Патент на изобретение №2291149
|
||||||||||||||||||||||||||
(54) СПОСОБ СОВМЕСТНОГО ПОЛУЧЕНИЯ 3,4-ДИФЕНИЛ-1,3,4-ТИАДИАЗОЛИДИНА И 5,6- ДИФЕНИЛТЕТРАГИДРО-1,3,5,6- ДИТИАДИАЗЕПИНА
(57) Реферат:
Изобретение относится к способу совместного получения 3,4-дифенил-1,3,4-тиадиазолидина формулы (1а) и 5,6-дифенилтетрагидро-1,3,5,6-дитиадиазепина формулы (1b): области органического синтеза. Полученные вещества могут найти применение в качестве селективных сорбентов и экстрагентов драгметаллов, специальных реагентов для подавления жизнедеятельности бактерий в различных средах, биологически активных веществ для синтеза различных лекарственных препаратов, таких как антибактериальные, антигрибковые и антивирусные агенты. Способ заключается в том, что насыщенный сероводородом водный раствор формальдегида взаимодействует с 1,2-дифенилгидразином в буферном растворе бутанол-бутилата натрия н-BuONa/н-ВиОН в мольном соотношении 1,2-дифенилгидразин: формальдегид: сероводород: бутилат натрия, равном 1:2:1:2, при температуре 20-40°С и перемешивании в течение 3 часов. Выход целевого продукта (1а) составляет 39%, продукта (1b) составляет 22%.
(56) (продолжение): CLASS=”b560m”гетероциклизация гидразина, сероводорода и формальдегида. Изв. РАН. Сер. “Химия”. 2004, №8, с.1652-1656. Р.Г.Костяновский и др. «Асимметричный азот. Сообщение 78. Пространственно-затрудненная инверсия атомов азота в циклических гидразинах: N,N’-диалкил-1,3,4-оксадиазолидины; 1,3,4-тиадиазолидин; 4,5-бензо-1,2,3,6-тетрагидропиридазин», Известия академии наук, Серия Хим., 1997, №7, стр.1346-1354.
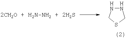
Предлагаемое изобретение относится к способам получения новых органических соединений, в частности к способу получения 3,4-дифенил-1,3,4-тиадиазолидина и 5,6-дифенилтетрагидро-1,3,5,6-дитиадиазепина общей формулы соответственно (1а) и (1b): Соединения тиадиазолидинового ряда могут найти применение в качестве комплексообразователей, селективных сорбентов и экстрагентов драгоценных металлов, специальных реагентов для подавления жизнедеятельности бактерий в различных средах (от легкой промышленности до нефти), биологически активных веществ для синтеза различных лекарственных препаратов, таких как антибактериальные, антигрибковые и антивирусные агенты. Известен способ (N.P.Neureiter. Monomeric formaldazine – sinthesis of 1,3,4-thiadiazolidine – a new heterocycle. J. Am. Chem. Soc., 1959, 81, p.2910) получения производных 1,3,4-тиадиазолидина (2) взаимодействием соответственно гидразина, водного формальдегида и сероводорода по схеме: Известный способ не позволяет получать 3,4-дифенил-1,3,4-тиадиазолидин (1а) и 5,6-дифенилтетрагидро-1,3,5,6-дитиадиазепин (1b). Известен способ (Р.Г.Костяновский, П.Радемахер, Ю.И.Эльнатанов, Г.К.Кадоркина, Г.А.Никифоров, И.И.Червин, С.В.Усачев, В.Р.Костяновский. Асимметрический азот. Сообщение 78. Пространственно-затрудненная инверсия атомов в циклических гидразинах: N,N’диалкил-1,3,4-оксадиазолидины; 1,3,4-тиадиазолидин; 4,5-бензо-1,2,3,6-тетрагидропиридазин. Изв. АН., 1997, №7. 1346-1354) получения производных 1,3,4-тиадиазолидина (3) взаимодействием соответственно 1,2-диизопропилгидразина в МеОН, параформа и сероводорода по схеме: Известный способ не позволяет получать 3,4-дифенил-1,3,4-тиадиазолидин (1а) и 5,6-дифенилтетрагидро-1,3,5,6-дитиадиазепин (1b). Таким образом, в литературе отсутствуют сведения по совместному получению 3,4-дифенил-1,3,4-тиадиазолидина (1а) и 5,6-дифенилтетрагидро-1,3,5,6-дитиадиазепина (1b). Предлагается новый способ совместного получения 3,4-дифенил-1,3,4-тиадиазолидина (1а) и 5,6-дифенилтетрагидро-1,3,5,6-дитиадиазепина (1b). Сущность метода заключается во взаимодействии насыщенного сероводородом водного раствора формальдегида (37%) с 1,2-дифенилгидразином в буферной среде н-BuONa/н-BuOH, взятыми в мольном соотношении гидразин: формальдегид: сероводород: н-BuOHa=1:2:1:2, при температуре 20-40°С и перемешивании в течении 3 часов. Образуется 3,4-дифенил-1,3,4-тиадиазолидин (1а) и 5,6-дифенилтетрагидро-1,3,5,6-дитиадиазепин (1b). Реакция протекает по схеме: Целевые продукты 3,4-дифенил-1,3,4-тиадиазолидин (1а) и 5,6-дифенилтетрагидро-1,3,5,6-дитиадиазепин (1b) образуются только с участием 1,2-дифенилгидразина в присутствии буферного раствора бутанол-бутилата натрия, формалина и сероводорода. В присутствии других производных гидразина (например, аммиака, триазана, тетразана), других альдегидов (например, уксусного, пропионового), других меркаптанов (например, этил- или амилмеркаптаны) целевые продукты (1а) и (1b) не образуются. Реакции проводили при температуре 20-40°С. При более низкой температуре (например, 0°С) выход целевых продуктов снижается, а при высокой температуре (например, 80°С) реакции продукты (1а) и (1b) не образуются. Реакцию проводили с использованием бутилового спирта в качестве растворителя. В других растворителях (например, метиловом или изопропиловом спирте) снижается селективность реакции. Отличия предлагаемого способа: В предлагаемом способе для получения 3,4-дифенил-1,3,4-тиадиазолидина (1а) и 5,6-дифенилтетрагидро-1,3,5,6-дитиадиазепин (1b) используется буферный раствор бутанол-бутилата натрия (н-BuONa/н-BuOH), в известном способе (н-BuONa/н-BuOH) не используется. Предлагаемый способ в отличие от известных позволяет получать с высокой региоселективностью 3,4-дифенил-1,3,4-тиадиазолидин (1а) и 5,6-дифенилтетрагидро-1,3,5,6-дитиадиазепин (1b), синтез которых в литературе не описан. Способ поясняется примером: В стеклянный реактор, снабженный механической мешалкой, обратным холодильником, газоподводящей трубкой и капельной воронкой, при комнатной (20-21°С) температуре помещают 2 моля формальдегида (37% водный раствор), барботированием насыщают раствор формалина сероводородом в течение 1 ч, прикапывают 1 моль 1,2-дифенилгидразина в среде буферного раствора бутанол-бутилат натрия (2 моля BuONa), перемешивают 3 ч. При 20-40°С выделяют 3,4-дифенил-1,3,4-тиадиазолидин (1а) с выходом до 39% и 5,6-дифенилтетрагидро-1,3,5,6-дитиадиазепин (1b) с выходом до 22%. Спектральные характеристики *3,4-дифенил-1,3,4-тиадиазолидина (1а) Спектр ЯМР 1Н ( Спектр ЯМР 13С (5, м.д, CDCl3): 53.0 (т, С(2, 5)); 115.1 (д, С(7, 11,7′, 11′)); 122.0 (д, С(9, 9′)); 129.5 (д. С(8, 10, 8′, 10′)); 148.2 (т. С(6, 6′)). Масс-спектр, m/z (Iотн (%)):242 [M]+ (62); 195 [М-CH2S]+ (100); 136 [C6H5NCH2SH]+ (12); 104 [C6H5NHN]+ (38); 91 [С6Н5N]+ (16); 77 [С6Н5]+ (77); 51 [CN-NC]+ (53), 46 [CH2S]+ (13). Спектральные характеристики 5,6-дифенилтетрагидро-1,3,5,6-дитиадиазепина (1b): Спектр ЯМР 1Н (5, м.д., CDCl3, J/Гц): 4.00 (с, 2Н, Н2С(2)); 4.91 (д, 2Н, На(С(4, 7), 2J=14.88)); 5.03 (д, 2Н, Hb(С(4, 7), 2J=14.88)); 6.93-7.00 (м, 6Н, НС(9, 9′, 11, 11′, 13, 13′)); 7.30-7.40 (м, 4Н, HC(10, 10′, 12, 12′)). Спектр ЯМР 13С ( *Спектры ЯМР 1Н зарегистрированы на спектрометре “Tesla BS-487” (80 МГц), ЯМР 13С на спектрометре “Jeol FX 90Q” (89.55 и 22.50 МГц). Хромато-масс-спектральный анализ проводили на приборе “Finigan”, модель 4021 (стеклянная капиллярная колонка 50000·0.25 мм неподвижная фаза НР-5, газ-носитель-гелий, программирование температуры от 50 до 300°С со скоростью 5 град/мин, температура испарителя 250°С, температура источников ионов 250°С, 70 эВ).
Формула изобретения
Способ совместного получения 3,4-дифенил-1,3,4-тиадиазолидина формулы (1а) и 5,6-дифенилтетрагидро-1,3,5,6-дитиадиазепина формулы (1b): отличающийся тем, что насыщенный сероводородом водный раствор формальдегида взаимодействует с 1,2-дифенилгидразином в буферном растворе бутанол-бутилата натрия н-BuONa/н-BuOH в мольном соотношении 1,2-дифенилгидразин : формальдегид : сероводород : бутилат натрия, равном 1 : 2 : 1 : 2, при температуре 20-40°С и перемешивании в течение 3 ч.
MM4A – Досрочное прекращение действия патента СССР или патента Российской Федерации на изобретение из-за неуплаты в установленный срок пошлины за поддержание патента в силе
Дата прекращения действия патента: 16.07.2007
Извещение опубликовано: 10.03.2009 БИ: 07/2009
|
||||||||||||||||||||||||||









, м.д., CDCl3,. J/Гц): 4.65 (уш. с, 4Н, Н2С (2,5), W1/2=24 Гц); 6.88-8.10 (м, 10Н, НС (6-11,6′-11′)).

