Патент на изобретение №2157188
|
||||||||||||||||||||||||||
(54) МЕДИКАМЕНТЫ
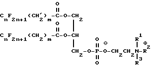
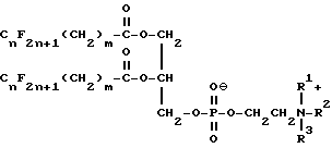
(57) Реферат: Изобретение относится к химико-фармацевтической промышленности и касается аэрозольной композиции, используемой для введения медикаментов ингаляцией. Изобретение заключается в том, что фармацевтическая композиция содержит порошкообразный медикамент, фторуглеродный или водородсодержащий хлорфторуглеродный пропеллент и поверхностно-активное вещество (ПАВ) общей формулы Ia и Iб, I ![]() ![]() где значения R1, R2, R3 указаны в формуле изобретения. Изобретение обеспечивает единичную фиксированную дозу медикаментов в зависимости от тяжести заболевания. 3 с. и 15 з.п. ф-лы, 7 табл. Изобретение относится к аэрозольным композициям, используемым для введения медикаментов ингаляцией. Использование аэрозолей для введения медикаментов известно уже несколько десятилетий. Такие аэрозоли обычно содержат медикамент, один или более чем один хлорфторуглеродный пропеллент и либо поверхностно-активное вещество, либо такой растворитель как этанол. Наиболее общеупотребительными аэрозольными пропелентами для медикаментов служили пропеллент 11 (CCl3F) и/или пропеллент 114 (CF2ClCF2Cl) с пропеллентом 12 (CCl2F2). Однако ныне полагают, что эти пропелленты истощают слой стратосферного озона, и поэтому необходимо создать аэрозольные композиции для медикаментов с применением так называемых “озоносовместимых” пропеллентов. Класс пропеллентов, которые, как полагают, обладают минимальным озоноистощающим действием в сравнении с обычными хлорфторуглеродами, содержит фторуглероды и водородосодержащие хлорфторуглероды, и известен (ЕР 0372777, W091/04011, W091/11173, W091/11495 и W091/14422) ряд медицинских аэрозольных композиций, в которых используются такие системы пропеллентов. Все эти заявки касаются изготовления находящихся под давлением аэрозолей для введения медикаментов и поиска возможных решений проблем, связанных с использованием нового класса пропеллентов, в частности проблем стабильности готовых фармацевтических композиций. Во всех заявках для минимизации возможного ущерба озоновому слою предложено добавление одного или более чем одного вспомогательного вещества, такого как спирты, алканы, диметиловый эфир, поверхностно-активные вещества (ПАВ) (включая фторированные и нефторированные ПАВ, карбоновые кислоты, полиэтоксилаты и так далее) и, в небольших количествах, даже обычных хлорфторуглеродных пропеллентов. Из уровня техники известно (US 5126123, W091/11173, W091/14422, W092/00062), что фторированные ПАВ могут быть использованы для стабилизации микронизированных суспензий лекарств в таких гидрофторуглеродных пропеллентах, как 1,1,1,2-тетрафторэтан (P134а). Авторы изобретения неожиданно обнаружили, что отдельная группа фторированных ПАВ может быть использована для изготовления новых аэрозольных композиций и может иметь преимущества с точки зрения уменьшения отложения лекарств, увеличения срока хранения и тому подобного. Таким образом, в одном аспекте изобретения предложена фармацевтическая аэрозольная композиция, которая содержит медикамент в форме частиц, фторуглеродный или водородосодержащий хлорфторуглеродный пропеллент и ПАВ общей формулы (Iа) или (Iб) ![]() где R1 обозначает: RF(CH2)a-(CH=CH)b-(CH2)c -(CH=CH)d-(CH2)e-A-; RF-(CH2)f-OCH2CH(CH2OH) CH2-A-; RF-(CH2)g-OCH2CH(CH2OH)-A-; где -A- обозначает -О-, -C(O)O-, -R6(R7)N+-, (где каждый из R6 и R7 обозначает C1-C4алкил или гидроксиэтил), -(CH2)t, где t=0, или 1, или -C(O)N(R9)-(CH2)q-B, где q является целым числом от 0 до 12, B обозначает -О- или -C(O)-, и R9 является водородом или R6, и где сумма a+c+e составляет от 0 до 17, в особенности от 0 до 11, сумма b+d составляет от 0 до 12, а каждый из f и g составляет от 1 до 12; RF-(CH2-CH2-O)h-; RF-(CH(CH3)CH2O)h-; RF-(-CH2-CH2-S)h-; где h равно от 1 до 12, и где RF обозначает фторсодержащую группировку, имеющую одну из следующих структур: (a) F(CF2)i-, где i равно от 1 до 18, в особенности от 2 до 12, (б) (CF3)2CF(CF2)j-, где j равно от 0 до 8, (в) RF1(CF2CF(CF3))k-, где k равно от 1 до 4, a RF1 обозначает CF3-, C2F5– или (CF3)2CF-, (г) RF2(RF3)CFO(CF2CF2)I где I равно от 1 до 6, и где каждый из RF2 и RF3 независимо обозначает CF3-, C2F5-, н-C3F7– или CF3CF2CF(CF3)-, либо вместе взятые RF2 и RF3 обозначают -(CF2)4– или -(CF2)5-, или (д) одну из структур от (а) до (г), в которой один или более чем один атом фтора заменен одним или более чем одним атомом водорода или брома и/или по меньшей мере двумя атомами хлора в таком соотношении, что по меньшей мере 50% атомов, связанных с углеродным скелетом RF, являются атомами фтора, и где RF содержит по меньшей мере 4 атома фтора, r является 0 или 1; R2 обозначает R1, водород или группу OR, где R обозначает насыщенный или ненасыщенный C1-C20алкил или C3-C20ацил, и когда r равно 1, R1 и R2 могут менять свои позиции; и каждый из X или Y независимо обозначает: гидроксил; -OCH2CH(OH)CH2OH; -O(CH2CH2O)tR3, где t является целым числом от 1 до 5, a R3 обозначает атом водорода, или C1-C4алкильную группу; -NR4R5 или N+R4R5R8, где каждый из R4, R5 и R8 независимо обозначает атом водорода, C1-C4алкильную группу, -CH2CH2O(CH2CH2O)sR3, где s обозначает целое число от 1 до 5, или вместе взятые R4 и R5 обозначают -(CH2)q, где q является целым числом от 2 до 5, либо R4 и R5 образуют с атомом азота морфолиновую группу; -O(CH2)pZ, где Z обозначает группу 2-аминоуксусной кислоты, -NR4R5 или -N+R4R5R8, где R8 такой, как определено выше для R4 и R5, а p является целым числом от 1 до 5; при условии, что X и Y не являются оба гидроксилом или ионизированной формой, полученной из гидроксила. Соединения формул (Iа) и (Iб) известны (EP-0478686), причем и подходящее соединение формулы (Iа) или (Iб), и способы их получения могут быть легко определены по этому источнику. Однако авторы обнаружили, что отдельная группа соединений формулы (Iа) особенно предпочтительна для использования в композициях согласно изобретению. Таким образом, в другом аспекте изобретения предложена фармацевтическая аэрозольная композиция, которая содержит медикамент, фторуглеродный или водородосодержащий хлорфторуглеродный пропеллент и ПАВ общей формулы (I) ![]() где n является целым числом от 1 до 18, в частности от 2 до 12; m является целым числом от 0 до 17, в частности 0-11; и R1, R2 и R3 каждый независимо обозначает атом водорода, или C1-4алкильную группу. Из соединений формулы (I) особенно предпочтительны фторированные фосфатидилхолины, в которых каждый из R1, R2 и R3 обозначает метил, n является целым числом от 4 до 8, особенно 4 или 6, а m является целым числом от 4 до 10, особенно 4, 6 или 10. Определенные соединения формулы (I) могут содержать один или более чем один хиральный центр. Понятно, что соединения формулы (I) включают и все их оптические изомеры и их смеси, включая рацемические смеси. Вопреки положениям уровня техники, ПАВ, используемые для получения композиций согласно изобретению, являются эффективными стабилизаторами даже при низкой концентрации относительно количества медикамента. Так, желательно, чтобы количество используемого ПАВ находилось в диапазоне от 0,005 до 20 мас. %, особенно от 0,05 до 20 мас.%, предпочтительно от 0,05 до 15 мас.%, еще более предпочтительно от 0,1 до примерно 10 мас.%, и наиболее предпочтительно от 0,5 до примерно 10 мас.% относительно медикамента. Размер частиц медикамента в форме частиц (например, микронизированного) должен быть таковым, чтобы обеспечить ингаляцию по существу всего медикамента в легкие при введении аэрозольной композиции, и поэтому должен быть менее 100 микрометров, желательно менее 10 микрометров, и предпочтительно в диапазоне 1-10 микрометров, например 1-5 микрометров. Желательно, чтобы готовая аэрозольная композиция содержала 0,005-10 мас. %, предпочтительно 0,005-5 мас.%, лучше 0,01-1,0 мас.% медикамента относительно общей массы композиции. Медикаменты, которые могут быть введены в аэрозольных композициях согласно изобретению, включают в себя любое лекарство, пригодное для ингаляционной терапии, которое может быть представлено в форме, которая по существу полностью не растворима в выбранных пропеллентах. Таким образом, подходящие медикаменты могут быть выбраны, например из: анальгетиков, в частности кодеина, дигидроморфина, эрготамина, фентанила или морфина; ангинальных препаратов типа дилтиазема; антиаллергических препаратов, в частности хромогликата, кетотифена или недокромила; противоинфекционных препаратов, в частности цефалоспоринов, пенициллинов, стрептомицина, сульфонамидов, тетрациклинов и пентамидина; антигистаминов типа метапирилена; противовоспалительных средств, в частности беклометазона, флунизолида, будесонида, типредана, триамцинолонацетонида или флутиказона; противокашлевых средств типа носкапина; бронходилататоров, в частности эфедрина, адреналина, фенотерола, формотерола, изопреналина, метапротеренола, фенилэфрина, фенилпропаноламина, пирбутерола, репротерола, римитерола, салбутамола, салметерола, тербуталина, изоэтарина, тулобутерола, орсипреналина, или (-)-4-амино-3,5-дихлор- -[[[6-[2-(2- пиридинил)этокси] гексил]амино]метил]бензолметанола; мочегонных средств типа амилорида; антихолинергиков, в частности ипратропиума, атропина или окситропиума; гормонов, в частности кортизона, гидрокортизона или преднизолона; ксантинов, в частности аминофиллина, холинтеофиллината, лизинтеофиллината или теофиллина; и терапевтических белков и пептидов, в частности инсулина или глюкагона. Специалисту очевидно, что там, где это целесообразно, медикаменты для оптимизации их активности и/или стабильности, и/или для минимизации растворимости в пропелленте, могут быть использованы в виде солей (например солей щелочных металлов или аминных солей, или солей, полученных присоединением кислоты), или эфиров (например эфиров низших алкилов) или сольватов (например гидратов).
Особенно предпочтительные медикаменты для введения с использованием аэрозольных композиций согласно изобретению включают в себя антиаллергические средства, бронходилататоры и противовоспалительные стероиды, используемые для лечения посредством ингаляционной терапии таких респираторных заболеваний, как астма, например хромогликат (в частности в виде соли натрия), салбутамол (в частности, в виде свободного основания или сульфата), салметерол (в частности, в виде соли – ксинафоата), тербуталин (в частности, в виде сульфата), репротерол (в частности, в виде гидрохлорида), эфир беклометазона (в частности, дипропионат), эфир флутиказона (в частности, пропионат) или (-)-4- амино-3,5-дихлор- -[[[6-[2-(2-пиридинил)этокси]гексил]амино]метил] бензолметанол. Наиболее предпочтительны салметерол, особенно ксинафоат салметерола, салбутамол, пропионат флутиказона, дипропионат беклометазона и их физиологически приемлемые соли и сольваты.
Специалисту понятно, что аэрозольные композиции согласно изобретению при желании могут содержать комбинацию двух или более активных ингредиентов. Например, для лечения респираторных заболеваний типа астмы известны аэрозольные композиции, содержащие два активных ингредиента (в обычной системе пропеллентов). Соответственно, в настоящем изобретении дополнительно предлагаются аэрозольные композиции согласно изобретению, которые содержат два или более медикамента в форме частиц. Такие подходящие комбинации бронходилататорных агентов включают в себя аэрозольные композиции эфедрина и теофиллина, фенотерола и ипратропиума, изоэтарина и фенилэфрина.
Предпочтительные аэрозольные композиции согласно изобретению содержат: (а) эффективное количество бронходилататорного медикамента в виде частиц; (б) эффективное количество противовоспалительного средства в виде частиц, предпочтительно стероидного противовоспалительного медикамента; (в) фторуглеродный или водородсодержащий хлорфторуглеродный пропеллент; (г) ПАВ общей формулы (I). Особо предпочтительные аэрозольные композиции содержат такие бронходилататоры, как салбутамол (например, в виде свободного основания или сульфата), салметерол (например, в виде соли – ксинафоата) или изопреналин, в комбинации с таким противовоспалительным стероидом, как эфир беклометазона (например, дипропионат) или эфир флутиказона (например, пропионат). Кроме того, аэрозольные композиции могут содержать бронходилататор в сочетании с таким антиаллергическим средством, как хромогликат (например, в виде соли натрия). Особо предпочтительны комбинации изопреналина и хромогликата натрия, салметерола и пропионата флутиказона, салбутамола и дипропионата беклометазона.
В композициях согласно изобретению может быть использован любой фторуглерод или водородосодержащий хлорфторуглерод или их смесь, давление паров которых достаточно для эффективного исполнения роли пропеллентов. Предпочтительно пропеллент не растворяет медикамент. Примерами подходящих пропеллентов служат такие C1-4водородосодержащие хлорфторуглероды, как CH2ClF, CClF2CHClF, CF3CHClF, CHF2CClF2, CHClFCHF2, CF3CH2Cl и CClF2CH3, такие C1-4водородосодержащие фторуглероды, как CHF2CHF2, CF3CH2F, CHF2CH3 и CF3CHFCF3, и такие перфторуглероды, как CF3CF3 и CF3CF2CF3.
В качестве смесей фторуглеродов или водородосодержащих хлорфторуглеродов могут быть использованы предпочтительно бинарные смеси указанных соединений или смеси с другими фтор- или водородосодержащими хлорфторуглеродами, например: CHClF2, CH2F2 и CF2CH3. В качестве пропеллента предпочтительно применение одного фторуглерода или водородосодержащего хлорфторуглерода. Как пропелленты особо предпочтительны такие C1-4 водородосодержащие фторуглероды, как 1,1,1,2-тетрафторэтан (CF3CH2F) и 1,1,1,2,3,3,3- гептафтор-н-пропан (CF3CHFCF3).
Желательно, чтобы композиции согласно изобретению не содержали компонентов, способных вызывать разрушение стратосферного озона, и, в частности, были по существу свободны от таких хлорфторуглеродов, как CCl3F, CCl2F2 и CF3CCl3.
Пропеллент может дополнительно содержать такое летучее вспомогательное средство, как насыщенный углеводород, например пропан, н-бутан, изобутан, пентан и изопентан, или диалкиловый эфир, например диметиловый эфир. Обычно пропеллент может содержать до 50 мас.%, например, от 1 до 30 масс. % летучего углеводорода. Однако предпочтительны композиции, которые по существу не содержат летучих вспомогательных средств. В определенных случаях для модификации диэлектрических свойств пропеллента желательно включать необходимое количество воды.
Полярные сорастворители, которые могут быть введены в композиции согласно изобретению, включают в себя такие C2-6алифатические спирты и полиолы, как этанол, изопропанол и пропиленгликоль и их смеси. Предпочтительно использовать этанол. Для улучшения дисперсии обычно требуется лишь небольшое, например от 0,05 до 3,0 мас.%, количество полярного сорастворителя, ибо его введение в количестве более 5 мас.% может ухудшить растворение медикамента. Преимущественно композиции содержат менее 1 мас.%, например около 0,1 мас.%, полярного сорастворителя. Полярность может быть определена, например, методом, описанным в публикации заявки на Европейский патент N 0327777.
В дополнение к ПАВ общей формулы (I), композиции согласно изобретению могут, возможно, содержать один или более чем один дополнительный ингредиент, обычно используемый в практических фармацевтических аэрозольных композициях. Такие возможные ингредиенты включают в себя, но без ограничения приводимым списком, одно или более чем одно из традиционных описанных здесь и далее физиологически приемлемых при ингаляции ПАВ, маскирующие вкус добавки, один или более чем один сахар, буферы, антиоксиданты, воду и химические стабилизаторы.
Примерами традиционных физиологически приемлемых ПАВ служат олеиновая кислота, сорбитантриолеат (Span 85), сорбитанмоноолеат, сорбитанмонолаурат, сорбитанмоноолеат полиоксиэтилен(20), натуральный лецитин, олеиловый эфир полиоксиэтилена (2), стеариловый эфир полиоксиэтилена (2), лауриловый эфир полиоксиэтилена (4), блочные сополимеры оксиэтилена и оксипропилена, синтетический лецитин, диэтиленгликольдиолеат, тетрагидрофурфурилолеат, этилолеат, изопропилмиристат, глицерилмоноолеат, глицерилмоностеарат, цетиловый спирт, стеариловый спирт, полиэтиленгликоль 400, цетилпиридинийхлорид, бензалконийхлорид, оливковое масло, глицерилмонолаурат, кукурузное, хлопковое и подсолнечное масла. Для фармацевтических композиций согласно изобретению в качестве ПАВ предпочтительны лецитин, олеиновая кислота и сорбитантриолеат.
Аэрозольные композиции согласно изобретению могут содержать 0,0001-50 мас. %, предпочтительно 0,001-20 мас.%, например, 0,001-1 мас.% сахара относительно общей массы композиции. Обычно соотношение медикамент: сахар находится в диапазоне от 1:0,01 до 1:100, предпочтительно -от 1:0,1 до 1:10. Типичные используемые в композициях сахара включают в себя, например, сахарозу, лактозу и декстрозу, предпочтительно лактозу, и такие восстанавливающие сахара, как маннит и сорбит, и могут быть в микронизированной или молотой форме.
В частности, предпочтительное воплощение изобретения представляет собой фармацевтическую аэрозольную композицию, содержащую по существу один или более чем один медикамент в форме частиц, один или более чем один фторуглеродный или водородосодержащий хлорфторуглеродный пропеллент и ПАВ формулы (I).
ПАВ согласно изобретению могут быть получены способами, известными из уровня техники, например (ЕР-0478686), по существу, как описано здесь выше. Подходящим является способ получения ПАВ формулы (I)![]() при котором соединение формулы (II) ![]() в которой Hal обозначает атом галогена, выбранный из фтора, хлора, брома и йода, подвергают взаимодействию с (i) соединением формулы (III) ![]() в которой L является отрицательно заряженным противоионом, таким как галогенид или алкил, или арилсульфонилоксигруппой, такой как мезилат или тозилат, и (ii) гидроксилирующим агентом, таким как вода. Реакцию целесообразно проводить в присутствии хлорированного органического растворителя, такого как хлороформ или ему подобного, в основной среде, например пиридине или ему подобном. Соединения формул (II) и (III) хорошо известны из уровня техники (EP-0478686). Композиции согласно изобретению могут быть изготовлены диспергированием медикамента и ПАВ в выбранном пропелленте в подходящем контейнере, например, с помощью обработки ультразвуком. Во избежание любых неблагоприятных воздействий влаги на стабильность суспензии, процесс желательно проводить в безводных условиях. Химическая и физическая стабильность и фармацевтическая приемлемость аэрозольных композиций согласно изобретению могут быть определены известными специалистам методами. Например, химическую стабильность компонентов можно определить путем ВЭЖХ анализа, например, после длительного хранения продукта. Данные о физической стабильности могут быть получены с применением других известных аналитических методов, например, путем тестирования утечки, испытанием клапана на пропускную способность (по средней массе дозы при нажатии), анализом на воспроизводимость дозы (по количеству активного ингредиента на одно нажатие) и анализом распределения при распыле. Стабильность суспензии аэрозольной композиции согласно изобретению особенно важна и может быть измерена общеизвестным методом, например, путем измерения распределения размера флоккуляции с применением инструмента для обратного рассеяния света или путем измерения распределения размера частиц посредством каскадного соударения, или аналитическим методом “двойного сталкивания”. Анализ “двойного сталкивания” означает “определение осаждения выпущенной дозы при ингаляциях под давлением при использовании аппарата “A”, как это определено в Британской фармакопее 1988, с. A204-207, Приложение XVII С (British Pharmacopaeia 1988, pages A204-207, Appendix XVII C). Такой метод позволяет рассчитать “вдыхаемую фракцию” аэрозольных композиций. Термин “вдыхаемая фракция” означает количество активного ингредиента, собранного при распыле с использованием вышеописанного метода “двойного сталкивания” в нижней части ударной камеры, выраженное в % от общего количества активного ингредиента, переносимого при распыле с использованием вышеописанного метода двойного сталкивания. Было обнаружено, что композиции согласно изобретению имеют вдыхаемую фракцию порядка 20% или более по массе медикамента, предпочтительно 25-70%, например 30-60%. Композициями согласно изобретению могут быть наполнены баллоны, пригодные для доставки фармацевтических аэрозольных композиций. Они обычно содержат способный выдержать давление паров пропеллента контейнер, например, пластмассовый или покрытый пластиком стеклянный флакон, или, предпочтительно, металлический, например алюминиевый баллончик, который при желании может быть анодирован, покрыт лаком и/или пластмассой, при этом такой контейнер закрыт дозирующим клапаном. Эти дозирующие клапаны служат для выпуска отмеренного количества композиции при нажатии. Они имеют прокладку, предотвращающую утечку пропеллента через клапан. Прокладка может быть изготовлена из любого подходящего эластичного материала, например, полиэтилена низкой плотности, хлорбутилкаучука, белого и черного бутадиенакрилонитрильного каучука, бутилкаучука и неопрена. Подходящие клапаны коммерчески доступны. Их производят, в частности, хорошо известные на рынке производителей аэрозолей фирмы Valois, Франция (например, DF10, DF30, DF60), Bespak PLC, Соединенное королевство (например, BK300, BK357) и 3М-Neotechnic Ltd, Соединенное королевство (например, SpraymizerTM). Большинство общеизвестных специалистам в области фармацевтических аэрозолей промышленных методов и оборудования могут быть применены для массового производства заполненных баллонов. Например, по одному из таких методов дозирующие клапаны обжимают на алюминиевом сосуде для получения пустого баллончика. Медикамент в форме частиц вносят в загрузочный сосуд, а сжиженный пропеллент под давлением переводят через загрузочный сосуд в рабочий сосуд, вместе с сжиженным пропеллентом, содержащим ПАВ. Суспензию лекарства смешивают перед рециркуляцией в фасовочную машину, а затем аликвоту суспензии лекарства через дозирующий клапан впускают в баллон. Обычно в партиях, приготовленных для фармацевтического использования, каждый заполненный баллончик подвергают контрольному взвешиванию, наносят номер партии и упаковывают в поддон для хранения перед тестированием высвобождения. Каждый заполненный баллончик перед использованием в качестве дозирующего ингалятора обычно устанавливают в направляющее приспособление для введения медикамента в легкие или носовую полость пациента. Это приспособление имеет, например, средство нажатия на клапан и цилиндрический или конусообразный канал, например мундштук, для пропуска медикамента из заполненного баллончика через дозирующий клапан в рот или нос пациента. Дозирующие ингаляторы проектируют так, чтобы при нажатии или “распыле” они выпускали единичную фиксированную дозу медикамента, например 10-5000 микрограмм медикамента за один распыл. Введение медикамента может быть показано для лечения легких, умеренных, острых или хронических симптомов или для профилактического лечения. Следует учесть, что точная доза для введения зависит от возраста и состояния пациента, конкретного медикамента в форме частиц и частоты введения, и в конечном счете назначается по усмотрению врача. При применении комбинаций медикаментов дозу каждого из них обычно устанавливают такой, которая характерна для его отдельного использования. Обычно введение осуществляют один или более чем один раз, например 1-8 раз в день, по 1, 2, 3 или 4 распыла каждый раз. Подходящие дневные дозы в зависимости от тяжести заболевания могут составлять, например, 50-200 микрограмм салметерола, 100-1000 микрограмм салбутамола, 50-2000 микрограмм пропионата флутиказона или 100-2000 микрограмм дипропионата беклометазона. Например, при каждом нажатии клапана может выделяться 25 микрограмм салметерола, 100 микрограмм салбутамола, 25, 50, 125 или 250 микрограмм пропионата флутиказона или 50, 100, 200 или 250 микрограмм дипропионата беклометазона. Обычно каждый заполненный баллончик для использования в дозирующем ингаляторе содержит 100, 160 или 240 фиксированных доз или распылов медикамента. Описанные здесь заполненные баллончики и ингаляторы с фиксированной дозой являются дополнительными объектами изобретения. Еще одним объектом изобретения служит способ лечения таких респираторных заболеваний, как например астма, при котором посредством ингаляции вводят эффективное количество композиции подобно тому, как здесь описано. Ниже изобретение поясняется примерами, не ограничивающими его объем. Пример 1 Пример 1а Соединение формулы (I) (R1 R2, R3=CH3, n=6, m=6) В сухую круглодонную четырехгорлую колбу емкостью 1 л с механической мешалкой, датчиком температуры и отверстием для впуска азота внесли 150 мл (5 объемов) сухого (стабилизированного 2,6-ди-трет-бутил-п-крезолом) изопропилового эфира. Раствор охладили до -25oC, добавили 3,08 мл (5,07 г, 33,07 ммоль) POCl3 и затем 5,53 мл (4,02 г, 39,68 ммоль) триэтиламина. Мутный раствор перемешали в течение 5 мин и в течение 20 мин добавили 30 г (31,5 ммоль) 3-гидрокси-2-(8,8,9,9,10,10,11,11,12,12,13,13,13- тридекафтортридеканоилокси)-пропилового эфира1 8,8,9,9,10,10,11,11,12,12,13,13,13-тридекафтортридеканоевой кислоты в 75 мл (2,5 объема) изопропилового эфира при поддержании температуры между -26oC и -23oC. В течение 1 ч смесь нагрелась до 20oC, ее промыли 2х40 мл (2,5 объема) изопропилового эфира, фильтрат при 25oC упарили примерно до 100 мл, добавили 500 мл свободного от этанола CHCl3 и повторно упарили раствор при 25oC примерно до 100 мл. Вновь добавили 120 мл (8,3 объема) свободного от этанола хлороформа. Раствор охладили до 0oC, затем добавили 12,8 мл (12,3 мг, 155,6 ммоль) пиридина и 9,56 г (34,7 ммоль) холинтозилата. Реакционную смесь в течение 1 ч оставили нагреваться до 25oC, затем перемешивали в течение 7 ч при температуре окружающей среды, добавили 2,8 мл (155,6 ммоль) воды и перемешивали при 25oC в течение 5 ч. Смесь оставили на ночь при 0oC, затем добавили 250 мл абсолютного этанола. 400 г ионообменной смолы TMD-8 поместили в фильтровальную воронку на 600 мл. Смолу промыли 3х250мл абсолютным этанолом. После отсасывания под вакуумом в течение 15 мин получили примерно 300 г смолы. Добавили ионообменную смолу TMD-8 (300 г) и суспензию перемешивали в течение 2 ч при 25oC. Смолу отфильтровали и осадок на фильтре промыли 3х250 мл абсолютного этанола. Фильтрат оставили на ночь при 0oC, а затем растворитель упарили при температуре 25-30oC до общего объема 200 мл. Добавили 500 мл толуола и растворитель упарили при 50oC до объема примерно 400 мл, при этом продукт начал желироваться из раствора. Добавили 500 мл толуола и упарили растворитель до общего объема 500 мл. Суспензию интенсивно перемешивали в течение 12 ч при температуре окружающей среды, а твердый порошок собрали фильтрованием, промыли 2х200мл толуола и получили 23,0 г (65,4%) указанного в заголовке соединения. Пример 1б Соединение формулы (I) (R1, R2, R3=CH3, n=4, m=10) В сухую круглодонную четырехгорлую колбу емкостью 1 л с механической мешалкой, датчиком температуры, отверстием для впуска азота и мембраной внесли 100 мл диэтилового эфира. Раствор охладили до -20oC, ввели 6,7 мл POCl3, затем 12,1 мл триэтиламина. В 500 мл диэтилового эфира растворили 62,5 г 1-гидроксиметил-2-(12,12,13,13,14,14,15,15,15- нонафторпентадеканоилокси)-этилового эфира1 12,12,13,13,14,14,15,15,15- нонафторпентадеканоевой кислоты, охладили в ледяной бане и в течение 30 мин добавили к раствору POCl3. Смесь оставили для нагрева до комнатной температуры. Смесь профильтровали и промыли 3х100 мл диэтилового эфира, а растворитель удалили под высоким вакуумом. Для растворения остатка добавили 100 мл хлороформа, а затем 200 мл ацетонитрила, 29,2 мл пиридина и 10,1 г холинхлорида. Смесь оставили на ночь для нагрева до комнатной температуры, а затем перемешали в атмосфере азота. Затем добавили 6,5 мл воды и реакционную смесь перемешивали при комнатной температуре в течение 2,5 ч. Растворитель удалили на роторном испарителе, а полученное масло откачивали при глубоком вакууме в течение примерно 1 ч. Тем временем 850 г ионообменной смолы TMD-8 обработали 2х1 л смеси 4:1 хлороформ/метанол, 2х1 л метанола и 1х1 л смесью 4:1 хлороформ/метанол. Соединение разбавили 1500 мл хлороформа и добавили ионообменную смолу с последующим перемешиванием при комнатной температуре в течение 2 ч. Затем растворитель удалили, а полученный фильтрат на роторном испарителе превратили в масло и поместили на ночь в холодильник; после очистки получили 27,58 г соединения, указанного в заголовке. Другие указанные в последующих примерах ПАВ формулы (I) получили аналогичными способами. 1. Получение согласно EP-0478686. Пример 2 26 мг микронизированного салбутамола-основания и 5,1 мг соединения формулы (I) (R1, R2, R3=CH3, n=4, m=10) внесли в 15 мл прозрачный стеклянный аэрозольный флакон, ввернули дозирующий клапан и добавили через него 18,2 г 1,1,1,2-тетрафторэтана (P134а) и 21 г гептафторпропана (P227). Флакон подвергли обработке ультразвуком в течение 30 с для диспергирования лекарства и ПАВ. Примеры 3-6 Способом согласно примеру 2 изготовили композиции, приведенные в табл. 1. Примеры 7-20 (см. в табл. 2) Аэрозольные композиции в примерах 7-20 получили крупномасштабными партиями. Дозирующий клапан (например DF60) обжали на алюминиевом баллончике емкостью 8 мл (в примерах 19 и 20 – 12,5 мл), баллончик перед заполнением продули 1,1,1,2-тетрафторэтаном. Медикамент в форме частиц (микронизированный) внесли в загрузочный сосуд и, прокачивая через него под давлением сжиженный содержащий ПАВ формулы (I) (где R1, R2, и R3=CH3, n и m-указаны ранее) пропеллент (1,1,1,2-тетрафторэтан), заполнили рабочий сосуд. Суспензию лекарства перед рециркуляцией в фасовочную машину перемешали, и аликвотой (обычно 12 г) суспензии лекарства через дозирующий клапан заполнили баллончик с получением ингалятора, обычно содержащего эквивалент 160 распылов по 75 мг (при проектной поставке 120 распылов). Были приготовлены ингаляторы. Примеры 21-31 (см. в табл. 3) Микронизированное лекарство и ПАВ внесли в 15 мл прозрачный аэрозольные флаконы (фирмы Wheaton Industries, NI). Дозирующие клапаны (типа Bespak valve N ВК300 или Valois DF60 МК VI) установили на каждый флакон. Через клапаны в флаконы добавили 1,1,1,2-тетрафторэтан (P134а) или 1,1,1,2,3,3,3-гептафтор-н-пропан (P227). Затем флаконы подвергли обработке ультразвуком в течение 30 с. Примеры 32-43 (см. в табл. 4) Исходные растворы ПАВ с концентрацией 0,33 мг/г приготовили в стеклянных флаконах следующим способом. В стеклянные флаконы с предохранительным покрытием внесли по 6 мг ПАВ, щипцами типа Pamasol обжали на них клапаны типа A DF60 MKIV и нагнетателем типа Pamasol под давлением ввели через них во флаконы по 18,2 г 1,1,1,2-тетрафторэтана (P134а). Затем для диспергирования ПАВ ингаляторы обработали ультразвуком в течение 30 с. В стеклянные флаконы с предохранительным покрытием перед добавлением лекарства внесли необходимое количество ПАВ или исходного раствора ПАВ, установили клапаны типа A DF60 MKIV, ввели через них пропеллент P134а и заполненные ингаляторы обработали ультразвуком в течение 30 с для диспергирования медикамента и ПАВ. Примеры 44-51 (см. в табл. 5) Примеры 44-51 были выполнены способом, описанным в примерах 32-43, но с использованием 1,1,1,2-тетрафторэтана (P134а), содержащего 600 млн-1 воды. Влажный пропеллент приготовили, смешав воду и пропеллент в цилиндре и затем встряхивая в течение ночи. В примерах 32-51 для каждого лекарства и каждого соединения было проверено соотношение лекарство/ПАВ (0,2-15%). Стабильность суспензии определили методом обратного рассеяния света. Стабильность суспензии можно улучшить при концентрации ПАВ вплоть до 0,2% от массы лекарства. Было определено, что отложение лекарства на стенках стеклянных флаконов уменьшается с ростом концентрации ПАВ. Так, при соотношении лекарство/ПАВ вплоть до 0,1% отложение на стекле значительно уменьшается даже при высокой концентрации воды в пропелленте, что показано в примерах 44-50. Примеры 52-67 (см. в табл. 6) Эти примеры были выполнены способом, описанным в примерах 32-43, но с использованием алюминиевых баллонов вместо стеклянных флаконов и 18,2 г 1,1,1,2-тетрафторэтана (P134а). В примерах 64-67 использовали влажный P134а, содержащий 350 млн-1 воды (изготовленный согласно примерам 44-51. Примеры 68 – 73 (см. в табл. 7) Примеры 68 – 73 были выполнены способом, описанным в примерах 21-31, но применяемое в каждом из них ПАВ имело n=4, m=10. Формула изобретения
![]() ![]() где R1 обозначает: RF(CH2)a-(CH= CH)b-(CH2)c-(CH= CH)d-(CH2)e-A-; RF(CH2)fOCH2CH(CH2OH)CH2-A-; RF(CH2)g-OCH2CH(CH2OH)-A-, где -A – обозначает -O-, C(O)O-, R6(R7)N+-, где каждый из R6 и R7 обозначает C1-C4алкил или гидроксиэтил, -(CH2)t, где t = 0 или 1, или -C(O)N(R9)-(CH2)g-B, где g = 0 – 12, B обозначает -O- или -C(O)-, и R9 является водородом или R6, где a+c+e = 0 – 17, b+d = 0 – 12, а каждый из f и g составляет от 1 до 12; RF(CH2-CH2-O)h-; RF(CH(CH3)CH2O)h-; RF(-CH2-CH2-S)h-, где h = 1 – 12, и где RF обозначает фторсодержащую группировку, имеющую одну из следующих структур: (а) F(CF2)i-, где i = 1 – 18, (б) (CF3)2CF(CF2)i-, где i = 0 – 8, (в) RF1(CF2CF(CF3))k, где k = 1 – 4, а RF1 обозначает CF3-, C2F5- или (CF3)2CF-, (г) RF2(RF3)CFO(CF2CF2)1, где 1 = 1 – 6, и где каждый из RF2 и RF3 независимо обозначает CF3-, C2F5-, н-C3F7- или CF3-CF2CF(CF3)-, либо вместе взятые RF2 и RF3 обозначают -(CF2)4– или -(CF2)5, или (д) одну из структур от (а) до (г), в которой один или более чем один атом фтора заменен одним или более чем одним атомом водорода или брома и/или по меньшей мере двумя атомами хлора в таком соотношении, что по мере 50% атомов, связанных с углеродным скелетом RF являются атомами фтора, и где RF содержит по меньшей мере 4 атома фтора; r = 0 или 1; R2 обозначает R1, водород или группу OR, где R обозначает насыщенный или ненасыщенный C1-C20алкил или C3-C20ацил, и когда r = 1, R1 и R2 могут менять свои позиции, X или Y каждый независимо обозначают гидроксил, -OCH2CH(OH)CH2OH, -O(CH2CH2O)tR3, где t = 1 – 5, а R3 обозначает атом водорода или C1-C4алкильную группу, NR4R5 или N+R4R5R8, где каждый из R4, R5 и R8 независимо обозначает атом водорода, C1-C4алкильную группу, -CH2CH2O(CH2CH2O)sR3, где s = 1 – 5, или вместе взятые R4 и R5 обозначают -(CH2)g, где g = 2 – 5, либо R4 и R5 образуют с атомом азота морфолиновую группу, -O(CH2)pZ, где Z обозначает группу 2-аминоуксусной кислоты, – NR4R5 или -N+R4R5R8, где R8 такой, как определено выше для R4 и R5, а p = 1 – 5, при условии, что X и Y не являются оба гидроксилом или ионизированной формой, полученной из гидроксила. 2. Фармацевтическая аэрозольная композиция, содержащая порошкообразный медикамент, фторуглеродный или водородсодержащий хлорфторуглеродный пропеллент и поверхностно-активное вещество общей формулы I ![]() где n = 1 – 18; m = 0 – 17; R1, R2 и R3 каждый независимо является атомом водорода или C1-4 алкильной группой. 3. Композиция по п.2, где каждый из R1, R2 и R3 обозначает метил. 4. Композиция по п.2 или 3, где n = 4 – 8. 5. Композиция по п.4, где n = 4 или 6. 6. Композиция по любому из пп.2 – 5, где m = 4 – 10. 7. Композиция по п.6, где m = 4, 6 или 10. 8. Композиция по любому из пп.1 – 7, где поверхностно-активное вещество присутствует в количестве 0,05 – 15 мас.% относительно медикамента. 9. Композиция по п.8, где поверхностно-активное вещество присутствует в количестве 0,5 – 10 мас.% относительно медикамента. 10. Композиция по любому из пп.1 – 9,, где размер частиц медикамента составляет 1 – 10 мкм. 11. Композиция по любому из пп.1 – 10, где медикамент присутствует в количестве 0,01 – 1,0 мас.% относительно общей массы композиции. 12. Композиция по любому из пп.1 – 11, где порошкообразный медикамент выбран из группы, состоящей из хромогликата, салбутамола, салметерола, тербуталина, репротерола, эфира беклометазона, эфира флутиказона и (-)-4-амино-3,5-дихлоро- -[[[6-[2-(2-пиридинил)этокси] гексил] амино]метил]бензолметанола.
13. Композиция по п.12, где порошкообразный медикамент выбран из группы, состоящей из ксинафоата салметерола, салбутамола, пропионата флуктиказона, дипропионата беклометазона и их физиологически приемлемых солей и сольватов.
14. Композиция по любому из пп.2 – 13, которая содержит эффективное количество порошкообразного бронходилататорного медикамента, эффективное количество порошкообразного противовоспалительного средства, фторуглеродный или водородсодержащий хлорфторуглеродный пропеллент и поверхностно-активное вещество общей формулы I.
15. Композиция по любому из пп.1 – 14, где указанный пропеллент является C1-4 водородсодержащим фторуглеродом.
16. Композиция по п. 15, где указанный пропеллент выбран из 1,1,1,2-тетрафторэтана (CF3CH2F) и 1,1,1,2,3,3,3-гептпафтор-н-пропана (CF3CHFCF3). 17. Композиция по любому из пп.2 – 16, которая состоит, со существу, из одного или более чем одного порошкообразного медикамента, одного или более чем одного фторуглеродного или водородсодержащего хлорфторуглеродного пропеллента и поверхностно-активного вещества формулы I.
18. Способ лечения респираторных заболеваний, при котором посредством ингаляции вводят эффективное количество композиции по любому из пп.1 – 17.
РИСУНКИ
MM4A – Досрочное прекращение действия патента СССР или патента Российской Федерации на изобретение из-за неуплаты в установленный срок пошлины за поддержание патента в силе
Дата прекращения действия патента: 28.09.2008
Извещение опубликовано: 20.07.2010 БИ: 20/2010
|
||||||||||||||||||||||||||





-[[[6-[2-(2- пиридинил)этокси] гексил]амино]метил]бензолметанола; мочегонных средств типа амилорида; антихолинергиков, в частности ипратропиума, атропина или окситропиума; гормонов, в частности кортизона, гидрокортизона или преднизолона; ксантинов, в частности аминофиллина, холинтеофиллината, лизинтеофиллината или теофиллина; и терапевтических белков и пептидов, в частности инсулина или глюкагона. Специалисту очевидно, что там, где это целесообразно, медикаменты для оптимизации их активности и/или стабильности, и/или для минимизации растворимости в пропелленте, могут быть использованы в виде солей (например солей щелочных металлов или аминных солей, или солей, полученных присоединением кислоты), или эфиров (например эфиров низших алкилов) или сольватов (например гидратов).
Особенно предпочтительные медикаменты для введения с использованием аэрозольных композиций согласно изобретению включают в себя антиаллергические средства, бронходилататоры и противовоспалительные стероиды, используемые для лечения посредством ингаляционной терапии таких респираторных заболеваний, как астма, например хромогликат (в частности в виде соли натрия), салбутамол (в частности, в виде свободного основания или сульфата), салметерол (в частности, в виде соли – ксинафоата), тербуталин (в частности, в виде сульфата), репротерол (в частности, в виде гидрохлорида), эфир беклометазона (в частности, дипропионат), эфир флутиказона (в частности, пропионат) или (-)-4- амино-3,5-дихлор-
85), сорбитанмоноолеат, сорбитанмонолаурат, сорбитанмоноолеат полиоксиэтилен(20), натуральный лецитин, олеиловый эфир полиоксиэтилена (2), стеариловый эфир полиоксиэтилена (2), лауриловый эфир полиоксиэтилена (4), блочные сополимеры оксиэтилена и оксипропилена, синтетический лецитин, диэтиленгликольдиолеат, тетрагидрофурфурилолеат, этилолеат, изопропилмиристат, глицерилмоноолеат, глицерилмоностеарат, цетиловый спирт, стеариловый спирт, полиэтиленгликоль 400, цетилпиридинийхлорид, бензалконийхлорид, оливковое масло, глицерилмонолаурат, кукурузное, хлопковое и подсолнечное масла. Для фармацевтических композиций согласно изобретению в качестве ПАВ предпочтительны лецитин, олеиновая кислота и сорбитантриолеат.
Аэрозольные композиции согласно изобретению могут содержать 0,0001-50 мас. %, предпочтительно 0,001-20 мас.%, например, 0,001-1 мас.% сахара относительно общей массы композиции. Обычно соотношение медикамент: сахар находится в диапазоне от 1:0,01 до 1:100, предпочтительно -от 1:0,1 до 1:10. Типичные используемые в композициях сахара включают в себя, например, сахарозу, лактозу и декстрозу, предпочтительно лактозу, и такие восстанавливающие сахара, как маннит и сорбит, и могут быть в микронизированной или молотой форме.
В частности, предпочтительное воплощение изобретения представляет собой фармацевтическую аэрозольную композицию, содержащую по существу один или более чем один медикамент в форме частиц, один или более чем один фторуглеродный или водородосодержащий хлорфторуглеродный пропеллент и ПАВ формулы (I).
ПАВ согласно изобретению могут быть получены способами, известными из уровня техники, например (ЕР-0478686), по существу, как описано здесь выше. Подходящим является способ получения ПАВ формулы (I)




