|
|
(21), (22) Заявка: 2005120841/28, 04.07.2005
(24) Дата начала отсчета срока действия патента:
04.07.2005
(46) Опубликовано: 10.12.2006
(56) Список документов, цитированных в отчете о поиске:
RU 2169914 С2, 27.06.2001. RU 2260787 C1, 20.09.2005. SU 1492240 A1, 07.07.1989. SU 1548709 A1, 07.03.1990. JP 61226637 А, 08.10.1986. JP 6129976 А, 13.05.1994. US 5627329 А, 06.05.1997.
Адрес для переписки:
634050, г.Томск, пр-т Ленина, 30, Томский политехнический университет, отдел интеллектуальной и промышленной собственности
|
(72) Автор(ы):
Гынгазов Сергей Анатольевич (RU), Суржиков Анатолий Петрович (RU), Франгульян Тамара Семеновна (RU)
(73) Патентообладатель(и):
Государственное образовательное учреждение высшего профессионального образования Томский политехнический университет (RU)
|
(54) СПОСОБ ОПРЕДЕЛЕНИЯ ДИФФУЗИОННЫХ КОНСТАНТ В ПОЛИКРИСТАЛЛИЧЕСКИХ МАТЕРИАЛАХ
(57) Реферат:
Предложенное изобретение относится к области контрольно-измерительной техники и может быть использовано для определения параметров диффузии кислорода в твердых поликристаллических телах в материаловедении и физике твердого тела. Задачей изобретения является повышение точности и создание неразрушающего образец способа определения диффузионных констант. Способ определения диффузионных констант в поликристаллических материалах заключается в том, что образец нагревают в вакууме, выдерживают в нагретом состоянии и охлаждают до комнатной температуры, после чего помещают образец на воздух, нагревают, выдерживают в нагретом состоянии, охлаждают, определяют коэффициенты диффузии, указанную последовательность действий повторяют для различных температур нагрева образца, строят график температурной зависимости коэффициентов диффузии, определяют диффузионные константы по результатам аппроксимации данной зависимости законом Аррениуса. Для заданной температуры нагрева образца на воздухе последовательность действий по нагреву образца, выдержке его в нагретом состоянии и охлаждению проводят многократно, при этом время выдержки образца в нагретом состоянии задают равным 10-15 минутам, и после каждого охлаждения измеряют величину энергии активации электрической проводимости в приповерхностном слое образца, а при совпадении величины энергии активации электрической проводимости с величиной, полученной в предыдущем измерении, последовательность действий на воздухе по нагреву образца, выдержке его в нагретом состоянии и охлаждению прекращают, затем строят график кривой зависимости величины энергии активации электрической проводимости от суммарного времени выдержки образца в нагретом состоянии, а коэффициенты диффузии для заданной температуры нагрева образца определяют по результатам аппроксимации данной кривой выражением, связывающим величину энергии активации электрической проводимости в приповерхностном слое образца после очередной выдержки образца в нагретом состоянии с концентрацией продиффундировавших в него на данный момент времени ионов, задаваемой, в свою очередь, в виде решения уравнения Фика с соответствующими граничными условиями. 3 ил., 1 табл.
Изобретение относится к области контрольно-измерительной техники и может быть использовано для определения параметров диффузии кислорода в твердых поликристаллических телах в материаловедении и физике твердого тела.
Наиболее близким, принятым за прототип, является способ (Суржиков А.П., Притулов А.М., Гынгазов С.А., Полякова Т.С. Применение метода измерения температурной зависимости электрической проводимости для изучения диффузии кислорода в поликристаллических ферритах. Перспективные материалы. 1998, №4, с.66).
Согласно способу образец предварительно подвергают отжигу при температуре 800°С в течение 120 минут в вакууме при остаточном давлении 10-4 мм рт.ст. После охлаждения образца в вакууме его выносят на воздух и там нагревают до заданной температуры, выдерживают в нагретом состоянии и охлаждают. После этого в образце путем послойных измерений, сопровождаемых механической сошлифовкой тонких слоев с его поверхности, измеряют величину энергии активации электрической проводимости в образце на различном удалении от исходной поверхности. Затем строят график кривой зависимости данной величины от расстояния от исходной поверхности. Путем аппроксимации данной кривой выражением, связывающим величину энергии активации электрической проводимости с концентрацией продиффундировавших ионов, задаваемой, в свою очередь, в виде решения уравнения Фика с соответствующими граничными условиями, определяют коэффициенты диффузии для заданной температуры выдержки в нагретом состоянии. Затем всю последовательность вышеуказанных действий повторяют для различных температур выдержки образца в нагретом состоянии. Строят график зависимости коэффициентов диффузии от температуры, а диффузионные константы в выражениях для коэффициентов диффузии ионов кислорода в поликристаллических ферритах определяются по результатам аппроксимации температурных зависимостей коэффициентов диффузии законом Аррениуса.
Недостатком способа является то, что в процессе измерений образец разрушается, а сам способ обладает низкой точностью определения диффузионных констант.
В способе-прототипе образец во время измерений разрушается. С понижением температуры выдержки образца в нагретом состоянии точность определения глубинного распределения величины энергии активации электрической проводимости в образце понижается из-за уменьшения количества измерений вследствие уменьшения глубины проникновения диффундирующего из окружающей атмосферы кислорода и малой точности измерений глубины шлифовки образца. Наименьший шаг по глубине при проведении послойных измерений величины энергии активации электрической проводимости в способе-прототипе равен 10 мкм. Например, при температуре отжига 600°С глубина диффузионного проникновения кислорода не более 30-40 мкм. А точность измерений толщины снимаемого при послойном анализе слоя материала с поверхности образца составляет ±2.5 мкм. Уменьшение точности определения коэффициентов диффузии при низких температурах отжига значительно уменьшает точность определения диффузионных констант. Кроме того, для получения высокой точности определения диффузионных констант необходимо, чтобы перед проведением нагрева образца он обладал высокой однородностью электрофизических свойств по глубине, что на практике очень трудно достичь.
Задачей изобретения является повышение точности и создание неразрушающего образец способа определения диффузионных констант.
Решение данной задачи предлагается осуществлять способом определения диффузионных констант в поликристаллических телах, заключающимся в том, что так же, как в прототипе, образец нагревают до температуры 800°С в вакууме при остаточном давлении 10-4 мм рт.ст., выдерживают в нагретом состоянии в течение 120 минут, охлаждают, помещают образец на воздух, нагревают, выдерживают в нагретом состоянии, охлаждают, определяют коэффициенты диффузии, указанную последовательность действий повторяют для различных температур нагрева образца, строят график температурной зависимости коэффициентов диффузии, определяют диффузионные константы по результатам аппроксимации данной зависимости законом Аррениуса.
В отличие от прототипа в предлагаемом способе для заданной температуры нагрева образца на воздухе последовательность действий по нагреву образца, выдержке его в нагретом состоянии и охлаждению проводят многократно, при этом время выдержки образца в нагретом состоянии задают равным 10-15 минутам, и после каждого охлаждения измеряют величину энергии активации электрической проводимости в приповерхностном слое образца, а при совпадении величины энергии активации электрической проводимости с величиной, полученной в предыдущем измерении, последовательность действий на воздухе по нагреву образца, выдержке его в нагретом состоянии и охлаждению прекращают, затем строят график кривой зависимости величины энергии активации электрической проводимости от суммарного времени выдержки образца в нагретом состоянии, а коэффициенты диффузии для заданной температуры нагрева образца определяют по результатам аппроксимации данной кривой выражением, связывающим величину энергии активации электрической проводимости в приповерхностном слое образца после очередной выдержки образца в нагретом состоянии с концентрацией продиффундировавших в него на данный момент времени ионов, задаваемой, в свою очередь, в виде решения уравнения Фика с соответствующими граничными условиями.
В предлагаемом способе определение коэффициентов диффузии для заданной температуры нагрева образца осуществляется без разрушения образца. Поскольку аппроксимация кривой зависимости величины энергии активации электрической проводимости от суммарного времени выдержки в нагретом состоянии осуществляется тем же выражением, что и в способе-прототипе, точность определения коэффициентов аппроксимационным методом сохраняется. В предлагаемом способе точность построения кривой зависимости величины энергии активации электрической проводимости в приповерхностном слое образца от суммарного времени выдержки в нагретом состоянии повышается с понижением температуры выдержки образца в нагретом состоянии, так как количество экспериментальных точек на данной кривой значительно выше по сравнению с количеством на кривой глубинного распределения величины энергии активации электрической проводимости, которая строится в способе-прототипе. Это становится возможным вследствие снижения интенсивности диффузионного процесса, а значит, скорости изменения величины энергии активации электрической проводимости в приповерхностном слое образца. В результате точность определения диффузионных констант возрастает. Повышение точности измерений происходит также вследствие того, что в предлагаемом способе все измерения величины энергии активации электрической проводимости проводятся в одном и том же приповерхностном слое образца, что устраняет отрицательное влияние неоднородности свойств по глубине образца перед проведением нагрева образца на результаты измерений, которое может проявляется в способе-прототипе и которое при этом практически невозможно устранить.
Выбор интервала времен для проведения выдержки образца в нагретом состоянии сделан, исходя из следующего. Десять минут это минимальное время выдержки, когда суммарный вклад диффузии за время нагрева и охлаждения за все циклы температурной обработки пренебрежительно мал по сравнению с вкладом за суммарное время выдержки при заданной температуре в нагретом состоянии. Увеличение времени выдержки более 15 минут приводит к заметному уменьшению количества измерений величины энергии активации электрической проводимости при различных временах суммарной выдержки, когда наблюдается заметное ее изменение, а значит, точности определения диффузионных параметров.
На фиг.1 представлены экспериментальные зависимости тока объемной проводимости в приповерхностном слое ферритового образца при различных значениях суммарного времени выдержки в нагретом состоянии t при температуре отжига Т=600°С и их аппроксимации линейной зависимостью.
На фиг.2 представлен график изменения величины энергии активации электрической проводимости в приповерхностном слое образца в зависимости от суммарного времени выдержки в нагретом состоянии при температуре отжига Т=600°С.
На фиг.3 представлен график температурных зависимостей коэффициентов зерно-граничной D1(T) и объемной D2(T) диффузии в феррите.
В таблице представлены результаты определения D1(T), D2(T) для различных температур теплового отжига на воздухе, определенные по предлагаемому способу и по способу-прототипу.
Предложенный способ осуществляется следующим образом. Образцы представляли собой Li-Ti-феррит марки 3СЧ-18. Пресс-порошок синтезировался керамическим методом из механической смеси состава (в вес.%): Li2СО3 – 11.2%, MnO – 2.7%, TiO2 – 18.65%, ZnO – 7.6%, Fe2O3 – 59.81%. Образцы формовали односторонним прессованием с помощью пресса ПГПр в виде таблеток диаметром 18 мм и толщиной 3 мм. Спекание образцов проводили в электропечи СУОЛ – 0.4.4/12-М2 на воздухе при T=1100°С в течение 4 ч. Температура образцов при спекании контролировали при помощи термопары платина – 90% платины, 10% родия. Термо-ЭДС термопары измеряли с помощью вольтметра В7-38. Охлаждение образцов до комнатной температуры осуществляли на воздухе в печи при ее естественном охлаждении. После охлаждения образцы помещали в вакуумную камеру и подвергали в течение 2 часов термическому отжигу в вакууме при остаточном давлении не более 10-4 мм рт.ст. После проведения термического отжига в вакууме производили измерение величины энергии активации электрической проводимости Еа(х) на поверхности образца способом обработки результатов температурных измерений токов поверхностной проводимости. Если величина Еa(х) составляла 0.19-0.20 эВ, образец использовали для проведения теплового отжига на воздухе. Если величина Еа(х) превышала значение 0.20 эВ, образец выбраковывали.
Приготовленные таким образцом образцы использовали для определения температурной зависимости коэффициентов диффузии в исследуемом материале. Определение коэффициентов диффузии проводили для следующих температур отжига: 600°С, 650°С, 700°С, 750°С. Для каждой температуры суммарное время изотермической выдержки было равным 2 часа. Это время набирали последовательно путем проведения 12 циклов нагрева образца со скоростью 90-100 град/мин до температуры изотермической выдержки в течение 10 минут при данной температуре и охлаждения со скоростью 80-100 град/мин до комнатной температуры. Температура теплового отжига контролировали при помощи термопары платина – 90% платины, 10% родия. Термо-ЭДС термопары измеряли с помощью вольтметра В7-38. Охлаждение образцов до комнатной температуры осуществляли на воздухе в печи при ее естественном охлаждении.
Коэффициенты зернограничной и объемной диффузии в образцах, подвергнутых тепловому отжигу на воздухе, определяли независимо от температуры теплового отжига следующим образом. Рассмотрим на примере температуры отжига 600°С.
После очередного охлаждения образца проводили измерение величины энергии активации электрической проводимости Ea(t) в приповерхностном слое образца для текущего значения суммарного времени изотермического отжига t при заданной температуре изотермического отжига Т. Величину Ea(t) определяли по результатам температурных измерений токов поверхностной проводимости между двумя нихромовыми зондами, приложенных к поверхности образца на расстоянии 1 мм друг от друга.
Температурные измерения токов поверхностной проводимости производили при помещении образца в нагревательный элемент, представляющий собой керамический проволочный резистор марки ПЭВР-50 номиналом 39 Ом, нагревание которого осуществляли путем пропускания переменного тока. Температура нагревательного элемента регулировали величиной подаваемого напряжения, которое изменяли в пределах 0-70 В. Напряжение подавали от автотрансформатора ЛАТР. Температура образца во время нагрева измеряли при помощи термопары хромель-алюмель. Термо-ЭДС термопары измеряли вольтметром В7-38. Напряжение на измерительные зонды подавали от источника питания постоянного тока Б5-31. Величина напряжения была равной 3 В. Ток поверхностной проводимости между зондами измеряли при помощи универсального вольтметра В7-21А.
По результатам измерений построили график кривой зависимости тока от температуры в аррениусовских координатах (фиг.1).
При заданном значении t величину Ea(t) определяли по углу наклона кривой температурной зависимости тока поверхностной проводимости, построенной в координатах Ln(I)-1/kT, где k – постоянная Больцмана; Т – температура образца. В общем случае температурная зависимость описывается законом Аррениуса I=Io*exp(-Ea/kT), где Iо – не зависящая от температуры постоянная. В указанных координатах она имеет линейный вид. На фиг.1 представлены экспериментальные зависимости тока объемной проводимости в приповерхностном слое ферритового образца при различных значениях суммарного времени выдержки в нагретом состоянии t при температуре отжига Т=600°С, построенные в аррениусовских координатах (оси у соответствует величина LnI, а оси х – величина 1/kT), и их аппроксимации линейной зависимостью. Под каждой кривой записано ее уравнение и расстояние от исходной поверхности. В уравнении кривой коэффициент перед х численно равен значению Ea(t).
Далее по результатам измерений Ea(t) при разных значениях t построили график изменения величины Ea(t) в исследуемом образце в зависимости от суммарного времени изотермического отжига, который представлен на фиг.2. Экспериментальные значения на графике представлены в виде значков.
Следующий этап – это определение коэффициентов зернограничной и объемной диффузии в образце при данной температуре теплового отжига на воздухе. Коэффициенты зернограничной D1(T) и объемной D2(T) диффузии определяли аппроксимацией экспериментально измеренноой зависимости Ea(t) от суммарного времени изотермического отжига выражением, устанавливающим аналитическую связь между величиной Ea(t) и No(x) (УДК 541.12.012.4 Применение электрических измерений для анализа диффузионных процессов в поликристаллических ферритах. Суржиков А.П., Притулов А.М., Гынгазов С.А., Лысенко Е.Н., Никифоренко И.В.; Том. Политехн. Ун-т. – Томск, 1998. – 20 с. – Библиогр.: 10 назв. – Рус. – Деп. в ВИНИТИ. 27.07.98, №2392-В98.):

где Еi – значение Ea(t, х) на глубине, где оно не зависит от х (обычно эта величина находится в области значений 0.19-0.20 эВ),
Ni – исходная избыточная концентрация ионов кислорода в межзеренной прослойке.
Концентрация ионов кислорода, продиффундировавших на глубину х, при аппроксимации временного распределения величины Ea

В этом уравнении


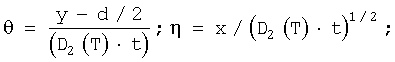
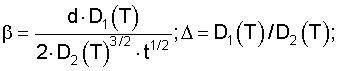
где , и – безразмерные переменные, которые соответствуют у, х и t, а – безразмерный параметр;


D1(Т) и D2(T) – коэффициенты диффузии соответственно в межзеренной прослойке и зерне;
No(T) – концентрация кислорода в атмосфере при температуре теплового отжига;
Т – температура теплового отжига;
T – суммарное время теплового отжига;
d – толщина межзеренной прослойки;
у – расстояние от центра межзеренной границы в глубь зерна.
При расчетах значение х выбирали равным 15 мкм, что соответствует средней глубине зондирования при определении величины Eа(t) двузондовым методом. В качестве подгоночных параметров были использованы величины D1(t), D2(T), d и Ni. Результат аппроксимации представлен на фиг.2 в виде сплошной линии. Аппроксимацию осуществляли на персональном компьютере типа IBM в математическом редакторе MathCAD PLUS 7.0 PRO с помощью стандартной встроенной программы genfit.
Таким образом, для температуры теплового отжига на воздухе 600°С получены значения подгоночных параметров: D1(T), D2(T), d, и Ni.
Подобно описанному выше были построены графики распределений величины Ea(t) и определены коэффициенты D1(Т) и D2(Т) для температур теплового отжига на воздухе 650, 700, 750°С. Все измерения были повторены для времен выдержки в нагретом состоянии 12 и 15 минут. Результаты определения D1(T), D2(T) для всех температур и времен теплового отжига на воздухе представлены в таблице. Там же представлены значения коэффициентов диффузии, определенные по способу-прототипу.
Эти результаты использованы для определения диффузионных констант в выражениях для коэффициентов зернограничной и объемной диффузии в исследуемых образцах следующим образом. Температурная зависимость коэффициента диффузии обычно подчиняется закону Аррениуса:

где D0 – не зависящая от температуры постоянная; Ed – энергия активации диффузии; k – постоянная Больцмана; Т – температура теплового отжига. Величины D0 и Ed называют вместе диффузионными константами.
Для определения диффузионных констант по данным, приведенным в таблице, построили график температурных зависимостей коэффициентов D1(T) и D2(T) в аррениусовских координатах (оси у соответствует величина LnD(T), а оси х – величина 1/kT), который представлен на фиг.3. Известно, что в этих координатах эти зависимости подчиняются линейному закону. Диффузионные константы определили аппроксимацией экспериментальных кривых линейной зависимостью (кривые 1 и 2 на фиг.3). Уравнение прямой, определенной по результатам аппроксимации, записано под соответствующей кривой на фиг.3. Угол наклона прямой линии (коэффициент перед х) дает значения Ed, равные 0.84 эВ и 1.92 эВ для D1(T) и D2(T) соответственно, а точка пересечения с осью у (второй член в уравнении прямой) – значения LnD0, равные -10.68 и -5.48 для D1(t) и D2(T) соответственно. По результатам аппроксимации экспериментальных зависимостей D1(Т) и D2(T) выражения для коэффициентов зернограничной D1(T) и объемной D2(T) диффузии запишутся в следующем виде:


Таким образом, в результате произведенных экспериментальных измерений и численных аппроксимаций были определены значения диффузионных констант в выражениях для коэффициентов зернограничной и объемной диффузии в исследуемых образцах Li-Ti ферритов.
Весь цикл измерений по определению диффузионных параметров повторили для времени выдержки в нагретом состоянии на воздухе 12 и 15 минут. В результате которых были получены те же уравнения для температурных зависимостей 4 и 5.
Далее с использованием данных образцов было проведено определение диффузионных констант в исследуемом материале по способу-прототипу. Результаты измерений занесены в таблицу. Температурные зависимости коэффициентов D1(T) и D2(T) для способа-прототипа представлены на фиг.3 (кривые 3 и 4 соответственно). Путем обработки этих результатов были получены следующие выражения для коэффициентов зернограничной D1(t) и объемной D2(T) диффузии:


Сравнительный анализ результатов измерений коэффициентов диффузии, полученных по предлагаемому способу (таблица) и по способу-прототипу, показал, что наибольшее различие наблюдается при низких температурах выдержки образцов в нагретом состоянии. Также видно из фиг.3, что температурные зависимости для способа-прототипа характеризуются большим значением среднеквадратичного отклонения по сравнению с предлагаемым способом. Очевидно, что это обусловлено низкой точностью их определения по способу-прототипу. Таким образом, предлагаемый способ позволяет существенно повысить точность определения диффузионных констант неразрушающим образец методом.
Таблица Способ определения диффузионных констант в поликристаллических материалах |
| |
Время выдержки в нагретом состоянии |
Коэффициенты диффузии |
Температура выдержки в нагретом состоянии Т, К |
| |
|
|
873 |
923 |
973 |
1023 |
| Предлагаемый способ |
12 раз по 10 минут |
D1(T), [см2/с] |
3.6·10-10 |
9.2·10-10 |
7.4·10-10 |
2.3·10-10 |
| D2(T), [см2/с] |
4.1·10-14 |
1.2·10-13 |
3.9·10-13 |
2.2·10-12 |
| 10 раз по 12 минут |
D1(T), [см2/с] |
3.7·10-10 |
9.1·10-10 |
7.3·10-10 |
2.0·10-10 |
| D2(T), [см2/с] |
4.2·10-14 |
1.3·10-13 |
3.8·10-13 |
2.1·10-12 |
| 8 раз по 15 минут |
D1(T), [см2/с] |
3.6·10-10 |
9.3·10-10 |
7.3·10-10 |
2.3·10-10 |
| D2(T), [см2/с] |
4.1·10-14 |
1.4·10-13 |
3.8·10-13 |
2.2·10-12 |
| Способ-прототип |
120 минут |
D1(T), [см2/с] |
1.0·10-10 |
6.1·10-10 |
5.5·10-10 |
2.5·10-9 |
| D2(T), [см2/с] |
1.2·10-13 |
8·10-13 |
4·10-13 |
5·10-12 |
Формула изобретения
Способ определения диффузионных констант в поликристаллических материалах, в частности ферритах, заключающийся в том, что образец нагревают до температуры 800°С в вакууме при остаточном давлении 10-4 мм рт.ст., выдерживают в нагретом состоянии в течение 120 мин, охлаждают в вакууме до комнатной температуры, помещают образец на воздух, нагревают, выдерживают в нагретом состоянии, охлаждают, определяют коэффициенты диффузии, указанную последовательность действий повторяют для различных температур нагрева образца, строят график температурной зависимости коэффициентов диффузии, определяют диффузионные константы по результатам аппроксимации данной зависимости законом Аррениуса, отличающийся тем, что для заданной температуры нагрева образца на воздухе последовательность действий по нагреву образца, выдержке его в нагретом состоянии и охлаждению проводят многократно, при этом время выдержки образца в нагретом состоянии задают равным 10-15 мин, и после каждого охлаждения измеряют величину энергии активации электрической проводимости в приповерхностном слое образца, а при совпадении величины энергии активации электрической проводимости с величиной, полученной в предыдущем измерении, последовательность действий на воздухе по нагреву образца, выдержке его в нагретом состоянии и охлаждению прекращают, затем строят график кривой зависимости величины энергии активации электрической проводимости от суммарного времени выдержки образца в нагретом состоянии, а коэффициенты диффузии для заданной температуры нагрева образца определяют по результатам аппроксимации данной кривой выражением, связывающим величину энергии активации электрической проводимости в приповерхностном слое образца после очередной выдержки образца в нагретом состоянии с концентрацией продиффундировавших в него на данный момент времени ионов, задаваемой, в свою очередь, в виде решения уравнения Фика с соответствующими граничными условиями.
РИСУНКИ
MM4A – Досрочное прекращение действия патента СССР или патента Российской Федерации на изобретение из-за неуплаты в установленный срок пошлины за поддержание патента в силе
Дата прекращения действия патента: 05.07.2007
Извещение опубликовано: 10.03.2009 БИ: 07/2009
|
|