Патент на изобретение №2291150
|
||||||||||||||||||||||||||
(54) СПОСОБ ПОЛУЧЕНИЯ 5-АЦИЛ-ПЕРГИДРО-1,3,5-ДИТИАЗИНОВ
(57) Реферат:
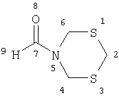
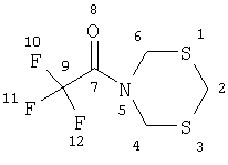
Изобретение относится к области органического синтеза. Описывается способ получения 5-ацил-пергидро-1,3,5-дитиазинов общей формулы: отличающийся тем, что насыщенный сероводородом водный раствор формальдегида взаимодействует с водными растворами амидов общей формулы в присутствии буферного раствора бутанол – бутилат натрия в мольном соотношении амид:формальдегид, равном 1:3, при температуре 40°С и постоянном перемешивании в течение 6 часов. Полученные предлагаемым способом вещества могут находить применение как в качестве радиопротекторных, противоопухолевых, диуретических средств, так и в качестве селективных сорбентов и экстрагентов благородных и драгоценных металлов. Выход целевых продуктов составляет 40-95%.
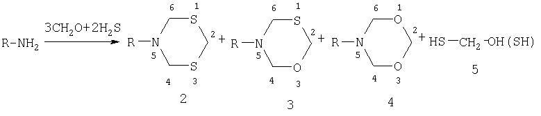
Предлагаемое изобретение относится к области органической химии, а именно к способу синтеза 5-ацил-пергидро-1,3,5-дитиазинов общей формулы: Представленные соединения могут найти применение в качестве селективных сорбентов и экстрагентов благородных и драгоценных металлов. Синтезы 1,3,5-дитиазинов на основе амидов карбоновых кислот в литературе не описаны. Известны синтезы функционально замещенных 1,3,5-дитиазинов (1) тиометилированием аминокислот (Р.В.Кунакова, С.Р.Хафизова, Ю.С.Дальнова, Р.В.Алеев, Л.М.Халилов, У.М.Джемилев. Нефтехимия, 2002, №5, с.382-385) или реакцией взаимодействия аминокислот с гидросульфидом натрия и формальдегидом (A.N.Kurchan, A.G.Kutateladze. Org.Lett., 2002, 4(23), 4129-4131), обладающие высокими комплексообразующими свойствами по отношению к благородным металлам (в частности, емкость 2-[1,3,5-дитиазин-5ил]уксусной кислоты по Ag равна 0.9 г/г). В литературе описан также метод синтеза замещенных пергидродитиазинов (2), оксатиазинов (3) и диоксазинов (4) тиометилированием алифатических моно- и диаминов с помощью формальдегида и сероводорода (Р.В.Алеев, Ю.С.Дальнова, Ю.И.Попов, P.M.Масагутов, С.Р.Рафиков, Докл. АН СССР, 1988. 303, 873-875; С.Р.Хафизова, Т.В.Тюмкина, В.Р.Ахметова, Г.Р.Надыргулова, Р.В.Кунакова, У.М.Джемелев. Известия АН, сер. хим., 2004, №9, (рег. №7118))) или реакцией взаимодействия аминов с гидросульфидом натрия и формальдегидом (F.P.1, 341, 792/1963. Chem. Abst., 1964, 60, 552d) при варьировании температуры и концентрации исходных реагентов. R=н-С4Н9, (а); н-С6Н13 (b); С6Н11 (с); н-С9Н19 (d); HO(CH2)2 (е) Тиометилирование этилендиамина по способу смешивания диамина с формальдегидом и последующим барботированием реакционной смеси сероводородом (С.Р.Хафизова, Т.В.Тюмкина, В.Р.Ахметова, Г.Р.Надыргулова, Р.В.Кунакова, У.М.Джемелев. Известия АН, сер. хим., 2004, №9, (рег. №7118)) проходит достаточно селективно с образованием преимущественно 5-(1,3,5-дитиазин-5-ил)этил-1,3,5-дитиазина (7) содержание которого в реакционной смеси при 80°С составляет 90%, наряду с (7) наблюдается образование тиазетидина (8). Перечисленными выше способами не могут быть получены 5-ацил-пергидро-1,3,5-дитиазины из амидов карбоновых кислот алифатического ряда (форм-, ацетамид). Предлагаемый нами способ синтеза 5-ацил-пергидро-1,3,5-днтиазинов заключается во взаимодействии насыщенного сероводородом водного раствора формальдегида (37%) с водными растворами амидов в присутствии буферного раствора бутанол-бутилат натрия. Реакция осуществляется при соотношении амид:формальдегид, равном 1:3, при температуре 40°C и постоянном перемешивании в течение 6 часов. Образуются кристаллические 5-ацил-пергидро-1,3,5-дитиазины (9). Реакция протекает по схеме: При проведении реакции при более высокой температуре наблюдается осмоление целевого продукта реакции, а при более низкой температуре реакция протекает с низкой конверсией. В присутствии других каталитических систем: Et3N, EtONa/EtOH, К2СО3, NaOH, HCl образование 5-ацил-пергидро-1,3,5-дитиазина не наблюдалось. Отличия предлагаемого способа Таким образом, в литературе описаны способы получения замещенных пергидро-дитиазинов, оксатиазинов, диоксазинов и тиазетидина тиометилированием алифатических моно-, диаминов и аминокислот, а в предлагаемом нами способе синтеза получаются 5-ацил-пергидро-1,3,5-дитиазины из форм-, трифторацетамидамов карбоновых кислот алифатического ряда. Преимущества предлагаемого способа На основании предложенного способа можно селективно получать 5-ацил-пергидро-1,3,5-дитиазины, синтез которых в литературе не описан. Способ поясняется примерами: ПРИМЕР 1. В стеклянный реактор, снабженный магнитной мешалкой, обратным холодильником, газопроводящей трубкой и капельной воронкой, при температуре 40°С помещают 3 моля формальдегида (37% водный раствор), барботированием насыщают раствор формальдегида сероводородом в течение 2 часов. Параллельно в стеклянном стакане формамид при постоянном перемешивании смешивают со свежеприготовленным раствором бутилата натрия в бутаноле в мольном соотношении компонентов 1:2. Приготовленный раствор прикапывают в реактор с насыщенным сероводородом формалин и перемешивают 4 часа, поддерживая необходимую температуру (40°С). После фильтрования выделяют кристаллический 5-ацил-пергидро-1,3,5-дитиазин с выходом 40%. Спектральные характеристики 5-формил-пергидро-1,3,5-дитиазина: Выход 40%, т.пл. 84-86°С Спектр ЯМР 1Н ( ПРИМЕР 2. Аналогичным способом из амида трифторуксусной кислоты получают 5-ацил-пергидро-1,3,5-дитиазин с выходом 95%. Спектральные характеристики 5-трифторацил-пергидро-1,3,5-дитиазина: Выход 95%, т.пл. 123-124°С Спектр ЯМР 1Н ( * – Спектры ЯМР 1Н зарегистрированы на спектрометре “Bruker AM-300” (300 МГц) и “Tesla BS-487” (100 МГц), ЯМР 13С на спектрометре “Jeol FX 90Q” (89.55 и 22.50 МГц), внутренний стандарт ТМС, растворитель CDCl3 и d-ДМСО.
Формула изобретения
Способ получения 5-ацил-пергидро-1,3,5-дитиазинов общей формулы отличающийся тем, что насыщенный сероводородом водный раствор формальдегида взаимодействует с водными растворами амидов общей формулы в присутствии буферного раствора бутанол – бутилат натрия в мольном соотношении амид:формальдегид, равном 1:3, при температуре 40°С и постоянном перемешивании в течение 6 ч.
MM4A – Досрочное прекращение действия патента СССР или патента Российской Федерации на изобретение из-за неуплаты в установленный срок пошлины за поддержание патента в силе
Дата прекращения действия патента: 15.07.2007
Извещение опубликовано: 10.03.2009 БИ: 07/2009
|
||||||||||||||||||||||||||









, м.д., C6D6, ТФУК): 2.97 (с, 2Н, Н2С(2)); 3.62 (с, 4Н, Н2С(4,6)); 10.50 (с, налож. сигнал растворителя, Н2С(9)); Спектр ЯМР 13С (

