чего в случае необходимости полученную дисперсию замораживают или лиофилизируют.
26. Способ по п.25, отличающийся тем, что спиртом является этанол.
27. Способ по п.25 или 26, отличающийся тем, что полученную дисперсию подвергают стерилизующей фильтрации.
28. Фармацевтическая композиция по п.20 в виде замороженного или лиофилизированного раствора для получения стабилизированных, готовых к употреблению растворов для инъекций.
PD4A – Изменение наименования обладателя патента Российской Федерации на изобретение
Номер и год публикации бюллетеня: 16-2003
(73) Новое наименование патентообладателя:
Извещение опубликовано: 10.06.2003
|
||||||||||||||||||||||||||

(доцетаксел) и его производные
положении образует связь с получением циклопропанового кольца;
диaцeтoкcи- 2
в м.д. (миллионные доли); константы связи J в Гц): 1.28 (с., 3H: -CH3 в положении 16 или 17); 1,30 (с., 9H: -С(CH3)3); 1,38 (м., 1H: -H в положении 7); 1,60 (с., 3H: -CH3 в положении 16 или 17); 1,68 и 2.25 (т. и м., 1H каждый: CH2 циклопропана); 1,85 (с., 3H: -CH3 в положении 18); 2,10 и 2,45 (д. и тд., 1H каждый: -CH2– в положении 6); 2,23 (с., 3H: -COCH3 в положении 10); 2,22 и 2,40(м., 1H каждый: -CH2 в положении 14); 2,40 (с., 3H: -COCH3 в положении 4); 3.28 (д., 1H: -OH в положении 2′); 4,05 и 4,22 (д., 1H каждый: -CH2– в положении 20); 4,10 (д., 1H: -H в положении 3); 4,62 (ш. с., 1H: -H в положении 2′); 4,73 (д., 1H: -H в положении 5); 5,29 (ш.д., 1H: -H в положении 3′); 5,37 (д., 1H: – CONH-) 5,67 (д., 1H: -H в положении 2); 6,28 (ш.т., 1H: -H в положении 13); 6,33 (с., 1H: -H в положении 10); 7,30 – 7,45 (мультиплет, 5H: -C6H5 в положении 3′); 7,51 (т., 2H: -OCOC6H5/-H в положении 3 и -H в положении 5/); 7,61 (т., 1H: -OCOC6H5/-H в положении 4/); 8,17 (д., 2H: -OCOC6H5/-H в положении 2 и -H в положении 6/);