|
(21), (22) Заявка: 2005116380/11, 30.05.2005
(24) Дата начала отсчета срока действия патента:
30.05.2005
(46) Опубликовано: 10.01.2007
(56) Список документов, цитированных в отчете о поиске:
SU 1025555 A1, 30.06.1983. US 5613444 A1, 25.05.1997. ЕР 1323610 A1, 02.07.2003. US 4793577 A1, 27.12.1988.
Адрес для переписки:
680021, г.Хабаровск, ул. Серышева, 47, ДВГУПС, зав. ОПС Н.Ф. Щербаковой
|
(72) Автор(ы):
Доронин Владимир Иванович (RU), Доронин Сергей Владимирович (RU), Григоренко Виктор Григорьевич (RU), Трофимович Виталий Владимирович (RU)
(73) Патентообладатель(и):
ГОУ ВПО Дальневосточный государственный университет путей сообщения (ДВГУПС) (RU)
|
(54) ДВУХОСНАЯ ЛОКОМОТИВНАЯ ТЕЛЕЖКА С РАДИАЛЬНОЙ УСТАНОВКОЙ КОЛЕСНЫХ ПАР
(57) Реферат:
Изобретение относится к рельсовым транспортным средствам и касается установки колесных пар локомотивной тележки в кривой. Тележка содержит раму 1 с двумя колесными парами 2, две буксы 3 на каждой колесной паре, внешний 4 и внутренний 5 буксовые поводки на каждой буксе. Устройство 6 для радиальной установки колесных пар расположено на раме тележки между колесными парами и включает соединенные синхронизирующим звеном 13 два распорных механизма 11 и 12, установленных вдоль боковых сторон рамы тележки. Каждый из механизмов имеет кривошип 14 и 15, два идентичных продольных стержня 16 и 17, привод 7, датчик перемещения локомотива и систему 8 управления с планом эксплуатируемого участка пути, включающую блок 9 управления, электрически связанный с датчиком перемещения 10 локомотива и приводом. Каждая букса с рамой тележки соединена внешним упругим буксовым поводком, а кривошип каждого распорного механизма связан с продольными стержнями одноподвижными кинематическими парами. Каждый распорный механизм выполнен оппозитным и дополнительно снабжен двумя идентичными ползунами 18. Каждый ползун шарнирно соединен с соответствующим продольным стержнем и внутренним буксовым поводком, привод связан с кривошипом одного из распорных механизмов и ползуны каждого распорного механизма установлены в продольной направляющей рамы тележки. Привод выполнен с возможностью обеспечения на каждом ползуне продольной силы определяемой математической формулой. Технический результат – снижение сопротивления движению и бокового износа гребней колес при прохождении кривых. 2 з.п. ф-лы, 2 ил., 1 табл.
Изобретение относится к железнодорожному транспорту, а именно к конструкции преимущественно двухосных локомотивных тележек с регулируемым расположением колесных пар при движении в различных криволинейных участках рельсовой колеи.
Проблемой для известных локомотивных тележек с радиальной установкой колесных пар является повышенное сопротивление движению локомотива и интенсивный боковой износ гребней колес и головок рельсов в кривых, которые обусловлены сохранением значительных углов набегания колес на наружную рельсовую нить .
Известно, что сопротивление движению локомотива и боковой износ гребней колес и головок рельсов пропорциональны квадрату углов набегания на рельс локомотивных колес [1, С.158-160]. Величина угла набегания колеса на рельс в кривых определяется соотношением , где – угол перекоса тележки, характеризующий отклонение продольной оси тележки от направления касательной к осевой линии рельсовой колеи; – угол разворота колесной пары, характеризующий отклонение оси колесной пары от положения, перпендикулярного продольной оси тележки; L – половина базы тележки; – радиус кривизны осевой линии рельсовой колеи; в действиях (±) верхний знак соответствует передней колесной паре тележки, нижний знак – задней колесной паре; углы и – положительные, если перекашивание тележки и разворот осей колесных пар происходит в направлении, противоположном вращению центра масс тележки вокруг центра кривизны осевой линии колеи.
При движении локомотива в круговой кривой с постоянной скоростью изменение угла перекоса тележки и углов разворота колесных пар происходит только в самом начале вписывания в кривую, а дальнейшее установившееся движение происходит с фиксированными значениями этих углов у всех тележек локомотива.
Для уменьшения сопротивления движению локомотива и снижения бокового износа гребней колес и рельсов при установившемся движении в кривых участках пути создаются условия, при которых угол набегания колес на рельс для каждой колесной пары имеет минимальное значение за счет изменения любой из трех величин, входящих в алгебраическую сумму.
Известна двухосная локомотивная тележка, в которой уменьшение алгебраической суммы у каждой колесной пары достигается за счет изменения угла благодаря установке оси каждой колесной пары в положение, близкое к радиальному [1, с.168].
Тележка содержит раму, две колесные пары с буксами, по крайней мере, один упругий буксовый поводок на каждой буксе и устройство для радиальной установки колесных пар.
Каждая колесная пара связана с рамой тележки посредством буксовых поводков, каждый из которых одним шарниром присоединен к буксе, а другим – к раме тележки.
Устройство для радиальной установки колесных пар расположено между колесными парами и осуществляет диагональную связь между ними. Оно представляет собой двухшарнирный стержень, который расположен вдоль поперечной оси тележки. Один конец двухшарнирного стержня соединен посредством первого плеча с осью передней колесной пары. Другой конец двухшарнирного стержня соединен посредством второго плеча с осью задней колесной пары. Основания первого и второго плеч на осях колесных пар разнесены относительно друг друга с образованием антипараллелограмма.
Локомотивная тележка при движении в кривых работает следующим образом.
При входе локомотива в криволинейный участок пути ось задней колесной пары тележки разворачивается относительно рамы тележки на малый угол 2 в направлении, противоположном вращению ее центра масс вокруг центра кривизны кривой ( 2>0). Это движение передается на двухшарнирный стержень, вызывая смещение его вдоль поперечной оси тележки. Смещение стержня приводит по свойству антипараллелограмма к развороту первого плеча и оси передней колесной пары на малый угол 1 в направлении, совпадающем с вращением центра масс тележки вокруг центра кривизны колеи ( 1<0).
Одновременно с разворачиванием задней колесной пары на угол 2 происходит ее поступательное смещение относительно передней колесной пары, что нарушает равенство модулей углов 1 и 2. В результате оси колесных пар тележки устанавливаются в положения, близкие к радиальным.
В связи с тем, что углы разворота колесных пар 1<0 и 2>0, происходит уменьшение угла набегания колес на рельс как у передней, так и у задней колесных пар тележки. Это приводит к некоторому снижению сопротивления движению локомотива в кривой и бокового износа гребней колес и рельсов, что является достоинством известной двухосной локомотивной тележки.
Однако в известной локомотивной тележке не всегда обеспечивается снижение сопротивления движению локомотива в кривой и бокового износа гребней колес и рельсов, что является ее недостатком.
Это обусловлено тем, что
во-первых, нарушение равенства модулей углов разворота 1 и 2 колесных пар из-за возможного поступательного поперечного смещения одной колесной пары относительно другой либо незначительно уменьшает угол набегания одного из колес на рельс , либо этот угол остается неизменным;
во-вторых, малое значение угла разворота 2 приводит к увеличению угла перекоса тележки в соответствии с закономерностями вписывания локомотива в кривые, что увеличивает углы набегания колес на рельс у обеих колесных пар тележки.
Наиболее близким к заявленному решению по максимальному количеству сходных признаков и достигаемому результату является двухосная локомотивная тележка, в которой уменьшение алгебраической суммы у каждой колесной пары достигается за счет изменения угла благодаря радиальной установке колесных пар в кривых [2].
Тележка содержит раму, две колесные пары с буксами, два идентичных упругих буксовых поводка на каждой буксе и устройство для радиальной установки осей колесных пар.
Каждая колесная пара связана с рамой тележки посредством буксовых поводков, каждый из которых одним шарниром присоединен к буксе, а другим – к раме тележки.
Устройство для радиальной установки колесных пар расположено на раме тележки между колесными парами и состоит из двух одинаковых распорных механизмов и соединяющей их поперечной тяги (синхронизирующего звена).
Каждый распорный механизм представляет собой шарнирно связанные две идентичные продольные тяги (продольные стержни) и вертикальную стойку (кривошип), расположенные вдоль боковой стороны тележки. При этом каждая продольная тяга выполнена в виде первого двухшарнирного стержня, оси шарниров которого взаимно параллельны и перпендикулярны стержню. Вертикальная стойка выполнена с возможностью поворота ее вокруг своей оси и имеет три плеча с шарнирами на свободных концах. Первое и второе плечи равны между собой и имеют диаметрально противоположное направление. Третье плечо перпендикулярно первым плечам, имеет, по крайней мере, такую же длину, что и первые два плеча.
Каждый первый двухшарнирный стержень одним концом соединен с буксой, а другим – с соответствующим плечом (первым или вторым) вертикальной стойки.
Поперечная тяга представляет собой второй двухшарнирный стержень, оси шарниров которого взаимно параллельны и перпендикулярны стержню.
Второй двухшарнирный стержень своими концевыми шарнирами связан с третьими плечами вертикальных стоек распорных механизмов с образованием шарнирного параллелограмма из этих плеч, поперечной тяги и отрезка прямой между осями вертикальных стоек.
Локомотивная тележка при движении в кривых работает следующим образом.
При входе локомотива в криволинейный участок пути ось задней колесной пары тележки разворачивается относительно рамы тележки на малый угол 2 в направлении, противоположном вращению ее центра масс вокруг центра кривой ( 2>0). Это движение через распорные механизмы передается на переднюю колесную пару тележки, вызывая разворот ее оси на угол 1, равный по величине и противоположный по знаку углу 2. Оси колесных пар самоустанавливаются в радиальное положение с небольшим значением модуля углов разворота колесных пар .
Одновременно с разворачиванием задней колесной пары на угол 2 происходит ее поступательное смещение относительно передней колесной пары. Но дополнительному развороту осей колесных пар препятствуют распорные механизмы, связывающие между собой колесные пары.
В результате равенство модулей углов разворота колесных пар 1 и 2 обеспечивает уменьшение углов набегания колес на рельсы у передней и у задней колесных пар тележки на одну и ту же величину.
Достоинством локомотивной тележки с радиальной установкой колесных пар является заметное снижение сопротивления движению и бокового износа гребней колес и рельсов при прохождении кривых. Это обусловлено тем, что сохранение равенства модулей углов – 1 и + 2 у тележки при наличии поступательного поперечного смещения одной колесной пары относительно другой уменьшает алгебраическую сумму и углы 1 и 2 набегания колес на рельсы. Вследствие этого происходит снижение сопротивления движению и бокового износа гребней колес и рельсов при прохождении кривых.
Однако в известной локомотивной тележке сопротивление движению и боковой износ гребней колес и рельсов остаются значительными. Это обусловлено тем, что величина углов набегания колес на рельсы зависит также от угла перекоса тележки , который в соответствии с закономерностями вписывания тележки в кривые при малых углах разворота оси задней колесной пары увеличивается. При этом увеличение угла перекоса тележки снижает уменьшение алгебраической суммы , обусловленное изменением углов разворота колесных пар . В результате углы набегания колес на рельсы 1 и 2 остаются значительными и, как следствие, сохраняются значительными сопротивление движению и боковой износ гребней колес и рельсов при движении локомотивной тележки в кривых.
Задача, решаемая изобретением, заключается в разработке двухосной локомотивной тележки с радиальной установкой колесных пар, у которой при движении в кривой значительно уменьшаются сопротивление движению и боковой износ гребней колес и рельсов благодаря достижению близких к нулю углов набегания колес на рельсы 1 и 2 за счет одновременного уменьшения угла перекоса тележки до значения, близкого к нулю, и приближения модулей углов разворота осей колесных пар – 1 и + 2 к отношению .
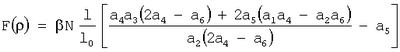
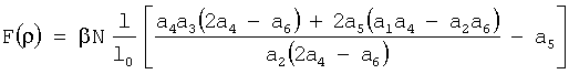
Для решения поставленной задачи известная двухосная локомотивная тележка с радиальной установкой колесных пар, содержащая раму с двумя колесными парами, две буксы на каждой колесной паре, внешний и внутренний идентичные упругие буксовые поводки на каждой буксе и устройство для радиальной установки колесных пар, расположенное на раме тележки между колесными парами и включающее соединенные синхронизирующим звеном два распорных механизма, установленных вдоль боковых сторон рамы тележки, каждый из которых имеет кривошип, два идентичных продольных стержня, при этом каждая букса с рамой тележки соединена внешним упругим буксовым поводком, а кривошип каждого распорного механизма связан с продольными стержнями одноподвижными кинематическими парами, она снабжена установленными на раме тележки приводом и системой управления с планом эксплуатируемого участка пути, включающей блок управления и датчик перемещения локомотива, электрически связанные между собой и с приводом, в каждый распорный механизм введены два идентичных ползуна, при этом каждый распорный механизм выполнен оппозитным, привод – с возможностью обеспечения на каждом ползуне продольной силы, равной

где – коэффициент упругого проскальзывания колеса по рельсу при единичной вертикальной нагрузке на колесо,
N – вертикальная нагрузка на каждое колесо тележки,
l – половина расстояния между контактными точками колес при среднем положении колесной пары в рельсовой колее,
l0 – половина расстояния между центрами букс одной колесной пары,
a1, a2, … а6 – коэффициенты дифференциальных уравнений, характеризующих установившееся движение локомотивной тележки по криволинейному участку пути, определяемые из соотношений

где – коничность средней части поверхности катания обода колеса,
b – номинальный радиус окружности катания колеса,
L – половина базы тележки,
u – половина колейного зазора,
с – коэффициент жесткости буксового узла в продольном направлении,
– радиус кривизны осевой линии рельсовой колеи,
0 – радиус кривизны осевой линии рельсовой колеи при F( )=0,
каждый ползун шарнирно соединен с соответствующим продольным стержнем и внутренним буксовым поводком, привод связан с кривошипом одного из распорных механизмов и ползуны каждого распорного механизма установлены в продольной направляющей рамы тележки.
Кроме того, оппозитность ползунов в распорном механизме устройства радиальной установки колесных пар обеспечивается различными техническими средствами.
В локомотивной тележке с электромеханическим приводом в каждом распорном механизме каждая одноподвижная кинематическая пара, соединяющая кривошип с продольным стержнем, выполнена винтовой, причем винтовые пары в каждом распорном механизме имеют противоположно направленные самотормозящие винтовые нарезки, и односторонне ориентированные винтовые пары в разных распорных механизмах – противоположно направленные самотормозящие винтовые нарезки.
В локомотивной тележке с гидравлическим приводом, включающим регулируемый насос, система управления дополнительно снабжена трехпозиционным распределителем и переливным клапаном, подключенными к блоку управления, в каждом оппозитном распорном механизме устройства для радиальной установки колесных пар кривошип, установленный на поперечной оси тележки, выполнен с первым и вторым равными плечами, причем у каждого распорного механизма первое и второе плечи, а у разных распорных механизмов первые плечи направлены в противоположные стороны от поперечной оси тележки, при этом продольный стержень каждого распорного механизма, расположенный со стороны передней колесной пары, соединен с первым плечом кривошипа, а продольный стержень этих же механизмов, расположенный со стороны задней колесной пары, – со вторым плечом соответствующего кривошипа.
Введение новых элементов в локомотивную тележку с радиальной установкой колесных пар и обусловленная этим новая взаимосвязь и новое взаимное расположение элементов устройства свидетельствует о соответствии заявляемого решения критерию патентоспособности «новизна».
Благодаря наличию существенных отличительных признаков и новым взаимосвязям элементов устройства происходит адаптация локомотивной тележки к ненапряженному вписыванию ее в кривые, при котором значительно уменьшается сопротивление движению локомотива и боковой износ гребней колес и рельсов.
Это обусловлено тем, что при движении тележки в кривых на колесных парах дополнительно создаются противоположно направленные разворачивающие моменты, пропорциональные продольной силе F( ). Разворачивающие моменты на колесных парах вместе с другими силами, действующими на тележку, образуют при движении в кривых близкую к уравновешенной систему сил, которая одновременно воздействует на изменение угла перекоса тележки и углов разворота колесных пар 1 и 2.
Уравновешенная система сил в процессе вписывания в кривые вынуждает тележку двигаться с углом перекоса , близким к нулю, а колесные пары – с углами разворота – 1 и + 2, модули которых приближаются к отношению . В результате при движении тележки в кривой углы набегания колес на рельсы становятся близкими к нулю. Но так как от величины угла набегания колес на рельсы зависят сопротивление движению локомотива и боковой износ гребней колес и рельсов, то при значениях , близких к нулю, эти динамические параметры также становятся близкими к нулю.
В известных из уровня техники двухосных локомотивных тележках при движении в кривых действующие на тележку силы вызывают изменение либо заданное изменение угла перекоса тележки при нерегулируемом изменении углов разворота колесных пар 1 и 2 [3], либо заданное изменение углов разворота колесных пар 1 и 2 при нерегулируемом изменении угла перекоса тележки [2]. В итоге в обоих случаях углы набегания колес на рельсы уменьшаются незначительно, что существенно не сказывается на снижении сопротивления движению локомотива и бокового износа гребней колес и рельсов при движении в кривых.
Таким образом, известный уровень техники не содержит решений, которые при движении двухосных локомотивных тележек в кривых обеспечивают близкие к нулю углы набегания колес на рельсы за счет одновременного уменьшения угла перекоса тележки до значения, близкого к нулю, и приближения модулей улов разворота колесных пар – 1 и + 2 к отношению .
Наличие нового технического результата, не вытекающего из известного уровня техники, свидетельствует о соответствии заявляемого решения критерию патентоспособности «изобретательский уровень».
На фиг.1 представлена схема локомотивной двухосной тележки с радиальной установкой колесных пар с электромеханическим приводом.
На фиг.2 представлена схема устройства для радиальной установки колесных пар с гидравлическим приводом.
Двухосная локомотивная тележка с радиальной установкой колесных пар содержит раму 1, две колесные пары 2 с буксами 3, внешний 4 и внутренний 5 упругие буксовые поводки на каждой буксе 3, устройство для радиальной установки колесных пар 6, привод 7, систему управления 8 с планом эксплуатируемого участка пути.
Система управления 8 с планом эксплуатируемого участка пути содержит блок управления 9 и электрически связанный с ним датчик перемещения локомотива 10.
Устройство для радиальной установки колесных пар 6 расположено на раме тележки 1 между колесными парами 2 и состоит из двух одинаковых распорных механизмов 11,12 и соединяющего их синхронизирующего звена 13.
Каждый распорный механизм 11 (12) расположен вдоль боковой стороны рамы тележки 1 и включает кривошип 14 (15), два продольных стержня 16, 17 и два идентичных ползуна 18. Кривошипы 14 и 15 распорных механизмов 11 и 12 соединены между собой синхронизирующим звеном 13, которое представляет собой любую известную механическую передачу синхронного вращения между параллельными валами, например цепную, зубчатую, реечную или шарнирно-рычажную. Каждый продольный стержень 16 (17) соединен с ползуном 18 первой одноподвижной кинематической парой 19, а с кривошипом 14 (15) – второй одноподвижной кинематической парой 20. Ползуны 18 каждого распорного механизма 11 (12) установлены в общей продольной направляющей 21 рамы тележки 1 и имеют противоположно направленные перемещения. Такое выполнение каждого распорного механизма 11 (12) делает его оппозитным.
Каждый внешний буксовый поводок 4, расположенный с торцевой стороны тележки, шарнирно соединен с рамой тележки 1 и буксой 3, а каждый внутренний буксовый поводок 5, расположенный между колесными парами 2, – с буксой 3 и с соответствующим ползуном 18 распорного механизма 11 (12).
Привод 7 установлен на раме тележки 1 и соединен с кривошипом 14 распорного механизма 11.
Блок управления 9 системы управления 8 электрически связан с приводом 7.
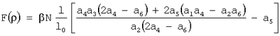
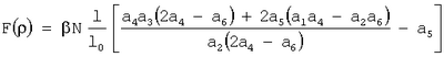
Система управления 8 выполнена с возможностью обеспечения на каждом ползуне 18 распорного механизма 11, 12 продольной силы, заданной в зависимости от радиуса криволинейного участка пути и равной

где – коэффициент упругого проскальзывания колеса по рельсу при единичной вертикальной нагрузке на колесо,
N – вертикальная нагрузка на каждое колесо тележки,
l – половина расстояния между контактными точками колес при среднем положении колесной пары в рельсовой колее,
l0 – половина расстояния между центрами букс одной колесной пары,
a1, а2, … a6 – коэффициенты дифференциальных уравнений, характеризующих установившееся движение локомотивной тележки по криволинейному участку пути, определяемые из соотношений:

где – коничность средней части поверхности катания обода колеса,
b – номинальный радиус окружности катания колеса,
L – половина базы тележки,
u – половина колейного зазора,
с – коэффициент жесткости буксового узла в продольном направлении,
– радиус кривизны осевой линии рельсовой колеи,
0 – радиус кривизны осевой линии рельсовой колеи при F( )=0.
Возможность обеспечения продольной силы, заданной в зависимости от радиуса криволинейного участка пути и равной

осуществляется различными вариантами выполнения распорных механизмов 11, 12.
Пример 1. В двухосной локомотивной тележке с радиальной установкой колесных пар каждый распорный механизм 11 (12) выполнен в виде оппозитного винтового механизма с электромеханическим приводом 7 на кривошипе 14.
Каждый кривошип 14 (15) распорного механизма 11 (12) выполнен с возможностью вращения его вокруг оси продольной направляющей 21 ползунов 18.
Первая одноподвижная кинематическая пара 19 каждого продольного стержня 16 (17) выполнена в виде шарнира, а вторая одноподвижная кинематическая пара 20 – в виде винтовой самотормозящей пары. Таким образом, каждый продольный стержень 16 (17) шарниром 19 соединен с ползуном 18, а винтовой самотормозящей парой 20 – с кривошипом 14 (15).
Винтовые пары 20 продольных стержней 16 и 17 каждого распорного механизма 11 (12) имеют противоположно направленные винтовые нарезки с одинаковым шагом.
В распорных механизмах 11 и 12 винтовые пары 20 продольных стержней 16 (17), расположенных со стороны одной и той же колесной пары 2, имеют противоположно направленные винтовые нарезки с одинаковым шагом.
Пример 2. В локомотивной тележке с радиальной установкой колесных пар каждый распорный механизм 11 (12) выполнен в виде оппозитного кривошипно-ползунного механизма с гидравлическим приводом 7 на кривошипе 14.
Кривошипы 14 и 15 распорных механизмов 11 и 12 выполнены двухплечими с общей осью вращения. У каждого распорного механизма 11 (12) первое и второе плечи, а у разных распорных механизмов 11 и 12 первые плечи направлены в противоположные стороны от общей оси вращения.
Первая 19 и вторая 20 одноподвижные кинематические пары каждого продольного стержня 16 (17) выполнены в виде шарниров с осями, параллельными оси вращения кривошипов 14, 15. Каждый продольный стержень 16 (17) шарниром 19 соединен с ползуном 18, а шарниром 20 – с соответствующим плечом кривошипа 14 (15). Причем у распорного механизма 11 (12) продольный стержень 16, расположенный со стороны передней колесной пары 2, соединен с первым плечом кривошипа 14 (15), а продольный стержень 17, расположенный со стороны задней колесной пары 2, – со вторым плечом кривошипа 14 (15).
Синхронизирующее звено 13 выполнено в виде вала, соединяющего оси вращения кривошипов 14, 15.
Привод 7 выполнен гидравлическим. В качестве гидравлического привода использован известный гидропривод, включающий гидроцилиндр 22 с поршнем 23, насос 24 с регулируемой подачей жидкости, напорную 25 и сливную 26 магистрали.
Система управления 8 содержит блок управления 9, датчик перемещения локомотива 10, трехпозиционный распределитель 27 и переливной клапан 28 сливной магистрали 26.
Блок управления 9 параллельно подключен к датчику перемещения локомотива 10, насосу 24, трехпозиционному распределителю 27 и переливному клапану 28.
Работа устройства.
Пример 1.
Локомотивная тележка с оппозитными винтовыми распорными механизмами 11 и 12 (фиг.1) при движении ее в различных кривых работает следующим образом.
При входе локомотива в пологие (  0) и крутые ( < 0) кривые продольные оси его тележек отклоняются от направления касательной к осевой линии колеи, образуя с касательной углы перекоса тележки . Одновременно с этим в каждой тележке поворачиваются оси колесных пар 2, образуя с поперечной осью тележки углы разворота колесных пар .
1. При движении локомотива в пологой кривой радиусом   0 блок управления 9 отключен от привода 7. Продольные силы F( ) в распорных механизмах 11 и 12 равны нулю.
Устройство для радиальной установки колесной пары 6 находится в исходном положении. При этом расстояния между ползунами 18 в распорных механизмах 11 и 12 одинаковы. Ползуны 18 в исходном положении обеспечивают номинальное положение оси каждой колесной пары при недеформированных буксовых поводках. В случае малых смещений колесных пар 2, возникающих за счет упругих деформаций буксовых поводков 4 и 5, ползуны 18 сохраняют исходное положение, так как самотормозящие винтовые пары 20 препятствуют смещениям элементов распорных механизмов 11 и 12 из исходного положения.
В этих условиях перекашивание тележки и разворот осей ее колесных пар имеют характер неустановившихся виляний. При этом модули угла перекоса тележки и углов разворота колесных пар , а также отношение близки к нулю. В результате углы набегания колес обеих колесных пар также близки к нулю. Гребни колес периодически и кратковременно прижимаются к головкам рельсов. Возникающие при этом силы сопротивления движению локомотива и боковой износ гребней колес и рельсов незначительны.
2. При движении локомотива по входной переходной кривой датчик перемещения локомотива 10 передает его координаты в систему управления 8, которая сопоставляет полученные координаты с планом эксплуатируемого участка пути, определяет радиус кривизны рельсовой колеи для каждого положения локомотива и передает его значения в блок управления 9. При движении в кривой, когда   0, блок управления 9 остается отключенным от привода 7, устройство для радиальной установки колесных пар 6 продолжает оставаться в исходном положении. При этом перекашивание тележек и разворот осей колесных пар происходит аналогично описанному для пологих кривых.
В положении локомотива, когда радиус кривой = 0, в соответствии с закономерностями вписывания локомотива в крутые кривые начинается перекашивание тележек и разворот осей колесных пар 2 в направлении, противоположном вращению центра масс тележки вокруг центра кривизны кривой. Это приводит к увеличению углов перекоса тележек и углов разворота колесных пар , что вызывает увеличение углов набегания колес на рельсы . Гребень передней колесной пары тележки прижимается к наружному рельсу, увеличивается сопротивление движению локомотива и боковой износ гребней колес.
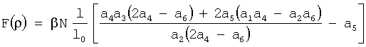
Блок управления 9 формирует в соответствии с радиусом   0 электрический управляющий импульс, соответствующий продольной силе
,
создаваемой в распорных механизмах 11 и 12. Этот импульс передается на привод 7, который создает на кривошипе 14 крутящий момент, пропорциональный продольной силе F( ).
Одна часть этого крутящего момента посредством противоположно ориентированных винтовых пар 20 продольных стержней 16 и 17 распорного механизма 11 создает противоположно направленные продольные силы F( ), которые при движении тележки, например по левой кривой, направлены от центра распорного механизма 11. Эти силы посредством ползунов 18 и буксовых поводков 5 передаются на буксы 3 передней и задней колесных пар 2, вызывая увеличение расстояния между ними.
Другая часть крутящего момента посредством синхронизирующего звена 13 передается на кривошип 15 распорного механизма 12, создавая противоположно ориентированными винтовыми парами 20 продольных стержней 16 и 17 распорного механизма 12 противоположно направленные продольные силы F( ), которые при движении тележки по левой кривой направлены к центру распорного механизма 12. Эти силы, в свою очередь, посредством ползунов 18 и буксовых поводков 5 передаются на буксы 3 передней и задней колесных пар 2, вызывая уменьшение расстояния между ними.
Силы F( ), приложенные к буксам 3, создают на каждой колесной паре 2 разворачивающий момент М( )=F( )·2l0, где 2l0 – расстояние между центрами букс одной колесной пары.
На передней колесной паре 2 разворачивающий момент М( ) направлен в сторону вращения ее центра масс вокруг центра кривизны рельсовой колеи, а на задней колесной паре 2 – в противоположную сторону.
Разворачивающие моменты М( ) на колесных парах 2 в сочетании с другими силами, действующими на локомотивную тележку в переходной кривой, приводят к уменьшению угла перекоса тележки до значения, близкого к нулю, и к увеличению модуля углов – 1 и + 2 до значения, близкого к в каждой точке переходной кривой.
В конце входной переходной кривой алгебраическая сумма углов набегания колес на рельсы 1 и 2 становится равной нулю, угол перекоса тележки 2 приближается к нулю, а модули углов – 1 и + 2 имеют значения, близкие к .
В результате на протяжении всего движения тележки по переходной кривой углы набегания колес на рельсы имеют близкие к нулю значения. Вследствие этого в переходной кривой обеспечивается малое сопротивление движению локомотива и незначительный боковой износ гребней колес и рельсов.
3. При входе в круговую кривую, когда радиус кривизны принимает постоянное значение = кр, блок управления 9 отключает привод 7. Кривошип 14 останавливается, и самотормозящие винтовые пары 20 занимают фиксированное положение. Элементы распорных механизмов 11 и 12 остаются неподвижными, сохраняя положения, достигнутые ими в конце входной переходной кривой.
Это положение элементов распорных механизмов 11 и 12 сохраняется на протяжении всего последующего движения тележки в круговой кривой. Продольная сила F( ) и разворачивающий момент М( ) на колесных парах 2 остаются неизменными на протяжении всей круговой кривой.
В соответствии с закономерностями вписывания локомотива в кривые происходит стабилизация и других силовых факторов, влияющих на перекашивание тележки и разворачивание осей колесных пар. Эти силовые факторы и разворачивающие моменты М( ) на колесных парах при установившемся движении локомотива в круговой кривой образуют уравновешенную систему сил.
При движении тележки по круговой кривой все значения углов набегания колес на рельсы, перекоса тележки и разворота осей колесных пар, достигнутые в конце входной переходной кривой, сохраняются. Алгебраическая сумма углов набегания колес на рельсы 1 и 2 остается равной нулю, угол перекоса тележки – близким к нулю, а модули углов – 1 и + 2 имеют значения, близкие к .
Как следствие этого, в круговой кривой сохраняется малое сопротивление движению локомотива и незначительный боковой износ гребней колес и рельсов.
4. При движении по выходной переходной кривой условия вписывания локомотива аналогичны условиям вписывания его при движении по входной переходной кривой, при этом изменяется направление протекания процесса.
В начале выходной переходной кривой, когда = кр, блок управления 9 формирует в соответствии с полученными координатами локомотива электрический управляющий импульс, соответствующий продольной силе
,
создаваемой в распорных механизмах 11 и 12. Продольные силы F(p) через ползуны 18 и буксовые поводки 5 передаются на буксы 3 передней и задней колесных пар 2, создавая на каждой колесной паре 2 разворачивающий момент М( ), который уменьшается с изменением радиуса кривизны в интервале кр   0.
Одновременно с этим в соответствии с закономерностями вписывания локомотива в кривые происходит уменьшение и других силовых факторов, влияющих на перекашивание тележки и разворачивание осей колесных пар. Результирующая система сил, действующих на тележку, изменяется и остается при этом близкой к уравновешенной.
В результате обеспечивается близкое к нулю значение угла перекоса тележки и постепенное уменьшение модуля углов – 1 и + 2 до значения, близкого к в каждой точке кривой. Близкие к нулю значения имеют и углы набегания колес на рельсы .
Вследствие этого на участке выходной переходной кривой в интервале изменения радиуса кривизны колеи кр   0 сохраняется малое сопротивление движению локомотива и незначительный боковой износ гребней колес и рельсов.
При = 0 устройство для радиальной установки колесных пар 6 возвращается в исходное положение, продольные силы F( ) и разворачивающие моменты М( ) на колесных парах 2 равны нулю. Блок управления 9 отключает привод 7.
Последующее движение тележки происходит с сохранением исходного положения устройства для радиальной установки колесных пар 6 при малом сопротивлении движению локомотива и незначительном боковом износе гребней колес и рельсов.
Работа устройства.
Пример 2.
Локомотивная тележка с оппозитными кривошипно-ползунными распорными механизмами 11 и 12 (фиг.2) при движении ее в различных кривых работают следующим образом. Динамические и кинематические параметры движения локомотивной тележки с оппозитными кривошипно-ползунными распорными механизмами 11 и 12 остаются такими же, как и при движении в кривых локомотивной тележки с оппозитными винтовыми распорными механизмами 11 и 12. Все конструктивные элементы тележки работают, как описано выше, кроме устройства для радиальной установки колесных пар 6.
1. При движении локомотива в пологой кривой (  0) блок управления 9 системы управления 8 отключен от привода 7, насос 24 не работает, трехпозиционный распределитель 27 находится в нейтральном положении, перекрывая напорную 25 и сливную 26 магистрали. В полостях гидроцилиндра 22 сохраняется одинаковое давление, обеспечивая неподвижность поршня 23 в среднем положении. При этом состоянии поршня 23 кривошипы 14 и 15, продольные стержни 16 и 17, ползуны 18 занимают исходное положение. Расстояние между ползунами 18 в распорном механизме 11 остается равным расстоянию между ползунами 18 в распорном механизме 12. Исключаются любые смещения элементов распорных механизмов 10, 11 из исходного положения. Продольные силы F( ) в распорных механизмах 11 и 12 равны нулю.
2. При движении локомотива по входной переходной кривой блок управления 9, получив от датчика перемещения локомотива 10 его координаты и определив радиус кривизны , формирует в соответствии с радиусом   0 электрические управляющие импульсы, соответствующие продольной силе
создаваемой в распорных механизмах 11 и 12.
Эти импульсы передаются в трехпозиционный распределитель 27, переливной клапан 28 и насос 24. Трехпозиционный распределитель 27 переставляется в первую крайнюю позицию, соединяя напорную и сливную полости гидроцилиндра 22 с соответствующими магистралями 25 и 26. Переливной клапан 28 обеспечивает сохранение в сливной полости гидроцилиндра 22 давления, которое было в ней при исходном положении устройства для радиальной установки колесных пар 6. Насос 24 увеличивает давление в напорной полости гидроцилиндра 22.
В полостях гидроцилиндра 22 создается разность давлений, которая обеспечивает на кривошипе 14 крутящий момент, пропорциональный продольной силе F( ).
Одна часть этого крутящего момента посредством плеч кривошипа 14 и продольных стержней 16 и 17 создает на ползунах 18 распорного механизма 11 противоположно направленные продольные силы F( ), которые при движении тележки, например по левой кривой, направлены от центра распорного механизма 11. Эти силы через буксовые поводки 5 передаются на буксы 3 передней и задней колесных пар 2, вызывая увеличение расстояния между ними.
Другая часть крутящего момента передается через синхронизирующее звено 13 на кривошип 15 распорного механизма 12, создавая посредством плеч кривошипа 15 и продольных стержней 16, 17 на ползунах 18 противоположно направленные продольные силы F( ), которые при движении тележки по левой кривой направлены к центру распорного механизма 12. Эти силы, в свою очередь, через буксовые поводки 5 передаются на буксы 3 передней и задней колесных пар 2, вызывая уменьшение расстояния между ними.
Силы F( ), приложенные к буксам 3, создают на каждой колесной паре разворачивающий момент М( )=F( )·2l0. На передней колесной паре 2 тележки момент М( ) направлен в сторону вращения ее центра масс вокруг центра кривизны кривой, а на задней колесной паре – в противоположную сторону.
3. При входе в круговую кривую, когда = кр, блок управления 9 останавливает работу насоса 24 и устанавливает трехпозиционный распределитель 27 в нейтральное положение, в котором прерывается связь полостей гидроцилиндра 22 с напорной 25 и сливной 26 магистралями. В полостях гидроцилиндра 22 сохраняется разность давлений, достигнутая в конце переходной кривой. Сохраняются продольная сила F( ) и разворачивающие моменты М( ) на колесных парах 2, которые вместе с другими силовыми факторами, действующими на тележку при установившемся движении, образуют уравновешенную систему сил. Поршень 23 гидроцилиндра 22 и элементы распорных механизмов 11, 12 останавливаются и на протяжении всего последующего движения в круговой кривой они сохраняют положения, достигнутые в конце входной переходной кривой.
4. При движении по выходной переходной кривой условия вписывания локомотива аналогичны условиям вписывания его при движении по входной переходной кривой, при этом изменяется направление протекания процесса.
В начале выходной переходной кривой, когда = кр, блок управления 9 формирует в соответствии с полученными координатами локомотива электрические управляющие импульсы, соответствующие продольной силе
,
создаваемой в распорных механизмах 11 и 12.
Эти импульсы передаются в трехпозиционный распределитель 27, переливной клапан 28 и насос 24. Трехпозиционный распределитель 27 переставляется во вторую крайнюю позицию, соединяя напорную и сливную полости гидроцилиндра 20 с соответствующими магистралями 25 и 26. Переливной клапан 28 обеспечивает сохранение в сливной полости гидроцилиндра 22 давления, которое было в ней при исходном положении устройства для радиальной установки колесных пар 6. Насос 24 уменьшает давление в напорной полости гидроцилиндра 22. В полостях гидроцилиндра 22 создается разность давлений, которая обеспечивает на каждом ползуне 18 распорных механизмов 11 и 12 продольную силу F( ). Силы F( ) через буксовые поводки 5 передаются на буксы 3, создавая на каждой колесной паре 2 разворачивающий момент М( )=F( )·2l0, который уменьшается с изменением радиуса кривизны кр   0. Одновременно с этим, в соответствии с закономерностями вписывания локомотива в кривые, происходит уменьшение и других силовых факторов, влияющих на перекашивание тележки и разворачивание осей колесных пар.
В момент, когда, = 0, устройство для радиальной установки колесных пар 6 возвращается в исходное положение. В полостях гидроцилиндра 22 давление уравнивается. Продольные силы F( ) в распорных механизмах 11 и 12 равны нулю. Блок управления 9 останавливает работу насоса 24 и устанавливает трехпозиционный распределитель 27 в нейтральное положение, в котором прерывается связь полостей гидроцилиндра 22 с напорной 25 и сливной 26 магистралями. Поршень 23 гидроцилиндра 22 и элементы распорных механизмов 11 и 12 неподвижны. При этом поршень 23 занимает среднее положение в гидроцилиндре 22.
Последующее движение тележки происходит с сохранением исходного положения устройства для радиальной установки колесных пар 6 при малом сопротивлении движению локомотива и незначительном боковом износе гребней колес и рельсов.
Например, для электровоза ВЛ80 при движении по круговой кривой кр=300 м постоянные геометрические и силовые параметры имеют следующие известные значения [4]: коэффициент упругого проскальзывания колеса по рельсу при единичной вертикальной нагрузке на колесо =21; вертикальная нагрузка на каждое колесо тележки N=114,3 кН; половина расстояния между контактными точками колес при среднем положении колесной пары в рельсовой колее l=0,8028 м; половина расстояния между центрами букс одной колесной пары l0=1,1 м; коничность средней части поверхности катания обода колеса =0,05; номинальный радиус окружности катания колеса b=0,625 м; половина базы тележки L=1,5 м; половина колейного зазора u=0,017 м; коэффициент жесткости буксового узла в продольном направлении с=1680 кН/м [1, с.244].
Расчетный радиус кривизны осевой линии рельсовой колеи при нулевом значении движущей силы 0=2500 м.
Значения параметров вписывания, характеризующих установившееся движение электровоза в круговой кривой =300 м, приведены в таблице.
| Параметры вписывания |
Заявляемое устройство |
Устройство по прототипу |
| 1. Дополнительный разворачивающий момент на передней колесной паре, кНм |
-23,417 |
Отсутствует |
| 2. Дополнительный разворачивающий момент на задней колесной паре, кНм |
23,417 |
Отсутствует |
3. Угол перекоса тележки ·10-3, рад |
-1,120 |
5,435 |
4. Угол разворота оси передней колесной пары 1·10-3, рад |
-4,512 |
-0,618 |
5. Угол разворота оси задней колесной пары 2·10-3, рад |
6,752 |
0,618 |
6. Угол набегания на рельс колеса передней колесной пары 1·10-3,рад |
-0,632 |
9,817 |
7. Угол набегания на рельс колеса задней колесной пары 2·10-3, рад |
0,632 |
1,053 |
| 8. Сила давления гребня набегающего колеса на рельс, кН |
0 |
52,18 |
Использование заявляемого решения позволяет при вписывании локомотива с тележками различного типа в кривые малого радиуса уменьшить угол набегания на рельс колеса передней колесной пары в 15 раз, а колеса задней колесной пары – в 1,65 раза, что приводит к исключению силового воздействия на рельс гребня набегающего колеса.
Список литературы, используемой при экспертизе
1. Механическая часть тягового подвижного состава / Под ред. И.В.Бирюкова. – М.: Транспорт, 1992, – 440 с.
3. Пат. №2176202 РФ, МПК7 В 61 F 5/38. Устройство для автоматического управления тележками в кривых участках пути / В.Г.Григоренко, В.И.Доронин, Э.А.Леонов и др.; ДВГУПС (РФ). – Заявлено 30.11.2000. Опубл. 21.11.2001. Бюл.№33.
Формула изобретения
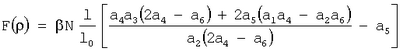
1. Двухосная локомотивная тележка с радиальной установкой колесных пар, содержащая раму с двумя колесными парами, две буксы на каждой колесной паре, внешний и внутренний идентичные упругие буксовые поводки на каждой буксе и устройство для радиальной установки колесных пар, расположенное на раме тележки между колесными парами и включающее соединенные синхронизирующим звеном два распорных механизма, установленных вдоль боковых сторон рамы тележки, каждый из которых имеет кривошип, два идентичных продольных стержня, при этом каждая букса с рамой тележки соединена внешним упругим буксовым поводком, а кривошип каждого распорного механизма связан с продольными стержнями одноподвижными кинематическими парами, отличающаяся тем, что она снабжена установленными на раме тележки приводом и системой управления с планом эксплуатируемого участка пути, включающей блок управления и датчик перемещения локомотива, электрически связанные между собой и с приводом, в каждый распорный механизм введены два идентичных ползуна, при этом каждый распорный механизм выполнен оппозитным, привод – с возможностью обеспечения на каждом ползуне продольной силы, равной

где – коэффициент упругого проскальзывания колеса по рельсу при единичной вертикальной нагрузке на колесо,
N – вертикальная нагрузка на каждое колесо тележки,
l – половина расстояния между контактными точками колес при среднем положении колесной пары в рельсовой колее,
l0 – половина расстояния между центрами букс одной колесной пары,
а1, а2, … а3 – коэффициенты дифференциальных уравнений, характеризующих установившееся движение локомотивной тележки по криволинейному участку пути, определяемые из соотношений:

где – коничность средней части поверхности катания обода колеса,
b – номинальный радиус окружности катания колеса,
L – половина базы тележки,
u – половина колейного зазора,
с – коэффициент жесткости буксового узла в продольном направлении,
– радиус кривизны осевой линии рельсовой колеи,
0 – радиус кривизны осевой линии рельсовой колеи при F( )=0, а каждый ползун шарнирно соединен с соответствующим продольным стержнем и внутренним буксовым поводком, привод связан с кривошипом одного из распорных механизмов и ползуны каждого распорного механизма установлены в продольной направляющей рамы тележки.
2. Двухосная локомотивная тележка с радиальной установкой колесных пар по п.1, отличающаяся тем, что привод выполнен электромеханическим, в каждом оппозитном распорном механизме устройства для радиальной установки колесных пар каждая одноподвижная кинематическая пара, соединяющая кривошип с продольным стержнем, выполнена винтовой, причем винтовые пары в каждом распорном механизме имеют противоположно направленные самотормозящие винтовые нарезки и односторонне ориентированные винтовые пары в разных распорных механизмах – противоположно направленные самотормозящие винтовые нарезки.
3. Двухосная локомотивная тележка с радиальной установкой колесных пар по п.1, отличающаяся тем, что привод выполнен гидравлическим с регулируемым насосом, система управления дополнительно снабжена трехпозиционным распределителем и переливным клапаном, подключенными к блоку управления, в каждом оппозитном распорном механизме устройства для радиальной установки колесных пар кривошип, установленный на поперечной оси тележки, выполнен с первым и вторым равными плечами, причем у каждого распорного механизма первое и второе плечи, а у разных распорных механизмов первые плечи направлены в противоположные стороны от поперечной оси тележки, при этом продольный стержень каждого распорного механизма, расположенный со стороны передней колесной пары, соединен с первым плечом кривошипа, а продольный стержень этих же механизмов, расположенный со стороны задней колесной пары, – со вторым плечом соответствующего кривошипа.
РИСУНКИ
|