|
|
(21), (22) Заявка: 2005107405/28, 16.03.2005
(24) Дата начала отсчета срока действия патента:
16.03.2005
(43) Дата публикации заявки: 27.08.2006
(46) Опубликовано: 10.12.2006
(56) Список документов, цитированных в отчете о поиске:
RU 2191346 С2, 10.03.2002. RU 2036413 C1, 27.05.1995. SU 1652806 A1, 30.05.1991. JP 11-257908 A1, 24.09.1999. ЕР 0503556 A1, 16.09.1992.
Адрес для переписки:
460352, г.Оренбург, пр-т Победы, 13, ГОУ ОГУ, патентный отдел
|
(72) Автор(ы):
Сильвашко Сергей Анатольевич (RU), Булатов Виталий Николаевич (RU), Шевеленко Владимир Дмитриевич (RU)
(73) Патентообладатель(и):
Государственное образовательное учреждение высшего профессионального образования “Оренбургский государственный университет” (RU)
|
(54) СПОСОБ КОМПЛЕКСНОГО КОНТРОЛЯ ТРЕХФАЗНОЙ ОБМОТКИ ЭЛЕКТРИЧЕСКОЙ МАШИНЫ
(57) Реферат:
Изобретение относится к электроизмерительной технике и может быть использовано при контроле межвитковой изоляции и обнаружении замыканий в обмотке статора асинхронных электрических машин. Технический результат: повышение достоверности за счет повышения чувствительности. Сущность: на обмотки электрической машины от генератора с регулируемыми длительностью импульса и временем задержки t3 подают суперпозицию двух импульсных последовательностей с одинаковыми периодами Т и противоположными полярностями импульсов. Устанавливают время задержки между указанными импульсными последовательностями t3= . Изменяют длительность импульсов и время задержки t3 между импульсными при соблюдении условия t3= , добиваясь размещения k-й гармоники, имеющей максимальную амплитуду, на частоте 0=2k /Т. Фиксируют значение напряжения на выходе фазового детектора, пропорциональное разности фаз гармоник с номером n=k, выделенных из испытательного напряжения избирательными блоками, настроенными на частоту 0=2k /T. Последовательно меняют местами фазные обмотки. По изменению значения напряжения на выходе фазового детектора судят о наличии дефекта в соответствующей фазной обмотке. 3 ил.
Изобретение относится к электроизмерительной технике и может быть использовано при контроле межвитковой изоляции и обнаружении замыканий в обмотке статора асинхронных электрических машин малой мощности.
Известен способ комплексного контроля трехфазной обмотки электрической машины [а.с. №1465830, МКИ4 G 01 R 31/06. Опубл. БИ №10, 1989], основанный на подаче испытательного напряжения между соответствующим выводом первой фазной обмотки и одноименными или разноименными с ним выводами второй и третьей фазных обмоток, где в качестве испытательного напряжения используют суперпозицию двух последовательностей импульсов с одинаковыми полярностью и периодами повторения Т и регулируемым временем задержки t3 между ними, установлении нулевого времени задержки между указанными последовательностями импульсов, изменении длительности импульсов и размещении при этом резонансной частоты обмоток между соответствующими ей по частоте первым и вторым нулем амплитудного спектра испытательного напряжения, измерении соответственно напряжений между указанным выводом первой и свободными выводами второй и третьей фазных обмоток, получении векторной разности измеренных напряжений, выделении из нее последовательно гармоник от первого до второго нуля амплитудного спектра при одновременном изменении длительности импульсов и достижении при этом расположения выделяемой гармоники в середине между первым и вторым нулем амплитудного спектра и определении гармоники, амплитуда которой максимально фиксирует эту гармонику, увеличении времени задержки, добиваясь при этом уменьшения амплитуды этой гармоники до нуля, последовательном изменении мест двух фазных обмоток, измерении амплитуды зафиксированной ранее гармоники, суждении о наличии замыкания в обмотке по изменению амплитуды зафиксированной гармоники от нулевого уровня.
Недостатком данного способа является относительно низкая чувствительность, не позволяющая обнаруживать один – два короткозамкнутых витка. Это связано с тем, что в реальных статорах электродвигателей существует множество распределенных межвитковых емкостей значением в несколько единиц пикофарад, образующих с распределенными индуктивностями секций фазной обмотки ряд последовательно включенных параллельных колебательных контуров с индивидуальными резонансными частотами. Наличие множества близко расположенных резонансов на амплитудно-частотной характеристике (АЧХ) обмотки статора в установленном диапазоне частот в сочетании с технологическим разбросом значений распределенных индуктивностей и емкостей не позволяет обеспечить способом, изложенным в прототипе, разрешающую способность на уровне один – два короткозамкнутых витка.
Технический результат изобретения – повышение достоверности контроля за счет повышения чувствительности.
Задача решается тем, что в способе комплексного контроля трехфазной обмотки электрической машины, основанном на подаче испытательного напряжения между соответствующим выводом первой фазной обмотки и одноименными или разноименными с ним выводами второй и третьей фазных обмоток, где в качестве испытательного напряжения используют суперпозицию двух последовательностей импульсов длительностью с одинаковыми периодами повторения Т и регулируемым временем задержки t3 между ними, последовательном изменении мест двух фазных обмоток, устанавливают полярность импульсов второй последовательности, противоположной по отношению к первой, изменяют длительность импульсов и время задержки t3 при соблюдении условия t3= , добиваясь размещения k-й гармоники с максимальной амплитудой, выполнением условия =t3= / 0, выделенной из напряжений, полученных на двух резисторах, включенных между свободными выводами соответственно второй и третьей фазных обмоток и указанным выводом первой фазной обмотки, на середине частотного диапазона, соответствующего линейной части амплитудно-частотной характеристики фазных обмоток, на частоте 0=2k /T регистрируют разность фаз выделенных гармоник до и после смены местами двух фазных обмоток и по различию зарегистрированных значений разностей фаз судят о наличии замыкания в фазной обмотке.
На фиг.1 представлено устройство, реализующее предлагаемый способ; на фиг.2 – временные диаграммы напряжений, поясняющие работу устройства; на фиг.3 – амплитудный спектр и частотные характеристики, поясняющие работу устройства.
Устройство, реализующее способ, содержит генератор 1 импульсов с регулируемой длительностью и временем задержки t3, два резистора R1 и R2, два избирательных блока 2 и 3, фазовый детектор 4 и вольтметр 5. Первый вывод генератора 1 соединен с первым выводом первой фазной обмотки 6.1 объекта 6 контроля и первыми выводами резисторов R1 и R2, второй вывод соединен с первыми выводами второй 6.2 и третьей 6.3 фазных обмоток объекта 6 контроля. Кроме того, первый вывод первой обмотки 6.1 объекта 6 контроля соединен с первыми выводами избирательных блоков 2 и 3, вторые выводы второй 6.2 фазной обмотки объекта 6 контроля и резистора R1 соединены со вторым выводом избирательного блока 2, вторые выводы третьей 6.3 фазной обмотки объекта 6 контроля и резистора R2 соединены со вторым выводом избирательного блока 3, выходы избирательных блоков 2 и 3 соединены соответственно с первым и вторым входами фазового детектора 4, выход которого соединен со входом вольтметра 5.
Предложенный способ основан на особенностях фазовых спектров, полученных в результате наложения спектра суперпозиции двух импульсных последовательностей, подаваемых от генератора импульсов на обмотки фаз объекта контроля, на АЧХ фазной обмотки.
Как показано в [Булатов В.Н. Спектрально-импульсные методы воспроизведения и трансформации фазовых спектров. – Оренбург: ОГУ, 2001. – 290 с.: ил.], спектральная плотность импульса прямоугольной формы вида

где Е, – соответственно амплитуда и длительность импульса, может быть представлена выражением

где =2 f, f – текущая частота гармонических составляющих спектра сигнала.
Спектральная плотность импульса прямоугольной формы с амплитудой минус Е и длительностью , задержанного на время t3= , может быть представлена выражением

а спектральная плотность суперпозиции двух оговоренных выше прямоугольных импульсов – соответственно выражением

Переходя к суперпозиции двух последовательностей импульсов с частотой повторения импульсов =2 /T (фиг.2), получаем амплитудный спектр полного сигнала (фиг.3, а):

где n= T/2 =1, 2, 3, – номер гармоники.
Особенность полученного при t3= спектра (5) состоит в том, что его фазовая составляющая целиком определяется фазовым множителем ехр[j( /2-n /T)], так как остальные сомножители при любых значениях n всегда положительны.
При фиксации гармоники с номером n=k (частота гармоники 0=k ), имеющей максимальную амплитуду на частоте 0 (фиг.3), амплитудный спектр на основании (5) примет вид:

откуда определяем значения регулируемых величин

Таким образом, для установленной гармоники n=k с учетом (6) комплексная амплитуда ее напряжения, приложенного к первым выводам второй (6.2) и третьей (6.3) фазных обмоток, будет определяться выражением

не содержащим фазового множителя.
В результате проведенных исследований фазных обмоток трехфазных электродвигателей малой мощности установлено, что на их АЧХ существуют три характерных участка (фиг.3, б): участок I (единицы – сотни Гц), где АЧХ носит нелинейный характер (разброс значений полного сопротивления в пределах этого участка для отдельных экземпляров фазных обмоток связан с технологическим разбросом активного сопротивления обмотки в пределах допуска); участок II (единицы кГц) – линейный участок с крутизной наклона характеристики 20 дБ/дек (протяженность участка зависит от типа статора); участок III (десятки кГц), где АЧХ имеет множество близко расположенных резонансов, обусловленных наличием в фазной обмотке распределенных индуктивностей и емкостей (причем вследствие технологического разброса параметров обмоток частоты этих резонансов для отдельных экземпляров фазных обмоток различны). Наличие линейного участка на АЧХ фазной обмотки свидетельствует о преобладании в указанном диапазоне частот индуктивного характера сопротивления обмотки над активным в несколько раз.
В предлагаемом способе для формирования измерительных сигналов в цепи контролируемых обмоток введены резисторы R1=R2=R (фиг.1). С учетом этого комплексное сопротивление цепи, образованной фазной обмоткой и резистором R на частоте 0=k , где k – номер гармоники, выделяемой из измеренных напряжений, можно представить выражением

где r – активное сопротивление обмотки, L – индуктивность фазной обмотки, R =R+r – полное активное сопротивление цепи, XL – реактивное сопротивление в области частоты 0 (фиг.3, б). Комплексная амплитуда для k-й гармоники напряжения на резисторе R определяется выражением
, следовательно, фаза колебаний uвых(t) равна

Короткое замыкание малой части витков в одной из фазных обмоток приводит к уменьшению ее комплексного сопротивления на некоторую величину j ХL+ r, причем в указанном диапазоне частот (участок II, фиг.3, б) имеет место соотношение r< XL, поэтому значение r может не учитываться. Следовательно, по аналогии с выражением (8), фаза колебаний uвых(t) на резисторе R в цепи с короткозамкнутой фазной обмоткой будет иметь вид

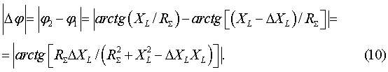
Разность фаз выделенных гармоник с номером n=k, с учетом (8) и (9), определяется выражением

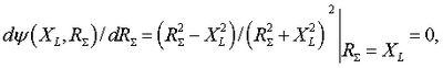
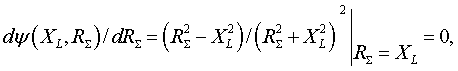
В частности, учитывая, что максимальная чувствительность d 1/dXL характеристики (8) достигается при R =XL, так как

и в точке максимума (XL)

то рекомендуется выбирать величину резисторов

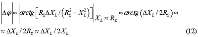
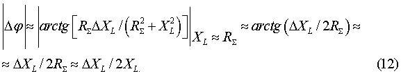
В этом случае выражение (10), учитывая, что XLL, примет вид

Таким образом, изменение индуктивности, вызванное замыканием части витков одной из фазных обмоток, приводит к пропорциональному сдвигу фаз гармоник с номером n=k.
Способ комплексного контроля трехфазной обмотки осуществляется следующим образом.
Избирательные блоки 2 и 3 (фиг.1) настраивают на частоту 0=k =2k /Т, расположенную на середине участка II, соответствующего линейной части АЧХ фазных обмоток (фиг.3, б). На обмотки электрической машины от генератора 1 с регулируемыми длительностью импульса и временем задержки t3 подают суперпозицию двух импульсных последовательностей с одинаковыми периодами Т и противоположными полярностями, устанавливают время задержки между указанными импульсными последовательностями t3= (фиг.2). Изменяют длительность импульсов и время задержки t3 между импульсными последовательностями генератора 1 при соблюдении условия t3= , добиваясь размещения гармоники с номером n=k, имеющей максимальную амплитуду напряжения (7) при выполнении условия (6), на частоте 0=k =2k /Т (фиг.3). С помощью вольтметра 5 фиксируют значение напряжения на выходе фазового детектора 4, пропорциональное разности фаз гармоник с номером n=k, выделенных из испытательного напряжения избирательными блоками 2 и 3. Последовательно меняют местами фазные обмотки и по изменению значения напряжения, измеряемого вольтметром 5 на выходе фазового детектора 4, судят о наличии дефекта в соответствующей фазной обмотке.
Например, при коэффициенте передачи фазового детектора 0,4 В/град и соотношении XL/XL 0,001, что соответствует замыканию одного витка в фазной обмотке, значение | |=0,0005 рад = 0,028 град, а значение напряжения на выходе фазового детектора uвых=0,4·0,028=11,2 мВ и, следовательно, может быть измерено стандартными средствами.
Таким образом, предлагаемый способ комплексного контроля трехфазной обмотки электрической машины малой мощности позволяет повысить достоверность контроля и обеспечивает обнаружение одного короткозамкнутого витка.
Формула изобретения
Способ контроля трехфазной обмотки электрической машины, основанный на подаче испытательного напряжения между соответствующим выводом первой фазной обмотки и одноименными или разноименными с ним выводами второй и третьей фазных обмоток, где в качестве испытательного напряжения используют суперпозицию двух последовательностей импульсов длительностью с одинаковыми периодами повторения Т и регулируемым временем задержки t3 между ними, последовательном изменении мест двух фазных обмоток, отличающийся тем, что устанавливают полярность импульсов второй последовательности, противоположной по отношению к первой, изменяют длительность импульсов и время задержки t3 при соблюдении условия t3= , добиваясь размещения k-й гармоники с максимальной амплитудой, выполнением условия =t3= / 0, выделенной из напряжений, полученных на двух резисторах, включенных между свободными выводами соответственно второй и третьей фазных обмоток и указанным выводом первой фазной обмотки на середине частотного диапазона, соответствующего линейной части амплитудно-частотной характеристики фазных обмоток, на частоте 0=2k /T, регистрируют разность фаз выделенных гармоник до и после смены местами двух фазных обмоток и по различию зарегистрированных значений разностей фаз судят о наличии замыкания в фазной обмотке.
РИСУНКИ
MM4A – Досрочное прекращение действия патента СССР или патента Российской Федерации на изобретение из-за неуплаты в установленный срок пошлины за поддержание патента в силе
Дата прекращения действия патента: 17.03.2007
Извещение опубликовано: 27.06.2008 БИ: 18/2008
|
|