|
(21), (22) Заявка: 2005105884/15, 03.03.2005
(24) Дата начала отсчета срока действия патента:
03.03.2005
(46) Опубликовано: 10.12.2006
(56) Список документов, цитированных в отчете о поиске:
MOOG R. et al., «Evaluation of a concurrent multicomponent collection system for the collection and storage of WBC-reduced RBC apheresis concentrates». Transfusion. 2001, Sep; Vol.41(9): p.1159-1164. RU 2147123 C1, 27.03.2000. US 6632676 A, 14.10.2003. GB 2023287 A1, 28.12.1979. WO 02097432 A1, 05.12.2002. MOOG R. et al. «Collection of WBC-reduced
Адрес для переписки:
603137, г.Нижний Новгород, ул. Жукова, 3, кв.88, В.А. Клемину
|
(72) Автор(ы):
Клемин Виктор Александрович (RU), Долгов Владимир Владимирович (RU), Тамарова Елена Николаевна (RU), Розанов Евгений Валерьевич (RU), Сорпова Ольга Викторовна (RU)
(73) Патентообладатель(и):
Клемин Виктор Александрович (RU), Долгов Владимир Владимирович (RU)
|
(54) СПОСОБ ОПРЕДЕЛЕНИЯ ГЕМОГЛОБИНА, КОЛИЧЕСТВА ЭРИТРОЦИТОВ, ЛЕЙКОЦИТОВ, ТРОМБОЦИТОВ, ГЕМАТОКРИТА И СКОРОСТИ ОСЕДАНИЯ ЭРИТРОЦИТОВ В ЦЕЛЬНОЙ КРОВИ
(57) Реферат:
Сущность способа состоит в том, что из крови пациента получают образец А, из которого готовят лейкоцитарную суспензию, тромбоцитарную суспензию и безтромбоцитарную среду, затем в акустические ячейки двух аналогичных, подключенных к компьютеру устройств для контроля биологических жидкостей с поддерживаемой в них температурой от 15 до 40°С, которая в первом устройстве ниже, чем на втором, помещают соответственно физиологический раствор и образец А, пропускают через них ультразвук с частотой, изменяющейся в диапазоне от 2 до 40 МГц, измеряют одновременно скорость его прохождения в физиологическом растворе и коэффициент поглощения в образце А, затем измеряют скорость прохождения ультразвука в образце А в течение промежутка времени, на протяжении которого в первое устройство вместо физиологического раствора последовательно помещают лейкоцитарную суспензию, тромбоцитарную суспензию и безтромбоцитарную среду, измеряя в них скорость прохождения ультразвука, на основании полученных данных определяют концентрацию гемоглобина, количество эритроцитов, лейкоцитов и тромбоцитов, гематокрит и скорость оседания эритроцитов в цельной крови. Способ обладает высокой точностью и информативностью, поскольку позволяет определять все показали общего клинического анализа крови достаточно быстро и, следовательно, может применяться для скрининговых исследований. 3 з.п. ф-лы.
(56) (продолжение):
CLASS=”b560m”single-donor PLT concentrates with a new blood cell separator: results of a multicenter study», Transfusion. 2003, Aug; 43(8): 1107-1114.
Изобретение относится к медицине, а именно к лабораторной диагностике, и может применяться для проведения общего клинического анализа крови, включающего в себя определение концентрации гемоглобина, гематокрита, подсчет числа эритроцитов, лейкоцитов и тромбоцитов, расчет эритроцитарных индексов (MCV, МСН, МСНС), а также определение скорости оседания эритроцитов (СОЭ).
Известны фотометрические способы определения гемоглобина в крови: гемиглобинцианидный и гемихромный.
Гемиглобинцианидный метод (метод Драбкина) рекомендован Международным комитетом по стандартизации в гематологии в качестве референтного (1). Гемоглобин окисляют до метгемоглобина красной кровяной солью, а затем переводят в стабильный окрашенный цианметгемоглобин. Абсорбция определяется при 540 нм. Для этого в пробирку к 5 мл трансформирующего раствора добавляют 20 мкл крови (разведение 1:251). Содержимое пробирки тщательно перемешивают и оставляют на 10 мин. Измерение проводят на спектрофотометре при длине волны 540 нм или при 520-560 нм на фотоэлектрокалориметре в кювете с длиной оптического пути 1 см против холостой пробы (трансформирующий раствор). Расчет содержания гемоглобина проводят по калибровочному графику, построенному по четырем точкам. На миллиметровой бумаге по оси абсцисс откладывают концентрации гемоглобина, указанные в паспорте к калибровочным ампулам, а по оси ординат откладывают соответствующие измеренные значения абсорбции или показания гемоглобинометра. Из калибровочного графика рассчитывают фактор пересчета для программируемого фотометра или расчетной таблицы.
Гемихромный метод (1) зарегистрирован в МЗ РФ и рекомендован для применения в клинико-диагностических лабораториях. Измеряется непосредственно метгемоглобин (гемихром). Максимум его поглощения при 533 нм. Измерение на этой длине волны возможно лишь в спектрофотометрах. Кроме того, метгемоглобин – лишь одна из форм гемоглобина, соотношение их в каждом конкретном случае неизвестно.
К недостаткам всех фотометрических способов можно отнести необходимость применения калибровочных растворов, а также обязательность проведения пробоподготовки. Биопроба должна иметь окраску, но не быть мутной. Существует несколько причин, по которым затруднено фотометрическое определение гемоглобина непосредственно в цельной крови (2):
– нарушение математического закона Бугера-Ламберта-Бера за счет наличия большого количества клеток и белков в крови, что увеличивает рассеивание света;
– необходимая плотность фотометрирования (0,5 Белл) возможна лишь при разведении крови;
– производные гемоглобина имеют разные спектральные кривые поглощения, результат фотометрирования зависит от их соотношения, которое неизвестно у каждого конкретного пациента.
Для подсчета клеток крови используют ручные и автоматические методики.
Известен способ определения эритроцитов в цельной крови путем их подсчета в камере Горяева под микроскопом (3) в определенном количестве квадратов счетной сетки с последующим пересчетом на 1 мкл крови исходя из объема квадратов и разведения крови. Для этого в пробирку с 4 мл 0,9% раствора хлорида натрия добавляют 20 мкл крови и перемешивают. Подготовленную счетную камеру заполняют при помощи стеклянной палочки и оставляют в горизонтальном положении на 1 мин для осаждения эритроцитов. Подсчет проводится в 5 больших квадратах (80 малых). Расчет проводят по формуле:

где Х – число эритроцитов в 1 мкл крови; а – число сосчитанных эритроцитов в 80 малых квадратах; 200 – разведение крови; 1/4000 мкл – объем одного малого квадрата.
Известен также способ определения лейкоцитов путем их подсчета в камере Горяева под микроскопом, который проводят после лизирования эритроцитов в 100 больших квадратах счетной сетки и пересчитывают на 1 л крови (4). Подсчет лейкоцитов должен быть проведен в течение 2-4 часов после взятия крови. В пробирку с 0,4 мл 3-5% раствора уксусной кислоты, подкрашенного раствором метиленового синего, добавляют 20 мкл крови (разведение 1:20). Тщательно перемешивают и заполняют камеру Горяева. Заполненную камеру оставляют в горизонтальном положении на 1 минуту для осаждения лейкоцитов. Лейкоциты подсчитывают в 100 больших квадратах при малом увеличении. Расчет числа лейкоцитов проводят по формуле:

где Х – число лейкоцитов в 1 мкл крови, а – число лейкоцитов в 100 больших квадратах, 20 – разведение крови, 100 – число посчитанных квадратов, 250 – объем одного большого квадрата 1/250.
Существуют методы подсчета тромбоцитов в счетной камере и в мазках крови (5). Подсчет тромбоцитов в камере достаточно точен, не требует для расчета количества эритроцитов. С другой стороны, этот метод более трудоемкий, поскольку тромбоциты в нативном состоянии представлены мелкими и плохо контрастированными элементами.
Исследуемую кровь разводят в 200 раз (в сухую пробирку набирают 4 мл 1% раствора оксалата аммония и 20 мкл крови). Перемешивают и оставляют на 25-30 минут для гемолиза эритроцитов. Заполненную счетную камеру помещают во влажную камеру на 5 минут для оседания тромбоцитов. При помощи фазово-контрастного устройства считают тромбоциты в 25 больших квадратах. Расчет проводят по формуле:

где Х – число тромбоцитов в 1 мкл крови, а – число тромбоцитов в 25 больших квадратах, 200 – разведение крови, 25 – число сосчитанных квадратов, 250 – объем одного квадрата 1/250 мкл.
Определение количества тромбоцитов в мазках крови по Фонио значительно уступает по своей точности камерному методу, т.к. зависит от качества мазка и точности подсчета количества эритроцитов. Проводят подсчет числа тромбоцитов в окрашенных мазках на 1000 эритроцитов с расчетом на 1 мкл крови исходя из содержания в этом объеме количества эритроцитов (5). Для этого кровь перемешивают с 2,6% раствором ЭДТА (этилендиаминтетраацетат натрия) в пропорции 4:1. Готовят тонкие мазки и окрашивают их по Романовскому-Гимзе в течение 35-40 минут. Высохшие мазки микроскопируют с иммерсионным объективом, подсчитывая количество тромбоцитов в тонких местах препарата. Подсчет проводят следующим образом: в каждом поле зрения микроскопа считают число тромбоцитов и эритроцитов, передвигая мазок до тех пор, пока не будут просчитаны 1000 эритроцитов. Расчет проводят по формуле:

где Х – количество тромбоцитов *109/л, а – число тромбоцитов на 1000 эритроцитов, b – число эритроцитов в 1 л крови, 1000 – количество посчитанных эритроцитов.
Ручные методы подсчета клеток чрезвычайно трудоемки и имеют огромное количество источников ошибок: неточное взятие крови в пипетку, образование сгустка крови, недостаточное перемешивание, неправильное заполнение камеры, ошибка в счете, недостаточно чистая посуда и т.д.
Анализ клеток крови на гематологических анализаторах имеет ряд неоспоримых преимуществ. Работа большинства гематологических анализаторов основана на кондуктометрическом методе, разработанном J.& W.Coulter в 1947 году, который позволяет подсчитать не только количество клеток, но и охарактеризовать объем каждой клетки, проходящей через апертуру. Принцип метода основан на подсчете числа клеток, проходящих через апертуру, по обе стороны которой расположены электроды, через которые проходит постоянный электрический ток. При прохождении клетки через микроотверстие сопротивление в электрической цепи возрастает и на приборе регистрируются импульсы, количество которых соответствует количеству клеток. Анализ амплитуды импульсов позволяет оценить объем клеток. Кондуктометрический тип счетчиков приспособлен для точного подсчета эритроцитов, лейкоцитов и тромбоцитов. В современных анализаторах этот метод сочетается с применением дифференцирующих лизатов, лазерного светорассеяния, радиочастотного анализа, цитохимического метода и т.д., что позволяет проводить дифференцирование лейкоцитов. Автоматический анализ крови позволяет полноценно охарактеризовать красную кровь по следующим параметрам: RBC, HGB, HCT, MCV, МСН, МСНС.
RBC (red blood cells) – количество эритроцитов крови (*1012/л).
HGB (hemoglobin) – концентрация гемоглобина (г/л). Определяется в анализаторах спектрофотометрически гемиглобинцианидным методом. Происходит завышение этого параметра при липидемии и высоких лейкоцитозах.
НСТ (hematocrit) – гематокрит. Показатель, отражающий долю объема крови, занимаемую эритроцитами. В анализаторах данный показатель представлен суммой прямо измеренных объемов эритроцитов в единице объема крови.
MCV (mean corpuscular volume) – средний объем эритроцита в кубических микрометрах (мкм3) или фемтолитрах (фл). Измерение проводится одновременно с подсчетом эритроцитов по амплитуде импульсов.
МСН (mean corpuscular hemoglobin) – среднее содержание гемоглобина в эритроцитах (пг). Отражает содержание гемоглобина в одной клетке. Это расчетный показатель:

МСНС (mean corpuscular hemoglobin concentration) – средняя концентрация гемоглобина в эритроците (г/дл):

Разделение тромбоцитов и эритроцитов в современных анализаторах решается дискриминаторами по измерению амплитуды электрического сигнала: тромбоциты генерируют сигналы гораздо меньшей амплитуды. Для подсчета лейкоцитов к крови добавляется лизирующий раствор или гемолитик, разрушающий эритроциты. Гематологические анализаторы удобны в применении и точны, но дороги, требуют реагентов, кроме того, они не способны определять СОЭ.
СОЭ – скорость оседания эритроцитов. Показатель, входящий в общий анализ крови. В нашей стране в практике лабораторий широко применяется метод Панченкова (6).
Перед использованием химически чистый капилляр промывают цитратом натрия, набирают его до метки “50” и выдувают в пробирку. Далее в эту пробирку выдувают 2 капилляра крови по 100 мм. Кровь перемешивают с цитратом (разведение получилось 4:1). В лаборатории полученной смесью заполняют капилляр до метки “0”. Закрыв пальцем верхний конец капилляра, осторожно устанавливают его в штатив строго вертикально, упирая нижний конец капилляра в резиновую прокладку. Через час отмечают оседание эритроцитов по высоте отстоявшегося слоя плазмы в миллиметрах. Метод не дорог и прост, но требует не менее 1 часа для выполнения, проводится вручную, неудобен при большом количестве исследований, имеет много источников ошибок.
Каждый из известных методов предназначен для определения только одного или нескольких показателей. Отсутствует единый универсальный способ одновременного определения всех указанных показателей.
Задачей изобретения является создание быстрого, безреагентного способа одновременного определения гемоглобина, количества эритроцитов, лейкоцитов, тромбоцитов, гематокрита и скорости оседания эритроцитов в цельной крови.
Сущность изобретения состоит в том, что способ определения гемоглобина, количества эритроцитов, лейкоцитов, тромбоцитов, гематокрита и скорости оседания эритроцитов в цельной крови характеризуется тем, что к крови пациента добавляют раствор цитрата натрия в соотношении 1:4, получают образец А, из которого готовят лейкоцитарную суспензию, тромбоцитарную суспензию и безтромбоцитарную среду, затем в акустические ячейки двух аналогичных подключенных к компьютеру устройств для контроля биологических жидкостей с поддерживаемой в них температурой от 15 до 40°С, которая в первом устройстве ниже, чем во втором, помещают соответственно физиологический раствор и образец А, пропускают через них ультразвук с частотой, изменяющейся в диапазоне от 2 до 40 МГц, измеряют одновременно скорость его прохождения в физиологическом растворе и коэффициент поглощения в образце А, затем измеряют скорость прохождения ультразвука в образце А в течение промежутка времени, на протяжении которого в первое устройство вместо физиологического раствора последовательно помещают лейкоцитарную суспензию, тромбоцитарную суспензию и безтромбоцитарную среду, измеряя в них скорость прохождения ультразвука, на основании полученных данных определяют концентрацию гемоглобина, количество эритроцитов, лейкоцитов и тромбоцитов в 1 мл цельной крови, гематокрит и скорость оседания эритроцитов в цельной крови, при этом количество лейкоцитов в 1 мл цельной крови определяют по формуле:
WBC=K1(V2-V1),
где WBC – количество лейкоцитов в 1 мл цельной крови,
V1 – скорость прохождения ультразвука в физиологическом растворе,
V2 – скорость прохождения ультразвука в лейкоцитарной суспензии,
К1 – коэффициент пропорциональности;
количество тромбоцитов в 1 мл цельной крови определяют по формуле:
PLT=K2(V3-V1),
где PLT – количество тромбоцитов в 1 мл цельной крови,
V3 – скорость прохождения ультразвука в тромбоцитарной суспензии,
V1 – скорость прохождения ультразвука в физиологическом растворе,
К2 – коэффициент пропорциональности;
концентрацию гемоглобина определяют по формуле:
Hb=К3V4,
где Hb – концентрация гемоглобина в цельной крови в г/л,
V4 – скорость прохождения ультразвука в образце А, измеренная одновременно со скоростью его прохождения в физиологическом растворе,
К3 – коэффициент пропорциональности;
количество эритроцитов в 1 мл цельной крови определяют по формуле:
RBC=K4 ,
где RBC – количество эритроцитов в 1 мл цельной крови;
– коэффициент поглощения ультразвука в образце А, измеренный одновременно со скоростью его прохождения в физиологическом растворе,
K4 – коэффициент пропорциональности;
гематокрит определяют по формуле:
Ht=K5(V4-V5),
где Ht – показатель гематокрита в %,
V4 – скорость прохождения ультразвука в образце А, измеренная одновременно со скоростью его прохождения в физиологическом растворе,
V5 – скорость прохождения ультразвука в безтромбоцитарной среде,
К5 – коэффициент пропорциональности;
скорость оседания эритроцитов определяют по формуле:
СОЭ=К6(Vmax-Vmin),
где СОЭ – скорость оседания эритроцитов, мм/час,
Vmax – максимальное значение скорости прохождения ультразвука в образце А, измеренная в течение промежутка времени, на протяжении которого в первое устройство последовательно помещают лейкоцитарную суспензию, тромбоцитарную суспензию и безтромбоцитарную среду, измеряя в них скорость прохождения ультразвука,
Vmin – минимальное значение скорости прохождения ультразвука в образце А, измеренная в течение промежутка времени, на протяжении которого в первое устройство последовательно помещают лейкоцитарную суспензию, тромбоцитарную суспензию и безтромбоцитарную среду, измеряя в них скорость прохождения ультразвука,
К6 – коэффициент пропорциональности.
При получении лейкоцитарной суспензии к 0,4 мл образца А добавляют 0,7 мл лизирующего раствора, тщательно перемешивают, центрифугируют 3 минуты при 2000 об/мин, полностью отбирают надосадочную среду, а к лейкоцитарному осадку добавляют 0,1 мл физиологического раствора.
При получении тромбоцитарной суспензии 1 мл образца А центрифугируют 3 минуты при 2000 об/мин, затем 0,4 мл надосадочной среды, насыщенной тромбоцитами, отбирают, центрифугируют 3 мин при 5000 об/мин, после чего полностью отбирают надосадочную среду, а к тромбоцитарному осадку добавляют 0,1 мл физиологического раствора.
При получении безтромбоцитарной среды надосадочную среду, полученную аналогичным образом, разводят физиологическим раствором в соотношении 1:3.
Использование изобретения позволяет получить следующий технический результат.
Способ обладает высокой точностью и информативностью, поскольку позволяет определять все показатели общего клинического анализа крови достаточно быстро и, следовательно, может применяться для скрининговых исследований.
Способ позволяет следить за динамикой патологического процесса при установленном диагнозе, так как возможна оценка “красной крови” за 7-10 минут (определение гемоглобина, СОЭ, количества эритроцитов, гематокрита, эритроцитарных показателей). Для определения СОЭ традиционным способом необходимо не менее часа.
Акустический способ проведения общего клинического анализа крови универсален, так как позволяет одновременно определить все показатели общего клинического анализа крови, в том числе СОЭ. В настоящее время не существует способов одновременного определения СОЭ и других показателей крови.
Технический результат достигается за счет того, что для одновременного определения концентрации гемоглобина, гематокрита, количества эритроцитов, лейкоцитов, тромбоцитов и скорости оседания эритроцитов авторы применили полученные по разработанной ими методике из цельной крови пациента: образец А и приготовленные из него лейкоцитарную суспензию, тромбоцитарную суспензию и безтромбоцитарную среду, а также за счет их последовательного помещения в акустические ячейки двух аналогичных подключенных к компьютеру устройств для ультразвукового контроля биологических жидкостей с постоянно поддерживаемой в них температурой от 15 до 40°С, которая в первом устройстве ниже, чем во втором, через которые пропускают ультразвук с частотой, изменяющейся в диапазоне от 2 до 40 МГц.
При этом в ячейки устройств сначала помещают образец А и соответственно физиологический раствор, пропускают через него ультразвук с частотой, изменяющейся в диапазоне от 2 до 40 МГц, измеряют одновременно коэффициент поглощения ультразвука в образце А и скорость его прохождения в физиологическом растворе. Затем вместо физиологического раствора в первое устройство помещают последовательно лейкоцитарную суспензию, тромбоцитарную суспензию и безтромбоцитарную среду и измеряют скорость прохождения ультразвука в них и одновременно в течение этого заданного промежутка времени – в образце. По полученным таким образом данным определяют гемоглобин, количество эритроцитов, лейкоцитов, тромбоцитов, гематокрит и СОЭ с использованием специальных формул. Вошедшие в них коэффициенты подобраны общепринятым образом в результате сравнения получаемых результатов с референтными методами.
Способ осуществляется следующим образом. У пациента из локтевой вены забирают 4-5 мл крови в специальную пробирку с К2ЭДТА (для предотвращения свертываемости цельной крови) и доставляют в лабораторию. К данному образцу добавляют раствор цитрата натрия в соотношении 1:4, получают образец А, из которого готовят лейкоцитарную суспензию, тромбоцитарную суспензию и безтромбоцитарную среду.
Для приготовления лейкоцитарной суспензии к 0,4 мл образца А добавляют 0,7 мл лизирующего раствора, тщательно перемешивают, центрифугируют 3 минуты при 2000 об/мин, полностью отбирают надосадочную среду, добавляют к лейкоцитарному осадку 0,1 мл физиологического раствора.
Для получения тромбоцитарной суспензии 1 мл образца А центрифугируют 3 минуты при 2000 об/мин, 0,4 мл надосадочной среды, насыщенной тромбоцитами, отбирают, центрифугируют 3 мин при 5000 об/мин, полностью отбирают надосадочную среду, добавляют к тромбоцитарному осадку 0,1 мл физиологического раствора.
Для получения безтромбоцитарной среды надосадочную среду после центрифугирования образца А в течение 3-х минут при 2000 об/мин разводят физиологическим раствором в соотношении 1:3.
Затем в акустические ячейки двух аналогичных подключенных к компьютеру устройств для контроля биологических жидкостей (RU 2082318, кл. МПК: А 61 В 8/08, 1997 г.) с поддерживаемой в них температурой от 15 до 40°С, которая в первом устройстве ниже, чем во втором, помещают физиологический раствор (0,9% раствор хлорида натрия) в первое устройство и образец А во второе устройство, пропускают через них ультразвук с частотой, изменяющейся в диапазоне от 2 до 40 МГц с высокочастотного генератора (например, ГЧ-164), управляемого персональным компьютером, и одномоментно измеряют коэффициент поглощения ультразвука в образце А и скорость его прохождения в физиологическом растворе. При этом в устройствах электрический сигнал преобразуется на пьезоизлучателях в ультразвуковой сигнал той же частоты, который распространяется в средах, находящихся в акустических ячейках устройств. Пьезоприемники преобразуют ультразвуковой сигнал в высокочастотный электрический сигнал, который поступает на высокочастотный переключатель, управляемый компьютером, который через этот переключатель подсоединяет к высокочастотному микровольтметру (например, В3-48) то первое, то второе устройство. Продетектированный высокочастотный сигнал с выхода высокочастотного микровольтметра поступает на вольтметр постоянного тока (например, В7-53), также управляемый компьютером. В результате обработки данных, получаемых с пьезоприемников устройств, в памяти компьютера фиксируются центральные частоты всех резонансных пиков в выбранном диапазоне частот (например, от 5,0 до 15,0 МГц) и частотная ширина одного из выбранных резонансных пиков на уровне половинной мощности в акустической ячейке второго устройства с образцом А.
Затем в ячейку первого устройства вместо физиологического раствора в течение заданного промежутка времени последовательно помещают лейкоцитарную суспензию, тромбоцитарную суспензию и безтромбоцитарную среду, каждую из которых предварительно тщательно перемешивают. Пропускают через них ультразвук и измеряют скорость его прохождения. Аналогично в памяти компьютера фиксируются центральные частоты всех резонансных пиков в том же диапазоне (например, от 5,0 до 15,0 МГц) для указанных сред.
Затем компьютер вычисляет среднюю разность частотного расстояния между резонансными пиками и номер выбранного резонансного пика по следующей формуле:

где N – число частотных расстояний между резонансными пиками в выбранном частотном диапазоне;
j – номер выбранного резонансного пика;
fj – резонансная частота j-ого резонансного пика;
fj+1 – резонансная частота j+1-ого резонансного пика.
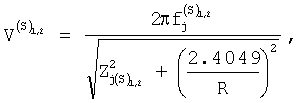
Затем выбирают значения центральных частот резонансных пиков одного и того же номера для физиологического раствора, образца А, лейкоцитарной суспензии, тромбоцитарной суспензии и безтромбоцитарной среды и вычисляют соответствующие скорости ультразвука по формулам:

где – скорость ультразвука в исследуемой среде в первом и во втором устройстве соответственно;
– центральные частоты резонансных пиков номера j для исследуемой среды в первом и во втором устройстве соответственно;
– продольные волновые числа в первом и во втором устройстве соответственно.
Кроме того, в момент измерения скорости ультразвука в физиологическом растворе измеряют коэффициент поглощения ультразвука в образце А по формуле:
= ( Fj/V4j),
где – коэффициент поглощения ультразвука в образце А,
Fj – частотная ширина выбранного резонансного пика номера j на уровне половинной мощности для образца А, измеренная одновременно с измерением скорости ультразвука в физиологическом растворе,
V4j – скорость прохождения ультразвука в образце А, измеренная одновременно со скоростью его прохождения в физиологическом растворе.
Скорость прохождения ультразвука в образце А измеряют в течение промежутка времени, на протяжении которого в первое устройство последовательно помещают сначала лейкоцитарную суспензию и измеряют в ней скорость прохождения ультразвука, затем тромбоцитарную суспензию и измеряют скорость прохождения ультразвука в ней и, наконец, – безтромбоцитарную среду и измеряют скорость прохождения ультразвука в ней.
На основании полученных данных определяют концентрацию гемоглобина, количество эритроцитов, лейкоцитов и тромбоцитов в 1 мл цельной крови, гематокрит и скорость оседания эритроцитов в цельной крови.
Количество лейкоцитов в 1 мл цельной крови определяют по формуле:
WBC=K1(V2-V1),
где WBC – количество лейкоцитов в 1 мл цельной крови,
V1 – скорость прохождения ультразвука в физиологическом растворе,
V2 – скорость прохождения ультразвука в лейкоцитарной суспензии,
К1 – коэффициент пропорциональности.
Коэффициент К1 получают общепринятым образом для конкретного первого устройства после выбора температуры T1 путем сравнительных исследований лейкоцитарной суспензии, полученной из данного образца крови и помещенной в первое устройство, и данного образца, в котором лейкоциты получены при подсчете их в камере Горяева (4). Количество тромбоцитов в 1 мл цельной крови определяют по формуле:
PLT=K2(V3-V1),
где PLT – количество тромбоцитов в 1 мл цельной крови,
V3 – скорость прохождения ультразвука в тромбоцитарной суспензии,
V1 – скорость прохождения ультразвука в физиологическом растворе,
K2 – коэффициент пропорциональности.
Последний получают общепринятым образом для конкретного первого устройства после выбора температуры T1 путем сравнительных исследований тромбоцитарной суспензии, полученной из данного образца крови и помещенной в первое устройство, и данного образца, в котором тромбоциты получены путем подсчета их по методу (5).
Концентрацию гемоглобина определяют по формуле:
HGB=К3V4,
где HGB – концентрация гемоглобина в цельной крови в г/л,
V4 – скорость прохождения ультразвука в образце А, измеренная одновременно с измерением скорости ультразвука в физиологическом растворе,
К3 – коэффициент пропорциональности.
Последний получают общепринятым образом для конкретного второго устройства после выбора температуры Т2 путем сравнительных исследований образца А, полученного из данного образца крови и помещенного во второе устройство, и данного образца, в котором гемоглобин получен по методу (1).
Количество эритроцитов в 1 мл цельной крови определяют по формуле:
RBC=K4 ,
где RBC – количество эритроцитов в 1 мл цельной крови;
– коэффициент поглощения ультразвука в образце А, измеренный во втором устройстве одновременно со скоростью его прохождения в физиологическом растворе в первом устройстве,
K4 – коэффициент пропорциональности.
Последний получен общепринятым образом для конкретного второго устройства после выбора температуры Т2 путем сравнительных исследований образца А, полученного из данного образца крови и помещенного во второе устройство, и данного образца и подсчета эритроцитов данного образца крови в камере Горяева (3).
Гематокрит определяют по формуле:
Ht=К5(V4-V5),
где Ht – показатель гематокрита в %;
V4 – скорость прохождения ультразвука в образце А, измеренная во втором устройстве одновременно со скоростью ультразвука в физиологическом растворе в первом устройстве,
V5 – скорость прохождения ультразвука в безтромбоцитарной среде, измеренная в первом устройстве,
К5 – коэффициент пропорциональности.
Последний получают общепринятым образом для конкретных первого и второго устройств после выбора температур T1 и Т2 (Т2>T1) путем сравнительных исследований образца А из данного образца крови, помещенного во второе устройство, и безтромбоцитарной среды, измеренной в первом устройстве, и исследования образцов цельной крови на гематокритной центрифуге (3).
Скорость оседания эритроцитов определяют по формуле:
СОЭ=К6(Vmax-Vmin),
где СОЭ – скорость оседания эритроцитов, мм/час,
Vmax – максимальное значение скорости прохождения ультразвука в образце А, измеренной в течение промежутка времени, на протяжении которого в первое устройство последовательно помещают лейкоцитарную суспензию, тромбоцитарную суспензию и безтромбоцитарную среду, измеряя в них скорость прохождения ультразвука,
Vmin – минимальное значение скорости ультразвука в образце А, измеренной в течение промежутка времени, на протяжении которого в первое устройство последовательно помещают лейкоцитарную суспензию, тромбоцитарную суспензию и безтромбоцитарную среду, измеряя в них скорость прохождения ультразвука,
К6 – коэффициент пропорциональности.
Последний получают общепринятым образом для конкретного второго устройства после выбора температуры Т2 путем сравнительных исследований образца А из данного образца крови, помещенного во второе устройство, и данного образца на специальном устройстве для определения СОЭ по методу Панченкова (6).
Средний объем эритроцитов определяют по формуле:

где HGB – концентрация гемоглобина, НСТ – гематокрит.
Среднее содержание гемоглобина в эритроците определяют по формуле:

где HGB – концентрация гемоглобина, RBC- количество эритроцитов.
Среднюю концентрацию гемоглобина в эритроците определяют по формуле:

где HGB – концентрация гемоглобина, НСТ – гематокрит.
Пример 1. Больной В., 56 лет, диагноз: хроническая почечная недостаточность. Из локтевой вены натощак забирают 5 мл крови в пробирку с К2 ЭДТА, перемешивают и доставляют в лабораторию. К 4 мл крови добавляют 1 мл раствора цитрата натрия и тщательно перемешивают. Получают образец А. Для приготовления лейкоцитарной суспензии к 0,4 мл образца А добавляют 0,7 мл лизирующего раствора, тщательно перемешивают, центрифугируют 3 минуты при 2000 об/мин, полностью отбирают надосадочную среду, добавляют к лейкоцитарному осадку 0,1 мл физиологического раствора. Для получения тромбоцитарной суспензии 1 мл образца А центрифугируют 3 минуты при 2000 об/мин, 0,4 мл надосадочной среды, насыщенной тромбоцитами, отбирают, центрифугируют 3 мин при 5000 об/мин, полностью отбирают надосадочную среду, добавляют к тромбоцитарному осадку 0,1 мл физиологического раствора. Для получения безтромбоцитарной среды надосадочную среду после центрифугирования образца А 3 минуты при 2000 об/мин разводят физиологическим раствором в соотношении 1:3. Затем в акустические ячейки двух аналогичных подключенных к компьютеру устройств для контроля биологических жидкостей с поддерживаемой в них температурой от 15 до 40°С, которая в первом устройстве ниже, чем во втором, помещают физиологический раствор (0,9% раствор хлорида натрия) в первое устройство и образец А во второе устройство, пропускают через них ультразвук с частотой, изменяющейся в диапазоне от 2 до 40 МГц с высокочастотного генератора (например, ГЧ-164), управляемого персональным компьютером, измеряют одновременно скорость прохождения ультразвука в физиологическом растворе и коэффициент его поглощения в образце А. Затем в ячейку первого устройства вместо физиологического раствора последовательно в течение выбранного промежутка времени помещают лейкоцитарную суспензию, тромбоцитарную суспензию и безтромбоцитарную среду, пропускают ультразвуковой сигнал и измеряют скорость прохождения ультразвука. В течение этого промежутка времени измеряют скорость прохождения ультразвука в образце А.
На основании полученных данных определяют концентрацию гемоглобина, количество эритроцитов, лейкоцитов и тромбоцитов в 1 мл цельной крови, гематокрит и скорость оседания эритроцитов в цельной крови. Количество лейкоцитов в 1 мл цельной крови определяют по формуле:
WBC=K1(V2-V1),
где WBC – количество лейкоцитов в 1 мл цельной крови,
V1 – скорость прохождения ультразвука в физиологическом растворе,
V2 – скорость прохождения ультразвука в лейкоцитарной суспензии,
К1 – коэффициент пропорциональности.
Количество тромбоцитов в 1 мл цельной крови определяют по формуле:
PLT=K2(V3-V1),
где PLT – количество тромбоцитов в 1 мл цельной крови,
V3 – скорость прохождения ультразвука в тромбоцитарной суспензии,
V1 – скорость прохождения ультразвука в физиологическом растворе,
К2 – коэффициент пропорциональности.
Концентрацию гемоглобина определяют по формуле:
Hb=К3V4,
где Hb – концентрация гемоглобина в цельной крови в г/л,
V4 – скорость прохождения ультразвука в образце А, измеренная одновременно со скоростью его прохождения в физиологическом растворе,
К3 – коэффициент пропорциональности.
Количество эритроцитов в 1 мл цельной крови определяют по формуле:
RBC= К4 ,
где RBC – количество эритроцитов в 1 мл цельной крови,
– коэффициент поглощения ультразвука в образце А, измеренный одновременно со скоростью его прохождения в физиологическом растворе,
K4 – коэффициент пропорциональности.
Гематокрит определяют по формуле:
Ht=K5(V4-V5),
где Ht – показатель гематокрита в %,
V4 – скорость прохождения ультразвука в образце А, измеренная одновременно со скоростью его прохождения в физиологическом растворе,
V5 – скорость прохождения ультразвука в безтромбоцитарной среде,
К5 – коэффициент пропорциональности.
Скорость оседания эритроцитов определяют по формуле:
СОЭ=К6(Vmax-Vmin),
где СОЭ – скорость оседания эритроцитов, мм/час,
Vmax – максимальное значение скорости прохождения ультразвука в образце А, измеренной в течение промежутка времени, на протяжении которого в первое устройство последовательно помещают лейкоцитарную суспензию, тромбоцитарную суспензию и безтромбоцитарную среду, измеряя в них скорость прохождения ультразвука,
Vmin – минимальное значение скорости прохождения ультразвука в образце А, измеренной в течение промежутка времени, на протяжении которого в первое устройство последовательно помещают лейкоцитарную суспензию, тромбоцитарную суспензию и безтромбоцитарную среду, измеряя в них скорость прохождения ультразвука,
К6 – коэффициент пропорциональности.
Средний объем эритроцитов определяют по формуле:

где HGB – концентрация гемоглобина, НСТ – гематокрит.
Среднее содержание гемоглобина в эритроците определяют по формуле:

где HGB – концентрация гемоглобина, RBC – количество эритроцитов.
Среднюю концентрацию гемоглобина в эритроците определяют по формуле:

где HGB – концентрация гемоглобина, НСТ – гематокрит.
Результаты измерений выводятся на экран компьютера и могут быть распечатаны. Получают следующие результаты:
гемоглобин – 81 г/л,
эритроциты – 2,64*1012/л,
гематокрит – 23,5%,
СОЭ – 55 мм/час,
тромбоциты – 169*109/л,
лейкоциты – 7,2*109/л,
средний объем эритроцита – 89,1 фл,
среднее содержание гемоглобина в эритроците – 30,67 пг,
средняя концентрация гемоглобина в эритроците – 34,42 г/дл,
что соответствует диагнозу больного В.
Пример 2. Пациент М., 42 года, диагноз – обследование. Из локтевой вены натощак забирают 5 мл крови в пробирку с К2 ЭДТА, перемешивают и доставляют в лабораторию. К 4 мл крови добавляют 1 мл раствора цитрата натрия и тщательно перемешивают для получения образца А. Для приготовления лейкоцитарной суспензии к 0,4 мл образца А добавляют 0,7 мл лизирующего раствора, тщательно перемешивают, центрифугируют 3 минуты при 2000 об/мин, полностью отбирают надосадочную среду, добавляют к лейкоцитарному осадку 0,1 мл физиологического раствора. Перед заливкой в первое устройство для контроля биологических жидкостей суспензию тщательно перемешивают. Для получения тромбоцитарной суспензии 1 мл образца А центрифугируют 3 минуты при 2000 об/мин, 0,4 мл надосадочной среды, насыщенной тромбоцитами, отбирают, центрифугируют 3 мин при 5000 об/мин, полностью отбирают надосадочную среду, добавляют к тромбоцитарному осадку 0,1 мл физиологического раствора. Перед заливкой в первое устройство для контроля биологических жидкостей суспензию тщательно перемешивают. Для получения безтромбоцитарной среды надосадочную среду, полученную аналогичным образом, разводят физиологическим раствором в соотношении 1:3. Затем в акустические ячейки двух аналогичных подключенных к компьютеру устройств для контроля биологических жидкостей с поддерживаемой в них температурой от 15 до 40°С, которая в первом устройстве ниже, чем во втором, помещают физиологический раствор (0,9% раствор хлорида натрия) в первое устройство и образец А во второе устройство, пропускают через них ультразвук с частотой, изменяющейся в диапазоне от 2 до 40 МГц, и измеряют одновременно скорость прохождения ультразвука в физиологическом растворе и коэффициент его поглощения в образце А.
Затем в ячейку первого устройства вместо физиологического раствора последовательно в течение выбранного промежутка времени помещают лейкоцитарную суспензию, тромбоцитарную суспензию и безтромбоцитарную среду, пропускают ультразвуковой сигнал и измеряют скорость прохождения ультразвука. На протяжении этого промежутка времени в образце А измеряют скорость прохождения ультразвука.
На основании полученных данных и применения формул для определения гемоглобина, гематокрита, количества эритроцитов, лейкоцитов, тромбоцитов и скорости оседания эритроцитов получают следущие показатели клинического анализа крови:
гемоглобин – 146 г/л,
эритроциты – 4,45*1012/л,
гематокрит – 41,7%,
СОЭ – 6 мм/час,
тромбоциты – 320*109/л,
лейкоциты – 4,8*109/л,
средний объем эритроцита – 93,5 фл,
среднее содержание гемоглобина в эритроците – 32,87 пг,
средняя концентрация гемоглобина в эритроците – 35,14 г/дл,
что соответствует норме.
Таким образом, предлагаемый способ позволяет достаточно точно и быстро определить все показатели общего клинического анализа крови, в том числе скорость оседания эритроцитов.
Источники информации
1. Клиническая лабораторная аналитика. Том.2. Под редакцией В.В.Меньшикова. Москва, Лабинформ-РАМЛД, 1999 г., стр.9-11.
2. Луговская С.А., Морозова В.Т., Почтарь М.Е., Долгов В.В. Лабораторная гематология. Москва, ЮНИМЕД-пресс, 2002 г., стр.68.
3. Клиническая лабораторная аналитика. Том.2. Под редакцией В.В.Меньшикова. Москва, Лабинформ-РАМЛД, 1999 г., стр.13-15, 34-40.
4. Луговская С.А., Морозова В.Т., Почтарь М.Е., Долгов В.В. Лабораторная гематология, Москва, ЮНИМЕД-пресс, 2002 г., стр.81.
5. Луговская С.А., Морозова В.Т., Почтарь М.Е., Долгов В.В. Лабораторная гематология, Москва, ЮНИМЕД-пресс, 2002 г., стр.83-85.
6. Клиническая лабораторная аналитика. Том.2. Под редакцией В.В.Меньшикова. Москва, Лабинформ-РАМЛД, 1999 г., стр.34-40.
Формула изобретения
1. Способ определения гемоглобина, количества эритроцитов, лейкоцитов, тромбоцитов, гематокрита и скорости оседания эритроцитов в цельной крови, характеризующийся тем, что к крови пациента добавляют раствор цитрата натрия в соотношении 1:4, получают образец А, из которого готовят лейкоцитарную суспензию, тромбоцитарную суспензию и бестромбоцитарную среду, затем в акустические ячейки двух аналогичных подключенных к компьютеру устройств для контроля биологических жидкостей с поддерживаемой в них температурой от 15 до 40°С, которая в первом устройстве ниже, чем во втором, помещают соответственно физиологический раствор и образец А, пропускают через них ультразвук с частотой, изменяющейся в диапазоне от 2 до 40 МГц, измеряют одновременно скорость его прохождения в физиологическом растворе и коэффициент поглощения в образце А, затем измеряют скорость прохождения ультразвука в образце А в течение промежутка времени, на протяжении которого в первое устройство вместо физиологического раствора последовательно помещают лейкоцитарную суспензию, тромбоцитарную суспензию и бестромбоцитарную среду, измеряя в них скорость прохождения ультразвука, на основании полученных данных определяют концентрацию гемоглобина, количество эритроцитов, лейкоцитов и тромбоцитов в 1 мл цельной крови, гематокрит и скорость оседания эритроцитов в цельной крови, при этом количество лейкоцитов в 1 мл цельной крови определяют по формуле
WBC=K1(V2-V1),
где WBC – количество лейкоцитов в 1 мл цельной крови,
V1 – скорость прохождения ультразвука в физиологическом растворе,
V2 – скорость прохождения ультразвука в лейкоцитарной суспензии,
K1 – коэффициент пропорциональности;
количество тромбоцитов в 1 мл цельной крови определяют по формуле
PLT=K2(V3-V1),
где PLT – количество тромбоцитов в 1 мл цельной крови,
V3 – скорость прохождения ультразвука в тромбоцитарной суспензии,
К2 – коэффициент пропорциональности;
концентрацию гемоглобина определяют по формуле
Hb=К3V4,
где Hb – концентрация гемоглобина в цельной крови, г/л,
V4 – скорость прохождения ультразвука в образце А, измеренная одновременно со скоростью его прохождения в физиологическом растворе,
К3 – коэффициент пропорциональности;
количество эритроцитов в 1 мл цельной крови определяют по формуле
RBC=K4 ,
где RBC – количество эритроцитов в 1 мл цельной крови;
– коэффициент поглощения ультразвука в образце А, измеренный одновременно со скоростью его прохождения в физиологическом растворе,
К4 – коэффициент пропорциональности;
гематокрит определяют по формуле
Ht=K5(V4-V5),
где Ht – показатель гематокрита, %,
V5 – скорость прохождения ультразвука в бестромбоцитарной среде,
K5 – коэффициент пропорциональности;
скорость оседания эритроцитов определяют по формуле
СОЭ=К6(Vmax-Vmin)
где СОЭ – скорость оседания эритроцитов, мм/ч,
Vmax – максимальное значение скорости прохождения ультразвука в образце А, измеренная в течение промежутка времени, на протяжении которого в первое устройство последовательно помещают лейкоцитарную суспензию, тромбоцитарную суспензию и безтромбоцитарную среду, измеряя в них скорость прохождения ультразвука,
Vmin – минимальное значение скорости прохождения ультразвука в образце А, измеренная в течение промежутка времени, на протяжении которого в первое устройство последовательно помещают лейкоцитарную суспензию, тромбоцитарную суспензию и безтромбоцитарную среду, измеряя в них скорость прохождения ультразвука,
К6 – коэффициент пропорциональности.
2. Способ по п.1, характеризующийся тем, что при получении лейкоцитарной суспензии к 0,4 мл образца А добавляют 0,7 мл лизирующего раствора, тщательно перемешивают, центрифугируют 3 мин при 2000 об/мин, полностью отбирают надосадочную среду, а к лейкоцитарному осадку добавляют 0,1 мл физиологического раствора.
3. Способ по п.1, характеризующийся тем, что при получении тромбоцитарной суспензии 1 мл образца А центрифугируют 3 мин при 2000 об/мин, затем 0,4 мл надосадочной среды, насыщенной тромбоцитами, отбирают, центрифугируют 3 мин при 5000 об/мин, после чего полностью отбирают надосадочную среду, а к тромбоцитарному осадку добавляют 0,1 мл физиологического раствора.
4. Способ по п.1, характеризующийся тем, что при получении безтромбоцитарной среды надосадочную среду, полученную по п.3, разводят физиологическим раствором в соотношении 1:3.
MM4A – Досрочное прекращение действия патента СССР или патента Российской Федерации на изобретение из-за неуплаты в установленный срок пошлины за поддержание патента в силе
Дата прекращения действия патента: 04.03.2007
Извещение опубликовано: 27.06.2008 БИ: 18/2008
NF4A – Восстановление действия патента СССР или патента Российской Федерации на изобретение
Дата, с которой действие патента восстановлено: 27.04.2010
Извещение опубликовано: 27.04.2010 БИ: 12/2010
|