|
|
(21), (22) Заявка: 2005117722/04, 08.06.2005
(24) Дата начала отсчета срока действия патента:
08.06.2005
(46) Опубликовано: 10.01.2007
(56) Список документов, цитированных в отчете о поиске:
RU 2021300 C1, 15.10.1994. RU 99125979 A, 20.10.2001. BY 1704 C1, 30.09.1997. US 5008375 A, 16.04.1991.
Адрес для переписки:
121165, Москва, а/я 15, ООО “ППФ-ЮСТИС”, пат.пов.А.Е.Груниной
|
(72) Автор(ы):
Жирноклеев Игорь Анатольевич (RU), Нефедов Борис Константинович (RU), Горлов Евгений Григорьевич (RU), Короткова Марина Эдуардовна (RU), Антонов Александр Евгеньевич (RU)
(73) Патентообладатель(и):
Жирноклеев Игорь Анатольевич (RU), Короткова Марина Эдуардовна (RU)
|
(54) КОМПОЗИЦИЯ ДЛЯ СОВМЕЩЕННОЙ ДЕТОКСИКАЦИИ, БАКТЕРИЦИДНОЙ ОБРАБОТКИ И ДЕГЕЛЬМИНТИЗАЦИИ ОСАДКОВ ОЧИСТНЫХ СООРУЖЕНИЙ, СПОСОБ ЕЕ ПОЛУЧЕНИЯ И СПОСОБ СОВМЕЩЕННОЙ ДЕТОКСИКАЦИИ, БАКТЕРИЦИДНОЙ ОБРАБОТКИ И ДЕГЕЛЬМИНТИЗАЦИИ ОСАДКОВ ОЧИСТНЫХ СООРУЖЕНИЙ
(57) Реферат:
Изобретение относится к детоксикации, обеззараживанию и дегельминтизации осадков очистных сооружений. Предложена композиция для совмещенной детоксикации, бактерицидной обработки и дегельминтизации осадков очистных сооружений, содержащая гидраты натриевых или калиевых солей смеси аминокислот, полученные путем проведения водно-термической обработки в присутствии щелочи отходов, содержащих животные белки, медные или цинковые комплексы вышеуказанных гидратов натриевых или калиевых солей смеси аминокислот, воду и щелочь при следующем соотношении компонентов, мас.%: гидраты натриевых или калиевых солей смеси аминокислот 10,2-15,3; медные или цинковые комплексы гидратов натриевых или калиевых солей смеси аминокислот 15,5-20,5; щелочь 0,16-0,25; вода – остальное. Предложен способ получения композиции и способ совмещенной детоксикации, бактерицидной обработки и дегельминтизации осадков очистных сооружений. 3 н.п. ф-лы.
Изобретение относится к получению композиции для совмещенной детоксикации, обеззараживания и дегельминтизации осадков сточных вод очистных сооружений и может найти применение в системе жилищно-коммунального хозяйства городов и сельских поселков.
Осадки сточных вод очистных сооружений, даже прошедшие биотермическую и биологическую очистку и складированные на иловых площадках очистных сооружений, представляют собой источник химической и биологической опасности, так как содержат в значительных количествах катионы тяжелых металлов, патогенную микрофлору, яйца гельминтов.
Известна композиция для детоксикации осадков очистных сооружений, содержащая гидраты натриевых или калиевых солей смеси аминокислот, щелочь и воду (Фридман А.Я. и др. Органо-минеральные композиции на основе осадка сточных вод канализационно-очистных сооружений. Некоммерческое партнерство “Химико-технологический научный центр”, М., 2000 г., с.75-87) [1].
Однако эффективность данной известной композиции недостаточно высока.
Известен способ получения реагента для бактерицидной обработки и дегельминтизации осадков очистных сооружений, представляющий собой водный раствор щелочи и медных или цинковых комплексов смеси аминокислот с медными или цинковыми солями неорганических кислот [1].
Однако для получения реагента данным известным способом используют дорогостоящие препараты – индивидуальные аминокислоты, что снижает доступность реагента.
Известен способ детоксикации осадков очистных сооружений путем извлечения тяжелых металлов из осадков катионообменными или комплексообразующими реагентами (Аграноник Р.Я. Проблемы обработки и утилизации осадков сточных вод. Водоснабжение и санитарная техника. 1995. №1. с.2-3) [2].
Однако данным известным способом предусмотрено применение дорогостоящих реагентов для детоксикации, высокая трудоемкость и большие расходы энергии.
Известен способ детоксикации осадков очистных сооружений путем их обработки детоксикантом [1].
В качестве детоксиканта в данном известном способе используют композицию, содержащую гидраты натриевых или калиевых солей смеси аминокислот, щелочь и воду.
Однако эффективность данного известного способа недостаточно высока.
Известен способ обеззараживания и дегельминтизации осадков очистных сооружений термофильным сбраживанием осадка в метантенках или тепловой обработкой при температурах до 100°С (Туровский И.С. Обработка и утилизация осадков городских сточных вод. М.: Стройиздат, 1988. 256 с.) [3].
Однако эффективность данного способа невысока: при больших энергетических затратах не достигается полного уничтожения патогенной микрофлоры и яиц гельминтов.
Известен способ бактерицидной обработки и дегельминтизации осадков очистных сооружений водорастворимыми солями Ag, Cu, Zn, обладающими высокой биоцидной активностью (О.И.Монтвило, В.В.Гутенев. Снижение антропогенного воздействия на окружающую среду в технологиях водоподготовки применением бактериостатиков ионной природы. Научные и технические аспекты охраны окружающей среды. Обзорная информация. Выпуск 5, ВИНИТИ, М., 2003 г., с.85-90) [4].
Недостатком данного известного способа является необходимость использования для обеззараживания значительных количеств реагентов, что экономически неэффективно. Кроме того, их обеззараживающая активность проявляется наиболее эффективно при относительно высоких температурах (30°С и выше).
Известен способ бактерицидной обработки и дегельминтизации осадков очистных сооружений реагентом в виде водного раствора щелочи и медных или цинковых комплексов гидратов смеси аминокислот [1].
Известен способ, обеспечивающий как детоксикацию, так и бактерицидную обработку и дегельминтизацию осадков очистных сооружений путем последовательной обработки осадков очистных сооружений детоксикантом, а затем реагентом в виде водного раствора щелочи и медных или цинковых комплексов гидратов смеси аминокислот [1].
Однако эффективность этого способа не достаточно высока: применение дорогостоящих реагентов и необходимость использования последовательно двух реагентов.
Техническим результатом, достигаемым настоящим изобретением, является повышение эффективности детоксикации, бактерицидной обработки и дегельминтизации осадков очистных сооружений путем использования композиции, совмещающей функции как детоксиканта, так и реагента с биоцидным действием, обеспечивающей совмещенную детоксикацию, бактерицидную обработку и дегельминтизацию осадков очистных сооружений с целью их обеззараживания и обезвреживания и последующей утилизации в виде почвоулучшающей добавки или органо-минерального удобрения.
Указанный технический результат достигается тем, что композиция для совмещенной детоксикации, бактерицидной обработки и дегельминтизации осадков очистных сооружений содержит гидраты натриевых или калиевых солей смеси аминокислот, полученные путем водно-термической обработки в присутствии щелочи отходов, содержащих животные белки, медные или цинковые комплексы вышеуказанных гидратов натриевых или калиевых солей смеси аминокислот, воду и щелочь, при следующем соотношении компонентов, мас.%:
| гидраты натриевых или калиевых солей смеси аминокислот |
10,2-15,3 |
| медные или цинковые комплексы гидратов натриевых или |
|
| калиевых солей смеси аминокислот |
15,5-20,5 |
| щелочь |
0,16-0,25 |
| вода |
остальное |
Достигается указанный технический результат также тем, что способ получения композиции для совмещенной детоксикации, бактерицидной обработки и дегельминтизации осадков очистных сооружений предусматривает проведение водно-термической обработки в присутствии щелочи отходов, содержащих животные белки, причем упомянутые отходы, воду и щелочь смешивают в соотношении 1:(1,8-2,0):(0,38-0,46), приготовленную смесь подвергают упомянутой обработке при температуре 160-180°С в течение 25-30 мин с получением первого продукта в виде водного раствора гидратов натриевых или калиевых солей смеси аминокислот, затем часть полученного продукта подвергают взаимодействию с медными или цинковыми солями неорганических кислот с получением второго продукта в виде водного раствора медных или цинковых комплексов гидратов натриевых или калиевых солей смеси аминокислот, после чего упомянутые первый и второй продукты смешивают в соотношении (0,5-1):1, добавляют водный раствор гидроокиси натрия, в количестве, необходимом для поддержания щелочности композиции в мольном соотношении к бактерицидному реагенту 1:(0,05-0,08) с получением целевого продукта.
Указанный технический результат достигается также тем, что способ совмещенной детоксикации, бактерицидной обработки и дегельминтизации осадков очистных сооружений предусматривает применение реагента в виде композиции по п.1, при этом предварительно определяют содержание ионов каждого из тяжелых металлов в очищаемом осадке, количество реагента определяют, исходя из математического выражения 1

где V – расход 1 М раствора композиции, л/м3;
m – содержание металла, нуждающегося в детоксикации, в осадке в пересчете на абсолютно сухое вещество осадка, г/кг.
Дополнительно оценивают длину иловой площадки, ширину иловой площадки, глубину слоя осадка, плотность влажного осадка, влажность осадка, удельную дозу реагента, равную 10 ммоль/кг сухого вещества осадка, расстояние между точками ввода реагента.
Расход реагента повторно определяют исходя из математического выражения 2

где – расход раствора реагента на одну иловую площадку, л;
l – длина иловой площадки, м;
b – ширина иловой площадки, м;
h – глубина слоя осадка, м;
вл.осадка – плотность влажного осадка, кг/м3;
Wобр.осадка – влажность обрабатываемого осадка, %;
– удельная доза, равная 10 ммоль реагента/кг абсолютно сухого вещества осадка,
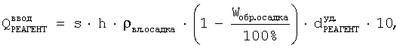
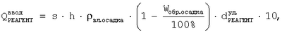
расход реагента на одно место его ввода вычисляют, исходя из математического выражения 3

где – расход ввода реагента на одно место ввода, л;
s – расстояние между точками ввода, м;
h – глубина слоя осадка, м;
вл.осадка – плотность влажного осадка, кг/м3;
Wобр.осадка – влажность обрабатываемого осадка, %;
– удельная доза, равная 10 ммоль реагента/кг абсолютно сухого вещества осадка,
расход реагента на одно место его ввода вычисляют, исходя из математического выражения 3

где – расход ввода реагента на одно место ввода, л;
s – расстояние между точками ввода реагента, м;
h – глубина слоя осадка, м;
вл.осадка – плотность влажного осадка, кг/м3;
Wобр.осадка – влажность обрабатываемого осадка, %;
– удельная доза, равная 10 ммоль реагента/кг абсолютно сухого вещества осадка,
а расходуют реагент в том количестве, которое соответствует большей величине из двух величин, рассчитанных исходя из математических выражений 1 и 2, при этом реагент используют с избытком 20-30% относительно рассчитанного количества, расходуя его на одно место ввода в количестве, рассчитанном исходя из математического выражения 3.
Ниже приведены примеры, иллюстрирующие изобретение.
Пример 1. В реактор емкостью 250 л загружают 108 л воды, порциями по 3 кг добавляют 22,8 кг гидрооксида натрия и затем 60 кг отходов, содержащих животные белки (мездра мокрого и сухого сбора мехового и кожевенного производств, отходы сортировки шкур и некондиционное меховое и кожевенное сырье, отходы волоса вентиляционного и иного вида сбора при первичной обработки шерсти, выделки меха, производства валяных изделий из натурального волоса, отходы пуха и пера птицефабрик, не утилизируемые лоскут и обрезь при изготовлении изделий из шерсти, меха и кожи), трамбуя их в случае необходимости. Соотношение отходы : вода : щелочь равно 1:1,8:0,38. Открывают кран подачи пара, нагревают реакционную массу до начала циркуляции по трубопроводу, подающему пар в расширительную емкость-холодильник, и по трубопроводу, возвращающему конденсат в реактор. Процесс ведут при температуре 160°С. При полной подаче пара выдерживают массу в состоянии циркуляции в течение 15 минут. Перекрывают подачу пара в реактор и выдерживают в течение 15 минут после прекращения циркуляции. Разбалчивают крышку реактора, добавляют воду до общего объема реакционной массы 200 л и перемешивают массу в течение 15 мин. Сливают реакционную массу через фильтр в декантатор. Получают 2 М водный раствор первого продукта со средней молекулярной массой 136 и содержанием свободной щелочи 0,08 моль/л.
Полученный гидролизат загрузили в количестве 40 л в емкость вместимостью 200 л с широким открытым горлом, с нижним спуском с краном, снабженную механической мешалкой. Затем при перемешивании в течение 10-15 мин при температуре 18°С добавили 18 кг хлорида меди и далее при непрерывном перемешивании 4,5 кг гидрооксида натрия (порциями по 300 г) в течение 20-30 мин. Объем реакционной массы доводят водой до 100 л и перемешивают в течение 15 мин. Отбирают пробу и определяют рН 9,3. Получают 100 л второго продукта с содержанием комплексных солей меди 1,0 ммоль/л и гидроксильным коэффициентом 0,9.
В емкости с мешалкой смешивают по 50 л первого и второго компонента (1:1) при температуре 18°С в течение 20 мин и при непрерывном перемешивании и добавляют 0,5 л 42%-ного водного раствора гидрооксида натрия. Получают композицию с содержанием (мас.%) гидратов натриевых солей смеси аминокислот 15,3, медных комплексов гидратов натриевых солей смеси аминокислот 15,5 и гидрооксида натрия 0,16.
Пример 2. В реактор емкостью 250 л загружают 120 л воды, порциями по 2 кг добавляют 27,6 кг гидрооксида натрия и затем 60 кг отходов, содержащих животные белки (мездра кожевенного производства, некондиционное меховое и кожевенное сырье), трамбуя их в случае необходимости. Соотношение сырье : вода : щелочь равно 1:2,0:0,46. Открывают кран подачи пара, нагревают реакционную массу до начала циркуляции по трубопроводу, подающему пар в расширительную емкость-холодильник, и по трубопроводу, возвращающему конденсат в реактор. Процесс ведут при температуре 180°С. При полной подаче пара выдерживают массу в состоянии циркуляции в течение 15 минут. Перекрывают подачу пара в реактор и выдерживают в течение 10 минут после прекращения циркуляции. Разбалчивают крышку реактора, добавляют воду до общего объема реакционной массы 200 л и перемешивают массу в течение 15 мин. Сливают реакционную массу через фильтр в декантатор. Получают 2 М водный раствор первого продукта со средней молекулярной массой 136 и содержанием свободной щелочи 0,075 моль/л.
Полученный гидролизат загрузили в количестве 40 л в емкость вместимостью 200 л с широким открытым горлом, с нижним спуском с краном, снабженную механической мешалкой. Затем при перемешивании в течение 10-15 мин при температуре 18°С добавили 18 кг хлорида цинка и далее при непрерывном перемешивании 4,5 кг гидрооксида натрия (порциями по 300 г) в течение 20-30 мин. Объем реакционной массы доводят водой до 100 л и перемешивают в течение 15 мин. Отбирают пробу и определяют рН 9,3. Получают 100 л второго продукта с содержанием комплексных солей цинка 1,0 ммоль/л и гидроксильным коэффициентом 0,9.
В емкость с мешалкой загружают 25 л первого и 50 л второго продукта (0,5:1) при температуре 18°С в течение 20 мин и при непрерывном перемешивании и добавляют 0,65 л 42%-ного водного раствора гидрооксида калия. Получают композицию с содержанием (мас.%) гидратов натриевых солей смеси аминокислот 10,2, цинковых комплексов гидратов натриевых солей смеси аминокислот 20,5 и гидрооксида калия 0,25.
Пример 3. В реактор емкостью 250 л загружают 124 л воды, порциями по 2 кг добавляют 24,8 кг гидрооксида калия и затем 62 кг отходов, содержащих животные белки (волосяные очесы суконно-валяльного производства), трамбуя их в случае необходимости. Открывают кран подачи пара, нагревают реакционную массу до начала циркуляции по трубопроводу, подающему пар в расширительную емкость-холодильник, и по трубопроводу, возвращающему конденсат в реактор. Процесс ведут при температуре 180°С. Соотношение отходы : вода : щелочь равно 1:2,0:0,40. При полной подаче пара выдерживают массу в состоянии циркуляции в течение 15 минут. Перекрывают подачу пара в реактор и выдерживают в течение 10 минут после прекращения циркуляции. Разбалчивают крышку реактора, добавляют 85 л воды (до общего объема реакционной массы 200 л) и перемешивают массу в течение 15 мин. Сливают реакционную массу через фильтр в декантатор. Получают 2 М водный раствор первого продукта со средней молекулярной массой 129 и содержанием свободной щелочи 0,05 моль/л.
Полученный первый продукт загрузили в количестве 50 л в емкость вместимостью по 200 л с широким открытым горлом, с нижним спуском с краном, снабженную механической мешалкой. Далее при перемешивании в течение 15 мин добавили 18,0 кг нитрата меди и 6 кг гидрооксида калия (порциями по 300 г) в течение 45 мин. Объем реакционной массы доводят водой до 100 л и перемешивают в течение 15 мин. Отбирают пробу и определяют рН 10,5. Получают 100 л второго продукта с содержанием комплексных солей меди 1,0 ммоль/л и гидроксильным коэффициентом 0,95.
В емкость с мешалкой загружают 42 л первого и 60 л второго продукта (0,7:1) при температуре 18°С в течение 20 мин и при непрерывном перемешивании и добавляют 0,6 л 42%-ного водного раствора гидрооксида калия. Получают композицию с содержанием (мас.%) гидратов калиевых солей смеси аминокислот 12,8, цинковых комплексов гидратов калиевых солей смеси аминокислот 18,2 и гидрооксида калия 0,18.
Пример 4. Осадок, размещенный на иловой карте с влажностью 61% в количестве 100 т (выделенная часть иловой карты), обработали орошением композицией по примеру 1. Согласно данным химического анализа осадок содержал (мг/кг сухого вещества): Cu 785, Zn 1430, Ni 270, Cr 533, Pb 128, Cd 92, Co 15. Общая микробная обсемененность 107-109. Яйца гельминтов жизнеспособные, 50 шт./кг.
Орошение поверхности осадка проводили с помощью распределяющего устройства, перемещаемого по границам иловой площадки. Распределяющее устройство представляет собой трубопровод с форсунками, устанавливаемый над поверхностью осадка; длина трубопровода равна ширине площадки.
Обработку осадка очистных сооружений проводили после выполнения следующих измерений: l=10 м, b=10 м, h=1 м, вл.осадка=1,2 кг/м3, W=61%, .
Необходимое количество композиции согласно математическому выражению 1 составило 636 л 1 М раствора. Необходимое количество реагента согласно математическому выражению 2 составило 100 л 1 М раствора. На обработку израсходовано 826 л (1,3-кратный избыток) 1 М раствора композиции в течение 18 час. Обработанную часть иловой карты выдержали в течении 20 суток, периодически измеряя рН. На 15 сутки величина рН достигла значения 7,6 и далее не снижалась. По данным бактериологического и паразитологического анализа и биотестирования (согласно Приказу МПР РФ от 15 июня 2001 г. №511) полученная органо-минеральная композиция нетоксична для живых организмов, не содержит патогенной микрофлоры и жизнеспособных яиц гельминтов и является веществом 4 класса опасности. В соответствии с ГОСТ Р 17.4.3.07-2001 она может применяться для восстановления продуктивности нарушенных земель с целью лесохозяйственного и рекреационного направления их рекультивации, а также в качестве сырья подготовки органических удобрений компостированием и вермикомпостированием.
Аналогичные результаты получены при использовании композиции по примерам 2-3.
Таким образом, композиция согласно изобретению, получаемая способом согласно изобретению, обеспечивает эффективную совмещенную детоксикацию, бактерицидную обработку и дегельминтизацию осадков очистных сооружений.
Формула изобретения
1. Композиция для совмещенной детоксикации, бактерицидной обработки и дегельминтизации осадков очистных сооружений, содержащая гидраты натриевых или калиевых солей смеси аминокислот, полученные путем проведения водно-термической обработки в присутствии щелочи отходов, содержащих животные белки, медные или цинковые комплексы вышеуказанных гидратов натриевых или калиевых солей смеси аминокислот, воду и щелочь при следующем соотношении компонентов, мас.%:
| Гидраты натриевых или калиевых солей смеси аминокислот |
10,2-15,3 |
| Медные или цинковые комплексы гидратов натриевых или |
|
| калиевых солей смеси аминокислот |
15,5-20,5 |
| Щелочь |
0,16-0,25 |
| Вода |
Остальное |
2. Способ получения композиции для одновременной детоксикации, бактерицидной обработки и дегельминтизации осадков очистных сооружений, предусматривающий проведение водно-термической обработки в присутствии щелочи отходов, содержащих животные белки, причем упомянутые отходы, воду и щелочь смешивают в соотношении 1:(1,8-2,0):(0,38-0,46), приготовленную смесь подвергают упомянутой обработке при температуре 160-180°С в течение 25-30 мин с получением первого продукта в виде водного раствора гидратов натриевых или калиевых солей смеси аминокислот, затем часть полученного продукта подвергают взаимодействию с медными или цинковыми солями неорганических кислот с получением второго продукта в виде водного раствора медных или цинковых комплексов гидратов натриевых или калиевых солей смеси аминокислот, после чего упомянутые первый и второй продукты смешивают в соотношении (0,5-1):1, добавляют водный раствор гидроокиси натрия в количестве, необходимом для поддержания щелочности композиции в мольном соотношении к бактерицидному реагенту 1:(0,05-0,08) с получением целевого продукта.
3. Способ совмещенной детоксикации, бактерицидной обработки и дегельминтизации осадков очистных сооружений, предусматривающий применение реагента, отличающийся тем, что в качестве реагента применяют композицию по п.1, предварительно определяют содержание ионов каждого из тяжелых металлов в очищаемом осадке, количество реагента определяют, исходя из математического выражения 1

где V – расход 1 М раствора композиции, л/м3;
m – содержание металла, нуждающегося в детоксикации, в осадке в пересчете на абсолютно сухое вещество осадка, г/кг,
дополнительно определяют длину иловой площадки, ширину иловой площадки, глубину слоя осадка, плотность влажного осадка, влажность осадка, удельную дозу реагента, равную 10 ммоль/кг абсолютно сухого вещества осадка, расстояние между точками ввода реагента;
расход реагента повторно определяют исходя из математического выражения 2

где – расход раствора реагента на одну иловую площадку, л;
l – длина иловой площадки, м;
b – ширина иловой площадки, м;
h – глубина слоя осадка, м;
вл.осадка – плотность влажного осадка, кг/м3;
Wобр.осадка – влажность обрабатываемого осадка, %;
– удельная доза, равная 10 ммоль реагента/кг абсолютно сухого вещества осадка, расход реагента на одно место его ввода вычисляют, исходя из математического выражения 3:

где – расход ввода реагента на одно место ввода, л;
s – расстояние между точками ввода реагента, м;
h – глубина слоя осадка, м;
вл.осадка – плотность влажного осадка, кг/м3;
Wобр.осадка – влажность обрабатываемого осадка, %;
– удельная доза, равная 10 ммоль реагента/кг абсолютно сухого вещества осадка,
а расходуют реагент в том количестве, которое соответствует большей величине из двух величин, рассчитанных исходя из математических выражений 1 и 2, при этом реагент используют с избытком 20-30% относительно рассчитанного количества, расходуя его на одно место ввода в количестве, рассчитанном исходя из математического выражения 3
MM4A – Досрочное прекращение действия патента СССР или патента Российской Федерации на изобретение из-за неуплаты в установленный срок пошлины за поддержание патента в силе
Дата прекращения действия патента: 09.06.2007
Извещение опубликовано: 27.01.2009 БИ: 03/2009
|
|