|
|
(21), (22) Заявка: 2005120508/14, 28.06.2005
(24) Дата начала отсчета срока действия патента:
28.06.2005
(46) Опубликовано: 27.12.2006
(56) Список документов, цитированных в отчете о поиске:
ОРЕХОВА Л.Ю. и др. Оценка эффективности применения новых средств гигиены серии Sensodyne при воспалительных заболеваниях пародонта. Пародонтология. 2004, №3. RU 2026036 C1, 09.01.1995. RU 2174230 C1, 27.09.2001.
Адрес для переписки:
197022, Санкт-Петербург, фил.1, ул. Л. Толстого, 6/8, ГОУ ВПО СПбГМУ им. И.П. Павлова Росздрава, патентный отдел
|
(72) Автор(ы):
Орехова Людмила Юрьевна (RU), Осипова Марина Васильевна (RU), Прохорова Ольга Викторовна (RU)
(73) Патентообладатель(и):
Орехова Людмила Юрьевна (RU), Осипова Марина Васильевна (RU), Прохорова Ольга Викторовна (RU)
|
(54) СПОСОБ ОЦЕНКИ ЭФФЕКТИВНОСТИ ПРОВЕДЕНИЯ ПЕРИОДИЧЕСКИ ПОВТОРЯЕМЫХ ЛЕЧЕБНО-ПРОФИЛАКТИЧЕСКИХ МЕРОПРИЯТИЙ ПРИ ВОСПАЛИТЕЛЬНЫХ ЗАБОЛЕВАНИЯХ ПАРОДОНТА У ГРУППЫ НАСЕЛЕНИЯ
(57) Реферат:
Изобретение относится к медицине, а именно к стоматологии, и может быть использовано для оценки эффективности проведения периодически повторяемых лечебно-профилактических мероприятий при воспалительных заболеваниях пародонта у группы населения. Диагностику состояний пародонта осуществляют до и после проведения мероприятий в первом периоде их повторения. Дополнительно по данным диагностики до начала мероприятий определяют интенсивности переходов пародонта из состояния в состояние как обратные величины интервалов между соседними средними возрастами, свойственными соответствующим нозологическим формам пародонта, а после проведения мероприятий в первом периоде – как отношения числа пациентов с состояниями пародонта без воспаления к числу пациентов с воспалением до проведения мероприятий, умноженному на период повторения, и оценивают эффективность мероприятий с применением математического аппарата марковских процессов как математическое ожидание относительного числа пациентов с состояниями пародонта без воспаления, считая, что чем выше математическое ожидание, тем выше эффективность мероприятий. Способ позволяет снизить временные и материальные затраты. 4 ил., 3 табл.
Изобретение относится к медицине, а именно к стоматологии, и может быть использовано для оценки эффективности проведения периодически повторяемых лечебно – профилактических мероприятий при воспалительных заболеваниях пародонта (ВЗП) у группы населения.
Среди актуальных научно-практических задач в области профилактики и лечения при ВЗП особое место занимает обоснование целесообразных рекомендаций по применению средств гигиены. Решение этой задачи предусматривает наличие соответствующих способов оценки их эффективности.
В настоящее время отсутствуют способы оценки эффективности проведения периодически повторяемых лечебно-профилактических мероприятий при ВЗП у группы населения, опирающиеся на математическую модель ВЗП в пространстве состояний, позволяющую учитывать во времени влияние факторов риска и проводимых лечебно-профилактических мероприятий на показатели здоровья полости рта, так как такая модель не разработана.
Известен способ оценки эффективности проведения периодически повторяемых лечебно-профилактических мероприятий при ВЗП у группы населения, включающий диагностику состояний пародонта до и в течение проведения мероприятий в каждом периоде их повторения. Многократную оценку результатов необходимо проводить с заданным периодом повторения в течение продолжительного времени для определения влияния факторов риска и проводимых лечебно-профилактических мероприятий на показатели здоровья полости рта (Пародонтология – 2004 – №2 – с.96-102, Пародонтология – 2004 – N 3 (32) – С.10-13). Способ является наиболее близким решением к изобретению и может быть принят за прототип.
Недостаток данного способа состоит в том, что его осуществление требует значительных материальных и временных ресурсов из-за многократных повторений исследований.
Задачей изобретения является снижение временных и материальных затрат за счет определения влияния факторов риска по возрастным изменениям состояний пародонта до проведения мероприятий и оценке их эффективности по результатам первого периода проведения мероприятий в течение времени, достаточного для наступления насыщения лечебно-профилактического воздействия на пародонт.
Поставленная задача решается тем, что в известном способе оценки эффективности проведения периодически повторяемых лечебно-профилактических мероприятий при ВЗП у группы населения путем диагностики состояний пародонта до проведения мероприятий и в течение их проведения с учетом периода повторения мероприятий, согласно изобретению диагностику состояний пародонта осуществляют до и после проведения мероприятий в первом периоде их повторения, причем дополнительно по данным диагностики до начала мероприятий определяют интенсивности переходов пародонта из состояния в состояние как обратные величины интервалов между соседними средними возрастами, свойственными соответствующим нозологическим формам пародонта, а после проведения мероприятий в первом периоде – как отношения числа пациентов с состояниями пародонта без воспаления к числу пациентов с воспалением до проведения мероприятий, умноженному на период повторения, и оценивают эффективность мероприятий с применением математического аппарата марковских процессов как математическое ожидание относительного числа пациентов с состояниями пародонта без воспаления, считая, что чем выше математическое ожидание, тем выше эффективность мероприятий.
Исследования показали, что процессу развития ВЗП у группы населения с учетом положений предельной теоремы для суммарного потока характерны все признаки марковского процесса (Венцель E.C., Овчаров Л.А. Теория случайных процессов и ее инженерные приложения. – М.: Наука, 1991, с.79, 128, 129). Авторы изобретения предлагают математическую модель патогенеза ВЗП для оценки вероятностей переходов пародонта в состояния отсутствия воспалительных симптомов в зависимости от интенсивностей переходов пародонта из состояния в состояние до и после проведения мероприятий, с использованием средних возрастов группы населения, свойственных нозологическим формам пародонта, что является новым существенным признаком изобретения. Новым существенным признаком является также проведение мероприятий только в первом периоде, то есть однократное проведение мероприятий в течение времени, достаточного для наступления насыщения лечебно-профилактического воздействия на пародонт. Предложенной математической модели характерен граф состояний марковского процесса, представленный на фиг.1. Вершинам этого графа соответствуют следующие основные нозологические формы пародонта: 1 – интактный пародонт (ИП); 2 – хронический генерализованный катаральный гингивит (ХГКГ); 4, 6, 8 – хронический генерализованный пародонтит (ХГП), соответственно, легкой (ХГП ЛС), средней (ХГП СС), тяжелой (ХГП ТС) степеней в стадии обострения и 3, 5, 7 – в стадии ремиссии; 9 – потеря зубов. Дугам графа поставлены в соответствие интенсивности переходов из состояния в состояние:
1– 8 – интенсивности переходов пародонта из интактного пародонта или состояния ремиссии в состояние воспаления или обострения (до проведения мероприятий);
1– 4 – интенсивности переходов пародонта из стадии обострения или воспаления в стадию ремиссии или интактного пародонта (после проведения мероприятий).
Сущность изобретения поясняется чертежами на фиг.1-4.
На фиг.1 представлен граф состояний марковского процесса.
На фиг.2-4 представлены характеристики эффективности периодически повторяемых лечебно-профилактических мероприятий при ВЗП у группы населения с использованием зубной пасты “Новый Жемчуг Мятная”, “Новый Жемчуг Кедровый комплекс” и зубной пасты “Parodontax-F” соответственно.
Способ осуществляют следующим образом.
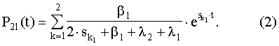
Марковскому процессу патогенеза ВЗП ставится в соответствие система линейных дифференциальных уравнений для вероятностей состояний. В качестве начальных условий для этой системы в зависимости от выделяемых пародонтологических диагнозов могут выступать следующие: это равенство одной из вероятностей нахождения процесса в момент времени t=0 единице. К начальным состояниям, в нашем случае, могут относиться 1-8 состояния. Интересующие состояния, отражающие эффективность проводимых лечебно-профилактических мероприятий, – это состояния 1 и 3, 5, 7 (интактный пародонт; хронический генерализованный пародонтит, соответственно, легкой, средней, тяжелой степени в стадии ремиссии). Для разрешения составленной системы дифференциальных уравнений относительно интересующих состояний при заданных начальных условиях применим операторный метод (Венцель Е.С., Овчаров Л.А. Теория случайных процессов и ее инженерные приложения. – М.: Наука, 1991, с.141-144). Согласно ему с помощью прямого преобразования Лапласа система дифференциальных уравнений преобразуется в систему алгебраических уравнений, которая легко разрешается относительно изображений искомых вероятностей. Путем обратного преобразования Лапласа получаем оригиналы искомых вероятностей, как функций от времени.
Учитывая это, для начальных состояний 1 и 2 получаем следующие вероятности переходов в состояние 1 в текущем времени:


Для начальных состояний 3 и 4 и конечного состояния 3 имеем:


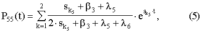
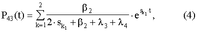
а для 5, 6 и конечного состояния 5:


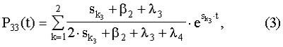
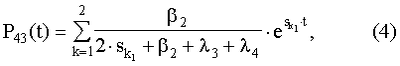
Для начальных состояний 7 и 8 и конечного состояния 7 вероятности переходов в состояние 7 в текущем времени выражаются как


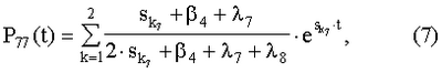
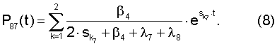
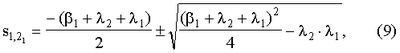
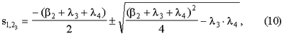
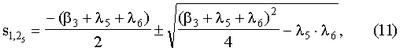
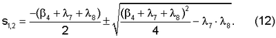
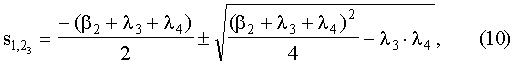
В математических выражениях (1)-(8) , , , – корни квадратных уравнений, которые определяются по формулам (9)-(12):




Для получения оценок этих вероятностей выполняют следующие действия. На основе распределения пациентов по нозологическим диагнозам до проведения мероприятий строят распределение нозологических диагнозов по возрастам. Оценивают по известным формулам средние возраста (их математические ожидания), свойственные нозологическим формам пародонта для заданной группы населения, и характерные им доверительные интервалы. По разнице этих возрастов определяют средние времена переходов пародонта из одной нозологической формы в другую без проведения мероприятий. Обратные величины этих времен являются соответствующими интенсивностями ( 1, 2, 3, 5, 7) переходов пародонта из одной нозологической формы в другую.
Значения 4, 6, 8 определяют путем наблюдения за населением или берут из клинической практики.
Для оценки 1, 2, 3, 4 проводят мероприятия в течение времени, достаточного для наступления насыщения лечебно-профилактического воздействия на пародонт. По результатам проведения мероприятий в течение этого времени определяют относительные частоты перехода хронического генерализованного пародонтита из стадий обострения в стадии ремиссии и хронического генерализованного катарального гингивита в интактный пародонт и характерные им доверительные интервалы. Эти относительные частоты находят через отношения числа пациентов с состояниями пародонта без воспаления (интактный пародонт или соответствующая ремиссия) к числу пациентов с воспалениями до проведения мероприятий. С использованием этих относительных частот (вероятностей, не являющихся функциями времени) и заданного периода повторения проведения мероприятий оценивают интенсивности 1, 2, 3, 4 путем умножения значений относительных частот на обратную величину заданного периода повторения. После определения значений всех интенсивностей, входящих в формулы (1)-(8), оценивают эффективность мероприятий как математическое ожидание относительного числа пациентов с состояниями пародонта без воспаления, считая, что чем выше математическое ожидание, тем выше эффективность мероприятий. Для вычисления математического ожидания используют следующую формулу

где:
N – число пациентов в группе населения;
R – число выделяемых нозологических форм пародонта;
nz – число пациентов с z -той нозологической формой пародонта;
Pz(t) – вероятность перехода состояния пародонта из z-той нозологической формы в нозологическую форму с отсутствующими воспалительными симптомами, включая z форму, если она такой является. Эта вероятность оценивается по формулам (1)-(8).
Способ иллюстрируется следующим примером.
Пример. Оценка эффективности проведения периодически повторяемых лечебно-профилактических мероприятий при воспалительных заболеваниях пародонта у группы населения, включающих проведение каждые 6 месяцев (период повторения) профессиональной гигиены полости рта с использованием ультразвукового скейлера и щетки с полировочной пастой Detartrin, обучение пациентов правилам и методике чистки зубов зубной щеткой и пастой, а также постоянное применение пациентами щеток “Новый Жемчуг Тотал” и одной из зубных паст:
– “Новый Жемчуг Мятная” (комплекс №1);
– “Новый Жемчуг Кедровый Комплекс” (комплекс №2);
– “Parodontax-F” (комплекс №3).
Исследования по оценке эффективности мероприятий проводились в течение одного месяца. Диагностику состояний пародонта проводили путем определения индексов зубного налета Green – Wermillion, гингивита Silness – Loe, пародонтального Russel, кровоточивости Muhlemann & Sax и ультразвуковой допплерографии.
Группу населения представляли сотрудники одного из крупных предприятий в количестве 640 человек в возрасте от 20 до 70 лет. Среди них с ИП было 12 человек, с ХГКГ – 28, с ХГП ЛС в стадии обострения – 219, а в стадии ремиссии – 56; ХГП СС в стадии обострения – 210, а в стадии ремиссии – 53; ХГП ТС в стадии обострения – 49, а в стадии ремиссии – 13. До начала проведения мероприятий было получено нормированное распределение пациентов по нозологическим диагнозам, представленное в табл.1.
| Таблица 1 |
| Возраст (лет) |
ИП |
ХГКГ |
ХГПЛС |
ХГПСС |
ХГПТС |
| 20-25 |
0,0909 |
0,27 |
0,64 |
— |
— |
| 26-30 |
0,0968 |
0,226 |
0,516 |
0,129 |
0,032 |
| 31-35 |
0,0652 |
0,087 |
0,674 |
0,174 |
— |
| 36-40 |
— |
0,05 |
0,45 |
0,475 |
0,025 |
| 41-45 |
— |
0,015 |
0,43 |
0,48 |
0,075 |
| 46-50 |
— |
— |
0,35 |
0,56 |
0,09 |
| 51-55 |
— |
— |
0,44 |
0,47 |
0,09 |
| 56-60 |
— |
— |
0,22 |
0,51 |
0,27 |
| 61-65 |
— |
— |
0,27 |
0,33 |
0,4 |
| 66-70 |
— |
— |
0,29 |
0,42 |
0,29 |
После проведения нормировки данных, приведенных в табл.1, были получены средние возраста пациентов, свойственные нозологическим формам пародонта, значения которых представлены в табл.2.
| Таблица 2 |
| Наименование показателя |
ИП |
ХГКГ |
ХГПЛС |
ХГПСС |
ХГПТС |
| Средние возраста пациентов (лет) |
27,0 |
27,2 |
40,7 |
50,5 |
53,6 |
Из табл.2 видно, что средний интервал времени между ИП и ХГКГ для заданной группы населения составляет 0,2 года (2,4 месяца), а между ХГКГ и ХГП легкой степени – 13,5 лет (162 месяца). Переход от ХГП легкой степени к средней осуществляется за 9,8 лет (117,6 месяцев) и от ней к тяжелой за 3,1 года (37,2 месяца). Интенсивности этих переходов равны обратным величинам найденных интервалов. Доверительные интервалы для оценок этих средних возрастов с вероятностью 0,9 для набранной статистики составляют от 1 до 2 лет. При этом следует заметить, что эти доверительные интервалы зависят от объема выборки и для не усеченных по возрасту групп существенно меньше разницы между средними возрастами.
Лечебно-профилактические мероприятия проводились для 250 пациентов. В результате сравнения исходных нозологических форм на момент начала их проведения и по истечении месяца (когда лечебно-профилактический эффект уже практически не увеличивался) были получены относительные частоты смены нозологических форм пародонта – переходы из состояний 2, 4, 6, 8 в состояния 1, 3, 5, 7 (табл.3).
Значения интенсивностей переходов пародонта из состояния в состояние по этим относительным частотам определялось через умножение их на интенсивность проведения комплекса, которая принималась равной 0,1667 (из расчета планируемого периода повторения – 6 месяцев). Период повторения выбран, исходя из анализа известных результатов: полагалось, что время переходов ХГП из стадии ремиссии в стадию обострения в среднем равно 6 месяцам, а интервал времени между ХГП тяжелой степени и потерей зубов – 5 лет.
| Таблица 3 |
| Виды переходов |
Относительные частоты смены нозологических форм |
| Комплекс №1 |
Комплекс №2 |
Комплекс №3 |
2 1 |
0,2 |
0,7 |
0,76 |
4 3 |
0,2 |
0,8 |
0,82 |
6 5 |
0,15 |
0,75 |
0,74 |
8 7 |
0,1 |
0,5 |
0,6 |
В табл.3: 2 1 – переход из ХГКГ в ИП; 4 3, 6 5, 8 7 – переходы, соответственно, из ХГП легкой, средней или тяжелой степени в стадии обострения в стадию ремиссии.
С использованием данных, представленных в табл.1-3, с помощью ЭВМ оценивалась эффективность Э(t) по разработанной авторами программе на Си-ориентированном языке программирования в MatLab. Полученные результаты приведены на фиг.2-4.
Сравнение результатов, полученных расчетным путем и результатов клинического обследования через 1 год, показывает, что они совпадают с точностью 94%, при этом значительно снижаются временные и материальные затраты за счет оценки эффективности мероприятий по однократному их проведению.
Формула изобретения
Способ оценки эффективности проведения периодически повторяемых лечебно-профилактических мероприятий при воспалительных заболеваниях пародонта у группы населения путем диагностики состояний пародонта до проведения мероприятий и в течение их проведения с учетом периода повторения мероприятий, отличающийся тем, что диагностику состояний пародонта осуществляют до и после проведения мероприятий в первом периоде их повторения, причем дополнительно по данным диагностики до начала мероприятий определяют интенсивности переходов пародонта из состояния в состояние как обратные величины интервалов между соседними средними возрастами, свойственными соответствующим нозологическим формам пародонта, а после проведения мероприятий в первом периоде – как отношения числа пациентов с состояниями пародонта без воспаления к числу пациентов с воспалением до проведения мероприятий, умноженному на период повторения, и оценивают эффективность мероприятий с применением математического аппарата марковских процессов как математическое ожидание относительного числа пациентов с состояниями пародонта без воспаления, считая, что чем выше математическое ожидание, тем выше эффективность мероприятий.
РИСУНКИ
|
|