|
|
(21), (22) Заявка: 2005122091/28, 12.07.2005
(24) Дата начала отсчета срока действия патента:
12.07.2005
(46) Опубликовано: 10.12.2006
(56) Список документов, цитированных в отчете о поиске:
М.МИЛЕР, Голография, – Л.: Машиностроение, 1979, стр.157-159. SU 953456 A1, 23.08.1982. US 6128082 A, 03.10.2000. EP 0419936 В1,03.04.1991.
Адрес для переписки:
197022, Санкт-Петербург, ул. Л. Толстого, 6/8, фил.1, СПбГМУ им. акад. И.П. Павлова, патентный отдел, Г.Б. Сахновской
|
(72) Автор(ы):
Большаков Олег Петрович (RU), Котов Игорь Ростиславович (RU), Майоров Евгений Евгеньевич (RU), Майорова Ольга Викторовна (RU), Прокопенко Виктор Трофимович (RU), Хопов Владимир Викторович (RU)
(73) Патентообладатель(и):
Государственное образовательное учреждение высшего профессионального образования “Санкт-Петербургский государственный медицинский университет им. акад. И.П. Павлова Федерального агентства по здравоохранению и социальному развитию” (RU)
|
(54) СПОСОБ ОПРЕДЕЛЕНИЯ ДЕФОРМАЦИЙ ДИФФУЗНО ОТРАЖАЮЩИХ ОБЪЕКТОВ
(57) Реферат:
Изобретение относится к области оптических изображений, полученных из голограмм. Способ заключается в изготовлении двухэкспозиционной голограммы объекта по внеосевой схеме, восстановлении с голограммы интерферирующих волновых полей неразведенным когерентным излучением со стороны исследуемого объекта. Регистрация интерференционной картины производится в направлении исходного опорного пучка. Техническим результатом изобретения является упрощение процесса определения деформаций объектов. 6 ил.
Предлагаемый способ относится к контрольно-измерительной области техники и может быть использован для измерения смещений и деформаций диффузно отражающих объектов.
Известен способ измерения смещений и деформаций диффузных объектов с плоской поверхностью (Методические указания. Методика выполнения голографических интерференционных измерений с устранением спекл-шума. М., Изд-во стандартов, 1984, с.10), включающий получение голограммы сфокусированного изображения исследуемого объекта, восстановление интерферирующих волновых полей объектным полем, регистрацию интерферограммы в реальном времени.
Однако способ не позволяет исследовать неплоские объекты; может быть реализован лишь при постоянном присутствии объекта во время проведения измерений.
Известен способ измерения деформаций диффузных объектов (Ч.Вест. Голографическая интерферометрия. М., Мир, 1982, с.116, рис.2.19, 2.20а), который включает изготовление двухэкспозиционной голограммы исследуемого объекта по внеосевой схеме, восстановление волнового фронта неразведенным когерентным излучением, сопряженным исходному опорному, регистрацию интерферограммы в восстановленных световых пучках, сопряженных исходным объектным. Данный способ принимается за прототип.
Основным недостатком прототипа является сложность регистрации интерферограммы. Действительно, при регистрации интерферограммы необходимо диафрагмировать действительное изображение объекта, чтобы выделить диафрагмой исследуемую точку поверхности и получить информацию о векторе смещения в этой точке. Для того чтобы получить информацию о распределении смещений по поверхности, необходимо сканировать диафрагмой локализованное в пространстве действительное трехмерное изображение объекта. Такое сканирование пространства по трем координатам связано с большими техническими трудностями при реализации способа.
Задачей, на решение которой направлено предлагаемое изобретение, является упрощение процесса определения деформаций, а именно сокращение числа координат сканирования при реализации способа.
Решение поставленнй задачи достигается тем, что в известном способе, включающем изготовление двухэкспозиционной голограммы исследуемого объекта по внеосевой схеме, восстановление интерферирующих волновых полей неразведенным когерентным излучением, регистрацию интерференционной картины, по которой определяют деформации, согласно изобретению восстановление интерферирующих волновых полей производят неразведенным когерентным излучением со стороны объекта, а регистрацию интерференционной картины осуществляют в световых пучках, восстановленных с голограммы в направлении распространения опорной волны, используемой при регистрации голограммы.
Сущность изобретения поясняется чертежами. На фиг.1 представлены элементы физической системы для реализации предлагаемого способа, где Р и Р’ – соответственные элементы поверхности объекта, смещение которых между экспозициями определяется вектором d; ro и rн – единичные векторы соответственно для направления распространения света, освещающего окрестность исследуемой точки поверхности (на стадии регистрации голограммы), и света, распространяющегося в направлении наблюдения (на стадии восстановления); S – опорный пучок, S’ – освещающий объект пучок; S” – восстанавливающий пучок; Н – голограмма, Е – плоскость регистрации.
Необходимый положительный эффект достигается за счет реализации условий восстановления и регистрации интерферограммы, обеспечивающих соответствие координат точки голограммы при заданном направлении распространения восстанавливающего пучка точке поверхности объекта с эквивалентным направлением наблюдения.
Способ реализуется следующим способом. На стадии регистрации голограммы объект освещается волной S’. Свет, рассеянный поверхностью объекта, регистрируется фотопластинкой Н одновременно с опорной волной S. Проэкспонированную и проявленную фотопластинку возвращают на место экспонирования. На стадии восстановления голограмма Н освещается неразведенным лазерным пучком S” со стороны объекта (в отсутствии объекта). Восстановленные с голограммы световые пучки (как будет показано ниже) образуют интерференционную картину, по которой определяют искомые деформации. Поскольку при восстановлении пучок S” освещает голограмму со стороны объекта, восстановление волнового фронта происходит в направлении распространения исходной опорной волны S. На этом же направлении осуществляется и регистрация интерферограммы.
Покажем, что восстановленные с голограммы световые пучки образуют в направлении распространения исходной опорной волны интерференционную картину, в которой содержится информация о векторе смещения.
На стадии регистрации световые волны, рассеянные элементами Р и Р’, записываются на голограмме в точках С и D соответственно с фазами C и D:

где 0 – некоторая произвольная фаза, приписываемая опорной волне в точке D(D’);
‘0 – фаза освещающей волны в точке Р;
D’C, PC, P’D – изменение фазы волн на отрезках D’C, PC и P’D соответственно;
MP’ – изменение фазы волны на отрезке МР’;
– длина волны света.
На стадии восстановления голограмма освещается пучком S”. Восстанавливающая волна в точках С и D голограммы имеет фазы и :

где ”0 – фаза восстанавливающей волны в точке P'(N);
PC, P’D – изменение фазы волны на отрезках PC и P’D;
NP – изменение фазы волны на отрезке NP.
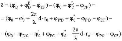
Из выражений (1) и (2) находится разность фаз восстановленных с голограммы лучей а и b в точке наблюдения F:

где CF, DF – изменение фазы волны на отрезках CF и DF соответственно.
Учитывая, что DF= D’C+ CF, получаем

Из полученного выражения следует, что в разности фаз восстановленных интерферирующих лучей содержится информация о векторе смещения. Соотношение (3) является основой количественной интерпретации интерференционной картины, по которой, зная направление освещения объекта ro и направление наблюдения rн, можно определить вектор смещения d.
Для визуального подтверждения существования интерференционных полос при освещении голограммы неразведенным пучком со стороны объекта на фиг.2, 3, 4 приведены фотографии интерференционных картин, наблюдаемых в плоскости регистрации (Е) при различных смещениях объекта. В качестве объекта при записи голограмм использовался алюминиевый параллелепипед с диффузной поверхностью.
Фиг.2 – поступательное смещение объекта вдоль оси Х (фиг.5);
фиг.3 – поступательное смещение объекта вдоль оси Z;
фиг.4 – наклон объекта вокруг оси X.
На фиг.5 представлена геометрия схемы восстановления, где Н – голограмма, V – мнимое изображение поверхности объекта, Р – анализируемая точка поверхности объекта, Е – плоскость регистрации, Sv – волна, восстанавливаемая с голограммы во время освещения голограммы опорным пучком S, rнi – единичный вектор, характеризующий различные направления наблюдения точки Р, Si” – восстанавливающий пучок.
Нахождение искомого вектора смещения d для каждой анализируемой точки поверхности объекта производится по методу Александрова и Бонч-Бруевича путем решения системы уравнений, получаемых из (3) для различных направлений наблюдения rнi (Ч.Вест. Голографическая интерферометрия. М., Мир, 1982, с.89). В заявляемом способе направление наблюдения rн и направление распространения восстанавливающего пучка Si” совпадают (фиг.5), т.к. эквивалентное направление наблюдения определяется направлением распространения восстанавливающего пучка. Поэтому различные направления наблюдения rнi задаются изменением направления распространения восстанавливающего пучка S” (фиг.5). При этом при каждом изменении направления пучка Si” регистрируется количество полос, “пробежавших” через точку наблюдения F. Соответствующее изменение фазы i,i+1 подставляется в левую часть уравнения (3), причем

где Ni,i+1 – количество полос, “пробежавших” через точку наблюдения F при изменении направления освещения голограммы от Si” до S”i+1.
Как отмечалось выше, в заявляемом способе направление наблюдения на выбранную для анализа точку поверхности объекта задается направлением распространения восстанавливающего пучка. Поэтому при фиксированных пространственном положении восстанавливающего пучка S” (фиг.6) и точке регистрации интерферограммы F выбор точки поверхности объекта Pk, в окрестности которой необходимо определить вектор смещения, однозначно задается положением голограммы относительно восстанавливающего пучка S”. На фиг.6 показан переход от определения вектора смещения в точке Pk к анализу точки Рk+1 путем перемещения голограммы из положения Нk в положение Hk+1; Vk, Vk+1 – мнимое изображение поверхности объекта, соответствующее положениям голограммы Hk и Hk+1; Sv – волна, восстанавливаемая с голограммы во время освещения голограммы опорным пучком S). Следовательно, для того чтобы получить информацию о распределении вектора смещения по поверхности объекта, достаточно перемещать голограмму относительно восстанавливающего пучка в плоскости, в которой она установлена, т.е. лишь по двум координатам.
Выбор участков поверхности объекта, деформации которых необходимо определить, можно осуществлять визуально по мнимому изображению объекта. С этой целью голограмма Н (фиг.5) временно освещается опорным пучком S, используемым при регистрации голограммы. Восстановленная с голограммы волна Sv дает в плоскости объекта его мнимое изображение. Наблюдатель, находящийся за голограммой, имеет возможность контролировать точку пересечения освещающего пучка S” с изображением поверхности объекта.
Таким образом, восстановление волнового фронта с голограммы неразведенным когерентным излучением со стороны объекта позволило реализовать условия, при которых для определения распределения вектора смещения (деформаций) по поверхности объекта необходимо перемещать голограмму относительно восстанавливающего пучка в плоскости, в которой она установлена, т.е. осуществлять перемещение лишь по двум координатам, в отличие от прототипа, где область сканирования – трехмерная, и тем самым упростить процесс определения деформаций.
Формула изобретения
Способ определения деформаций диффузно отражающих объектов, включающий изготовление двухэкспозиционной голограммы исследуемого объекта по внеосевой схеме, восстановление интерферирующих волновых полей неразведенным когерентным излучением, регистрацию интерференционной картины, по которой определяют деформации, отличающийся тем, что, с целью упрощения определения деформаций, восстановление интерферирующих волновых полей производят неразведенным когерентным излучением со стороны объекта, а регистрацию интерференционной картины осуществляют в световых пучках, восстановленных с голограммы в направлении распространения опорной волны, используемой при регистрации голограммы.
РИСУНКИ
|
|