|
|
(21), (22) Заявка: 2005107154/09, 15.03.2005
(24) Дата начала отсчета срока действия патента:
15.03.2005
(46) Опубликовано: 10.12.2006
(56) Список документов, цитированных в отчете о поиске:
US 5455947 А, 03.10.1995. RU 2159712 C1, 27.11.2000. US 5713014 А, 27.01.1998. RU 2175776 C1, 10.11.2001.
Адрес для переписки:
117312, Москва, пр-т 60-летия Октября, 9, ООО “Когнитивные технологии”, А.Н. Романову
|
(72) Автор(ы):
Окулов Валерий Михайлович (RU), Бачурин Евгений Викторович (RU), Акимова Нина Федоровна (RU), Курочкин Евгений Павлович (RU), Дубинина Вера Гавриловна (RU), Романов Анатолий Николаевич (RU)
(73) Патентообладатель(и):
ОАО “Аэрофлот – Российские авиалинии” (RU)
|
(54) СИСТЕМА ОПТИМИЗАЦИИ ОБЪЕМОВ ПАССАЖИРСКИХ ПЕРЕВОЗОК ТРАНСПОРТНЫХ КОМПАНИЙ
(57) Реферат:
Изобретение относится к вычислительной технике, в частности, к системе оптимизации объемов пассажирских перевозок транспортных компаний. Техническим результатом является улучшение показателей оптимизации путем исключения использования экспертных оценок экспертов и подключения для анализа статистических выборок анализируемых данных. Система содержит блок идентификатора временного периода, выбранного для анализа, блок приема и распределения данных, три регистра, счетчик, блок формирования текущего адреса записи значений показателя прибыли, блок интеграции адресных сигналов, три сумматора и три умножителя. 10 ил., 5 табл.
Изобретение относится к вычислительной технике, в частности к системе оптимизации объемов пассажирских перевозок
Принятие решений по повышению рентабельности пассажирских авиаперевозок базируется на статистических данных, которыми характеризуются результаты пассажирских авиаперевозок, выполняемых в течение заданного временного периода, в качестве которого может выступать календарный год или календарный сезон.
Статистические данные, как правило, включают следующий состав показателей: номер рейса, наименование маршрута, количество выполненных рейсов каждого номера за заданный период, доход, приходящийся на каждый рейс, доход на пассажирокилометр, среднюю доходную ставку по рейсу, по каждому классу бронирования, полный доход рейса за заданный период, процент занятости кресел на рейсе, количество перевезенных пассажиров, млн. пассажирокилометров, млн. креслокилометров и т.п.
Сопоставление динамики изменения этих показателей в их взаимосвязи позволяет с достаточной степенью вероятности судить о потенциале эксплуатируемого рынка, о структуре пассажиропотока (по доходной ставке), об эффективности расписания (правильности расстановки ВС), о правильности применения тарифов и т.п.
Оптимизация объемов пассажирских перевозок является для современной авиакомпании одним из аспектов управленческой деятельности.
Как правило, любую транспортную компанию, работающую на конкретном рынке, можно рассматривать, как динамическую систему.
В общем случае входными переменными такой системы являются цена (тарифы, средняя стоимость билета) и качество продукта – перевозки.
Выходной координатой системы является спрос на этот продукт. Как видно из фиг.6, управляющими параметрами системы перевозчик – рынок являются тарифы и объемы перевозок. Именно значения этих параметров компания может достаточно точно контролировать.
Для формализации постановки задачи воспользуемся методом гарантированного статистического оценивания параметров процессов и систем [1].
В соответствии с этим методом самый наихудший, нежелательный вид функции спроса, минимизирующий риск получения ошибочных оценок, имеет вид:

где С – цена;
V – объем перевозок в пассажирокилометрах (RPK);
a, b – коэффициенты экспоненты.
На практике применяется аппроксимация исходной экспоненциальной функции и приведение ее к линейному виду (классический вид функции спроса):

По смыслу коэффициент а означает платежеспособность рынка (максимальная цена, которую может еще пассажир заплатить); отношение а/b – имеет смысл емкости (вместимости) рынка, см. фиг.7.
Показатель b определяется как отношение величины числа пассажирокиллометров, приходящихся на конкретный рейс, к числу пассажиров, находящихся на борту воздушного судна, совершающего этот рейс (см.[4], с.171-175), где в таблице 2 приведен пример вычисления конкретных значений показателей а; b для вычисления доходной ставки от пассажирооборота на линии Москва – Лондон.
Зная функцию спроса, всегда можно определить доходы от продажи перевозок, т.е. выручку:

Операционные затраты, которые транспортная компания понесет при выполнении перевозки, можно представить в следующем виде:

где р – затраты, не зависящие от полета;
q – затраты, зависящие от полета.
Тогда величина прибыли авиакомпании М от выполненной перевозки может быть определена, как:

Задача состоит в создании такой системы оптимизации объемов пассажирских перевозок, которая бы позволяла находить оптимальную величина прибыли М авиакомпании с учетом всех затрат, как зависящих, так и не зависящих от полета.
Известны системы, которые могли бы быть использованы для решения поставленной задачи [1, 2].
Первая из известных систем содержит блоки приема и хранения данных, соединенные с блоками управления и обработки данных, блоки поиска и селекции, подключенные к блокам хранения данных и отображения, синхронизирующие входы которых соединены с выходами блока управления [1].
Существенный недостаток данной системы состоит в невозможности решения задачи обновления данных, хранимых в памяти в виде соответствующих документов одновременно с решением задачи выдачи содержания этих документов пользователям в реальном масштабе времени.
Известна и другая система, содержащая блоки приема данных, выходы которых соединены с блоком памяти и с блоком обработки данных, блок селекции временных интервалов, выходы которого подключены к блоку приема данных, к блоку приема запросов пользователей и к блоку памяти и блоку обработки данных, выходы которого соединены с одними входами блока коммутации каналов выдачи данных, другие входы которого соединены с блоком селекции временных интервалов, а выходы являются выходами системы [2].
Последнее из перечисленных выше технических решений наиболее близко к описываемому.
Его недостаток заключается в невысокой точности оптимизации, обусловленной тем, что значения критериев оптимизации задаются с помощью экспертных оценок экспертов, в результате чего количественные значения показателей оптимизации изменяются в очень широких пределах.
Цель изобретения – повышение точности системы путем исключения использования экспертных оценок экспертов и подключения статистических выборок анализируемых данных.
Поставленная цель достигается тем, что в известную систему, содержащую блок идентификатора временного периода, информационный вход которого является первым информационным входом системы, а синхронизирующий вход является первым синхронизирующим входом системы, при этом информационный выход соединен с информационным входом первого регистра, первый синхронизирующий выход является первым синхронизирующим выходом системы, а второй синхронизирующий выход подключен к синхронизирующему входу первого регистра, блок интеграции адресных сигналов, информационные входы которого соединены с выходами первого регистра и счетчика соответственно, один синхронизирующий вход подключен ко второму синхронизирующему выходу блока идентификатора временного периода, а выход является адресным выходом системы, блок формирования текущего адреса записи значения показателя прибыли, установочный вход которого является установочным входом системы, а информационный выход соединен с информационным входом счетчика, при этом первый синхронизирующий выход является вторым синхронизирующим выходом системы, второй синхронизирующий выход подключен к синхронизирующему входу счетчика, третий синхронизирующий выход соединен со счетным входом счетчика, а четвертый синхронизирующий выход подключен к другому синхронизирующему входу блока интеграции адресных сигналов, блок приема и распределения данных, первый и второй информационные входы которого являются вторым и третьим информационными входами системы, а первый и второй синхронизирующие входы являются вторым и третьим синхронизирующими входами системы соответственно, второй и третий регистры, введены первый сумматор, один информационный вход которого соединен с первым информационным выходом блока приема и распределения данных, а другой информационный вход подключен к выходу второго регистра, первый умножитель, один информационный вход соединен с вторым информационным выходом, другой информационный вход подключен к третьему информационному выходу блока приема и распределения данных, а выход соединен с информационным входом второго регистра, второй умножитель, информационные входы которого подключены к третьему и четвертому информационным выходам, а выход соединен с информационным входом третьего регистра, второй сумматор, один информационный вход которого подключен к выходу третьего регистра, другой информационный вход соединен с пятым информационным выходом блока приема и распределения данных, третий умножитель, один информационный вход которого соединен с выходом первого сумматора, другой информационный вход подключен к третьему информационному выходу блока приема и распределения данных, и третий сумматор, информационные входы которого соединены с выходами третьего умножителя и второго сумматора соответственно, а выход является информационным выходом системы, при этом первый синхронизирующий выход блока приема и распределения данных соединен с синхронизирующими входами первого и второго умножителей, второй синхронизирующий выход блока приема и распределения данных подключен к синхронизирующим входам второго и третьего регистров, третий синхронизирующий выход блока приема и распределения данных соединен с синхронизирующими входами первого и второго сумматоров, четвертый синхронизирующий выход блока приема и распределения данных подключен к синхронизирующему входу третьего умножителя, и пятый синхронизирующий выход блока приема и распределения данных соединен с синхронизирующими входами третьего сумматора и блока формирования текущего адреса записи значения показателя прибыли.
Сущность изобретения поясняется чертежами, где на фиг.1 представлена структурная схема устройства, на фиг.2 представлен пример конкретного конструктивного выполнения блока идентификатора временного периода, на фиг.3 – пример конкретного конструктивного выполнения блока приема и распределения данных, на фиг.4 – пример конкретного конструктивного выполнения блока формирования текущего адреса записи значений показателя прибыли, на фиг.5 – пример конкретного конструктивного выполнения блока интеграции адресных сигналов, на фиг.6 представлена схема, иллюстрирующая авиакомпанию, действующую на рынке, как динамическую систему, на фиг.7 представлен график функции спроса, на фиг.8 представлен график функции прибыли, на фиг.9 представлен график зависимости доходной ставки от пассажирооборота, а на фиг.10 представлен график зависимости прибыли от пассажирооборота.
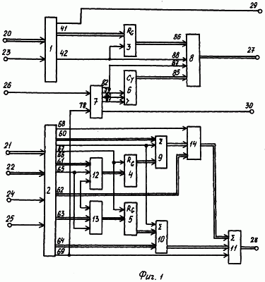
Система (фиг.1) содержит блок 1 идентификатора временного периода, выбранного для анализа, блок 2 приема и распределения данных, первый 3, второй 4 и третий 5 регистры, счетчик 6, блок 7 формирования текущего адреса записи значений показателя прибыли, блок 8 интеграции адресных сигналов, первый 9, второй 10 и третий 11 сумматоры, первый 12, второй 13 и третий 14 умножители.
На фиг.1 показаны первый 20, второй 21 и третий 22 информационные входы системы, первый 23, второй 24 и третий 25 синхронизирующие входы системы, установочный вход 26 системы, адресный 27 и информационный 28 выходы системы, и первый 29 и второй 30 синхронизирующие выходы системы.
Блок 1 идентификатора временного периода (фиг.2) содержит блок памяти 31, выполненный в виде постоянного запоминающего устройства, регистр 32, дешифратор 33, элементы 34-36 И, элемент 37 ИЛИ, элементы 38-40 задержки. На чертеже также показаны входы 20, 23 и выходы 29, 41-42.
Блок 2 приема и распределения данных (фиг.3) содержит регистры 45-49, элементы 50 ИЛИ группы, элементы 51-52 ИЛИ и элементы 53-57 задержки. На чертеже также показаны входы 21, 22, 24, 25 и выходы 60-69.
Блок 7 формирования текущего адреса записи значений показателя прибыли (фиг.4) содержит блок памяти 70, выполненный в виде постоянного запоминающего устройства, триггер 71, элементы 72, 73 И, элемент 74 ИЛИ, элементы 75, 76 задержки. На чертеже также показаны входы 26, 78 и выходы 30 и 79-82.
Блок 8 интеграции адресных сигналов (фиг.5) содержит триггер 81, элементы 82, 83 И групп и элементы 84 ИЛИ группы. На чертеже также показаны входы 85-88 и выход 27.
Система работает следующим образом.
В базе данных системы хранятся массивы показателей, характеризующие результаты пассажирских авиаперевозок транспортной компании за определенную последовательность календарных периодов, в качестве которых могут выступать либо годовые интервалы, либо интервалы, задаваемые сезонной периодичностью (осенне-зимний сезон, весенне-летний сезон).
Записи данных, необходимые для решения поставленной задачи и хранимые в базе данных системы имеют следующую структуру:
| Числовое значение коэффициента |
Числовое значение коэффициента |
Числовое значение объема перевозок |
Числовое значение затрат, зависящих от полета |
Числовое значение затрат, не зависящих от полета |
| а |
b |
V |
q |
p |
Числовые значения показателей каждой из подобных записей привязаны к конкретным видам (группам) рейсов и временному периоду, за который они получены.
Для решения поставленной задачи оператор со своего автоматизированного рабочего места задает идентификатор того временного периода заданной группы рейсов, для которого следует определить экстремум функции M=(a-bV)·V-p-qV
Код идентификатора временного периода с входа 20 системы поступает на вход регистра 32 блока 1 и заносится в него синхронизирующим сигналом с входа 23 системы. С выхода регистра 32 код идентификатора временного периода расшифровывается дешифратором 33, который на одном из своих выходов выдает высокий потенциал.
Параллельно с этим синхронизирующий импульс с входа 23 системы задерживается элементом 38 на время занесения кода в регистр 32 и срабатывания дешифратора 33. Затем этот же импульс поступает на входы элементов 34-36 И, опрашивая их состояние.
Учитывая то обстоятельство, что открытым дешифратором 33 по одному входу будет только один из элементов 34-36 И, то пройдя соответствующий элемент И, синхроимпульс, во-первых, поступает на вход считывания соответствующей фиксированной ячейки памяти постоянного запоминающего устройства 31. В фиксированной ячейке ПЗУ хранится опорный адрес ячейки памяти базы данных сервера, начиная с которой в базе данных сервера хранится массив данных указанного календарного периода, и считывает код базового адреса календарного года на выход 41 блока 1.
Код опорного адреса с выхода 41 блока 1 поступает на информационный вход регистра 3, куда и заносятся синхронизирующим импульсом с выхода 42 блока 1, задержанным элементом задержки 39 на время считывания кода из блока 31 памяти.
Код опорного адреса с выхода регистра 3 поступает на информационный вход 86 блока 8, где он подается на одни входы элементов 83 И группы. Параллельно с этим синхронизирующий импульс с выхода 42 блока 1 через вход 88 блока 8 поступает на установочный вход триггера 81 блока 8 и подтверждает его исходное состояние, при котором высоким потенциалом с инверсного выхода триггер 81 открывает по одним входам элементы 83 И группы.
Код адреса с выхода регистра 3 через вход 86 блока 8 поступает на другие входы элементов 83 И группы, проходит элементы 84 ИЛИ группы и выдается на адресный выход 27 системы.
Параллельно с описанным процессом формирования адреса считывания базы данных сервера синхронизирующий импульс с выхода элемента 39 блока 1 задерживается элементом 40 на время срабатывания регистра 3 и далее выдается на выход 29 системы в качестве импульса считывания, поступающего на вход первого канала прерывания сервера.
По этому сигналу сервер переходит на подпрограмму считывания записи массива данных из базы данных сервера по адресу, сформированному на выходе 27.
Содержимое опорного адреса выбранной ячейки памяти выдается сервером базы данных через вход 21 системы на соответствующие информационные входы регистров 45-49, куда оно заносится синхронизирующим импульсом сервера, поступающим с входа 24 системы.
В результате этого в соответствующих регистрах будут находиться численные значения соответствующих показателей, как это показано в таблице.
| Номера регистров |
Численные значения показателей |
| Регистр 45 |
коэффициента – a |
| Регистр 46 |
коэффициента – b |
| Регистр 47 |
объема перевозок – V |
| Регистр 48 |
затрат, зависящих от полета, – q |
| Регистр 49 |
затрат, не зависящих от полета, – р |
Умножитель 12 предназначен для формирования произведения bV, а умножитель 13 – для формирования произведения – qV.
С этой целью на информационные входы умножителя 12 с выходов 61, 62 блока 2 соответственно поступают численные значения коэффициента b и объема перевозок V, а на информационные входы умножителя 13 с выходов 64 и 63 блока 2 соответственно поступают численные значения затрат q и объема перевозок V.
По синхронизирующему сигналу с входа 24 системы, прошедшему элемент 52 ИЛИ блока 2 и задержанному элементом 53 на время занесения кодов в регистры 45-49, поступающему с выхода 65 блока 2 на синхронизирующие входы умножителей 12, 13, последние вычисляют упомянутые произведения и выдают их на информационные входы соответствующих регистров 4 и 5.
Занесение кодов в регистры 4 и 5 осуществляется синхронизирующим импульсом с выхода элемента 53, задержанным элементом 54 на время работы умножителей и поступающим с выхода 66 блока 2 на синхронизирующие входы регистров 4 и 5.
Коды полученных результатов с выходов регистров 4, 5 поступают на одни входы сумматоров 9 и 10, на другие входы которых подаются коды численных значений с выходов регистров 45 и 49 блока 2 через выходы 60 и 64 соответственно.
Сумматор 9 предназначен для вычисления разности (а-bV), поэтому численное значение произведения bV с выхода регистра 4 на один вход сумматора 9 подается в обратном коде.
Сумматор 10 предназначен для вычисления суммы (р+qV), поэтому численные значения обоих слагаемых поступают на входы сумматора 10 в прямом коде.
Синхронизация работы сумматоров 9 и 10 осуществляется по синхронизирующему сигналу, поступающему с выхода элемента задержки 55 через выход 67 блока 2 на синхронизирующие входы сумматоров 9 и 10.
Код полученного результата (а-bV) с выхода сумматора 9 поступает на один вход умножителя 14, на другой вход которого подается код численного объема перевозок с выхода регистра 47 блока 2 через выход 62. По синхронизирующему сигналу с выхода элемента задержки 56, поступающему через выход 68 блока 2 на синхронизирующий вход умножителя 14, умножитель вычисляет произведение (а-bV)·V, код которого поступает на один вход сумматора 11.
Сумматор 11 предназначен для вычисления разности
[(a-bV)·V-(p+qV)],
поэтому численное значение суммы (р+qV) с выхода сумматора 10 на другой вход сумматора 11 подается в обратном коде. По синхронизирующему сигналу с выхода элемента задержки 57, поступающему через выход 69 блока 2 на синхронизирующий вход сумматора 11, на выходе сумматора 11 формируется численное значение величины прибыли М, которое выдается на информационный выход 28 системы.
Одновременно с этим синхронизирующий импульс с выхода 69 блока 2 через вход 78 блока 7 поступает на входы элементов 72, 73 И. Учитывая, что к настоящему моменту времени триггер 71 находится в исходном состоянии, то высоким потенциалом с инверсного выхода элемент 73 И будет открыт, а элемент 72 И закрыт низким потенциалом с прямого выхода.
В результате этого входной импульс проходит через элемент 73 И на вход считывания блока памяти 70, выполненного в виде постоянного запоминающего устройства, в фиксированной ячейке памяти которого хранится начальный базовый адрес, начиная с которого в базе данных сервера будет формироваться массив данных, формируемый на выходе 28 системы.
В результате считывания базовый адрес с выхода 79 блока 7 поступает на информационный вход счетчика 6, куда он и заносится синхронизирующим импульсом с выхода элемента 73 И, задержанного элементом 75 на время считывания кода из ПЗУ 40, и с выхода 80 блока 7 поступающего на синхронизирующий вход счетчика 6.
С выхода счетчика 6 базовый адрес записи данных через вход 85 блока 8 поступает на одни входы элементов 82 И группы.
Синхронизирующий импульс с выхода элемента 75 задержки поступает также на прямой вход триггера 71, устанавливая его в единичное состояние, при котором элемент 73 И для очередного входного импульса с входа 78 будет закрыт, а элемент 72 И – открыт.
Кроме того, синхронизирующий импульс с выхода элемента 73 И проходит через элемент 74 ИЛИ на выход 82 блока 7 и далее через вход 87 блока 8 поступает на единичный вход триггера 81, устанавливая его в единичное состояние, при котором высоким потенциалом с прямого выхода триггер 81 открывает элементы 82 И, подключая выход счетчика 6 через элементы 82 И группы и элементы 84 ИЛИ к адресному выходу 27. Код адреса выдается на адресный выход 27 системы в качестве адреса записи вычисленных значений величины прибыли.
И, наконец, синхронизирующий импульс с выхода элемента 74 ИЛИ блока 7 задерживается элементом 76 на время срабатывания триггера 81 и выдается на выход 30 в качестве синхронизирующего импульса записи содержимого сумматора 11 с выхода 28 системы в базу данных по адресу, сформированному на выходе 27 системы.
Полученное значение прибыли отображается также на экране АРМа оператора.
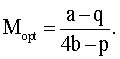
График функции прибыли, показанный на фиг.8, имеет экстремум, определяемый значениями:

и

В зависимости от того, в какой точке находится система, стратегия изменения объема перевозок будет разной. Иначе говоря, правило принятия решений будет состоять в том, что
для точки A: dM/dV>O RPK следует увеличивать, а
для точки В: dM/dV
Для поиска оптимального значения прибыли оператор, используя данное правило принятия решений, изменяет величину задаваемого объема перевозок V и со своего рабочего места через информационный вход 22 системы вводит в регистр 47 через группу элементов 50 ИЛИ новое значение объема перевозок, которое заносится в регистр 47 синхронизирующим импульсом, поступающим с входа 25 через элемент 51 ИЛИ на синхронизирующий вход регистра 47. Значения остальных численных значений в регистрах 45, 46, 48 и 49 остаются без изменений.
Запуск работы системы на новый цикл вычисления оптимального значения прибыли осуществляется тем же синхронизирующим импульсом с входа 25, который проходит через элемент 52 ИЛИ, задерживается элементом 53 задержки на время занесения данных в регистр 47 блока 2 и далее поступает на синхронизацию узлов и блоков системы, которая работает описанным выше образом.
Отличие работы системы от первого цикла вычислений состоит в том, что в последующих циклах импульс синхронизации с выхода 69 блока 2 через вход 78 блока 7 проходит только через элемент 72 И, так как после первого цикла вычислений триггер 71 остался в единичном состоянии, при котором путь прохождения синхронизирующего импульса через элемент 73 И заблокирован низким потенциалом с инверсного выхода триггера 71.
В результате этого синхронизирующий импульс будет проходить через элемент 72 и поступать, во-первых, с выхода 81 блока 7 на счетный вход счетчика 6, увеличивая его показания на единицу.
Во-вторых, пройдя элемент 74 ИЛИ, этот синхронизирующий импульс с выхода 82 блока 7 через вход 87 блока 8 поступает на единичный вход триггера 81, подтверждая его единичное состояние, при котором высоким потенциалом с прямого выхода триггер 81 открывает элементы 82 И, подключая выход счетчика 6 через элементы 82 И группы и элементы 84 ИЛИ к адресному выходу 27. Код адреса выдается на адресный выход 27 системы в качестве адреса записи вычисленных значений величины прибыли.
И, наконец, этот же синхронизирующий импульс с выхода элемента 74 ИЛИ блока 7 задерживается элементом 76 на время срабатывания триггера 81 и выдается на выход 30 в качестве синхронизирующего импульса записи содержимого сумматора 11 с выхода 28 системы в базу данных по адресу, сформированному на выходе 27 системы.
Эластичность (вариабельность) прибыли по объему перевозок RPK будет равна:

где p – доля (удельный вес) не зависящих от полета расходов;
Rн – рентабельность авиаперевозки (рейса).
Если p 70% и Rн=20%, то изменение (+/-) объемов перевозок (RPK) на 1% приведет к изменению прибыли на ±4,5%, т.е. существенно как т. А или В близко расположена к ординате со значением Vm.
Эластичность (вариабельность) по тарифу (ср. стоимости билета) будет:

Тогда если Rн=20%, то изменение тарифа на±1% приведет к изменению прибыли на±6%.
Метод оптимизации загрузки воздушных судов, реализованный в данной системе, с учетом эластичности рынка дает хорошие по точности результаты в задачах краткосрочных (оперативных) прогнозов авиаперевозок.
В качестве примера рассмотрим результаты работы системы по определению оптимального пассажирооборота на линии Москва – Лондон на основании следующей статистики перевозок, полученной за 2003 год.
| |
2003 |
|
N-polet |
1557 |
| F |
72% |
|
dist |
2596 |
| р= |
22 834 803,5 |
$ |
пол.нед parn |
20 |
| q= |
0,0539 |
$/pkm |
Кресла./неделя |
4398 |
| Marja |
-1510987 |
$ |
Pax |
195955 |
| ASK |
708 131 386,0 |
krkm |
Емкость судна |
292 |
| RPK |
508 724 237,4 |
Pkm |
Summ – кресла |
454805 |
Зависимость доходной ставки от пассажирооборота представлена на фиг.9, а зависимость прибыли от пассажирооборота представлена на фиг.10.
На основании этих зависимостей М opt, V opt, С opt имеют следующие значения
| Mopt |
2271056,1 |
$ |
| Vopt |
398 738 473 |
pkm |
| Copt |
0,11 |
$/pkm |
Оптимальные же частоты, при которых прибыль будет максимальной, будут иметь следующие значения:
| ASK |
522 666 667 |
| Кресла |
201 801 |
| Кресла в неделю |
3881 |
| Количество пассажиров |
151 351 |
| Парных рейсов в неделю |
14 |
Таким образом, введение новых узлов и блоков и новых конструктивных связей позволило существенно повысить точность системы путем исключения использования экспертных оценок экспертов и подключения для анализа статистических выборок анализируемых данных.
Источники информации
1. Алексахин С.В. Прикладной статистический анализ. М.: Приор, Москва, 2001.
2. Патент США № 5455947 А, 03.10. 95.
3. Патент США № 5713014 А, 27.01.98 (прототип).
4. Дубинина В.Г. Вопросы оптимизации объемов пассажирских перевозок транспортных компаний. В сборнике ДОКУМЕНТООБОРОТ. Прикладные аспекты. – М.: Едиториал УРСС, 2005 г., 184 с.
Формула изобретения
Система оптимизации объемов пассажирских перевозок транспортных компаний, содержащая блок идентификатора временного периода, информационный вход которого является первым информационным входом системы, а синхронизирующий вход является первым синхронизирующим входом системы, при этом информационный выход соединен с информационным входом первого регистра, первый синхронизирующий выход является первым синхронизирующим выходом системы, а второй синхронизирующий выход подключен к синхронизирующему входу первого регистра, блок интеграции адресных сигналов, информационные входы которого соединены с выходами первого регистра и счетчика соответственно, один синхронизирующий вход подключен ко второму синхронизирующему выходу блока идентификатора временного периода, а выход является адресным выходом системы, блок формирования текущего адреса записи значения показателя прибыли, установочный вход которого является установочным входом системы, а информационный выход соединен с информационным входом счетчика, при этом первый синхронизирующий выход является вторым синхронизирующим выходом системы, второй синхронизирующий выход подключен к синхронизирующему входу счетчика, третий синхронизирующий выход соединен со счетным входом счетчика, а четвертый синхронизирующий выход подключен к другому синхронизирующему входу блока интеграции адресных сигналов, блок приема и распределения данных, первый и второй информационные входы которого являются вторым и третьим информационными входами системы, а первый и второй синхронизирующие входы являются вторым и третьим синхронизирующими входами системы соответственно, второй и третий регистры, отличающаяся тем, что система содержит первый сумматор, один информационный вход которого соединен с первым информационным выходом блока приема и распределения данных, а другой информационный вход подключен к выходу второго регистра, первый умножитель, один информационный вход соединен со вторым информационным выходом блока приема и распределения данных, другой информационный вход первого умножителя подключен к третьему информационному выходу блока приема и распределения данных, а выход соединен с информационным входом второго регистра, второй умножитель, информационные входы которого подключены к третьему и четвертому информационным выходам блока приема и распределения данных, а выход соединен с информационным входом третьего регистра, второй сумматор, один информационный вход которого подключен к выходу третьего регистра, другой информационный вход соединен с пятым информационным выходом блока приема и распределения данных, третий умножитель, один информационный вход которого соединен с выходом первого сумматора, другой информационный вход подключен к третьему информационному выходу блока приема и распределения данных, и третий сумматор, информационные входы которого соединены с выходами третьего умножителя и второго сумматора соответственно, а выход является информационным выходом системы, при этом первый синхронизирующий выход блока приема и распределения данных соединен с синхронизирующими входами первого и второго умножителей, второй синхронизирующий выход блока приема и распределения данных подключен к синхронизирующим входам второго и третьего регистров, третий синхронизирующий выход блока приема и распределения данных соединен с синхронизирующими входами первого и второго сумматоров, четвертый синхронизирующий выход блока приема и распределения данных подключен к синхронизирующему входу третьего умножителя и пятый синхронизирующий выход блока приема и распределения данных соединен с синхронизирующими входами третьего сумматора и блока формирования текущего адреса записи значения показателя прибыли.
РИСУНКИ
MM4A – Досрочное прекращение действия патента СССР или патента Российской Федерации на изобретение из-за неуплаты в установленный срок пошлины за поддержание патента в силе
Дата прекращения действия патента: 16.03.2007
Извещение опубликовано: 27.06.2008 БИ: 18/2008
|
|