Патент на изобретение №2156959
|
||||||||||||||||||||||||||
(54) СПОСОБ КАЛИБРОВКИ ГИРОСКОПИЧЕСКИХ ИЗМЕРИТЕЛЕЙ УГЛОВОЙ СКОРОСТИ
(57) Реферат: Изобретение относится к навигации. Техническим результатом является повышение точности калибровки гироскопов на этапе начальной подготовки инерциальной навигационной системы. Инерциальную курсовертикаль с жестко размещенными на ней гироскопическими измерителями угловой скорости и акселерометрами принудительно вращают относительно трех осей без использования гироскопической стабилизации. Из выходных сигналов гироскопов, акселерометров и датчиков углов формируют сигналы, пропорциональные позиционной и интегральной составляющим горизонтальных компонент кажущегося ускорения и гироскопического курса для построения контура калибровки. Определяют дрейф гироскопов, ошибки масштабных коэффициентов, ошибки асимметрии масштабных коэффициентов и перекосы осей чувствительности гироскопов при объединении их в блок. Изобретение относится к навигации и предназначено, в частности, для калибровки гироскопов инерциальных навигационных систем на этапе начальной подготовки. Наиболее близким к заявляемому способу по технической сущности и достигаемому эффекту является способ калибровки гироскопов инерциальной навигационной системы, в котором измеряется отклонение гиростабилизированной платформы от плоскости горизонта с помощью датчиков акселерометров, измеряется отклонение гиростабилизированной платформы по курсу с помощью датчика угла, на моментные датчики гироскопов подаются сигналы, пропорциональные позиционной и интегральной составляющей горизонтальных компонент кажущегося ускорения и гироскопического курса для построения контура калибровки и определяются дрейфы гироскопов [1]. Недостатком данного способа является невозможность определения мультипликативных составляющих погрешностей гироскопов, что снижает точность калибровки. Технической задачей изобретения является повышение точности калибровки гироскопов за счет применения расширенной модели погрешностей гироскопов и принудительного вращения курсовертикали относительно трех осей. Решение технической задачи или сущность изобретения заключается в том, что в способ калибровки гироскопов инерциальной навигационной системы, в котором измеряется отклонение гиростабилизированной платформы от плоскости горизонта с помощью датчиков акселерометров, измеряется отклонение гиростабилизированной платформы по курсу с помощью датчика угла, на моментные датчики гироскопов подаются сигналы, пропорциональные позиционной и интегральной составляющей горизонтальных компонент кажущегося ускорения и гироскопического курса для построения контура калибровки и определяются дрейфы гироскопов, введены новые операции, заключающиеся в том, что инерциальную курсовертикаль с жестко расположенными на ней гироскопами и акселерометрами принудительно вращают относительно трех строительных осей объекта без использования гироскопической стабилизации, измеряют абсолютные угловые скорости вращения курсовертикали с помощью гироскопов и для определения основных составляющих погрешностей гироскопов используют следующую математическую модель калибровки: ![]() ![]() ag= [ ]ag+A a1;![]() ![]() где = [ 1 2 3]T – ошибки вычисления углов ориентации; – кососимметрическая матрица, составленная из проекций угловой скорости вращения Земли на оси нормальной земной системы координат; – матрица направляющих косинусов пересчета из нормальной земной системы координат в систему координат, связанную с осями чувствительности гироскопов;![]() 1= [![]() x1![]() y1![]() z1]T – вектор погрешностей гироскопов; – вектор дрейфов гироскопов; 1, 2, 3, 4, 5, 6 – перекосы осей чувствительности гироскопов;k x1,k y1,k z1 – ошибки масштабных коэффициентов гироскопов; – ошибки асимметрии масштабных коэффициентов гироскопов; 1= [ x1 y1 z1]T – вектор абсолютной угловой скорости вращения курсовертикали; y = [ y1 y2 y3]T, z = [ z1 z2 z3]T, – векторы ошибок корректирующих сигналов y1= k1 azg, y2= k3![]() г, y3= k5 axg;k1, k3, k5, k’ = [k2k4k6] – коэффициенты обратной связи; ag= [ axg ayg azg]T – вектор ошибок вычисления ускорения в нормальной земной системе координат;ag = [axgaygazg]T – вектор ускорений в нормальной земной системе координат; a1= [ ax1 ay1 az1]T – вектор погрешностей акселерометров;![]() г – ошибка вычисления гироскопического курса; , , – углы курса, тангажа и крена; 2, 3 – погрешности датчиков углов.
Наличие новых действий в способе калибровки гироскопов позволяет повысить точность калибровки с сохранением полной автономности указанного процесса за счет совокупности существенных отличительных признаков:1) измерения абсолютной угловой скорости с помощью гироскопических датчиков угловой скорости; 2) использования принудительного вращения инерциальной курсовертикали относительно трех строительных осей без использования гироскопической стабилизации; 3) использования математической модели погрешностей гироскопов, учитывающей ошибки масштабных коэффициентов, ошибки асимметрии масштабных коэффициентов и перекосы осей чувствительности гироскопов при объединении их в блок. Сравнение предложенного технического решения с его прототипом позволило установить соответствие его критерию “новизна”. При изучении других технических решений в данной области техники признаки, отличающие заявляемое изобретение от прототипа, не были выявлены и поэтому они обеспечивают заявленному техническому решению соответствие критерию “изобретательский уровень”. Предложенное техническое решение может быть использовано в науке и технике, что обеспечивает соответствие его критерию “промышленная применимость”. Способ заключается в следующем. Известно [2] , что для вычисления параметров ориентации курсовертикали относительно нормальной земной системы координат используется обобщенное уравнение Пуассона: ![]() – кососимметричная матрица, составленная из угловых скоростей, измеряемых гироскопами.
Для обеспечения устойчивости переходного процесса уравнение (1) может быть изменено следующим образом:![]() – кососимметричные матрицы, составленные из корректирующих сигналов обратной связи.
В качестве корректирующих сигналов выбраны следующие функции:![]() где г – гироскопический курс:axg azg – ускорения по осям нормальной земной системы координат, определяемые по формуле: ag = Aa1 (4), где a1=[ax1ay1az1]T – вектор ускорений, измеряемых акселерометрами. Коэффициенты k1, k2, k3, k4, k5 и k6 выбираются из условия устойчивости контура калибровки и минимизации ошибок оценивания погрешностей гироскопов. Сигнал гироскопического курса может быть получен следующим образом: ![]() – матрица направляющих косинусов пересчета из системы координат, связанной с осями чувствительности гироскопов в систему координат, связанную со строительными осями объекта; 1, 2, 3 – углы поворота системы координат, связанной с осями чувствительности гироскопов относительно системы координат, связанной со строительными осями объекта; – матрица направляющих косинусов пересчета из системы координат, связанной со строительными осями объекта в нормальную земную систему координат,d11, d31 – элементы матрицы D. Для получения математической модели калибровки проварьируем выражения (2): ![]() Сделаем замену переменных A = [ ]A, – кососимметричная матрица, составленная из ошибок вычисления углов ориентации.
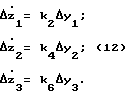
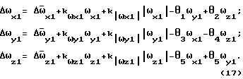
Тогда выражение (6) можно переписать следующим образом:![]() Умножим левую и правую части выражения (7) на AT справа. Тогда получим: ![]() Так как A 1= g и опорное значение z = g/ , то выражение (8) можно переписать в виде:![]() Можно показать, что [ ][ g]-[ g][ ] = -[[ g] ] С учетом этого выражение (9) примет вид:![]() или ![]() Проварьировав уравнения для z1, z2 и z3 из системы (3) и преобразовав их из интегральной формы в дифференциальную, получим: ![]() Далее проварьируем соотношения (4) и (5). После варьирования выражения (4) и несложных преобразований получим: ag= [ ]ag+A a1. (13)После варьирования выражения (5) и замены переменных: A = [ ]A, D = [ ]D, A1= A1[ ], – кососимметричная матрица, составленная из погрешностей датчиков углов;![]() здесь = +D . (14)Значения ошибок углов ориентации объекта ![]() ,![]() ,![]() связаны со значениями 1, 2, 3 следующими соотношениями [2]:![]() Подставив в первую формулу (15) значения 1, 2, 3 из (14) и после несложных преобразований, получим:![]() Систематические погрешности гироскопов можно представить в виде [3]: ![]() Для обеспечения наблюдаемости всех составляющих погрешностей гироскопов в формулах (17) необходимо осуществлять вращение курсовертикали относительно строительных осей объекта с постоянными угловыми скоростями. В этом случае проекции абсолютной угловой скорости вращения курсовертикали на оси чувствительности гироскопов будут иметь вид: ![]() где x, y, z – проекции угловой скорости вращения Земли на строительные оси объекта: – угловые скорости вращения курсовертикали относительно строительных осей объекта.
С помощью математической модели калибровки, описываемой выражениями (11), (12), (13), (16) и (17) можно построить оптимальный фильтр Калмана, который будет оценивать составляющие погрешностей гироскопов . Для обеспечения наблюдаемости всех составляющих погрешностей гироскопических измерителей угловой скорости оптимальным фильтром в качестве наблюдений необходимо выбрать ошибки корректирующих сигналов z1, z2 z3.
Источники информации1. Авиационные приборы и навигационные системы / Под ред. О.А. Бабича.- М.: Издание ВВИА им. проф. Н.Е. Жуковского, 1981.- стр. 525-529. (прототип) 2. Бромберг П. В. Теория инерциальных систем навигации. – М.: Наука, 1979. – 296 с. 3. Иванов М. Н., Лебеденко О.С., Сельвесюк Н.И., Шепеть И.П. Математическая модель возмущений инерциальной навигационной системы с автокомпенсацией погрешностей. М. : ЦВНИИ МО РФ, 1997. – Деп. В ЦСИФ МО РФ. Сер. Б. Вып. N40. инв. В3307. – 11 с. Формула изобретения
![]() ![]() ag= [ ]ag+A a1;![]() ![]() где = [![]() 2 3]T – ошибки вычисления углов ориентации; – кососимметрическая матрица, составленная из проекции угловой скорости вращения Земли на оси нормальной земной системы координат; – матрица направляющих косинусов пересчета из нормальной земной системы координат в систему координат, связанную с осями чувствительности гироскопов;![]() 1= [![]() x1![]() y1![]() z1]T – вектор погрешностей гироскопов; – вектор дрейфов гироскопов; 1, 2, 3, 4, 5, 6 – перекосы осей чувствительности гироскопов;k x1,k y1,k z1 – ошибки масштабных коэффициентов гироскопов; – ошибки асимметрии масштабных коэффициентов гироскопов; 1= [ x1 y1 z1]T – вектор абсолютной угловой скорости вращения курсовертикали; y = [ y1 y2 y3]T, z = [ z1 z2 z3]T, – векторы ошибок корректирующих сигналов y1= k1 azg, y2=k3![]() г, y3=k5 axg;;k1, k3, k5, k’ = [k2, k4, k6] – коэффициенты обратной связи; ag= [ axg ayg azg]T – вектор ошибок вычисления ускорения в нормальной земной системе координат;ag = [axgaygazg]T – вектор ускорения в нормальной земной системе координат; a1= [ ax1 ay1 az1]T – вектор погрешностей акселерометров;![]() г – ошибка вычисления гироскопического курса; , , – углы курса, тангажа и крена; 2, 3 – погрешности датчиков углов.
MM4A Досрочное прекращение действия патента Российской Федерации на изобретение из-за неуплаты в установленный срок пошлины за поддержание патента в силе
Дата прекращения действия патента: 02.06.2001
Номер и год публикации бюллетеня: 35-2002
Извещение опубликовано: 20.12.2002
|
||||||||||||||||||||||||||



ag= [
]ag+A

– кососимметрическая матрица, составленная из проекций угловой скорости вращения Земли на оси нормальной земной системы координат;
– матрица направляющих косинусов пересчета из нормальной земной системы координат в систему координат, связанную с осями чувствительности гироскопов;
1= [
– вектор дрейфов гироскопов;
1,
– ошибки асимметрии масштабных коэффициентов гироскопов;
г,
,
– углы курса, тангажа и крена;
2,
– кососимметричная матрица, составленная из угловых скоростей, измеряемых гироскопами.
Для обеспечения устойчивости переходного процесса уравнение (1) может быть изменено следующим образом:
– кососимметричные матрицы, составленные из корректирующих сигналов обратной связи.
В качестве корректирующих сигналов выбраны следующие функции:

– матрица направляющих косинусов пересчета из системы координат, связанной с осями чувствительности гироскопов в систему координат, связанную со строительными осями объекта;
1,
– матрица направляющих косинусов пересчета из системы координат, связанной со строительными осями объекта в нормальную земную систему координат,
– кососимметричная матрица, составленная из ошибок вычисления углов ориентации.
Тогда выражение (6) можно переписать следующим образом:





]D,
– кососимметричная матрица, составленная из погрешностей датчиков углов;




x,
– угловые скорости вращения курсовертикали относительно строительных осей объекта.
С помощью математической модели калибровки, описываемой выражениями (11), (12), (13), (16) и (17) можно построить оптимальный фильтр Калмана, который будет оценивать составляющие погрешностей гироскопов
. Для обеспечения наблюдаемости всех составляющих погрешностей гироскопических измерителей угловой скорости оптимальным фильтром в качестве наблюдений необходимо выбрать ошибки корректирующих сигналов 



– кососимметрическая матрица, составленная из проекции угловой скорости вращения Земли на оси нормальной земной системы координат;
– матрица направляющих косинусов пересчета из нормальной земной системы координат в систему координат, связанную с осями чувствительности гироскопов;
– вектор дрейфов гироскопов;
– ошибки асимметрии масштабных коэффициентов гироскопов;