Патент на изобретение №2156760
|
||||||||||||||||||||||||||
(54) СПОСОБ ПОЛУЧЕНИЯ ТРИАЗОЛОВ, КОНЕЧНЫЕ И ПРОМЕЖУТОЧНЫЕ ПРОДУКТЫ СПОСОБА
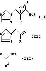
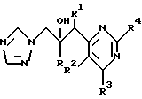
(57) Реферат: Описывается способ получения триазолов формулы (I) или его аддитивной соли кислоты или основания, где R – фенил, необязательно замещенный 1-3 заместителями, каждый из которых независимо выбран из галогена и трифторметила; R1 – C1-C6-алкил и Het является пиримидинилом, необязательно замещенным 1-3 заместителями, каждый из которых независимо выбран из C1-C4-алкила, C1-C4-алкокси, галогена, оксо, бензила и бензилокси, включающий реакцию соединения формулы (II), где R определен ранее для соединения формулы (I), с соединением формулы (III), где R1 и Het определены ранее для соединения формулы (I), Х – хлор, бром или иод, в присутствии цинка, иода и/или кислоты Льюиса и апротонного органического растворителя с последующим необязательным превращением соединения формулы (I) в его аддитивную соль кислоты или основания. Описываются также конечные и промежуточные продукты способа. Технический результат – повышение выхода целевого продукта и стереоселективности. 5 с. и 34 з.п. ф-лы.
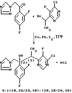
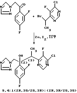
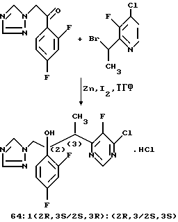
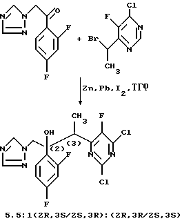
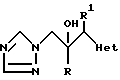
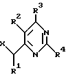
Изобретение относится к способу получения спиртов путем присоединения металлоорганических реагентов к кетонам. Более конкретно, данное изобретение относится к реакции производных 1-фенил-2-(1H-1,2,4-триазол-1-ил)этанона с металлоорганическими соединениями, полученными из альфа-галогеналкилпиримидинов с образованием третичных спиртов. В области органической химии хорошо известна реакция металлоорганических соединений, производных алкилгалогенидов, с альдегидами и кетонами с образованием вторичных и третичных спиртов, соответственно. Сообщалось о том, что для данного типа реакций пригодны многие различные металлы и производные металлов, включая литий, магний, алюминий, олово и цинк, вместе с их солями. Например, A.R. Gangloff и др., J. Org. Chem., 57, 4797-4799 (1992) описывают, что 2-(бромметил)-4-карбэтокси-1,3-оксазол реагирует с цинковой пылью с образованием цинкорганического производного, которое вступает в нуклеофильное присоединение к альдегидам и кетонам. Кроме того, Chollet и др., Synth. Comm. , 19 (11 и 12), 2167-2173 (1989), сообщают о реакции цинкорганических производных бромированных сложных эфиров с альдегидами и кетонами. Определенные соединения, полученные по настоящему способу, описаны в публикации Европейской патентной заявки под номерами 0357241 C 07 D 249/08 и 0440372 C 07 D 403/06. Было неожиданно обнаружено, что некоторые производные 1-фенил-2-(1H-1,2,4-триазол-1-ил)этанона могут реагировать с металлоорганическими соединениями, полученными из определенных производных альфа-галогеналкилпиримидина, с образованием третичных спиртов с хорошим – превосходным выходом и с высокой стереоселективностью, с использованием условий реакции, которые особенно пригодны для синтеза продукта в массе. Было обнаружено, что это открытие особенно пригодно для синтеза (2R, 3S/2S, 3R)-3-(4-хлор-5-фторпиримидин-6-ил)-2-(2,4-дифторфенил)-1- (1H-1,2,4-триазол-1-ил)бутан-2-ола, главного полупродукта для получения (2R, 3S)-2-(2,4-дифторфенил)-3-(5- фторпиримидин-4-ил)-1-(1H-1,2,4-триазол-1-ил)бутан-2-ола, соединения, обладающего противогрибковой активностью. Синтез обоих этих соединений описан в публикации Европейской патентной заявки номер 0440372. В данной заявке (2R,3S/2S,3R)-3-(4-хлор-5-фторпиримидин-6-ил)- 2-(2,4-дифторфенил)-1-(1H-1,2,4-триазол-1-ил)бутан-2-ол получают путем хроматографического разделения двух пар энантиомеров, полученных в результате присоединения литийорганического производного 4-хлор-6-этил-5-фторпиримидина к 1-(2,4-дифторфенил)-2-(1H-1,2,4- триазол-1-ил)этанону при температуре от -70 до -50oC. Наилучшей стереоселективностью, которая была достигнута в данном присоединении, является мольное отношение 1,1:1 в пользу 2R,3S/2S,3R-энантиомерной пары при суммарном выходе всех выделенных четырех стереоизомеров, составляющем только примерно 50%, причем полагают, что низкий выход обусловлен конкурентной реакцией енолизации. Эти факторы, вместе с необходимостью проводить реакцию присоединения при очень низких температурах и в условиях очень большого разбавления и вместе со сложностью при разделении примерно эквимолярных количеств двух пар энантиомеров в конце реакции, причем 2R, 3R/2S, 3S-энантиомерная пара является нежелательной, означают, что способ крайне непригоден для экономичного получения требуемого 2R,3S/2S,3R-полупродукта в широком масштабе. Напротив, сейчас было обнаружено, например, что мольное отношение 2R, 3S/2S, 3R-энантиомерной пары к 2R,3R/2S,3S-энантиомерной паре 3-(4-хлор-5-фторпиримидин-6-ил)-2-(2,4-дифторфенил)-1-(1H-1,2,4- триазол-1-ил)бутан-2-ола, равное 9: 1, и общий выход всех выделенных энантиомеров (в виде гидрохлоридных солей), равный 65%, могут быть достигнуты в условиях реакции по настоящему изобретению, которые очень удобны для крупномасштабного синтеза продукта. Однако, путем варьирования условий реакции в соответствии с настоящим изобретением были достигнуты более высокие выходы выделенного вещества и были установлены более высокие мольные отношения (как для [реакции] in situ, так и в отношении выделенного продукта). Подобные результаты были достигнуты для ряда альфа-галогеналкилпиримидиновых субстратов. Достигнутые выходы и стереоспецифичность приводят к значительным экономическим преимуществам. В настоящем изобретении предлагается способ получения соединения формулы: ![]() или его аддитивной кислой или основной соли, где R представляет фенил, необязательно замещенный 1-3 заместителями, каждый из которых независимо выбран из галогена и трифторметила; R1 представляет C1-C6-алкил; и Het является пиримидинилом, необязательно замещенным 1-3 заместителями, каждый из которых независимо выбран из C1-C4-алкила, C1-C4-алкокси, галогена, оксо, бензила и бензилокси, включающий реакцию соединения формулы: ![]() где R определен ранее для соединения формулы (I), с соединением формулы: ![]() где R1 и Het определены ранее для соединения формулы (I), и X представляет хлор, бром или иод, в присутствии цинка, иода и/или кислоты Льюиса и апротонного органического растворителя, причем после указанного процесса необязательно следует образование аддитивной кислой или основной соли продукта. Кроме того, в реакции необязательно может присутствовать свинец либо как металл сам по себе, либо в форме подходящей соли, например, галогенида свинца (II). Его можно добавить отдельно или же он может изначально присутствовать в используемом цинке. В вышеприведенных определениях алкильные и алкокси-группы, содержащие три или более атомов углерода, могут быть с линейной или разветвленной цепью, и “галоген” означает фтор, хлор, бром или иод. Предпочтительно, R представляет фенил, необязательно замещенный 1-3 галоген-заместителями. Более предпочтительно, R является фенилом, замещенным 1 или 2 заместителями, каждый из которых независимо выбран из фтора и хлора. Еще более предпочтительно, R представляет фенил, замещенный 1 или 2 фтор-заместителями. Наиболее предпочтительно, R является 2,4-дифторфенилом. Предпочтительно, R1 представляет C1-C4-алкил. Более предпочтительно, R1 представляет метил или этил. Наиболее предпочтительно, R1 представляет метил. Предпочтительно, Het представляет пиримидинил, необязательно замещенный 1-3 заместителями, каждый из которых независимо выбран из галогена, оксо и бензила. Более предпочтительно, Het представляет пиримидинил, необязательно замещенный 1-3 заместителями, каждый из которых независимо выбран из фтора, хлора, оксо и бензила. Еще более предпочтительно, Het представляет пиримидинил, замещенный 1-3 заместителями, каждый из которых независимо выбран из фтора и хлора. К предпочтительным примерам Het относятся пиримидин-4-ил, 4-хлор-5-фторпиримидин-6-ил, 5-фторпиримидин-4-ил, 2-хлор-5-фторпиримидин-6-ил, 2,4-дихлор-5-фторпиримидин-6-ил, 4-хлор-пиримидин-6-ил и 1-бензил-5-фторпиримидин-6-он-4-ил. Наиболее предпочтительно, Het представляет 4-хлор-5-фтор-пиримидин-6-ил. Предпочтительно, X представляет бром или иод. Наиболее предпочтительно, X представляет бром. Соединение формулы (II) может быть способным к енолизации кетоном. Наиболее предпочтительно, соединение формулы (II) является 1-(2,4-дифторфенил)-2-(1H-1,2,4-триазол-1-ил)этаноном. Соединение формулы (III), предпочтительно, выбирают из 6-(1-бромэтил)-2,4-дихлор-5-фторпиримидина, 6-(1-бромэтил)-4-хлор-5-фторпиримидина, 6-(1-бромэтил)-2-хлор-5-фтор-пиримидина, 4-(1-бромэтил)пиримидина, 4-(1-бромэтил)-6-хлорпиримидина, 4-(1-бромэтил)-5-фторпиримидина и 1-бензил-4-(1-бромэтил)-5-фторпиримидин-6-она. Наиболее предпочтительно, соединение формулы (III) является 6-(1-бромэтил)-4-хлор-5-фторпиримидином. Реакцию проводят в присутствии подходящего апротонного органического растворителя, такого как тетрагидрофуран, толуол, 1,2-диметоксиэтан или хлористый метилен, или в смеси двух или более этих растворителей. Очень желательно осушить растворитель перед применением, чтобы удалить по существу все следы воды. Сушка может быть достигнута путем использования таких осушителей, как сульфат магния, сульфат натрия или молекулярные сита, путем перегонки над таким металлом, как литий, натрий или калий, или же путем азеотропной перегонки. Предпочтительным растворителем для реакции является тетрагидрофуран. Также предпочтительно проводить реакцию в сухой инертной атмосфере, например, с использованием газообразного сухого азота или аргона. Используемый в реакции цинк может быть цинковым порошком, полученным из коммерческого продукта, или же может быть свежеприготовленным in situ путем генерирования восстановлением галогенида цинка (например, хлорида цинка) с применением лития, натрия или калия (см., например, R. D. Rieke, Acc. Chem. Res., 10, 301 (1977)). Перед применением цинковый порошок можно активировать путем перемешивания суспензии порошка в течение нескольких часов в подходящем растворителе, например, тетрагидрофуране. Реакцию можно необязательно проводить при дополнительном присутствии свинца. Полученный из коммерческого продукта цинковый порошок может содержать малые количества свинца в виде примеси, и содержание свинца может достигать примерно 2000 частей на миллион (0,20 вес.%) в зависимости от источника. Однако, обычно предпочтительно повысить содержание свинца путем его добавления в форме свинцового порошка к реакционной смеси. Свинцовый порошок доступен в продаже. Предпочтительно, когда используют свинец, его количество, присутствующее в растворе, составляет 2000 или более частей на миллион (0,2 вес.%) по отношению к количеству присутствующего цинка. Более предпочтительно, количество присутствующего свинца составляет от 2000 до 100000 частей на миллион (0,2-10 вес.%). Наиболее предпочтительно, количество присутствующего свинца составляет около 50000 частей на миллион (5 вес.%). Как правило, иод используют в его доступной в продаже кристаллической форме. Есть предположение, что его роль в реакции заключается в генерировании in situ иодида цинка, возможно вместе с иодидом свинца (II), когда также присутствует свинец, причем оба из них могут действовать как катализаторы. Когда используют иод, его можно вводить в реакционный сосуд перед тем, как добавляют соединения формул (II) и (III), во время этого или после. В альтернативном случае его можно добавить, по меньшей мере, в две стадии, например, одну часть можно добавить в реакционный сосуд раньше, а вторую часть можно добавить тогда, когда добавляют соединения по формулам (II) и (III). К кислотам Льюиса, подходящим для применения в реакциях, относятся хлорид цинка, бромид цинка, иодид цинка, изопропоксид титана (IV), триизопропоксихлортитан, тетрахлорид титана, триметилборат, трифторид бора (эфират), хлорид железа (III) и диэтилалюминийхлорид. Предпочтительными кислотами Льюиса являются бромид цинка, иодид цинка и, в особенности, хлорид цинка. Предпочтительно использовать иод, а не добавлять отдельно кислоту Льюиса. В вышеуказанном способе можно необязательно использовать и иод, и кислоту Льюиса. Реакцию можно проводить от -15oC до температуры дефлегмации смеси. Предпочтительно, ее проводят от -10oC до +30oC и, наиболее предпочтительно, от -10oC до +15oC. Почти с уверенностью можно сказать, что реакция протекает через образование цинкорганических частиц, полученных в реакции in situ между цинком и соединением формулы (III), которое используют как исходный материал. Реакцию можно провести по следующей общей методике. Иод и/или подходящую кислоту Льюиса добавляют к перемешиваемой смеси цинка, необязательно, свинца и подходящего апротонного органического растворителя. Смесь охлаждают и добавляют раствор соединения формулы (II), соединения формулы (III) и, необязательно, дополнительно иод в подходящем апротонном органическом растворителе, охлаждая смесь во время прибавления. Смесь перемешивают дополнительно короткое время, а затем нагревают до комнатной температуры. Реакцию гасят добавлением ледяной уксусной кислоты и затем воды, и после этого можно использовать обычные рабочие методики для того, чтобы выделить требуемый продукт. После этого процесса необязательно следует образование кислой или основной аддитивной соли продукта. Предпочтительно образование кислой аддитивной соли, и к подходящим солям относятся гидрохлоридные, гидробромидные, гидроиодидные, сульфатные, нитратные, метансульфонатные, камфорсульфонатные, R-(-)-10-камфорсульфонатные, (+)-3-бром-10-камфорсульфонатные, (-)-3-бром-8-камфорсульфонатные, фосфатные, пара-толуолсульфонатные и бензолсульфонатные соли. Особенно предпочтительна гидрохлоридная соль. Соединение формулы (I), полученное с помощью способа по изобретению, содержит два или более асимметричных атомов углерода и поэтому существует в четырех или более стереоизомерных формах. Как правило, реакция протекает с высокой стереоселективностью в пользу (2R,3S/2S,3R)-энантиомерной пары соединения формулы (I), то есть ![]() где звездочки (*) указывают на асимметричные атомы углерода, о которых идет речь. Разделение диастереоизомеров может быть достигнуто путем обычных методик, например, путем дробной кристаллизации, хроматографии или ВЭЖХ стереоизомерной смеси соединения формулы (I) или его подходящей соли, или производного. Разделение энантиомеров соединения формулы (I) может быть достигнуто путем ВЭЖХ соответствующего рацемата, с использованием подходящего хирального носителя, или же путем дробной кристаллизации диастереоизомерных солей, полученных реакцией соответствующего рацемата с подходящей оптически активной кислотой, например, с R-(-)-10-камфорсульфоновой кислотой. Способ, предпочтительно, используют для того, чтобы получить 3-(4-хлор-5-фторпиримидин-6-ил)-2-(2,4-дифторфенил)-1-(1H-1,2,4- триазол-1-ил)бутан-2-ол из исходных материалов – 1-(2,4-дифторфенил)-2-(1H-1,2,4-триазол-1-ил)этанона и 6-(1-бромэтил)-4-хлор-5-фторпиримидина. Высокая стереоселективность может быть достигнута, например, в реакции с мольным отношением 9: 1 между 2R,3S/2S,3R и 2R,3R/2S,3S-энантиомерными парами, которое получают, если тщательно контролировать условия реакции. Кроме того, достигнут, например, 65% суммарный выход всех выделенных энантиомеров (в виде гидрохлоридных солей). Продукт реакции, который содержит гораздо более высокую долю гидрохлорида (2R, 3S/2S, 3R)-3-(4-хлор-5-фторпиримидин-6-ил)-2-(2,4- дифторфенил)-1-(1H-1,2,4-триазол-1-ил)бутан-2-ола, можно восстановить, чтобы получить (2R, 3S/2S, 3R)-2-(2,4-дифторфенил)-3-(5- фторпиримидин-4-ил)-1-(1H-1,2,4-триазол-1-ил)бутан-2-ол, который можно разделить и получить (2R,3S)-2-(2,4-дифторфенил)-3-(5- фторпиримидин-4-ил)-1-(1H-1,2,4-триазол-1-ил)бутан-2-ол, по способу, описанному в публикации Европейской патентной заявки номер 0440372. По другому аспекту настоящего изобретения предлагается способ получения соединения формулы: ![]() или его кислой аддитивной соли, где R и R1 определены ранее для соединения формулы (I), и R2 представляет H или фтор; который включает стадии: (a) реакции соединения формулы: ![]() где R определен для соединения формулы (IV), с соединением формулы: ![]() где X – хлор, бром или иод, R1 и R2 определены ранее для соединения формулы (IV), и либо каждый из R3 и R4 независимо выбран из хлора или брома, либо один из R3 и R4 является хлором или бромом, а другой является H, в присутствии цинка, иода и/или кислоты Льюиса и апротонного органического растворителя, с получением соединения формулы: ![]() где R, R1, R2, R3 и R4 определены ранее для данной стадии (a); (b) необязательного превращения соединения формулы (IA) в его кислую аддитивную соль; (c) восстановления соединения формулы (IA) или его кислой аддитивной соли с получением соединения формулы (IV); и (d) необязательного превращения соединения формулы (IV) в его кислую аддитивную соль. Условия реакции, включая предпочтительные условия, которые используют на стадии (a), такие же, как описанные ранее для получения соединения формулы (I). Опять же, на стадии (a) также может необязательно присутствовать свинец. Восстановление на стадии (c) можно осуществить при любых условиях, пригодных для вытеснения водородом одной или нескольких групп R3/R4, где R3/R4 – хлор или бром. Восстановление можно осуществить при обычных условиях гидрирования, с использованием подходящего катализатора, например, палладия на угле, необязательно в присутствии подходящего основания, например, ацетата натрия, и в подходящем растворителе, например, в этаноле, в атмосфере водорода. Восстановление, предпочтительно, осуществляют в условиях гидрирования с переносом, с использованием подходящего катализатора, например, палладия или родия, подходящего донора водорода, например, формиата аммония или калия, и в подходящем растворителе, например, в метаноле. Реакцию, предпочтительно, проводят при температуре дефлегмации растворителя и в атмосфере азота. К примерам кислых аддитивных солей на стадии (b) относятся гидрохлоридные, нитратные, метансульфонатные, п-толуолсульфонатные, камфорсульфонатные, R-(-)-10-камфорсульфонатные, (+)-3-бром-10-камфорсульфонатные и (-)-3-бром-8-камфорсульфонатные соли. Предпочтительными кислыми аддитивными солями на стадии (b) являются гидрохлоридные, метансульфонатные и п-толуолсульфонатные соли. Предпочтительная кислая аддитивная соль на стадии (d) представляет R-(-)-10-камфорсульфонат, который можно использовать для разделения энантиомеров соединения формулы (IV). Для этой цели также можно генерировать и использовать S-(+)-10-камфорсульфонатную соль. В данном способе получения соединения формулы (IV): (I) R, предпочтительно, является фенилом, необязательно замещенным 1-3 галоген-заместителями. Более предпочтительно, R представляет фенил, замещенный 1 или 2 заместителями, каждый из которых независимо выбран из фтора и хлора. Еще более предпочтительно, R представляет фенил, замещенный 1 или 2 фтор-заместителями. Наиболее предпочтительно, R представляет 2,4-дифторфенил. (II) Предпочтительно, R1 представляет C1-C4-алкил. Более предпочтительно, R1 представляет метил или этил. Наиболее предпочтительно, R1 представляет метил. (III) Предпочтительно, X представляет бром или иод. Наиболее предпочтительно X представляет бром. (IV) Предпочтительно, R2 представляет фтор. (V) Предпочтительно, R3 представляет хлор и R4 представляет H, R3 представляет H и R4 представляет хлор, или же R3 и R4 оба являются хлором. (VI) К предпочтительным соединениям формулы (IIIA) относятся: 6-(1-бромэтил)-2,4-дихлор-5-фторпиримидин, 6-(1-бромэтил)-4-хлор-5-фторпиримидин, 6-(1-бромэтил)-2-хлор-5-фторпиримидин и 4-(1-бромэтил)-6-хлорпиримидин. (VII) К предпочтительным соединениям формулы (IA) относятся: 3-(4-хлор-5-фторпиримидин-6-ил)-2-(2,4-дифторфенил)-1-(1H-1,2,4- триазол-1-ил)бутан-2-ол, 3-(2-хлор-5-фторпиримидин-6-ил)-2-(2,4-дифторфенил)-1-(1H-1,2,4- триазол-1-ил)бутан-2-ол, 3-(2,4-дихлор-5-фторпиримидин-6-ил)-2-(2,4-дифторфенил)-1-(1H- 1,2,4-триазол-1-ил)бутан-2-ол и 3-(4-хлорпиримидин-6-ил)-2-(2,4-дифторфенил)-1-(1H-1,2,4- триазол-1-ил)бутан-2-ол, и их кислые аддитивные соли, в частности, гидрохлоридные, метансульфонатные и п-толуолсульфонатные соли. (VIII) К предпочтительным соединениям формулы (IV) относятся: 2-(2,4-дифторфенил)-3-(5-фторпиримидин-4-ил)-1-(1H-1,2,4- триазол-1-ил)бутан-2-ол и 2-(2,4-дифторфенил)-3-(пиримидин-4-ил)-1-(1H-1,2,4-триазол-1- ил)бутан-2-ол и их кислые аддитивные соли, в частности, S-(+)- или R-(-)-10-камфорсульфонатные соли. Синтезы исходных материалов, используемых в способе по настоящему изобретению, являются обычными, и надлежащие реагенты и условия реакции для их получения, а также методики выделения требуемых продуктов хорошо известны специалистам со ссылками на литературные источники и примеры синтеза, приведенные в описании. Кроме того, в настоящем изобретении предлагаются следующие новые соединения: (I) (2R, 3S)-3-(4-хлор-5-фторпиримидин-6-ил)-2-(2,4-дифторфенил)- 1-(1H-1,2,4-триазол-1-ил)бутан-2-ол (II) кислая аддитивная соль (2R,3S/2S,3R)- или (2R,3S)-3-(4-хлор-5-фторпиримидин-6-ил)-2-(2,4-дифторфенил)-1-(1H- 1,2,4-триазол-1-ил)бутан-2-ола и, предпочтительно, гидрохлоридная, нитратная, метансульфонатная, п-толуолсульфонатная, камфорсульфонатная, R-(-)-10-камфорсульфонатная, (+)-3-бром-10-камфорсульфонатная или (-)-3-бром-8-камфорсульфонатная соль; (III) 3-(2,4-дихлор-5-фторпиримидин-6-ил)-2-(2,4-дифторфенил)- 1-(1H-1,2,4-триазол-1-ил)бутан-2-ол или же его (2R,3S/2S,3R)- или (2R,3S)-форма, или же кислая аддитивная соль любого из них; (IV) 3-(2-хлор-5-фторпиримидин-6-ил)-2-(2,4-дифторфенил)-1-(1H- 1,2,4-триазол-1-ил)бутан-2-ол или же его (2R,3S/2S,3R)- или (2R,3S)-форма, или же кислая аддитивная соль любого из них; (V) 3-(1-бензил-5-фторпиримидин-6-он-4-ил)-2-(2,4-дифторфенил)- 1-(1H-1,2,4-триазол-1-ил)бутан-2-ол или же его (2R,3S/2S,3R)- или (2R,3S)-форма, или же кислая аддитивная соль любого из них; (VI) 3-(4-хлорпиримидин-6-ил)-2-(2,4-дифторфенил)-1-(1H-1,2,4- триазол-1-ил)бутан-2-ол или же его (2R,3S/2S,3R)- или (2R,3S)-форма, или же кислая аддитивная соль любого из них; (VII) 6-(1-бромэтил)-2,4-дихлор-5-фторпиримидин; (VIII) 4-(1-бромэтил)-6-хлорпиримидин; (IX) 6-(1-бромэтил)-4-хлор-5-фторпиримидин; (X) 1-бензил-4-(1-бромэтил)-5-фторпиримидин-6-он; (XI) 6-(1-бромэтил)-2-хлор-5-фторпиримидин; (XII) 4-(1-бромэтил)-5-фторпиримидин; (XIII) 2-хлор-6-этил-5-фтор-4-гидроксипиримидин, аммонийная соль. Следующие примеры иллюстрируют способ по настоящему изобретению. Пример 1 9: 1*(2R, 3S/2S, 3R)-:(2R,3R/2S,3S)-3-(4-хлор-5-фторпиримидин-6-ил)- 2-(2,4-дифторфенил)-1-(1H-1,2,4-триазол-1-ил)бутан-2-ол гидрохлорид (* отношение in situ) ![]() Перемешиваемую смесь цинкового порошка (Britannia Alloys) (9,35 кг), свинца (меш 325, Aldrich) и тетрагидрофурана (53 л) нагревают с обратным холодильником в атмосфере азота в течение 3 часов. После этого смесь охлаждают до 25oC и продолжают перемешивание 16 часов. В течение 80 минут добавляют раствор иода (7,24 кг) в тетрагидрофуране (21 л) и допускают подъем температуры реакции во время добавления до 45oC. Затем смесь охлаждают от 0 до -5oC. Затем добавляют раствор 1-(2,4-дифторфенил)-2-(1H-1,2,4-триазол-1-ил)этанона (6,53 кг) и 6-(1-бромэтил)-4-хлор-5-фторпиримидина (см. синтез 1) (7,01 кг) в тетрагидрофуране (53 л), поддерживая во время добавления температуру реакции ниже +5oC. Смесь нагревают до 25oC и добавляют ледяную уксусную кислоту (8,84 кг) и воду (84 л). Твердые металлические остатки отделяют декантацией и 60 литров тетрагидрофурана удаляют перегонкой при пониженном давлении. Добавляют этилацетат (76 кг) и перегонку продолжают до удаления 165 л растворителя. Смесь охлаждают и экстрагируют этилацетатом (2 х 84 л). Объединенные экстракты промывают раствором дигидрата динатрийэтилендиаминтетраацетата (3,22 кг) в воде (161 л), а затем насыщенным соляным раствором (30 л). Соотношение между энантиомерными парами, содержащимися в органическом слое, определяют путем анализа ВЭЖХ с использованием 25-сантиметровой колонки с обращенными фазами C18 Dynamax 60 ангстрем, причем подвижная фаза состоит из смеси ацетонитрил:вода 65:35 по объему и имеет расход 1 мл/мин. Детектор устанавливают на 254 нм. Данный анализ показывает мольное отношение 9: 1 между 2R, 3S/2S, 3R- (ВУ = 5,53 мин) и 2R,3R/2S,3S- (ВУ = 4,47 мин.) энантиомерной парой свободного основания указанного в заголовке соединения. Органический слой концентрируют до объема 56 литров и при 25oC добавляют раствор хлористого водорода (1,2 кг) в изопропаноле (6 л). Указанное в заголовке соединение выпадает в осадок в виде твердого вещества. Его собирают фильтрованием, промывают этилацетатом (5 л) и сушат (7,89 кг, 65%), т. пл. 126-130oC. Пример 2 10,3: 1*(2R, 3S/2S,3R)-:(2R,3R/2S,3S)-3-(4-хлор-5-фторпиримидин- 6-ил)-2-(2,4-дифторфенил)-1-(1H-1,2,4-триазол-1-ил)бутан-2-ол (* отношение in situ) ![]() К перемешиваемой суспензии цинка (Britannia Alloys) (3,00 г) и свинца (0,15 г) в тетрагидрофуране (19 мл) в атмосфере азота при 25oC по каплям добавляют раствор иода (2,25 г) в тетрагидрофуране (6 мл). Допускают подъем температуры реакции во время добавления. Затем смесь охлаждают до 2oC. По каплям в течение 10 минут добавляют раствор 1-(2,4-дифторфенил)-2-(1H-1,2,4-триазол-1-ил)этанона (2,00 г), 6-(1-бромэтил)-4-хлор-5-фторпиримидина (см. синтез 1) (2,84 г) и иода (0,02 г) в тетрагидрофуране (16 мл). Во время прибавления температуру реакции ограничивают до максимально 16oC охлаждением. Затем дополнительно охлаждают для достижения температуры ниже +5oC. Реакционную смесь перемешивают при температуре ниже +5oC в течение 30 минут. Отбирают пробу реакционной смеси и подвергают ее анализу BЭЖX в соответствии с условиями, представленными в примере 1. Анализ показывает мольное отношение 10,3:1 между 2R,3S/2S,3R- и 2R,3R/2S,3S-энантиомерной парой указанного в заголовке соединения. Выход 2R,3S/2S,3R-энантиомерной пары рассчитывают как 90% с использованием внутреннего стандарта. Пример 3 11,2: 1*(2R, 3S/2S,3R)-:(2R,3R/2S,3S)-3-(4-хлор-5-фторпиримидин- 6-ил)-2-(2,4-дифторфенил)-1-(1H-1,2,4-триазол-1-ил)бутан-2-ол гидрохлорид (* отношение в выделенном продукте [отношение in situ = 6,7:1]) ![]() Цинковую пыль (Britannia Alloys) (37,9 г), свинец (1,9 г) и хлорид цинка (16,2 г) перемешивают при 2oC в атмосфере азота в тетрагидрофуране (320 мл). В течение 5 минут по каплям прибавляют раствор 1-(2,4-дифторфенил)-2-(1H-1,2,4-триазол-1-ил)этанона (26,6 г) и 6-(1-бромэтил)-4-хлор-5-фторпиримидина (см. синтез 1) (40 г) в тетрагидрофуране (215 мл). Температуру реакции поддерживают ниже 12oC, используя охлаждение. Реакционную смесь перемешивают при температуре ниже +10oC в течение 3 часов и при температуре окружающей среды в течение ночи. Завершение реакции подтверждают ВЭЖХ с использованием условий, представленных в примере 1. Анализ показывает мольное отношение 6,7: 1 между 2R,3S/2S,3R- и 2R,3R/2S,3S-энантиомерной парой свободного основания указанного в заголовке соединения. После этого добавляют ледяную уксусную кислоту (8 г) и воду (400 мл), поддерживая температуру реакции ниже 25oC, и смесь перемешивают в течение 15 минут. Твердые металлические остатки удаляют декантацией. Смесь подщелачивают до pH 10 насыщенным водным раствором карбоната натрия (600 мл) и доводят назад до pH 8,0 5 М водным раствором соляной кислоты (15 мл). Твердые вещества отфильтровывают и тетрагидрофуран удаляют перегонкой при пониженном давлении. Смесь экстрагируют этилацетатом (2 х 400 мл). Органические фазы объединяют и промывают водой (400 мл), 2%-ным (вес/объем) раствором динатриевой соли этилендиаминтетрауксусной кислоты в воде (800 мл), а затем водой (400 мл). Этилацетатный слой концентрируют до масла. Масло растворяют в этилацетате (225 мл) и добавляют 5,75 М раствор хлористого водорода в изопропаноле (20 мл). Суспензию гранулируют при 20oC в течение 1 часа и при 0oC в течение 1 часа. Неочищенное соединение, указанное в заголовке, выделяют фильтрованием и сушат при пониженном давлении при 50oC (39,9 г). Анализ ВЭЖХ в соответствии с условиями, представленными в примере 1, показывает, что доля указанного в заголовке соединения в неочищенном продукте составляет 93,9 вес.%. Пример 4 10,2: 1*(2R, 3S/2S,3R)-:(2R,3R/2S,3S)-3-(4-хлор-5-фторпиримидин- 6-ил)-2-(2,4-дифторфенил)-1-(1H-1,2,4-триазол-1-ил)бутан-2-ол (* отношение in situ) ![]() Смесь цинковой пыли (Britannia Alloys) (3,00 г) и теграгидрофурана (20 мл) перемешивают в течение ночи при комнатной температуре, а затем по каплям в течение 3 минут добавляют раствор иода (2,27 г) в тетрагидрофуране (6 мл). Во время добавления температура реакции поднимается до примерно 45oC, охлаждают до 5-10oC перед добавлением раствора 1-(2,4-дифторфенил)-2-(1H-1,2,4-триазол-1-ил)этанона (2,00 г) и 6-(1-бромэтил)-4-хлор-5-фторпиримидина (см. синтез 1) (2,9 г) в тетрагидрофуране (16 мл) (с использованием той же капельной воронки, которую применяли ранее для добавления иода) в течение 40 минут. После двух часов перемешивания отбирают пробу реакционной смеси и подвергают ее анализу ВЭЖХ с использованием условий, приведенных в примере 1. Сравнение со стандартами (см. пример 1) показывает, что реакционная смесь содержит мольное отношение 10,2:1 между 2R,3S/2S,3R- и 2R,3R/2S,3S-энантиомерной парой указанного в заголовке соединения. Рассчитанный полный выход составляет примерно 72%. Дополнительное исследование через один час показывает малое отклонение от вышеуказанной ситуации. В этот момент реакцию прекращают и больше не оценивают. Пример 5 9,4: 1*(2R,3S/2S,3R)-:(2R,3R/2S,3S)-3-(4-хлор-5-фторпиримидин- 6-ил)-2-(2,4-дифторфенил)-1-(1H-1,2,4-триазол-1-ил)бутан-2-ол (* отношение in situ) ![]() Раствор иода (2,04 г) в тетрагидрофуране (6 мл) по каплям добавляют к перемешиваемой суспензии цинка (Britannia Alloys) (3,00 г) в тетрагидрофуране (19 мл) в атмосфере азота при 25oC. Во время прибавления допускают рост температуры. После этого смесь охлаждают до 2oC. По каплям в течение 10 минут добавляют раствор 1-(2,4-дифторфенил)-2-(1H-1,2,4-триазол-1-ил)этанона (2,00 г), 6-(1-бромэтил)-4-хлор-5-фторпиримидина (см. синтез 1) (3,00 г) и иода (0,23 г) в тетрагидрофуране (16 мл), поддерживая температуру ниже +5oC с использованием охлаждения. Реакционную смесь перемешивают при температуре ниже +5oC в течение 30 минут. Отбирают пробу реакционной смеси и подвергают ее анализу ВЭЖХ в соответствии с условиями, представленными в примере 1. Анализ показывает мольное отношение 9,4:1 между 2R,3S/2S,3R- и 2R,3R/2S, 3S-энантиомерной парой указанного в заголовке соединения. Выход 2R,3S/2S, 3R-энантиомерной пары рассчитывают как 77% с использованием внутреннего стандарта. Пример 6 10,2: 1*(2R, 3S/2S,3R)-:(2R,3R/2S,3S)-3-(4-хлор-5-фторпиримидин- 6-ил)-2-(2,4-дифторфенил)-1-(1H-1,2,4-триазол-1-ил)бутан-2-ол (* отношение in situ) ![]() Раствор иода (2,20 г) в тетрагидрофуране (6 мл) по каплям добавляют к перемешиваемой суспензии цинка (Britannia Alloys) (3,00 г) в тетрагидрофуране (19 мл) в атмосфере азота при 25oC. Во время прибавления допускают рост температуры. После этого смесь охлаждают до 2oC. По каплям в течение 10 минут добавляют раствор 1-(2,4-дифторфенил)-2-(1H-1,2,4-триазол-1-ил)этанона (2,00 г) и 6-(1-бромэтил)-4-хлор-5-фторпиримидина (см. синтез 1) (2,84 г) в тетрагидрофуране (16 мл). В течение первых 2 минут данного прибавления также добавляют раствор иода (0,07 г) в тетрагидрофуране (4 мл). Для поддержания температуры реакции ниже +5oC используют охлаждение. Реакционную смесь перемешивают при температуре ниже +5oC в течение 30 минут. Отбирают пробу реакционной смеси и подвергают ее анализу ВЭЖХ в соответствии с условиями, представленными в примере 1. Анализ показывает мольное отношение 10,2:1 между 2R, 3S/2S, 3R- и 2R,3R/2S,3S-энантиомерной парой указанного в заголовке соединения. Выход 2R,3S/2S,3R-энантиомерной пары рассчитывают как 87% с использованием внутреннего стандарта. Пример 7 64: 1*(2R, 3S/2S,3R)-:(2R,3R/2S,3S)-3-(4-хлор-5-фторпиримидин- 6-ил)-2-(2,4-дифторфенил)-1-(1H-1,2,4-триазол-1-ил)бутан-2-ол гидрохлорид (* отношение in situ) ![]() Раствор иода (20,52 г) в тетрагидрофуране (65 мл) по каплям добавляют к перемешиваемой суспензии цинковой пыли (28,6 г) в тетрагидрофуране (160 мл) в атмосфере азота при 20oC. Допускают рост температуры реакции до 25oC. После этого смесь охлаждают до 0-5oC. По каплям в течение 75 минут добавляют раствор 1-(2,4-дифторфенил)-2-(1H-1,2,4-триазол-1-ил)этанона (20,0 г), 6-(1-бромэтил)-4-хлор-5-фторпиримидина (см. синтез 1) (23,6 г) и иода (2,28 г) в тетрагидрофуране (160 мл), поддерживая температуру реакции от 0oC до +5oC с использованием охлаждения. Реакционную смесь перемешивают при температуре ниже +5oC в течение 30 минут. В завершении реакции убеждаются с помощью ВЭЖХ, используя условия, представленные в примере 1. Анализ показывает, что стехиометрический выход 2R,3S/2S,3R-энантиомерной пары составляет 88%. После этого добавляют ледяную уксусную кислоту (5,4 мл) и воду (260 мл), поддерживая температуру ниже 25oC. Твердые металлические остатки удаляют декантацией. Смесь подщелачивают до pH 10 насыщенным водным раствором карбоната натрия (180 мл) и затем доводят до pH 8,0 5М водным раствором соляной кислоты. Твердые вещества отфильтровывают и тетрагидрофуран удаляют перегонкой при пониженном давлении. Добавляют этилацетат (260 мл) и смесь перемешивают 10 минут. Органический слой отделяют и водную фазу экстрагируют этилацетатом (86 мл). Органические фазы объединяют и промывают 2%-ным (вес/объем) раствором динатриевой соли этилендиаминтетрауксусной кислоты в воде (286 мл), водой (139 мл) и насыщенным соляным раствором (52 мл). Этилацетатный слой концентрируют до объема 150 мл. Добавляют раствор сульфосалициловой кислоты (1,86 г) в изопропаноле (5 мл) и суспензию гранулируют при 20oC в течение 2 часов. Твердое вещество отфильтровывают и промывают этилацетатом (2 х 3 мл). К фильтрату добавляют 6 М раствор хлористого водорода в изопропаноле (мольное отношение 1,1 для количества продукта и 1-(2,4-дифторфенил)-2-(1H-1,2,4-триазол-1-ил)этанона в фильтрате) и суспензию гранулируют при 25oC в течение 2 часов и еще один час при 0-2oC. Неочищенное соединение, указанное в заголовке, выделяют фильтрованием, промывают этилацетатом (20 мл) и сушат при пониженном давлении при 50oC. Выход по массе составляет 30 г. Анализ методом ВЭЖХ в соответствии с условиями, представленными в примере 1, показывает, что продукт содержит 2R,3S/2S,3R-энантиомерную пару указанного в заголовке соединения при стехиометрическом выходе 75,7 вес.%. Пример 8 5,5: 1*(2R, 3S/2S, 3R)-:(2R,3R/2S,3S)-3-(2,4-дихлор-5-фторпиримидин- 6-ил)-2-(2,4-дифторфенил)-1-(1H-1,2,4-триазол-1-ил)бутан-2-ол (* отношение в выделенном продукте). ![]() Перемешиваемую смесь цинкового порошка (Britannia Alloys) (78,6 г), свинцового порошка (Aldrich) (3,9 г) и тетрагидрофурана (450 мл) выдерживают при 20oC в течение 17 часов, а затем обрабатывают раствором иода (153 г) в тетрагидрофуране (450 мл), поддерживая температуру ниже 45oC с использованием охлаждения. Затем смесь охлаждают до 30oC и добавляют раствор 1-(2,4-дифторфенил)-2-(1H-1,2,4-триазол-1-ил)этанона (134,7 г) и 6-(1-бромэтил)-2,4-дихлор-5-фторпиримидина (см. синтез 3) (82,4 г) в тетрагидрофуране (300 мл), поддерживая температуру от -3 до -5oC. Смесь нагревают до 30oC и выдерживают при данной температуре в течение 2 часов, а затем гасят ледяной уксусной кислотой (150 мл) и водой (750 мл). Надосадочную жидкость декантируют с металлических остатков и тетрагидрофуран удаляют концентрированием при пониженном давлении. Добавляют этилацетат (2,5 л) и смесь подщелачивают добавлением насыщенного водного раствора карбоната натрия (1,5 л). Смесь гранулируют при 20oC в течение 30 минут и выпавший в осадок карбонат цинка удаляют фильтрованием. Органический слой в фильтрате отделяют, промывают водой (2 х 2,0 л) и концентрируют при пониженном давлении. Полученный раствор обрабатывают раствором дигидрата 5-сульфосалициловой кислоты (107,5 г) в изопропаноле (215 мл). После грануляции в течение 1 часа при 20oC выпавший в осадок сульфосалицилат 1-(2,4-дифторфенил)-2-(1H-1,2,4-триазол-1-ил)этанона удаляют фильтрованием. Фильтрат промывают 5% (в/о) водным раствором дигидрата динатриевой соли этилендиаминтетрауксусной кислоты (2 х 500 мл), водой (500 мл) и затем концентрируют при пониженном давлении с получением неочищенного продукта в виде сиропа (123,8 г). Анализ методом ВЭЖХ с использованием условий, представленных в примере 1, показывает, что продукт содержит мольное отношение 5,5:1 между 2R,3S/2S, 3R- (ВУ = 7,1 мин) и 2R,3R/2S,3S- (ВУ = 5,6 мин.) энантиомерной парой указанного в заголовке соединения. 1H-ЯМР (300 МГц, CDCl3): = 1,06 (д, 3H), 3,95 (кв, 1H), 4,34 (д, 1H), 4,70 (д, 1H), 5,55 (с шир., 1H), 6,65-6,80 (м, 2H), 7,45-7,56 (м, 1H), 7,55 (с, 1H), 7,93 (с, 1H) м.д.
Пример 99,2: 1*(2R, 3S/2S,3R)-:(2R,3R/2S,3S)-3-(1-бензил-5-фторпиримидин- 6-он-4-ил)-2-(2,4-дифторфенил)-1-(1H-1,2,4-триазол-1-ил)бутан-2-ол (* отношение в выделенном продукте) ![]() Перемешиваемую смесь цинковой пыли (Pasminco) (573 мг), свинцового порошка (29 мг) и тетрагидрофурана (6 мл) выдерживают при комнатной температуре в течение 18 часов, а затем добавляют раствор иода (370 мг) в тетрагидрофуране (2 мл). После этого к смеси в течение 10 минут прибавляют по каплям раствор 1-(2,4-дифторфенил)-2-(1H-1,2,4-триазол-1-ил)этанона (653 мг) и 1-бензил-4-(1-бромэтил)-5-фторпиримидин-6-она (см. синтез 5) (1,00 г) в тетрагидрофуране (7 мл). Реакционную смесь нагревают до примерно 40oC в течение 1 часа, а затем охлаждают и гасят ледяной уксусной кислотой (1 мл) и водой (10 мл). Смесь распределяют между водой и этилацетатом, органический слой отделяют и промывают водным раствором бикарбоната калия, а затем рассолом, после чего сушат (MgSO4) и концентрируют при пониженном давлении. Остаток хроматографируют на силикагеле, элюируя смесью гексан:этилацетат (используют градиент растворителя от 4:1 до 1:1 до 0:1 по объему), и получают продукт в виде белого твердого вещества (519 мг, 39%). Анализ методом ВЭЖХ с использованием условий, представленных в примере 1, показывает, что продукт содержит мольное отношение 9,2:1 между 2R,3S/2S, 3R- (ВУ = 3,78 мин) и 2R,3R/2S,3S- (ВУ = 5,28 мин) энантиомерной парой указанного в заголовке соединения. 1H-ЯМР (300 МГц, CDCl3): = 1,02 (д, 3H), 3,91 (кв, 1H), 4,30 (д, 1H), 4,78 (д, 1H), 5,12 (д, 1H), 5,19 (д, 1H), 5,95 (с, 1H), 6,72-6,86 (м, 2H), 7,30-7,56 (м, 7H), 7,89 (с, 1H), 8,00 (с, 1H) м.д.
Пример 1012,5: 1*(2R, 3S/2S,3R)-:(2R,3R/2S,3S)-3-(4-хлорпиримидин-6-ил)- 2-(2,4-дифторфенил)-1-(1H-1,2,4-триазол-1-ил)бутан-2-ол (* отношение in situ) ![]() Смесь цинковой пыли (Britannia Alloys) (249 г), свинцового порошка (12,3 г) и тетрагидрофурана (760 мл) перемешивают в течение ночи при комнатной температуре, а затем по каплям добавляют раствор иода (203,4 г) в тетрагидрофуране (650 мл). Во время прибавления температура реакции поднимается до примерно 45oC. Затем ее охлаждают до 5-10oC и в течение 30 минут, поддерживая температуру ниже 55oC, добавляют раствор 1-(2,4-дифторфенил)-2-(1H-1,2,4-триазол-1-ил)этанона (199 г), 4-(1-бромэтил)-6-хлорпиримидина (293 г неочищенного продукта из синтеза 6: расчетное содержание 217 г этого пиримидина) и иода (22,6 г) в тетрагидрофуране (1600 мл). Через 1 час отбирают пробу реакционной смеси и подвергают ее анализу методом ВЭЖХ с использованием условий, представленных в примере 1. Было определено, что мольное отношение между 2R, 3S/2S, 3R- (время удерживания 4,23 мин) и 2R,3R/2S,3S- (время удерживания 3,4 мин) энантиомерной парой составляет 12,5:1. Реакционную смесь охлаждают до 20oC и гасят добавлением ледяной уксусной кислоты (56 г) и воды (180 мл). Остатки цинка удаляют фильтрованием и раствор обрабатывают водным раствором карбоната натрия до тех пор, пока смесь не достигнет pH 10. Затем pH снижают до 7,5 разбавленным водным раствором соляной кислоты и осадившийся карбонат цинка удаляют фильтрованием. Раствор концентрируют при пониженном давлении для удаления большей части растворителя тетрагидрофурана и получения водной суспензии, которую экстрагируют дихлорметаном (2 х 500 мл). Органические фазы объединяют и промывают 5% (в/в) водным раствором динатриевой соли этилендиаминтетрауксусной кислоты (2 х 500 мл). После концентрирования органической фазы при пониженном давлении остаток перекристаллизовывают из изопропанолового спирта (2,5 литра) и твердое вещество собирают фильтрованием. После сушки при 50oC при пониженном давлении продукт (140 г) анализируют методом ВЭЖХ, и было показано, что он содержит 91 вес. % (2R,3S/2S,3R)-энантиомерной пары указанного в заголовке соединения. 1H-ЯМР (300 МГц, CDCl3): 1,1 (д, 3H), 3,65 (кв, 1H), 4,15 (д, 1H), 4,8 (д, 1H), 6,15 (с, 1H), 6,8 (м, 2H), 7,5 (с, 1H), 7,55 (м, 1H), 7,65 (с, 1H), 7,9 (с, 1H), 8,9 (с, 1H) м.д.
Следующие синтезы иллюстрируют получение определенных исходных материалов, используемых в предыдущих примерах, вместе с дополнительной переработкой определенных соединений по данным примерам.
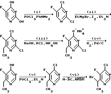
Синтез 16-(1-бромэтил)-4-хлор-5-фторпиримидин ![]() (i) 2,4-Дихлор-5-фторпиримидин Перемешиваемую смесь 5-фторурацила (111,5 кг) и хлорокиси фосфора (394,6 кг) нагревают до 95oC и добавляют N,N-диметиланилин (207 кг) в течение 1 часа, во время чего отмечается выделение тепла. Смесь выдерживают при 95oC в течение 15 часов, затем охлаждают до комнатной температуры и осторожно гасят в охлажденном льдом 3 н водном растворе соляной кислоты (450 л) в течение 4 часов, поддерживая во время этой операции температуру ниже 30oC. Смесь экстрагируют дихлорметаном (2 х 390 л), объединенные экстракты промывают водой (280 л) до тех пор, пока водные промывки не достигнут pH 7, и концентрируют при пониженном давлении. Остаток вносят в диметоксиэтан (190 л) и раствор продукта используют непосредственно на следующей стадии. 1H ЯМР (300 МГц, CDCl3): = 8,5 (с, 1H) м.д.
(ii) 2,4-Дихлор-6-этил-5-фторпиримидинК перемешиваемой смеси магниевых стружек (12,1 кг) в тетрагидрофуране (161 л) добавляют раствор бромэтана (54,3 кг) в тетрагидрофуране (53 л), поддерживая температуру реакции ниже 50oC во время прибавления. Раствор реактива Гриньяра охлаждают до 0oC и добавляют раствор соединения из раздела (i) (56 кг) в диметоксиэтане (170 л), поддерживая во время прибавления температуру реакции ниже 15oC. Реакционную смесь перемешивают 1 час при 15oC и охлаждают до 0oC. Добавляют раствор триэтиламина (34 кг) в тетрагидрофуране (70 л), поддерживая температуру реакции около 5oC, а затем раствор иода (85 кг) в тетрагидрофуране (256 л), поддерживая температуру реакции ниже 15oC. После этого реакцию гасят водой (840 л), поддерживая температуру реакции ниже 25oC. Доводят pH до 1, используя 5 н водный раствор соляной кислоты (50 л), и смесь экстрагируют толуолом (1 х 490 л, затем 1 х 210 л). Объединенные органические слои промывают 2% (в/в) водным раствором метабисульфита натрия (700 л), затем добавляют воду (700 л) и оставшийся тетрагидрофуран удаляют перегонкой при пониженном давлении. Смесь охлаждают, органический слой отделяют, промывают водой (425 л), а затем концентрируют при пониженном давлении с получением продукта в виде масла (50 кг). (iii) 2-Хлор-6-этил-5-фтор-4-гидроксипиримидин, аммонийная соль Смесь соединения из раздела (ii) (40 кг) и воды (10 кг) нагревают до 90oC и добавляют 4 н водный раствор гидроксида натрия (127 л). Нагрев продолжают при 80oC в течение 30 минут, а затем смесь охлаждают до 25oC. Смесь промывают толуолом (124 л), водный слой отделяют и к нему добавляют дихлорметан (162 л). К этой смеси добавляют концентрированную соляную кислоту до тех пор, пока не достигнут pH 1. Органический слой отделяют и водный слой экстрагируют дихлорметаном (162 л). Объединенные органические слои обрабатывают активированным углем (торговая марка Norit) (8,8 кг). Раствор фильтруют и фильтрат обрабатывают концентрированным водным раствором аммиака до тех пор, пока не будет достигнут pH 9. Продукт осаждается в виде твердого вещества и его собирают фильтрованием (34 кг), т. пл. 125-131oC. (iv) 6-Этил-5-фтор-4-гидроксипиримидин К смеси соединения из раздела (iii) (34 кг), этанола (170 л) и воды (5 кг) добавляют 5% (в/в) палладия на угле (содержание воды 50% в/в) (3,4 кг) и смесь гидрируют при 50oC и 345 кПа (50 фунт/кв. дюйм) до завершения реакции. Добавляют воду (10,5 л) и катализатор удаляют фильтрованием. Фильтрат концентрируют при пониженном давлении до небольшого объема и экстрагируют дихлорметаном (2 х 58 л). Объединенные органические экстракты концентрируют при пониженном давлении и добавляют толуол (150 л). Смесь концентрируют при пониженном давлении до объема 50 л, добавляют толуол (50 л) и охлаждают до 4oC в течение 4 часов. Выпавший в осадок продукт собирают фильтрованием, промывают толуолом (10 л) и сушат (выход = 20 кг), т. пл. 112-4oC. 1H ЯМР (300 МГц, CDCl3): = 1,25 (м, 3H), 2,73 (м, 2H), 8,00 (с, 1H) м. д.
(v) 4-Хлор-6-этил-5-фторпиримидинК смеси соединения из раздела (iv) (40 кг), дихлорметана (120 л) и триэтиламина (28,4 г) медленно добавляют в течение 3 часов хлорокись фосфора (47,2 кг), поддерживая во время добавления температуру реакции ниже 40oC. Смесь нагревают с обратным холодильником в течение 5 часов, охлаждают до 25oC и осторожно гасят в 3 н водном растворе соляной кислоты (176 л), поддерживая во время этой операции температуру ниже 20oC. Слои разделяют, водную фазу экстрагируют дихлорметаном (50 л) и объединенные органические слои промывают водой (50 л). Органический слой концентрируют при пониженном давлении и получают продукт в виде масла (40,69 кг). 1H ЯМР (300 МГц, CDCl3): = 1,30 (т, 3H), 2,87 (кв, 2H), 8,65 (с, 1H) м.д.
(vi) 6-(1-Бромэтил)-4-хлор-5-фторпиримидинПеремешиваемую смесь соединения из раздела (v) (38,5 кг), азоизобутиронитрила (АИБН) (1,92 кг), N-бромсукцинимида (49 кг) и дихлорметана (198 л) нагревают с обратным холодильником в азоте в течение 12 часов. Смесь охлаждают до 25oС и добавляют воду (239 л). Слои разделяют и водный слой экстрагируют дихлорметаном (120 л). Объединенные органические слои промывают раствором метабисульфита натрия (22,8 кг) в воде (239 л), а затем водой (239 л). Органический слой концентрируют при пониженном давлении, добавляют толуол (240 л) и конечный раствор концентрируют при пониженном давлении с получением продукта в виде масла (61,7 кг). 1H ЯМР (300 МГц, CDCl3): = 2,08 (д, 3H), 5,35 (кв, 1H), 8,80 (с, 1H) м.д.
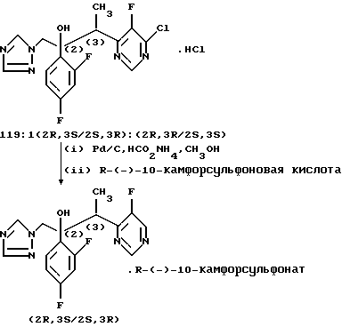
Синтез 2(2R, 3S)-2-(2,4-дифторфенил)-3-(5-фторпиримидин-4-ил)-1-(1H- 1,2,4-триазол-1-ил)бутан-2-ол ![]() (i) (2R,3S/2S,3R)-2-(2,4-дифторфенил)-3-(5-фторпиримидин-4-ил)- 1-(1H-1,2,4-триазол-1-ил)бутан-2-ол Перемешиваемую смесь продукта, полученного по методике из примера 1 (26,5 кг), дихлорметана (400 л) и воды (184 л) доводят до pH 11 40% (в/в) водным раствором гидроксида натрия (10 л). Органический слой отделяют, промывают раствором дигидрата динатриевой соли этилендиаминтетрауксусной кислоты (8,74 кг) в воде (183,5 л), затем водой (184 л), а затем концентрируют при пониженном давлении до масла. Его растворяют в этаноле (134 л), добавляют ацетат натрия (8 кг) и 5% (в/в) палладий на угле (содержание воды 50% в/в) (3,34 кг) и смесь гидрируют при 103 кПа (15 фунт/кв. дюйм) и 25oC до завершения реакции. Катализатор удаляют фильтрованием и фильтрат концентрируют до объема 51 литр. Добавляют дихлорметан (152 л) и воду (152 л) и pH доводят до 11 40% (вес/вес) водным раствором гидроксида натрия. Слои разделяют и водный слой экстрагируют дихлорметаном (61 л). Объединенные органические экстракты промывают водой (61 л), концентрируют при пониженном давлении, добавляют изопропанол (70 л) и концентрируют до объема 62 л. Смесь гранулируют в течение 3 часов при 20oC, собирают фильтрованием, промывают изопропанолом (2 х 5 л) и сушат с получением указанного в заголовке соединения в виде основной энантиомерной пары в продукте (19 кг), т. пл. 127oC. (ii) (2R, 3S)-2-(2,4-Дифторфенил)-3-(5-фторпиримидин-4-ил)-1-(1H- 1,2,4-триазол-1-ил)бутан-2-ол К раствору соединения из раздела (i) (18,93 кг) в ацетоне (426 л) добавляют раствор R-(-)-10-камфорсульфоновой кислоты (12,57 кг) в метаноле (142 л) и смесь нагревают с обратным холодильником до тех пор, пока не будет получен “гомогенный раствор. Раствор охлаждают до 20oC и гранулируют в течение ночи. Твердое вещество собирают фильтрованием, промывают ацетоном (9,35 кг) и сушат с получением R-(-)-10-камфорсульфоната (2R,3S)-2-(2,4-дифторфенил)- 3-(5-фторпиримидин-4-ил)-1-(1H-1,2,4-триазол-1-ил)бутан-2-ола в виде белого твердого вещества (12,3 кг). Вышеуказанную камфорсульфонатную соль (12,3 кг) помещают в дихлорметан (61,5 л) и воду (61,5 л) и pH доводят до 11 добавлением 40% (в/в) водного раствора гидроксида натрия (2,5 л). Слои разделяют и водный слой экстрагируют дихлорметаном (14 л). Объединенные органические экстракты промывают водой (3 х 45 л), фильтруют и растворители удаляют перегонкой при пониженном давлении. Добавляют изопропанол (30 л) и перегонку продолжают до тех пор, пока не будет достигнут объем 22 литра. Смесь охлаждают до 0oC и гранулируют в течение 2 часов. Продукт собирают фильтрованием и промывают изопропанолом (2 х 4 л) с получением указанного в заголовке соединения в виде белого твердого вещества (7,6 кг). Синтез 3 6-(1-Бромэтил)-2,4-дихлор-5-фторпиримидин ![]() (i) 2,4-Дихлор-6-этил-5-фторпиримидин К перемешиваемой смеси магниевых стружек (90,4 г) в тетрагидрофуране (1,04 л) добавляют раствор бромэтана (407 г) в тетрагидрофуране (1,04 л), поддерживая температуру реакции от 35 до 40oC. Раствор реактива Гриньяра перемешивают 30 минут при 20oC, охлаждают до 0oC и добавляют раствор соединения из синтеза 1 (i) (420 г) в диметоксиэтане (600 мл), поддерживая температуру реакции ниже 15oC. Смесь перемешивают 1 час при 15oC и охлаждают до 0oС. При 5oС добавляют раствор триэтиламина (254 г) в тетрагидрофуране (510 мл), а затем раствор иода (632 г) в тетрагидрофуране (1,92 л), поддерживая температуру ниже 15oC. Реакцию гасят водой (6 л), поддерживая температуру ниже 25oC. Смесь подкисляют до pH 1 5 н водным раствором соляной кислоты и экстрагируют этилацетатом (2 х 6 л). Объединенные органические экстракты промывают 10% (в/о) водным раствором метабисульфита натрия (12 л). Добавляют воду (4 л) и основную часть органического растворителя удаляют выпариванием при пониженном давлении. Слои разделяют и водный слой экстрагируют этилацетатом (2 л). Объединенные органические экстракты обрабатывают ледяной уксусной кислотой (400 мл) и концентрируют при пониженном давлении при 80oC. Смесь охлаждают до 20oC и масло распределяют между дихлорметаном (3 л) и 1 н водным раствором гидроксида натрия (3 л). Органический слой отделяют, промывают водой (3,0 л) и концентрируют при пониженном давлении с получением продукта в виде масла (402 г). 1H ЯМР (300 МГц, CDCl3): = 1,33 (т, 3H), 2,87 (д кв, 2H) м.д.
(ii) 6-(1-Бромэтил)-2,4-дихлор-5-фторпиримидинСмесь соединения из раздела (i) (400 г), N-бромсукцинимида (730 г), азоизобутиронитрила (33,7 г), брома (65,5 г) и воды (6,4 л) нагревают при 80-85oC в течение 5 часов. Добавляют дополнительное количество N-бромсукцинимида (183 г), нагревание продолжают 2 часа и затем добавляют дополнительное количество азоизобутиронитрила (33,7 г). После нагревания в течение 2 часов при 85oC добавляют дополнительное количество азоизобутиронитрила (33,7 г) и нагревание продолжают 3 часа. Реакционную смесь охлаждают, разбавляют водой (4 л) и экстрагируют дихлорметаном (2 х 3 л). Объединенные органические экстракты промывают раствором метабисульфита натрия (600 г) в воде (2,5 л), а затем водой (3 л). Растворитель удаляют выпариванием при пониженном давлении, добавляют толуол (1,0 л) и раствор концентрируют при пониженном давлении с получением продукта в виде масла (534 г). 1H ЯМР (300 МГц, CDCl3): = 2,05 (д, 3H), 5,06 (кв, 1H) м.д.
Синтез 4(2R, 3S)-2-(2,4-Дифторфенил)-3-(5-фторпиримидин-4-ил)-1-(1H-1,2,4- триазол-1-ил)бутан-2-ол ![]() (i) (2R,3S/2S,3R)-2-(2,4-Дифторфенил)-3-(5-фторпиримидин-4-ил)- 1-(1H-1,2,4-триазол-1-ил)бутан-2-ол Перемешиваемую смесь продукта, полученного по методике из примера 8 (123,8 г), ацетата натрия (27,4 г), 5% (в/в) палладия на угле (содержание воды 50% в/в) (18,6 г) и этанола (1,24 л) гидрируют при 50oC и 345 кПа (50 фунт/кв. дюйм) в течение 19 часов. Реакционную смесь охлаждают до 25oC и катализатор отфильтровывают и промывают этанолом (100 мл). Фильтрат концентрируют при пониженном давлении досуха и остаток распределяют между дихлорметаном (1,0 л) и 10% (в/о) водным раствором бикарбоната калия (1,0 л). Органический слой отделяют и промывают водой, а затем выпаривают при пониженном давлении досуха с получением указанного в заголовке соединения в виде основной энантиомерной пары в продукте. Ее непосредственно используют на следующей стадии. 1H ЯМР (300 МГц, d6-ДМСО): = 1,1 (д, 3H), 3,90 (кв, 1H), 4,33 (д, 1H), 4,80 (д, 1H), 6,87-6,93 (м, 1H), 7,10-7,20 (м, 1H), 7,21-7,34 (м, 1H), 7,60 (с, 1H), 8,21 (с, 1H), 8,82 (с, 1H), 9,02 (с, 1H) м.д.
(ii) (2R, 3S)-2-(2,4-Дифторфенил)-3-(5-фторпиримидин-4-ил)-1-(1H- 1,2,4-триазол-1-ил)бутан-2-олПродукт из раздела (i) помещают в ацетон (383 мл) и добавляют раствор (R)-(-)-камфор-10-сульфоновой кислоты (42,1 г) в ацетоне (300 мл). Смесь гранулируют при 20oC в течение 18 часов, а затем охлаждают до 0oC в течение 1 часа. Твердое вещество отфильтровывают и промывают холодным ацетоном (100 мл), а затем сушат с получением неочищенного камфорсульфонатного продукта (35,4 г). Анализ методом ВЭЖХ (колонка с обращенными фазами 25 см х 4,6 мм C18 Dynamax 60 ангстрем, подвижная фаза = ацетонитрил:вода 65:35 по объему, расход 1 мл/мин) показывает, что данный материал имеет химическую чистоту 91% и содержит мольное отношение 2R,3S и 2S,3R-энантиомерных пар, равное 63: 37. Эту частично разделенную соль (34 г) растворяют в смеси метанола (110 мл) и ацетона (329 мл), которую нагревают с обратным холодильником. Раствор медленно охлаждают до 20oC и гранулируют в течение ночи. Твердое вещество собирают фильтрованием, промывают ацетоном (50 мл) и сушат с получением R-(-)-камфор-10-сульфоната (2R,3S)-2-(2,4-дифторфенил)-3-(5-фторпиримидин-4-ил)-1-(1H-1,2,4- триазол-1-ил)бутан-2-ола в виде белых кристаллов (17,1 г), т. пл. 187oC. Анализ с помощью ВЭЖХ показывает, что данный материал имеет оптическую чистоту 100%. Соль (17 г) распределяют между дихлорметаном (85 мл) и водой (85 мл) и pH доводят до 11 добавлением 40% (в/в) водного раствора гидроксида натрия. Слои разделяют и водную фазу экстрагируют дихлорметаном (20 мл). Объединенные органические экстракты промывают водой (2 х 80 мл), фильтруют и растворитель удаляют выпариванием при пониженном давлении. Добавляют изопропанол (26 мл), раствор охлаждают до 0oC и гранулируют в течение 1 часа. Твердое вещество собирают фильтрованием, промывают холодным изопропанолом (5 мл) и сушат при пониженном давлении при 50oC с получением продукта (8,4 г), т. пл. 133oC. 1H ЯМР (300 МГц, d6-ДМСО): 1,10 (д, 3H), 3,90 (кв, 1H), 4,33 (д, 1H), 4,80 (д, 1H), 6,87-6,93 (м, 1H), 7,10-7,20 (м, 1H), 7,21-7,34 (м, 1H), 7,60 (с, 1H), 8,21 (с, 1H), 8,82 (с, 1H), 9,02 (с, 1H) м.д.
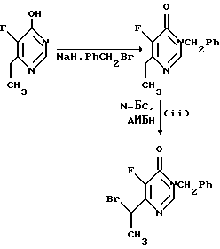
Синтез 51-Бензил-4-(1-бромэтил)-5-фторпиримидин-6-он ![]() (i) 1-Бензил-4-этил-5-фторпиримидин-6-он Гидрид натрия (60% в/в дисперсия в масле, 928 мг) растирают с гексаном и затем добавляют диметилформамид (30 мл). К этой смеси добавляют соединение из синтеза 1 (iv) (3 г) и после прекращения выделения газа – бензилбромид (2,51 мл). Смесь перемешивают в течение 1 часа, а затем гасят водой. Смесь распределяют между диэтиловым эфиром и водой, эфирный слой отделяют и промывают последовательно разбавленным раствором гидроксида натрия, рассолом и водой, после чего его концентрируют при пониженном давлении с получением требуемого продукта в виде белых кристаллов (4,04 г). По МСНР m/z = 232,9 (m)+. 1H ЯМР (300 МГц, CDCl3): = 1,22 (т, 3H), 2,63 (дв кв, 2H), 5,14 (с, 2H), 7,32-7,40 (м, 5H), 7,93 (с, 1H) м.д.
(ii) 1-Бензил-4-(1-бромэтил)-5-фторпиримидин-6-онСмесь соединения из синтеза 5 (i) (2 г), N-бромсукцинимида (1,76 г), азоизобутиронитрила (71 мг) и дихлорметана (20 мл) нагревают с обратным холодильником в азоте в течение 20 часов. Реакционную смесь охлаждают, промывают последовательно разбавленным водным раствором метабисульфита натрия, водой, а затем рассолом, после чего сушат (MgSO4) и концентрируют при пониженном давлении. Остаток хроматографируют на силикагеле, элюируя смесью этилацетат:гексан (1:7 по объему) с получением продукта в виде белого сиропа (1,60 г). По МСНР m/z = 310,9/312,9 (m)+. 1H ЯМР (300 МГц, CDCl3): = 1,94 (д, 3H), 5,07 (д, 1H), 5,17 (д, 1H), 5,30 (кв, 1H), 7,30-7,41 (м, 5H), 8,00 (с, 1H) м.д.
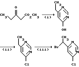
Синтез 64-(1-Бромэтил)-6-хлорпиримидин ![]() (i) 4-Этил-6-гидроксипиримидин Формамидинацетат (500 г) и метил 3-оксопентаноат (500 г) добавляют к раствору метоксида натрия (500 г) в метаноле (4 л) при 20oC и смесь перемешивают в течение 15 часов. Добавляют воду (1 л) и уксусную кислоту (500 мл) до достижения pH 7. Растворитель удаляют выпариванием при пониженном давлении и водный остаток разбавляют водой (1 л) и экстрагируют метилэтилкетоном (4 х 2,5 л). Органические фазы объединяют и концентрируют выпариванием при пониженном давлении с получением оранжевого сиропа. Сироп растворяют в этилацетате (1 л) и раствор перемешивают в течение 15 часов с получением твердого вещества. Твердое вещество собирают фильтрованием, промывают этилацетатом (200 мл при 10oC) и сушат при 50oC при пониженном давлении с получением указанного в заголовке соединения (183 г). После концентрирования маточных растворов при пониженном давлении добавляют диэтиловый эфир (3 л) и получают твердое вещество. Это твердое вещество собирают фильтрованием, промывают трет-бутилметиловым эфиром (200 мл) и сушат при 50oC при пониженном давлении с получением второй порции указанного в заголовке соединения. Суммарный выход указанного в заголовке соединения составляет примерно 79% (195 г). 1H ЯМР (300 МГц, D2O): = 1,02-1,12 (м, 3H), 1,89 (с, 1H), 2,41-2,55 (м, 2H), 6,21 (с, 1H), 8,16 (с, 1H) м.д.
(ii) 4-Хлор-6-этилпиримидинПродукт из синтеза 6 (i) (348 г) переводят в суспензию в дихлорметане (2,5 л) и добавляют триэтиламин (284 г). К смеси добавляют хлорокись фосфора (473 г) и выделение тепла доводит реакционную смесь до температуры перегонки. Температуру перегонки поддерживают в течение 4 часов, после чего реакционную смесь охлаждают до 20oC и гасят 1 н водным раствором соляной кислоты (2,2 л) при охлаждении (поддерживая температуру реакции при примерно 10oC). После отделения органической фазы водный слой экстрагируют дихлорметаном (1 л). Органические фазы объединяют и промывают водой (2 х 3 л). Раствор концентрируют при пониженном давлении и получают продукт (272 г, 80%-ная чистота по расчетам на основе 1H ЯМР) в виде темного масла. 1H ЯМР (300 МГц, CDCl3): = 1,31 (т, 3H), 2,80 (кв, 2H), 7,23 (с, 1H), 8,88 (с, 1H) м.д.
(iii) 4-(1-Бромэтил)-6-хлорпиримидинПродукт из синтеза 6 (ii) (212 г) растворяют в дихлорметане (2,1 л). Добавляют N-бромсукцинимид (305,3 г) и азоизобутиронитрил (10,6 г) и смесь нагревают с обратным холодильником в течение 24 часов. Добавляют воду (500 мл) и нагревание с обратным холодильником продолжают еще 1 час перед охлаждением смеси до 20oC. Органическую фазу отделяют, промывают водным раствором метабисульфита натрия (1 л), а затем промывают водой (1 л), органическую фазу сушат сульфатом магния (20 г) и выпаривают при пониженном давлении с получением неочищенного продукта, указанного в заголовке, в виде темного масла (312 г, чистота примерно 74% согласно расчету на основе 1H ЯМР), которое непосредственно используют в примере 10. 1H ЯМР (300 МГц, CDCl3): 2,03 (д, 3H), 5,04 (кв, 1H), 7,51 (с, 1H), 8,95 (с, 1H) м.д.
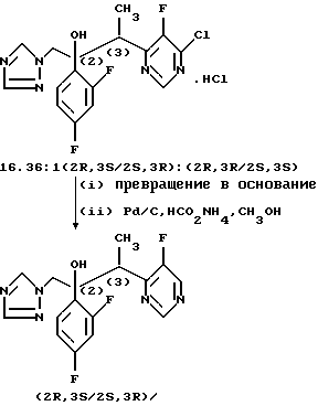
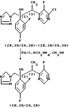
Синтез 7R-(-)-10-Камфорсульфонат (2R,3S/2S,3R)-2-(2,4-дифторфенил)-3-(5- фторпиримидин-4-ил)-1-(1H-1,2,4-триазол-1-ил)бутан-2-ола ![]() Гидрохлорид 119: 1 (2R,3S/2S,3R)-:(2R,3R/2S,3S)-3-(4-хлор-6- фторпиримидин-6-ил)-2-(2,4-дифторфенил)-1-(1H-1,2,4-триазол-1-ил)бутан-2-ола (40 г) растворяют в метаноле (360 мл). В атмосфере азота прибавляют 10%-ный (в/в) палладий на угле (содержание воды 50% в/в) (5,6 г) и формиат аммония (24 г). Реакционную смесь нагревают с обратным холодильником в течение 2 часов и охлаждают до 25oC. Фильтрованием удаляют катализатор и промывают метанолом (120 мл). Фильтрат разделяют на две части (2 х примерно 245 мл). Одну часть концентрируют при пониженном давлении и остаток растворяют в хлористом метилене (95 мл) и воде (95 мл) и перемешивают в течение 15 минут. Органический слой отделяют, промывают водой (2 х 60 мл) и концентрируют при пониженном давлении до масла. Добавляют изопропанол (100 мл) и смесь концентрируют при пониженном давлении. Добавляют изопропанол (90 мл) и смесь нагревают до 55oC с получением раствора. К этому раствору добавляют раствор R-(-)-10-камфорсульфоновой кислоты (10,75 г) в изопропаноле (21,5 мл). Полученную суспензию охлаждают до 25oC, гранулируют в течение 1 часа, охлаждают до 0oC и гранулируют еще 2 часа. Продукт выделяют фильтрованием, промывают холодным изопропанолом (2 х 20 мл) и сушат при пониженном давлении с получением указанного в заголовке соединения (23,7 г). Анализ методом ВЭЖХ с использованием условий, приведенных в примере 1, показывает, что продукт является чистым соединением, указанным в заголовке. Синтез 8 (2R, 3S/2S, 3R)-2-(2,4-Дифторфенил)-3-(5-фторпиримидин-4-ил)-1-(1H- 1,2,4-триазол-1-ил)бутан-2-ол ![]() Гидрохлорид 16,36: 1 (2R,3S/2S,3R)-:(2R,3R/2S,3S)-3-(4-хлор-5- фторпиримидин-6-ил)-2-(2,4-дифторфенил)-1-(1H-1,2,4-триазол-1-ил)бутан-2-ола (1,7 кг, содержащий растворитель; рассчитанная доля (2R,3S/2S,3R)-энантиомерной пары составляет 1,08 кг) добавляют к хлористому метилену (8,5 л) и воде (8,5 л) при перемешивании. Смесь подщелачивают до pH 11 40%-ным водным раствором гидроксида натрия и слои разделяют. Водную фазу экстрагируют хлористым метиленом (1,7 л). Объединенные органические экстракты промывают раствором дигидрата динатриевой соли этилендиаминтетрауксусной кислоты (425 г) в воде (8,5 л), а затем водой (2 х 5 л). Раствор в хлористом метилене разделяют на две неравные части. Обе части концентрируют при пониженном давлении с получением масел (содержащих 198 г и 980 г свободных оснований с учетом растворителя, согласно расчету на основе 1H ЯМР). Анализ методом ВЭЖХ с использованием условий, приведенных в примере 1, показывает, что масла содержат, соответственно, 76 и 69 вес. % (2R,3S/2S,3R)-3-(4-хлор-5-фторпиримидин- 6-ил)-2-(2,4-дифторфенил)-1-(1H-1,2,4-триазол-1-ил)бутан-2-ола. Образец “980 г” растворяют в метаноле (10 л) и в атмосфере азота добавляют 10%-ный (в/в) палладий на угле (содержание воды 50% в/в) (Johnson Matthey тип 87L) (69 г) и формиат аммония (322 г). Реакционную смесь нагревают с обратным холодильником в течение 3 часов и охлаждают до 40oC. Катализатор удаляют фильтрованием и фильтрат концентрируют до масла. К маслу добавляют хлористый метилен (5 л) и воду (5 л) и смесь энергично перемешивают. Слои разделяют и водный слой экстрагируют хлористым метиленом (1 л). Объединенные органические фазы промывают водой (2 х 3 л), концентрируют при пониженном давлении, добавляют изопропанол и снова концентрируют при пониженном давлении. Добавляют изопропанол (3 л) и суспензию гранулируют при 0oC в течение 1 часа. Продукт собирают фильтрованием, промывают изопропанолом и сушат при пониженном давлении при 50oC в течение ночи, получая указанное в заголовке соединение (547 г). Анализ методом ВЭЖХ с использованием условий, указанных в примере 1, показывает, что продукт является указанным в заголовке соединением с чистотой 97%. Синтез 9 (2R, 3S/2S,3R)-2-(2,4-Дифторфенил)-3-(пиримидин-4-ил)-1-(1H-1,2,4- триазол-1-ил)бутан-2-ол ![]() Смесь (2R, 3S/2S, 3R)-:(2R,3R/2S,3S)-3-(4-хлорпиримидин-6-ил)- 2-(2,4-дифторфенил)-1-(1H-1,2,4-триазол-1-ил)бутан-2-ола (продукта из примера 10) (70 г), формиата аммония (24,1 г) и 10%-ного (в/в) палладия на угле (содержание воды 60% в/в) (Johnson Matthey, тип 87L) (4,7 г) в метаноле (700 мл) нагревают с обратным холодильником в течение 2 часов в атмосфере азота. После охлаждения до 25oC реакционную смесь фильтруют и концентрируют при пониженном давлении. Остаток растворяют в дихлорметане (500 мл) и промывают водой (2 х 500 мл). Органическую фазу сушат сульфатом магния, концентрируют при пониженном давлении и полученную смолу кристаллизуют из изопропанола (250 мл) при -10oC. Продукт собирают фильтрованием с получением указанного в заголовке соединения (38,1 г) после сушки при 50oC при пониженном давлении. 1H ЯМР (300 МГц, CDCl3): = 1,1 (д, 3H), 3,65 (кв, 1H), 4,15 (д, 1H), 4,8 (д, 1H), 6,55 (с, 1H), 6,8 (м, 2H), 7,4 (д, 1H), 7,5 (м, 1H), 7,6 (с, 1H), 7,9 (с, 1H), 8,75 (д, 1H), 9,15 (с, 1H) м.д.
Формула изобретения
![]() или его аддитивной соли кислоты или основания, где R – фенил, необязательно замещенный 1-3 заместителями, каждый из которых независимо выбран из галогена и трифторметила; R1 – C1-C6-алкил; Het – пиримидинил, необязательно замещенный 1-3 заместителями, каждый из которых независимо выбран из C1-C4-алкила, C1-C4-алкокси, галогена, оксо, бензила и бензилокси, включающий реакцию соединения формулы II ![]() где R определен ранее для соединения формулы (I), с соединением формулы III ![]() где R1 и Het определены ранее для соединения формулы (I); Х – хлор, бром или иод, в присутствии цинка, иода и/или кислоты Льюиса и аротонного органического растворителя с последующим необязательным превращением соединения формулы (I) в его аддитивную соль кислоты или основания. 2. Способ по п. 1, отличающийся тем, что процесс осуществляют в присутствии свинца. 3. Способ по п.1 или 2, где используют иод. 4. Способ по п.3, который осуществляют путем смешения раствора или растворов соединений формулы (II) и (III) и иода в апротонном органическом растворителе со смесью цинка, иода, необязательно свинца, необязательно кислоты Льюиса и апротонного органического растворителя. 5. Способ по любому из предыдущих пунктов, в котором в качестве кислоты Льюиса используют хлорид цинка, бромид цинка или иодид цинка. 6. Способ по любому из предыдущих пунктов, в котором апротонным органическим растворителем является тетрагидрофуран. 7. Способ по любому из предыдущих пунктов, в котором получают кислую аддитивную соль соединения формулы (I). 8. Способ по п.7, в котором кислая аддитивная соль является гидрохлоридной, гидробромидной, гидроиодидной, сульфатной, нитратной, метансульфонатной, камфорсульфонатной, R-(-)-10-камфорсульфонатной, (+)-3-бром-10-камфорсульфонатной, (-)-3-бром-8-камфорсульфонатной, фосфатной, паратолуолсульфонатной или бензолсульфонатной солью, предпочтительно является гидрохлоридной солью. 9. Способ по любому из предыдущих пунктов, в котором R – фенил, замещенный 1 или 2 заместителями, каждый из которых независимо выбран из фтора и хлора. 10. Способ по п.9, в котором R – фенил, замещенный 1 или 2 фторзаместителями. 11. Способ по п.10, в котором R – 2,4-дифторфенил. 12. Способ по любому из предыдущих пунктов, в котором R1 – метил. 13. Способ по любому из предыдущих пунктов, в котором Het – пиримидинил, необязательно замещенный 1-3 заместителями, каждый из которых независимо выбран из галогена, оксо и бензила. 14. Способ по п.13, в котором Het – пиримидинил, необязательно замещенный 1-3 заместителями, каждый из которых независимо выбран из фтора, хлора, оксо и бензила. 15. Способ по п.14, в котором Het – пиримидинил, замещенный 1-3 заместителями, каждый из которых независимо выбран из фтора и хлора. 16. Способ по п.14, в котором Het – пиримидинин-4-ил, 4-хлор-5-фторпиримидин-6-ил, 5-фторпиримидин-4-ил, 2-хлор-5-фторпиримидин-6-ил, 2,4-дихлор-5-фторпиримидин-6-ил, 4-хлорпиримидин-6-ил или 1-бензил-5-фторпиримидин-6-он-4-ил. 17. Способ по п.16, в котором Het – 4-хлор-5-фторпиримидин-6-ил. 18. Способ по любому из предыдущих пунктов, в котором Х – бром. 19. Способ получения соединения формулы IV ![]() или его кислой аддитивной соли, где R и R1 определены ранее для соединения формулы (I) в п.1; R2 – Н или фтор, отличающийся тем, что соединение общей формулы II ![]() где R определен для соединения формулы (IV), подвергают взаимодействию с соединением общей формулы IIIА ![]() где Х – хлор, бром или иод; R1 и R2 определены ранее для соединения формулы (IV); из R3 и R4 либо каждый независимо выбран из хлора или брома, либо один из R3 и R4 является хлором или бромом, а другой – Н, в присутствии цинка, иода и/или кислоты Льюиса и апротонного органического растворителя и полученное соединение общей формулы IА ![]() где R, R1, R2, R3 и R4 определены ранее, в случае необходимости превращают в его кислую аддитивную соль и восстанавливают его или его кислую аддитивную соль с последующим в случае необходимости превращением полученного целевого продукта IV в его кислую аддитивную соль. 20. Способ по п.19, отличающийся тем, что первую стадию процесса осуществляют в присутствии свинца. 21. Способ по п.19 или 20, отличающийся тем, что на первой стадии процесса используют иод. 22. Способ по любому из пп.19 – 21, отличающийся тем, что на первой стадии процесса апротонным органическим растворителем является тетрагидрофуран. 23. Способ по любому из пп.19 – 22, отличающийся тем, что кислая аддитивная соль соединения формулы IА является гидрохлоридной, метансульфонатной или п-толуолсульфонатной солью. 24. Способ по любому из пп.19 – 23, отличающийся тем, что восстановление соединения формулы (IА) или его кислой аддитивной соли осуществляют путем каталитического гидрирования или путем гидрирования с переносом. 25. Способ по п.24, в котором восстановление осуществляют путем гидрирования с переносом. 26. Способ по п.25, в котором гидрирование с переносом осуществляют с использованием палладия и формиата аммония. 27. Способ по любому из пп.19 – 26, отличающийся тем, что кислой аддитивной солью соединения формулы IV является S -(+)- или R -(-)-10 – камфорсульфонатная соль. 28. Способ по любому из пп.19 – 27, в котором R – 2,4-дифторфенил. 29. Способ по любому из пп.19 – 28, в котором R1 – метил. 30. Способ по любому из пп.19 – 29, в котором R2 – фтор. 31. Способ по любому из пп.19 – 30, в котором: (I) R3 – хлор и R4 – Н; (III) R3 – Н и R4 – хлор или (III) R3 и R4 оба – хлор. 32. Способ по п.31, в котором R3 – хлор, R4 – Н. 33. Способ по любому из пп.19 – 32, в котором Х – бром. 34. Способ по любому из пп.19 – 27, в котором R – 2,4-дифторфенил, R1 – метил, R2 – фтор, R3 – хлор, R4 – Н и Х – бром. 35. Способ по любому из пп.19 – 27, в котором соединением формулы (IА) является: 3-(4-хлор-5-фторпиримидин-6-ил)-2-(2,4-дифторфенил)-1-(1Н-1,2,4-триазол-1-ил)бутан-2-ол, 3-(2-хлор-5-фторпиримидин-6-ил)-2-(2,4-дифторфенил)-1-(1Н-1,2,4-триазол-1-ил)бутан-2-ол, 3-(2,4-дихлор-5-фторпиримидин-6-ил)-2-(2,4-дифторфенил)-1-(1Н-1,2,4-триазол-1-ил)бутан-2-ол или кислая аддитивная соль любого из них. 36. Способ по любому из пп.19 – 27, в котором соединение формулы (IV) представляет собой 2-(2,4-дифторфенил)-3-(5-фторпиримидин-4-ил)-1-(1Н-1,2,4-триазол-1-ил)бутан-2-ол или его кислую аддитивную соль. 37. Соединение формулы (I) по п.1, которое представляет собой: (I) (2R, 3S)-3-(4-хлор-5-фторпиримидин-6-ил)-2-(2,4-дифторфенил)-1-(1Н-1,2,4-триазол-1-ил)бутан-2-ол; (II) кислую аддитивную соль (2R, 3S/2S, 3R) – или (2R, 3S)-3-(4-хлор-5-фторпиримидин-6-ил)-2-(2,4-дифторфенил)-1-(1Н-1,2,4-триазол-1-ил)бутан-2-ола и, предпочтительно, гидрохлоридную соль; (III) 3-(2,4-дихлор-5-фторпиримидин-6-ил)-2-(2,4-дифторфенил)-1-(1Н-1,2,4-триазол-1-ил)бутан-2-ол, или же его (2R, 3S/2S, 3R) – или (2R, 3S)-форму, или же кислую аддитивную соль любого из них; (IV) 3-(1-бензил-5-фторпиримидин-6-он-4-ил)-2-(2,4-дифторфенил)-1-(1Н-1,2,4-триазол-1-ил)бутан-2-ол, или же его (2R, 3S/2S, 3R) – или (2R, 3S)-форму, или же кислую аддитивную соль любого из них или (V) 3-(4-хлорпиримидин-6-ил)-2-(2,4-дифторфенил)-1-(1Н-1,2,4-триазол-1-ил)бутан-2-ол, или же его (2R, 3S/2S, 3R) – или (2R, 3S)-форму, или же кислую аддитивную соль любого из них. 38. Соединение формулы (III) по п.1, которое представляет собой: (I) 6-(1-бромэтил)-2,4-дихлор-5-фторпиримидин; (II) 4-(1-бромэтил)-6-хлорпиримидин; (III) 6-(1-бромэтил)-4-хлор-5-фторпиримидин; (IV) 1-бензил-4-(1-бромэтил)-5-фторпиримидин-6-он. 39. 2-Хлор-6-этил-5-фтор-4-гидроксипиримидин, аммонийная соль. MM4A – Досрочное прекращение действия патента СССР или патента Российской Федерации на изобретение из-за неуплаты в установленный срок пошлины за поддержание патента в силе
Дата прекращения действия патента: 27.07.2009
Извещение опубликовано: 20.07.2010 БИ: 20/2010
|
||||||||||||||||||||||||||

















= 1,06 (д, 3H), 3,95 (кв, 1H), 4,34 (д, 1H), 4,70 (д, 1H), 5,55 (с шир., 1H), 6,65-6,80 (м, 2H), 7,45-7,56 (м, 1H), 7,55 (с, 1H), 7,93 (с, 1H) м.д.
Пример 9

1,1 (д, 3H), 3,65 (кв, 1H), 4,15 (д, 1H), 4,8 (д, 1H), 6,15 (с, 1H), 6,8 (м, 2H), 7,5 (с, 1H), 7,55 (м, 1H), 7,65 (с, 1H), 7,9 (с, 1H), 8,9 (с, 1H) м.д.
Следующие синтезы иллюстрируют получение определенных исходных материалов, используемых в предыдущих примерах, вместе с дополнительной переработкой определенных соединений по данным примерам.
Синтез 1



1,10 (д, 3H), 3,90 (кв, 1H), 4,33 (д, 1H), 4,80 (д, 1H), 6,87-6,93 (м, 1H), 7,10-7,20 (м, 1H), 7,21-7,34 (м, 1H), 7,60 (с, 1H), 8,21 (с, 1H), 8,82 (с, 1H), 9,02 (с, 1H) м.д.
Синтез 5

2,03 (д, 3H), 5,04 (кв, 1H), 7,51 (с, 1H), 8,95 (с, 1H) м.д.
Синтез 7








