|
|
(21), (22) Заявка: 2005107831/09, 21.03.2005
(24) Дата начала отсчета срока действия патента:
21.03.2005
(46) Опубликовано: 10.01.2007
(56) Список документов, цитированных в отчете о поиске:
МИХАЙЛОВ Г.Д. и др. Методы и средства уменьшения радиолокационной заметности антенных систем. – Зарубежная радиоэлектроника, 1994, №4-5, с.54-59. ГОЛОВКОВ А.А. Комплексированные радиоэлектронные устройства. – М.: Радио и связь, 1996, с.114-120. RU 2045798 C1, 10.10.1995.
Адрес для переписки:
394064, г.Воронеж-64, ул. Старых Большевиков, 54а, ГОУВПО Воронежское ВВАИУ, научно-исследовательский отдел
|
(72) Автор(ы):
Головков Александр Афанасьевич (RU), Мальцев Александр Михайлович (RU)
(73) Патентообладатель(и):
Государственное образовательное учреждение высшего профессионального образования Военный институт радиоэлектроники (RU)
|
(54) СПОСОБ УМЕНЬШЕНИЯ ЭФФЕКТИВНОЙ ПОВЕРХНОСТИ РАССЕЯНИЯ АНТЕНН И УСТРОЙСТВО ЕГО РЕАЛИЗАЦИИ
(57) Реферат:
Изобретение относится к антенной технике. Техническим результатом изобретения является снижение уровня боковых лепестков антенны в широкой полосе частот, что приводит к дополнительному снижению ЭПР антенны не только в нерабочие промежутки времени, но и в рабочие, при сохранении уровня снижения ЭПР антенны в пределах ее главного лепестка. Сущность изобретения состоит в следующем. Кроме первой управляемой слоистой структуры в виде экрана или обтекателя, установленного перед антенной, на рефлекторе антенны конформно с его поверхностью случайным образом располагают независимые друг от друга участки второй управляемой слоистой структуры размерами не менее чем 5 ×5 , которые изменяют фазу отраженного сигнала таким образом, что сохраняется параболический закон изменения фазы коэффициента отражения рефлектора. Представлено выполнение первой и второй управляемой слоистой структуры. Приведены математические формулы для определения различных параметров этих структур. 2 н.п. ф-лы, 5 ил.
Изобретение относится к антенной технике и радиолокации и может быть использовано для уменьшения радиолокационной заметности антенн за счет снижения их эффективной поверхности рассеяния (ЭПР).
Известен способ уменьшения ЭПР апертурных антенн (Михайлов Г.Д., Сергеев В.И., Соломин Э.А., Воронов В.А. Методы и средства уменьшения радиолокационной заметности антенных систем. Зарубежная радиоэлектроника, 1994, №4-5, с.54-59), состоящий в том что перед антенной устанавливают экран в виде металлической поверхности в форме конуса с прорезанными щелями. Этот экран пропускает волну с частотой и поляризацией собственной РЛС и отражает как металл волны других частот и поляризаций. Недостатком способа и устройства его реализации является то, что ЭПР снижается только на других поляризациях и частотах, отличных от поляризации и частоты собственной РЛС. Несмотря на утверждение авторов, что при этом общая ЭПР может быть снижена на 30 дБ, очевидно, что даже при 100%-ном рассеянии сигнала ортогональных поляризаций в полосе рабочих частот собственной РЛС ЭПР антенны может быть снижена максимально на 3 дБ.
Известен способ уменьшения ЭПР апертурных антенн (там же), состоящий в том, что под обтекателем антенны создают плазменный экран, по форме совпадающий с обтекателем. При электронной концентрации внутри обтекателя выше некоторой критической в определенной полосе частот ЭПР антенны может быть значительно снижена. Недостатком этого способа является то, что в рабочей полосе частот собственной РЛС ЭПР антенны не снижается. Недостатком устройства реализации этого способа является высокое электропотребление.
Наиболее близким по технической сущности и достигаемому результату (прототипом) является способ уменьшения ЭПР антенных систем (там же), состоящий в выполнении обтекателя или экрана, располагаемых перед антенной в виде управляемой слоистой среды, содержащей в произвольном порядке чередуемые между собой неуправляемые и управляемые слои, а также проводящий экран. Неуправляемые слои – это слои однородных диэлектриков или двумерно-периодические решетки проводящих элементов (полосок или стержней). Управляемые слои – это двумерно-периодические решетки проводящих элементов (полосок или стержней), в разрывы которых включены управляемые элементы – полупроводниковые диоды, сегнетокерамические конденсаторы, нелинейные емкости или нелинейные индуктивности. Управляемые слои могут быть выполнены также в виде ультрафиолетовых пленок, полупроводниковых пленок и резистивных неуправляемых пленок. В последнем случае управляемый слой является просто некоторой неуправляемой нагрузкой. Принцип действия управляемых слоистых сред, реализующих данный способ ЭПР антенных систем, состоит в том, что в периоды излучения и приема импульсов слоистая среда находится в режиме пропускания сигнала, которая обеспечивается при одном уровне управляющего воздействия (тока или напряжения) на управляемые элементы. При другом уровне управляющего воздействия управляемая слоистая среда в период времени, не совпадающий с периодами излучения и приема импульса, переключается в состояние отражения сигнала. При этом отраженный сигнал рассеивается и ЭПР антенной системы в полосе рабочих частот и в пределах главного лепестка диаграммы направленности снижается примерно в Q (скважность) раз.
Недостатком этого способа является то, что ЭПР в отдельные промежутки времени снижаются только в пределах главного лепестка диаграммы направленности антенны. Ширина главного лепестка для апертурных антенн составляет доли или несколько градусов. Вне этого лепестка ЭПР антенны не снижается. Кроме того, в рабочие промежутки времени ЭПР не снижается принципиально.
Известно устройство уменьшения ЭПР антенн, реализующее данный способ (Головков А.А. Комплексированные радиоэлектронные устройства. М.: “Радио и связь”, 1996, с.114-120; Управляемая структура для уменьшения эффективной поверхности рассеяния антенн. Заявка на изобретение №3147646 от 22.07.86. Авт. св-во №265523 от 01.12.87).
Это устройство выполнено в виде управляемой структуры для уменьшения эффективной поверхности рассеяния антенн, отличающейся от предыдущего устройства тем, что квадратная управляемая решетка и металлические решетки совмещены в одной плоскости, действительная составляющая иммитанса каждого полупроводникового элемента выбрана отрицательной, уровни управляющих низкочастотных сигналов выбраны из условия обеспечения усиливающих или генерирующих режимов работы, период “а” квадратной управляемой решетки, ширина d ее полосок и ширина ее разрывов выбраны соответственно равными 0,2/ а 0,6 ; 0,4а d 0,9а; 0,05а  0,9а, период am металлической решетки и ширина h ее проводящих полосок выбраны равными соответственно аm= ; 10-4 h 10-2 , толщина d1 диэлектрических слоев и показатель преломления n их материала выбраны равными d1=0,25 /n и 1,1 n 5,5, где – средняя длина волны рабочего диапазона длин волн.
Недостатки этого устройства повторяют недостатки способа, который оно реализует. Главный из них состоит в том, что ЭПР антенны в рабочие промежутки времени и в угловом секторе, не совпадающем с главным лепестком диаграммы направленности, не может быть снижена.
Известно устройство, реализующее этот способ и выполненное в виде управляемой структуры для уменьшения ЭПР антенны, содержащей трехслойную среду в виде двух одинаковых диэлектрических слоев из материала с показателем преломления 1,1 n 45,5 и расположенного между ними управляемого слоя и генератор управляющих сигналов, причем управляемый слой выполнен в виде фотополупроводниковой пленки, каждый диэлектрический слой выполнен из оптически прозрачного материала с толщиной, равной (0,15…0,5) , где – средняя длина волны рабочего диапазона, причем диэлектрические слои и управляемый слой расположены концентрически, а в точке, равноудаленной от внутренней поверхности трехслойной среды, установлена лампа накачки оптического диапазона, подключенная к генератору управляющих сигналов (Головков А.А. Комплексированные радиоэлектронные устройства. М.: “Радио и связь”, 1996, с.114-120; Управляемая структура для уменьшения эффективной поверхности рассеяния антенны. Заявка на изобретение №3186037 от 08.12.87. Авт. св-во №294454 от 01.06.89).
Недостатки этого устройства повторяют недостатки способа, который оно реализует. Главным недостатком прототипа, как и предыдущих аналогов, является отсутствие возможности уменьшения ЭПР антенны в рабочие промежутки времени и в угловом секторе, не совпадающем с главным лепестком диаграммы направленности.
Из известных устройств наиболее близким по технической сущности и достигаемому результату (прототипом) является устройство уменьшения ЭПР антенн, реализующее указанный способ (Головков А.А. Комплексированные радиоэлектронные устройства. М.: “Радио и связь”, 1996, с.114-120; Устройство для уменьшения эффективной поверхности рассеяния антенны. Заявка на изобретение №3085315 от 19.03.84. Авт. св-во №213006 от 28.12.84).
Это устройство для уменьшения эффективной поверхности рассеяния антенны выполнено в виде плоскослоистой структуры, состоящей из прилегающих друг к другу первой металлической квадратной решетки, первого диэлектрического слоя, управляемой решетки проводящих полосок или стержней, в разрывы которых включены сегнетокерамические конденсаторы или p-i-n диоды, второго диэлектрического слоя и второй металлической решетки, идентичных соответственно первому диэлектрическому слою и первой решетке, при этом одна система параллельных полосок, образующих каждую решетку, изолирована по низкой частоте от другой системы параллельных полосок, перпендикулярной первой, а системы параллельных полосок, образующих решетки, повернуты на 45 градусов относительно полосок управляемой решетки, точки пересечения которых попеременно соединены проводниками, перпендикулярными плоскости слоев, с одной из систем параллельных полосок второй решетки, подключенных поочередно к разным клеммам генератора управляющих сигналов, соединенного с выходом системы автоматического сопровождения по дальности, причем толщины диэлектрических слоев равны половине длины рабочей волны РЛС, а проводимость В решеток, индуктивное сопротивление Х0 полосок решеток и емкостное сопротивление Xш разрывов управляемой решетки определяются из соотношений, полученных из условий обеспечения максимального коэффициента отражения в одном из состояний конденсаторов или диодов, определяемых уровнем управляющего напряжения, и минимального затухания сигнала в другом состоянии управляемых элементов.
Недостатки этого устройства повторяют недостатки способа, который оно реализует. Главным недостатком прототипа, как и предыдущих аналогов, является отсутствие возможности уменьшения ЭПР антенны в рабочие промежутки времени и в угловом секторе, не совпадающем с главным лепестком диаграммы направленности.
Техническим результатом изобретения является уменьшение уровня ЭПР антенной системы в рабочие промежутки времени и в секторе углов, не совпадающем с главным лепестком диаграммы направленности, при сохранении уровня уменьшения ЭПР антенны в нерабочие промежутки времени и в пределах главного лепестка диаграммы направленности.
Указанный результат достигается тем, что в способе уменьшения ЭПР антенн, основанном на использовании первой управляемой слоистой структуры в виде экрана или обтекателя, установлении экрана или обтекателя перед антенной, переключении первой управляемой слоистой структуры из состояния пропускания в моменты времени излучения и приема импульсов в состояние отражения в моменты времени, не совпадающие с моментами времени излучения и приема импульсов, на рефлекторы антенн конформно с их поверхностью дополнительно случайным образом располагают независимые друг от друга участки второй управляемой слоистой структуры, размерами не менее чем 5 ×5 , которые изменяют фазу отраженного сигнала таким образом, что в направлении боковых лепестков отраженные от этих участков сигналы складываются не в фазе, а в пределах главного лепестка сохраняется параболический закон изменения фазы коэффициента отражения рефлектора, – длина волны.
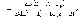
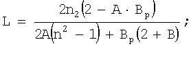
Указанный результат достигается тем, что в устройстве уменьшения ЭПР антенн, выполненном в виде обтекателя или экрана, устанавливаемого перед антенной, причем обтекатель или экран выполнен на основе первой управляемой слоистой структуры, состоящей из прилегающих друг к другу первой металлической квадратной решетки, первого диэлектрического слоя, управляемой двумерно-периодической решетки проводящих полосок или стержней, в разрывы которых включены сегнетокерамические конденсаторы или p-i-n диоды, второго диэлектрического слоя и второй металлической решетки, идентичных соответственно первому диэлектрическому слою и первой решетке, причем одна система параллельных полосок. образующих каждую решетку, изолирована по низкой частоте от другой системы параллельных полосок, перпендикулярной первой, а системы параллельных полосок, образующих решетки, повернуты на 45 градусов относительно полосок управляемой решетки, точки пересечения которых попеременно соединены проводниками, перпендикулярными плоскости слоев, с одной из систем параллельных полосок второй решетки, подключенных поочередно к разным клеммам генератора управляющих сигналов, соединенного с выходом системы автоматического сопровождения по дальности, причем толщины диэлектрических слоев равны половине длины рабочей волны РЛС, а проводимость В решеток, индуктивное сопротивление Xo полосок и емкостное сопротивление Хш разрывов управляемой решетки определены с помощью соотношений, полученных из условий обеспечения максимального коэффициента отражения в одном из состояний конденсаторов или диодов, определяемых уровнями управляющего напряжения, и минимального затухания сигнала в другом состоянии управляемых элементов, на рефлектор антенны конформно с его поверхностью случайным образом расположены независимые друг от друга участки второй управляемой слоистой структуры размерами не менее чем 5 ×5 , каждые из которых выполнены из последовательно перечисляемых со стороны рефлектора первого диэлектрического слоя с толщиной d1 и показателем преломления n1, управляемого слоя в виде резистивной пленки, второго диэлектрического слоя с толщиной d2 и показателем преломления n2 и двумерно-периодической решетки проводящих полосок или стержней с реактивной проводимостью Вр, при этом толщина второго диэлектрического слоя и проводимость двумерно-периодической решетки выбраны с помощью выражений:

где M=AD+(2+B)(1-C); 







n=1, 2…, N; N – число независимых участков второй управляемой слоистой структуры; n – заданные фазы коэффициентов отражения n-ого участка второй управляемой слоистой структуры; g0, b0 – действительная и мнимая части проводимости свободного пространства; gyn, byn – действительная и мнимая части проводимости управляемых слоев в виде резистивных пленок n-ого участка второй управляемой слоистой структуры, определяемых толщиной пленки; параметры d1, n1, n2, выбраны произвольно.
На фиг.1 показано устройство реализации способа уменьшения ЭПР антенн (прототипа).
На фиг.2 представлена управляемая слоистая структура, используемая в устройстве реализации способа-прототипа.
На фиг.3 изображен пример выполнения двумерно-периодической решетки, используемой в управляемой слоистой структуре, реализующей способ-прототип.
На фиг.4 представлена система реализации предлагаемого способа уменьшения ЭПР антенн.
На фиг.5 показана структура слоистой среды, располагаемая на рефлекторе антенны.
Устройство для уменьшения эффективной поверхности рассеяния (фиг.1) антенны 1 выполнено в виде плоскослоистой структуры 2, состоящей (фиг.2) из прилегающих друг к другу первой металлической квадратной решетки 3, первого диэлектрического слоя 4, управляемой решетки 5 проводящих полосок или стержней 6, в разрывы которых включены сегнетокерамические конденсаторы или p-i-n диоды 7, второго диэлектрического слоя 8 и второй металлической решетки (фиг.3), идентичных соответственно первому диэлектрическому слою 4 и первой решетке 3, при этом одна система параллельных полосок 3.1 (9.1), образующих каждую решетку, изолирована по низкой частоте от другой системы параллельных полосок 3.2 (9.2), перпендикулярной первой, а системы параллельных полосок, образующих решетки, повернуты на 45 градусов относительно полосок управляемой решетки, точки пересечения которых попеременно соединены проводниками 10, перпендикулярными плоскости слоев, с одной из систем, параллельных полосе, второй решетки, подключенных поочередно к разным клеммам генератора управляющих сигналов 11, соединенного с выходом системы автоматического сопровождения по дальности 12, причем толщины диэлектрических слоев равны половине длины рабочей волны РЛС, а проводимость В решеток, индуктивное сопротивление Х0 полосок решеток и емкостное сопротивление Хш разрывов управляемой решетки определяются из соотношений, полученных из условий обеспечения максимального коэффициента отражения в одном из состояний конденсаторов или диодов, определяемых уровнем управляющего напряжения, и минимального затухания сигнала в другом состоянии управляемых элементов.
В моменты излучения и приема импульсов, определяемых системой автоматического сопровождения по дальности, слоистая среда переключается в состояние прозрачности, а в другие моменты времени, не совпадающие с моментами излучения и приема импульсов, слоистая среда переключается в состояние отражения. При этом в нерабочие промежутки времени в рабочей полосе частот и в пределах главного лепестка диаграммы направленности ЭПР уменьшается примерно в Q раз.
Устройство реализации предлагаемого способа (фиг.4) отличается от устройства реализации способа прототипа (фиг.1) тем, что дополнительно на рефлекторе случайным образом расположены независимые участки слоистой среды (фиг.5) размерами не менее 5 ×5 , параметры которых выбраны таким образом, что сохраняется параболический закон изменения фазы коэффициента отражения рефлектора. Каждый участок (фиг.5) содержит проводящий экран (поверхность рефлектора) 10, прилегающий к нему первый диэлектрический слой 11 с показателем преломления n1 и толщиной d1, управляемый слой 12 в виде резистивной пленки с заданной комплексной проводимостью, второй диэлектрический слой 13 с показателем преломления n2 и толщиной d2 и двумерно-периодическую решетку 14 проводящих элементов. Благодаря этому боковые лепестки диаграммы направленности антенны, т.е. ее ЭПР за пределами главного лепестка, будут снижены примерно на 13 дБ как в рабочие промежутки времени, так и вне этих промежутков в широкой полосе частот, поскольку в направлении боковых лепестков отраженные от этих участков слоистой среды сигналы складываются не в фазе. При этом функция уменьшения ЭПР примерно в Q раз в пределах главного лепестка диаграммы направленности вне рабочие промежутки времени и на рабочей полосе частот сохраняется, поскольку в направлении главного лепестка отраженные от участков слоистой среды сигналы складываются в фазе в силу сохранения параболического закона изменения фазы по поверхности рефлектора.
Покажем возможность выполнения этих условий. Разделим произвольным образом схему n-го участка слоистой среды, размещаемого на рефлекторе, на управляемую и неуправляемую части. К управляемой части относится управляемый элемент (слой) и часть неуправляемых элементов (слоев). К неуправляемой части или фазовому устройству (ФУ) относятся только неуправляемые элементы. Представим эквивалентную схему слоистой среды в виде двухполюсника, состоящего из четырехполюсника, нагруженного на проводимость управляемой части. При этом четырехполюсник – это эквивалентная схема ФУ.
Пусть фазовое устройство непосредственно подключено к источнику сигнала. Проводимости источника сигнала y0=g0+j·b0 и управляемого слоя в виде резистивной пленки в состояниях yyn=gyn+j·byn на фиксированной частоте и в n-ом состоянии, определяемом уровнем управляющего воздействия, известны.
Требуется определить структуру ФУ, минимальное количество слоев и значения их параметров, при которых в двух состояниях управляемого слоя на заданной частоте обеспечивались бы требуемые значения фаз коэффициентов отражения:

где – коэффициент отражения участка слоистой среды; n – значения фаз коэффициентов отражения в n-ом состоянии.
Пусть ФУ характеризуется волновой матрицей передачи:

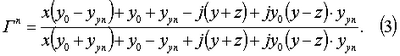
где – нормированные относительно d элементы волновой матрицы ФУ (Фельдштейн А.Л., Явич Л.Р. Синтез четырехполюсников и восьмиполюсников / Связь. М. – 1971, с.30-40). Определим входное сопротивление двухполюсника и используя известное выражение для коэффициента отражения двухполюсника (Сазонов Д.М. Антенны и устройства СВЧ / Высшая школа. М. – 1988, с.98) получим выражения для коэффициентов отражения:

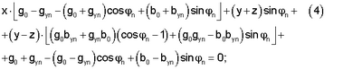
Подставим (3) в (1) и после разделения между собой действительных и мнимых частей получим систему двух уравнений:




решение которой имеет вид:

где: A1,2=








Следовательно, n-ый участок слоистой среды с заданной фазой n отраженного сигнала на фиксированной частоте должен содержать в соответствии с количеством уравнений (5) не менее 2 элементов (слоев). При этом два слоя должны быть отнесены к неуправляемой части, то есть к ФУ, а остальные неуправляемые слои – к управляемой части. Параметры первых двух слоев определяются аналитически из решения системы системы (5). Параметры остальных неуправляемых слоев выбираются произвольно.
В соответствии с описанным алгоритмом получены выражения для определения толщины второго диэлектрического слоя и проводимости решетки структуры участка слоистой структуры, показанного на фиг.5:

где 








n=1, 2,…, N; N – число независимых участков второй управляемой слоистой структуры; n – заданные фазы коэффициентов отражения n-ого участка второй управляемой слоистой структуры; g0, b0 – действительная и мнимая части проводимости свободного пространства; gyn, byn – действительная и мнимая части проводимости управляемых слоев в виде резистивных пленок n-ого участка второй управляемой слоистой структуры, определяемых толщиной пленки; параметры d1, n1, n2 выбраны произвольно.
Численные расчеты в системе Mathcad показали, что фаза коэффициента отражения отдельного участка слоистой среды при изменении толщины резистивного слоя, что эквивалентно изменению действительной и мнимой частей его проводимости, изменяется в пределах n=0°-360° в зависимости от значений gyn, byn, что является достаточным для сохранения параболического закона изменения фазы отраженного от рефлектора с участками слоистой среды сигнала в пределах главного лепестка. Необходимо отметить, что случай b0=-0 является вырожденным – модуль коэффициента отражения достигает значение, равное 1, только при случае n=180°. Этот случай эквивалентен отражению от металла с высокой проводимостью. Случай b0 0 соответствует повышенной влажности или наличию осадков.
Таким образом, полученные результаты могут быть использованы для практического проектирования участков слоистых сред, размещаемых на поверхности рефлектора, в интересах обеспечения снижения уровня боковых лепестков антенны в широкой полосе частот, что приводит к дополнительному снижению ЭПР антенны не только в нерабочие промежутки времени, но и в рабочие, при сохранении уровня снижения ЭПР антенны в пределах ее главного лепестка.
Технико-экономическая эффективность способа и устройства его реализации заключается в возможности обеспечения снижения уровня боковых лепестков антенны в широкой полосе частот, что приводит к дополнительному снижению ЭПР антенны не только в нерабочие промежутки времени, но и в рабочие, при сохранении уровня снижения ЭПР антенны в пределах ее главного лепестка.
Предлагаемое техническое решение – способ является новым, поскольку из общедоступных сведений не известен способ уменьшения эффективной поверхности рассеяния антенн, который обеспечивает снижение уровня боковых лепестков антенны в широкой полосе частот, что приводит к дополнительному снижению ЭПР антенны не только в нерабочие промежутки времени, но и в рабочие, при сохранении уровня снижения ЭПР антенны в пределах ее главного лепестка.
Предлагаемое устройство реализации этого способа является новым, поскольку из общедоступных сведений не известно устройство, состоящее из обтекателя антенны, выполненного из слоистой среды, переключаемой из состояния прозрачности в рабочие промежутки времени в состояние отражения в нерабочие промежутки времени, и участков другой слоистой среды, размещенных случайным образом на рефлекторе антенны и сохраняющих параболический закон изменения фазы коэффициента отражения рефлектора.
Предлагаемые технические решения имеют изобретательский уровень, поскольку из опубликованных научных данных и известных технических решений явным образом не следует, что заявленная последовательность операций – выполнение обтекателя антенны из слоистой среды, переключаемой из состояния прозрачности в рабочие промежутки времени в состояние отражения в нерабочие промежутки времени, размещение участков другой слоистой среды случайным образом на рефлекторе антенны, выбор параметров этой слоистой среды из условия сохранения параболического закона изменения фазы коэффициента отражения рефлектора, приводит к обеспечению снижения уровня боковых лепестков антенны в широкой полосе частот, что ведет к дополнительному снижению ЭПР антенны не только в нерабочие промежутки времени, но и в рабочие, при сохранении уровня снижения ЭПР антенны в пределах ее главного лепестка.
Предлагаемое техническое решение промышленно применимо, так как для его реализации могут быть использованы известные диэлектрические материалы, резистивные пленки из графита различной толщины, двумерно-периодические решетки проводящих элементов различной конфигурации, в том числе с включением управляемых элементов в разрывы этих решеток, параметры которых однозначно определяются полученными математическими выражениями, приведенными в формуле изобретения.
Формула изобретения
1. Способ уменьшения ЭПР антенн, основанный на использовании первой управляемой слоистой структуры в виде экрана или обтекателя, установлении экрана или обтекателя перед антенной, переключении первой управляемой слоистой структуры из состояния пропускания в моменты времени излучения и приема импульсов в состояние отражения в моменты времени, не совпадающие с моментами времени излучения и приема импульсов, отличающийся тем, что на рефлекторы антенн конформно с их поверхностью дополнительно случайным образом располагают независимые друг от друга участки второй управляемой слоистой структуры размерами не менее чем 5 ×5 , которые изменяют фазу отраженного сигнала таким образом, что в направлении боковых лепестков отраженные от этих участков сигналы складываются не в фазе, а в пределах главного лепестка сохраняется параболический закон изменения фазы коэффициента отражения рефлектора, – длина волны.
2. Устройство уменьшения ЭПР антенн, выполненное в виде обтекателя или экрана, устанавливаемого перед антенной, причем обтекатель или экран выполнен на основе первой управляемой слоистой структуры, состоящей из прилегающих друг к другу первой металлической квадратной решетки, первого диэлектрического слоя, управляемой двумерно-периодической решетки проводящих полосок или стержней, в разрывы которых включены сегнетокерамические конденсаторы или p-i-n диоды, второго диэлектрического слоя и второй металлической решетки, идентичных соответственно первому диэлектрическому слою и первой решетке, причем одна система параллельных полосок, образующих каждую решетку, изолирована по низкой частоте от другой системы параллельных полосок, перпендикулярной первой, а системы параллельных полосок, образующих решетки, повернуты на 45° относительно полосок управляемой решетки, точки пересечения которых попеременно соединены проводниками, перпендикулярными плоскости слоев, с одной из систем параллельных полосок второй решетки, подключенных поочередно к разным клеммам генератора управляющих сигналов, соединенного с выходом системы автоматического сопровождения по дальности, причем толщины диэлектрических слоев равны половине длины рабочей волны РЛС, а проводимость В решеток, индуктивное сопротивление Х0 полосок и емкостное сопротивление Хш разрывов управляемой решетки определены с помощью соотношений, полученных из условий обеспечения максимального коэффициента отражения в одном из состояний конденсаторов или диодов, определяемых уровнями управляющего напряжения, и минимального затухания сигнала в другом состоянии управляемых элементов, отличающееся тем, что на рефлектор антенны конформно с его поверхностью случайным образом расположены независимые друг от друга участки второй управляемой слоистой структуры размерами не менее чем 5 ×5 , каждые из которых выполнены из последовательно перечисляемых со стороны рефлектора первого диэлектрического слоя толщиной d1 и показателем преломления n1, управляемого слоя в виде резистивной пленки, второго диэлектрического слоя толщиной d2 и показателем преломления n2 и двумерно-периодической решетки проводящих полосок или стержней с реактивной проводимостью Вр, при этом толщина второго диэлектрического слоя и проводимость двумерно-периодической решетки выбраны с помощью выражений:

где M=AD+(2+B)(1-C);









n=1, 2…, N; N – число независимых участков второй управляемой слоистой структуры;
n – заданные фазы коэффициентов отражения n-го участка второй управляемой слоистой структуры;
g0, b0 – действительная и мнимая части проводимости свободного пространства;
gyn, byn – действительная и мнимая части проводимости управляемых слоев в виде резистивных пленок n-го участка второй управляемой слоистой структуры, определяемых толщиной пленки;
параметры d1, n1, n2 выбраны произвольно.
РИСУНКИ
MM4A – Досрочное прекращение действия патента СССР или патента Российской Федерации на изобретение из-за неуплаты в установленный срок пошлины за поддержание патента в силе
Дата прекращения действия патента: 22.03.2007
Извещение опубликовано: 10.11.2008 БИ: 31/2008
|
|