|
|
(21), (22) Заявка: 2004104625/04, 08.07.2002
(24) Дата начала отсчета срока действия патента:
08.07.2002
(30) Конвенционный приоритет:
10.04.2002 (пп.1-22) US 60/371,348
(43) Дата публикации заявки: 27.05.2005
(46) Опубликовано: 10.12.2006
(56) Список документов, цитированных в отчете о поиске:
EP 1110949 A1, 27.06.2001. GB 1583163, 21.01.1981. RU 2165924 C2, 27.04.2001.
(85) Дата перевода заявки PCT на национальную фазу:
16.02.2004
(86) Заявка PCT:
EP 02/07574 (08.07.2002)
(87) Публикация PCT:
WO 03/008377 (30.01.2003)
Адрес для переписки:
101000, Москва, М.Златоустинский пер., 10, кв.15, ЕВРОМАРКПАТ, пат.пов. И.А.Веселицкой, рег. № 11
|
(72) Автор(ы):
ЭЛУОРТИ Тодд Ричард (US), МИРЗАДЕГАН Таранех (US), РОПЕЛ Майкл Гаррет (US), СМИТ Дейвид Бернард (US), УОЛКЕР Кейт Адриан Мюррей (US)
(73) Патентообладатель(и):
Ф.ХОФФМАНН-ЛЯ РОШ АГ (CH)
|
(54) АНАЛОГИ ПРОСТАГЛАНДИНОВ, СПОСОБ ИХ ПОЛУЧЕНИЯ И ФАРМАЦЕВТИЧЕСКАЯ КОМПОЗИЦИЯ, ОБЛАДАЮЩАЯ СЕЛЕКТИВНОЙ АГОНИСТИЧЕСКОЙ АКТИВНОСТЬЮ В ОТНОШЕНИИ РЕЦЕПТОРА EP4
(57) Реферат:
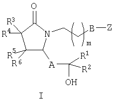
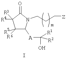
Изобретение относится к аналогам простагландина формулы I:

где
А означает -СН2-СН2 или -СН=СН-,
В отсутствует или означает фенил,
Z означает -C(O)OR’ или тетразол-5-ил, где R’ означает водород или C1-С6алкил,
m равно 1, 2, 3, 4, 5 или 6,
R1 означает C1-С6алкил, незамещенный фенил или фенил, замещенный по меньшей мере одним заместителем, выбранным из группы, включающей трифторметил, галоген, -Y-Ra, -Y-ORa и -Y-C(O)Ra, где Y означает химическую связь или C1-С3алкиленовую группу, a Ra означает C1-С6алкил, незамещенный фенил или фенил, замещенный по меньшей мере одним заместителем, выбранным из группы, включающей C1-С6алкил, C1-С6алкокси, трифторметил и галоген, при условии, что В означает фенил, a R3, R4, R5 и R6 одновременно не означают водород, или R1 означает незамещенный фенил или фенил, замещенный по меньшей мере одним заместителем, выбранным из группы, включающей трифторметил, галоген, -Y-Ra, -Y-ORa и -Y-C(O)Ra, где Y означает химическую связь или C1-С3алкиленовую группу, a Ra означает C1-С6алкил, незамещенный фенил или фенил, замещенный по меньшей мере одним заместителем, выбранным из группы, включающей C1-С6алкил, C1-С6алкокси, трифторметил и галоген, при условии, что В отсутствует, a R3, R4, R5 и R6 одновременно означают водород,
R2 означает водород,
R3, R4, R5 и R6 каждый независимо друг от друга означают водород или C1-С6алкил, или его фармацевтически приемлемая соль, либо индивидуальный изомер. Соединения I обладают селективной агонистической активностью в отношении рецептора ЕР4, что позволяет использовать их в фармацевтической композиции. 3 н. и 19 з.п. ф-лы, 1 табл.
Изобретение относится к некоторым аналогам 8-аза-11-дезоксипростагландина, соответствующим фармацевтическим композициям, способам применения в качестве селективных агонистов простагландина EP4 и способам их получения.
В литературе имеется множество публикаций, посвященных простагландинам или простаноидам (PGs). Термин простаноиды является международным непатентуемым названием природных и синтетических простагландинов и простагландинподобных соединений, относительно которых известно, что даже незначительные изменения в химической структуре или стереохимической конфигурации оказывают существенное влияние на их биологическую активность.
Простагландины или простаноиды (PGs) представляют собой группу биологически активных соединений, выделенных из мембранных фосфолипидов, образованных из незаменимых жирных кислот, содержащих 20 атомов углерода и включающих циклопентановое кольцо. Эти соединения подразделяются на несколько основных классов, обозначаемых буквами, и различаются заместителями в циклопентановом кольце. Основные классы подразделяются на подвиды, обозначаемые индексами 1, 2 или 3, которые соответствуют их жирнокислотным предшественникам.
Например, конкретным представителем простагландинов Е является PGE2 формулы

В настоящее время известно четыре различных подвида рецепторов PGE2, которые обозначаются EP1, EP2, ЕР3 и ЕР4.
Применение соединений, характеризующихся высокой активностью связывания с рецептором PGE2, включает профилактику и/или лечение иммунологических заболеваний (аутоиммунные заболевания, трансплантация органов и т.п.), астмы, нарушения образования костной ткани, гибели нейронов, тромбоза и инсульта, гепатопатии, абортов, нарушений мужской и женской половой функции, преждевременных родов, воспаления, такого как ревматоидный артрит, или невропатических нарушений сетчатки, таких как глаукома.
Более подробно простагландины и ассоциированные с ними рецепторы описаны, например, в статье М.Abramovitz и др., The Utilization of Recombinant Prostanoid Receptors to Determine the Affinities and Selectivities of Prostaglandins and Related Analogs, Biochimica et Biophysica Acta, 1483, 285-293 (2000).
Участие агонистов рецептора простагландина Е в резорбции костной ткани описано, например, в статьях T.Suzawa и др. The Role of Prostaglandin E Receptor Subtipes in Bone Resorption: An Analysis Using Specific Agonists for the Respective EP4, Endocrinology, 141, 1554-1559 (2000), K.Ono и др., Important Role of EP4, a Subtype of Prostaglandin (PG) E Receptor, in Osteoclast-like Cell Formation from Mouse Bone Marrow Cells Induced by PGE2, J. of Endocrinology, 158, R1-R5 (1998), M.Suda и др., Prostaglandin E Receptor Subtipes in Mouse Osteoblastic Cell Line, Endocrinology, 137, 1698-1705 (1996).
Эти селективные агонисты рецептора простагландина Е используются также при лечении патологических изменений в желудочно-кишечном тракте, см., например, H.Araki и др., The Roles of Prostaglandin E Receptor Subtypes in the Cytoprotective Action of Prostaglandin E2 in Rat Stomach, Aliment. Pharmacol. Ther., 14 (Suppl.l), 116-124 (2000), T.Kunikata и др., E Type Prostaglandin Inhibits Indomethacin-Induced Small Intestinal Lesions Through ЕР3 and EP4 Receptors: A Study Using Rats and Knockout Mice, Gastroenterology, 118, absr., №3787.
Другие примеры применения агонистов рецептора простагландина Е включают активацию функции почек, см., например, M.D.Breyer и др., Prostaglandin E Receptors and the Kidney, Am. J. Physiol., 279, F12-F23 (2000), и K.E.Purdy и др., EP1 and EP4 Receptors Mediate Prostaglandin E2 Actions in the Microcirculation of Rat Kidney, Am. J. Physiol., 279, F755-F764 (2000), лечение тромбоза и инсульта, а также других состояний, при которых благоприятное действие оказывает ингибирование агрегации тромбоцитов, см., например, В.Z.S.Paul и др., Distribution of Prostaglandin IP and EP Receptor Subtypes and Isoforms in Platelets and Human Umbilical Artery Smooth Muscle Cells, Br. J. Haematol., 102, 1204-1211 (1998), противовоспалительное действие за счет ингибирования образования -ФНО, см., например, К.К.Meja и др., Characterization of prostanoid receptor(s) on human blood monocytes at which prostaglandin E2 inhibits lipopolysaccharide-induced tumor necrosis factor-alpha generation, Br. J. Pharmacol., 122, 149-157 (1997), и A.Eigler и др., Anti-inflammatory activities of cAMP-elevating agents: enhancement of IL-10 synthesis and concurrent suppression of TNF production, J. Leukoc. Biol., 63, 101-107 (1998), или лечение глаукомы, см., например, M.Takamatsu и др.. Localization of Prostaglandin E Receptor Subtypes in the Ciliary Body of Mouse Eye, Exp. Eye Res., 70, 623-628 (2000), и D.F.Woodward и др., Molecular Characterization and Ocular Hypotensive Properties of the Prostanoid EP2 Receptor, J. Ocul. Pharmacol. Ther., 11, 447 (1995).
Лечение импотенции и/или эректильной дисфункции с использованием простагландинов, которые являются селективными лигандами рецептора ЕР2 и/или ЕР4, заявлено в опубликованной международной заявке WO 99/02164, поданной фирмой Pharmacia & Upjohn AB.
Дополнительная информация по простагландинам и их рецепторам содержится в монографии Goodman and Gillman, The Pharmacological Basis of Therapeutics, 9th edition, McGraw-Hill, New York, гл.26, стр.601-616 (1996).
Аналоги 8-аза-11-дезоксипростагландина, соответствующие PGE2, имеют следующее строение

Замена атома углерода в положении 8 на атом азота приводит к изменению трехмерной конформации полученного простагландина, а поскольку соединение обладает биологической активностью, такое изменение конформации оказывает существенное воздействие на биологическую активность. 8-Аза-11-дезоксипростагландины Е, содержащие природные боковые цепи, описаны в литературе, см., например, BE 841165 (Syntex USA Inc.).
Соединения по настоящему изобретению представляют собой 8-азапростагландины, содержащие неприродную боковую цепь в положении С-12 пирролидового цикла (в соответствии с номенклатурой простагландинов), причем указанная цепь в положении С-15 содержит гетероциклил, арил или гетероарил. Эти соединения обладают высокой селективностью действия в качестве агонистов рецептора ЕР4. Увеличение селективности снижает сильные побочные действия, часто наблюдаемые при введении неселективных агонистов простагландинов. Следовательно, существует необходимость в соединениях по настоящему изобретению.
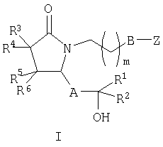
Настоящее изобретение относится к соединениям формулы I

где
А означает -СН2-CH2– или -СН=СН-,
В отсутствует или означает арил или гетероарил,
Z означает -C(O)OR’, -C(O)NR’R”, -C(O)NSO2R’, -PR'(O)(OR’), -PO(OR’)2 или тетразол-5-ил, где R’ и R” независимо друг от друга означают водород или C1-С6алкил,
m равно 1, 2, 3, 4, 5 или 6,
R1 означает алкил, алкенил, алкинил, циклоалкилалкил, гетероциклилалкил, арил, арилалкил или гетероарил при условии, что В означает арил или гетероарил, а R3, R4, R5 и R6 одновременно не означают водород, или R1 означает гетероциклилалкил, арил или гетероарил при условии, что В отсутствует, а R3, R4, R5 и R6 одновременно означают водород,
R2 означает водород или C1-С6алкил, C1-С6алкенил или C1-С6алкинил,
R3, R4, R5 и R6 каждый независимо друг от друга означает водород или C1-С6алкил, или R3 и R4, R5 и R6 или R3 и R5 вместе с атомом, к которому они присоединены, образуют циклический С3-С7алкил;
или к их фармацевтически приемлемой соли или сольвату, индивидуальному изомеру или рацемической или нерацемической смеси изомеров.
Другим объектом изобретения являются фармацевтические композиции, содержащие терапевтически эффективное количество по меньшей мере одного соединения формулы I или его фармацевтически приемлемой соли, или сольвата, пролекарства, индивидуального изомера или рацемической или нерацемической смеси изомеров в смеси по меньшей мере с одним пригодным носителем, разбавителем или эксципиентом.
Еще одним объектом изобретения является способ лечения заболевания, прежде всего заболевания костной ткани, у млекопитающего, излечиваемого введением агониста рецептора простагландина ЕР4, причем способ включает введение терапевтически эффективного количества соединения формулы I или его фармацевтически приемлемой соли.
Еще одним объектом изобретения является способ получения соединений формулы I.
Если не указано иное, термины, используемые в описании заявки и формуле изобретения, имеют значения, указанные ниже.
“Алкокси”, используемый отдельно или в комбинации, означает радикал – OR, где R означает алкил, имеющий значения, указанные в тексте заявки, например метокси, этокси, пропокси, бутокси и т.п.
“Алкил”, используемый отдельно или в комбинации, означает линейный насыщенный одновалентный углеводородный радикал, содержащий от одного до шести атомов углерода, или разветвленный насыщенный одновалентный углеводородный радикал, содержащий от трех до шести атомов углерода, например метил, этил, пропил, 2-пропил, н-бутил, изобутил, трет-бутил, пентил и т.п.
“Алкилен”, используемый отдельно или в комбинации, означает линейный насыщенный двухвалентный углеводородный радикал, содержащий от одного до шести атомов углерода, или разветвленный насыщенный двухвалентный углеводородный радикал, содержащий от трех до шести атомов углерода, например метилен, этилен, 2,2-диметилэтилен, пропилен, 2-метилпропилен, бутилен, пентилен и т.п.
“Алкилтио” или “алкилсульфанил”, используемый отдельно или в комбинации, означает радикал – SR, где R означает алкил, имеющий значения, указанные выше, например метилтио, этилтио, пропилтио, бутилтио и и т.п.
“Арил”, используемый отдельно или в комбинации, означает одновалентный моноциклический или бициклический ароматический углеводородный радикал, который необязательно независимо друг от друга замещен одним или более заместителями, предпочтительно одним, двумя или тремя заместителями, выбранными из группы, включающей алкил, галогеналкил, галоген, нитро, циано, амино, метилендиокси, этилендиокси, Y-арил, Y-гетероарил, Y-циклоалкил, -Y-гетероциклил, -Y-OR’, -Y-NR’R”, -Y-C(O)-R’, -Y-S(O)0-2-R’, -Y-N-SO2-R’, -Y-SO2-NR’R”, -Y-N-C(O)-N-R’R”, где Y отсутствует или означает C1-С3алкиленовую группу, а R’ и R” каждый независимо друг от друга означает водород, алкил, галогеналкил, гидрокси, алкокси, арил, гетероарил, циклоалкил, гетероциклил. Более конкретно термин арил включает, без ограничения перечисленным, фенил, хлорфенил, метоксифенил, метоксиметилфенил, фенилоксифенил, 1-нафтил, 2-нафтил и их производные.
“Циклоалкил”, используемый отдельно или в комбинации, означает насыщенный одновалентный циклический углеводородный радикал, содержащий в цикле от трех до семи атомов углерода, например циклопропил, циклобутил, циклогексил, 4-метилциклогексил и т.п.
“Галоген”, используемый отдельно или в комбинации, означает фтор, хлор, бром или иод, предпочтительно фтор и хлор.
“Галогеналкил”, используемый отдельно или в комбинации, означает алкил, замещенный одним или более идентичных или различных атомов галогена, например -СН3Cl, -CF3, -СН2CF3, -CH2CCl3 и т.п.
“Гетероарил”, используемый отдельно или в комбинации, означает одновалентный моноциклический или бициклический радикал, содержащий в цикле от 5 до 12 атомов и по меньшей мере один ароматический цикл, включающий в цикле один, два или три гетероатома, выбранных из ряда N, О или S, а остальные атомы в цикле являются атомами углерода, причем гетероарильный радикал присоединен к ароматическому циклу. Гетероарильный цикл необязательно замещен независимо друг от друга одним или более заместителями, предпочтительно одним или двумя заместителями, выбранными из ряда алкил, галогеналкил, галоген, нитро, циано, амино, метилендиокси, Y-арил, Y-гетероарил, Y-циклоалкил, -Y-гетероциклил, -Y-OR’, -YNR’R”, -Y-C(O)-R’, -Y-O-C(O)-R’, -Y-S(O)0-2-R’, -Y-N-SO2-R’, -Y-SO2-NR’R”, -Y-N-C(O)-N-R’R”, где Y отсутствует или означает C1-С3алкиленовую группу, a R’ и R” каждый независимо друг от друга означает водород, алкил, галогеналкил, гидрокси, алкокси, арил, гетероарил, циклоалкил, гетероциклил. Более конкретно термин гетероарил включает, без ограничения перечисленным, пиридил, фуранил, тиенил, тиазолил, изотиазолил, триазолил, имидазолил, изоксазолил, пирролил, пиразолил, пиримидинил, бензофуранил, тетрагидробензофуранил, изобензофуранил, бензотиазолил, бензоизотиазолил, бензотриазолил, индолил, изоиндолил, бензоксазолил, хинолил, тетрагидрохинолинил, изохинолил, бензимидазолил, бензизоксазолил или бензотиенил, имидазо[1,2-а]пиридинил, имидазо[2,1-b]тиазолил и их производные.
“Гетероциклил”, используемый отдельно или в комбинации, означает насыщенный или ненасыщенный неароматический циклический радикал, содержащий от 3 до 8 атомов в цикле, из которых один или два атома в цикле являются гетероатомами, выбранными из ряда N, О или S(O)0-2, а остальные атомы в цикле являются атомами углерода, причем один или два атома углерода необязательно заменены на карбонильную группу. Гетероциклил необязательно замещен независимо друг от друга одним, двумя или тремя заместителями, выбранными из ряда алкил, галогеналкил, галоген, нитро, циано, Y-арил, Y-гетероарил, Y-циклоалкил, Y-гетероциклил, -Y-OR’, -YNR’R”, -Y-C(O)-R’, -Y-S(O)0-2-R’, -Y-N-SO2-R’, -Y-SO2-NR’R”, -Y-N-C(O)-N-R’R”, где Y отсутствует или означает C1-С3алкиленовую группу, a R’ и R” каждый независимо друг от друга означает водород, алкил, галогеналкил, гидрокси, алкокси, арил, гетероарил, циклоалкил, гетероциклил. Более конкретно термин гетероциклил включает, без ограничения перечисленным, тетрагидропиранил, пиперидинил, N-метилпиперидин-3-ил, пиперазинил, N-метилпирролидин-3-ил, 3-пирролидинил, морфолинил, тиоморфолинил, тиоморфолино-1-оксид, тиоморфолино-1,1-диоксид, пирролинил, имидазолинил, N-метансульфонилпиперидин-4-ил и их производные.
“Уходящая группа” означает группу, название которой обычно ассоциируется с ее использованием в синтетической органической химии, т.е. означает атом или группу, которая замещается нуклеофилом и включает галоген (такой, как хлор, бром или иод), алкансульфонилокси, аренсульфонилокси, алкилкарбонилокси (например, ацетокси), арилкарбонилокси, мезилокси, тозилокси, трифторметансульфонилокси, арилокси (например, 2,4-динитрофенокси), метокси, N,O-диметилгидроксиламино и т.п.
“Необязательно замещенный фенил”, используемый отдельно или в комбинации, означает фенильный цикл, который необязательно замещен независимо друг от друга одним или более заместителями, предпочтительно одним или двумя заместителями, выбранными из группы, включающей алкил, гидрокси, алкокси, галогеналкил, галогеналкокси, гетероалкил, галоген, нитро, циано, амино, метилендиокси, этилендиокси и ацил.
“Изомерия” означает соединения с одинаковой химической формулой, но отличающиеся природой или последовательностью связей между атомами или пространственным расположением атомов. Изомеры, которые различаются пространственным расположением атомов, называются “стереоизомерами”. Стереоизомеры, которые не являются зеркальными изображениями друг друга, называются “диастереоизомерами”, а стереоизомеры, которые являются несовместимыми зеркальными изображениями называются “энантиомерами” или в некоторых случаях оптическими изомерами. Углеродный атом, связанный с четырьмя различными заместителями, называется “хиральным центром”.
“Хиральный изомер” означает соединение с одним хиральным центром. Такое соединение имеет две энантиомерные формы с противоположной хиральностью и может существовать в виде индивидуального энантиомера или в виде смеси энантиомеров. Смесь, содержащая равные количества индивидуальных энантиомерных форм противоположной хиральности, называется “рацемической смесью”. Соединение, содержащее более одного хирального центра, может существовать в виде 2n-1 энантиомерных пар, где n означает число хиральных центров. Соединение, содержащее более одного хирального центра, может существовать в виде индивидуального диастереомера или в виде смеси диастереомеров, которая назвается “диастереомерной смесью”. При наличии одного хирального центра, стереоизомер можно охарактеризовать абсолютной конфигурацией (R или S) указанного хирального центра. Абсолютная конфигурация означает пространственное расположение заместителей, присоединенных к хиральному центру. Заместители, присоединенные к указанному хиральному центру, классифицируют по правилу Кана, Ингольда и Прелога (Cahn и др., Angew. Chem. Inter. Edit., 5, 385, (1966) (список опечаток с.511), Cahn и др., Angew. Chem., 78, 413 (1966), Cahn и Ingold., J. Chem. Soc. (London), 612 (1951), Cahn и др., Experientia, 12, 81, (1956), Cahn, J. Chem. Educ., 41, 116 (1964)).
“Геометрические изомеры” означают диастереомеры, образующиеся за счет заторможенного вращения вокруг двойных связей. Эти конфигурации обозначаются приставками цис- и транс-, или буквами Z и Е, которые означают, что группы располагаются по одну или по разные стороны плоскости двойных связей согласно правилам Кана-Ингольда-Прелога.
“Атропические изомеры” означают изомеры, образующиеся за счет заторможенного вращения объемных групп вокруг центральной связи. Соединения по настоящему изобретению могут существовать в стереоизомерной форме, следовательно, их можно получать в виде индивидуальных стереоизомеров или их смесей.
“Фармацевтически приемлемый эксципиент” означает эксципиент, который используют при получении фармацевтической композиции и который обычно является безопасным, нетоксичным, безвредным в биологическом или ином отношении, и включает носитель, приемлемый как в ветеринарии, так и в фармацевтике. “Фармацевтически приемлемый эксципиент”, используемый в описании и пунктах формулы изобретения, включает один или более таких эксципиентов.
“Фармацевтически приемлемая соль” соединения означает соль, которая является фармацевтически приемлемой и которая обладает необходимой фармакологической активностью исходного соединения. Такие соли включают:
(1) кислотно-аддитивные соли неорганических кислот, таких как хлористоводородная кислота, бромистоводородная кислота, серная кислота, азотная кислота, фосфорная кислота, и т.п., или органических кислот, таких как уксусная кислота, пропионовая кислота, гексановая кислота, циклопентанпропионовая кислота, гликолевая кислота, пировиноградная кислота, молочная кислота, малоновая кислота, янтарная кислота, яблочная кислота, малеиновая кислота, фумаровая кислота, винная кислота, лимонная кислота, бензойная кислота, 3-(4-гидроксибензоил)бензойная кислота, коричная кислота, миндальная кислота, метансульфокислота, этансульфокислота, 1,2-этандисульфокислота, 2-гидроксиэтансульфокислота, бензолсульфокислота, 4-хлорбензолсульфокислота, 2-нафталинсульфокислота, 4-толуолсульфокислота, камфорсульфокислота, 4-метилбицикло[2.2.2]окт-2-ен-1-карбоновая кислота, глюкогептоновая кислота, 3-фенилпропионовая кислота, триметилуксусная кислота, трет-бутилуксусная кислота, лаурилсерная кислота, глюконовая кислота, глутаминовая кислота, гидроксинафтоевая кислота, салициловая кислота, стеариновая кислота, муконовая кислота и т.п.; или
(2) соли, образующиеся при замене кислотного протона, присутствующего в исходном соединении, на ион металла, например ион щелочного металла, ион щелочно-земельного металла или ион алюминия, или при образовании протоном координационного соединения с органическим основанием, таким как этаноламин, диэтаноламин, триэтаноламин, трометамин, N-метилглюкамин и т.п.
Предполагается, что все ссылки на фармацевтически приемлемые соли включают их сольватированные (сольваты) или кристаллические (полиморфные модификации) формы указанной кислотно-аддитивной соли, как описано описано в тексте заявки.
“Кристаллические формы” (или полиморфные модификации) означают кристаллические структуры, в которых соединение присутствует в разных кристаллических формах, имеющих одинаковый элементный состав. Такие кристаллические формы обычно характеризуются разными рентгеновскими диффракционными картинами, разными инфракрасными спектрами, имеют разные температуры плавления, иную плотность, прочность и форму кристаллов, различаются по оптическим и электрическим свойствам, по устойчивости и растворимости. На образование преобладающей кристаллической формы влияют различные факторы, такие как растворитель, используемый для перекристаллизации, скорость кристаллизации и температура хранения.
“Сольваты” означают сольватированные формы, которые содержат стехиометрическое или нестехиометрическое количество растворителя. Такие соединения в кристаллическом состоянии удерживают фиксированное молярное количество молекул растворителя, образуя сольват. Если в качестве растворителя используется вода, образующийся сольват называется гидратом, если растворителем является спирт, образующийся сольват называется алкоголятом. Гидраты образуются при комбинации одной или более молекул воды с молекулой вещества, причем вода сохраняет молекулярную форму H2O, a такие комбинации способны образовывать один или более гидратов.
Термин “пролекарство” означает любое соединение, которое при введении млекопитающему высвобождает активное исходное лекарственное средство формулы I in vivo, когда такое пролекарство вводится млекопитающему. Пролекарства соединения формулы I получают модификацией одной или нескольких функциональной группы (групп), содержащихся в соединении формулы I причем модифицированная группа (группы) могут расщепляться in vivo с образованием исходного соединения. Пролекарства включают соединения формулы I, в которых гидрокси, амино, сульфгидрил, карбокси или карбонильная группа в составе соединения формулы I связана с любой группой, которая может отщепляться in vivo с образованием свободной гидроксильной, амино- или сульфгидрильной группы соответственно. Примеры пролекарств включают, без ограничения перечисленным, сложные эфиры (например, ацетат, диалкиламиноацетаты, формиаты, фосфаты, сульфаты и бензоаты) и карбаматы (например, N,N-диметиламинокарбонил) гидроксильных функциональных групп, сложноэфирные группы (например, этиловые эфиры, морфолиноэтанольные эфиры) карбоксильных функциональных групп, N-ацильные производные (например, N-ацетил) основания Манниха, шиффовы основания и енаминоны функциональных аминогрупп, оксимы, ацетали, кетали и енольные эфиры кетонных и альдегидных функциональных групп в соединениях формулы I, и т.п. (см. Bundegaard H., Design of Prodrugs, Elsevier, New York-Oxford, 1-92 (1985)).
“Защитная группа” означает группу атомов, которая при связывании с реакционноспособной группой блокирует ее, препятствуя ее участию в основной реакции. Примеры защитных групп можно найти в монографиях T.W. Green и P.G.M.Futs, Protective Groups in Organic Chemistry, (Wiley, 3 ed. (1999) и Harrison и др., Compendium of Synthetic Organic Methods, т.1-8, J.Wiley и Sons (1971-1996). Типичные аминозащитные группы включают формил, ацетил, трифторацетил, бензил, бензилоксикарбонил (CBZ), трет-бутоксикарбонил (Boc), триметилсилил (TMS), 2-триметилсилилэтансульфонил (SES), тритил и замещенные тритильные группы, аллилоксикарбонил, 9-флуоренилметилоксикарбонил (FMOC), нитровератрилоксикарбонил (NVOC) и т.п. Типичные гидроксизащитные группы включают такие группы, в которых гидроксил ацилирован или алкилирован группой, такой как бензил, тритильные простые эфиры, а также алкильные простые эфиры, тетрагидропиранильные простые эфиры, триалкилсилиловые простые эфиры и аллильные эфиры.
“Терапия” или “лечение” заболеания включает: (1) профилактику заболевания, т.е. подавление развития клинических симптомов заболевания у субъекта, который подвержен или предрасположен к заболеванию, но у которого не обнаруживаются или не проявляются симптомы патологического состояния; (2) подавление заболевания, например подавление или снижение интенсивности развития заболевания или его клинических симптомов; (3) ослабление заболевания, например стимуляцию регрессии заболевания или его клинических симптомов.
“Терапевтически эффективное количество” означает количество соединения, которое при введении млекопитающему для лечения заболевания, является достаточным, чтобы обеспечить указанное лечение. Терапевтически эффективное количество может изменяться в зависимости от типа соединения, типа заболевания, подлежащего лечению, тяжести заболевания, возраста и массы и т.п. млекопитающего, подлежащего лечению.
“Аналог простагландина” означает неприродное соединение, которое в структурном отношении является близким простагландину.
“Рецептор простагландина” или “простаноидный рецептор” означает природный белок, связывающий простагландины, и который после образования комплекса изменяет функционирование клетки. Простагландиновые рецепторы могут проявлять возбуждающие или расслабляющие свойства. Такие рецепторы включают, без ограничения перечисленным, EP1, EP2, ЕР3, EP4, DP, FP, IP, TP1 и ТР2. Кроме того, эти рецепторы обсуждаются в обзоре Coleman и др., Pharmacological Reviews, 6, №2, 205-229 (1994).
Используемые в описании сокращения имеют следующие значения:
DME диметиловый эфир этиленгликоля
ДМФА диметилформамид
ДМСО диметилсульфоксид
EtOAc этилацетат
МС масс-спектр
ТГФ тетрагидрофуран
КТ комнатная температура.
Номенклатура
Название и нумерация соединений по настоящему изобретению иллюстрируется ниже:

В общем случае, номенклатура, использованная в описании заявки основана на программном обеспечении AUTONOM , версия 4.0, компьютерной системы института Бельштейна для формирования систематической номенклатуры IUPAC.
Например, соединение формулы I, где Z означает -С(O)ОН, m равно 5, R2, R3, R4, R5 и R6 означают водород, А означает -СН=СН-, В отсутствует, а R1 означает фенил, называется 7-[(R)-2-((Е)-3-гидрокси-3-фенилпропенил)-5-оксопирролидин-1-ил]гептановая кислота.
В то время как наиболее широкое определение соединений по настоящему изобретению приводится в кратком описании изобретения, некоторые соединения формулы I являются предпочтительными.
В первом варианте изобретения типичными являются соединения, в которых В отсутствует, R1 означает арил, A, R2, R3, R4, R5, R6 и Z имеют значения, указанные выше. В этом варианте предпочтительны соединения, в которых R1 означает арил, необязательно замещенный заместителем, выбранным из ряда трифторметил, галоген, -Y-Ra, -Y-ORa и -Y-C(O)Ra, где Y означает химическую связь или C1-С3алкиленовую группу, a Ra означает водород, C1-С6алкил, арил, гетероциклил, гетероарил или гетероциклил. Предпочтительно R1 означает арил, необязательно замещенный заместителем, выбранным из ряда -Y-Ra, -Y-ORa и -Y-C(O)Ra, где Y означает химическую связь или C1-С3алкиленовую группу, а Rа означает незамещенный фенил или замещенный фенил, содержащий по меньшей мере один заместитель, выбранный из ряда C1-С6алкил, C1-С6алкокси, трифторметил или галоген.
Во втором варианте соединений формулы I В отсутствует, А, R2, R3, R4, R5, R6 и Z имеют значения, указанные выше, а R1 означает фенил, замещенный группой -Y-Ra, где Y означает химическую связь или C1-С3алкиленовую группу, а Ra означает фенил, необязательно замещенный заместителем, выбранным из ряда C1-С6алкил, C1-С6алкокси, трифторметил или галоген. Предпочтительно R1 означает фенил, замещенный по меньшей мере одной группой -Y-ORa, где Y означает химическую связь или C1-С3алкиленовую группу, а Ra означает фенил, необязательно замещенный группой C1-С6алкил, C1-С6алкокси, трифторметил или галоген. Более предпочтительно R1 означает фенил, замещенный -Y-C(O)Ra, где Y означает химическую связь или C1-С3алкиленовую группу, a Ra означает фенил, необязательно замещенный заместителем, выбранным из ряда C1-С6алкил, C1-С6алкокси, трифторметил или галоген.
Третий вариант изобретения включает соединения формулы I, где В отсутствует, А означает -СН=СН-, R2, R3, R4, R5, R6 и Z имеют значения, указанные выше, а R1 означает гетероарил. Типичными соединениями являются соединения, в которых гетероарильная группа является замещенной заместителем, выбранным из ряда трифторметил, галоген, -Y-Ra, -Y-ORa и -Y-C(O)Ra, где Y означает химическую связь или C1-С3алкиленовую группу, а Ra означает C1-С6алкил, арил, гетероциклил, гетероарил или гетероциклил.
Четвертый вариант изобретения включает соединения формулы I, в которых В отсутствует, А означает -СН2-СН2-, R2, R3, R4, R5, R6 и Z имеют значения, указанные выше, а R1 означает гетероарил. Типичными соединениями являются соединения, в которых гетероарильная группа является замещенной заместителем, выбранным из ряда трифторметил, галоген, -Y-R, -Y-ORa и -Y-C(O)Ra, где Y означает химическую связь или C1-С3алкиленовую группу, a Ra означает C1-С6алкил, арил, гетероциклил, гетероарил или гетероциклил.
Пятый вариант изобретения включает соединения формулы I, в которых В отсутствует, R3 и R4 означают C1-С6алкил, R2, R3, R6 и Z имеют значения, указанные выше, А означает -СН2-СН2-, а R1 означает фенил, гетероарил, алкил или циклоалкилалкил. Предпочтительно R1 означает фенил, замещенный по меньшей мере одним заместителем, выбранным из ряда трифторметил, галоген, -Y-Ra, -Y-ORa и -Y-C(O)Ra, где Y означает химическую связь или C1-С3алкиленовую группу, a Ra означает C1-С6алкил, арил, гетероциклил, гетероарил или гетероциклил. Более предпочтительно R1 означает гетероарил, замещенный по меньшей мере одним заместителем, выбранным из ряда трифторметил, галоген, -Y-Ra, -Y-ORa и -Y-C(O)Ra, где Y означает химическую связь или C1-С3алкиленовую группу, a Ra означает C1-С6алкил, арил, гетероциклил, гетероарил или гетероциклил. Наиболее предпочтительно R1 означает алкил или циклоалкилалкил.
Шестой вариант изобретения включает соединения, в которых В отсутствует, R2, R3, R4, R5, R6 и Z имеют значения, указанные выше, А означает а -СН=СН-, R1 означает фенил, необязательно замещенный заместителем, выбранным из ряда трифторметил, галоген, -Y-Ra, -Y-ORa и -Y-C(O)Ra, где Y означает химическую связь или C1-С3алкиленовую группу, a Ra означает C1-С6алкил, арил, гетероциклил, гетероарил или гетероциклил.
Седьмой вариант изобретения включает соединения, в которых В отсутствует, R2, R3, R4, R5, R6 и Z имеют значения, указанные выше, А означает a -CH2-CH2-, R1 означает фенил, необязательно замещенный заместителем, выбранным из ряда трифторметил, галоген, -Y-Ra, -Y-ORa и -Y-C(O)Ra, где Y означает химическую связь или C1-С3алкиленовую группу, a Ra означает C1-С6алкил, арил, гетероциклил, гетероарил или гетероциклил.
Восьмой вариант изобретения включает соединения, в которых В означает арил, m равно 1 или 2, R2, R3, R4, R5, R6, A и Z имеют значения, указанные выше, а R1 означает алкил или арил, необязательно замещенный заместителем, выбранным из ряда трифторметил, галоген, -Y-Ra, -Y-ORa и -Y-C(O)Ra, где Y означает химическую связь или C1-С3алкиленовую группу, a Ra означает C1-С6алкил, арил, гетероциклил, гетероарил или гетероциклил. Предпочтительно R1 означает необязательно замещенный фенил.
Девятый вариант изобретения включает соединения, в которых В означает гетероарил, m равно 1 или 2, R1 означает алкил, R2, R3, R4, R5, R6, A и Z имеют значения, указанные выше. Предпочтительны соединения, в которых А означает -СН=СН-.
Кроме того, предпочтительны соединения формулы I, в которых R2 означает водород.
Предпочтительны также соединения формулы I, в которых R3-R6 независимо выбирают из ряда водород и алкил. Наиболее предпочтительны соединения формулы I, в которых R3-R6 независимо выбирают из ряда водород и метил.
Другим предпочтительным вариантом настоящего изобретения являются соединения формулы I, в которых R3-R6 означают водород.
Соединения формулы I включают оптические изомеры, диастереомеры, энантиомеры указанной структуры или фармацевтически приемлемые соли, их биогидролизуемые амиды, сложные эфиры или имиды. Предпочтительная стереохимическая структура аналогична природному PGE2.
Соединения по настоящему изобретению могут существовать в виде несольватированных форм, а также в виде сольватов, включая гидраты. В общем случае, сольватированные формы, включая гидраты, эквивалентнтны несольватированным формам и также включены в объем настоящего изобретения.
Кроме того, соединения формулы I образуют фармацевтически приемлемые основно-аддитивные соли. Такие формы также включены в объем настоящего изобретения.
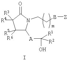
Настоящее изобретение прежде всего относится к соединениям формулы I,

где
А означает -СН2-СН2– или -СН=СН-,
В отсутствует или означает арил или гетероарил,
Z означает -C(O)OR’, -C(O)NR’R”, -C(O)NSO2R’, -PR'(O)(OR’), -PO(OR’)2 или тетразол-5-ил, где R’ и R” независимо друг от друга означают водород или C1-С6алкил,
m означает 1, 2, 3, 4, 5 или 6,
R1 означает алкил, алкенил, алкинил, циклоалкилалкил, гетероциклилалкил, арил, арилалкил или гетероарил при условии, что В означает арил или гетероарил, а R3, R4, R5 и R6 одновременно не означают водород, или R1 означает гетероциклилалкил, арил или гетероарил при условии, что В отсутствует, а R3, R4, R5 и R6 одновременно означают водород,
R2 означает водород или C1-С6алкил, C1-С6алкенил или C1-С6алкинил,
R3, R4, R5 и R6 каждый независимо друг от друга означает водород или C1-С6алкил, или R3 и R4, R5 и R6 или R3 и R5 вместе с атомом, к которому они присоединены образуют циклический С3-С7алкил,
или к их фармацевтически приемлемой соли или сольвату, индивидуальному изомеру или рацемической или нерацемической смеси изомеров.
Предпочтительными являются соединения формулы I, в которых В отсутствует, а R1 означает арил, необязательно замещенный заместителем, выбранным из группы, включающей трифторметил, галоген, -Y-Ra, -Y-OR и -Y-C(O)Ra, где Y означает химическую связь или C1-С3алкиленовую группу, а Ra означает C1-С6алкил, арил, гетероциклил, гетероарил или гетероциклил.
Кроме того, предпочтительны соединения формулы I, в которых R1 означает незамещенный фенил.
Другим предпочтительным объектом настоящего изобретения являются соединения формулы I, в которых R1 означает фенил, замещенный заместителем, выбранным из группы, включающей трифторметил, галоген, -Y-Ra, -Y-ORa и -Y-C(O)Ra, где Y означает химическую связь или C1-С3алкиленовую группу, а Ra означает C1-С6алкил, арил, гетероциклил, гетероарил или гетероциклил.
Предпочтительными также являются соединения формулы I, в которых Ra означает фенил, необязательно замещенный заместителем, выбранным из группы, включающей C1-С6алкил, C1-С6алкокси, трифторметил и галоген.
Кроме того, предпочтительными являются соединения формулы I, в которых R1 означает фенил, замещенный по меньшей мере одним заместителем -Y-Ra, где Y означает химическую связь или C1-С3алкиленовую группу, а Ra означает фенил, необязательно замещенный заместителем, выбранным из группы, включающей C1-С6алкил, C1-С6алкокси, трифторметил и галоген.
Еще одним предпочтительным объектом настоящего изобретения являются соединения формулы I, в которых R1 означает фенил, замещенный по меньшей мере одним заместителем -Y-Ra, где Y означает химическую связь или C1-С3алкиленовую группу, a Ra означает необязательно замещенный гетероарил.
Кроме того, предпочтительными являются соединения формулы I, в которых R1 означает фенил, замещенный по меньшей мере одним заместителем -Y-ORa, где Y означает химическую связь или C1-С3алкиленовую группу, а Ra означает фенил, замещенный заместителем, выбранным из группы, включающей C1-С6алкил, C1-С6алкокси, трифторметил и галоген.
Другим объектом настоящего изобретения являются соединения формулы I, в которых R1 означает фенил, замещенный по меньшей мере одним заместителем -Y-C(O)Ra, где Y означает химическую связь или C1-С3алкиленовую группу, а Ra означает фенил, необязательно замещенный по меньшей мере одним заместителем, выбранным из группы, включающей C1-С6алкил, C1-С6алкокси, трифторметил и галоген.
Кроме того, предпочтительны соединения формулы I, в которых В отсутствует, а R1 означает гетероарил.
Кроме того, предпочтительным объектом настоящего изобретения являются соединения формулы I, в которых R1 означает гетероарил, замещенный заместителем, выбранным из группы, включающей трифторметил, галоген, -Y-Ra, -Y-Ora и -Y-C(O)Ra, где Y означает химическую связь или C1-С3алкиленовую группу, а Ra означает C1-С6алкил, арил, гетероциклил, гетероарил или гетероциклил.
Предпочтительны также соединения формулы I, в которых В отсутствует, а R3 и R4 означают C1-С6алкил.
Еще одним предпочтительным объектом настоящего изобретения являются соединения формулы I, в которых R1 означает фенил, необязательно замещенный заместителем, выбранным из группы, включающей трифторметил, галоген, -Y-Ra, -Y-ORa и -Y-C(O)Ra, где Y означает химическую связь или C1-С3алкиленовую группу, a Ra означает C1-С6алкил, арил, гетероциклил, гетероарил или гетероциклил.
Еще одним предпочтительным объектом настоящего изобретения являются соединения формулы I, в которых R1 означает гетероарил, необязательно замещенный заместителем, выбранным из группы, включающей трифторметил, галоген, -Y-Ra,-Y-ORa и -Y-(O)Ra, где Y означает химическую связь или C1-С3алкиленовую группу, а Ra означает C1-С6алкил, арил, гетероциклил, гетероарил или гетероциклил.
Кроме того, предпочтительны соединения формулы I, в которых R1 означает алкил или циклоалкилалкил.
Еще одним предпочтительным объектом настоящего изобретения являются соединения формулы I, в которых А означает -СН2-СН2-.
Кроме того, предпочтительны соединения формулы I, в которых В отсутствует, а А означает -СН2-СН2-.
Еще одним предпочтительным объектом настоящего изобретения являются соединения формулы I, в которых В отсутствует, а R1 означает фенил, необязательно замещенный заместителем, выбранным из группы, включающей трифторметил, галоген, -Y-Ra, -Y-ORa и -Y-C(O)Ra, где Y означает химическую связь или C1-С3алкиленовую группу, a Ra означает C1-С6алкил, арил, гетероциклил, гетероарил или гетероциклил.
Предпочтительны также соединения формулы I, в которых В означает арил, m равно 1 или 2, а R1 означает алкил, арил или гетероарил.
Кроме того, предпочтительны соединения формулы I, в которых R1 означает необязательно замещенный фенил.
Другим предпочтительным объектом настоящего изобретения являются соединения формулы I, в которых R1 означает алкил.
Кроме того, предпочтительны соединения формулы I, в которых В означает гетероарил, m равно 1 или 2, а R1 означает алкил.
Предпочтительные соединения формулы I выбирают из группы, включающей следующие соединения:
7-[2-((Е)-3-гидрокси-3-нафталин-2-илпропенил)-5-оксопирролидин-1-ил]гептановая кислота,
7-{(R)-2-[(Е)-3-гидрокси-3-(3-феноксифенил)пропенил]-5-оксопирролидин-1-ил}гептановая кислота,
7-[(R)-2-(Е)-3-гидрокси-3-фенилпропенил)-5-оксопирролидин-1-ил]гептановая кислота,
7-((R)-2-{(Е)-3-гидрокси-3-[3-(морфолин-4-сульфонил)фенил]пропенил}-5-оксопирролидин-1-ил)гептановая кислота,
7-{(R)-2-[(Е)-3-гидрокси-3-(3-метоксифенил)пропенил]-5-оксопирролидин-1-ил}гептановая кислота,
7-{(R)-2-[(Е)-3-гидрокси-3-(4-феноксифенил)пропенил]-5-оксопирролидин-1-ил}гептановая кислота,
7-{(R)-2-[(Е)-3-(3-бензилфенил)-3-гидроксипропенил]-5-оксопирролидин-1-ил}гептановая кислота,
7-{(R)-2-[(Е)-3-(3-этоксифенил)-3-гидроксипропенил]-5-оксопирролидин-1-ил}гептановая кислота,
7-{(R)-2-[(Е)-3-(3-этилфенил)-3-гидроксипропенил]-5-оксопирролидин-1-ил}гептановая кислота,
7-{(R)-2-[(Е)-3-(3-бензоилфенил)-3-гидроксипропенил]-5-оксопирролидин-1-ил}гептановая кислота,
7-{(R)-2-[(E)-3-(3-бромфенил)-3-гидроксипропенил]-5-оксопирролидин-1-ил}гептановая кислота,
7-[(R)-2-((Е)-3-бифенил-3-ил-3-гидроксипропенил)-5-оксопирролидин-1-ил]гептановая кислота,
7-{(R)-2-[(Е)-3-гидрокси-3-(2′-метилбифенил-3-ил)пропенил]-5-оксопирролидин-1-ил}гептановая кислота,
7-{(S)-2-[3-гидрокси-3-(5-ортотолилфуран-2-ил)пропил]-5-оксопирролидин-1-ил}гептановая кислота,
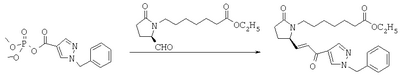
7-{(S)-2-[3-(1-бензил-1Н-пиразол-4-ил)-3-гидроксипропил]-5-оксопирролидин-1-ил}гептановая кислота,
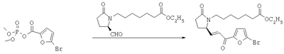
7-{(R)-5-[(Е)-3-гидрокси-3-(5-трифторметилфуран-2-ил)пропенил]-3,3-диметил-2-оксопирролидин-1-ил}гептановая кислота,
7-(R)-{2-[(Е)-3-гидрокси-3-(3-гидроксифенил)пропенил]-5-оксопирролидин-1-ил}гептановая кислота,
7-{(R)-2-[(Е)-3-гидрокси-3-(3-пиррол-1-илметилфенил)пропенил]-5-оксопирролидин-1-ил}гептановая кислота,
7-{(R)-2-[(Е)-3-гидрокси-3-(3-пиразол-1-илметилфенил)пропенил]-5-оксопирролидин-1-ил}гептановая кислота,
7-{(R)-2-[(Е)-3-гидрокси-3-(3-метоксиметилфенил)пропенил]-5-оксопирролидин-1-ил}гептановая кислота,
7-{(R)-2-[(Е)-3-(3-циклопентилоксифенил)-3-гидроксипропенил]-5-оксопирролидин-1-ил}гептановая кислота,
7-{(R)-2-[(Е)-3-(2′-этоксибифенил-3-ил)-3-гидроксипропенил]-5-оксопирролидин-1-ил}гептановая кислота,
7-{(R)-2-[(Е)-3-(2′-хлорбифенил-3-ил)-3-гидроксипропенил]-5-оксопирролидин-1-ил}гептановая кислота,
7-((R)-2-{(Е)-3-гидрокси-3-[3-(4-метоксифенокси)фенил]пропенил}-5-оксопирролидин-1-ил)гептановая кислота,
7-{(R)-2-[(Е)-3-(4′-хлорбифенил-3-ил)-3-гидроксипропенил]-5-оксопирролидин-1-ил}гептановая кислота и
7-{(R)-2-[(Е)-3-(3′-хлорбифенил-3-ил)-3-гидроксипропенил]-5-оксопирролидин-1-ил}гептановая кислота.
Кроме того, предпочтительные соединения выбирают из следующей группы:
7-{(R)-2-[(E)-3-(3-циклопентилоксифенил)-3-гидроксипропенил] -5-оксопирролидин-1-ил}гептановая кислота,
7-{(R)-2-[(Е)-3-(2′-этоксибифенил-3-ил)-3-гидроксипропенил]-5-оксопирролидин-1-ил}гептановая кислота,
7-{(R)-2-[(Е)-3-(2′-хлорбифенил-3-ил)-3-гидроксипропенил]-5-оксопирролидин-1-ил}гептановая кислота,
7-((R)-2-{(Е)-3-гидрокси-3-[3-(4-метоксифенокси)фенил]пропенил}-5-оксопирролидин-1-ил)гептановая кислота,
7-{(R)-2-[(E)-3-(4′-хлорбифенил-3-ил)-3-гидроксипропенил]-5-оксопирролидин-1-ил}гептановая кислота,
7-{(R)-2-[(Е)-3-(3′-хлорбифенил-3-ил)-3-гидроксипропенил]-5-оксопирролидин-1-ил}гептановая кислота,
7-{(R)-2-[(Е)-3-гидрокси-3-(5-трифторметилфуран-2-ил)пропенил]-5-оксопирролидин-1-ил}гептановая кислота,
7-{(R)-2-[(Е)-3-гидрокси-3-(3-трифторметилфенил)пропенил]-5-оксопирролидин-1-ил}гептановая кислота,
7-((S)-2-{3-[3-(4-фторфенокси)фенил]-3-гидроксипропил}-5-оксопирролидин-1-ил)гептановая кислота,
7-{(R)-2-[(Е)-3-гидрокси-3-(3-феноксиметилфенил)пропенил]-5-оксопирролидин-1-ил}гептановая кислота,
метиловый эфир 7-{(R)-2-[(Е)-3-гидрокси-3-(3-феноксиметилфенил)пропенил]-5-оксопирролидин-1-ил}гептановой кислоты,
7-((R)-2-{(Е)-3-гидрокси-3-[3-(1-метил-1Н-пиррол-2-ил)фенил]пропенил}-5-оксопирролидин-1-ил)гептановая кислота,
метиловый эфир 7-((R)-2-{(Е)-3-гидрокси-3-[3(1-метил-1Н-пиррол-2-ил)фенил]пропенил}-5-оксопирролидин-1-ил)гептановой кислоты,
7-{(R)-2-[(Е)-3-(3-бутоксифенил)-3-гидроксипропенил]-5-оксопирролидин-1-ил}гептановая кислота,
7-{(R)-2-[(Е)-3-(3-бензилоксифенил)-3-гидроксипропенил]-5-оксопирролидин-1-ил}гептановая кислота,
7-((R)-2-{(Е)-3-[3-(2-хлорбензилокси)фенил]-3-гидроксипропенил}-5-оксопирролидин-1-ил)гептановая кислота,
7-{(R)-5-[(Е)-3-гидрокси-3-(5-трифторметилфуран-2-ил)пропенил]-3,3-диметил-2-оксопирролидин-1-ил}гептановая кислота,
7-[(R)-5-((Е)-3-гидроксиокт-1-енил)-3,3-диметил-2-оксопирролидин-1-ил]гептановая кислота,
7-[2-((Е)-3-гидроксиокт-1-енил)-3,3-диметил-2-оксопирролидин-1-ил]гептановая кислота,
7-[(R)-5-((S)-(Е)-5-циклобутил-3-гидроксипент-1-енил)-3,3-диметил-2-оксопирролидин-1-ил]гептановая кислота,
7-{5-[(Е)-3-гидрокси-4-(3-метоксиметилфенил)бут-1-енил]-3,3-диметил-2-оксопирролидин-1-ил}гептановая кислота,
7-((R)-5-((Е)-3-гидрокси-3-[3-(4-метоксибензил)фенил]пропенил}-3,3-диметил-2-оксопирролидин-1-ил)гептановая кислота,
7-{(R)-2-[(Е)-3-гидрокси-3-(3-метатолилоксифенил)пропенил]-5-оксопирролидин-1-ил}гептановая кислота,
7-((R)-2-{(Е)-3-[3-(3-фторфенокси)фенил]-3-гидроксипропенил}-5-оксопирролидин-1-ил)гептановая кислота,
7-((R)-2-{(Е)-3-[3-(3-фенокси)фенил]-3-гидроксипропенил}-5-оксопирролидин-1-ил)гептановая кислота,
7-((R)-2-{(Е)-3-гидрокси-3-[3-(3-метоксифенокси)фенил]пропенил}-5-оксопирролидин-1-ил)гептановая кислота,
7-((R)-2-((Е)-3-гидрокси-3-[3-(4-трифторметилфенокси)фенил]пропенил}-5-оксопирролидин-1-ил)гептановая кислота,
7-{(R)-2-[(Е)-3-гидрокси-3-(3-ортотолилоксифенил)пропенил]-5-оксопирролидин-1-ил}гептановая кислота,
7-[(R)-2-((Е)-3-бифенил-2-ил-3-гидроксипропенил)-5-оксопирролидин-1-ил]гептановая кислота,
7-((R)-2-{(Е)-3-гидрокси-3-[3-(3-трифторметилфенокси)фенил]пропенил}-5-оксопирролидин-1-ил)гептановая кислота,
7-((R)-2-{(Е)-3-гидрокси-3-[3-(2-метоксифенокси)фенил]пропенил}-5-оксопирролидин-1-ил)гептановая кислота,
7-((R)-2-{(Е)-3-гидрокси-3-[3-(2-морфолин-4-ил-этокси)фенил]пропенил}-5-оксопирролидин-1-ил)гептановая кислота,
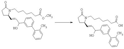
7-{(R)-2-[(Е)-3-(6,2′-диметилбифенил-3-ил)-3-гидроксипропенил]-5-оксопирролидин-1-ил}гептановая кислота,
7-{(S)-2-[(R)-3-гидрокси-3-(3-трифторметилфенил)пропил]-5-оксопирролидин-1-ил}гептановая кислота,
7-{(R)-2-[(Е)-3-гидрокси-3-(3-паратолилоксифенил)пропенил]-5-оксопирролидин-1-ил}гептановая кислота,
7-((R)-2-{(Е)-3-[3-(4-фторфенокси)фенил]-3-гидроксипропенил}-5-оксопирролидин-1-ил)гептановая кислота,
7-((R)-2-{(Е)-3-[3-(4-хлорфенокси)фенил]-3-гидроксипропенил}-5-оксопирролидин-1-ил)гептановая кислота,
7-{(R)-2-[(Е)-3-(4′-хлор-2′-метилбифенил-3-ил)-3-гидроксипропенил]-5-оксопирролидин-1-ил}гептановая кислота,
7-{(R)-2-[3-(4′-хлор-2′-метилбифенил-3-ил)-3-гидроксипропил]-5-оксопирролидин-1-ил}гептановая кислота,
7-((R)-2-{(Е)-3-гидрокси-3-[3-(метил-ортотолиламино)фенил]пропенил}-5-оксопирролидин-1-ил)гептановая кислота,
7-((R)-2-{(Е)-3-гидрокси-3-[3-(метилфениламино)фенил]пропенил}-5-оксопирролидин-1-ил)гептановая кислота,
7-{(R)-2-[(Е)-3-гидрокси-3-(3-фенетилоксифенил)пропенил]-5-оксопирролидин-1-ил}гептановая кислота,
7-[(R)-2-((Е)-3-гидрокси-3-{3-[2-(2-оксопирролидин-1-ил)этокси]фенил}пропенил)-5-оксопирролидин-1-ил]гептановая кислота,
7-{(R)-2-[(Е)-3-гидрокси-3-(4′-гидрокси-2′-метилбифенил-3-ил)пропенил]-5-оксопирролидин-1-ил}гептановая кислота,
7-{(R)-2-[(Е)-3-гидрокси-3-(3-индол-1-илфенил)пропенил]-5-оксопирролидин-1-ил}гептановая кислота,
7-{(R)-2-[(Е)-3-гидрокси-3-((Z)-3-пропенилфенил)пропенил]-5-оксопирролидин-1-ил}гептановая кислота,
7-{(R)-2-[(Е)-3-гидрокси-3-(3-пропилфенил)пропенил]-5-оксопирролидин-1-ил}гептановая кислота,
7-{(R)-2-[(Е)-3-(3-диметилкарбамоилфенил)-3-гидроксипропенил]-5-оксопирролидин-1-ил}гептановая кислота,
7-((R)-2-{(Е)-3-[3-(2-трет-бутоксиэтокси)фенил]-3-гидроксипропенил}-5-оксопирролидин-1-ил)гептановая кислота,
7-((R)-2-{(Е)-3-[3-(3-хлорфенокси)фенил]-3-гидроксипропенил}-5-оксопирролидин-1-ил)гептановая кислота,
7-{(S)-2-[(R)-3-гидрокси-3-(4′-гидрокси-2′-метилбифенил-3-ил)пропил]-5-оксопирролидин-1-ил}гептановая кислота,
7-((R)-2-{(Е)-3-гидрокси-3-[3-(4-метоксибензил)фенил]пропенил}-5-оксопирролидин-1-ил)гептановая кислота,
7-((R)-2-{(Е)-3-гидрокси-3-[3-(тетрагидропиран-4-илиденметил)фенил]пропенил}-5-оксопирролидин-1-ил)гептановая кислота,
7-((R)-2-{(Е)-3-гидрокси-3-[3-(тетрагидропиран-4-илметил)фенил]пропенил}-5-оксопирролидин-1-ил)гептановая кислота,
7-[(R)-2-((Е)-3-гидрокси-3-{3-[1-(4-метоксифенил)метаноил]фенил}пропенил)-5-оксопирролидин-1-ил]гептановая кислота,
7-{(R)-5-[(Е)-3-(4′-хлор-2′-метилбифенил-3-ил)-3-гидроксипропенил]-3,3-диметил-2-оксопирролидин-1-ил}гептановая кислота,
4-{3-[(R)-2-((S)-(Е)-3-гидроксиокт-1-енил)-5-оксопирролидин-1-ил]пропил}бензойная кислота,
3-{3-[(R)-2-((S)-(Е)-3-гидроксиокт-1-енил)-5-оксопирролидин-1-ил] пропил }бензойная кислота,
этиловый эфир 4-{2-[(R)-2-((S)-(Е)-3-гидроксиокт-1-енил)-5-оксопирролидин-1-ил]этил}бензойной кислоты,
2-{3-[(R)-2-((S)-(Е)-3-гидроксиокт-1-енил)-5-оксопирролидин-1-ил]пропил}бензойная кислота,
4-{2-[(R)-2-((S)-(Е)-3-гидроксиокт-1-енил)-5-оксопирролидин-1-ил]этил}бензойная кислота,
1-{2-[(R)-2-((E)-3-гидроксиокт-1-енил)-5-оксопирролидин-1-ил]этил}-1Н-пиразол-4-карбоновая кислота,
5-[(R)-2-((Е)-3-гидроксиокт-1-енил)-5-оксопирролидин-1-ил]этил)тиофен-2-карбоновая кислота,
4-(2-{(S)-2-[(R)-3-(4′-хлор-2′-метилбифенил-3-ил)-3-гидроксипропил]-5-оксопирролидин-1-ил}этил)бензойная кислота.
Более предпочтительные соединения формулы I выбирают из группы, включающей следующие соединения
7-{(R)-2-[(E)-3-(4′-хлор-2′-метилбифенил-3-ил)-3-гидроксипропил]-5-оксопирролидин-1-ил}гептановая кислота,
7-{(R)-5-[(Е)-3-гидрокси-3-(5-трифтометилфуран-2-ил)пропенил]-3,3-диметил-2-оксопирролидин-1-ил}гептановая кислота,
7-{(R)-5-[(Е)-3-гидрокси-4-(3-метоксиметилфенил)бут-1-енил]-3,3-диметил-2-оксопирролидин-1-ил}гептановая кислота,
7-((R)-2-{(Е)-3-[3-(4-хлорфенокси)фенил]-3-гидроксипропенил}-5-оксопирролидин-1-ил)гептановая кислота,
4-{2-[(R)-2-((E)-3-гидроксиокт-1-енил)-5-оксопирролидин-1-ил]этил}бензойная кислота,
4-(2-{(S)-2-[(R)-3-(4′-хлор-2′-метилбифенил-3-ил)-3-гидроксипропил]-5-оксопирролидин-1-ил}этил)бензойная кислота и
5-[(R)-2-((Е)-3-гидроксиокт-1-енил)-5-оксопирролидин-1-ил]этил)тиофен-2-карбоновая кислота.
Кроме того, предпочтительными являются соединения формулы I для применения в качестве терапевтически активных веществ.
Другим предпочтительным объектом настоящего изобретения являются соединения формулы I для получения лекарственных средств, предназначенных для профилактики и лечения заболеваний, ассоциированных с дисфункциями костной ткани.
Предпочтительным также является применение соединений формулы I для получения лекарственных средств, предназначенных для профилактики и лечения заболеваний, ассоциированных с дисфункциями костной ткани.
Кроме того, предпочтительным вариантом настоящего изобретения являются фармацевтическая композиция, включающая терапевтически эффективное количество соединения формулы I в смеси по меньшей мере с одним пригодным носителем, разбавителем или эксципиентом.
Другим предпочтительным объектом настоящего изобретения является способ лечения заболевания у млекопитающего, которое излечивается введением селективного агониста простагландина EP4, причем способ включает введение млекопитающему терапевтически эффективного количества соединения формулы I. Более предпочтительным является указанный способ лечения заболеваний, ассоциированных с дисфункциями костной ткани.
Кроме того, предпочтительным является способ получения соединения формулы I, который включает взаимодействие соединения общей формулы а

где R3, R4, R5 и R6 имеют значения, указанные выше, a R1 означает метил или этил, с фосфонатом общей формулы m

где R1 имеет значения, указанные выше, последующее восстановление и необязательный гидролиз с образованием соединения формулы I

где R2 означает водород, a m, R1, R3, R4, R5, R6 и Z имеют значения, указанные выше.
Кроме того, предпочтительным является способ получения соединения формулы I, который включает взаимодействие соединения общей формулы

где m, R3, R4, R5 и R6 имеют значения, указанные выше, a R1 означает метил или этил, с фосфонатом общей формулы m

где R1 имеет значения, указанные выше, последующее взаимодействие с металлоорганическим соединением формулы R2M, где М означает металл или галогенид магния, а R2 имеет значения, указанные выше, и необязательный гидролиз с образованием соединения формулы I

где A, m, R1, R2, R3, R4, R5, R6 и Z имеют значения, указанные выше.
Кроме того, предпочтительным вариантом настоящего изобретения является способ получения соединения формулы I, который включает
а) взаимодействие соединения формулы

где Rp означает защитную группу, R3, R4, R5 и R6 имеют значения, указанные выше, с амином формулы

где m и Z имеют значения, указанные выше, последующее удаление гидроксилзащитной группы с образованием соединения формулы

б) активацию в полученном выше соединении гидроксильной группы и взаимодействие полученного соединения с основанием и последующим удалением гидроксилзащитной группы с образованием соединения формулы

в) окисление соединения, полученного на стадии б) с образованием альдегида формулы

г) взаимодействие вышеуказанного альдегида с фосфонатом общей формулы m

где R1 имеет значения, указанные выше, с образованием соединения формулы

д) взаимодействие соединения, полученного на стадии г) с металлоорганическим соединением формулы R2М, где М означает металл или галогенид магния, а R2 имеет значения, указанные выше, и
е) необязательный гидролиз сложного эфира с образованием соединения формулы I.
Общая схема синтеза
Соединения по настоящему изобретению получают методами, показанными ниже на схемах реакций. Для специалиста в данной области представляется очевидным, что в пределах объема изобретения возможны некоторые модификации указанных схем, например, некоторых стадий, включающих использование защитных групп для некоторых функциональных групп, которые несовместимы с конкретными условиями реакции.
Исходные материалы и реагенты, используемые при получении указанных соединений, являются коммерческими преператами, поставляемыми фирмами Aldrich Chemical Co. (Milwaukee, WI), Bachem (Torrance, CA) или Sigma (St.Louis, МО) или их получают методами, известными специалистам в данной области. Указанные схемы лишь иллюстрируют некоторые методы синтеза соединений по настоящему изобретению, а различные модификации этих схем реакций могут использоваться специалистом в данной области со ссылкой на материалы настоящей заявки.
Если не указано иное, описанные реакции проводят при атмосферном давлении при температуре от приблизительно -78°С до приблизительно 150°С, более предпочтительно от приблизительно 0°С до приблизительно 125°С и наиболее предпочтительно приблизительно при комнатной температуре, например, приблизительно при 20°С.
На схеме А ниже показан общий метод получения соединений формулы I и их аналогов. В общем случае, эти соединения получают при взаимодействии фосфоната формулы m с альдегидом формулы а с образованием соединения формулы b.
Схема А

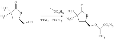
Альдегиды формулы а (где R’ означает метил, В отсутствует, m равно 5, R3, R4, R5 и R6 означают водород, а упомянутые радикалы имеют значения, указанные для формулы I) являются известными соединениями. Например, (R)-5-(гидроксиметил)-2-пирролидинон является коммерческим препаратом, а его получение и превращение в соединение а описано в статье S.Saijo и др., Chem. Pharm. Bull., 28, 1449-1458 (1980), (R)-3,3-диметил-5-(гидроксиметил)-2-пирролидинон, в котором R3 и R4 означают метил, а R5 и R6 означают водород, можно получить по методике, описанной Y.Nakagawa и др., Tetrahedron, 54, 10295-10307 (1998), а 4,4-диметил-5-(гидроксиметил)-2-пирролидинон, в котором R3 и R4 означают водород, а R5 и R6 означают метил, можно получить по методике, описанной R.L.Mackman и др., J. Chem. Soc., Perkin Trans., 2111-2122 (1997).
При взаимодействии альдегида а с -кетофосфонатом общей формулы m в присутствии основания, такого, например, как гидрид натрия, трет-бутоксид калия, гексаметилдисилазид калия или хлорид лития, и третичным амином в растворителе, таком, как ацетонитрил, тетрагидрофуран, 1,2-диметоксиэтан или трет-бутилметиловый эфир, получают соединение общей формулы b, где -СН=СН- соответствует группе А в формуле I.
Обычное восстановление кетона b гидридом, таким, например, как боргидрид цинка, в растворителе, таком как дихлорметан, толуол, этанол или тетрагидрофуран, или комбинацией боргидрид натрия/хлорид церия (III) в протонном растворителе, таком как метанол, приводит к образованию диастереомерной смеси спиртов формулы е.
Для получения соединения формулы I, где А означает -СН2-СН2-, a R1 означает арил или гетероарил, в соединении b сначала восстанавливают двойную связь в атмосфере водорода в присутствии катализатора, такого как оксид платины или палладий на угле. В качестве других гидридов для получения соединения с можно использовать, например, стехиометрическую комбинацию алюмогидрид лития/этанол/(R)-(-)-бинафтол, как описано R.Noyori и др., J. Am. Chem. Soc., 106, 6717-6725 (1984), комбинацию каталитических количеств (S)-2-метил-CBS-оксазаборолидина со стехиометрическим количеством борана/диметилсульфида, как описано E.J.Corey и др., J. Am. Chem. Soc., 109, 7925-7926 (1987), или стехиометрических количеств (S)-3-пинанил-9-борабицикло[3.3.1]нонана, как описано М.М.Midland и др., J. Am. Chem. Soc., 102, 867-869 (1980).
В другом варианте насыщенный спирт (т.е. относящийся к соединениям общей формулы е на схеме А) общей формулы I (где R1 означает арил или гетероарил) можно получить непосредственно из соединений формулы b при взаимодействии с боргидридом натрия в протонном растворителе, таком, как этанол или 2-метоксиэтанол.
Соединения общей формулы d получают при взаимодействии соединений формулы b и c с галогенидом магнийорганического соединения, включающим R2, имеющий значения, указанные для формулы I, более предпочтительно с реактивом Гриньяра общей формулы R2MgBr.
Сложные эфиры с и е гидролизуют с образованием соответствующих кислот d и f по методикам, хорошо известным специалисту в данной области, например, в присутствии основания, такого как гидроксид лития, натрия или калия, или в присутствии кислоты, такой как серная кислота или хлористоводородная кислота в протонном растворителе или в растворителе из группы простых эфиров, содержащем воду, или с использованием липазы типа VII в 0,05 М фосфатном буферном растворе, рН 6,8, как описано C.Luthy и др., J. Am. Chem. Soc., 100, 6211-6217 (1978).
Фосфонат общей формулы m получают методом, показанным ниже на схеме Б.
Схема Б

Производные бензойной кислоты, например, соединения формул g и i. (где L означает уходящую группу, имеющую значения, указанные выше) являются известными соединениями или их можно получить известными методами, а затем превратить в соединения формул h и k соответственно. Условия получения соединений формулы h описаны D.A.Evans и др., Tetrahedron Lett., 39, 2937 (1998). Методы получения соединений формулы k описаны A.M.Echavarren и J.K.Stille., J. Am. Chem. Soc., 109, 5478-5486 (1987), N.Miyaura и A.Suzuki, Chem. Rev., 95, 2457-2483 (1995) и A.F.Littke и др., J. Am. Chem. Soc., 122, 4020-4028 (2000). Соединения h и k превращают в соединение m при взаимодействии с диалкилметилфосфонатом, который сначала обрабатывают основанием, таким как н-бутиллитий или диизопропиламид лития, в инертном растворителе из группы простых эфиров, таком как тетрагидрофуран или трет-бутилметиловый эфир.
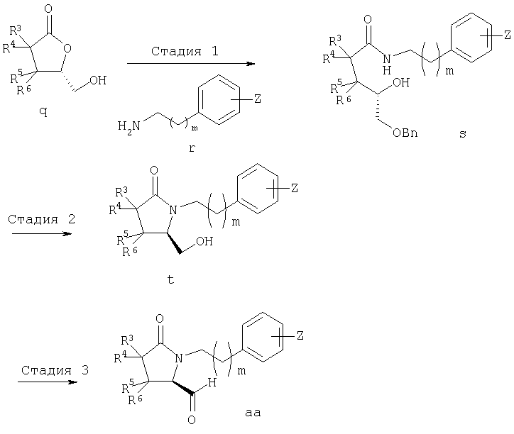
На схеме В показан общий метод получения соединений формулы I, где В означает арил или гетероарил.
Схема В

Исходные соединения формулы q являются известными соединениями. Например, фуранон формулы q, в котором R3, R4, R5 и R6 означают водород, является коммерческим препаратом. Соединения формулы r также являются известными соединениями. Например, фенетиламин, в котором группа Z в соединении r означает пара-С(O)ОН, a m равно 1, является коммерческим препаратом, используя который специалист в данной области может получить соответствующий сложный эфир.
На первой стадии схемы В гидроксильную группу в соединении q защищают группой, указанной в описании заявки, например бензильной группой. Защищенный лактон q конденсируют с амином r, растворяя в амине или в полярном растворителе, таком как ацетонитрил, N-метил-2-пирролидинон, изопропанол или тетрагидрофуран, с образованием соединения s. Соединения формулы t получают с использованием активации первичной гидроксильной группы в соединении s (с образованием уходящей группы) при взаимодействии с бензолсульфонилхлоридом или метансульфонилхлоридом. Лактам получают при обработке основанием, таким как трет-бутоксид калия, метоксид натрия и т.п. Защитную группу первичной гидроксильной группы удаляют восстановлением, например, газообразным водородом в присутствии катализатора, такого как никель Ренея, оксид платины или палладий на угле, при этом получают соединения общей формулы t. Из соединений формулы t получают альдегид аа известными методами. Затем альдегид аа превращают в соединение по изобретению методом, показанным выше на схеме А для превращения альдегида а.
Промышленная применимость
Соединения по настоящему изобретению являются селективными агонистами простагландина ЕР4 и могут использоваться для лечения ряда патологических состояний, ассоциированных с заболеваниями, опосредованными рецептором простагландина ЕР4, прежде всего патологических состояний, ассоциированных с дисфункциями костной ткани, характеризующимися низкой костной массой и деградацией костной ткани с последующим увеличением ломкости кости и восприимчивостью к перелому, прежде всего таких состояний, при которых требуется существенное увеличение костной массы, объема костной ткани или прочности костной ткани. Состояния, ассоциированные с низкой костной массой, включают такие состояния, при которых наблюдается снижение костной массы ниже нормального уровня, характерного для данной возрастной нормы. К таким состояниям относятся также десткий идиопатический и первичный остеопороз. Лечение остеопороза включает профилактику или снижение интенсивности долгосрочных осложнений, таких как искривление позвоночника, уменьшение роста, имплантируемое протезирование, заживление переломов и профилактика нарушения функции предстательной железы. Изобретение также включает лечение снижения костной массы, ассоциированное с периодонтитом и врастанием протезов. Для специалиста в данной области очевидно, что термин масса костной ткани относится фактически к массе костной ткани на единицу площади, которую иногда называют плотностью костной ткани. Установлено, что аналоги 8-аза-11-дезоксипростагландина по настоящему изобретению могут применяться для лечения дисфункции костной ткани.
Другие области применения указанных соединений включают профилактику и/или лечение аллергии, альвеолярного абсцесса, болезни Альцгеймера, бокового амиотрофического склероза (ALS), артрита, астмы, атопии, бронхита, ожогов, онкологических заболеваний, сердечно-сосудистого заболевания, болезни Крона, хронических обструктивных заболеваний легких, застойной сердечной недостаточности, гингивита, гломерулонефрита, гепатита, повреждений печени, острого гепатита, гипертонии (гипертензии), гиперцитокинемии, иммунных нарушений, воспалительного заболевания желудочно-кишечного тракта, болезни Кавасаки, недостаточности функции печени, заболевания печени, недостаточности функции легких, синдрома активации макрофагов, множественной недостаточности органов, рассеянного склероза, ишемии миокарда, нефрита, нейродегенерации, гибели нейронов, отторжения трансплантированных органов, периодонтита, аггрегации тромбоцитов, повреждений легких, фиброза легких, эмфиземы легких, расстройства функции почек, почечной недостаточности, нарушений функции почек, легочной недостаточности, септицемии, сепсиса, шока, нарушения сна и нарушения агрегации тромбоцитов, болезни Стилла, системной гранулемы, тромбоза, язвенного колита и уремии или использование указанных соединений в качестве промотора остеогенеза.
Биологические испытания
Соединения формулы I по настоящему изобретению связываются с рецепторами ЕР4, и воздействуют на рецепторы ЕР4, которые являются подвидом рецептора PGE2. Действие соединений по настоящему изобретению определяют с использованием анализа связывания с клетками, экспрессирующими подвиды простаноидных рецепторов, как подробно описано в примере 10. Активность соединений определяют при конкурентном связывании указанных соединений с соответствующей мишенью, как описано в примере 11. Соединения по настоящему изобретению можно анализировать по их воздействию на плотность костной массы по методике, описанной Gunness-Неу и Hock, Metab. Bone Dis., 5, 177-181 (1984), как подробно описано в примере 12.
Способы введения и фармацевтические композиции
В общем случае, соединения по настоящему изобретению можно вводить в терапевтически эффективном количестве любыми приемлемыми способами введения, принятыми для агентов аналогичного назначения. Фактическое количество соединения по настоящему изобретению, т.е. активного ингредиента, зависит от множества факторов, таких как тяжесть заболевания, подлежащего лечению, возраст и относительное состояние здоровья субъекта, активность используемого соединения, способ и форма введения и др. факторы.
Терапевтически эффективные количества соединений формулы I могут изменяться от приблизительно 0,00005-10 мг на кг массы тела реципиента в сутки, предпочтительно приблизительно 0,0001-1 мг/кг/сут. Таким образом, при введении пациенту массой 70 кг доза составит от приблизительно 0,01 мг до 1,0 мг в сутки.
В общем случае, соединения по настоящему изобретению вводят в виде фармацевтических композиций одним из следующих способов: пероральным, системным (например, трансдермальным, интраназальным или с использованием суппозитория), или парентеральным (например, внутримышечным, внутривенным или подкожным) способом введения. Предпочтительным способом введения является пероральный при соответствующей суточной схеме приема лекарственного средства, которая назначается в соответствии с тяжестью заболевания. Композиции могут иметь форму таблеток, пилюль, капсул, полутвердых составов, порошков, составов для замедленного высвобождения, растворов, суспензий, эликсиров, аэрозолей или любых других пригодных композиций.
Выбор состава зависит от множества факторов, таких как способ введения лекарственного средства (например, для перорального введения предпочтительны составы в форме таблеток, пилюль или капсул) и биодоступности активного соединения. В последнее время разработаны фармацевтические составы прежде всего для лекарственных средств, характеризующихся низкой биодоступностью. Способ основан на том, что биодоступность можно повысить благодаря увеличению площади поверхности, т.е. за счет снижения размеров частиц. Например, в US 4107288 описан фармацевтический состав, содержащий частицы размером от 10 до 1000 нм, в которых активное соединение фиксированно на матрице из сшитого полимера. В US 5145684 описано получение фармацевтического состава, в котором лекарственное соединение измельчают до наночастиц (средний размар частиц составляет 400 нм) в присутствии модификатора поверхности, а затем диспергируют в жидкой среде с образованием фармацевтического состава, обладающего существенно более высокой биодоступностью.
В общем случае, композиции включают соединение формулы I в комбинации по меньшей мере с одним фармацевтически примлемым эксципиентом. Пригодные эксципиенты являются нетоксичными, способствующими введению и не оказывающими отрицательного действия на лечебные свойства соединения формулы I. Такой эксципиент может представлять собой твердый, жидкий, полужидкий или, в случае аэрозольной композиции, газообразный эксципиент, обычно известный специалисту в данной области.
Твердые фармацевтические эксципиенты включают крахмал, целлюлозу, тальк, глюкозу, лактозу, сахарозу, желатин, солод, рис, муку, мел, силикагель, стеарат магния, стеарат натрия, моностеарат глицерина, хлорид натрия, сухое обезжиренное молоко и т.п. Жидкие и полутвердые эксципиенты выбирают из ряда глицерин, пропиленгликоль, вода, этанол и различные масла, включая минеральные, животные, растительные или синтетические масла, например арахисовое масло, соевое масло, минеральное масло, кунжутное масло и т.п. Предпочтительные жидкие носители, прежде всего для инъеционных растворов, включают воду, солевой раствор, водный раствор декстрозы и гликоли.
Для диспергирования соединения по настоящему изобретению в аэрозольной форме используются сжатые газы. Инертными газами, пригодными для этих целей, являются азот, диоксид углерода и т.п.
Прочие фармацевтически приемлемые эксципиенты и их составы описаны в книге Remington’s Pharmaceutical Sciences, ed. by E.W.Martin, Mack Publishing Company, 18th edition (1990).
Содержание сосединения в составе может изменяться в диапазоне, известном специалисту в данной области. Обычно, состав содержит от приблизительно 0,01 до приблизительно 99,99 мас.% соединения формулы I в расчете на общую массу состава с учетом массы одного или более пригодных фармацевтических эксципиентов. Предпочтительно содержание соединения составляет приблизительно 1-80 мас.%. Типичные фармацетические составы, содержащие соединение формулы I, описаны в примере 9
Примеры
Следующие препараты и примеры приведены с целью предоставить возможность специалисту в данной области более подробно ознакомится с предлагаемым изобретением и использовать его на практике. Примеры приведены с целью иллюстрации и не ограничивают объем изобретения.
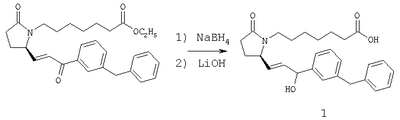
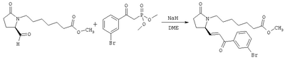
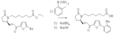
Пример 1
7-{(R)-2-[(Е)-3-(3-Бензилфенил)-3-гидроксипропенил1-5-оксопирролидин-1-ил)гептановая кислота (1)

Стадия 1
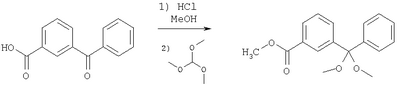
Метиловый эфир 3-бензилбензойной кислоты

3-Бензоилбензойную кислоту (5,12 г, 22,6 ммоль) перемешивали в метаноле (45 мл) с конц. H2SO4 (2,0 мл) при 60°С в течение 18 ч. Реакционную смесь разбавляли этилацетатом и промывали водным раствором NaHCO3.
Органический слой сушили над MgSO4, фильтровали и концентрировали, при этом получали метиловый эфир 3-бензоилбензойной кислоты (5,4 г, 22,6 ммоль) с количественным выходом в виде масла желтого цвета.
Метиловый эфир 3-бензоилбензойной кислоты (653 мг, 2,72 ммоль) перемешивали в трифторуксусной кислоте (3 мл) с триэтилсиланом (1,3 мл, 8,15 ммоль) при комнатной температуре в течение 22 ч. Реакционную смесь разбавляли этилацетатом и промывали водным раствором NaHCO3. Органический слой сушили над MgSO4, фильтровали и концентрировали. Полученное масло очищали хроматографией на колонке (элюент:гексан/этилацетат, 25:1), при этом получали метиловый эфир 3-бензилбензойной кислоты (589 мг, 2,6 ммоль) в виде масла.
Стадия 2
Диметиловый эфир [2-(3-(бензилфенил)-2-оксоэтил]фосфоновой кислоты

К раствору диметилметилфосфоната (0,423 мл, 3,9 ммоль) в ТГФ (10 мл) при -78°С добавляли 1,6 М раствор BuLi в гексане (2,44 мл, 3,9 ммоль). Через 1 ч добавляли раствор метилового эфира 3-бензилбензойной кислоты (589 мл, 2,6 ммоль) в ТГФ (5 мл). Через 15 мин реакционную смесь нагревали до комнатной температуры и перемешивали еще в течение 3 ч. Реакцию останавливали добавлением водного раствора NaHCO3 и экстрагировали этилацетатом. Органический слой сушили над MgSO4, фильтровали и концентрировали. Остаток очищали хроматографией на колонке (элюент: этилацетат/гексан, 18:1), при этом получали диметиловый эфир [2-(3-бензилфенил)-2-оксоэтил]фосфоновой кислоты (677 мг, 2,12 ммоль) в виде масла.
Стадия 3
Этиловый эфир 7-{(R)-2-[(Е)-3-(3-бензилфенил)-3-оксопропенил]-5-оксопирролидин-1-ил}гептановой кислоты

К 60%-ному раствору гидрида натрия в минеральном масле (20 мг, 0,51 ммоль) добавляли раствор диметилового эфира [2-(3-(бензилфенил)-2-оксоэтил]фосфоновой кислоты (164 мг, 0,51 ммоль) в DME (5 мл). Через 1,5 ч добавляли раствор этилового эфира 7-(R)-2-формил-5-оксопирролидин-1-ил)гептановой кислоты (126 мг, 0,47 ммоль) в DME (5 мл). Реакционную смесь перемешивали в течение 45 мин при комнатной температуре, разбавляли этилацетатом и промывали водным раствором NaHCO3. Органический слой сушили над MgSO4, фильтровали и концентрировали. Остаток очищали хроматографией на колонке (элюент: этилацетат/гексан, 2,5:1), при этом получали этиловый эфир 7-{(R))-2-[(Е)-3-(3-бензилфенил)-3-оксопропенил]-5-оксопирролидин-1-ил}гептановой кислоты (112 мг, 0,24 ммоль) в виде масла.
Стадия 4
7-{(R)-2-[(Е)-3-(3-Бензилфенил)-3-гидроксипропенил]-5-оксопирролидин-1-ил}гептановая кислота (1)

К раствору этилового эфира 7-{(R)-2-[(Е)-3-(3-бензилфенил)-3-оксопропенил]-5-оксопирролидин-1-ил}гептановой кислоты (112 мг, 0,24 ммоль) в этаноле (5 мл) добавляли NaBH4 (37 мг, 0,97 ммоль). Реакционную смесь перемешивали при комнатной температуре в течение 2 ч и затем концентрировали практически досуха. Остаток растворяли в этилацетате и промывали солевым раствором. Органический слой сушили над MgSO4, фильтровали и концентрировали, при этом получали этиловый эфир 7-{(R)-2-[(Е)-3-(3-бензилфенил)-3-гидроксипропенил]-5-оксопирролидин-1-ил}гептановой кислоты (122 мг, 0,24 ммоль) в виде масла с количественным выходом. Полученное вещество растворяли в спирте (5 мл) и добавляли водный раствор (2,5 мл) моногидрата гидроксида лития (44 мг, 1,05 ммоль). После перемешивания при комнатной температуре в течение 4 ч реакционную смесь концентрировали практически досуха. Полученный концентрированный раствор разбавляли солевым раствором и промывали дихлорметаном. Водный слой подкисляли 1 н. HCl и продукт экстрагировали дихлорметаном. Органический слой сушили над MgSO4, фильтровали и концентрировали, при этом получали 7-{(R)-2-[(Е)-3-(3-бензилфенил)-3-гидроксипропенил]-5-оксопирролидин-1-ил}гептановую кислоту (1) (77 мг, 0,18 ммоль) в виде масла. МС: 436 [(М+Н)+].
Следующие соединения формулы I получали аналогично тому, как описано в примере 1, при замене на стадии 3 диметилового эфира [2-(3-бензилфенил)-2-оксоэтил]фосфоновой кислоты на следующие соответствующие фосфонаты, полученные из соответствующих известных кислот или метиловых эфиров, как описано на стадиях 1 и/или 2:
7-[(R)-2-((Е)-3-гидрокси-3-нафталин-2-илпропенил)-5-оксопирролидин-1-ил]гептановую кислоту (2), МС: 396 [(М+Н)+], получали из диметилового эфира (2-нафталин-2-ил-2-оксоэтил)фосфоновой кислоты,
7-{(R)-2-[(Е)-3-гидрокси-3-(3-феноксифенил)пропенил]-5-оксопирролидин-1-ил}гептановую кислоту (3), МС: 438 [(М+Н)+], получали из диметилового эфира [2-оксо-2-(3-феноксифенил)этил]фосфоновой кислоты,
7-[(R)-2-((Е)-3-гидрокси-3-фенилпропенил)-5-оксопирролидин-1-ил]-гептановую кислоту (4), МС: 346 [(М+Н)+], получали из диметилового эфира (2-оксо-2-фенилэтил)фосфоновой кислоты,
7-{(R)-2-[(Е)-3-гидрокси-3-(3-метоксифенил)пропенил]-5-оксопирролидин-1-ил}гептановую кислоту (5), МС: 376 [(М+Н)+], получали из диметилового эфира [2-(3-метоксифенил)-2-оксоэтил]фосфоновой кислоты,
7-{(R)-2-[(Е)-3-гидрокси-3-(4-феноксифенил)пропенил]-5-оксопирролидин-1-ил}гептановую кислоту (6), МС: 438 [(М+Н)+], получали из диметилового эфира [2-оксо-2-(4-феноксифенил)этил]фосфоновой кислоты,
7-{(R)-2-[(Е)-3-(3-этоксифенил)-3-гидроксипропенил]-5-оксопирролидин-1-ил}гептановую кислоту (7), МС: 390 [(М+Н)+], получали из диметилового эфира [2-(3-этоксифенил)-2-оксоэтил]фосфоновой кислоты,
7-{(R)-2-[(Е)-3-(3-этилфенил)-3-гидроксипропенил]-5-оксопирролидин-1-ил}гептановую кислоту (8), МС: 374 [(М+Н)+], получали из диметилового эфира [2-(3-этилфенил)-2-оксоэтил]фосфоновой кислоты,
7-((R)-2-{(Е)-3-гидрокси-3-[3-(морфолин-4-сульфонил)фенил]-пропенил}-5-оксопирролидин-1-ил)гептановую кислоту (9), МС: 495 [(М+Н)+], получали из диметилового эфира [2-(3-морфолин-4-сульфонил)фенил-2-оксоэтил]фосфоновой кислоты,
7-{(R)-2-[(Е)-3-(3-бромфенил)-3-гидроксипропенил]-5-оксопирролидин-1-ил}гептановую кислоту (10), МС: 425 [(М+Н)+], получали из диметилового эфира [2-(3-бромфенил)-2-оксоэтил]фосфоновой кислоты,
7-(R)-{2-[(Е)-3-гидрокси-3-(3-гидроксифенил)пропенил]-5-оксопирролидин-1-ил}гептановую кислоту (11), МС: 362 [(М+Н)+], получали из диметилового эфира [2-(3-гидроксифенил)-2-оксоэтил]фосфоновой кислоты,
7-{(R)-2-[(Е)-3-гидрокси-3-(3-пиррол-1-ил-метилфенил)пропенил]-5-оксопирролидин-1-ил}гептановую кислоту (12), МС: 425 [(М+Н)+], получали из диметилового эфира [2-(3-пиррол-1-илметилфенил)-2-оксоэтил] фосфоновой кислоты,
7-{(R)-2-[(Е)-3-гидрокси-3-(3-пиразол-1-ил-метилфенил)пропенил]-5-оксопирролидин-1-ил}гептановую кислоту (13), МС: 426 [(М+Н)+], получали из диметилового эфира [2-(3-пиразол-1-илметилфенил)-2-оксоэтил]фосфоновой кислоты,
7-{(R)-2-[(Е)-3-гидрокси-3-(3-метоксиметилфенил)пропенил]-5-оксопирролидин-1-ил}гептановую кислоту (14), МС: 390 [(М+Н)+], получали из диметилового эфира [2-(3-метоксиметилфенил)-2-оксоэтил]фосфоновой кислоты,
7-{(R)-2-[(E)-3-(3-циклопентилоксифенил)-3-гидроксипропенил]-5-оксопирролидин-1-ил}гептановую кислоту (15), МС: m/z 430 (М+1), получали из диметилового эфира [2-(3-циклопентилоксифенил)-2-оксоэтил] фосфоновой кислоты,
7-{(R)-2-[(Е)-3-гидрокси-3-(3-трифторметилфенил)пропенил]-5-оксопирролидин-1-ил}гептановую кислоту (16), МС: m/z 414 (М+1), получали из диметилового эфира [2-(3-трифторметилфенил)-2-оксоэтил]фосфоновой кислоты,
7-{(S)-2-[(R)-3-гидрокси-3-(3-трифторметилфенил)пропил]-5-оксопирролидин-1-ил}гептановую кислоту (17), (МС: m/z 416 (М+1), получали из диметилового эфира [2-(3-трифторметилфенил)-2-оксоэтил]-фосфоновой кислоты, при этом вместо восстановления боргидридом натрия проводили гидрирование продукта на стадии 3 (при давлении газообразного водорода 1 атм, катализатор 10% палладий на углероде в EtOAc в течение 1,5 ч, а затем продукт восстановливали в условиях, описанных E.J.Corey и др., J.Am.Chem.Soc., 109, 7925-7926, (1987), с использованием в качестве катализатора 1 М раствора (S)-2-метил-CBS в толуоле (фирма Aldrich)),
7-{(R)-2-[(Е)-3-гидрокси-3-(3-феноксиметилфенил)пропенил]-5-оксопирролидин-1-ил}гептановую кислоту (18), МС: m/z 452 (М+1), получали из диметилового эфира [2-(3-феноксиметилфенил)-2-оксоэтил]фосфоновой кислоты;
метиловый эфир 7-{(R)-2-[(Е)-3-гидрокси-3-(3-феноксиметилфенил)-пропенил]-5-оксопирролидин-1-ил}гептановой кислоты (19), МС: m/z 466 (М+1),
7-((R)-2-{(Е)-3-гидрокси-3-[3(1-метил-1Н-пиррол-2-ил)фенил]-пропенил}-5-оксопирролидин-1-ил)гептановую кислоту (20), МС: m/z 425 (М+1), получали из диметилового эфира 2-[3-(1-метил-1Н-пиррол-2-ил)фенил)-2-оксоэтил]фосфоновой кислоты,
метиловый эфир 7-((R)-2-{(Е)-3-гидрокси-3-[3-(1-метил-1Н-пиррол-2-ил)фенил]пропенил}-5-оксопирролидин-1-ил)гептановой кислоты (21), МС: m/z 440 (М+1),
7-{(R)-2-[(E)-3-(3-бутоксифенил)-3-гидроксипропенил]-5-оксопирролидин-1-ил}гептановую кислоту (22), МС: m/z 418 (М+1), получали из диметилового эфира [2-(3-бутоксифенил)-2-оксоэтил]фосфоновой кислоты,
7-{(R)-2-[(Е)-3-(3-бензилоксифенил)-3-гидроксипропенил]-5-оксопирролидин-1-ил}гептановую кислоту (23), МС: m/z 452 (М+1), получали из диметилового эфира [2-(3-бензилоксифенил)-2-оксоэтил]-фосфоновой кислоты,
7-{(R)-2-[(Е)-3-(2-хлорбензилоксифенил)-3-гидроксипропенил]-5-оксопирролидин-1-ил}гептановую кислоту (24), МС: m/z 487 (М+1), получали из диметилового эфира {2-[3-(2-хлорбензилокси)фенил]-2-оксоэтил}фосфоновой кислоты,
7-[(R)-2-((Е)-3-бифенил-2-ил-3-гидроксипропенил)-5-оксопирролидин-1-ил]гептановую кислоту (25), МС: m/z 422 (М+1), получали из диметилового эфира 2-[2-бифенил)-2-оксоэтил]фосфоновой кислоты,
7-((R)-2-{(Е)-3-гидрокси-3-[3-(2-морфолин-4-илэтокси)фенил]-пропенил}-5-оксопирролидин-1-ил)гептановую кислоту (26), МС: m/z 475 (М+1), получали из диметилового эфира [2-(3-(2-морфолин-4-ил-этокси)фенил)-2-оксоэтил]фосфоновой кислоты,
7-((R)-2-{(Е)-3-гидрокси-3-[3-(метилфениламино)фенил]пропенил}-5-оксопирролидин-1-ил)гептановую кислоту (27), МС: m/z 451 (М+1), получали из диметилового эфира [3-(метилфениламино)фенил-2-оксоэтил]фосфоновой кислоты,
7-((R)-2-{(Е)-3-гидрокси-3-[3-(метилортотолиламино)фенил]-пропенил}-5-оксопирролидин-1-ил)гептановую кислоту (28), МС: m/z 465 (M+1), получали из диметилового эфира [3-(метилортотолиламино)фенил-2-оксоэтил]фосфоновой кислоты,
7-{(R)-2-[(Е)-3-гидрокси-3-(3-фенетилоксифенил)пропенил]-5-оксопирролидин-1-ил}гептановую кислоту (29), МС: m/z 466 (М+1), получали из диметилового эфира [2-(3-фенетилоксифенил)-2-оксоэтил]фосфоновой кислоты,
7-[(R)-2-((E)-3-гидрокси-3-{3-[2-(2-оксопирролидин-1-ил)этокси]-фенил}пропенил)-5-оксопирролидин-1-ил]гептановую кислоту (30), МС: m/z 473 (М+1), получали из диметилового эфира [2-{3-[2-(2-оксопирролидин-1-ил)этокси] фенил}-2-оксоэтил] фосфоновой кислоты,
7-((R)-2-{(Е)-3-[3-(2-трет-бутоксиэтокси)фенил]-3-гидроксипропенил}-5-оксопирролидин-1-ил)гептановую кислоту (31), МС: m/z 462 (М+1), получали из диметилового эфира [2-[3-(2-трет-бутоксиэтокси)-фенил]-2-оксоэтил]фосфоновой кислоты,
7-{(R)-2-[(Е)-3-гидрокси-3-(3-индол-1-илфенил)пропенил]-5-оксопирролидин-1-ил}гептановую кислоту (32), МС: m/z 461 (М+1), получали из диметилового эфира [2-[3-индол-1-илфенил]-2-оксоэтил]фосфоновой кислоты,
7-{(R)-2-[(Е)-3-гидрокси-3-((Z)-3-пропенилфенил)пропенил]-5-оксопирролидин-1-ил}гептановую кислоту (33), МС: m/z 386 (М+1), получали из диметилового эфира {2-[(Z)-3-пропенилфенил]-2-оксоэтил} фосфоновой кислоты,
7-{(R)-2-[(Е)-3-гидрокси-3-(3-пропилфенил)пропенил]-5-оксопирролидин-1-ил}гептановую кислоту (34), МС: m/z 388 (M+1), получали из диметилового эфира [2-(3-пропилфенил)-2-оксоэтил]фосфоновой кислоты,
7-{(R)-2-[(E)-3-(3-диметилкарбамоилфенил)-3-гидроксипропенил]-5-оксопирролидин-1-ил}гептановую кислоту (35), МС: m/z 417 (М+1), получали из диметилового эфира [2-(3-диметилкарбамоилфенил)-2-оксоэтил]фосфоновой кислоты,
7-((R)-2-{(Е)-3-гидрокси-3-[3-(тетрагидропиран-4-илиденметил)-фенил]пропенил}-5-оксопирролидин-1-ил)гептановую кислоту (36), МС: m/z 442 (М+1), получали из диметилового эфира {2-[3-(тетрагидропиран-4-илиденметил)фенил]-2-оксоэтил} фосфоновой кислоты,
7-((R)-2-{(Е)-3-гидрокси-3-[3-(тетрагидропиран-4-ил-метил)фенил]-пропенил}-5-оксопирролидин-1-ил)гептановую кислоту (37), МС: m/z 444 (М+1), получали из диметилового эфира {2-[3-(тетрагидропиран-4-ил-метил)фенил]-2-оксоэтил}фосфоновой кислоты,
7-((R)-2-{(Е)-3-гидрокси-3-[3-(4-метоксибензил)фенил]пропенил}-5-оксопирролидин-1-ил)гептановую кислоту (38), МС: m/z 466 (М+1), получали из диметилового эфира {2-[3-(4-метоксибензил)фенил]-2-оксоэтил}фосфоновой кислоты, и
7-{(R)-2-[(Е)-3-гидрокси-3-(5-трифторметилфуран-2-ил)пропенил]-5-оксопирролидин-1-ил}гептановую кислоту (39), МС: m/z 404 (М+1), получали из диметилового эфира [2-оксо-2-(5-трифторметилфуран-2-ил)этил]фосфоновой кислоты.
Пример 2
7-{(R)-2-[(E)-3-(3-Бензоилфенил)-3-гидроксипропенил]-5-оксопирролидин-1-ил}гептановая кислота (40)

Стадия 1
Метиловый эфир 3-(диметоксифенилметил)бензойной кислоты

Раствор 3-бензоилбензойной кислоты (2 г, 8,84 ммоль) и метансульфоновой кислоты (0,115 мл, 1,77 ммоль) в метаноле (15 мл) нагревали при 65°С в течение 20 ч и затем охлаждали до комнатной температуры. К раствору добавляли триметилортоформиат (1,45 мл, 13,26 ммоль) и перемешивали в течение 24 ч. Реакционную смесь разбавляли этилацетатом и промывали раствором NaHCO3. Органический слой сушили над MgSO4, фильтровали и концентрировали. После очистки экспресс-хроматографией (элюент: гексан/этилацетат, 20:1, +0,25% триэтиламин) получали метиловый эфир 3-(диметоксифенилметил)бензойной кислоты (951 мг) в виде масла.
Стадия 2
Диметиловый эфир {2-[3-(диметоксифенилметил)фенил]-2-оксоэтил}фосфоновой кислоты

К раствору диметилметилфосфоната (0,54 мл, 4,98 ммоль) в ТГФ (15 мл) при -78°С добавляли 1,6 М раствор BuLi (3,11 мл, 4,98 ммоль). После перемешивания в течение 40 мин добавляли раствор метилового эфира 3-(диметоксифенилметил)бензойной кислоты (951 мг, 3,32 ммоль) в ТГФ (5 мл). Через 15 мин реакционную смесь нагревали до комнатной температуры и перемешивали в течение еще 1 ч, а затем реакцию останавливали добавлением раствора NaHCO3. Реакционную смесь разбавляли этилацетатом и промывали раствором NaHCO3. Органический слой сушили над MgSO4, фильтровали и концентрировали. После очистки экспресс-хроматографией (элюент:этилацетат/гексан, 15:1, +0,25% триэтиламин) получали диметиловый эфир {2-[3-(диметоксифенилметил)фенил]-2-оксоэтил}фосфоновой кислоты (784 мг, 2,07 ммоль) в виде масла.
Стадия 3
Этиловый эфир 7-((R)-2-{(Е)-3-[3-(диметоксифенилметил)фенил]-3-оксопропенил}-5-оксопирролидин-1-ил)гептановой кислоты

К 60% раствору гидрида натрия (20 мг, 0,51 ммоль) добавляли раствор диметилового эфира {2-[3-(диметоксифенилметил)фенил]-2-оксоэтил}фосфоновой кислоты (193 мг, 0,51 ммоль) в диметоксиэтане (5 мл). Через 1,5 ч к смеси добавляли раствор этилового эфира 7-((R)-2-формил-5-оксопирролидин-1-ил)гептановой кислоты (126 мг, 0,47 ммоль) в диметоксиэтане (5 мл). Реакционную смесь перемешивали в течение 1 ч, разбавляли этилацетатом и промывали раствором NaHCO3. Органический слой сушили над MgSO4, фильтровали и концентрировали. После экспресс-хроматографии (элюент: этилацетат/гексан 3:1 +0,25% триэтиламин) получали этиловый эфир 7-((R)-2-{(Е)-3-[3-(диметоксифенилметил)фенил]-3-оксопропенил}-5-оксопирролидин-1-ил)гептановой кислоты (124 мг, 0,24 ммоль) в виде масла.
Стадия 4
7-((R)-2-{(Е)-3-[3-(Диметоксифенилметил)фенил]-3-гидроксипропенил}-5-оксопирролидин-1-ил)гептановая кислота

К раствору этилового эфира 7-((R)-2-{(Е)-3-[3-(диметоксифенилметил)-фенил]-3-оксопропенил}-5-оксопирролидин-1-ил)гептановой кислоты (124 мг, 0,24 ммоль) в этаноле (5 мл) добавляли NaBH4 (36 мг, 0,96 ммоль). Реакционную смесь перемешивали в течение 2,25 ч и затем концентрировали досуха. Остаток растворяли в этилацетате и промывали раствором NaHCO3. Органический слой сушили над MgSO4, фильтровали и концентрировали, при этом получали этиловый эфир 7-((R)-2-{(Е)-3-[3-(диметоксифенилметил)фенил]-3-гидроксипропенил}-5-оксопирролидин-1-ил)гептановой кислоты. К раствору этилового эфира 7-((R)-2-{(Е)-3-[3-(диметоксифенилметил)фенил]-3-гидроксипропенил}-5-оксопирролидин-1-ил)гептановой кислоты в метаноле (5 мл) добавляли водный раствор (2,5 мл) моногидрата LiOH (46 мг, 1,09 ммоль). Реакционную смесь перемешивали в течение 6 ч и затем концентрировали для удаления метанола. Водный концентрат разбавляли CH2Cl2 и добавляли 1 н. HCl, экстрагировали CH2Cl2 и сушили над MgSO4. Полученную смесь фильтровали и концентрировали, при этом получали 7-((R)-2-{(Е)-3-[3-(диметоксифенилметил)фенил]-3-гидроксипропенил}-5-оксопирролидин-1-ил)гептановую кислоту (116 мг, 0,23 ммоль) в виде масла.
Стадия 5
7-{(R)-2-[(Е)-3-(3-Бензоилфенил)-3-гидроксипропенил]-5-оксопирролидин-1-ил}гептановая кислота

Раствор кислоты/кеталя 7-((R)-2-{(Е)-3-[3-(диметоксифенилметил)-фенил]-3-гидроксипропенил}-5-оксопирролидин-1-ил)гептановой кислоты (116 мг, 0,23 ммоль) в диоксане (5 мл) перемешивали в смеси с 1 н. HCl (1 мл, 1,0 ммоль) в течение 18 ч. Реакционную смесь разбавляли этилацетатом и промывали раствором NaHCO3. Органический слой сушили над MgSO4, фильтровали и концентрировали, при этом получали 7-{(R)-2-[(Е)-3-(3-бензоилфенил)-3-гидроксипропенил]-5-оксопирролидин-1-ил}гептановую кислоту (40) (83 мг, 0,18 ммоль) в виде масла; МС: 450 [(М+Н)+].
Следующее соединение формулы I получали при замене на стадии 3 диметилового эфира {2-[3-(диметоксифенилметил)фенил]-2-оксоэтил}-фосфоновой кислоты на следующий фосфонат, полученный из соответствующей известной кислоты или эфира, как описано на стадиях 1 и/или 2:
7-[(R)-2-((Е)-3-гидрокси-3-{3-[1-(4-метоксифенил)метаноил]фенил}-пропенил)-5-оксопирролидин-1-ил]гептановую кислоту (41), МС: m/z 480 (М+1), получали из диметилового эфира (2-{3-[диметокси-(4-метоксифенил)метил]фенил}-2-оксоэтил)фосфоновой кислоты.
Пример 3
Метиловый эфир 7-{(R)-2-[(Е)-3-гидрокси-3-(2′-метилбифенил-3-ил)-пропенил]-5-оксопирролидин-1-ил)гептановой кислоты (42)

Стадия 1
Метиловый эфир 7-{(R)-2-[(Е)-3-(3-бромфенил)-3-оксопропенил]-5-оксопирролидин-1-ил}гептановой кислоты

К раствору NaH (0,14 г, 1 экв.) в 30 мл диметилового эфира этиленгликоля, перемешиваемого при 0°С в атмосфере азота, добавляли диметиловый эфир [2-(3-бромфенил)-2-оксоэтил]фосфоновой кислоты (1,82 г, 1,05 экв.). Смесь выдерживали при 0°С в течение 1 ч, а затем медленно добавляли метиловый эфир 7-((R)-2-формил-5-оксопирролидин-1-ил)гептановой кислоты (1,44 г, 5,64 ммоль) в 2 мл DME. Ледяную баню удаляли и смесь перемешивали при комнатной температуре в течение 3 ч. Затем к смеси добавляли насыщенный раствор хлорида аммония и раствор экстрагировали этилацетатом. Органический слой сушили над безводным сульфатом магния, концентрировали при пониженном давлении и очищали хроматографией (элюент: EtOAc/гексан, 1:1, затем EtOAc/гексан, 5:1), при этом получали 1,6 г метилового эфира 7-{(R)-2-[(Е)-3-(3-бромфенил)-3-оксопропенил]-5-оксопирролидин-1-ил}гептановой кислоты.
Стадия 2
Метиловый эфир 7-{(R)-2-[(Е)-3-(3-бромфенил)-3-гидроксипропенил]-5-оксопирролидин-1-ил}гептановой кислоты

К раствору метилового эфира 7-{(R)-2-[(Е)-3-(3-бромфенил)-3-оксопропенил]-5-оксопирролидин-1-ил}гептановой кислоты (0,78 г, 1,79 ммоль) в 15 мл метанола, перемешиваемого при 0°С в атмосфере азота, добавляли боргидрид натрия (0,074 г) и реакционную смесь перемешивали при комнатной температуре в течение 6 ч. Затем добавляли 1 н. HCl и смесь экстрагировали этилацетатом. Органический слой сушили над безводным сульфатом магния, концентрировали и очищали хроматографией (элюент: 50% EtOAc в гексане, а затем 100% EtOAc), при этом получали 670 мг метилового эфира 7-{(R)-2-[(E)-3-(3-бромфенил)-3-гидроксипропенил]-5-оксопирролидин-1-ил}гептановой кислоты.
Стадия 3
Метиловый эфир 7-{(R)-2-[(Е)-3-гидрокси-3-(2′-метилбифенил-3-ил)-пропенил]-5-оксопирролидин-1-ил}гептановой кислоты

К раствору метилового эфира 7-{(R)-2-[(Е)-3-(3-бромфенил)-3-гидроксипропенил]-5-оксопирролидин-1-ил}гептановой кислоты (0,2 г, 0,46 ммоль) в 10 мл DME, перемешиваемого при комнатной температуре, добавляли Pd(Ph3Р)4 (0,03 г, 0,05 экв.) После перемешивания в течение 5 мин добавляли ортотолилбороновую кислоту (0,12 г, 2 экв.), 2 М раствор Na2СО3 (0,6 мл, 2,5 экв.) и смесь кипятили с обратным холодильником в атмосфере азота в течение ночи. Реакционную смесь охлаждали до комнатной температуры, разбавляли 25% раствором NH4OAc (10 мл), перемешивали в течение 5 мин и экстрагировали этилацетатом. Органический слой сушили над MgSO4 (безводным), концентрировали при пониженном давлении и очищали, при этом получали 87 мг метилового эфира 7-{(R)-2-[(Е)-3-гидрокси-3-(2′-метилбифенил-3-ил)пропенил]-5-оксопирролидин-1-ил}гептановой кислоты.
Стадия 4
7-{(R)-2-[(Е’)-3-Гидрокси-3-(2′-метилбифенил-3-ил)пропенил]-5-оксопирролидин-1-ил}гептановая кислота

К раствору метилового эфира 7-{(R)-2-[(Е)-3-гидрокси-3-(2′-метилбифенил-3-ил)-пропенил]-5-оксопирролидин-1-ил}гептановой кислоты (87 мг) в метаноле (5 мл) добавляли водный раствор (2,5 мл) моногидрата LiOH. Реакционную смесь перемешивали в течение 6 ч и затем концентрировали для удаления метанола. Водный концентрат разбавляли СН2Cl2 и добавляли 1н. HCl, экстрагировали CH2Cl2 и сушили над MgSO4. Полученную смесь фильтровали и концентрировали, при этом получали 62 мг 7-{(R)-2-[(Е)-3-гидрокси-3-(2′-метилбифенил-3-ил)пропенил]-5-оксопирролидин-1-ил}гептановой кислоты (42) (50) в виде масла. МС: 435 [(М+Н)+].
Следующие соединения получали при замене ортотолилбороновой кислоты на стадии 3 на соответствующую замещенную фенилбороновую кислоту:
7-[(R)-2-((Е)-3-бифенил-3-ил-3-гидроксипропенил)-5-оксопирролидин-1-ил]гептановая кислота (43), МС: m/z 422 [(М+1)+],
7-{(R)-2-[(Е)-3-(2′-этоксибифенил-3-ил)-3-гидроксипропенил]-5-оксопирролидин-1-ил}гептановая кислота (44), МС: m/z 466 [(М+1)+],
7-{(R)-2-[(Е)-3-(2′-хлорбифенил-3-ил)-3-гидроксипропенил]-5-оксопирролидин-1-ил}гептановая кислота (45), МС: m/z 457 [(М+1)+],
7-{(R)-2-[(Е)-3-(4′-хлорбифенил-3-ил)-3-гидроксипропенил]-5-оксопирролидин-1-ил}гептановая кислота (46), МС: m/z 457 [(М+1)+],
7-{(R)-2-[(E)-3-(3′-хлорбифенил-3-ил)-3-гидроксипропенил]-5-оксопирролидин-1-ил}гептановая кислота (47), МС: m/z 457 [(М+1)+],
7-{(R)-2-[(Е)-3-(4′-хлор-2′-метилбифенил-3-ил)-3-гидроксипропенил]-5-оксопирролидин-1-ил}гептановая кислота (48), МС: m/z 471 [(М+1)+],
7-{(R)-2-[(E)-3-(4′-гидрокси-2′-метилбифенил-3-ил)-3-гидроксипропенил]-5-оксопирролидин-1-ил}гептановую кислоту (49), МС: m/z 452 [(М+1)+];
7-{(R)-2-[(Е)-3-(4′-хлор-2′-метилбифенил-3-ил)-3-гидроксипропил]-5-оксопирролидин-1-ил}гептановую кислоту (50), МС: m/z 473 [(М+1)+], получали гидрированием продукта, полученного на стадии 1, при давлении газообразного водорода 1 атм в присутствии катализатора 10% палладия на угле в EtOAc в течение 1,5 ч,
7-{(S)-2-[(R)-3-гидрокси-3-(4′-гидрокси-2′-метилбифенил-3-ил)-пропил]-5-оксопирролидин-1-ил}гептановую кислоту (51), МС: m/z 454 [(М+1)+], получали после стадии 3, при исключении обработки, описанной на стадии 2, гидрированием при давлении газообразного водорода 1 атм в присутствии катализатора 10% палладия на угле в EtOAc в течение 1,5 ч, и последующим восстановлением в условиях, описанных E.J.Corey и др., J.Am.Chem.Soc., 109, 7925-7926, (1987), с использованием в качестве катализатора 1 М раствора (S)-2-метил-CBS в толуоле (фирма Aldrich),
7-{(R)-2-[(Е)-3-(6,2′-диметилбифенил-3-ил)-3-гидроксипропенил]-5-оксопирролидин-1-ил}гептановую кислоту (52), МС: m/z 362 [(М+Н)+], получали аналогичным образом при использовании на стадии 1 диметилового эфира [2-(3-бром-4-метилфенил)-2-оксоэтил]фосфоновой кислоты.
Пример 4
7-{(S)-2-[3-(1-Бензил-1Н-пиразол-4-ил)-3-гидроксипропил]-5-оксопирролидин-1-ил}гептановая кислота (53)

Стадия 1
Диметиловый эфир[2-(1-бензил-1Н-пиразол-4-ил)-2-оксоэтил]-фосфоновой кислоты

Суспензию этилового эфира 4-пиразолкарбоновой кислоты (2,2 г, 15,7 ммоль) и карбоната цезия (5,2 г, 15,7 ммоль) в диметилформамиде (100 мл) при комнатной температуре обрабатывали бензилбромидом (1,9 мл, 15,7 ммоль). Смесь нагревали при 90°С в течение 45 мин, охлаждали до температуры окружающей среды и распределяли между водой (400 мл) и гексаном/этилацетатом, 1:1 (4×150 мл). Объединенные органические экстракты промывали солевым раствором (2×100 мл) и сушили над безводным сульфатом магния. Летучие компоненты удаляли, остаток наносили на колонку с силикагелем. Требуемый продукт элюировали гексаном/этилацетатом (3:1), продукт получали в виде твердого вещества белого цвета (3,4 г). В отдельном сосуде раствор диметилметилфосфоната (фирма Aldrich, 1,6 мл, 15 ммоль) в тетрагидрофуране (80 мл) охлаждали до -78°С и обрабатывали н-бутиллитием (6,0 мл, 15 ммоль). Через 45 мин к смеси добавляли раствор указанного выше эфира (2,3 г, 10 ммоль) в тетрагидрофуране (20 мл) и смесь нагревали до 0°С в течение 30 мин. Завтем смесь выливали в водный раствор хлорида аммония и экстрагировали этилацетатом (2×100 мл). Объединенные органические экстракты промывали водой (2×50 мл), солевым раствором и сушили над безводным сульфатом натрия. Летучие компоненты удаляли на роторном испарителе, остаток наносили на колонку с силикагелем. Требуемый диметиловый эфир [2-(1-бензил-1Н-пиразол-4-ил)-2-оксоэтил]фосфоновой кислоты элюировали этилацетатом/метанолом (20:1), продукт получали в виде масла (1,68 г).
Стадия 2
Этиловый эфир 7-{(R)-2-[(Е)-4-(1-бензил-1Н-пиразол-4-ил)-3-оксобут-1-енил]-5-оксопирролидин-1-ил}гептановой кислоты

Этиловый эфир 7-{(R)-2-[(E)-4-(1-бензил-1Н-пиразол-4-ил)-3-оксобут-1-енил]-5-оксопирролидин-1-ил}гептановой кислоты получали, как описано примере 1, стадия 3, с использованием диметилового эфира [2-(1-бензил-1Н-пиразол-4-ил)-2-оксоэтил]фосфоновой кислоты (820 мг, 2,66 ммоль) в диметоксиэтане в смеси с гидридом натрия (95%, 70 мг, 2,66 ммоль) и этилового эфира 7-((R)-2-формил-5-оксопирролидин-1-ил)-гептановой кислоты (приблизительно 800 мг, 2,8 ммоль). Требуемый енон (419 мг, 0,93 ммоль) получали в виде масла.
Стадия 3:
7-{(R)-2-[(Е)-4-(1-Бензил-1Н-пиразол-4-ил)-3-оксобут-1-енил]-5-оксопирролидин-1-ил}гептановая кислота

Пиразолсодержащий енон (210 мг, 0,46 ммоль) растворяли в метаноле (5 мл), охлаждали до 0°С и обрабатывали боргидридом натрия (50 мг, 1,3 ммоль). Смесь перемешивали при комнатной температуре в течение 15 мин добавляли ацетон (2 мл) и летучие компоненты удаляли. Затем добавляли метанол и летучие компоненты снова удаляли. Остаток суспендировали в 0,05 М водном растворе фосфата при рН 6,5 (приблизительно 50 мл), обрабатывали ферментом липазой, типа VII (фирма Sigma, 2 г) и энергично перемешивали при комнатной температуре в течение 2 ч. Затем суспензию разбавляли диэтиловым эфиром (приблизительно 25 мл) и фильтровали через слой целита. Слои разделяли и водный слой снова промывали эфиром. Водный слой подкисляли ледяной уксусной кислотой и экстрагировали этилацетатом (4×25 мл). Объединенные органические экстракты сушили над безводным сульфатом натрия, фильтровали и летучие компоненты удаляли, при этом получали требуемую 7-{(R)-2-[(E)-4-(1-бензил-1Н-пиразол-4-ил)-3-оксобут-1-енил]-5-оксопирролидин-1-ил}гептановую кислоту (53) (70) (109 мг, 0,25 ммоль). МС: 428 [(М+Н)+].
Пример 5
7-{(S)-2-[3-Гидрокси-3-(5-ортотолилфуран-2-ил)пропил]-5-оксопирролидин-1-ил}гептановая кислота (54)

Стадия 1
Диметиловый эфир [2-(5-бромфуран-2-ил)-2-оксоэтил]-фосфоновой кислоты
Метиловый эфир 5-бром-2-фуранкарбоновой кислоты получали в присутствии триметилсилилдиазометана. Сложный эфир (10,2 г, 47 ммоль) растворяли в тетрагидрофуране (40 мл) и при -78°С к раствору диметилметилфосфоната лития (90 ммоль). Требуемый диметиловый эфир [2-(5-бромфуран-2-ил)-2-оксоэтил]-фосфоновой кислоты (5,83 г, 19,5 ммоль) получали, как описано выше.
Стадия 2
Этиловый эфир 7-{(R)-2-[(Е)-3-(5-бромфуран-2-ил)-3-оксопропенил1-5-оксопирролидин-1-илгептановой кислоты

Этиловый эфир 7-{(R)-2-[(Е)-3-(5-бромфуран-2-ил)-3-оксопропенил]-5-оксопирролидин-1-ил}гептановой кислоты получали, как описано в примере 4, стадия 1, с использованием 5-бром-2-фуроилфосфоната (1,12 г, 3,8 ммоль) в виде раствора в диметоксиэтане (95 мл) и гидрида натрия (95%, 91 мг, 3,6 ммоль), с последующей обработкой метиловым эфиром 7-((R)-2-формил-5-оксопирролидин-1-ил)гептановой кислоты (1,2 г, 4 ммоль), при этом получали этиловый эфир 7-{(R)-2-[(Е)-3-(5-бромфуран-2-ил)-3-оксопропенил]-5-оксопирролидин-1-ил}гептановой кислоты, МС: 442 (М+1+81Br), 440 (М+1+Br).
Стадия 3
7-{(S)-2-[3-Гидрокси-3-(5-ортотолилфуран-2-ил)пропил]-5-оксопирролидин-1-ил}гептановая кислота

Этиловый эфир 7-{(R)-2-[(Е)-3-(5-бромфуран-2-ил)-3-оксопропенил]-5-оксопирролидин-1-ил}гептановой кислоты в атмосфере аргона растворяли в безводном 1,4-диоксане (3 мл) и обрабатывали карбонатом калия (130 мг, 0,94 ммоль), 2-метилфенилбороновой кислотой (64 мг, 0,47 ммоль) и дихлоридом бис(трифенилфосфин)палладия (33 мг, 0,047 ммоль). Суспензию желтого цвета нагревали при 55°С в течение 15 ч и затем удаляли летучие компоненты. Остаток растворяли в метаноле (10 мл), перемешивали с боргидридом натрия (приблизительно 35 мг, 0,9 ммоль) при комнатной температуре в течение 20 мин и обрабатывали ацетоном (1 мл). После удаления летучих компонентов остаток обрабатывали метанолом и летучие компоненты снова удаляли. Остаток наносили на пластины из оксида кремния толщиной 1 мм и проводили двукратную ТСХ (элюент: 3% изопропанол/дихлорметан). Этиловый эфир 7-{(S)-2-[3-гидрокси-3-(5-ортотолилфуран-2-ил)пропил]-5-оксопирролидин-1-ил}гептановой кислоты (54 мг) получали в виде масла.
Сложный эфир (54 мг) растворяли в метаноле (3 мл), обрабатывали 5 М раствором гидроксида натрия (0,5 мл) и перемешивали при комнатной температуре в течение 1 ч. Затем смесь обрабатывали 1 М соляной кислотой и экстрагировали этилацетатом, при этом получали 7-{(S)-2-[3-гидрокси-3-(5-ортотолилфуран-2-ил)пропил]-5-оксопирролидин-1-ил}гептановую кислоту (54) (71) (45 мг, 0,10 ммоль). МС: 428 [(М+Н)+].
Пример 6
7-{(R)-5-[(Е)-3-Гидрокси-3-(5-трифторметилфуран-2-ил)пропенил]-3,3-диметил-2-оксопирролидин-1-ил)гептановая кислота (55)

Стадия 1
(R)-5-(1-Этоксиэтоксиметил’)-3.3-диметилпирролидин-2-он

К раствору (R)-5-гидроксиметил-3,3-диметилпирролидин-2-она (4,0 г, 28 ммоль), полученного, как описано в Tetrahedron, 54, 10295-10307, (1998), и этилвинилового эфира (4 мл, 42 ммоль) в хлороформе (26 мл) добавляли каталитическое количество трифторуксусной кислоты (0,056 мл) и реакционную смесь перемешивали при комнатной температуре в течение 4 ч. Затем раствор промывали насыщенным раствором бикарбоната натрия, солевым раствором и сушили над сульфатом магния. Неочищенное масло, полученное после удаления растворителей, очищали хроматографией на силикагеле (элюент:гексан/этилацетат, 1:1), при этом получали 2,6 г (R)-5-(1-этоксиэтоксиметил)-3,3-диметилпирролидин-2-она.
Стадия 2
Этиловый эфир 7-((R)-5-гидроксиметил-3,3-диметил-2-оксопирролидин-1-ил)гептановой кислоты

Раствор (R)-5-(1-этоксиэтоксиметил)-3,3-диметилпирролидин-2-она (2,58 г, 11,2 ммоль) в диметилформамиде (4 мл) при 0°С в атмосфере азота медленно добавляли к суспензии 60% гидрида натрия (450 мг, 11,2 ммоль) и иодида калия (2,27 г, 13,7 ммоль) в диметилформамиде (13 мл). Смесь перемешивали при комнатной температуре в течение 1 ч, добавляли раствор этилового эфира 7-бромгептановой кислоты (2,66 мл, 13,7 ммоль) в диметилформамиде (5 мл) и смесь нагревали при 50°С в течение 72 ч. Растворитель удаляли в вакууме, остаток переносили в этилацетат, раствор промывали солевым раствором и сушили над сульфатом магния.
Затем раствор концентрировали, остаток растворяли в метаноле (40 мл) и к раствору добавляли каталитическое количество моногидрата паратолуолсульфоновой кислоты (170 мг). Реакционную смесь перемешивали в течение 7 ч до завершения удаления защитных групп. Растворитель удаляли в вакууме, остаток растворяли в этилацетате, раствор промывали насыщенным раствором бикарбоната натрия, солевым раствором, сушили над сульфатом магния и концентрировали в вакууме. Полученный остаток очищали хроматографией на силикагеле, (элюент: гексан/этилацетат, от 2:1 до 1:2), при этом получали 2,3 г этилового эфира 7-((R)-5-гидроксиметил-3,3-диметил-2-оксопирролидин-1-ил)гептановой кислоты в виде прозрачного масла.
Стадия 3
Этиловый эфир 7-((R)-5-формил-3,3-диметил-2-оксопирролидин-1-ил)гептановой кислоты

Раствор диметилсульфоксида (0,93 мл, 12 ммоль) в дихлорметане (40 мл) охлаждали до -78°С в атмосфере азота и к указанному раствору в течение 2 мин добавляли раствор оксалилхлорида (0,820 мл, 9,4 ммоль) в дихлорметане (3 мл). Реакционную смесь перемешивали при -78°С в течение 30 мин, а затем медленно добавляли раствор этилового эфира 7-((R)-5-гидроксиметил-3,3-диметил-2-оксопирролидин-1-ил)гептановой кислоты (2,25 г, 7,5 ммоль) в дихлорметане (20 мл). После завершения добавления реакционную смесь перемешивали при -78°С в течение 15 мин, затем медленно добавляли триэтиламин (2,1 мл, 15,0 ммоль), выдерживали при комнатной температуре и перемешивали в течение еще 15 мин. Реакцию останавливали добавлением 20 мл воды и 20 мл диэтилового эфира и реакционную смесь экстрагировали дихлорметаном. Органическую фазу сушили над карбонатом калия и концентрировали досуха. Неочищенную смесь очищали хроматографией на силикагеле (элюент: гексан/этилацетат, 2:1), при этом получали 1,5 г этилового эфира 7-((R)-5-формил-3,3-диметил-2-оксопирролидин-1-ил)гептановой кислоты.
Стадия 4
Этиловый эфир 7-{(R)-3,3-диметил-2-оксо-5-[(Е)-3-оксо-3-(5-трифторметилфуран-2-ил)пропенил]пирролидин-1-ил}гептановой кислоты

К раствору этилового эфира 7-(R)-5-формил-3,3-диметил-2-оксопирролидин-1-ил)гептановой кислоты (360 мг, 1,21 ммоль) и диметилового эфира [2-оксо-2-(5-трифторметилфуран-2-ил)этил]фосфоновой кислоты (344 мг, 1,21 ммоль), полученного из 5-трифторметилфуран-2-карбоновой кислоты, как описано в тексте заявки) в ацетонитриле (14 мл) при перемешивании добавляли хлорид лития (62 мг, 1,21 ммоль) и диизопропилэтиламин (0,214 мл, 1,21 ммоль) и реакционную смесь перемешивали при комнатной температуре в течение 2 сут. Затем реакцию останавливали добавлением насыщенного раствора хлорида аммония и смесь экстрагировали этилацетатом. Органическую фазу промывали солевым раствором и сушили над сульфатом магния, неочищенный раствор очищали на колонке с силикагелем (элюент: гексан/этилацетат, 2:1). Растворитель выпаривали, при этом получали 280 мг этилового эфира 7-{(R)-3,3-диметил-2-оксо-5-[(Е)-3-оксо-3-(5-трифторметилфуран-2-ил)пропенил]пирролидин-1-ил}гептановой кислоты.
Стадия 5
Этиловый эфир 7-{(R)-5-[(Е)-3-гидрокси-3-(5-трифторметилфуран-2-ил)пропенил]-3,3-диметил-2-оксопирролидин-1-ил}гептановой кислоты

К раствору этилового эфира 7-{(R)-3,3-диметил-2-оксо-5-[(Е)-3-оксо-3-(5-трифторметилфуран-2-ил)пропенил]пирролидин-1-ил}гептановой кислоты (280 мг, 0,61 ммоль) в метаноле (4 мл) при -20°С медленно добавляли боргидрид натрия (37 мг, 0,98 ммоль) и реакционную смесь выдерживали при -10°С в течение 45 мин. После завершения добавления реакционную смесь выдерживали при -10°С в течение 40 мин. После завершения реакции к смеси добавляли ацетон и концентрировали досуха. Остаток растворяли в этилацетате, раствор промывали солевым раствором и сушили. После концентрирования неочищенную смесь очищали на колонке с силикагелем (элюент:гексан/этилацетат, 1:1), при этом получали 90 мг этилового эфира 7-{(R)-5-[(E)-3-гидрокси-3-(5-трифторметилфуран-2-ил)пропенил]-3,3-диметил-2-оксопирролидин-1-ил}гептановой кислоты.
Стадия 6
7-{(R)-5-[(Е)-3-Гидрокси-3-(5-трифторметилфуран-2-ил)пропенил]-3,3-диметил-2-оксопирролидин-1-ил}-гептановая кислота

Этиловый эфир 7-{(R)-5-[(Е)-3-гидрокси-3-(5-трифторметилфуран-2-ил)пропенил]-3,3-диметил-2-оксопирролидин-1-ил}гептановой кислоты (89 мг, 0,2 ммоль) растворяли в метаноле (3 мл) и раствор охлаждали на ледяной бане. Затем медленно добавляли 20% раствор гидроксида натрия (0,280 мл, 1,4 ммоль) и после завершения добавления смесь перемешивали при комнатной температуре в течение ночи. Реакционную смесь концентрировали в вакууме, остаток суспендировали в 5 мл 0,1 н. гидроксида натрия и дважды промывали диэтиловым эфиром. Затем раствор подкисляли 1 н. соляной кислотой и трижды экстрагировали этилацетатом. Органический слой промывали солевым раствором, сушили над сульфатом магния и концентрировали, при этом получали 55 мг 7-{(R)-5-[(Е)-3-гидрокси-3-(5-трифторметилфуран-2-ил)пропенил]-3,3-диметил-2-оксопирролидин-1-ил}гептановой кислоты (55) (80). МС: 432 [(М+Н)+].
Следующие соединения формулы I получали при замене соответствующего промежуточного соединения:
7-[(R)-5-((Е)-3-гидроксиокт-1-енил)-3,3-диметил-2-оксопирролидин-1-ил]гептановую кислоту (56), МС: m/z 368 (М+1), получали при использовании на стадии 4 диметилового эфира (2-оксогептил)фосфоновой кислоты,
7-[2-((Е)-3-гидроксиокт-1-енил)-3,3-диметил-5-оксопирролидин-1-ил]гептановую кислоту (57), МС: m/z 368 (M+1), получали при использовании на стадии 1 4,4-диметил-5-гидроксиметил-2-пирролидинона,
7-[(R)-5-((S)-(Е)-5-циклобутил-3-гидроксипент-1-енил)-3,3-диметил-2-оксопирролидин-1-ил]гептановую кислоту (58), МС: m/z 380 (М+1); получали при использовании на стадии 4 диметилового эфира [2-(циклобутилэтил)-2-оксоэтил]фосфоновой кислоты,
7-{(R)-5-[(E)-3-гидрокси-4-(3-метоксиметилфенил)бут-1-енил]-3,3-диметил-2-оксопирролидин-1-ил}гептановую кислоту (59), МС: m/z 432 (М+1), получали при использовании на стадии 4 диметилового эфира {2-[(3-метоксиметилфенил)-метил]-2-оксоэтил}фосфоновой кислоты,
7-((R)-5-{(Е)-3-гидрокси-3-[3-(4-метоксибензил)фенил]пропенил}-3,3-диметил-2-оксопирролидин-1-ил)-гептановую кислоту (60), МС: m/z 494 (М+1), получали при использовании на стадии 4 диметилового эфира {2-[3-(4-метоксибензил)фенил]-2-оксоэтил}фосфоновой кислоты и
7-{(R)-5-[(Е)-3-(4′-хлор-2′-метилбифенил-3-ил)-3-гидроксипропенил]-3,3-диметил-2-оксопирролидин-1-ил}гептановую кислоту (61), МС: m/z 499 (M+1), получали при использовании на стадии 4 диметилового эфира [2-(4′-хлор-2′-метилбифенил-3-ил)-2-оксоэтил]фосфоновой кислоты.
Пример 7
7-((R)-2-{(Е)-3-[3-(3-Фторфенокси)фенил1-3-гидроксипропенил}-5-оксопирролидин-1-ил)гептановая кислота (62)

В этом примере описан синтез фосфоната вышеуказанной формулы методом, показанным на схеме Б.
Стадия 1

Суспензию метилового эфира 3-гидроксибензойной кислоты (5,4 г, 35,5 ммоль), 3-фторфенилбороновой кислоты (5,5 г, 35,5 ммоль), ацетата меди (7,1 г, 35,5 ммоль), молекулярных сит 3 Å (9 г), пиридина (12 мл, 145 ммоль) в дихлорметане (220 мл) перемешивали при комнатной температуре и атмосферном давлении в течение 11 сут. Затем смесь фильтровали через целит, летучие компоненты удаляли, остаток очищали хроматографией на колонке с силикагелем (элюент: гексан/этилацетат, 5:1), при этом получали очищали требуемый эфир (3,68 г), который использовали на следующей стадии.
Стадия 2

Раствор диметилового эфира метилфосфоновой кислоты (4,0 мл, 37,5 ммоль) в тетрагидрофуране (100 мл) охлаждали до -78°С в атмосфере аргона, обрабатывали н-бутиллитием (15,0 мл, 2,5 М раствор в гексане, 37,5 ммоль) и преремешивали в течение 45 мин. Эфир, полученный на стадии 1, (4,62 г, 18,7 ммоль) растворяли в тетрагидрофуране (15 мл) и при -78°С добавляли к раствору, полученному, как описано выше, и смесь перемешивали при 0°С в течение 1 ч. Затем раствор желтого цвета распределяли между водным раствором хлорида аммония (100 мл) и этиловым эфиром (200 мл). Органическую фракцию промывали водой (3×30 мл), солевым раствором и сушили над безводным сульфатом натрия. После фильтрования и удаления летучих компонентов в вакууме получали требуемый -кетофосфонат (5,8 г) в виде вязкого масла.
1Н ЯМР (CDCl3, 300 МГц,): 7,78 (dt, J 0,6, 0,9, 7,8 Гц, 1H), 7,63 (t, J 2,1 Гц, 1Н), 7,48 (t, J 8,1 Гц, 1H), 7,32-7,26 (m, 2H), 6,90-6,78 (m, 2H), 6,70 (dt, J 2,4, 9,9, 1H), 3,80 (d, J 11,2 Гц, 6Н), 3,61 (d, J 22,6, 2H).
7-((R)-2-{(Е)-3-[3-(3-Фторфенокси)фенил]-3-гидроксипропенил}-5-оксопирролидин-1-ил)гептановую кислоту (62) (90), МС: m/z 456 (M+1), получали из диметилового эфира {2-[(3-фторфенокси)фенил]-2-оксоэтил}фосфоновой кислоты, как описано в примере 1.
Следующие соединения формулы I получали при замене 3-фторфенилбороновой кислоты на стадии 1 на соответствующее производное фенилбороновой кислоты:
7-((R)-2-{(Е)-3-(3-фенокси)фенил-3-гидроксипропенил}-5-оксопирролидин-1-ил)гептановую кислоту (63), МС: m/z 438 (M+1), получали из фенилбороновой кислоты,
7-((R)-2-{(Е)-3-гидрокси-3-[3-(4-метоксифенокси)фенил]пропенил}-5-оксопирролидин-1-ил)гептановую кислоту (64), МС: m/z 468 (M+1), получали из 4-метоксифенилбороновой кислоты,
7-((S)-2-{(Е)-3-гидрокси-3-[3-(4-фторфенокси)фенил]пропил}-5-оксопирролидин-1-ил)гептановую кислоту (65), МС: m/z 458 (M+1), получали из 4-фторфенилбороновой кислоты (с последующим гидрированием при давлении 1 атм в атмосфере водорода в присутствии 10% палладия на угле),
7-((R)-2-[(Е)-3-гидрокси-3-(3-метатолилоксифенил)пропенил]-5-оксопирролидин-1-ил)гептановую кислоту (66), МС: m/z 452 (M), получали из метатолилбороновой кислоты,
7-((R)-2-{(Е)-3-гидрокси-3-[3-(3-метоксифенокси)фенил]пропенил}-5-оксопирролидин-1-ил)гептановую кислоту (67), МС: m/z 468 (M+1), получали из 3-метоксифенилбороновой кислоты,
7-((R)-2-{(Е)-3-гидрокси-3-[3-(4-трифторметилфенокси)фенил]-пропенил}-5-оксопирролидин-1-ил)гептановую кислоту (68), МС: m/z 506 (М+1), получали из 4-трифторметилфенилбороновой кислоты,
7-((R)-2-[(Е)-3-гидрокси-3-(3-ортотолилоксифенил)пропенил]-5-оксопирролидин-1-ил)гептановую кислоту (69), МС: m/z 452 (М+1), получали из ортотолилбороновой кислоты,
7-((R)-2-{(Е)-3-гидрокси-3-[3-(3-трифторметилфенокси)фенил]пропенил}-5-оксопирролидин-1-ил)гептановую кислоту (70), МС: m/z 506 (М+1), получали из 3-трифторметилфенилбороновой кислоты,
7-((R)-2-{(Е)-3-гидрокси-3-[3-(2-метоксифенокси)фенил]пропенил}-5-оксопирролидин-1-ил)гептановую кислоту (71), МС: m/z 468 (М+1), получали из 2-метоксифенилбороновой кислоты,
7-((R)-2-[(Е)-3-гидрокси-3-(3-паратолилоксифенил)пропенил]-5-оксопирролидин-1-ил)гептановую кислоту (72), МС: m/z 452 (М+1), получали из паратолилбороновой кислоты,
7-((R)-2-{(Е)-3-[3-(4-фторфенокси)фенил]-3-гидроксипропенил}-5-оксопирролидин-1-ил)гептановую кислоту (73), МС: m/z 456 (M+), получали из 4-фторфенилбороновой кислоты,
7-((R)-2-{(Е)-3-[3-(4-хлорфенокси)фенил]-3-гидроксипропенил}-5-оксопирролидин-1-ил)гептановую кислоту (74), МС: m/z 473 (М+1), получали из 4-хлорфенилбороновой кислоты и
7-((R)-2-{(Е)-3-[3-(3-хлорфенокси)фенил]-3-гидроксипропенил}-5-оксопирролидин-1-ил)гептановую кислоту (75), МС: m/z 473 (М+1), получали из 3-хлорфенилбороновой кислоты.
Пример 8
4-{2-[(R)-2-((Е)-3-Гидроксиокт-1-енил)-5-оксопирролидин-1-ил]этил}-бензойная кислота (76)

Стадия 1

К 1,27 г NaH (31,67 ммоль, 60% дисперсия в минеральном масле) и 5,26 г (31,67 ммоль) KI при 0°С в атмосфере азота добавляли 40 мл ДМФА. Затем добавляли по каплям раствор 3,50 г (30,16 ммоль) (S)-(+)-дигидро-5-гидрокси-метил-2(3Н)-фуранона (фирма Aldrich) в 15 мл ДМФА. Взвесь нагревали до комнатной температуры и перемешивали в течение 2,5 ч, затем по каплям добавляли 5,4 мл (45,24 ммоль) бензилбромида, смесь нагревали при 50°С и перемешивали в течение 16 ч. Затем реакционную смесь распределяли между 250 мл насыщенного раствора NH4Cl и 250 мл этилацетата/гексана (60%).
Органическую фазу промывали водой (3×200 мл), 200 мл солевого раствора, сушили над сульфатом магния и концентрировали при пониженном давлении. Неочищенный остаток очищали хроматографией (элюент: 35% этилацетат/гексан), при этом получали 3,37 г (16,34 ммоль, выход 54%) (S)-O-бензилдигидро-5-гидроксиметил-2(3Н)-фуранона в виде масла желтого цвета.
Стадия 2

1,98 г (9,59 ммоль) (S)-O-бензилдигидро-5-гидроксиметил-2(3Н)-фуранона и 3,14 г (16,25 ммоль) этилового эфира парааминоэтилбензойной кислоты растворяли в 50 мл ТГФ и перемешивали при 50°С в течение 20 ч. Реакционную смесь концентрировали, неочищенный остаток очищали хроматографией (элюент: 50% этилацетат/гексан), при этом получали 2,24 г (5,61 ммоль, выход 58%) N’-[2-(4-карбоэтоксифенил)этил]-5-бензилокси-4-гидроксипентанамида в виде твердого вещества белого цвета.
Стадия 3

2,24 г (5,61 ммоль) N’-[2-(4-карбоэтоксифенил)этил]-5-бензилокси-4-гидроксипентиламида растворяли в 40 мл ТГФ и 1,17 мл (8,43 ммоль) триэтиламина и полученный раствор перемешивали в течение 10 мин. Затем по каплям добавляли 0,57 мл (7,30 ммоль) метансульфонилхлорида и реакционную смесь перемешивали в течение 2,5 ч, осадок отделяли фильтрованием и промывали 3 мл ТГФ. К фильтрату добавляли 1,33 г (11,85 ммоль) трет-BuOK и реакционную смесь перемешивали при комнатной температуре в течение 2 ч. После завершения реакции смесь распределяли между 200 мл насыщенного водного раствора NH4Cl и 250 мл этилацетата. Органический слой промывали 100 мл воды, 200 мл солевого раствора, сушили над MgSO4 и концентрировали при пониженном давлении. Неочищенное масло очищали хроматографией (элюент: 1% MeOH/CH2Cl2), при этом получали 1,78 г (4,69 ммоль, выход 83%) (R)-N’-[2-(4-карбоэтоксифенил)этил]-5-бензилоксиметил-2-пирролидинона в виде прозрачного масла.
Стадия 4

1,78 г (4,69 ммоль) (R)-N’-[2-(4-карбоэтоксифенил)этил]-5-бензилоксиметил-2-пирролидинона растворяли в 20 мл этанола. Реакционную смесь продували газообразным аргоном, добавляли 0,63 г 10% Pd/C и 0,095 г (0,55 ммоль) паратолуолсульфоновой кислоты, затем смесь вакуумировали и продували газообразным водородом, перемешивали при комнатной температуре в течение 4 ч и фильтровали через целит. Фильтрат концентрировали, при этом получали 1,35 г (4,63 ммоль, выход 98%) (R)-N’-[2-(4-карбоэтоксифенил)этил]-5-гидроксиметил-2-пирролидинона в виде прозрачного бесцветного масла.
Стадия 5
Спирт, полученный на предыдущей стадии, превращали в требуемый эфир и кислоту многостадийным методом, показанным выше на схеме А, при этом использовали комбинацию каталитического количества (R)-2-метил-CBS-оксазаборолидина со стехиометрическим количеством борана/диметилсульфида, как описано в статье E.J.Corey и др., J. Am. Chem. Soc., 109, 7925-7926 (1987), при этом получали сложный эфир спирта, МС: 388 [(М+Н)+].

Бензойную кислоту (76), МС: m/z 360 (М+1), получали в виде порошка белого цвета при гидролизе вышеописанного эфира.
Следующие соединения формулы I получали при замене на стадии 2 этилового эфира парааминобензойной кислоты:
4-{3-[(R)-2-((E)-3-гидроксиокт-1-енил)-5-оксопирролидин-1-ил]пропил}-бензойную кислоту (77), МС: m/z 374 (М+1)+, получали из метилового эфира пара-(3-аминопропил)бензойной кислоты,
3-{3-[(R)-2-((Е)-3-гидроксиокт-1-енил)-5-оксопирролидин-1-ил]пропил}-бензойную кислоту (78), МС: m/z 374 (М+1)+, получали из метилового эфира мета-(3-аминопропил)бензойной кислоты,
2-{3-[(R)-2-((Е)-3-гидроксиокт-1-енил)-5-оксопирролидин-1-ил]пропил}-бензойную кислоту (79), МС: m/z 374 (М+1)+, получали из метилового эфира орто-(3-аминопропил)бензойной кислоты,
1-{2-[(R)-2-((Е)-3-гидроксиокт-1-енил)-5-оксопирролидин-1-ил]этил}-1Н-пиразол-4-карбоновую кислоту (80), МС: m/z 349 (М+1)+ получали из 1-(2-аминометил)-1Н-пиразол-4-карбоновой кислоты.
Другая методика заключалась в использовании в качестве исходного соединения диметилового эфира [2-(4′-хлор-2′-метилбифен-3-ил)-2-оксоэтил]-фосфоновой кислоты с последующим восстановлением в атмосфере водорода при давлении 1 атм в присутствии катализатора 10% палладия на угле в EtOAc в течение 1,5 ч и обработкой в восстанавливающих условиях, как описано в статье E.J.Corey и др. J. Am. Chem. Soc., 109, 7925-7926 (1987), в присутствии 1 М раствора катализатора (S)-2-метил-СВ8 в толуоле (фирма Aldrich), при этом получали 4-(2-{(S)-2-[(R)-3-(4′-хлор-2′-метилбифен-3-ил)-3-гидроксипропил]-5-оксопирролидин-1-ил}этил)бензойную кислоту (81), МС: m/z 493 (М+1)+; или
5-[(R)-2-((Е)-3-гидроксиокт-1-енил)-5-оксопирролидин-1-ил]этил)тиофен-2-карбоновую кислоту (82), МС: m/z 366 (М+1)+, получали из этилового эфира 5-(2-аминоэтил)тиофен-2-карбоновой кислоты.
Пример 9
В следующих примерах представлены фармацевтические составы, содержащие соединение формулы I.
Состав таблеток
Следующие ингредиенты смешивали до гомогенного состояния и прессовали в таблетки с насечкой.

Состав капсул
Следующие ингредиенты смешивали до гомогенного состояния и заполняли желатиновые капсулы с твердой оболочкой.
| Количество каждого ингредиента |
мг в капсуле |
| Соединение по изобретению |
200 |
| Лактоза, высушенная в распылительной сушилке |
148 |
| Стеарат магния |
2 |
Состав суспензии
Следующие ингредиенты смешивали до образования суспензии для перорального введения.
| Ингредиент |
Количество |
| Соединение по изобретению |
1,0 г |
| Фумаровая кислота |
0,5 г |
| Хлорид натрия |
2,0 г |
| Метилпарабен |
0,15 г |
| Пропилпарабен |
0,05 г |
| Гранулированный сахар |
25,5 г |
| Сорбит (70%-ный раствор) |
12,85 г |
| Veegum К (фирмы Vanderbilt Co.) |
1,0 г |
| Ароматизатор |
0,035 мл |
| Красители |
0,5 мг |
| Дистиллированная вода |
q.s. до 100 мл |
Состав для инъекций
Следующие ингредиенты смешивали до образования состава для инъекций.
| Ингредиент |
Количество |
| Соединение по изобретению |
0,4 мг |
| Натрий-ацетатный буферный раствор, 0,4 М |
2,0 мл |
| HCl (1 н.) или NaOH (1 н.) |
q.s. до необходимого рН |
| Вода (дистиллированная, стерильная) |
q.s. до 20 мл |
Пример 10
Определение функциональной активности рецептора ЕР4 (или ЕР2) с использованием метода анализа люциферазы
Клетки, экспрессирующие рецептор ЕР4 (или EP2), пересевали в среде F-12 (фирма Gibco), содержащей 10% фетальную телячью сыворотку (фирма Gibco), и 25 мМ HEPES в 96-луночные планшеты (фирма Packard) и инкубировали в течение ночи. На следующее утро культуральную среду удаляли, клетки промывали буферным раствором Хенкса и вновь помещали в среду F-12 (фирма Gibco), содержащей 0,1% БСА. После предварительной инкубации культуры в течение от 1,5 до 3 ч, в культуру добавляли анализируемые соединения и инкубировали в течение еще 3 ч. Активность люциферазы в клетках определяли с использованием субстрата LucLite (фирма Packard) по методике фирмы-изготовителя.
Пример 11
Анализ конкурентного связывания [3H]-PGE2 с рецептором rEP1 или rEP3
Клетки поддерживали в культуре, а затем собирали в состоянии конфлюентности. Для получения мембранной фракции клетки подвергали лизису и гомогенизировали в 10 объемах буферного раствора 20 мМ HEPES, рН 7,4, содержащего 1 мМ EDTA, 10 мМ MgCl2, 20 мкМ индометацин, в гомогенизаторе политрон при 4°С в течение 15 сек, а затем дважды центрифугировали при 12000 g в течение 15 мин. Ингибирование соединениями при анализе связывания [3Н]-PGE2 проводили в вышеописанном буферном растворе, содержащем 3 нМ [+Н]-PGE2, 2% ДМСО, анализируемые соединения в различных концентрациях и 25 мкг белка мембранной фракции. Инкубацию проводили при 30°С в течение 1 ч, а затем разделяли связанный и свободный радиоактивномеченый лиганд быстрой фильтрацией. Остаточный [3H]-PGE2, связанный с фильтром, измеряли на сцинтилляционном счетчике. Величину Ki для анализируемых соединения рассчитывали с использованием программного обеспечения Prism (с учетом данного участка связывания).
| Соединение |
ЕР4, |
| |
Ki |
| 7-{5-[(Е)-3-Гидрокси-4-(3-метоксиметилфенил)бут-1-енил]-3,3-диметил-2-оксопирролидин-1-ил}гептановая кислота |
0,07 |
| 7-((R)-5-{(Е)-3-Гидрокси-3-[3-(4-метоксибензил)фенил]пропенил}-3,3-диметил-2-оксопирролидин-1-ил)гептановая кислота |
0,080 |
| 7-((Р)-2-{(Е)-3-[3-(4-Хлорфенокси)фенил]-3-гидроксипропенил}-5-оксопирролидин-1-ил)гептановая кислота |
0,010 |
| 7-{(R)-2-[(Е)-3-(4′-Хлор-2′-метилбифенил-3-ил)-3-гидроксипропенил]-5-оксопирролидин-1-ил}гептановая кислота |
0,003 |
| 7-{(R)-2-[3-(4′-Хлор-2′-метилбифенил-3-ил)-3-гидроксипропил]-5-оксопирролидин-1-ил}гептановая кислота |
0,008 |
Пример 12
Анализ плотности костной массы
Соединения по настоящему изобретению испытывали по их действию на костную массу крыс с удаленным яичником (OVX).
На взрослых самках крыс Sprague-Dawley или Wistar Hanover проводили фиктивную операцию или удаляли яичники по методу Charles River. Согласно методике крыс помещали парами в помещение с контролируемой окружающей средой и проводили акклиматизацию в течение по меньшей мере одной недели. Животные в процессе акклиматизации получали корм парами.
Через 20 сут после хирургической операции животным вводили исследуемое соединение подкожным способом один раз в день в течение 5 недель. Исследемое соединение растворяли в 10% EtOH/солевом растворе или в 20 мМ фосфатном буферном растворе.
Перед лечением и при завершении лечения измеряли плотность минеральной составляющей костной ткани (BMD) сканированием на костном денситометре Hologic QRD-4500 с использованием программного обеспечения высокого разрешения. Затем анализировали изображения отдельных участков, представляющих интерес, таких как вся бедренная кость, проксимальная бедренная кость, диафиз бедра, дистальная бедренная кость, дистальный бедренный диафиз, проксимальная большеберцовая кость, проксимальный большеберцовый диафиз, позвонки L2-L4, позвонок 15.
Для оценки влияния удаления яичников на костную массу проводили сравнение результатов сканирования фиктивно оперированных крыс, крыс OVX и крыс, получавших наполнитель, причем сравнение проводили по критерию Стьюдента. Группы OVX сравнивали с использованием однофакторного дисперсионного анализа (ANOA), а затем по критерию Фишера (по младшему значащему разряду) для сравнения каждой группы обработанных соединением животных с контрольной группой, при условии, если общее действие являлось статистичеки достоверным. Перед указанным выше анализом данные можно упорядочить и провести непараметрический анализ (с использованием критерия суммы рангов Wilcoxon или Kruskal-Wallis).
Удаление яичников приводит к значительной потере общей костной массы, в основном из зрелой костной ткани. Общая BMD у оперированных животных снижалась на 5-20% по сравнению с фиктивно оперированными контрольными животными.
| Таблица 1 |
| # |
Структура |
Название (Autonom ) |
EP4 IC50 |
| 1А |
 |
7-[2-(3-гидрокси-окт-1-енил)-5-оксопирролидин-1-ил]гептановая кислота |
0.02 |
| 1В |
 |
7-[2-(3-гидроксиоктил)-5-оксопирролидин-1-ил]гептановая кислота |
0.07 |
| 2A |
 |
7-[2-(3-гидрокси-4-фенил-бут-1-енил)-5-оксопирролидин-1-ил]-гептановая кислота |
0.006 |
| 2B |
 |
7-[2-(3-гидрокси-4-фенилбутил)-5-оксопирролидин-1-ил]гептановая кислота |
0.047 |
| 3А |
 |
7-{2-[3-гидрокси-3-(3-феноксифенил)пропенил]-5-оксопирролидин-1-ил}гептановая кислота |
0.032 |
| 3В |
 |
7-{2-[3-гидрокси-3-(3-феноксифенил)пропил]-5-оксопирролидин-1-ил}гептановая кислота |
0.033 |
| 4А |
 |
7-{2-[3-гидрокси-3-(3-трифторметилфенил)пропенил]-5-оксопирролидин-1-ил}гептановая кислота |
0.14 |
| 4В |
 |
7-{2-[3-гидрокси-3-(3-трифторметилфенил)пропил]-5-оксопирролидин-1-ил}гептановая кислота |
0.073 |
| 5A |
 |
7-{2-[3-(4′-хлор-2′-метилбифенил-3-ил)-3-гидроксипропенил]-5-оксопирролидин-1-ил}гептановая кислота |
0.003 |
| 5В |
 |
7-{2-[3-(4′-хлор-2′-метилбифенил-3-ил)-3-гидроксипропил]-5-оксопирролидин-1-ил}гептановая кислота |
0.008 |
| 6А |
 |
7-{2-[3-гидрокси-3-(4′-гидрокси-2′-метилбифенил-3-ил)пропенил]-5-оксопирролидин-1-ил}гептановая кислота |
0.005 |
| 6В |
 |
7-{2-[3-гидрокси-3-(4′-гидрокси-2′-метилбифенил-3-ил)пропил]-5-оксопирролидин-1-ил}гептановая кислота |
0.008 |
Формула изобретения
1. Соединение формулы I

где А означает -CH2-CH2– или -СН=СН-;
В отсутствует или означает фенил;
Z означает -C(O)OR’ или тетразол-5-ил, где R’ означает водород или C1-С6алкил;
m равно 1, 2, 3, 4, 5 или 6;
R1 означает C1-С6алкил, незамещенный фенил или фенил, замещенный по меньшей мере одним заместителем, выбранным из группы, включающей трифторметил, галоген, -Y-Ra, -Y-ORa, -Y-C(O)Ra, где Y означает химическую связь или C1-С3алкиленовую группу, а
Ra означает C1-С6алкил, незамещенный фенил или фенил, замещенный по меньшей мере одним заместителем, выбранным из группы, включающей C1-С6алкил, C1-С6алкокси, трифторметил и галоген, при условии, что В означает фенил, a R3, R4, R5 и R6 одновременно не означают водород, или R1 означает незамещенный фенил или фенил, замещенный по меньшей мере одним заместителем, выбранным из группы, включающей трифторметил, галоген, -Y-Ra, -Y-ORa и -Y-C(O)Ra, где Y означает химическую связь или C1-С3алкиленовую группу, a Ra означает C1-С6алкил, незамещенный фенил или фенил, замещенный по меньшей мере одним заместителем, выбранным из группы, включающей C1-С6алкил, C1-С6алкокси, трифторметил и галоген, при условии, что В отсутствует, a R3, R4, R5 и R6 одновременно означают водород;
R2 означает водород;
R3, R4, R5 и R6 каждый независимо друг от друга означают водород или C1-С6алкил, или его фармацевтически приемлемая соль, либо индивидуальный изомер.
2. Соединение по п.1, где В отсутствует, R1 означает фенил, необязательно замещенный заместителем, выбранным из группы, включающей трифторметил, галоген, -Y-Ra, -Y-ORa и -Y-C(O)Ra, где Y означает химическую связь или C1-С3алкиленовую группу, a Ra означает, C1-С6алкил, фенил.
3. Соединение по п.1, где R1 означает незамещенный фенил.
4. Соединение по п.2, где R1 означает фенил, замещенный заместителем, выбранным из группы, включающей трифторметил, галоген, -Y-Ra, -Y-ORa и -Y-C(O)Ra, где Y означает химическую связь или C1-С3алкиленовую группу, a Ra означает C1-С6алкил, фенил.
5. Соединение по любому из пп.1-4, где Ra означает фенил, необязательно замещенный заместителем, выбранным из группы, включающей C1-С6алкил, C1-С6алкокси, трифторметил или галоген.
6. Соединение по п.2, где R1 означает фенил, замещенный по меньшей мере одной группой -Y-Ra, где Y означает химическую связь или C1-С3алкиленовую группу, a Ra означает фенил, необязательно замещенный заместителем, выбранным из группы, включающей C1-С6алкил, C1-С6алкокси, трифторметил и галоген.
7. Соединение по п.2, где R1 означает фенил, замещенный по меньшей мере одной группой -Y-Ra, где Y означает химическую связь или C1-С3алкиленовую группу, a Ra означает фенил.
8. Соединение по п.2, где R1 означает фенил, замещенный по меньшей мере одной группой -Y-ORa, где Y означает химическую связь или C1-С3алкиленовую группу, a Ra означает фенил, замещенный заместителем, выбранным из группы, включающей C1-С6алкил, C1-С6алкокси, трифторметил и галоген.
9. Соединение по п.2, где R1 означает фенил, замещенный по меньшей мере одной группой -Y-C(O)Ra, где Y означает химическую связь или C1-С3алкиленовую группу, а Ra означает фенил, необязательно замещенный по меньшей мере одним заместителем, выбранным из группы, включающей C1-С6алкил, C1-С6алкокси, трифторметил и галоген.
10. Соединение по п.1, где В отсутствует, а R1 означает фенил.
11. Соединение по п.1, где R1 – фенил, замещенный заместителем, выбранным из группы, включающей трифторметил, галоген, -Y-Ra, -Y-ORa и -Y-C(O)Ra, где Y означает химическую связь или C1-С3алкиленовую группу, a Ra означает C1-С6алкил, фенил.
12. Соединение по п.1, где В отсутствует, а R3 и R4 означают C1-С6алкил.
13. Соединение по п.1, где R1 означает C1-С6алкил.
14. Соединение по п.1, где А означает -СН2-СН2-.
15. Соединение по п.1, где В отсутствует, а А означает -СН2-СН2-.
16. Соединение по п.1, где В означает фенил, m равно 1 или 2, a R1 означает C1-С6алкил, фенил.
17. Соединение по п.1, где R1 означает необязательно замещенный фенил.
18. Соединение по п.1, где R1 означает C1-С6алкил.
19. Соединение по п.1, выбранное из группы, включающей
7-{(R)-2-[(Е)-3-(4′-хлор-2′-метилбифенил-3-ил)-3-гидроксипропил]-5-оксопирролидин-1-ил}гептановую кислоту,
7-((R)-2-{(Е)-3-[3-(4-хлорфенокси)фенил]-3-гидроксипропенил}-5-оксопирролидин-1-ил)гептановую кислоту.
20. Соединения по любому из пп.1-19, используемые для получения лекарственных средств, предназначенных для профилактики и лечения заболеваний, ассоциированных с дисфункциями костной ткани.
21. Способ получения соединения формулы I

где R2 означает водород, R1 означает метил или этил, а m, R3, R4, R5, R6 и Z имеют значения, указанные в п.1, включающий взаимодействие соединения общей формулы а

где m, R3, R4, R5 и R6 имеют значения, указанные в п.1, a R1 означает метил или этил, с фосфонатом общей формулы m

где R1 означает метил или этил, последующее восстановление и необязательный гидролиз с образованием целевого продукта.
22. Фармацевтическая композиция, обладающая селективной агонистической активностью в отношении рецептора ЕР4, содержащая терапевтически эффективное количество соединения по любому из пп.1-20 в смеси по меньшей мере с одним пригодным носителем, разбавителем или эксципиентом.
MM4A – Досрочное прекращение действия патента СССР или патента Российской Федерации на изобретение из-за неуплаты в установленный срок пошлины за поддержание патента в силе
Дата прекращения действия патента: 09.07.2007
Извещение опубликовано: 20.09.2010 БИ: 26/2010
|
|