|
(21), (22) Заявка: 2004107061/09, 09.03.2004
(24) Дата начала отсчета срока действия патента:
09.03.2004
(43) Дата публикации заявки: 20.09.2005
(46) Опубликовано: 10.12.2006
(56) Список документов, цитированных в отчете о поиске:
Fujitsu, Enhance the Beamfbming Feature of the Multiple Antenna Tx Diversity, 3GPP TSG RAN WG 1 document, TSGR1#15(00)-1065, August 22-25, 2000, Berlin, Germany. RU 2192094 C1, 27.10.2002. RU 2180986 C2, 27.03.2002. RU 2208880 C2, 20.07.2003. US 6188913 B1, 13.01.2001. ЕР 1179230 А1, 13.02.2002.
Адрес для переписки:
394711, г.Воронеж, Московский пр-кт, 97, ЗАО “Кодофон”, В.А. Фурсовой
|
(72) Автор(ы):
Гармонов Александр Васильевич (RU), Савинков Андрей Юрьевич (RU), Филин Станислав Анатольевич (RU)
(73) Патентообладатель(и):
Гармонов Александр Васильевич (RU)
|
(54) СПОСОБ ПЕРЕДАЧИ СИГНАЛА (ВАРИАНТЫ) И УСТРОЙСТВО ДЛЯ ЕГО РЕАЛИЗАЦИИ (ВАРИАНТЫ)
(57) Реферат:
Группа изобретений относится к области радиотехники, в частности к способу передачи сигнала (варианты) и устройству для его реализации (варианты), и может быть использовано, например, в системах сотовой радиосвязи при передаче информационного сигнала в прямом канале связи от базовой станции до мобильной станции. Технический результат – повышение эффективности передачи информационного сигнала в прямом канале связи и, соответственно, максимизация качества приема информационного сигнала на мобильной станции. Указанный технический результат достигается, в том числе, и за счет корректировки спектра копий передаваемого информационного сигнала, передачи копий информационного сигнала с каждой адаптивной антенной решетки в каждом эффективном направлении передачи, оценки передаточных функций каналов направленной передачи по пилот-сигналам, передаваемым с каждого антенного элемента, по пилот-сигналам для разнесенной передачи, передаваемым с каждой адаптивной антенной решетки по каждому из эффективных направлений передачи, а также объединения данных двух оценок. 5 н. и 9 з.п. ф-лы, 10 ил.
Группа изобретений относится к области радиотехники, в частности к способу передачи сигнала (варианты) и устройству для его реализации (варианты), и может быть использовано, например, в системах сотовой радиосвязи при передаче информационного сигнала в прямом канале связи от базовой станции до мобильной станции.
В настоящее время актуальной задачей является повышение емкости систем связи посредством применения эффективных способов передачи и приема сигналов. Повышение эффективности способов передачи и приема сигналов приводят к усложнению и удорожанию аппаратуры связи. В сотовых системах связи целесообразным является усложнение аппаратуры базовой станции, т.е. акцент делается на повышение эффективности приема в обратном канале (сигнала от мобильной станции к базовой станции) и эффективности передачи в прямом канале (сигнала от базовой станции к мобильной станции).
Заявляемый способ направлен на повышение эффективности передачи в прямом канале связи.
Основными факторами, ограничивающими емкость прямого канала связи, являются фединг и внутрисистемные помехи.
Наличие фединга обусловлено тем, что для сотовых систем связи в условиях городской застройки характерно непрямое многолучевое распространение сигнала.
Наличие внутрисистемных помех обусловлено тем, что при передаче сигнала от базовой станции к мобильной станции только часть передаваемой энергии поступает на приемную антенну. Остальная часть передаваемой энергии не поступает на приемную антенну, а создает помехи остальным мобильным станциям.
Поэтому эффективный способ передачи сигнала должен обеспечивать борьбу с федингом и при обеспечении заданного качества приема на мобильной станции излучать как можно меньше энергии (создавать как можно меньше помех).
Одним из эффективных методов борьбы с федингом и уменьшения внутрисистемных помех является использование разнесенной передачи.
Известно несколько основных способов разнесенной передачи.
Согласно способу ортогональной разнесенной передачи (например, “Способ ортогональной разнесенной передачи – приема сигнала в сотовой системе радиосвязи с кодовым разделением каналов” патент РФ №2145152, опубликован 27.01.2000 г., бюл. №3, МПК7 Н 04 В 7/216, “Способ разнесенной передачи сигнала и устройство для его реализации” патент РФ №2208911, опубликован 20.07.2003 г., МПК7 Н 04 В 7/00) обеспечивают передачу каждого информационного символа с каждой из разнесенных антенн, при этом организуют передачу таким образом, что последовательности символов, передаваемые с разных антенн, ортогональны друг другу, т.е. не создают друг другу помех.
Сигнал, передаваемый с каждой из антенн, подвержен федингу. Но так как фединги в сигналах, передаваемых с разных антенн, независимы, то способ ортогональной разнесенной передачи позволяет обеспечить на приемнике усреднение фединга и повысить отношение сигнал / (шум + помехи) (ОСШП).
Максимальный эффект, который может быть достигнут при использовании способа ортогональной разнесенной передачи – это ОСШП на приемнике, эквивалентное ОСШП в стационарном канале с одной передающей и одной приемной антенной.
Способ ортогональной разнесенной передачи не требует обратной связи.
Согласно способу разнесенной передачи с выбором передающей антенны (например, W.С.Jakes, Microwave mobile communications, IEEE press, 1974) с каждой из передающих антенн передают пилот-силнал, по которому на приемнике оценивают канал передачи от каждой передающей антенны до приемной антенны. На приемнике выбирают лучший по критерию максимума ОСШП канал передачи и, соответственно, передающую антенну. Номер выбранной антенны передают по сигналу обратной связи на передатчик, который использует для передачи выбранную антенну.
Достигаемый эффект ниже, чем для способа ортогональной разнесенной передачи.
Более эффективным, чем описанные ранее два способа разнесенной передачи, является способ когерентной разнесенной передачи по патенту РФ №2192094 “Способ когерентной разнесенной передачи сигнала, опубликован 27.10.2002 г., бюл. №30, МПК7 Н 04 В 7/005.
Согласно способу когерентной разнесенной передачи сигнал каждого пользователя передают с N разнесенных антенн.
Копии информационного сигнала распространяются через N разных каналов распространения и образуют на приемной антенне суммарный информационный сигнал.
Для того чтобы обеспечить на входе приемника близкое к оптимальному сложение копий информационного сигнала, прошедших по различным каналам распространения, на передающей стороне требуется иметь оценки указанных каналов распространения.
Поэтому, с каждой из N разнесенных антенн передают ортогональные или квазиортогональные друг другу пилот-сигналы, по которым и осуществляют оценку каналов распространения.
Оценка каналов распространения осуществляется на приемной стороне, а затем передается на передатчик по каналу обратной связи.
При прохождении канала распространения каждая копия информационного сигнала подвергается в общем случае частотно селективному федингу.
Поэтому, перед передачей в сигнал пользователя, передаваемый с каждой из N разнесенных антенн, вносят частотно селективные предыскажения таким образом, чтобы максимизировать качество приема.
Информационный сигнал принимается на фоне аддитивной помехи, представляющей собой сумму шума и внутрисистемных помех, которую можно считать белым шумом.
Поэтому максимизация качества приема эквивалентна максимизации ОСШП.
Спектральную плотность эквивалентного видеочастотного принимаемого информационного сигнала на интервале передачи одного информационного символа можно представить в виде

где
– X(f) – спектральная плотность принимаемого информационного сигнала,
– S(f) – спектральная плотность передаваемого информационного сигнала,
– Gn(f) – передаточная функция n-го канала распространения,
– Tn(f) – передаточная функция n-го канала предискажений передаваемого сигнала, причем – суммарная передаваемая энергия сигнала пользователя на интервале одного передаваемого символа ограничена значением Es.
Максимизация ОСШП в принимаемом сигнале обеспечивается при выполнении условия

где * – операция комплексного сопряжения, а T0 – постоянное число, которое выбирается из условия нормировки на Es.
Физический смысл такого выбора передаточных функций каналов предыскажений передаваемого сигнала заключается в следующем.
Фазочастотные характеристики передаточных функций каналов предискажений обеспечивают когерентное сложение спектральных плотностей информационного сигнала, переданного через различные каналы разнесения, на входе приемника. Амплитудно-частотные характеристики каналов предискажений обеспечивают излучение большей части энергии сигнала на тех частотах спектра информационного сигнала, где коэффициент передачи канала распространения больше, и меньшей части энергии сигнала – там, где коэффициент передачи канала меньше. Этим обеспечивается оптимальное использование энергии передаваемого сигнала.
В условиях многолучевости когерентное сложение копий информационного сигнала, переданных через различные каналы разнесения, обеспечивается только в одном луче. В остальных лучах копии информационного сигнала складываются некогерентно.
При приеме такого сигнала остальными лучами обычно пренебрегают. Поэтому на приемнике обычно используют согласованный фильтр (или коррелятор) и не используют RAKE приемник, что значительно упрощает аппаратную реализацию приемника.
Если пренебречь ошибками в оценке канала связи, ошибками и задержкой в канале обратной связи и ошибками квантования, то эффект, достигаемый при использовании способа когерентной разнесенной передачи, эквивалентен эффекту, достигаемому при использовании разнесенного приема с оптимальным по критерию максимизации ОСШП взвешенным суммированием принимаемых сигналов.
Это позволяет для сравнения описанных способов разнесенной передачи использовать теоретические результаты, полученные в статье Jianxia Luo, James R.Zeidler, and John G.Proakis, “Error Probability Performance for W-CDMA Systems With Multiple Transmit and Receive Antennas in Correlated Nakagami Fading Channels”, IEEE Trans. Veh. Technol., vol.51, p.1502-1516, Nov. 2002 для ортогональной разнесенной передачи и для разнесенного приема с оптимальным взвешенным суммированием принимаемых сигналов.
Кривые зависимости вероятности битовой ошибки от ОСШП в канале с Релеевским федингом и аддитивной Гауссовой помехой (сумма шума и внутриситсемных помех) от ОСШП показаны на фиг.1.
Кривая AWGN соответствует каналу без фединга с одной передающей и одной приемной антенной. Это предельно достижимая (при увеличении количества передающих антенн) кривая помехоустойчивости для ортогональной разнесенной передачи.
Кривые CTD 2Тх, 4Тх и 8Тх соответствуют когерентной разнесенной передаче в канале с федингом при 2, 4 и 8 передающих антеннах соответственно.
Таким образом, способ когерентной разнесенной передачи является наиболее эффективным из известных в настоящее время способов разнесенной передачи.
Помехоустойчивость способа когерентной разнесенной передачи растет с увеличением количества передающих антенн. Кроме того, для его эффективной работы необходимо, чтобы фединги в копиях информационного сигнала, передаваемого с разных антенн, были независимы. Это достигается разнесением передающих антенн на величину порядка 10 длин волны несущей частоты или больше.
Другим эффективным методом уменьшения внутрисистемных помех является способ передачи сигнала с использованием адаптивной антенной решетки (например, J.С.Liberti and T.S.Rappaport, Smart antennas for wireless communications: IS-95 and third generation CDMA applications, Prentice Hall, New Jersey, 1999).
Адаптивная антенная решетка представляет собой несколько антенных элементов, расположенных близко друг от друга. При передаче на каждый антенный элемент подают одинаковые копии информационного сигнала, умноженные на весовые коэффициенты. Весовые коэффициенты в общем случае комплексные и разные для разных антенных элементов.
На фиг.2 показана линейная эквидистантная антенная решетка, расположенная вдоль оси x с нулевым элементом в начале координат и расстоянием между элементами x.
Для удобства формирования диаграммы направленности адаптивной антенной решетки расстояние между двумя соседними антенными элементами x выбирают не превышающим длину волны несущей частоты.
Для простоты рассмотрения будем считать, что антенна приемника расположена приблизительно на одной высоте с адаптивной антенной решеткой, поэтому можно ограничиться анализом диаграммы направленности адаптивной антенной решетки в плоскости (x, y), т.е. рассматривать зависимость диаграммы направленности адаптивной антенной решетки только от угла .
Сигнал sTx(t), излучаемый в направлении , равен

где
– =2 / , где – длина волны несущей частоты,
– f( ) – диаграмма направленности адаптивной антенной решетки в горизонтальной плоскости.
Для формирования максимума диаграммы направленности адаптивной антенной решетки в направлении 0 нужно положить весовые коэффициенты wm равными

Тогда диаграмма направленности будет иметь вид

Обычно применяют направленные антенные элементы. Тогда, если все антенные элементы имеют одинаковые и одинаково направленные диаграммы направленности fa( ), то итоговая диаграмма направленности F( 0, ) будет равна

На фиг.3 показаны две диаграммы направленности адаптивной антенной решетки из 8 антенных элементов, расположенных на расстоянии /2 и имеющих диаграммы направленности вида

Максимумы двух показанных на фиг.3 диаграмм направленности соответствуют углам и .
При передаче с использованием адаптивной антенной решетки энергию информационного сигнала излучают только в угловой области  вокруг выбранного направления излучения 0.
Поэтому, для достижения такого же значения излучаемой энергии в направлении максимума диаграммы направленности, что и при передаче с одного антенного элемента с диаграммой направленности fа( ), необходимо излучить меньше энергии. Это существенно уменьшает внутрисистемные помехи.
Эффективность борьбы с внутрисистемными помехами линейно растет с ростом количества антенных элементов адаптивной антенной решетки.
Естественным развитием эффективных методов передачи сигнала является объединение двух описанных ранее способов – способа разнесенной передачи и способа передачи сигнала с использованием адаптивной антенной решетки.
Известен способ по Siemens, Advanced closed loop Tx diversity concept (eigenbeamformer), 3GPP TSG RAN WG 1 document, TSGR1#14(00)0853, July 4-7, 2000, Oulu, Finland, объединяющий способ разнесенной передачи с выбором передающей антенны или способ ортогональной разнесенной передачи со способом передачи сигнала с использованием адаптивной антенной решетки.
Идея данного способа основана на том факте, что обычно канал распространения от базовой станции до мобильной станции включает несколько пространственно сосредоточенных областей отражателей, отражаясь от которых сигнал попадает на мобильную станцию (фиг.4).
В данном способе предлагается на базовой станции использовать адаптивную антенную решетку из М элементов.
С каждого элемента адаптивной антенной решетки передают пилот-силнал. Все М передаваемых пилот-сигналов ортогональны или квазиортогональны друг другу.
Также, с каждого элемента адаптивной антенной решетки передают копию информационного сигнала, умноженную на свой весовой коэффициент.
Фиг.5 иллюстрирует операции упомянутого способа, который заключается в следующем.
Формируют на базовой станции М копий информационного сигнала s(t).
Умножают m-ю копию информационного сигнала, где m принимает значения от 1 до М, на соответствующий весовой коэффициент wm и суммируют с соответствующим пилот-сигналом pm(t).
Полученную сумму передают с соответствующего m-го антенного элемента.
Принимают на мобильной станции М пилот-сигналов и информационный сигнал.
В общем случае, пилот-сигналы подвержены многолучевому распространению, т.е. на мобильной станции будет несколько разрешимых временных лучей. Обозначим их количество N.
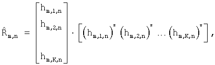
По М пилот-сигналам для каждого временного луча оценивают М коэффициентов импульсной характеристики канала распространения h1n, h2n, …, hMn, где n=1, …, N – номер временного луча.
Коэффициент импульсной характеристики hmn соответствует каналу распространения от m-го антенного элемента адаптивной антенной решетки базовой станции до антенны мобильной станции и n-му временному лучу.
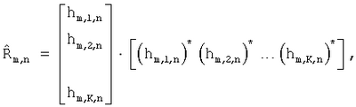
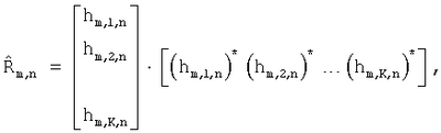
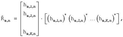
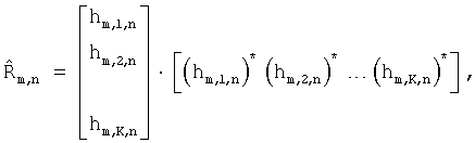
Для каждого временного луча формируют матрицу пространственной корреляции

где
– 
– – операция Эрмитова сопряжения вектора .
Формируют матрицу пространственной корреляции всех временных лучей следующим образом

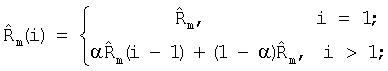
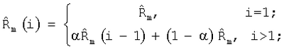
Формирование матриц и осуществляют периодически. Обозначим матрицы и , сформированные на i-м шаге, где i=1, 2, …, через и соответственно.
Формируют усредненную матрицу пространственной корреляции следующим образом


Здесь | | 1 – коэффициент усреднения.
Осуществляют разложение усредненной матрицы пространственной корреляции на собственные значения и собственные вектора

– Матрица имеет размерность [М×М].
– Матрица – матрица размерности [М×М] собственных векторов матрицы , где – собственный вектор матрицы , соответствующий m-му собственному значению матрицы .
– Матрица – матрица размерности [М×М] собственных значений матрицы , где m(i) – m-е собственное значение матрицы . Собственные значения m(i) расположены в матрице по главной диагонали, а остальные элементы матрицы равны нулю.
Собственные значения и собственные вектора усредненной матрицы пространственной корреляции обладают следующими свойствами.
Собственные вектора усредненной матрицы пространственной корреляции определяют эффективные направления передачи от базовой станции до мобильной станции. Т.е. при передаче в этих направлениях излучаемая энергия будет достигать мобильной станции.
Собственные значения усредненной матрицы пространственной корреляции определяют среднее значение энергии, которое приходит на мобильную станцию при излучении в направлении соответствующего собственного вектора.
Матрицу собственных векторов передают с базовой станции на мобильную станцию. Это можно осуществлять как на каждом шаге, так и реже, так как эффективные направления передачи меняются медленно, по сравнению, например, с частотой фединга.
Далее в данном способе предлагается два варианта.
Согласно первому варианту на каждом шаге на мобильной станции дополнительно оценивают М мощностей сигналов, которые бы принимались на мобильной станции при передаче в направлении соответствующих М собственных векторов , по формуле

Здесь индекс m указывает на одно из определенных ранее эффективных направлений передачи.
Выбирают номер mmax(i) эффективного направления передачи, соответствующих максимальной принимаемой мощности и сообщают его на базовую станцию.
На базовой станции передачу осуществляют в направлении mmax(i)-го эффективного направления передачи, т.е.

Согласно второму варианту выбирают два или более эффективных направлений передачи, соответствующих максимальным принимаемым мощностям.
Осуществляют передачу по этим направлениям, передавая каждый информационный символ по каждому из выбранных эффективных направлений передачи. При этом организуют передачу таким образом, что последовательности символов, передаваемые по разным выбранным эффективным направлениям передачи ортогональны друг другу, т.е. не создают друг другу помех.
Таким образом, согласно второму варианту объединяют способ передачи сигнала с использованием адаптивной антенной решетки и способ ортогональной разнесенной передачи.
Основным недостатком описанного способа передачи сигнала является то, что он не использует указанных выше преимуществ когерентной разнесенной передачи.
Другим недостатком данного способа является то, что он использует одну, а не несколько пространственно разнесенных адаптивных антенных решеток, что существенно уменьшает степень разнесения.
Известен способ по Fujitsu, Enhance the Beamfoming Feature of the Multiple Antenna Tx Diversity, 3GPP TSG RAN WG 1 document, TSGR1#15(00)-1065, August 22-25, 2000, Berlin, Germany, объединяющий способ когерентной разнесенной передачи со способом передачи сигнала с использованием адаптивной антенной решетки, который является способом, наиболее близким к заявляемому решению.
Рассмотрим систему сотовой связи, включающую как минимум одну базовую станцию и как минимум одну мобильную станцию.
Базовая станция передает на мобильную станцию информационный сигнал и пилот-сигналы, используемые на мобильной станции для оценки канала распространения от базовой станции до мобильной станции. Также, базовая станция может передавать другие сигналы, например информационные сигналы для других мобильных станций, или служебные сигналы.
Мобильная станция передает на базовую станцию сигнал обратной связи, используемый на базовой станции для передачи информационного сигнала для этой мобильной станции. Также, мобильная станция может передавать другие сигналы, например информационный сигнал от мобильной станции до базовой станции.
Базовая станция содержит М, где М 1, адаптивных антенных решеток, каждая из которых содержит K, где K 1 антенных элементов.
При этом, элементы одной адаптивной антенной решетки расположены близко друг от друга (меньше длины волны несущей частоты информационного сигнала), а адаптивные антенные решетки разнесены далеко друг от друга (больше 10 длин волны несущей частоты информационного сигнала).
Каждый антенный элемент образует канал передачи. Всего таких каналов передачи М·K.
Тогда каждая адаптивная антенная решетка содержит группу каналов передачи.
Базовая станция передает с каждого элемента каждой адаптивной антенной решетки пилот-сигнал. Все пилот-сигналы ортогональны или квазиортогональны друг другу.
Под ортогональностью или квазиортогональностью пилот-сигналов понимают ситуацию, когда максимальное значение функции корреляции между двумя пилот-сигналами много меньше максимального значения функции автокорреляции каждого пилот-сигнала.
Обозначим Pm,k – пилот-сигнал, передаваемый с k-го элемента m-й адаптивной антенной решетки, где , .
На мобильной станции по принимаемым пилот-сигналам оценивают импульсную характеристику каналов распространения от каждого антенного элемента каждой адаптивной антенной решетки до антенны мобильной станции.
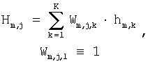
Обозначим Hm,k – оценка импульсной характеристики канала распространения от k-го элемента m-й адаптивной антенной решетки до антенны мобильной станции.
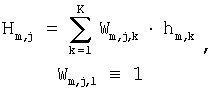
Формируют М весовых коэффициентов WDA1, WDA2, …, WDAM таким образом, чтобы максимизировать выражение

где x* – операция комплексного сопряжения величины x.
Максимизация указанного выше выражения обеспечивает при передаче копии информационного сигнала с m-й адаптивной антенной решетки с весовым коэффициентом WDAm когерентное сложение всех копий информационного сигнала на приемной антенне мобильной станции в случае плоского фединга в сигнале, передаваемом с каждой адаптивной антенной решетки.
Под плоским федингом понимают фединг, при котором на приемной антенне есть только один разрешимый временной луч принимаемого сигнала.
Для каждой адаптивной антенной решетки формируют K весовых коэффициентов WBAm,1, WBAm,2, …, WBAm,K, таким образом, чтобы максимизировать выражение

Т.е. для каждой адаптивной антенной решетки формируют вектор весовых коэффициентов WBAm,1, WBAm,2, …, WBAm,K, соответствующий эффективному направлению передачи, обеспечивающему максимальную принимаемую мощность на мобильной станции.
Следует отметить, что максимизация PD и PB может быть осуществлена, например, как указано в статье Parag A.Dighe, Ranjan К.Mallik, and Sudhanshu S.Jamuar, “Analysis of Transmit – Receive Diversity in Rayleigh Fading”, IEEE Trans. Commun., vol.51, p.694-703, Apr. 2003.
Вектор [WDA1, WDA2, …, WDAM]T может быть найден как собственный вектор матрицы [Hm,1, Hm,2, …, Hm,K]H[Hm,1, Hm,2, …, Hm,K], соответствующий максимальному собственному значению этой матрицы, где – операция Эрмитова сопряжения вектора .
Вектор [WBAm,1, WBAm,2, …, WBAm,K]T может быть найден как собственный вектор матрицы [Hm,1, Hm,2, …, Hm,K]H[Hm,1, Hm,2, …, Hm,K], соответствующий максимальному собственному значению этой матрицы.
Так как важны относительные значения весовых коэффициентов, то объем информации, передаваемой в сигнале обратной связи можно сократить.
Из вектора весовых коэффициентов разнесения [WDA1, WDA2, …, WDAM]T размерности [1×М] формируют вектор весовых коэффициентов разнесения размерности [1×(M-1)]. Фактически, это означает, что первый весовой коэффициент равен единице, и его не надо передавать.
Обозначим

Из каждого вектора весовых коэффициентов направлений передачи [WBAm,1, WBAm,2, …, WBAm,K]T размерности [1×K] формируют вектор весовых коэффициентов направлений передачи размерности [1×(K-1)]. Фактически, это означает, что весовые коэффициенты равны единице и их не надо передавать.
Будем, как и раньше, обозначать

Передают с мобильной станции на базовую станцию сформированный вектор весовых коэффициентов разнесения и М сформированных векторов весовых коэффициентов направления передачи.
Обычно частота изменения эффективных направлений передачи меньше, чем частота фединга, поэтому вектора весовых коэффициентов направления передачи надо передавать с мобильной станции на базовую станцию реже, чем вектор весовых коэффициентов разнесения.
На базовой станции формируют М·K копий информационного сигнала.
Обозначим их Sm,k.
Копию информационного сигнала Sm,k передают с k-го антенного элемента m-й адаптивной антенной решетки.
Перед передачей копию информационного сигнала Sm,k умножают на соответствующий весовой коэффициент разнесения WDm и на соответствующий весовой коэффициент направления передачи WBm,k.
Иллюстрация умножения копий информационного сигнала Sm,k на весовые коэффициенты и добавления пилот-сигналов приведена на фиг.6.
На фиг.6 для простоты не приведены аналоговые части, преобразующие цифровой сигнал в аналоговый сигнал.
Из информационного сигнала S (фиг.6) формируют М·K копий Sm,k.
Копия информационного сигнала поступает на умножитель, где умножается на весовой коэффициент разнесения WDm, после чего поступает на другой умножитель, где умножается на весовой коэффициент направления передачи WBm,k, после чего поступает на сумматор, где к ней добавляется пилот-сигнал Pm,k, после чего передается с k-го антенного элемента m-й адаптивной антенной решетки.
Таким образом, согласно описанию упомянутого известного способа передачи сигнала, можно выделить следующие основные признаки его реализации.
Формируют на базовой станции М разнесенных групп каналов передачи по K каналов передачи в каждой, где М 1, K 1.
Передают с базовой станции на мобильную станцию с каждого из М·K каналов передачи разнесенных групп пилот-сигнал.
Оценивают на мобильной станции с использованием переданных пилот-сигналов импульсные характеристики М·K каналов передачи разнесенных групп.
Формируют на мобильной станции М-1 весовых коэффициентов разнесения, используя оцененные импульсные характеристики каналов передачи.
Формируют на мобильной станции для каждой из М разнесенных групп каналов передачи K-1 весовых коэффициентов направления передачи, используя оцененные импульсные характеристики каналов передачи.
Передают с мобильной станции на базовую станцию сигнал обратной связи, содержащий М-1 весовых коэффициентов разнесения и М·(K-1) весовых коэффициентов направлений передачи.
Формируют на базовой станции М·K копий информационного сигнала.
Передают каждую копию информационного сигнала по своему каналу передачи своей разнесенной группы каналов передачи.
Перед передачей умножают каждую копию информационного сигнала на соответствующий весовой коэффициент разнесения и на соответствующий весовой коэффициент направления передачи.
При этом формируют М-1 весовых коэффициентов разнесения WD1, WD2, WD3, …, WDM в два этапа.
На первом этапе формируют М весовых коэффициентов WDA1, WDA2, …, WDAM таким образом, чтобы максимизировать выражение

где
– Hm,1 – оценка импульсной характеристики первого канала передачи m-й разнесенной группы каналов передачи, где ,
– x* – операция комплексного сопряжения величины x.
На втором этапе формируют М-1 весовых коэффициентов разнесения WD2, WD3, …, WDM по формуле

где ;
При этом формируют K-1 весовых коэффициентов направления передачи WBm,2, WBm,3, …, WBm,K m-й разнесенной группы каналов передачи, где , в два этапа.
На первом этапе формируют K весовых коэффициентов WBAm,1, WBAm,2, …, WBAm,K для m-й разнесенной группы каналов передачи таким образом, чтобы максимизировать выражение

где
– Hm,k – оценка импульсной характеристики k-го канала передачи m-й разнесенной группы каналов передачи, где , ,
– x* – операция комплексного сопряжения величины x.
На втором этапе формируют K-1 весовых коэффициентов направления передачи WBm,2, WBm,3, …, WBm,K по формуле

где , .
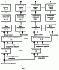
Устройство, реализующее способ-прототип, изображено на фиг.7.
Устройство передачи сигнала в соответствии с фиг.7 содержит умножители 1-1-1-М, блоки направленной передачи 2-1-2-М, блоки суммирования 3-1-1-3-М-K, аналоговые передатчики 4-1-1-4-М-K, антенные элементы 5-1-1-5-M-K; при этом первые входы умножителей 1-1-1-М являются входами информационного сигнала, вторые их входы являются входами соответствующих весовых коэффициентов разнесения, выходы умножителей 1-1-1-М соединены с первыми входами блоков направленной передачи 2-1-2-М, K вторых входов блоков направленной передачи 2-1-2-М являются входами соответствующих им весовых коэффициентов направления передачи, K выходов каждого блока направленной передачи 2-1-2-М соединены со вторыми входами соответствующих им блоков суммирования 3-1-1, …, 3-1-K-3-М-1, …, 3-М-K, первые входы которых являются входами соответствующих пилот-сигналов, выходы блоков суммирования 3-1-1-3-М-K соединены со входами соответствующих им аналоговых передатчиков 4-1-1-4-М-K, выходы которых соединены со входами соответствующих им антенных элементов 5-1-1-5-М-K, выходы которых являются выходами устройства передачи сигнала.
Блок направленной передачи 2-m, где m принимает значения от 1 до М, изображен на фиг.8.
Блок направленной передачи 2-m в соответствии с фиг.8 содержит умножители 6-m-1-6-m-K; при этом первые входы умножителей 6-m-1-6-K являются входами информационного сигнала, вторые их входы являются входами соответствующих весовых коэффициентов направления передачи, а их выходы – выходами блока направленной передачи 2-m.
Способ и устройство-прототип реализуют следующим образом (фиг.7 и 8).
Формируют на базовой станции М разнесенных групп каналов передачи по K каналов передачи в каждой, где М 1, K 1.
Каждый из М·K каналов передачи образован соответствующим аналоговым передатчиком 4-m-k и соответствующим антенным элементом 5-m-k, где m принимает значения от 1 до М, а k принимает значения от 1 до K.
Каждая из М разнесенных групп каналов передачи образована соответствующим блоком направленной передачи 2-m, соответствующими аналоговыми передатчиками 4-m-1-4-m-K и соответствующими антенными элементами 5-m-1-5-m-K.
Передают с базовой станции на мобильную станцию с каждого из М·K каналов передачи разнесенных групп пилот-сигнал.
Каждый из M·K пилот-сигналов поступает на первый вход соответствующего блока суммирования 3-m-k, с выхода которого поступает на вход соответствующего аналогового передатчика 4-m-k, с выхода которого поступает на вход соответствующего антенного элемента 5-m-k, выход которого является выходом устройства передачи сигнала.
Оценивают на мобильной станции с использованием переданных пилот-сигналов импульсные характеристики М·K каналов передачи разнесенных групп.
Формируют на мобильной станции М-1 весовых коэффициентов разнесения, используя оцененные импульсные характеристики каналов передачи.
Формируют на мобильной станции для каждой из М разнесенных групп каналов передачи K-1 весовых коэффициентов направления передачи, используя оцененные импульсные характеристики каналов передачи.
Передают с мобильной станции на базовую станцию сигнал обратной связи, содержащий М-1 весовых коэффициентов разнесения и М·(K-1) весовых коэффициентов направлений передачи.
Формируют на базовой станции М·K копий информационного сигнала.
Сначала формируют М копий информационного сигнала, которые поступают на первые входы умножителей 1-1-1-М, с выходов которых поступают на первые входы блоков направленной передачи 2-1-2-М.
В каждом из М блоков направленной передачи 2-m из поступившей на его первый вход копии информационного сигнала формируют K копий информационного сигнала. Таким образом, всего получается М·K копий информационного сигнала.
Передают каждую копию информационного сигнала по своему каналу передачи своей разнесенной группы каналов передачи. Перед передачей умножают каждую копию информационного сигнала на соответствующий весовой коэффициент разнесения и на соответствующий весовой коэффициент направления передачи.
М копий информационного сигнала поступают на первые входы умножителей 1-1-1-М, на вторые входы которых поступают соответствующие весовые коэффициенты разнесения.
Умножают в умножителях 1-1-1-М копии информационного сигнала на соответствующие весовые коэффициенты разнесения и передают их с выходов умножителей 1-1-1-М на первые входы соответствующих блоков направленной передачи 2-1-2-М.
На K вторых входов блоков направленной передачи 2-1-2-М поступают соответствующие весовые коэффициенты направления передачи.
В каждом из М блоков направленной передачи 2-m из поступившей на его первый вход копии информационного сигнала формируют K копий информационного сигнала, которые поступают на первые входы соответствующих умножителей 6-m-1-6-m-K.
На вторые входы соответствующих умножителей 6-m-1-6-m-K поступают соответствующие весовые коэффициенты направления передачи.
Умножают в умножителях 6-m-1-6-m-K копии информационного сигнала на соответствующие весовые коэффициенты направления передачи и передают их с K выходов блоков направленной передачи 2-1-2-М на вторые входы соответствующих блоков суммирования 3-1-1, …, 3-1-K-3-М-1, …, 3-М-K.
В блоках суммирования 3-1-1-3-М-K суммируют соответствующую копию информационного сигнала с соответствующим пилот-сигналом.
С выходов блоков суммирования 3-1-1-3-М-K суммы копии информационного сигнала и пилот-сигнала поступает на входы соответствующих аналоговых передатчиков 4-1-1-4-М-K, с выходов которых они поступают на входы соответствующих антенных элементов 5-1-1-5-М-K, выходы которых являются выходом устройства передачи сигнала.
Известный способ передачи сигнала и устройство для его реализации (прототип) обладают следующими существенными недостатками.
Во-первых, при наличии частотно-селективных замираний в копиях информационного сигнала, передаваемых с каждой адаптивной антенной решетки, способ и устройство-прототип не обеспечивают когерентное сложение этих копий информационного сигнала на мобильной станции. Соответственно, они не использует указанных выше преимуществ когерентной разнесенной передачи.
Во-вторых, известные способ и устройство предусматривают передачу с каждой адаптивной антенной решетки только одной копии информационного сигнала в одном направлении передачи. Вместе с тем известно, что эффективность усреднения фединга при разнесенной передаче растет с увеличением каналов разнесения. Т.е. способ и устройство-прототип не используют все доступные направления передачи, снижая тем самым эффективность усреднения фединга.
В-третьих, известные способ и устройство предусматривают использование оценок импульсных характеристик каналов передачи от каждого антенного элемента до антенны мобильной станции, полученных по пилот-сигналам, передаваемым с каждого антенного элемента, как для формирования весовых коэффициентов направления передачи, так и для формирования весовых коэффициентов разнесения. Вместе с тем, частота обновления весовых коэффициентов направления передачи существенно ниже, чем частота обновления весовых коэффициентов разнесения. Поэтому, надежность весовых коэффициентов направления передачи существенно выше, чем надежность весовых коэффициентов разнесения. Может оказаться, что надежность весовых коэффициентов разнесения будет недостаточной, что существенно снизит эффективность способа передачи сигнала и устройства для его реализации.
Задача, на решение которой направлена заявляемая группа изобретений, способ передачи сигнала (варианты) и устройство для его реализации (варианты), – это повышение эффективности передачи информационного сигнала в прямом канале связи и соответственно максимизация качества приема информационного сигнала на мобильной станции.
Поставленная задача решается тем, что в способ передачи сигнала по первому варианту, заключающийся в том, что
формируют на базовой станции М разнесенных групп каналов передачи по K каналов передачи в каждой, где М 1, K 1;
передают с базовой станции на мобильную станцию с каждого из М·K каналов передачи разнесенных групп пилот-сигнал;
оценивают на мобильной станции с использованием переданных пилот-силналов импульсные характеристики М·K каналов передачи разнесенных групп;
согласно изобретению вводят следующую последовательность действий:
формируют на мобильной станции для каждой из М разнесенных групп каналов передачи Lm наборов весовых коэффициентов направления передачи по K-1 весовых коэффициентов направления передачи в каждом наборе, где 1 Lm K, а m=1, 2, …, М, используя оцененные импульсные характеристики М·K каналов передачи разнесенных групп;
оценивают на мобильной станции для каждой из М разнесенных групп каналов передачи для каждого из Lm наборов весовых коэффициентов направления передачи передаточную функцию канала направленной передачи, соответствующего этому набору;
передают с мобильной станции на базовую станцию сигнал обратной связи, содержащий для каждой из М разнесенных групп каналов передачи Lm сформированных наборов весовых коэффициентов направления передачи, а также содержащий для каждой из М разнесенных групп каналов передачи для каждого из Lm наборов весовых коэффициентов направления передачи оцененную передаточную функцию;
формируют на базовой станции на каждой из М разнесенных групп каналов передачи Lm каналов направленной передачи с использованием переданных наборов весовых коэффициентов направления передачи;
формируют на базовой станции для каждой из М разнесенных групп каналов передачи для каждого из Lm каналов направленной передачи каналы коррекции спектра сигнала и корректируют их передаточные функции в соответствии с переданными оцененными передаточными функциями каналов направленной передачи таким образом, чтобы максимизировать качества приема информационного сигнала на мобильной станции;
формируют на базовой станции для каждой из М разнесенных групп каналов передачи для каждого из Lm каналов направленной передачи копию информационного сигнала и одновременно передают все сформированные копии информационного сигнала по соответствующим каналам направленной передачи, предварительно пропустив их через соответствующие каналы коррекции спектра сигнала.
При этом все передаваемые пилот-сигналы и информационный сигнал ортогональны или квазиортогональны между собой.
Поставленная задача решается тем, что в способ передачи сигнала по второму варианту, заключающийся в том, что
формируют на базовой станции М разнесенных групп каналов передачи по K каналов передачи в каждой, где М 1, K 1;
передают с базовой станции на мобильную станцию с каждого из М·K каналов передачи разнесенных групп пилот-силнал;
оценивают на мобильной станции с использованием переданных пилот-сигналов импульсные характеристики М·K каналов передачи разнесенных групп;
согласно изобретению вводят следующую последовательность действий:
формируют на мобильной станции для каждой из М разнесенных групп каналов передачи Lm наборов весовых коэффициентов направления передачи по K-1 весовых коэффициентов направления передачи в каждом наборе, где 1 Lm K, а m=1, 2, …, М, используя оцененные импульсные характеристики М·K каналов передачи разнесенных групп;
передают с мобильной станции на базовую станцию сигнал обратной связи, содержащий для каждой из М разнесенной группы каналов передачи Lm сформированных наборов весовых коэффициентов направления передачи;
формируют на базовой станции на каждой из М разнесенных групп каналов передачи Lm каналов направленной передачи с использованием переданных наборов весовых коэффициентов направления передачи;
передают с базовой станции на мобильную станцию с каждой из М разнесенных групп каналов передачи по каждому из Lm каналов направленной передачи пилот-сигнал для разнесенной передачи;
оценивают на мобильной станции с использованием переданных пилот-сигналов для разнесенной передачи для каждой из М разнесенных групп каналов передачи передаточные функции Lm каналов направленной передачи;
передают с мобильной станции на базовую станцию сигнал обратной связи, содержащий для каждой из М разнесенных групп каналов передачи Lm оцененных передаточных функций каналов направленной передачи;
формируют на базовой станции для каждой из М разнесенных групп каналов передачи для каждого из Lm каналов направленной передачи каналы коррекции спектра сигнала и корректируют их передаточные функции в соответствии с переданными оцененными передаточными функциями каналов направленной передачи таким образом, чтобы максимизировать качества приема информационного сигнала на мобильной станции;
формируют на базовой станции для каждой из М разнесенных групп каналов передачи для каждого из Lm каналов направленной передачи копию информационного сигнала и одновременно передают все сформированные копии информационного сигнала по соответствующим каналам направленной передачи, предварительно пропустив их через соответствующие каналы коррекции спектра сигнала.
Поставленная задача решается тем, что в способ передачи сигнала по третьему варианту, заключающийся в том, что
формируют на базовой станции М разнесенных групп каналов передачи по K каналов передачи в каждой, где М 1, K 1;
передают с базовой станции на мобильную станцию с каждого из М·K каналов передачи разнесенных групп пилот-сигнал;
оценивают на мобильной станции с использованием переданных пилот-сигналов импульсные характеристики М·K каналов передачи разнесенных групп;
согласно изобретению вводят следующую последовательность действий:
формируют на мобильной станции для каждой из М разнесенных групп каналов передачи Lm наборов весовых коэффициентов направления передачи по K-1 весовых коэффициентов направления передачи в каждом наборе, где 1 Lm K, а m=1, 2, …, М, используя оцененные импульсные характеристики М·K каналов передачи разнесенных групп;
оценивают на мобильной станции для каждой из М разнесенных групп каналов передачи для каждого из Lm наборов весовых коэффициентов направления передачи передаточную функцию канала направленной передачи, соответствующего этому набору;
передают с мобильной станции на базовую станцию сигнал обратной связи, содержащий для каждой из М разнесенной группы каналов передачи Lm сформированных наборов весовых коэффициентов направления передачи;
формируют на базовой станции на каждой из М разнесенных групп каналов передачи Lm каналов направленной передачи с использованием переданных наборов весовых коэффициентов направления передачи;
передают с базовой станции на мобильную станцию с каждой из М разнесенных групп каналов передачи по каждому из Lm каналов направленной передачи пилот-сигнал для разнесенной передачи;
оценивают на мобильной станции с использованием переданных пилот-сигналов для разнесенной передачи для каждой из М разнесенных групп каналов передачи передаточные функции Lm каналов направленной передачи;
объединяют на мобильной станции для каждой из М разнесенных групп каналов передачи оценки передаточной функции каждого из Lm каналов направленной передачи, полученные с использованием K пилот-сигналов, передаваемых с этой разнесенной группы каналов передачи, и полученные с использованием пилот-сигнала для разнесенной передачи, передаваемого с этой разнесенной группы каналов передачи;
передают с мобильной станции на базовую станцию сигнал обратной связи, содержащий для каждой из М разнесенных групп каналов передачи Lm оцененных передаточных функций каналов направленной передачи;
формируют на базовой станции для каждой из М разнесенных групп каналов передачи для каждого из Lm каналов направленной передачи каналы коррекции спектра сигнала и корректируют их передаточные функции в соответствии с переданными оцененными передаточными функциями каналов направленной передачи таким образом, чтобы максимизировать качества приема информационного сигнала на мобильной станции;
формируют на базовой станции для каждой из М разнесенных групп каналов передачи для каждого из Lm каналов направленной передачи копию информационного сигнала и одновременно передают все сформированные копии информационного сигнала по соответствующим каналам направленной передачи, предварительно пропустив их через соответствующие каналы коррекции спектра сигнала.
При этом все передаваемые пилот-сигналы, пилот-сигналы для направленной передачи и информационный сигнал ортогональны или квазиортогональны между собой.
При этом для формирования на мобильной станции для каждой из М разнесенных групп каналов передачи Lm наборов весовых коэффициентов направления передачи по K-1 весовых коэффициентов направления передачи в каждом наборе:
формируют для каждой из М разнесенных групп каналов передачи для каждого из N, где N 1, разрешимых временных лучей переданных пилот-сигналов матрицу пространственной корреляции по формуле

где
– hm,k,n – коэффициент оцененной импульсной характеристики k-го канала передачи m-й разнесенной группы, соответствующий n-му разрешимому временному лучу переданных пилот-сигналов,
– m=1, 2, …, М, k=1, 2, …, K, n=1, 2, …, N,
– x* – операция комплексного сопряжения x;
формируют для каждой из М разнесенных групп каналов передачи матрицу пространственной корреляции всех разрешимых временных лучей по формуле

формируют для каждой из М разнесенных групп каналов передачи усредненную матрицу пространственной корреляции , где i 1 – номер шага усреднения, по формуле

где 0  1 – коэффициент усреднения;
осуществляют разложение усредненной матрицы пространственной корреляции на собственные значения m,k и соответствующие им собственные вектора , где k=1, 2, …, K;
выбирают среди собственных значений m,k максимальное собственное значение m,max;
выбирают среди всех собственных значений такие собственные значения m,j, для которых выполняется условие

где 0  1, j=1, 2, …, Lm, а Lm равно количеству собственных значений m,j, для которых выполняется данное условие;
выбирают Lm собственных векторов , соответствующих Lm выбранным собственным значениям m,j;
формируют Lm наборов весовых коэффициентов направления передачи по K-1 весовых коэффициентов направления передачи в каждом наборе по формуле

где
– Wm,j,k – k-й весовой коэффициент направления передачи j-го набора весовых коэффициентов направления передачи, m-й разнесенной группы каналов передачи,
– Vm,j,k – k-й элемент j-го собственного вектора усредненной матрицы пространственной корреляции m-й разнесенной группы каналов передачи,
– m=1, 2, …, М, j=1, 2, …, k=2, 3, …, K.
При этом при оценке на мобильной станции для каждой из М разнесенных групп каналов передачи для каждого из Lm наборов весовых коэффициентов направления передачи передаточной функции этого канала направленной передачи:
формируют импульсную характеристику этого канала направленной передачи по формуле

где
– Wm,j,k – k-й весовой коэффициент направления передачи j-го набора весовых коэффициентов направления передачи, m-й разнесенной группы каналов передачи,
– m=1, 2, …, М, j=1, 2, …, Lm, k=1, 2, …, K,
– – импульсная характеристика k-го канала передачи m-й разнесенной группы каналов передачи,
– где
– hm,k,n – коэффициент оцененной импульсной характеристики k-го канала передачи m-й разнесенной группы, соответствующий n-му разрешимому временному лучу переданных пилот-сигналов,
– n – задержка n-го разрешимого временного луча переданных пилот-силналов,
– m=1, 2, …, М, k=1, 2, …, K, n=1, 2, …, N;
находят оценку передаточной функции этого канала направленной передачи как преобразование Фурье от сформированной импульсной характеристики Hm,j этого канала направленной передачи.
При этом при формировании на базовой станции на каждой из М разнесенных групп каналов передачи Lm каналов направленной передачи в каждом из Lm каналов формируют K копий входного сигнала данного канала направленной передачи и передают их по соответствующему каналу передачи данной разнесенной группы каналов передачи, предварительно умножив каждую, начиная со второй, копию входного сигнала на соответствующий весовой коэффициент направления передачи соответствующего набора весовых коэффициентов направления передачи.
При этом при оценке на мобильной станции с использованием переданных пилот-сигналов для разнесенной передачи для каждой из М разнесенных групп каналов передачи передаточных функций Lm каналов направленной передачи оценивают импульсную характеристику каждого из Lm каналов направленной передачи и формируют оценку его передаточной функции как преобразование Фурье от оцененной импульсной характеристики этого канала направленной передачи.
При этом при объединении на мобильной станции для каждой из М разнесенных групп каналов передачи оценок передаточной функции каждого из Lm каналов направленной передачи, полученных с использованием K пилот-сигналов, передаваемых с этой разнесенной группы каналов передачи, и полученных с использованием пилот-сигнала для разнесенной передачи, передаваемого с этой разнесенной группы каналов передачи усредняют данные две оценки передаточной функции с весами, обратно пропорциональными характеристикам ошибок этих оценок.
При этом при формировании на базовой станции каналов коррекции спектра сигнала передаточную функцию каждого канала коррекции спектра сигнала формируют как функцию, комплексно сопряженную соответствующей оцененной передаточной функции канала направленной передачи.
Поставленная задача решается также за счет того, что в устройство передачи сигнала по первому варианту выполнения (для реализации способа по первому варианту), содержащее М блоков направленной передачи, М·K блоков суммирования, М·K аналоговых передатчиков, М·K антенных элементов, при этом вторые входы каждого из М блоков направленной передачи являются входами соответствующих весовых коэффициентов направления передачи, каждый из K выходов каждого из М блоков направленной передачи соединен со вторым входом соответствующего блока суммирования, первый вход каждого из М·K блоков суммирования является входом соответствующего пилот-сигнала, выходы блоков суммирования соединены со входами соответствующих аналоговых передатчиков, выходы которых соединены со входами соответствующих антенных элементов, выходы которых являются выходами устройства передачи сигнала, согласно изобретению введены дополнительных блоков направленной передачи, блоков коррекции спектра сигнала, при этом первый вход каждого из блоков коррекции спектра сигнала является входом информационного сигнала, второй вход каждого из блоков коррекции спектра сигнала является входом соответствующей передаточной функции канала направленной передачи, выход каждого из блоков коррекции спектра сигнала соединен с первым входом соответствующего блока направленной передачи, каждый из K выходов каждого из дополнительных блоков направленной передачи соединен с (Lm-1), где m принимает значения от 1 до М, дополнительными вторыми входами соответствующего блока суммирования.
Поставленная задача решается также за счет того, что в устройство передачи сигнала по второму варианту выполнения (для реализации способа по второму и третьему вариантам), содержащее М блоков направленной передачи, М·K блоков суммирования, М·K аналоговых передатчиков, М·K антенных элементов, при этом вторые входы каждого из М блоков направленной передачи являются входами соответствующих весовых коэффициентов направления передачи, каждый из K выходов каждого из М блоков направленной передачи соединен со вторым входом соответствующего блока суммирования, первый вход каждого из М·K блоков суммирования является входом соответствующего пилот-сигнала, выходы блоков суммирования соединены со входами соответствующих аналоговых передатчиков, выходы которых соединены со входами соответствующих антенных элементов, выходы которых являются выходами устройства передачи сигнала, согласно изобретению введены дополнительных блоков направленной передачи, введены из блоков коррекции спектра сигнала, введены сумматоров, при этом первый вход каждого из блоков коррекции спектра сигнала является входом информационного сигнала, второй вход каждого из блоков коррекции спектра сигнала является входом соответствующей передаточной функции канала направленной передачи, выход каждого из блоков коррекции спектра сигнала соединен с первым входом соответствующего сумматора, второй вход каждого из сумматоров является входом соответствующего пилот-сигнала для разнесенной передачи, выход каждого из сумматоров соединен с первым входом соответствующего блока направленной передачи, каждый из K выходов каждого из дополнительных блоков направленной передачи соединен с (Lm-1), где m принимает значения от 1 до М, дополнительными вторыми входами соответствующего блока суммирования.
При этом блок направленной передачи, например, содержит K умножителей, объединенные первые входы K умножителей являются первым входом блока направленной передачи, их вторые входы являются вторыми входами блока направленной передачи, а их выходы являются выходами блока направленной передачи.
Заявляемая группа изобретений способ передачи сигнала (варианты) и устройство для его осуществления (варианты) имеют существенные отличия от известных технических решений. Эти отличия в совокупности позволяют повысить эффективность передачи информационного сигнала в прямом канале связи и, соответственно, максимизировать качество приема информационного сигнала на мобильной станции. Отличия заключаются в следующем.
Во-первых, вместо операции умножения копий информационного сигнала на весовые коэффициенты разнесения (как в прототипе) введена операция корректировки спектра копий информационного сигнала и вместо умножителей введены блоки коррекции спектра сигнала. Это обеспечивает когерентное сложение копий информационного сигнала на приемной стороне в случае частотно-селективных замираний сигнала.
Во-вторых, вместо передачи в одном направлении с каждой разнесенной группы каналов передачи (как в прототипе) предусмотрена передача по нескольким направлениям передачи с каждой разнесенной группы каналов передачи. Соответствующие им наборы весовых коэффициентов направления передачи формируют на мобильной станции. В заявляемое устройство передачи сигнала (варианты) добавлено соответствующее количество блоков направленной передачи. Это значительно увеличивает количество каналов передачи и, соответственно, повышает эффективность усреднения фединга.
В-третьих, заявляемый способ (по второму варианту) и устройство для его реализации (по второму варианту) предусматривают оценку передаточных функций каналов направленной передачи по пилот-сигналам для разнесенной передачи, передаваемым по каждому из направлений передачи. Это повышает качество оценок передаточных функций каналов направленной передачи и, соответственно, повышает эффективность когерентного сложения копий информационного сигнала на приемной стороне, что увеличивает качество приема на мобильной станции.
В-четвертых, заявляемый способ (по третьему варианту) и устройство для его реализации (по второму варианту) предусматривают оценку передаточных функций каналов направленной передачи как по пилот-сигналам, передаваемым с каждого антенного элемента, так и по пилот-сигналам для разнесенной передачи, передаваемым по каждому из направлений передачи, с последующим объединением этих оценок. Это повышает качество оценок передаточных функций каналов направленной передачи и, соответственно, повышает эффективность когерентного сложения копий информационного сигнала на приемной стороне, что увеличивает качество приема на мобильной станции.
Описание изобретения поясняется примерами выполнения и чертежами.
На фиг.1 показаны кривые зависимости вероятности битовой ошибки от ОСШП в канале с релеевским федингом и аддитивной гауссовой помехой (сумма шума и внутрисистемных помех) от ОСШП.
На фиг.2 показана линейная эквидистантная антенная решетка.
Фиг.3 иллюстрирует диаграммы направленности адаптивной антенной решетки.
Фиг.4 иллюстрирует канал распространения от базовой станции до мобильной станции.
На фиг.5 показан пример реализации известного способа по Siemens, Advanced closed loop Tx diversity concept (eigenbeamformer), 3GPP TSG RAN WG 1 document, TSGR1#14(00)0853, July 4-7, 2000, Oulu, Finland.
Фиг.6 иллюстрирует реализацию способа-прототипа.
На фиг.7 выполнена структурная схема устройства-прототипа.
На фиг.8 выполнена структурная схема блока направленной передачи, приведена как пример реализации.
На фиг.9 выполнена структурная схема заявляемого устройства передачи сигнала по первому варианту.
На фиг.10 – структурная схема заявляемого устройства передачи сигнала по второму варианту.
Согласно первому варианту устройство передачи сигнала (фиг.9) содержит блоков коррекции спектра сигнала 7-1-1-7-M-LM, блоков направленной передачи 2-1-1-2-M-LM, М·K блоков суммирования 3-1-1-3-М-K, М·K аналоговых передатчиков 4-1-1-4-М-K, М·K антенных элементов 5-1-1-5-М-K, при этом объединенные первые входы блоков коррекции спектра сигнала 7-1-1-7-M-LM являются входами информационного сигнала, их вторые входы являются входами соответствующих передаточных функций канала направленной передачи, выходы блоков коррекции спектра сигнала 7-1-1-7-M-LM соединены с первыми входами соответствующих блоков направленной передачи 2-1-1-2-M-LM, вторые входы которых являются входами соответствующих весовых коэффициентов направления передачи, K выходов каждого из блоков направленной передачи 2-1-1-2-M-LM соединены со вторыми входами соответствующих блоков суммирования 3-1-1-3-М-K, первые входы которых являются входами соответствующих пилот-сигналов, выходы блоков суммирования 3-1-1-3-М-K соединены со входами соответствующих аналоговых передатчиков 4-1-1-4-М-K, выходы которых соединены со входами соответствующих антенных элементов 5-1-1-5-М-K, выходы которых являются выходами устройства передачи сигнала.
Согласно второму варианту устройство передачи сигнала (фиг.10) содержит блоков коррекции спектра сигнала 7-1-1-7-M-LM, сумматоров 8-1-1-8-M-LM, блоков направленной передачи 2-1-1-2-M-LM, M·K блоков суммирования 3-1-1-3-M-K, M·K аналоговых передатчиков 4-1-1-4-М-K, М·K антенных элементов 5-1-1-5-М-K, при этом объединенные первые входы блоков коррекции спектра сигнала 7-1-1-7-M-LM являются входами информационного сигнала, их вторые входы являются входами соответствующих передаточных функций канала направленной передачи, выходы блоков коррекции спектра сигнала 7-1-1-7-M-LM соединены с первыми входами соответствующих сумматоров 8-1-1-8-M-LM, вторые входы которых являются входами соответствующих пилот-сигналов для разнесенной передачи, выходы сумматоров 8-1-1-8-M-LM соединены с первыми входами соответствующих блоков направленной передачи 2-1-1-2-M-LM, вторые входы которых являются входами соответствующих весовых коэффициентов направления передачи, K выходов каждого из блоков направленной передачи 2-1-1-2-M-LM соединены со вторыми входами соответствующих блоков суммирования 3-1-1-3-М-K, первые входы которых являются входами соответствующих пилот-сигналов, выходы блоков суммирования 3-1-1-3-М-K соединены со входами соответствующих аналоговых передатчиков 4-1-1-4-М-K, выходы которых соединены со входами соответствующих антенных элементов 5-1-1-5-М-K, выходы которых являются выходами устройства передачи сигнала.
При этом, например, каждый блок направленной передачи 2-1-1-2-M-LM содержит K умножителей 6-m-1-6-m-K, при этом объединенные первые входы K умножителей 6-m-1-6-m-K являются первым входом блока направленной передачи, их вторые входы являются вторыми входами блока направленной передачи, а их выходы являются выходами блока направленной передачи.
Рассмотрим работу заявляемого способа передачи сигнала (варианты) и устройства для его реализации (варианты).
По первому варианту способ передачи сигнала осуществляют на устройстве, структурная схема которого выполнена на фиг.9.
Формируют на базовой станции М разнесенных групп каналов передачи по K каналов передачи в каждой, где М 1, K 1.
Каждый из М·K каналов передачи образован соответствующим аналоговым передатчиком 4-m-k и соответствующим антенным элементом 5-m-k, где m принимает значения от 1 до М, а k принимает значения от 1 до K.
Каждая из М разнесенных групп каналов передачи образована соответствующим блоком направленной передачи, одним из блоков 2-m-j, где j принимает значения от 1 до Lm, соответствующими аналоговыми передатчиками 4-m-1-4-m-K и соответствующими антенными элементами 5-m-1-5-m-K.
Каждая разнесенная группа каналов передачи представляет собой адаптивную антенную решетку. Всего для передачи используется М разнесенных адаптивных антенных решеток.
Передают с базовой станции на мобильную станцию с каждого из М·K каналов передачи разнесенных групп пилот-сигнал.
Каждый из М·K пилот-сигналов поступает на первый вход соответствующего блока суммирования 3-m-k, с выхода которого поступает на вход соответствующего аналогового передатчика 4-m-k, с выхода которого поступает на вход соответствующего антенного элемента 5-m-k, выход которого является выходом устройства передачи сигнала.
Так как каждый пилот-сигнал передается только по одному каналу передачи, то он передается ненаправленно, т.е. с диаграммой направленности, равной диаграмме направленности одного антенного элемента.
Все передаваемые пилот-сигналы и информационный сигнал ортогональны или квазиортогональны между собой.
Под ортогональностью или квазиортогональностью пилот-сигналов понимают ситуацию, когда максимальное значение функции корреляции между двумя пилот-сигналами много меньше максимального значения функции автокорреляции каждого пилот-сигнала.
Оценивают на мобильной станции с использованием переданных пилот-сигналов импульсные характеристики М·K каналов передачи разнесенных групп.
Указанная оценка может быть осуществлена с использованием известных методов, например, как описано в статье A.Hewitt, W.Lau, J.Austin, and E.Wilar, “An autoregressive approach to the identification of multipath ray parameters from field measurements,” IEEE Trans. on Comm., vol.37, p.1136-1143, Nov. 1989 или в статье J.Ehrenberg, T.Ewart, and R.Morris, “Signal processing techniques for resolving individual pulses in a multipath signal,” J. Acoust. Soc. Amer., vol.63, p.1861-1865, Jun. 1978, или в статье Zoran kostic, M.Ibrahim Sezan, and Edward L.Titlebaum, “Estimation of the parameters of a multipath channel using set-theoritic deconvolution,” IEEE Trans. on Comm., vol.40, No.6, June 1992.
Формируют на мобильной станции для каждой из М разнесенных групп каналов передачи Lm наборов весовых коэффициентов направления передачи по K-1 весовых коэффициентов направления передачи в каждом наборе, где 1 Lm K, а m=1, 2, …, М, используя оцененные импульсные характеристики М·K каналов передачи разнесенных групп.
Как уже отмечалось ранее при описании аналога по Siemens, Advanced closed loop Tx diversity concept (eigenbeamformer), 3GPP TSG RAN WG 1 document, TSGR1#14(00)0853, July 4-7, 2000, Oulu, Finland, обычно канал распространения от базовой станции до мобильной станции включает несколько пространственно сосредоточенных областей отражателей, отражаясь от которых сигнал попадает на мобильную станцию (смотри фиг.4).
Поэтому существует несколько эффективных направлений передачи от базовой станции до мобильной станции. При передаче в этих направлениях излучаемая энергия будет достигать мобильной станции, а при передаче в других направлениях большая часть излучаемой в этих направлениях энергии не будет достигать мобильной станции, например, будет блокироваться зданиями.
На мобильной станции определяют эти эффективные направления передачи для каждой разнесенной адаптивной антенной решетки и формируют соответствующие им наборы весовых коэффициентов передачи.
Для этого осуществляют на мобильной станции следующую последовательность действий.
Формируют для каждой из М разнесенных групп каналов передачи для каждого из N, где N 1, разрешимых временных лучей переданных пилот-сигналов матрицу пространственной корреляции по формуле

где
– hm,k,n – коэффициент оцененной импульсной характеристики k-го канала передачи m-й разнесенной группы, соответствующий n-му разрешимому временному лучу переданных пилот-сигналов,
– m=1, 2, …, М, k=1, 2, …, K, n=1, 2, …, N,
– x* – операция комплексного сопряжения х.
Формируют для каждой из М разнесенных групп каналов передачи матрицу пространственной корреляции всех разрешимых временных лучей по формуле

Формируют для каждой из М разнесенных групп каналов передачи усредненную матрицу пространственной корреляции , где i 1 – номер шага усреднения, по формуле

где 0  1 – коэффициент усреднения.
Осуществляют разложение усредненной матрицы пространственной корреляции на собственные значения m,k и соответствующие им собственные вектора , где k=1, 2, …, K.
Выбирают среди собственных значений m,k максимальное собственное значение m,max.
Выбирают среди всех собственных значений такие собственные значения m,j, для которых выполняется условие

где 0  1, j=1, 2, …, Lm, a Lm равно количеству собственных значений m,j, для которых выполняется данное условие.
Выбирают Lm собственных векторов , соответствующих Lm выбранным собственным значениям m,j.
Формируют Lm наборов весовых коэффициентов направления передачи по K-1 весовых коэффициентов направления передачи в каждом наборе по формуле

где
– Wm,j,k – k-й весовой коэффициент направления передачи j-го набора весовых коэффициентов направления передачи, m-й разнесенной группы каналов передачи,
– Vm,j,k – k-й элемент j-го собственного вектора усредненной матрицы пространственной корреляции m-й разнесенной группы каналов передачи,
– m=1, 2, …, М, j=1, 2, …, Lm, k=2, 3, …, K.
Заявляемое изобретение не исключает возможности оценки эффективных направлений передачи на мобильной станции для каждой адаптивной антенной решетки любым другим известным способом. Важным является именно операция определения всех или части эффективных направлений для каждой из разнесенных адаптивных антенных решеток.
Оценивают на мобильной станции для каждой из М разнесенных групп каналов передачи для каждого из Lm наборов весовых коэффициентов направления передачи передаточную функцию канала направленной передачи, соответствующего этому набору.
Под передаточной функцией (или частотным коэффициентом передачи) линейной системы в литературе, например, Гоноровский И.С. Радиотехнические цепи и сигналы. М.: Советское радио, 1977, с. 176-177 или С.И.Баскаков. Радиотехнические цепи и сигналы, М.: Высшая школа, 1988, с.211-212, понимается комплексная функция, равная частному спектральных плотностей выходного и входного сигналов линейной системы.
Для оценки на мобильной станции для каждой из М разнесенных групп каналов передачи для каждого из Lm наборов весовых коэффициентов направления передачи передаточной функции этого канала направленной передачи осуществляют следующую последовательность действий.
Формируют импульсную характеристику этого канала направленной передачи по формуле

где
– Wm,j,k – k-й весовой коэффициент направления передачи j-го набора весовых коэффициентов направления передачи, m-й разнесенной группы каналов передачи,
– m=1, 2, …, М, j=1, 2, …, k=1, 2, …, K,
– – импульсная характеристика k-го канала передачи m-й разнесенной группы каналов передачи,
– где
– hm,k,n – коэффициент оцененной импульсной характеристики k-го канала передачи m-й разнесенной группы, соответствующий n-му разрешимому временному лучу переданных пилот-сигналов,
– n – задержка n-го разрешимого временного луча переданных пилот-сигналов,
– m=1, 2, …, М, k=1, 2, …, K, n=1, 2, …, N.
Находят оценку передаточной функции этого канала направленной передачи как преобразование Фурье от сформированной импульсной характеристики Hm,j, этого канала направленной передачи.
Заявляемое изобретение не исключает возможности оценки передаточных функций каналов распространения, соответствующих эффективным направлениям передачи с каждой из адаптивных антенных решеток, любым другим известным способом. Важным является именно операция оценки этих передаточных функций.
Передают с мобильной станции на базовую станцию сигнал обратной связи, содержащий для каждой из М разнесенных групп каналов передачи Lm сформированных наборов весовых коэффициентов направления передачи, а также содержащий для каждой из М разнесенных групп каналов передачи для каждого из Lm наборов весовых коэффициентов направления передачи оцененную передаточную функцию.
Формируют на базовой станции на каждой из М разнесенных групп каналов передачи Lm каналов направленной передачи с использованием переданных наборов весовых коэффициентов направления передачи.
На каждой из М адаптивных антенных решеток каждый из Lm каналов направленной передачи образован соответствующим блоком направленной передачи 2-m-j, где j принимает значения от 1 до Lm соответствующими аналоговыми передатчиками 4-m-1-4-m-K и соответствующими антенными элементами 5-m-1-5-m-K.
На первый вход блока направленной передачи 2-m-j поступает передаваемый сигнал, а на его вторые входы поступает набор весовых коэффициентов направления передачи (Wm,j,1 1, Wm,j,2, …, Wm,j,K).
В каждом из каналов направленной передачи формируют K копий входного сигнала данного канала направленной передачи и передают их по соответствующему каналу передачи данной разнесенной группы каналов передачи, предварительно умножив каждую, начиная со второй, копию входного сигнала на соответствующий весовой коэффициент направления передачи соответствующего набора весовых коэффициентов направления передачи.
K копий входного сигнала канала направленной передачи 2-m-j поступают на первые входы умножителей 6-m-1-6-m-K, на вторые входы которых поступают весовые коэффициенты направления передачи (Wm,j,1 1, Wm,j,2, …, Wm,j,K). В каждом из умножителей 6-m-1-6-m-K осуществляют умножение соответствующей k-й копии сигнала, где k принимает значения от 1 до K, на соответствующий весовой коэффициент направления передачи Wm,j,k.
Формируют на базовой станции для каждой из М разнесенных групп каналов передачи для каждого из Lm каналов направленной передачи каналы коррекции спектра сигнала и корректируют их передаточные функции в соответствии с переданными оцененными передаточными функциями каналов направленной передачи таким образом, чтобы максимизировать качества приема информационного сигнала на мобильной станции.
При этом передаточную функцию каждого канала коррекции спектра сигнала формируют как функцию, комплексно сопряженную соответствующей оцененной передаточной функции канала направленной передачи.
В “Способ когерентной разнесенной передачи сигнала”, патент РФ №2192094, опубликован 27.10.2002 г., бюл. №30, МПК7 Н 04 В 7/005 показано, что тем самым достигается когерентное сложение всех спектральных составляющих копий информационного сигнала, передаваемых с каждой адаптивной антенной решетки в каждом из эффективных направлений передачи, соответственно максимизируется качество приема информационного сигнала на мобильной станции.
Каждый из блоков коррекции спектра сигнала 7-1-1-7-M-LM может быть реализован в виде фильтра, передаточная функция которого равна функции, комплексно сопряженной передаточной функции канала распространения, соответствующего этому каналу направленной передачи.
Формируют на базовой станции для каждой из М разнесенных групп каналов передачи для каждого из Lm каналов направленной передачи копию информационного сигнала и одновременно передают все сформированные копии информационного сигнала по соответствующим каналам направленной передачи, предварительно пропустив их через соответствующие каналы коррекции спектра сигнала.
Т.е. передают копии информационного сигнала на мобильную станцию с каждой адаптивной антенной решетки по каждому из эффективных направлений передачи предварительно скорректировав спектр каждой копии информационного сигнала таким образом, чтобы обеспечить когерентное сложение всех их спектральных составляющих, что максимизирует качество приема информационного сигнала на мобильной станции.
Сначала формируют копий информационного сигнала, которые поступают на первые входы блоков коррекции спектра сигнала 7-1-1-7-M-LM и далее на первые входы блоков направленной передачи 2-1-1-2-M-LM.
В каждом из блоков направленной передачи 2-1-1-2-M-LM формируют из поступившей на него копии информационного сигнала (с уже скорректированным спектром) еще K копий, которые поступают на первые входы умножителей 6-m-1-6-m-K.
Затем копий информационного сигнала со скорректированным спектром и умноженные на соответствующие весовые коэффициенты направления передачи поступают с выходов блоков направленной передачи 2-1-1-2-M-LM на вторые входы блоков суммирования 3-1-1-3-М-K, с их выходов на входы аналоговых передатчиков 4-1-1-4-М-K, с их выходов на входы антенных элементов 5-1-1-5-М-K, а с их выходов по радиоканалу – на мобильную станцию.
Блоки суммирования 3-1-1-3-М-K обеспечивают одновременную передачу копий информационного сигнала и пилот-сигналов через М·K каналов передачи.
По второму варианту способ передачи сигнала осуществляют на устройстве, структурная схема которого показана на фиг.10.
Формируют на базовой станции М разнесенных групп каналов передачи по K каналов передачи в каждой, где М 1, K 1.
Передают с базовой станции на мобильную станцию с каждого из М·K каналов передачи разнесенных групп пилот-силнал.
Оценивают на мобильной станции с использованием переданных пилот-сигналов импульсные характеристики М·K каналов передачи разнесенных групп.
Формируют на мобильной станции для каждой из М разнесенных групп каналов передачи Lm наборов весовых коэффициентов направления передачи по K-1 весовых коэффициентов направления передачи в каждом наборе, где 1 Lm K, а m=1, 2, …, М, используя оцененные импульсные характеристики М·K каналов передачи разнесенных групп.
Эту операцию выполняют аналогично такой же операции по первому варианту реализации способа передачи сигнала.
Передают с мобильной станции на базовую станцию сигнал обратной связи, содержащий для каждой из М разнесенной группы каналов передачи Lm сформированных наборов весовых коэффициентов направления передачи.
Формируют на базовой станции на каждой из М разнесенных групп каналов передачи Lm каналов направленной передачи с использованием переданных наборов весовых коэффициентов направления передачи.
Эту операцию выполняют аналогично такой же операции по первому варианту реализации способа передачи сигнала.
Передают с базовой станции на мобильную станцию с каждой из М разнесенных групп каналов передачи по каждому из Lm каналов направленной передачи пилот-силнал для разнесенной передачи.
Пилот-сигналы для разнесенной передачи поступают на соответствующие вторые входы сумматоров 8-1-1-8-M-LM, с выходов которых поступают на первые входы блоков направленной передачи 2-1-1-2-M-LM, с K выходов каждого из которых поступают на соответствующие вторые входы блоков суммирования 3-1-1-3-М-K, с выходов которых поступают на входы аналоговых передатчиков 4-1-1-4-М-K, с выходов которых поступают на входы антенных элементов 5-1-1-5-М-K, с выходов которых по радиоканалу поступают на мобильную станцию.
Блоки направленной передачи 2-1-1-2-M-LM обеспечивают передачу пилот-сигналов для разнесенной передачи по выбранным эффективным направлениям передачи.
Оценивают на мобильной станции с использованием переданных пилот-сигналов для разнесенной передачи для каждой из М разнесенных групп каналов передачи передаточные функции Lm каналов направленной передачи.
При этом оценивают импульсную характеристику каждого из Lm каналов направленной передачи и формируют оценку его передаточной функции как преобразование Фурье от оцененной импульсной характеристики этого канала направленной передачи.
Передают с мобильной станции на базовую станцию сигнал обратной связи, содержащий для каждой из М разнесенных групп каналов передачи Lm оцененных передаточных функций каналов направленной передачи.
Заявляемое изобретение не исключает возможности оценки передаточных функций каналов распространения, соответствующих эффективным направлениям передачи с каждой из адаптивных антенных решеток, любым другим известным способом. Важным является именно операция оценки этих передаточных функций.
Формируют на базовой станции для каждой из М разнесенных групп каналов передачи для каждого из Lm каналов направленной передачи каналы коррекции спектра сигнала и корректируют их передаточные функции в соответствии с переданными оцененными передаточными функциями каналов направленной передачи таким образом, чтобы максимизировать качества приема информационного сигнала на мобильной станции.
Эту операцию выполняют аналогично такой же операции по первому варианту реализации способа передачи сигнала.
Формируют на базовой станции для каждой из М разнесенных групп каналов передачи для каждого из Lm каналов направленной передачи копию информационного сигнала и одновременно передают все сформированные копии информационного сигнала по соответствующим каналам направленной передачи, предварительно пропустив их через соответствующие каналы коррекции спектра сигнала.
С выходов соответствующих блоков коррекции спектра сигнала 7-1-1-7-M-LM копии информационного сигнала (с уже скорректированным спектром) поступают на первые входы сумматоров 8-1-1-8-M-LM, где осуществляется их суммирование с соответствующими пилот-сигналами для разнесенной передачи, и поступают далее на соответствующие блоки направленной передачи 2-1-1-2-M-LM и далее через соответствующие блоки в радиоканал и на мобильную станцию аналогично первому варианту способа передачи сигнала.
Сумматоры 8-1-1-8-M-LM обеспечивают одновременную передачу копий информационного сигнала и пилот-сигналов для разнесенной передачи по выбранным эффективным направлениям передачи.
При этом все передаваемые пилот-сигналы, пилот-сигналы для направленной передачи и информационный сигнал ортогональны или квазиортогональны между собой.
По третьему варианту способ передачи сигнала осуществляют на устройстве, структурная схема которого выполнена на фиг.10.
Формируют на базовой станции М разнесенных групп каналов передачи по K каналов передачи в каждой, где М 1, K 1.
Передают с базовой станции на мобильную станцию с каждого из М·K каналов передачи разнесенных групп пилот-сигнал.
Оценивают на мобильной станции с использованием переданных пилот-сигналов импульсные характеристики М·K каналов передачи разнесенных групп.
Формируют на мобильной станции для каждой из М разнесенных групп каналов передачи Lm наборов весовых коэффициентов направления передачи по K-1 весовых коэффициентов направления передачи в каждом наборе, где 1 Lm K, а m=1, 2, …, М, используя оцененные импульсные характеристики М·K каналов передачи разнесенных групп.
Эту операцию выполняют аналогично такой же операции по второму варианту реализации способа передачи сигнала.
Оценивают на мобильной станции для каждой из М разнесенных групп каналов передачи для каждого из Lm наборов весовых коэффициентов направления передачи передаточную функцию канала направленной передачи, соответствующего этому набору.
Эту операцию выполняют аналогично такой же операции по второму варианту реализации способа передачи сигнала.
Передают с мобильной станции на базовую станцию сигнал обратной связи, содержащий для каждой из М разнесенной группы каналов передачи Lm сформированных наборов весовых коэффициентов направления передачи.
Формируют на базовой станции на каждой из М разнесенных групп каналов передачи Lm каналов направленной передачи с использованием переданных наборов весовых коэффициентов направления передачи.
Эту операцию выполняют аналогично такой же операции по второму варианту реализации способа передачи сигнала.
Передают с базовой станции на мобильную станцию с каждой из М разнесенных групп каналов передачи по каждому из Lm каналов направленной передачи пилот-сигнал для разнесенной передачи.
Оценивают на мобильной станции с использованием переданных пилот-сигналов для разнесенной передачи для каждой из М разнесенных групп каналов передачи передаточные функции Lm каналов направленной передачи.
Эту операцию выполняют аналогично такой же операции по второму варианту реализации способа передачи сигнала.
Объединяют на мобильной станции для каждой из М разнесенных групп каналов передачи оценки передаточной функции каждого из Lm каналов направленной передачи, полученные с использованием Km пилот-сигналов, передаваемых с этой разнесенной группы каналов передачи, и полученные с использованием пилот-сигнала для разнесенной передачи, передаваемого с этой разнесенной группы каналов передачи.
При этом, например, усредняют данные две оценки передаточной функции с весами, обратно пропорциональными характеристикам ошибок этих оценок.
Такое усреднение обеспечивает минимальную ошибку объединенной оценки в случае гауссовского характера ошибок данных двух оценок.
Заявляемое изобретение допускает использование любого другого известного способа объединения двух оценок передаточной функции канала направленной передачи. Важным здесь является операция объединения данных двух оценок с целью уменьшения ошибки результата объединения.
Передают с мобильной станции на базовую станцию сигнал обратной связи, содержащий для каждой из М разнесенных групп каналов передачи Lm оцененных передаточных функций каналов направленной передачи.
Формируют на базовой станции для каждой из М разнесенных групп каналов передачи для каждого из Lm каналов направленной передачи каналы коррекции спектра сигнала и корректируют их передаточные функции в соответствии с переданными оцененными передаточными функциями каналов направленной передачи таким образом, чтобы максимизировать качества приема информационного сигнала на мобильной станции.
Эту операцию выполняют аналогично такой же операции по второму варианту реализации способа передачи сигнала.
Формируют на базовой станции для каждой из М разнесенных групп каналов передачи для каждого из Lm каналов направленной передачи копию информационного сигнала и одновременно передают все сформированные копии информационного сигнала по соответствующим каналам направленной передачи, предварительно пропустив их через соответствующие каналы коррекции спектра сигнала.
Эту операцию выполняют аналогично такой же операции по второму варианту реализации способа передачи сигнала.
Заявляемая группа изобретений способ передачи сигнала (варианты) и устройство для его реализации (варианты) обладают следующими существенными преимуществами по сравнению с известными в данной области техники, изобретениями.
Во-первых, она обеспечивает когерентное сложение копий информационного сигнала на приемной стороне в случае частотно-селективных замираний сигнала.
Во-вторых, она позволяет значительно увеличить количество каналов передачи и, соответственно, повысить эффективность усреднения фединга.
В-третьих, она позволяет повысить качество оценок передаточных функций каналов направленной передачи и, соответственно, повысить эффективность когерентного сложения копий информационного сигнала на приемной стороне, что увеличивает качество приема на мобильной станции.
Описанные преимущества в совокупности позволяют существенно повысить эффективность передачи информационного сигнала в прямом канале связи и, соответственно, максимизировать качество приема информационного сигнала на мобильной станции.
Эти преимущества достигаются за счет корректировки спектра копий передаваемого информационного сигнала, передачи копий информационного сигнала с каждой адаптивной антенной решетки в каждом эффективном направлении передачи, оценки передаточных функций каналов направленной передачи по пилот-сигналам, передаваемым с каждого антенного элемента, по пилот-сигналам для разнесенной передачи, передаваемым с каждой адаптивной антенной решетки по каждому из эффективных направлений передачи, а также объединения данных двух оценок.
Формула изобретения
1. Способ передачи сигнала, заключающийся в том, что формируют на базовой станции М разнесенных групп каналов передачи по К каналов передачи в каждой, где М 1, К 1, передают с базовой станции на мобильную станцию с каждого из М·К каналов передачи разнесенных групп пилот-сигнал, оценивают на мобильной станции с использованием переданных пилот-сигналов импульсные характеристики М·К каналов передачи разнесенных групп, отличающийся тем, что формируют на мобильной станции для каждой из М разнесенных групп каналов передачи Lm наборов весовых коэффициентов направления передачи по К-1 весовых коэффициентов направления передачи в каждом наборе, где 1 Lm K, а m=1, 2, …, М, используя оцененные импульсные характеристики М·К каналов передачи разнесенных групп, оценивают на мобильной станции для каждой из М разнесенных групп каналов передачи для каждого из Lm наборов весовых коэффициентов направления передачи передаточную функцию канала направленной передачи, соответствующего этому набору, передают с мобильной станции на базовую станцию сигнал обратной связи, содержащий для каждой из М разнесенных групп каналов передачи Lm сформированных наборов весовых коэффициентов направления передачи, а также содержащий для каждой из М разнесенных групп каналов передачи для каждого из Lm наборов весовых коэффициентов направления передачи оцененную передаточную функцию, формируют на базовой станции на каждой из М разнесенных групп каналов передачи Lm каналов направленной передачи с использованием переданных наборов весовых коэффициентов направления передачи, формируют на базовой станции для каждой из М разнесенных групп каналов передачи для каждого из Lm каналов направленной передачи каналы коррекции спектра сигнала и корректируют их передаточные функции в соответствии с переданными оцененными передаточными функциями каналов направленной передачи таким образом, чтобы максимизировать качества приема информационного сигнала на мобильной станции, формируют на базовой станции для каждой из М разнесенных групп каналов передачи для каждого из Lm каналов направленной передачи копию информационного сигнала и одновременно передают все сформированные копии информационного сигнала по соответствующим каналам направленной передачи для подачи в каналы передачи, предварительно пропустив их через соответствующие каналы коррекции спектра сигнала.
2. Способ по п.1, отличающийся тем, что все передаваемые пилот-сигналы и информационный сигнал ортогональны или квазиортогональны между собой.
3. Способ передачи сигнала, заключающийся в том, что формируют на базовой станции М разнесенных групп каналов передачи по К каналов передачи в каждой, где М 1, К 1, передают с базовой станции на мобильную станцию с каждого из М·К каналов передачи разнесенных групп пилот-сигнал, оценивают на мобильной станции с использованием переданных пилот-сигналов импульсные характеристики М·К каналов передачи разнесенных групп, отличающийся тем, что формируют на мобильной станции для каждой из М разнесенных групп каналов передачи Lm наборов весовых коэффициентов направления передачи по К-1 весовых коэффициентов направления передачи в каждом наборе, где 1 Lm K, а m=1, 2, …, М, используя оцененные импульсные характеристики М·К каналов передачи разнесенных групп, передают с мобильной станции на базовую станцию сигнал обратной связи, содержащий для каждой из М разнесенной группы каналов передачи Lm сформированных наборов весовых коэффициентов направления передачи, формируют на базовой станции на каждой из М разнесенных групп каналов передачи Lm каналов направленной передачи с использованием переданных наборов весовых коэффициентов направления передачи, передают с базовой станции на мобильную станцию с каждой из М разнесенных групп каналов передачи по каждому из Lm каналов направленной передачи пилот-сигнал для разнесенной передачи, оценивают на мобильной станции с использованием переданных пилот-сигналов для разнесенной передачи для каждой из М разнесенных групп каналов передачи передаточные функции Lm каналов направленной передачи, передают с мобильной станции на базовую станцию сигнал обратной связи, содержащий для каждой из М разнесенных групп каналов передачи Lm оцененных передаточных функций каналов направленной передачи, формируют на базовой станции для каждой из М разнесенных групп каналов передачи для каждого из Lm каналов направленной передачи каналы коррекции спектра сигнала и корректируют их передаточные функции в соответствии с переданными оцененными передаточными функциями каналов направленной передачи таким образом, чтобы максимизировать качество приема информационного сигнала на мобильной станции, формируют на базовой станции для каждой из М разнесенных групп каналов передачи для каждого из Lm каналов направленной передачи копию информационного сигнала и одновременно передают все сформированные копии информационного сигнала по соответствующим каналам направленной передачи для подачи в каналы передачи, предварительно пропустив их через соответствующие каналы коррекции спектра сигнала.
4. Способ передачи сигнала, заключающийся в том, что формируют на базовой станции М разнесенных групп каналов передачи по К каналов передачи в каждой, где М 1, К 1, передают с базовой станции на мобильную станцию с каждого из М·К каналов передачи разнесенных групп пилот-сигнал, оценивают на мобильной станции с использованием переданных пилот-сигналов импульсные характеристики М·К каналов передачи разнесенных групп, отличающийся тем, что формируют на мобильной станции для каждой из М разнесенных групп каналов передачи Lm наборов весовых коэффициентов направления передачи по К-1 весовых коэффициентов направления передачи в каждом наборе, где 1 Lm K, а m=1, 2, …, М, используя оцененные импульсные характеристики М·К каналов передачи разнесенных групп, оценивают на мобильной станции для каждой из М разнесенных групп каналов передачи для каждого из Lm наборов весовых коэффициентов направления передачи передаточную функцию канала направленной передачи, соответствующего этому набору, передают с мобильной станции на базовую станцию сигнал обратной связи, содержащий для каждой из М разнесенной группы каналов передачи Lm сформированных наборов весовых коэффициентов направления передачи, формируют на базовой станции на каждой из М разнесенных групп каналов передачи Lm каналов направленной передачи с использованием переданных наборов весовых коэффициентов направления передачи, передают с базовой станции на мобильную станцию с каждой из М разнесенных групп каналов передачи по каждому из Lm каналов направленной передачи пилот-сигнал для разнесенной передачи, оценивают на мобильной станции с использованием переданных пилот-сигналов для разнесенной передачи для каждой из М разнесенных групп каналов передачи передаточные функции Lm каналов направленной передачи, объединяют на мобильной станции для каждой из М разнесенных групп каналов передачи оценки передаточной функции каждого из Lm каналов направленной передачи, полученные с использованием К пилот сигналов, передаваемых с этой разнесенной группы каналов передачи, и полученные с использованием пилот-сигнала для разнесенной передачи, передаваемого с этой разнесенной группы каналов передачи, передают с мобильной станции на базовую станцию сигнал обратной связи, содержащий для каждой из М разнесенных групп каналов передачи Lm оцененных передаточных функций каналов направленной передачи, формируют на базовой станции для каждой из М разнесенных групп каналов передачи для каждого из Lm каналов направленной передачи каналы коррекции спектра сигнала и корректируют их передаточные функции в соответствии с переданными оцененными передаточными функциями каналов направленной передачи таким образом, чтобы максимизировать качество приема информационного сигнала на мобильной станции, формируют на базовой станции для каждой из М разнесенных групп каналов передачи для каждого из Lm каналов направленной передачи копию информационного сигнала и одновременно передают все сформированные копии информационного сигнала по соответствующим каналам направленной передачи для подачи в каналы передачи, предварительно пропустив их через соответствующие каналы коррекции спектра сигнала.
5. Способ по п.3 или 4, отличающийся тем, что все передаваемые пилот-сигналы, пилот-сигналы для направленной передачи и информационный сигнал ортогональны или квазиортогональны между собой.
6. Способ по п.1, или 3, или 4, отличающийся тем, что для формирования на мобильной станции для каждой из М разнесенных групп каналов передачи Lm наборов весовых коэффициентов направления передачи по К-1 весовых коэффициентов направления передачи в каждом наборе формируют для каждой из М разнесенных групп каналов передачи для каждого из N, где N 1, разрешимых временных лучей переданных пилот-сигналов матрицу пространственной корреляции по формуле

где hm,k,n – коэффициент оцененной импульсной характеристики k-го канала передачи m-й разнесенной группы, соответствующий n-му разрешимому временному лучу переданных пилот-сигналов, m=1, 2, …; М, k=1, 2, …, K; n=1, 2, …, N; x* – операция комплексного сопряжения x,
формируют для каждой из М разнесенных групп каналов передачи матрицу пространственной корреляции всех разрешимых временных лучей по формуле

формируют для каждой из М разнесенных групп каналов передачи усредненную матрицу пространственной корреляции , где i 1 – номер шага усреднения, по формуле

где 0  1 – коэффициент усреднения,
осуществляют разложение усредненной матрицы пространственной корреляции на собственные значения m,k и соответствующие им собственные вектора , где k=1, 2, …, K; выбирают среди собственных значений m,k максимальное собственное значение m,max, выбирают среди всех собственных значений такие собственные значения m,j, для которых выполняется условие

где 0  1, j=1, 2, …, Lm, a Lm равно количеству собственных значений m,j, для которых выполняется данное условие,
выбирают Lm собственных векторов , соответствующих Lm выбранным собственным значениям m,j, формируют Lm наборов весовых коэффициентов направления передачи по К-1 весовых коэффициентов направления передачи в каждом наборе по формуле

где Wm,j,k – k-й весовой коэффициент направления передачи j-го набора весовых коэффициентов направления передачи m-й разнесенной группы каналов передачи, Vm,j,k – k-й элемент j-го собственного вектора усредненной матрицы пространственной корреляции m-й разнесенной группы каналов передачи, m=1, 2, …; М, j=1, 2, …, Lm; k=2, 3, …, K.
7. Способ по п.1 или 4, отличающийся тем, что при оценке на мобильной станции для каждой из М разнесенных групп каналов передачи для каждого из Lm наборов весовых коэффициентов направления передачи передаточной функции этого канала направленной передачи формируют импульсную характеристику этого канала направленной передачи по формуле

где Wm,j,k – k-й весовой коэффициент направления передачи j-го набора весовых коэффициентов направления передачи m-й разнесенной группы каналов передачи, m=1, 2, …, М; j=1, 2, …, Lm; k=1, 2, …, K;
– импульсная характеристика k-го канала передачи m-й разнесенной группы каналов передачи, где hm,k,n – коэффициент оцененной импульсной характеристики k-го канала передачи m-й разнесенной группы, соответствующий n-му разрешимому временному лучу переданных пилот-сигналов, n – задержка n-го разрешимого временного луча переданных пилот-сигналов, m=1, 2, …, М; k=1, 2, …, K; n=1, 2, …, N,
находят оценку передаточной функции этого канала направленной передачи как преобразование Фурье от сформированной импульсной характеристики Нm,j этого канала направленной передачи.
8. Способ по п.1, или 3, или 4, отличающийся тем, что при формировании на базовой станции на каждой из М разнесенных групп каналов передачи Lm каналов направленной передачи в каждом из Lm каналов формируют К копий входного сигнала данного канала направленной передачи и передают их по соответствующему каналу передачи данной разнесенной группы каналов передачи, предварительно умножив каждую, начиная со второй, копию входного сигнала на соответствующий весовой коэффициент направления передачи соответствующего набора весовых коэффициентов направления передачи.
9. Способ по п.3 или 4, отличающийся тем, что при оценке на мобильной станции с использованием переданных пилот-сигналов для разнесенной передачи для каждой из М разнесенных групп каналов передачи передаточных функций Lm каналов направленной передачи оценивают импульсную характеристику каждого из Lm каналов направленной передачи и формируют оценку его передаточной функции как преобразование Фурье от оцененной импульсной характеристики этого канала направленной передачи.
10. Способ по п.4, отличающийся тем, что при объединении на мобильной станции для каждой из М разнесенных групп каналов передачи оценок передаточной функции каждого из Lm каналов направленной передачи, полученных с использованием К пилот-сигналов, передаваемых с этой разнесенной группы каналов передачи и полученных с использованием пилот-сигнала для разнесенной передачи, передаваемого с этой разнесенной группы каналов передачи, усредняют данные две оценки передаточной функции с весами, обратно пропорциональными характеристикам ошибок этих оценок.
11. Способ по п.1, или 3, или 4, отличающийся тем, что при формировании на базовой станции каналов коррекции спектра сигнала передаточную функцию каждого канала коррекции спектра сигнала формируют как функцию, комплексно сопряженную соответствующей оцененной передаточной функции канала направленной передачи.
12. Устройство передачи сигнала, содержащее М блоков направленной передачи, М·К блоков суммирования, М·К аналоговых передатчиков, М·К антенных элементов, при этом каждому блоку направленной передачи соответствует К блоков суммирования, К аналоговых передатчиков и К антенных элементов, каждый блок направленной передачи имеет К выходов, каждый из которых соответствует одному из К блоков суммирования, каждому из которых соответствует один из К аналоговых передатчиков, каждому из которых соответствует один из К антенных элементов, соответствующих этому блоку направленной передачи, вторые входы каждого из М блоков направленной передачи являются входами соответствующих ему К весовых коэффициентов направления передачи, каждый из К выходов каждого из М блоков направленной передачи соединен со вторым входом соответствующего ему блока суммирования, первый вход каждого из М·К блоков суммирования является входом пилот-сигнала, выходы блоков суммирования соединены со входами соответствующих им аналоговых передатчиков, выходы которых соединены со входами соответствующих им антенных элементов, выходы которых являются выходами устройства передачи сигнала, отличающееся тем, что введены дополнительных блоков направленной передачи и блоков коррекции спектра сигнала, при этом каждому из Lm дополнительных блоков направленной передачи соответствует К блоков суммирования, К аналоговых передатчиков и К антенных элементов, соответствующих m-му блоку направленной передачи, каждый дополнительный блок направленной передачи имеет К выходов, каждый из которых соответствует одному из К блоков суммирования, каждому из которых соответствует один из К аналоговых передатчиков, каждому из которых соответствует один из К антенных элементов, соответствующих этому блоку направленной передачи, каждый из блоков коррекции спектра сигнала соответствует одному блоку направленной передачи, первый вход каждого из блоков коррекции спектра сигнала является входом информационного сигнала, второй вход каждого из блоков коррекции спектра сигнала является входом соответствующей передаточной функции канала направленной передачи, выход каждого из блоков коррекции спектра сигнала соединен с первым входом соответствующего блока направленной передачи, каждый из К выходов каждого из дополнительных блоков направленной передачи соединен с дополнительными вторыми входами соответствующего ему блока суммирования.
13. Устройство передачи сигнала, содержащее М блоков направленной передачи, М·К блоков суммирования, М·К аналоговых передатчиков, М·К антенных элементов, при этом каждому блоку направленной передачи соответствует К блоков суммирования, К аналоговых передатчиков и К антенных элементов, каждый блок направленной передачи имеет К выходов, каждый из которых соответствует одному из К блоков суммирования, каждому из которых соответствует один из К аналоговых передатчиков, каждому из которых соответствует один из К антенных элементов, соответствующих этому блоку направленной передачи, вторые входы каждого из М блоков направленной передачи являются входами соответствующих ему К весовых коэффициентов направления передачи, каждый из К выходов каждого из М блоков направленной передачи соединен со вторым входом соответствующего ему блока суммирования, первый вход каждого из М·К блоков суммирования является входом пилот-сигнала, выходы блоков суммирования соединены со входами соответствующих им аналоговых передатчиков, выходы которых соединены со входами соответствующих им антенных элементов, выходы которых являются выходами устройства передачи сигнала, отличающееся тем, что введены дополнительных блоков направленной передачи, блоков коррекции спектра сигнала и сумматоров, при этом каждому из Lm дополнительных блоков направленной передачи соответствует К блоков суммирования, К аналоговых передатчиков и К антенных элементов, соответствующих блоку направленной передачи m, каждый дополнительный блок направленной передачи имеет К выходов, каждый из которых соответствует одному из К блоков суммирования, каждому из которых соответствует один из К аналоговых передатчиков, каждому из которых соответствует один из К антенных элементов, соответствующих этому блоку направленной передачи, каждый из дополнительных сумматоров соответствует одному блоку направленной передачи, каждый из блоков коррекции спектра сигнала соответствует одному дополнительному сумматору, первый вход каждого из блоков коррекции спектра сигнала является входом информационного сигнала, второй вход каждого из блоков коррекции спектра сигнала является входом соответствующей передаточной функции канала направленной передачи, выход каждого из блоков коррекции спектра сигнала соединен с первым входом соответствующего ему сумматора, второй вход каждого из сумматоров является входом пилот сигнала для разнесенной передачи, выход каждого из сумматоров соединен с первым входом соответствующего ему блока направленной передачи, каждый из К выходов каждого из дополнительных блоков направленной передачи соединен с дополнительными вторыми входами соответствующего ему блока суммирования.
14. Устройство по п.12 или 13, отличающееся тем, что блок направленной передачи содержит К умножителей, при этом объединенные первые входы К умножителей являются первым входом блока направленной передачи, их вторые входы являются вторыми входами блока направленной передачи, а их выходы являются выходами блока направленной передачи.
РИСУНКИ
|