|
(21), (22) Заявка: 2005120934/04, 04.07.2005
(24) Дата начала отсчета срока действия патента:
04.07.2005
(46) Опубликовано: 10.11.2006
(56) Список документов, цитированных в отчете о поиске:
K.Sakamoto, E.Ohono. Synthesis of cocbalt phthalocyanine derivatives and their cyclic voltammograms. Dyes and pigments. 1997, v.35, №4, p.375-386. RU 2246495 C1, 20.02.2005. RU 2242488 C1, 20.12.2004. US 5675001 A, 07.10.1997.
Адрес для переписки:
153000, г.Иваново, пр. Ф. Энгельса, 7, ИГХТУ, патентный отдел
|
(72) Автор(ы):
Борисов Альберт Валерьевич (RU), Майзлиш Владимир Ефимович (RU), Шапошников Геннадий Павлович (RU)
(73) Патентообладатель(и):
Государственное образовательное учреждение высшего профессионального образования “Ивановский государственный химико-технологический университет” (ИГХТУ) (RU)
|
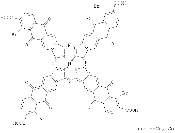
(54) МЕТАЛЛОКОМПЛЕКСЫ ТЕТРА-(5-БРОМ-6-КАРБОКСИ)АНТРАХИНОНОПОРФИРАЗИНА
(57) Реферат:
Изобретение относится к новым производным металлопорфиразина формулы I, которые могут быть использованы в качестве красителей, катализаторов различных процессов. Изобретение позволяет получить соединения обладающие красящими свойствами. 5 ил.

Введение
Изобретение относится к химической промышленности, а именно к получению новых производных металлопорфиразинов, которые могут найти применение в качестве красителей, катализаторов различных процессов газов и т.д.
Уровень техники


Они не обладают красящими свойствами и поэтому не могут быть использованы ни в качестве пигмента, ни при крашении в растворах.
Сущность изобретения
Изобретательская задача состояла в поиске новых производных металлокомплексов тетраантрахинонопорфиразина, которые обладали бы свойствами прямого красителя и катализатора окисления сернистых соединений.
Поставленная задача решена металлокомплексами тетра-(5-бром-6-карбокси)антрахинонопорфиразина формулы

Структура этого соединения доказана данными элементного анализа, ИК и электронной спектроскопии.
В электронных спектрах поглощения тетра-(5-бром-6-карбокси)антрахинонопорфиразина меди наблюдается интенсивное поглощение при 681 нм, регистрируемое в водно-щелочном растворе (фиг.3). Характер спектра показывает, что соединение существует в растворе преимущественно в форме мономера, а тетра-(5-бром-6-карбокси)антрахинонопорфиразин кобальта в форме ассоциата с максимумом поглощения при 676 нм (фиг.4).
Тетра-(5-бром-6-карбокси)антрахинонопорфиразины меди и кобальта представляют собой вещества темно-синего цвета, обладающие растворимостью водно-щелочных растворах, концентрированной серной кислоте.
Предлагаемые соединения обладают свойствами прямых красителей и могут быть использованы для крашения хлопчатобумажных и вискозных тканей, а также проявляют каталитическую активность в реакции жидкофазного окисления сероводорода.
Сведения, подтверждающие возможность осуществления изобретения.
Для реализации способа используются следующие вещества:
мочевина – ГОСТ 2081-92
ацетат меди – ГОСТ 5852-70
ацетат кобальта – ГОСТ 5861-79
молибдат аммония – ГОСТ 2677-78
хлорид аммония – ГОСТ 2210-73
Заявленные соединения получены взаимодействием 2,3,6-трикарбокси-5-бромантрахинона с мочевиной и ацетатами соответствующих металлов в присутствии хлорида и молибдата аммония (катализатор).
Поскольку 2,3,6-трикарбокси-5-бромантрахинон является новым соединением и не выпускается промышленностью, он был получен следующим способом: сначала проводят ацилирование о-бромтолуола диангидридом пиромеллитовой кислоты в присутствии безводного хлористого алюминия, затем проводят внутримолекулярную циклизацию путем обработки полученной на первой стадии 5-(3-бром-4-метил-бензоил)тримеллитовой кислоты концентрированной серной кислотой (моногидратом). В результате внутримолекулярной циклизации получают 2,3-дикарбокси-5-бром-6-метилантрахинон, который окисляют перманганатом калия, получая 2,3,6-трикарбокси-5-бромантрахинон.
Стадия 1. Ацилирование о-бромтолуола диангидридом пиромеллитовой кислоты в присутствии безводного хлористого алюминия, по схеме:

В колбу, снабженную мешалкой, термометром и обратным холодильником, помещают 10.0 г (0.046 моль) диангидрида пиромеллитовой кислоты, 20 мл (0.16 моль) о-бромтолуола. Массу нагревают до 50°С и при интенсивном перемешивании прибавляют 20.0 г (0.154 моль) безводного хлористого алюминия. Реакционную массу нагревают до 120-130°С и выдерживают в течение 6 часов. После охлаждения к реакционной массе добавляют 50 мл воды, и после выдержки в течение 30 минут добавляют горячий раствор соды и отделяют выпавший в осадок гидроксид алюминия. К водному слою фильтрата добавляют соляную кислоту до рН 3-4. Выпадает осадок 5-(3-бром-4-метилбензоил)тримеллитовой кислоты. Его отфильтровывают, промывают водой до нейтральной среды и сушат при температуре 75-80°С.
Получена 5-(3-бром-4-метилбензоил)тримеллитовая кислота.
Стадия 2. Внутримолекулярная циклизация путем обработки 5-(3-бром-4-метилбензоил)тримеллитовой кислоты концентрированной серной кислотой (моногидратом), по схеме:

В колбу объемом 200 мл, снабженную мешалкой и термометром, помещают 10 мл моногидрата и нагревают до 130°С. Затем в течение 15 минут при интенсивном перемешивании вносят 5 г полученной 5-(3-бром-4-метилбензоил)тримеллитовой кислоты, температуру поднимают до 150°С и выдерживают в течение 5 часов. Массу после охлаждения при перемешивании выливают в 200 мл воды, фильтруют, промывают большим количеством ледяной воды, растворяют в содовом растворе и подкисляют соляной кислотой. Осадок отфильтровывают и промывают водой до исчезновения хлорид-ионов. Такую обработку повторяют дважды. Сушат при 100°С.
Найдено, %: С – 52.3; Н – 2.4; Br – 20.3 С17H9BrO7.
Вычислено, %: С – 52.5; Н – 2.3; Br – 20.5.
Выход: 4.0 г (86%). Температура плавления – 346°С.
Полученный целевой продукт – 2,3-дикарбокси-5-бром-6-метилантрахинон – твердое вещество розового цвета, растворимо в водно-щелочных растворах, горячей воде, ацетоне, ДМФА.
Стадия 3. Окисление 2,3-дикарбокси-5-бром-6-метилантрахинона в присутствии перманганата калия, по схеме:

В колбу, снабженную мешалкой и термометром, помещают 2 г (0,007 моль) 2,3-дикарбокси-5-бром-6-метилантрахинона, в виде его суспензии в 80 мл воды, добавляют гидроксид калия до слабощелочной реакции. Нагревают до 90-95°С и при перемешивании добавляют 3 г перманганата калия порциями по 0,5 г по мере исчезновения его окраски (через 30-40 минут). Добавление ведут до появления устойчивой окраски раствора. Горячую суспензию отфильтровывают. Осадок двуокиси марганца промывают горячей водой. Фильтраты объединяют, упаривают до половины первоначального объема, и после охлаждения подкисляют соляной кислотой до рН 3-4. Выпавший осадок 2,3,6-трикарбокси-5-бромантрахинона отфильтровывают, промывают ледяной водой до нейтральной реакции. Затем продукт растворяют в содовом растворе и подкисляют соляной кислотой. Осадок отфильтровывают и промывают водой до исчезновения хлорид-ионов. Подобную обработку повторяют дважды. Сушат при 75-80°С.
Найдено, %: С – 48.3; Н – 1.8; Br – 18.9 C17H9BrO8.
Вычислено, %: С – 48.7; Н – 1.7; Br – 19.1.
Выход: 1,4 г (62%). Температура плавления – 341°С.
Продукт – твердое вещество белого цвета, растворимо в содовом растворе, ацетоне, хлороформе, горячей воде, ДМФА.
Пример 1. Синтез тетра-(5-бром-6-карбокси)антрахинонопорфиразина меди.
В пробирку из кварцевого стекла помещают растертую смесь 0.2 г (0.49 ммоль) 2,3,6-трикарбокси-5-бромантрахинона, 0.24 г (4.0 ммоль) мочевины, 0.036 г (0.18 ммоль) ацетата меди, 0.02 г (0.4 ммоль) хлорида аммония и 0.002 г (0.01 ммоль) молибдата аммония. Массу медленно нагревают до 180°С в течение часа и выдерживают 3 часа. Очистку продукта реакции проводят последовательной промывкой 5%-й соляной кислотой, ацетоном и переосаждением из серной кислоты.
Выход тетра-(5-бром-6-карбокси)антрахинонопорфиразина меди 0.09 г (47%).
Темно-синее вещество, обладает растворимостью в водно-щелочных растворах, ДМФА, концентрированной серной кислоте. ЭСП в водно-щелочном растворе, max, нм: 681 (фиг.3).
Найдено, %: С 52.0; Н 1.5; N 7.3; Br 21.5. C64N8H20O12Br4Cu.
Вычислено, %: С 52.1; Н 1.4; N 7.6; Br 21.6.
Пример 2. Синтез тетра-(5-бром-6-карбокси)антрахинонопорфиразина кобальта.
Синтез проводят аналогично примеру 1, но вместо ацетата меди используют 0.038 г (0.18 ммоль) ацетата кобальта.
Выход тетра-(5-бром-6-карбокси)антрахинонопорфиразина кобальта: 0.08 г (42%).
Темно-синее вещество, обладает растворимостью в водно-щелочных растворах, ДМФА, концентрированной серной кислоте.
ЭСП в водно-щелочном растворе, max, нм: 676 (фиг.4).
Найдено, %: С 52.2; Н 1.5; N 7.5; Br 21.4 C64N8H20O12Br4Co.
Вычислено, %: С 52.4; Н 1.4; N 7.6; Br 21.5.
Заявленные соединения могут быть использованы для окрашивания хлопчатобумажных и вискозных материалов.
Крашение ведут согласно методикам [Лабораторный практикум по применению красителей /Под ред. Мельникова Б.Н. М.: Химия – 1972. 342 с].
Пример 3.
Образец хлопчатобумажной ткани массой 1 г смачивают в течение 0.5 мин, отжимают до 100% привеса и помещают в красильную ванну состава (г/л):
| Тетра-(5-бром-6-карбокси)антрахинонопорфиразин меди |
2 |
| Сульфосит-31 |
0.5 |
| Хлористый натрий |
5 |
| Модуль ванны |
50. |
В течение 15-30 мин нагревают раствор до кипения и выдерживают 1 час. Затем образец отжимают, тщательно промывают теплой, затем холодной водой, сушат.
Образец приведен на фиг.5.
Заявленные соединения могут быть использованы в качестве катализаторов окисления сернистых соединений.
Пример 4. Использование тетра-(5-бром-6-карбокси)антрахинонопорфиразина кобальта в качестве катализатора в реакции жидкофазного окисления цистеина. Каталитическую активность определяют по методике [Шикова Т.Г. Исследование влияния химической модификации фталоцианина – лиганда на каталитические свойства его металлокомплексов. Дис… канд. хим. наук. Иваново, 1999. 156 с.]
Опыты проводят в жидкой фазе в реакционном сосуде, укрепленном на быстроходной качалке (350 кач/мин), термостатированном с точностью ±0.2°С. Скорость реакции измеряют волюмометрически, точность измерения ±0.05 мл. Процессы проводят при 298 К. В реакционный сосуд, соединенный с газометром, загружают 10 мл раствора субстрата и точную навеску катализатора, помещенную в лодочку. Опыты проводят в кинетической области, когда для скорости реакции наблюдается линейная зависимость от числа качаний.
Активность тетра-(5-бром-6-карбокси)антрахинонопорфиразина кобальта (А) в реакции жидкофазного окисления цистеина составляет
А=234 г-моль O2×(г-моль кат-ра)-1×мин-1.
Формула изобретения
Металлкомплексы тетра-(5-бром-6-карбокси)антрахинонопорфиразина формулы

РИСУНКИ
MM4A – Досрочное прекращение действия патента СССР или патента Российской Федерации на изобретение из-за неуплаты в установленный срок пошлины за поддержание патента в силе
Дата прекращения действия патента: 05.07.2007
Извещение опубликовано: 20.02.2009 БИ: 05/2009
|