Патент на изобретение №2286963
|
||||||||||||||||||||||||||||||||||||||||||||||||||||||||||||||||||||||||||||||||||||||||||||||||||||||||||||||||||||||||||||||||||||||||||||||||||||||||||||||||||||||||||||||||
(54) УСОВЕРШЕНСТВОВАНИЯ, КАСАЮЩИЕСЯ ОСТЕКЛЕНИЙ ИЗ ЗАКАЛЕННОГО СТЕКЛА, И СТЕКЛА ДЛЯ ПРИМЕНЕНИЯ В НИХ
(57) Реферат:
Изобретение касается остеклений из закаленного стекла, преимущественно для применения в автомобилях. Стекло, термически закаленное до требуемых стандартов, получают более легко путем закалки листов оконного стекла, имеющего высокий коэффициент теплового расширения (более 93×10-7 на градус Цельсия) и низкую ударную вязкость при разрушении (менее 0,72 МПа·м1/2). Подходящими стеклами являются стекла, содержащие, в процентах по массе, от 64 до 75% SiO2, от 0 до 5% Al2O3, от 0 до 5% В2О3, от 9 до 16% оксида щелочноземельного металла, отличного от MgO, от 0 до 2% MgO, от 15 до 18% оксида щелочного металла и, по крайней мере, 0,05% общего железа (в пересчете на Fe2O3). Закалку таких стекол осуществляют при давлении охлаждающего воздуха, по крайней мере, на 20% меньше, чем обычно используемое давление охлаждающего воздуха. Технический результат изобретения – возможность закаливать стекла, в том числе тонкие, до автомобильного стандарта с улучшенными выходами, используя обычные способы закалки. 4 н. и 14 з.п. ф-лы, 4 табл.
Изобретение касается остеклений из закаленного стекла, в особенности, но не исключительно, остеклений из тонкого закаленного стекла (обычно закаленного флоат-стекла) для применения в автомобилях, способа закалки стекла и нового состава стекла, подходящего для использования в остеклениях из закаленного стекла по данному изобретению и в способе данного изобретения. До 1970-х годов автомобильные стекла обычно имели толщину 4 мм или 5 мм или даже были более толстыми. Первый нефтяной кризис 1970-х годов способствовал стремлению использовать в автомобилях более тонкие стекла, особенно в Европе и в Японии, и решить проблемы, возникающие при получении тонких закаленных стекол, имеющих характеристики разрушения, удовлетворяющие требованиям официальных стандартов. Для того чтобы выполнить требования европейских стандартов, было необходимо (исходя из характеристик разрушения стекла) обеспечить более высокое напряжение при закалке наряду с соответствующим распределением напряжений (см., например, патенты Великобритании 1512163 и 2000117), для того чтобы получить требуемую структуру излома при разрушении. Кроме того, вследствие уменьшенной толщины стекла было труднее достичь разности температур между поверхностью и внутренней частью стекла, требуемой для получения данного напряжения в результате закалки. Хотя была достигнута удовлетворительная закалка при толщине около 3 мм, трудности при закалке более тонких стекол обычными способами затормозили дальнейший прогресс в уменьшении толщины стекла, так что около 25 лет после появления таких тонких закаленных автомобильных стекол промышленное производство закаленных автомобильных стекол, имеющих толщину менее 3,1 мм, оставалось трудной задачей. Заявители в данной работе нашли, что стекла, особенно, но не исключительно, тонкие стекла, можно легче закаливать, в том числе закаливать так, чтобы они удовлетворяли стандартам на стекла (например, таким как европейские стандарты на автомобильные стекла), если модифицировать должным образом состав стекла, особенно если состав стекла модифицировать так, чтобы значительно увеличить его коэффициент теплового расширения и/или понизить ударную вязкость при разрушении. Некоторые специально подобранные составы стекла ранее были предложены для тонких автомобильных стекол. Международная заявка WO 96/28394 касается стеклянных листов толщиной от 2 до 3 мм, имеющих общее содержание железа (в пересчете на F2О3) от 0,85 до 2% по массе и специальные оптические свойства, в том числе пропускание видимого света более 70% и общее пропускание энергии менее 50%. Конкретно, описанные стекла имеют высокое содержание оксида щелочного металла (в пределах от 14,4% до 15,8% по массе), содержание оксида магния от 0,25% до 3,8% по массе и содержание оксида кальция от 8,4% до 8,6% по массе. В описании указана возможность закалки отдельных листов такого тонкого стекла для использования в качестве автомобильных боковых стекол, но нет никакого указания на трудность достижения удовлетворительной с промышленной точки зрения закалки на практике. Международная патентная заявка WO 99/44952 касается листа из натриево-кальциевого силикатного стекла, предназначенного для тепловой закалки и характеризующегося очень высоким коэффициентом теплового расширения Согласно настоящему изобретению создано термически закаленное остекление из натриево-кальциевого силикатного стекла, получаемое путем закалки оконного стекла, имеющего коэффициент теплового расширения Для целей настоящего описания и формулы изобретения Ударная вязкость представляет собой энергию на единицу площади (в джоулях на квадратный метр), требуемую для образования трещин. Ударная вязкость при разрушении FT связана с модулем Юнга и поверхностной энергией следующим уравнением: FT=[2 × поверхностная энергия × модуль Юнга/(1-v2)]1/2, где v обозначает коэффициент Пуассона. Для целей настоящего описания и формулы изобретения ее определяют путем вдавливания в брусок из стекла индентора для определения твердости по Виккерсу при нагрузке, достаточной для образования трещин в углах вмятины, и затем разрушения бруска при испытании на изгиб в 3 или 4 точках и определения напряжения при разрушении FT= где Константа Если стекло не находится в состоянии полного отжига, необходимо внести поправку на остаточное напряжение в величину ударной вязкости при разрушении, рассчитанную по уравнению, приведенному выше. На практике удобно измерять ударную вязкость при разрушении для стекла в состоянии полного отжига. Предпочтительно стекло имеет ударную вязкость при разрушении, которая меньше или равна 0,70 МПа·м1/2, особенно меньше или равна 0,68 МПа·м1/2. В предпочтительном варианте осуществления изобретения стекло имеет такие значения коэффициента теплового расширения
предпочтительно Было обнаружено, что увеличение содержания оксида щелочного металла в стекле приводит к увеличению коэффициента теплового расширения, и хотя хорошо известно, что можно получить стекло с высоким содержанием оксида щелочного металла (патенты, касающиеся составов стекла при получении стекла во флоат-процессе, обычно предполагают содержание оксида щелочного металла в пределах примерно до 20%), при увеличении содержания оксида щелочного металла обычно повышается стоимость стекла и снижается его долговечность. Поэтому выпускаемое промышленное флоат-стекло обычно имеет содержание оксида щелочного металла в пределах от 13% до 14% по массе, и стекла с более высоким содержанием оксида щелочного металла не используются в производстве термически закаленных стекол, особенно автомобильных стекол. Заявители обнаружили, что повышение содержания оксида щелочного металла на относительно малую величину приводит к неожиданному увеличению легкости закалки стекла (измеряемой, например, числом частиц (осколков) при разрушении) (особенно, когда это связано с изменением содержания оксида щелочноземельного металла в основном стекле, как объясняется ниже). Таким образом, некоторые предпочтительные стекла имеют содержание оксида щелочного металла выше 15% по массе, предпочтительно менее 19% (чтобы избежать слишком высокой стоимости и снижения долговечности стекла) и особенно в интервале от 15 до 18% по массе; особенно предпочтительные стекла содержат от 15 до 17% по массе оксида щелочного металла. Содержание оксида натрия предпочтительно выше 14,5% по массе. Дальнейшие усовершенствования, облегчающие закалку, очевидно являются результатом увеличения содержания оксида железа в стекле, и особенно предпочтительно использовать составы стекла, содержащие, по крайней мере, 0,2%, особенно, по крайней мере, 0,3% по массе оксида двухвалентного железа (в пересчете на оксид трехвалентного железа), и в одном варианте осуществления изобретения, по крайней мере, 30% (предпочтительно, по крайней мере, 35%) от всех присутствующих оксидов железа должно быть в виде оксида двухвалентного железа (где при расчете процентного содержания и оксид трехвалентного железа, и оксид двухвалентного железа пересчитывают на оксид трехвалентного железа). Можно считать, что действие оксида щелочного металла обусловлено как увеличением коэффициента теплового расширения стекла (и таким образом увеличением разности напряжений между поверхностными слоями стекла и внутренней частью стекла при данной разности температур между поверхностью и внутренней частью стекла), так и снижением теплопроводности стекла (и таким образом увеличением разности температур между поверхностью и внутренней частью стекла, когда поверхность быстро охлаждается в процессе термической закалки. Однако достигнутые результаты, особенно для стекол, содержащих значительные количества двухвалентного железа, показывают значительно большее увеличение легкости закалки для выполнения требований европейских стандартов для автомобильного стекла, чем можно было объяснить одними лишь этими эффектами, и указанные результаты можно объяснить, по крайней мере частично, снижением у стекла ударной вязкости при разрушении. Можно считать, что одним эффектом, связанным с содержанием оксида щелочного металла в натриево-кальциевом силикатном стекле, является увеличение доли присутствующих в стекле немостиковых атомов кислорода (мостиковый кислород – это кислород, непосредственно связанный с двумя атомами кремния, Si-O-Si):
Образование таких немостиковых атомов кислорода в кристаллической решетке диоксида кремния приводит к ослаблению структуры стекла, что связано со снижением ударной вязкости при разрушении, и заявители нашли, что пониженная вязкость при разрушении связана с повышенной легкостью закалки. Эффект включения ионов щелочноземельного металла в кристаллическую решетку аналогичен замещению атомов кислорода, образующих мостиковую связь непосредственно между двумя атомами кремния:
где М означает щелочноземельный металл. Существуют различия в прочности связывания, обусловленные различными размерами ионов щелочноземельных металлов. В общем, можно считать, что чем меньше ион щелочноземельного металла, находящийся в кристаллической решетке, тем прочнее кристаллическая решетка и тем выше ударная вязкость при разрушении стекла, причем особенно заметны различия между ионами кальция и ионами магния. Таким образом, чтобы уменьшить ударную вязкость при разрушении стекла, желательно поддерживать в стекле низкое содержание магния (менее 2%, предпочтительно менее 1%, особенно предпочтительно менее 0,5% по массе) и в то же время избегать использования слишком высокой (с точки зрения стоимости) доли оксида щелочного металла, что обычно будет означать содержание оксида щелочноземельного металла, другого, чем оксид магния, по крайней мере, 9% и предпочтительно, по крайней мере, 10% по массе. Предпочтительно стекло может содержать, по крайней мере, 9% и особенно, по крайней мере, 10% оксида кальция, и общее содержание оксидов щелочноземельных металлов (включая оксид магния) в стекле обычно будет превышать 10% по массе. Стекло обычно может представлять собой флоат-стекло следующего состава (в процентах по массе):
Некоторые составы стекла, которые можно использовать при практическом применении настоящего изобретения, являются новыми, и согласно следующему аспекту изобретения создано новое натриево-кальциевое силикатное стекло в форме листов из состава, содержащего в процентах по массе:
и малые количества других компонентов, например, диоксида титана и других пигментов, например, селена, оксида кобальта, оксида никеля, оксида хрома, оксида церия. Предпочтительно состав стекла содержит в процентах по массе 67-73% SiO2, 0-3% Al2O3, 0-3% В2О3, оксид щелочноземельного металла (кроме MgO) 10-14%, оксид щелочного металла 15-17%. Хотя содержание оксида магния ниже 0,5% может быть предпочтительным для достижения оптимальных результатов, на практике очень низкое содержание магния обычно будет означать, что потребуется много времени для перенастройки, если стекло изготовляется после обычного стекла, содержащего большее количество (обычно около 4%) оксида магния, и поэтому на практике заявители обычно предпочитают использовать стекла, содержащие, по крайней мере, 0,5% по массе оксида магния. Более того, по таким практическим причинам обычно может быть предпочтительно содержание оксида магния в пределах от 0,75 до 1,5% по массе. Новые стекла настоящего изобретения обычно содержат железо, либо чтобы модифицировать оптические свойства и/или повысить способность к закалке стекла, либо, по крайней мере, содержат в качестве примеси (так как использование сырья, не содержащего железа, вероятно значительно увеличит стоимость шихты); в последнем случае обычно содержание железа будет составлять, по крайней мере, 0,05% по массе (в пересчете на оксид трехвалентного железа). В первом случае железо обычно будет присутствовать в количестве, по крайней мере, 0,5% по массе (в пересчете на Fe2О3). Для стекла, имеющего особенно высокие эксплуатационные характеристики, т.е. высокое пропускание видимого света при относительно низком пропускании солнечной энергии, относительное процентное содержание двухвалентного железа будет менее 30% (т.е. отношение в стекле двухвалентного железа (в пересчете на Fe2О3) ко всему железу (в пересчете на Fe2О3) будет менее 30%). Предпочтительные диапазоны составов такие же, как обсуждавшиеся выше для закаленных стекол данного изобретения. Эти стекла используются в форме листов и обычно могут иметь толщину в пределах от 1 до 6 мм, особенно от 2 до 5 мм, и их получают посредством флоат-процесса. Особенно предпочтительное стекло согласно настоящему изобретению имеет следующий состав в процентах по массе:
Доля (%) двухвалентного железа 35 и такой состав в дальнейшем называется
Использование специально подобранных составов стекла в соответствии с настоящим изобретением облегчает получение тонких (менее 3 мм) закаленных стекол, и особенно ценно тем, что дает возможность промышленного производства закаленных автомобильных стекол толщиной от 2,3 до 3 мм, особенно от 2,6 до 2,9 мм обычными способами закалки. Известно, что стекла толщиной менее 3 мм можно закаливать, используя специальные способы закалки, такие как порошковая закалка или специальные закалочные камеры, выпускаемые фирмой Даже более тонкие стекла, например, стекла, имеющие толщину в пределах от 1,0 мм до 2,5 мм, в особенности от 1,6 до 1,9 мм, могут быть закалены частично, например, закалены так, чтобы они разрушались с частичным раздроблением, например, до поверхностного напряжения сжатия, по крайней мере, 35 МПа, в соответствии с данным изобретением, для использования в ламинированных (слоистых) автомобильных остеклениях (особенно в открывающихся боковых стеклах, которые должны пройти испытание на захлопывание дверей). Хотя главное преимущество использования специальных составов стекла данного изобретения состоит в возможности закалки тонких стекол обычными способами, их использование для более толстых стекол также полезно тем, что дает возможность достигать требуемых напряжений при более низких коэффициентах теплопередачи и, следовательно, при более низких давлениях охлаждающего воздуха при обдуве, вследствие чего достигается экономия энергии. Таким образом, согласно следующему аспекту настоящего изобретения предложен способ закалки стекла (особенно автомобильных стекол), имеющего высокий (выше 93×10-7°С-1) коэффициент теплового расширения и/или низкую ударную вязкость при разрушении (менее 0,72 МПа·м1/2), путем обработки стекла при давлении закалки (давлении охлаждающего воздуха), которое, по крайней мере, на 10% меньше, обычно более чем на 20% меньше и предпочтительно, по крайней мере, на 25% меньше, чем давление закалки, которое требуется для закалки соответствующего стекла стандартного состава до требуемых стандартов. При оптимальных условиях использование настоящего изобретения дает возможность достигнуть требуемых стандартов в результате закалки при давлении закалки на 40% или еще ниже, чем давление закалки, требуемое для упрочнения соответствующего стекла стандартного соются от страны к стране, но обычно требуемым является разрушение с раздроблением на большое число мелких частиц. Под Способ настоящего изобретения в особенности применим для стекол, имеющих толщину в пределах от 3 до 5 мм, и обычно в нем используют давления обдува холодным воздухом не более 12,5 кПа (50 дюймов водяного столба), предпочтительно не более 10 кПа (40 дюймов водяного столба), особенно не более 7,5 кПа (30 дюймов водяного столба) для стекла толщиной 3 мм, не более 7,5 кПа (30 дюймов водяного столба), предпочтительно не более 6 кПа (24 дюйма водяного столба) для стекла толщиной 4 мм и не более 6 кПа (24 дюйма водяного столба), предпочтительно не более 5 кПа (20 дюймов водяного столба) для стекла толщиной 5 мм. Величины давления обдува, приведенные выше, обычно применимы при времени задержки (промежутка времени между выходом передней кромки стекла из зоны нагрева и входом задней кромки стекла в зону охлаждения (закалки)) около 5 или 6 секунд; однако следует понимать, что чем ниже время задержки (для данной температуры на выходе из зоны нагрева), тем ниже требуется давление обдува. Способ настоящего изобретения дает ряд преимуществ. Использование более низкого давления при закалке приводит к экономии энергии и уменьшает риск появления эффекта Выражение
Стекло имеет коэффициент теплового расширения
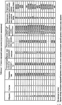
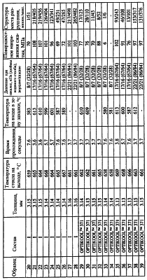
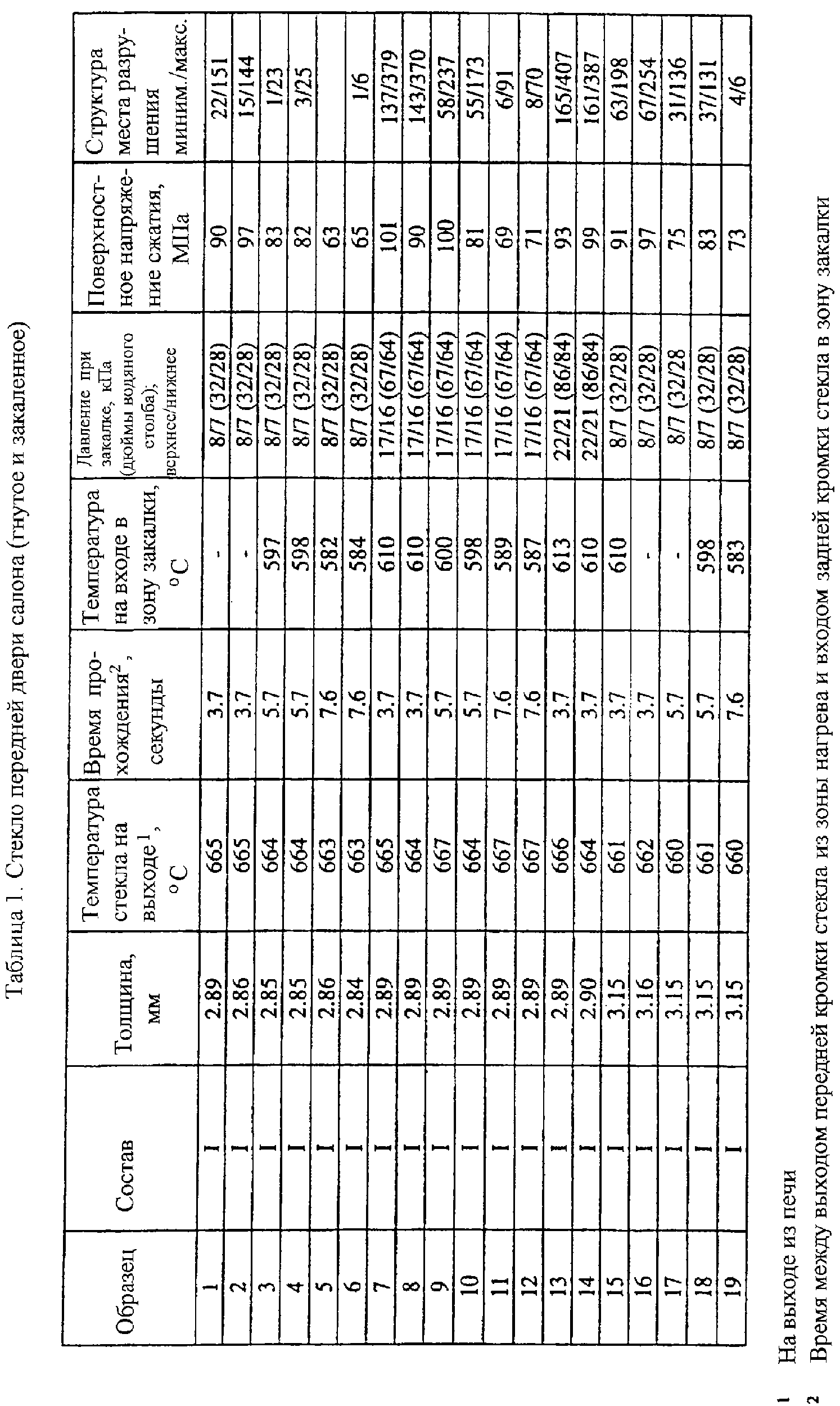
Образцы стекла, называемого OPTIKOOL Изобретение иллюстрируется, но не ограничивается следующими примерами, в которых описана термическая закалка автомобильных боковых стекол и их компонентов согласно данному изобретению. Пример 1 Заготовки стекла для передней двери салона типичного семейного автомобиля с кузовом Заготовки загружали по очереди в горизонтальную роликовую печь и нагревали в печи до температуры в интервале от 650 до 670°С. Каждую заготовку удаляли из печи на роликах и переводили в зону гнутья, где ролики опускали, чтобы уложить заготовку стекла на периферическую негативную форму (матрицу) с кривизной, соответствующей требуемой форме стекла. Стекло прогибалось на форме под действием веса и приобретало требуемую кривизну. Форму с находящимся на ней гнутым стеклом затем продвигали между закалочными камерами, где стекло закаливали холодным воздухом при давлении воздуха от 8 кПа (32 дюйма водяного столба) до 24 кПа (96 дюймов водяного столба). Форму с гнутым закаленным стеклом удаляли из зоны закалки (охлаждения), давали стеклу остыть до комнатной температуры и оценивали его форму (точность соответствия форме места посадки), оптическое качество, поверхностное напряжение сжатия, измеренное методом дифференциальной рефрактометрии напряжений (DSR), и характер разрушения в центральном положении. В каждом случае форма и оптическое качество соответствовали как стандартам ЕСЕ, так и обычным потребительским требованиям европейских организаций (ОЕ). Основные параметры процессов гнутья и закалки и измеренное поверхностное напряжение и характеристики разрушения (выраженные в виде минимального и максимального числа частиц, наблюдаемых в квадрате со стороной 5 см на поверхности стекла после разрушения в центральном положении) показаны в таблице 1. Описанную выше процедуру повторяли, используя стекло состава I толщиной 3,1 мм и затем используя стекло OPTIKOOL При сравнении результатов (поверхностное напряжение сжатия и структура разрушения), полученных для образцов 15-28, с результатами, полученными для образцов 29-39, очевидно повышение способности к закалке у стекол с высоким содержанием оксидов щелочных металлов, используемых в соответствии с данным изобретением. Так, при том же времени прохода (3,7 секунды) и давлении при закалке (8/7 кПа) образцы 15 и 16 из стекла состава I показывают поверхностное напряжение сжатия 91 МПа и 97 МПа соответственно и структуру разрушения, характеризуемую числом частиц 63/198 и 67/254 (что находится в соответствии с ЕСЕ R43), в то время как образцы 29 и 30 из стекла OPTIKOOL Пример 2 Заготовки стекол для передней двери типичного семейного автомобиля с кузовом Заготовки загружали в горизонтальную роликовую печь, где они нагревались до 580°С, и продвигали в газовую нагревательную печь для термической обработки, в которой стекла поддерживались на воздушной подушке, которая отделяла их от пода печи, имеющего форму требуемой кривизны. Стекла нагревали до температуры в пределах от 620 до 670°С, когда они продвигались вдоль газовой печи, и гнули до получения требуемой формы; после гнутья их продвигали в горизонтальную секцию закалки (охлаждения), где их закаливали между охлаждающими соплами, расположенными выше и ниже стекла, одновременно поддерживая стекло потоком охлаждающего воздуха снизу. Затем стекла удаляли из секции закалки, охлаждали до комнатной температуры и оценивали их форму (соответствие форме места посадки), оптическое качество, поверхностное напряжение сжатия, измеряемое методом DSR, и характер разрушения в центральной части. Основные параметры процесса, а также измеренное поверхностное напряжение и характер разрушения (выраженный в виде минимального и максимального числа частиц, наблюдаемых в квадрате со стороной 5 см на поверхности стекла после разрушения в центральной части) показаны в таблице 2. Для каждого образца форма и оптическое качество отвечали соответствующим стандартам ЕСЕ и обычным потребительским требованиям. Результаты показывают, что удовлетворительные напряжения достигаются при использовании умеренных давлений при закалке. Хотя в каждом случае выполнялись требования стандарта ЕСЕ R43 по минимальному и максимальному числу частиц, для образцов 2 и 3 наблюдался ряд
Пример 3 Заготовки для многослойного стекла передней двери салона автомобиля с кузовом седан типичного семейного размера вырезали из стекла состава I толщиной 1,8 мм и из стекла OPTIKOOL
Затем стеклянные заготовки гнули и закаливали в газовой нагревательной печи и оценивали их свойства, как описано в примере 2, за исключением того, что, поскольку они должны были использоваться в качестве компонентов многослойного стекла, не проводили никаких испытаний на разрушение. Основные параметры процесса и результаты измерений напряжения показаны в таблице 3. Сравнение между образцами 1 и 2 высокощелочного стекла и образцами 3 и 4 из стандартного стекла показывает, что для стекла с повышенным содержанием щелочи согласно данному изобретению достигается более высокое напряжение. Хотя некоторая часть такого увеличения напряжения может быть обусловлена более высокой температурой на входе в секцию закалки для образцов 1 и 2 (при тех же давлениях закалки), этот фактор не полностью объясняет наблюдаемые различия, которые можно отнести за счет различного состава стекол. Примеры 4-6 В следующих примерах описано получение образцов закаленного стекла и иллюстрируется улучшение легкости закалки в результате соответствующего подбора состава стекла так, чтобы повысить его коэффициент теплового расширения при одновременном снижении его ударной вязкости при разрушении. Образцы каждого из стекол, показанных в таблице 4, расплавляли в лаборатории и отливали на пластины, которые полностью отжигали. Измеряли для каждого стекла коэффициент теплового расширения и наряду с этим ударную вязкость при разрушении и для сравнительного примера и примера 4 измеряли напряжение в центре образца. Для определения ударной вязкости при разрушении 20 брусков из каждого стекла вырезали и полировали до стандартного размера 65×10×3,15 мм, проводили измерения, как описано выше, и результаты усредняли. Чтобы оценить легкость закалки образцов стекла, минимум 4 образца каждого стекла размером 100×100×4 мм, отполированные и обработанные по краям, закаливали путем нагревания при 700°С в течение 200 секунд в колебательной горизонтальной печи и последующей закалки в горизонтальном положении, используя давления воздуха при закалке, показанные в таблице 4; время закалки составляло 155 секунд, включая охлаждение. Образцы затем разрушали по краям и подсчитывали число частиц, образующихся в квадрате со стороной 5 см в центре образца, и результаты приведены в таблице. Стекло, использованное в сравнительном примере, имело приблизительно такой же состав, как OPTIKOOL Аналогично этому примеры 5 и 6 показывают благоприятное влияние на закалку, определяемое из структуры места разрушения в разрушенных стеклах, в результате замены оксида магния (в примере 6) на оксид кальция (в примере 5), но в данном случае для стекла, содержащего около 1% по массе оксида железа и с более высоким содержанием оксида щелочного металла (около 15% по массе). В этих примерах операцию закалки проводили в менее жестких условиях, чем в сравнительном примере и в примере 4, так что, несмотря на более высокое содержание оксида щелочного металла и более благоприятные отношения Различие в числе частиц при разрушении между примерами 5 и 6 обусловлено пониженным содержанием оксида магния и увеличенным содержанием оксида кальция в примере 5 по сравнению с примером 6, которое с избытком компенсирует незначительно повышенное содержание оксида щелочного металла в примере 6, приводящее к увеличению легкости закалки. В соответствии с модифицированным аспектом изобретения остекление из закаленного натриево-кальциевого силикатного стекла, имеющего толщину 3 мм, является остеклением из зеленого стекла, содержащего, по меньшей мере, 14.5 мас.% Na2O, по меньшей мере, 10.5 мас.% СаО, по меньшей мере, 0.5% общего железа (в пересчете на Fe2О3) и практически свободное от магния. Хотя, особенно в этом модифицированном аспекте изобретения содержание магния в стекле очень низкое, вероятно присутствие, по меньшей мере, небольшого количества магния в виде примеси или следового элемента в загрузке или в качестве перенесенного из предыдущего цикла работы печи; однако максимальное количество магния, присутствующее в композиции, едва ли превысит примерно 0.2 мас.%.
Формула изобретения
1. Способ закалки натриево-кальциевого силикатного стекла для остекления, отличающийся тем, что содержание оксида щелочного металла в стекле составляет от 15 до 18% по массе, содержание оксида щелочноземельного металла, отличного от оксида магния, в стекле составляет по меньшей мере 9% по массе, стекло имеет коэффициент теплового расширения более 93·10-7 на градус Цельсия и ударную вязкость при разрушении менее 0,72 МПа·м1/2 и закалку осуществляют при давлении охлаждающего воздуха, по меньшей мере, на 20% меньше, чем давление охлаждающего воздуха закалки, требуемое для того, чтобы закалить соответствующее стекло стандартного состава до требуемых стандартов, при прочих аналогичных условиях. 2. Способ по п.1, в котором давление охлаждающего воздуха при закалке, по меньшей мере, на 25% меньше, чем давление охлаждающего воздуха при закалке, требуемое для закалки соответствующего стекла стандартного состава до требуемых стандартов, при прочих аналогичных условиях. 3. Способ по п.1 или 2, в котором стекло представляет собой флоат-стекло, имеющее толщину в пределах от 3 до 5 мм. 4. Способ по п.3, в котором давление охлаждающего воздуха при закалке находится в интервале от не более 12,5 кПа для стекла толщиной 3 мм до не более 5 кПа для стекла толщиной 5 мм. 5. Способ по п.4, в котором давление охлаждающего воздуха при закалке находится в интервале от не более 10 кПа для стекла толщиной 3 мм до не более 5 кПа для стекла толщиной 5 мм. 6. Способ закалки остекления из натриево-кальциевого силикатного стекла для остекления, отличающийся тем, что содержание оксида щелочного металла в стекле составляет от 15 до 18% по массе, содержание оксида щелочноземельного металла, отличного от оксида магния, в стекле составляет по меньшей мере 9% по массе, стекло имеет коэффициент теплового расширения более 93·10-7 на градус Цельсия и ударную вязкость при разрушении менее 0,72 МПа·м1/2 и закалку осуществляют при давлении охлаждающего воздуха в зависимости от толщины стекла, составляющем не более 12,5 кПа для стекла толщиной 3 мм, при давлении не более 10 кПа для стекла толщиной 4 мм, при давлении не более, 6 кПа для стекла толщиной 5 мм. 7. Остекление из термически закаленного натриево-кальциевого силикатного стекла, изготовленное способом по любому из пп.1-6. 8. Остекление по п.7, имеющее толщину менее 3 мм. 9. Остекление по п.7 или 8, в котором стекло имеет коэффициент теплового расширения, по меньшей мере, 95·10-7 на градус Цельсия. 10. Остекление по любому из пп.7-9, в котором стекло имеет ударную вязкость при разрушении менее 0,70 МПа·м1/2. 11. Остекление по любому из пп.7-10, у которого коэффициент теплового расширения
12. Остекление по любому из пп.7-11, в котором содержание оксида двухвалентного железа (в пересчете на оксид трехвалентного железа) в стекле составляет, по меньшей мере, 0,2% по массе. 13. Остекление по п.12, в котором содержание оксида двухвалентного железа (в пересчете на оксид трехвалентного железа) в стекле составляет, по меньшей мере, 0,3% по массе. 14. Остекление по любому из пп.7-13, в котором содержание оксида магния в стекле составляет менее 2% по массе. 15. Натриево-кальциевое силикатное стекло в форме листов для остекления по любому из пп.7-14, имеющее состав, мас.%
16. Натриево-кальциевое силикатное стекло по п.15, имеющее состав, мас.%:
17. Натриево-кальциевое силикатное стекло по п.15 или 16, в котором отношение двухвалентного железа (в пересчете на оксид трехвалентного железа) ко всему железу (в пересчете на оксид трехвалентного железа) составляет менее 30%. 18. Натриево-кальциевое силикатное стекло по любому из пп.15-17, имеющее толщину в пределах от 2,3 до 2,9 мм. Приоритет по пунктам: 01.09.2000 пп.1, 4-6, 7-14; 01.09.1999 пп.2, 3, 7-14; 17.05.2000 пп.15-18.
|
||||||||||||||||||||||||||||||||||||||||||||||||||||||||||||||||||||||||||||||||||||||||||||||||||||||||||||||||||||||||||||||||||||||||||||||||||||||||||||||||||||||||||||||||

, превышающим 100×10-7·К-1 (хотя в ней не указан интервал температур, в котором измеряли
f в паскалях, требуемого для разрушения. Ударная вязкость при разрушении стекла, предполагая, что стекло находится в состоянии полного отжига (Плоское стекло может находиться в состоянии полного отжига, если оно было нагрето при температуре отжига в течение одного часа и охлаждено со скоростью 2°С в минуту до комнатной температуры)., дается тогда следующим уравнением:
(E/H)1/8
140 и особенно предпочтительно
Si-O-Si+Na2O
состав I

371, получали из отдела интеллектуальной собственности фирмы 


