Патент на изобретение №2290185
|
|||||||||||||||||||||||||||||||||||||||||||||||||||||||||||||||||||||||||||||||||||||||||||||||||||||||||||||||||||||||||||||||||||||||||||||||||||||||||||||||||||||||||||||||||||||||||||||||||||||||||||||||||||||||||||||||||||||||||||||||||||||||||||||||||||||||||||||||||||||||||||||||||||||||||||||||||||||||||||||||||||||||||||||||||||||||||||||||||||||||||||||||||||||||||||||||||||||||||||||||||||||||||||||||||
(54) КОМПОЗИЦИЯ ДЛЯ НОРМАЛИЗАЦИИ ЛИПИДНОГО ОБМЕНА И СНИЖЕНИЯ МАССЫ ТЕЛА И СПОСОБ ЕЁ ПОЛУЧЕНИЯ
(57) Реферат:
Изобретение относится к области фармацевтики, в частности к средству лечебно-профилактического питания. Изобретение заключается в том, что предложенная композиция для корректировки уровня усвояемости организмом пищевых веществ липидной природы содержит комплекс, включающий эквимолекулярную водорастворимую соль хитозана с аскорбиновой, янтарной и липоевой кислотами, вещества полиоксинафтохиноновой природы и морских иглокожих (Echinodermata), полиоксифенольные соединения из гребней винограда и ионов трехвалентного хрома и подсластитель. В качестве подсластителя используют фруктозу, содержание которой в конечном продукте составляет не менее 30-80%. Содержание веществ полиоксинафтохиноновой природы в конечном продукте составляет не менее 0,1 мг/мл. Композиция содержит ионы трехвалентного хрома в количестве, не превышающем при разовом потреблении суточную потребность (50 мкг/сутки). Композиция может быть выполнена в форме сиропа, геля, пасты, таблетки, порошка, аэрозоля. Предложен также способ получения композиции для корректировки уровня усвояемости организмом пищевых веществ липидной природы. Способ обеспечивает получение композиции, содержащей в конечной концентрации хитозана от 1% до 5%, веществ полиоксинафтохиноновой природы не менее 0,1 мг/мл, ионов трехвалентного хрома в количестве, не превышающем при разовом потреблении суточную потребность (50 мкг/сутки), и фруктозы от 30% до 80%. Хитозан с водным раствором аскорбиновой и янтарной кислот смешивают при температуре от 15 до 50°С. Смесь хитозана с водным раствором аскорбиновой и янтарной кислот выдерживают в течение 10-36 часов. Изобретение обеспечивает улучшение липидного спектра крови, защищает печень от жировой инфильтрации, способствует снижению массы тела, обеспечивает антиоксидантную защиту организма. Композиция может быть использована как лечебно-профилактическая при ожирении 1 и 2 степени, атеросклерозе, коронарной болезни сердца, при проявлениях “метаболического синдрома”, жировой инфильтрации печени и жировом гепатозе. 2 н. и 9 з.п. ф-лы, 6 табл.
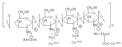
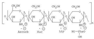
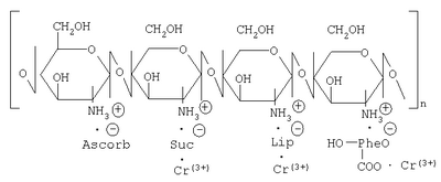
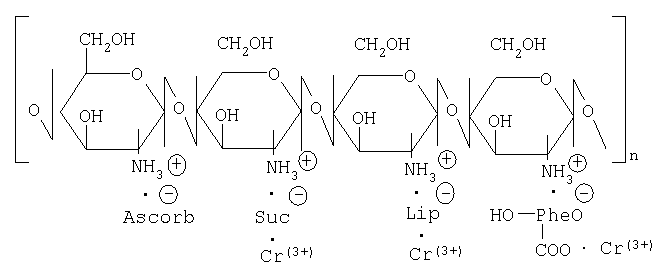
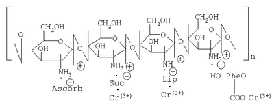
Изобретение относится к пищевой промышленности, в частности, к производству композиции, изготовляемой из животного и растительного сырья, витаминов и используемой в качестве средства лечебно-профилактического питания. В настоящее время в лечебно-профилактическом питании эффективно используется огромный арсенал биологически активных веществ, регулирующих биохимические и физиологические процессы в организме человека. Использование новых, безопасных для человека биологически активных добавок представляет большой практический интерес: позволяет расширить ассортимент и повысить биологическую ценность пищевых продуктов, придать им целевое назначение, а также изменить структуру потребления пищевых продуктов населением в соответствии с известными теориями сбалансированного питания. Известные препараты, аккумулируя в небольшом объеме высокую биологическую активность, способны влиять на метаболические процессы. Малая энергетическая ценность при высокой биологической активности делает эти добавки особенно значимыми для больных ожирением, при котором использование многих пищевых веществ лимитируется уровнем их энергетической емкости. В качестве ближайшего аналога выбрана известная пищевая добавка, изготовляемая из сырья растительного и животного происхождения, представляющая собой сиропообразный бальзам «Гербамарин», в котором экстракты биологически активных веществ смешивают, вводят рецептурные компоненты с подсластителем и расфасовывают (патент России №2092077, 1997). Композиция ингредиентов для сиропа-бальзама содержит сахар, воду, плоды шиповника, лимонную и аскорбиновую кислоты, корни ревеня тангутского, солодки голой, одуванчика лекарственного, корни и корневища валерианы, траву зверобоя, душицы, тысячелистника, тимьяна, сушеницы топяной, горца птичьего, череды трехраздельной, пустырника, фиалки трехцветной, хвоща полевого, лист котовника лимонного, крапивы двудомной, шалфея, толокнянки, элеутерококка, полыни, липовый цвет, яблоневый цвет, цветки календулы, леспедецы двухцветной, ромашки аптечной, пижмы, плоды боярышника и кориандра, семя льна, березовые почки, кукурузные рыльца, морскую капусту, а также зостерин пектин из морской травы зостеры, гидролизат молок лососевых рыб, гидролизат мидии, гидролизат кальмара, земляничную эссенцию, колер, сорбат калия при определенном соотношении ингредиентов. Как показал анализ патентной и нормативно-технической документации, ассортимент таких средств недостаточно велик и их эффективность по своему физиологическому действию низка. Рост количества таких заболеваний, как ожирение, сердечно-сосудистая патология, сахарный диабет, некоторые нарушения иммунного и гормонального статуса человека вызван часто нерациональным, хаотическим, неполноценным питанием. Это диктует острую необходимость разработки и поиска новых эффективных средств, которые могут быть использованы для коррекции нарушений метаболизма и функций организма и возможной профилактики заболеваний. Серьезной проблемой не только для взрослого населения, но и для будущего (детей, подростков) становится метаболический синдром (синдром Х или синдром инсулинорезистентности). Он представляет собой совокупность ожирения (абдоминальный или мужской тип), артериальной гипертензии, гиперхолестеринемии с повышением в крови атерогенной факторов (холестерина ЛПНП, триглицеридов) и инсулинорезистентности. Задачей заявляемого изобретения является получение композиции, способной корректировать уровень усвояемости пищевых веществ липидной природы без применения каких-либо специальных диетических мероприятий. Кроме этого, средство должно улучшать липидный спектр крови, защищать печень от жировой инфильтрации, способствовать снижению массы тела, увеличивать антиоксидантную защиту организма, корректно влиять на иммунную и гормональную системы человека. Эти эффекты обусловлены действием биологически активных веществ (БАВ), таких как витамины, янтарная кислота, пищевые волокна (хитозан), антиоксиданты (аскорбиновая кислота, флавоноиды, полиоксинафтохиноны и др.), микроэлементы (трехвалентный хром). Для решения поставленной задачи предложена группа изобретений, объединенных общим изобретательским замыслом. Предложена композиция для корректировки уровня усвояемости организмом пищевых веществ липидной природы, содержащая комплекс, включающий эквимолекулярную водорастворимую соль хитозана с аскорбиновой, янтарной и липоевой кислотами, вещества полиоксинафтохиноновой природы из морских иглокожих (Echinodermata), полиоксифенольные соединения из гребней винограда и ионов трехвалентного хрома формулы и вспомогательные вещества. В качестве вспомогательного вещества композиция содержит подсластитель – фруктозу, содержание которой в конечном продукте составляет от 30% до 80%. Содержание веществ полиоксинафтохиноновой природы в конечном продукте составляет не менее 0,1 мг/мл. Композиция содержит ионы трехвалентного хрома в количестве, не превышающем при разовом потреблении суточную потребность (50 мкг/сутки). Композиция может быть выполнена в форме раствора, сиропа, геля, пасты, таблетки, порошка, аэрозоля. Композиция улучшает липидный спектр крови, защищает печень от жировой инфильтрации, способствует снижению массы тела, обеспечивает антиоксидантную защиту организма. Композиция может быть использована как лечебно-профилактическая при ожирении 1 и 2 степени, атеросклерозе, коронарной болезни сердца, при проявлениях «метаболического синдрома», жировой инфильтрации печени и жировом гепатозе. Предложен также способ получения композиции для корректировки уровня усвояемости организмом пищевых веществ липидной природы, заключающийся в том, что поликатионный полисахарид хитозан смешивают с водным раствором аскорбиновой и янтарной кислот, смесь выдерживают при перемешивании до растворения хитозана, к полученному гомогенному раствору добавляют водно-спиртовой экстракт иглокожих, содержащий полиоксинафтохиноны и липоевую кислоту, к полученной смеси добавляют экстракт гребней винограда, содержащий полиоксифенольные соединения, подсластитель и водный раствор трехвалентного хрома. Способ обеспечивает получение композиции, содержащей в конечной концентрации хитозана от 1% до 5%, веществ полиоксинафтохиноновой природы не менее 0,1 мг/мл, ионов трехвалентного хрома в количестве, не превышающем при разовом потреблении суточную потребность (50 мкг/сутки), и фруктозы от 30% до 80%. Хитозан с водным раствором аскорбиновой и янтарной кислот смешивают при температуре от 15° до 50°С. Смесь хитозана с водным раствором аскорбиновой и янтарной кислот выдерживают в течение 10-36 часов. Известно, что такой поликатионный полисахарид как хитозан, состоящий из остатков Где: Ascorb – остатки аскорбиновой кислоты Suc – остатки янтарной кислоты Lip – остаток липоевой кислоты Введение в готовый водорастворимый хитозаново-витаминный комплекс полиоксифенольных соединений из гребней винограда (рутин, кверцетин и др.) и полигидроксинафтохинонов из некоторых видов пищевых морских иглокожих (Echinodermata) приводило к формированию нового комплексного соединения, содержащего антиоксидантные полиоксинафтохиноны Наличие в комплексе таких центров как СООН-группы янтарной кислоты, SH-группы липоевой кислоты, ОН-группы и COO-группы фенольных комплексов и способность самого хитозана комплексировать ионы металлов было использовано для закрепления в полученном комплексе микроколичеств Cr (3+) как одного из ключевых микроэлементов, влияющих на липидный и углеводный метаболизм. Таким образом, заявляемая композиция представляет собой сиропообразную эквимолекулярную водорастворимую соль хитозана с органическими кислотами (аскорбиновая, янтарная, липоевая кислоты), комплекс полиоксифенольных соединений с карбоксильными группировками, а также дозированное микроколичество ионов хрома (3+): Удерживание полимером – хитозаном за счет множества ионных связей введенных антиоксидантных и витаминных компонентов, а также микроколичеств хрома (3+), способствовало их пролонгированному поступлению в организм при прохождении в желудочно-кишечном тракте, что очень важно для метаболизации этих соединений. Хитозан, обменивая биологически активные соединения на липидные молекулы (жирные кислоты, желчные кислоты, холестерин) в ЖКТ, выводит из организма жироподобные вещества и способствует тем самым нормализации липидного спектра крови и снижению массы тела. Изобретение иллюстрируется следующими примерами: Пример 1. 120 г порошка хитозана пищевого засыпают по частям при интенсивном перемешивании при температуре 18-24°С в 3 л водного раствора, содержащего полностью растворимые 75 г аскорбиновой и 21 г янтарной кислот. Смесь оставляют набухать и растворяться при интенсивном перемешивании в течение 12-15 часов. Если в смеси сохранятся не растворившиеся комки хитозана, то смесь подвергают гомогенизации высокооборотным миксером. К полученному гомогенному вязкому раствору хитозана при интенсивном перемешивании добавляют 400 мл водно-спиртового экстракта иглокожих, содержащего суммарное количество полигидроксинафтохинонов в количестве 400 мг и 20 мл спиртового раствора, содержащего 180 мг липоевой кислоты. Полученная смесь окрашивается в темно-красный цвет. К полученному раствору добавляют в дальнейшем 0,6 л раствора, содержащего 40 г экстракта гребней винограда. Для получения сиропообразного продукта и улучшения органолептических свойств композиции в готовую смесь при постоянном перемешивании засыпают 2 кг фруктозы и добиваются ее полного растворения. К полученному сиропообразному продукту при интенсивном перемешивании по каплям добавляют 5 мл водного раствора, содержащего 135 мг CrCl3×6Н2O, что позволяет обогатить композицию необходимым для организма человека суточным количеством ионов хрома. Пример 2. 120 г порошка хитозана заливают 3 л водного раствора, содержащего 50 г аскорбиновой кислоты и 35 г янтарной кислоты. Смесь перемешивают и полноту растворения хитозана осуществляют гомогенизацией смеси высокоскоростным миксером при температуре 20-50°С. После растворения хитозана смесь охлаждают до 20°С и добавляют к ней водно-спиртовой экстракт иглокожих (400 мл), содержащий 400 мг полигидроксинафтохинонов и 180 г липоевой кислоты. Смесь перемешивают и добавляют к ней 0,6 л водного раствора, содержащего 40 г экстракта гребней винограда и 135 мг CrCl3×6Н2О. Для получения сиропообразной композиции к полученному раствору добавляют 2 кг фруктозы при температуре 20-25°С и интенсивным перемешиванием добиваются полного растворения взятого углевода. Полученная композиция условно названа «КПП-21». Результаты клинических испытаний. Было обследовано 50 волонтеров, мужчин в возрасте от 35 до 55 лет, имеющих I и II степень ожирения, нарушения липидного профиля крови: увеличенное содержание атерогенных факторов атеросклероза, таких как общий холестерин (ОХ), триглицериды (ТГ), холестерин липопротеинов низкой плотности (Х-ЛПНП), холестерин липопротеинов очень низкой плотности (Х-ЛПОНП), сниженное антиатерогенных – холестерина липопротеинов высокой плотности (Х-ЛПВП). У всех обследованных расчетный коэффициент атерогенности составил в среднем – 4,76. Приведенные предпосылки послужили основанием для определения критериев отбора в группу волонтеров для проведения клинических испытаний. Критерии включения в основную группу: – Ожирение 1 и 2 степени, индекс массы тела – 25-39,9 кг на кв.м – Возраст от 30 до 50 и старше 50 лет – Пол – мужской – Артериальное давление: 120-80 и 140-90 – ЭКГ: синусовый ритм, ЧСС=60-90 ударов в мин. – Биохимические показатели крови: Общий холестерин: 0:5,17-ммоль/л (200-240 мг/дл) и больше. Триглицериды: 1,71-2,27 ммоль/л (150-199 мг/дл) и больше. ХС ЛПНП: 3,34-412 ммоль/л (130-159 мг/дл) и больше. ХС ЛПВП: менее 1,04 ммоль/л (40 мг/дл). Глюкоза 3,3-6,1 ммоль/л (110 мг/дл) 6,1-7,0 ммоль/л. – Отсутствие обострений хронических заболеваний в период исследования. Дозы и продолжительность приема: Пациенты получали композицию в качестве элемента дополнительного питания. Суточная доза принималась пациентами внутрь двукратно по чайной ложке (5 мл) за полчаса до еды (обед, ужин) и содержала следующие ингредиенты:
Продолжительность курса составила 30 дней, количество принимаемого препарата – 300 мл. Регрессия лабораторных показателей липидного профиля сыворотки крови после 30-дневного приема КПП-21 (II) в сравнении с исходными данными (I) представлена в таблице 1.
Изменение количества ХС-ЛПВП статистически не подтверждено, но имело явную тенденцию к повышению.
При применении перечисленных медикаментозных препаратов нередко наблюдаются побочные эффекты. При приеме никотиновой кислоты – нарушения функции печени, боли в желудке, гипергликемия, повышение уровня мочевой кислоты, зуд кожи; пробукола – опасность возникновения аритмий; фибратов – поражение мышц, усиление камнеобразования в желчных путях, ухудшение функции печени, статинов – миопатия, рабдомиолиз и сопутствующая ему острая почечная недостаточность. При приеме КПП-21 был выявлен один случай побочного действия – появление болей в желудке, в связи с которыми пациент прекратил прием препарата.
Как показали проведенные исследования, при сочетанном применении КПП-21 и статинов значительно возрастает целевой эффект. В группу клинических исследований вошло 3 человека мужского пола, в возрасте 50-60 лет с верифицированным диагнозом, включающим атеросклероз, осложненный ИБС или нестабильной стенокардией, перенесенным инфарктом миокарда. Пациенты в течение нескольких месяцев (от 2 до 4) принимали статины. Успехи, полученные при введении статинов, существенно снижающих уровень Х-ЛПНП (аторвастатина, в частности) расширили круг доказательств целесообразности, по мнению американских ученых, более агрессивного, чем рекомендуется в настоящее время, снижения этого атерогенного фактора. Однако, д-р Bertram Pitt (Медицинский научный центр Мичиганского Университета, Ann Arbor) сомневается в том, что полученных данных достаточно для изменения существующих рекомендаций. Число смертей от ИБС на фоне приема 80 мг/сут аторвастатина было на 26 меньше, однако число смертей от не сердечно-сосудистых причин оказалось больше на 31 в наблюдаемой выборке. Поэтому, считает доктор Bertram Pitt, прежде, чем снижать целевые уровни Х-ЛПНП, необходимы новые более убедительные доказательства безопасности подобного подхода. Возможно, показанный нами эффект сочетанного применения статинов с КПП-21 или подобными не медикаментозными корректорами позволит получить оптимальный вариант снижения влияния атерогенных факторов на организм. Исследование комплексного лечебно-профилактического продукта КПП-21, кроме гиполипидемического действия, выявило гепатопротекторный эффект, который выражался в нормализации ферментов АЛТ и ACT при повышенном их уровне в крови. Так, при среднем исходном значении АЛТ 90,2+7,63 Ед/л a ACT – 58,4±5,9 Ед/л получены данные 56,9±5,9 Ед/л и 38,6±4,6 Ед/л соответственно. При уровне этих показателей в границах референтного предела снижение составляло 2-5 ммоль/л от верхней границы нормы. Кроме этого, отмечено снижение уровня билирубина и увеличение – альбумина (табл.4).
Эти данные свидетельствуют об инициации метаболической функции печени, в частности синтетической (увеличение альбумина), выделительной (уменьшение билирубина, мочевой кислоты), улучшении структурно-функциональных свойств мембран гепатоцитов вследствие сокращения объема ПОЛ (табл.6) и уменьшения жировых отложений. Интересным представляется снижение мочевой кислоты, уровень которой у большинства пациентов оказался или повышенным, или находился на верхней границе референтного предела. Прием КПП-21 значительно снизил содержание в крови мочевой кислоты. Концентрация мочевой кислоты, согласно литературным данным, достоверно коррелируют с выраженностью абдоминального ожирения, триглицеридемией, частотой развития гипертрофии левого желудочка у больных с артериальной гипертонией при метаболическом синдроме. Обязательным патогенетическим фактором развития «метаболического синдрома» является также формирование на фоне ожирения инсулинорезистентности и увеличение уровня глюкозы в крови с последующим развитием сахарного диабета. Достоверное снижение количества глюкозы в крови под влиянием КПП-21 при ожирении 1 и 2 степени можно рассматривать с позиции профилактики указанных осложнений. Благоприятное действие КПП-21 на печень животных (крыс) с явлениями жировой инфильтрации показано нами, предварительно, в модельном эксперименте (табл.5). По морфологическим и биохимическим данным сравнивали состояние печени у 3 групп животных. 1. Интактная. Животные этой группы получали общевиварийный рацион. 2. Модельная. Животные этой группы получали в течение месяца рацион, обогащенный жиром (маргарин) и холестерином. 3. Экспериментальная. На фоне обогащенного жирами и холестерином рациона животные этой группы получали КПП-21.
Значительное увеличение гепатоцитов у животных модельной группы обусловлено липидными включениями в виде гранул и мелких капель. В группе животных, получавших на фоне жирового рациона КПП-21, гистологическая картина полностью соответствует состоянию органа у интактных животных. Повышение активности ферментов (АЛТ и ACT) связано с выходом их из гепатоцитов вследствие усиления свободно-радикального окисления, ПОЛ и нарушения проницаемости клеточных мембран. Связь ожирения с увеличением объема ПОЛ в настоящее время показана в ряде работ. Нами изучено влияние КПП-21 на процессы перекисного окисления липидов и состояние клеточных мембран на примере резистентности эритроцитов. Изучаемый комплексный пищевой продукт, содержащий набор антиоксидантных ингредиентов оказал подавляющее влияние на основные стадии развития процесса ПОЛ (табл.6.).
При потреблении «продукта» пациентами количество интактных изолированных двойных связей жирных кислот (Е220) во фракции нейтральных липидов крови (гептановая фаза) возрастает в среднем на 25% (р<0,05), а содержание циркулирующих продуктов ПОЛ не увеличивается. Во фракции полярных липидов крови (изопропанольная фракция) при сохранении исходного количества интактных двойных связей достоверно снижается содержание как первичных (Е232, диеновые конъюгаты гидроперекисей), так и вторичных (Е278, кетодиены, сопряженные триены) интермедиатов ПОЛ. Антиоксидантное действие «препарата» отражается и в достоверном снижении индексов Е232/220 и Е278/220, отражающих отношение циркулирующих продуктов ПОЛ к интактным двойным связям жирных кислот липидов. Полученные данные о благоприятном влиянии на объем ПОЛ изучаемого «продукта» и коррекции мембранно-деструктивных изменений подтверждены нормализацией у пациентов показателя резистентности эритроцитов. Минимальный показатель осмотической резистентности эритроцитов изменился от 0,49 (% NaCl в растворе) у пациентов по исходным данным до 0,45%, величины соответствующей норме (0,46). Максимальный показатель осмотической резистентности эритроцитов практически не изменился. Таким образом, экспериментальные и клинические исследования созданного новым способом комплексного пищевого продукта показали его выраженную биологическую активность, направленную на уменьшение веса и размера жировой складки в области живота, снижение влияния атерогенных и увеличение влияния антиатерогенных факторов развития атеросклероза, гепатопротекторное и мембранопротекторное действие. В связи с указанными эффектами данный комплексный пищевой продукт можно рекомендовать как лечебно-профилактическое средство при ожирении 1 и 2 степени, атеросклерозе, коронарной болезни сердца, «метаболическом синдроме», жировой инфильтрации печени и жировом гепатозе.
Формула изобретения
1. Композиция для корректировки уровня усвояемости организмом пищевых веществ липидной природы, характеризующаяся тем, что она содержит комплекс, включающий эквимолекулярную водорастворимую соль хитозана с аскорбиновой, янтарной и липоевой кислотами, вещества полиоксинафтохиноновой природы из морских иглокожих (Echinodermata), полиоксифенольные соединения из гребней винограда и ионов трехвалентного хрома формулы и вспомогательные вещества. 2. Композиция по п.1, где в качестве вспомогательного вещества содержит подсластитель – фруктозу, содержание которой в конечном продукте составляет от 30 до 80%. 3. Композиция по п.1, где содержание веществ полиоксинафтохиноновой природы в конечном продукте составляет не менее 0,1 мг/мл. 4. Композиция по п.1, которая содержит ионы трехвалентного хрома в количестве, не превышающем при разовом потреблении суточную потребность (50 мкг/сут). 5. Композиция по п.1, которая выполнена в форме раствора, сиропа, геля, пасты, таблетки, порошка, аэрозоля. 6. Композиция по п.1, которая улучшает липидный спектр крови, защищает печень от жировой инфильтрации, способствует снижению массы тела, обеспечивает антиоксидантную защиту организма. 7. Композиция по п.6, которая может быть использована как лечебно-профилактическая при ожирении 1 и 2 степени атеросклероза, коронарной болезни сердца, жировой инфильтрации печени и жировом гепатозе и при проявлениях “метаболического синдрома”. 8. Способ получения композиции для корректировки уровня усвояемости организмом пищевых веществ липидной природы, характеризующийся тем, что поликатионный полисахарид хитозан смешивают с водным раствором аскорбиновой и янтарной кислот, смесь выдерживают при перемешивании до растворения хитозана, к полученному гомогенному раствору добавляют водно-спиртовой экстракт иглокожих, содержащий полиоксинафтохиноны и липоевую кислоту, к полученной смеси добавляют экстракт гребней винограда, содержащий полиоксифенольные соединения, подсластитель и водный раствор трехвалентного хрома. 9. Способ по п.8, который обеспечивает получение композиции, содержащей в конечной концентрации хитозана от 1 до 5%, веществ полиоксинафтохиноновой природы не менее 0,1 мг/мл, ионов трехвалентного хрома в количестве не превышающем при разовом потреблении суточную потребность (50 мкг/сут) и фруктозы от 30 до 80%. 10. Способ по п.8, где хитозан с водным раствором аскорбиновой и янтарной кислот смешивают при температуре от 15 до 50°С. 11. Способ по п.8, где смесь хитозана с водным раствором аскорбиновой и янтарной кислот выдерживают в течение 10-36 ч.
|
|||||||||||||||||||||||||||||||||||||||||||||||||||||||||||||||||||||||||||||||||||||||||||||||||||||||||||||||||||||||||||||||||||||||||||||||||||||||||||||||||||||||||||||||||||||||||||||||||||||||||||||||||||||||||||||||||||||||||||||||||||||||||||||||||||||||||||||||||||||||||||||||||||||||||||||||||||||||||||||||||||||||||||||||||||||||||||||||||||||||||||||||||||||||||||||||||||||||||||||||||||||||||||||||||


-Д-глюкозамина и выделяемый, в основном, из панцирей морских ракообразных, используется в качестве дополнительного источника пищевых волокон. Эссенциальный микроэлемент хром (3+) способен усиливать действие инсулина во всех метаболических процессах, регулируемых этим гормоном и оказывать позитивное влияние на липидный обмен. Поэтому для создания композиционного пищевого продукта была выбрана стратегия получения не просто сухой смеси дозированного количества каждого отдельного ингредиента, а получение водорастворимого комплекса хитозана, содержащего эквивалентные количества взятых витаминов – кислот, образующих ионные пары с аминогруппами хитозана. Образование множества ионных пар способствовало прочному удерживанию витаминов хитозаном и созданию пролонгированного их освобождения в желудочно-кишечном тракте человека под воздействием секретируемой соляной кислоты. Схема конструирования водорастворимого комплекса хитозана с витаминами-кислотами представлена ниже



