|
|
(21), (22) Заявка: 2004112747/28, 26.04.2004
(24) Дата начала отсчета срока действия патента:
26.04.2004
(43) Дата публикации заявки: 20.10.2005
(46) Опубликовано: 10.12.2006
(56) Список документов, цитированных в отчете о поиске:
Вибрации в технике. Справочник в 6 томах. Том 5. Измерения и испытания. Под ред. М.Д.Генкина, М., Машиностроение 1981, стр.477-481. RU 2194944 С2, 20.12.2002. US 5402728, 04.04.1995. DE 10127483, 12.12.2002.
Адрес для переписки:
141070, Московская обл., г. Королев, ул. Ленина, 4а, ОАО “РКК “Энергия” им. С.П. Королева”, лаб. промышленной собственности и инноватики
|
(72) Автор(ы):
Асриев Юрий Иванович (RU)
(73) Патентообладатель(и):
Открытое акционерное общество “Ракетно-космическая корпорация “Энергия” имени С.П. Королева” (RU)
|
(54) УСТРОЙСТВО ДЛЯ ИСПЫТАНИЙ РАЗРЫВНЫХ БОЛТОВ И СПОСОБ ОПРЕДЕЛЕНИЯ ХАРАКТЕРИСТИК СРАБАТЫВАНИЯ РАЗРЫВНЫХ БОЛТОВ ПРИ ПРОЕКТИРОВАНИИ ПИРОТЕХНИЧЕСКИХ УЗЛОВ
(57) Реферат:
Изобретение относится к испытательному оборудованию и предназначено для испытаний разрывных болтов. Устройство для испытаний разрывных болтов состоит из двух кронштейнов, смонтированных на силовой плите, на одном из которых жестко закреплен один неподвижный диск, а соосно с ним на направляющих, жестко закрепленных в кронштейнах, расположен второй подвижный диск с возможностью перемещения по направляющим в сторону противоположного кронштейна, причем в дисках по их оси выполнены гнезда под разрывной болт, соединяющий их между собой, при этом диски контактируют друг с другом своими торцевыми плоскостями, момент соударения и момент разделения, соответствующий началу движения второго подвижного диска фиксируется, например, с помощью датчиков или киносъемки. Способ определения характеристик срабатывания разрывных болтов при проектировании пиротехнических узлов заключается в фиксации массы m подвижного второго диска, момента t1 разделения дисков, момента t2 соударения второго подвижного диска с противоположным кронштейном и расстояния L между дисками в момент соударения второго подвижного диска с кронштейном, при этом первый неподвижный диск жестко закреплен в кронштейне, а в исходном положении неподвижный и подвижный диски скреплены разрывным болтом, при этом характеристики срабатывания разрывного болта при его использовании в пиротехническом узле определяют по формулам. По результатам замеров по известным формулам рассчитывают характер РБ: импульс осевое усилие скорость Целью изобретения является определение характеристик срабатывания разрывных болтов при их использовании в пиротехнических узлах, заключающийся в фиксации разрывных болтов и исключение неорганизованного разлета элементов устройства, влекущего повреждение окружающих конструкций и элементов самого устройства. 2 н.п. ф-лы, 2 ил.
Изобретений относится к испытательному оборудованию и предназначено для испытаний разрывных болтов (в дальнейшем описании РБ). В литературных и патентных источниках не найдено ни одного устройства, предназначенного для таких испытаний.
Задачей изобретения является определение характеристик срабатывания разрывных болтов при их использовании в пиротехнических узлах, заключающийся в фиксации РБ и исключении неорганизованного разлета элементов устройства, влекущего повреждение окружающих конструкций и элементов самого устройства.
Сущность изобретения состоит в том, что в устройстве для испытаний РБ, состоящем из двух кронштейнов, смонтированных на силовой плите, на одном из которых закреплен диск, а соосно с ним на направляющих, жестко закрепленных в кронштейнах, расположен подвижный диск с возможностью перемещения по направляющим в сторону противоположного кронштейна, причем в дисках по их оси выполнены гнезда под РБ, соединяющий их между собой, при этом диски контактируют друг с другом своими торцевыми плоскостями.
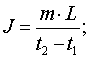
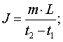
Задача достигается тем, что для определения характеристик РБ измеряют массу подвижного диска, фиксируют момент разделения дисков, момент соударения подвижного диска с противоположным кронштейном и расстояние между дисками в момент соударения подвижного диска с упомянутым кронштейном, при этом характеристики разрывного болта определяют по формулам:
импульс последействия 
скорость второго подвижного диска на участке L 
осевое усилие 
где m – масса подвижного диска (кг);
L – расстояние между дисками в момент соударения подвижного диска с противоположным кронштейном (м);
t1– момент разделения дисков после подачи тока на разрывной болт (с);
t2 – момент соударения второго подвижного диска с противоположным кронштейном (с).
Предлагаемое устройство изображено на Фиг.1.
Устройство состоит из двух кронштейнов 1 и 7, закрепленных на силовой плите 5, дисков 2 и 3. Диск 3 размещен на направляющих 4, жестко закрепленных в кронштейнах 1 и 7, диск 2 жестко закреплен на кронштейне 1. В исходном положении диски 2 и 3 скреплены разрывным болтом 6.
Устройство работает следующим образом.
При срабатывании РБ газы, образовавшиеся при разложении взрывчатого вещества, воздействуют на диски 2 и 3. Подвижный диск 3, расположенный на направляющих 4, начинает двигаться в сторону противоположного кронштейна 7 и соударяется с ним. Момент t2 соударения и момент t1 разделения, соответствующий началу движения подвижного диска 3, фиксируется, например, с помощью датчиков или киносъемкой.
Устройство после срабатывания разрывного болта показано на фиг.2.
Испытания РБ в этом устройстве позволяют:
– исключить неорганизованный разлет дисков, что исключает повреждение испытательного оборудования и окружающих конструкций испытательного бокса. Это достигается тем, что диск 2 жестко закреплен в кронштейне 1, а подвижный диск 3 при срабатывания РБ движется по направляющим 4 и остается на них после испытания;
– определить характеристики срабатывания разрывных болтов при их использовании в пиротоехнических узлах, импульс последействия J, осевое усилие Р и скорость V, сообщаемые подвижному диску 3 за счет воздействия взрывчатого вещества РБ после его срабатывания.
По величине расстояния L между вторым подвижным диском 3 и кронштейном 1 и времени (t2-t1) прохождения его этим диском определяют скорость V движения диска. По скорости V и массе m подвижного диска простым расчетом определяется импульс J и осевое усилие Р последействия. Знание величин импульса J и осевого усилия Р позволяет учитывать их при проектировании пиротехнических узлов и значительно упрощает их отработку.
Кроме того, это позволяет более точно прогнозировать процесс разделения элементов конструкций и, в отдельных случаях, обходиться без дополнительных расталкивающих средств. Знание импульса и усилия последействия позволяет рассчитать скорость разделения объектов даже без проведения специальных дополнительных испытаний.
Формула изобретения
1. Устройство для испытаний разрывных болтов, состоящее из двух кронштейнов, смонтированных на силовой плите, на одном из которых жестко закреплен один неподвижный диск, а соосно с ним на направляющих, жестко закрепленных в кронштейнах, расположен второй подвижный диск с возможностью перемещения по направляющим в сторону противоположного кронштейна, причем в дисках по их оси выполнены гнезда под разрывной болт, соединяющий их между собой, при этом диски контактируют друг с другом своими торцевыми плоскостями, момент соударения и момент разделения, соответствующий началу движения второго подвижного диска, фиксируется, например, с помощью датчиков или киносъемки.
2. Способ определения характеристик срабатывания разрывных болтов при проектировании пиротехнических узлов, заключающийся в фиксации массы m подвижного второго диска, момента t1 разделения дисков, момента t2 соударения второго подвижного диска с противоположным кронштейном и расстояния L между дисками в момент соударения второго подвижного диска с кронштейном, при этом первый неподвижный диск жестко закреплен в кронштейне, а в исходном положении неподвижный и подвижный диски скреплены разрывным болтом, при этом характеристики срабатывания разрывного болта при его использовании в пиротехническом узле определяют по формулам
импульс последействия

скорость второго подвижного диска на участке L

осевое усилие

где m – масса второго подвижного диска (кг);
L – расстояние между дисками в момент соударения второго подвижного диска с противоположным кронштейном (м);
t1 – момент разделения дисков после подачи тока на разрывной болт (с);
t2 – момент соударения второго подвижного диска с противоположным кронштейном (с).
РИСУНКИ
|
|