|
|
(21), (22) Заявка: 2004132625/28, 09.11.2004
(24) Дата начала отсчета срока действия патента:
09.11.2004
(43) Дата публикации заявки: 20.04.2006
(46) Опубликовано: 20.08.2006
(56) Список документов, цитированных в отчете о поиске:
SU 1640544 A1, 07.04.1991. SU 673949 A1, 15.07.1979. SU 1239664 A1, 23.06.1986. US 4405231 A1, 20.09.1983.
Адрес для переписки:
367025, г.Махачкала, ул. М. Гаджиева, 45, ДНЦ РАН, Патентный отдел, Д.Г. Таймазову
|
(72) Автор(ы):
Таймазов Джамалудин Гаджиевич (RU)
(73) Патентообладатель(и):
Таймазов Джамалудин Гаджиевич (RU)
|
(54) МНОГОКОМПОНЕНТНЫЙ СКВАЖИННЫЙ ДЕФОРМОГРАФ
(57) Реферат:
Изобретение относится к области геофизического приборостроения и предназначено для измерения линейных и объемных деформаций, величин и направлений максимальных сдвиговых деформаций, азимутов простирания и углов падения плоскостей максимальных сдвиговых деформаций, деформаций кручения относительно оси устройства. Сущность: устройство представляет собой цилиндрический герметизированный корпус с днищем, выполненным в виде полусферы. Внутри корпуса установлено три трехазимутальных измерителя деформаций с емкостными преобразователями перемещений, расположенными под углом 120° друг к другу. У дна корпуса установлен измеритель осевых деформаций с емкостным преобразователем перемещений. Роторные обкладки каждого емкостного преобразователя перемещений расположены параллельно оси цилиндра. Статорные обкладки размещены по обе стороны роторных, параллельно им. Технический результат: расширение функциональных возможностей, повышение информативности. 7 ил.
Известен штанговый деформограф, представляющий собой установленную на двух постаментах кварцевую или инварную трубу, один конец которой закреплен на первом постаменте, а второй снабжен измерителем его перемещений относительно второго постамента. Недостатками этого деформографа являются дороговизна его установки на объекте и обслуживания, а также недостаточная помехозащищенность (метеофакторы, эффект полости, рельеф и т.п.) [1].
Известен также объемный скважинный деформограф Сакса-Эвертсона (СДСЭ), в котором цилиндрический герметизированный упругий корпус, зацементированный в забой скважины, разделен перегородкой на воспринимающий отсек, заполненный рабочей жидкостью (силиконовым маслом), и измерительный отсек, регистрирующий изменения объема воспринимающего отсека при деформации окружающих пород [1].
К недостаткам этого деформографа относятся большие габариты, сложность измерительной системы и ограниченная информативность – он измеряет только объемные деформации пород, т.е. составляющие деформаций по координатным осям остаются неизвестными.
Наиболее близким к заявляемому является двухкоординатный скважинный деформограф (ДСД) [2], являющийся существенно модернизированным вариантом СДСЭ. Он содержит установленные в цилиндрическом герметизированном упругом корпусе три измерительные системы с емкостными преобразователями, оси чувствительности которых ориентированы по разным азимутам под углом 120° друг к другу. По их показаниям однозначно определяются две горизонтальные составляющие линейных деформаций и объемные деформации объекта, в котором установлен ДСД.
Недостатками этого деформографа являются сложность конструкции, обусловленная наличием гидравлического усиления и связанной с этим необходимостью введения системы термокомпенсации, а также ограниченная информативность – он регистрирует только объемные и линейные в двух горизонтальных координатах деформации объекта.
Предлагаемый многокомпонентный скважинный деформограф (МСД) содержит, как и прототип, цилиндрический герметизированный упругий корпус и установленный в нем измеритель деформаций корпуса с емкостными преобразователями перемещений (ЕПП), расположенными в трех азимутах под углом 120° друг к другу. Отличается МСД от прототипа тем, что в нем на первом, втором и третьем уровнях, считая от крышки корпуса, установлены три трехазимутальных измерителя деформаций ТИД, а у дна корпуса, выполненного в виде выпуклой полусферы, установлен измеритель его осевых деформаций с ЕПП. В каждом ЕПП роторная обкладка выполнена в виде множества электрически соединенных между собой и с корпусом узких полосок с промежутками, равными ширине полоски, и расположена в плоскости, параллельной оси цилиндра. По обе стороны от роторной обкладки, параллельно ей размещены две статорные обкладки, каждая из которых выполнена в виде двух изолированных пакетов электрически соединенных между собой узких полосок с теми же ширинами и промежутками, что и в роторной обкладке. Один из пакетов сдвинут в плоскости обкладки относительно другого в поперечном полоскам направлении (в направлении измеряемых перемещений) на ширину полоски, а оба вместе сдвинуты относительно полосок роторной обкладки на половину ширины полоски. Каждая пара статорных обкладок вместе с общей роторной обкладкой подсоединены к двум дифференциальным измерителям емкостей разного типа, первый из которых является преобразователем с изменяемой площадью перекрытия обкладок, а второй – с изменяемым зазором между обкладками. К каждому плечу первого преобразователя подключены вместе одинаково сдвинутые пары пакетов разных статорных обкладок, а к каждому плечу второго – оба пакета одной из обкладок. При этом в первом и втором ТИД роторные и статорные обкладки ЕПП в каждом азимуте прикреплены к диаметрально противоположным точкам внутренней поверхности цилиндра. В третьем ТИД роторные и статорные обкладки ЕПП в каждом азимуте закреплены с разносом вдоль осина одной образующей цилиндра, а в измерителе осевых деформаций роторная обкладка прикреплена к середине полусферы, а статорная – к боковой поверхности цилиндра. Полоски ЕПП в измерителе осевых деформаций и в первом ТИД направлены радиально, а во втором и третьем – вдоль оси цилиндра.
На фиг.1 показан продольный разрез деформографа по А-А, а на фиг.2 и 3 – его поперечный разрез по Б-Б и В-В соответственно.
В герметизированном цилиндрическом корпусе 1 из нержавеющей стали с разносом вдоль его оси перпендикулярно ей размещены три ТИД с ЕПП, расположенными под углом 120° друг к другу, а у дна корпуса, выполненного в виде выпуклой полусферы 2, установлен измеритель его осевых деформаций, также снабженный ЕПП. Роторные обкладки ЕПП всех трех ТИД в каждом азимуте нанесены на общую плоскую диэлектрическую подложку 3, прикрепленную к одной из точек внутренней боковой поверхности корпуса в его средней части. К диаметрально противоположной точке внутренней поверхности корпуса прикреплены подложки статорных обкладок ЕПП 4 первого и второго ТИД (считая от крышки корпуса). Статорные обкладки 5 ЕПП третьего ТИД закреплены в каждом азимуте на одной образующей с роторной обкладкой с разносом вдоль оси цилиндра, а в измерителе осевых деформаций роторная обкладка 6 прикреплена к середине полусферы 2, а статорная 7 – к боковой стенке цилиндра 1. На каждую роторную обкладку приходится по две статорные обкладки, расположенные по разные стороны от нее. Каждая из них состоит в свою очередь из двух изолированных пакетов 8-9, 10-11, 12-13 и 14-15 (на фиг.1 показаны только ближние из них), электрически соединенных, перпендикулярных измеряемым перемещениям узких полосок с теми же ширинами и промежутками, что и в роторной обкладке. Для удобства изложения, не показанные на фиг.1 пакеты обозначим через 8′-9′, 10′-11′, 12′-13′ и 14′-15′. Противолежащие друг другу пакеты 8-8′, 9-9′, 10-10′, 11-11′, 12-12′, 13-13′, 14-14′ и 15-15′ зеркально идентичны, т.е. не сдвинуты относительно друг друга, смежные пакеты сдвинуты в плоскости обкладки относительно друг друга в поперечном полоскам направлении (в направлении измеряемых перемещений) на ширину полоски, и оба вместе сдвинуты относительно полосок роторной обкладки на половину ширины полоски. Таким образом, в исходном положении все полоски статорных обкладок перекрывают полоски роторных обкладок на половину их ширины.
Сечение деформографа по Б-Б (Фиг.2) показывает взаимное расположение и ориентацию трех пар статорных обкладок и сопряженных с ними роторных обкладок второго ТИД. Волнистыми линиями показаны электровыводы, идущие от пакетов 10-10′ и 11-11′ к кабелю 16 и далее к платам емкостных преобразователей (Фиг.1). Сечение по В-В (Фиг.3) показывает конфигурацию обкладок ЕПП третьего ТИД, которая имеет аналогичный вид. Полоски как роторных, так и статорных обкладок ЕПП в измерителе осевых деформаций и в первом ТИД направлены радиально, а во втором и третьем – вдоль оси цилиндра.
Каждая пара статорных обкладок второго и третьего ТИД вместе с общей роторной обкладкой подсоединены к двум дифференциальным измерителям емкостей разного типа (не показаны), первый из которых является преобразователем с изменяемой площадью перекрытия обкладок, а второй – с изменяемым зазором между обкладками. К каждому плечу первого преобразователя подключены вместе одинаково сдвинутые противолежащие пары пакетов статорных обкладок (10-10′, 11-11′, 12-12′, 13-13′), а к каждому плечу второго – пары смежных пакетов 10-11, 12-13, 10′-11′, 12′-13′.
Каждый преобразователь (их всего 16) имеет отдельную плату в измерительном отсеке, подключенную к общему стабилизированному источнику питания (Фиг.1). Подзарядка источника питания и передача цифровой выходной информации на наземную станцию осуществляется через кабель 16. МСД, как и аналог, зацементирован в объект исследования (в дно скважины, в тело плотины, в стену сооружения и т.п.) с помощью расширяющегося при застывании цемента.
МСД работает следующим образом.
При изменении линейных деформаций в двух горизонтальных координатах и/или сдвиговых деформаций в трех ортогональных плоскостях объекта наблюдения (земной коры или инженерного сооружения) боковые стенки стального цилиндра 1 и полусфера 2 деформируются, что приводит к соответствующим изменениям емкостей, образованных разными парами статорных обкладок с роторной обкладкой и измеряемых упомянутыми 16-ю дифференциальными преобразователями. Величина и знак изменений показаний ЕПП содержит информацию о величине, знаке, направлении и характере деформирующих сил. Зная ориентацию МСД в скважине и показания всех ЕПП, можно, как будет показано ниже, решить обратную задачу – определить две горизонтальные и вертикальную линейные составляющие измеряемой деформации, объемную деформацию, сдвиговую деформацию в трех ортогональных плоскостях, а также деформацию кручения относительно оси цилиндра.
При измерении линейных деформаций дифференциальные ЕПП работают в режиме преобразователей с изменяемой площадью перекрытия обкладок (режим ИП), в котором вместе с роторной обкладкой задействованы пакеты соответственно 10-10′, 11-11′, 14-14′ и 15-15′ (пакеты 14′ и 15′ не показаны), параллельно соединенные между собой и включенные в противоположные плечи преобразователя. Благодаря этому поперечные перемещения роторных обкладок между этими парами статорных обкладок (пакетов) не приводят к изменению их суммарных емкостей, т.е. преобразователи регистрируют только продольные перемещения вдоль соответствующих азимутов. Для регистрации поперечных относительных перемещений в горизонтальной плоскости противолежащих точек крепления роторных 3 и статорных 4 обкладок (фиг.1, 2), обусловливаемых сдвиговыми деформациями пород относительно вертикальной плоскости, в плечи ЕПП, работающего в режиме преобразователя с изменяемым зазором (режим ИЗ), включаются параллельно соединенные пакеты 10-11 и 10′-11′. Для регистрации радиальных относительных перемещений в вертикальной плоскости лежащих на одной образующей точек крепления роторных 3 и статорных 5 обкладок (фиг.1, 3), обусловливаемых сдвиговыми деформациями пород относительно горизонтальной плоскости, в плечи ЕПП включаются параллельно соединенные пакеты 12-12′ 13-13′ (в режиме ИП), или параллельно соединенные пакеты 12-13 и 12′-13′ (в режиме ИЗ). Кроме того, как нетрудно увидеть из фиг.3, включив в плечи ЕПП третьего ТИД в режиме ИЗ все три пары параллельно соединенных пакетов 12-13, с одной стороны, и 12′-13′ – с другой, вместе с общей роторной обкладкой 3, можно регистрировать деформацию кручения относительно вертикальной оси МСД. Для измерения осевой составляющей сдвиговой деформации в данном азимуте, т.е. относительно плоскости, проходящей через ось цилиндра перпендикулярно азимуту, в плечи преобразователя в режиме ИП включаются параллельно соединенные пакеты 8-8′ и 9-9′ (пакеты 8′ и 9′ не показаны).
На фиг.4 представлено горизонтальное сечение МСД, в котором измеряемые деформации для наглядности увеличены на несколько порядков. Введем прямоугольную координатную систему с центром на оси МСД, ось Х которой совпадает с направлением Ю-С, а ось Y – с направлением З-В. При этом направления север и восток примем за положительные, а азимутальный угол будем отсчитывать, как принято в геодезии, от положительного направления оси Х (от северного направления) по часовой стрелке.
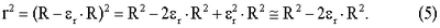
Обозначим ЕПП цифрами 1, 2, 3 и совместим роторную обкладку первой из них с положительным направлением оси Х. Введем, далее, следующие обозначения: R – внутренний радиус недеформированного цилиндра (показан штриховой линией), R – максимальное изменение радиуса цилиндра при деформации, а – большая и b – малая полуоси горизонтального сечения деформированного цилиндра, которого мы принимаем за эллипс, r – текущий радиус-вектор эллипса в системе координат с началом в центре эллипса, t – текущий азимут радиус-вектора.
Как нетрудно увидеть из фиг.4, проекции радиус-вектора r на полуоси эллипса b и а равны соответственно

В рассматриваемом случае, когда деформация цилиндра обусловлена сжатием вдоль полуоси b, имеют место соотношения

где – коэффициент Пуассона для цилиндра, и уравнения (1) приобретают вид

Заметим, что если жесткость окружающих пород больше, чем у цилиндра, в уравнениях (2, 3) должен фигурировать коэффициент Пуассона для пород.
Далее,

С другой стороны,

Здесь r. – относительная деформация радиус-вектора r. Приравнивая правые части уравнений (4) и (5), поделив обе части нового уравнения на R2 и введя обозначение R/R= l, имеющее смысл горизонтальной составляющей максимальной линейной деформации, получим

Подставляя, далее, вместо t азимуты соответствующих ЕПП 0, 2 /3 и 4 /3, получим выражения для относительных линейных деформаций по азимутам

которые после соответствующих преобразований приводят к системе уравнений



Здесь 1= R1/R, 2= R/R, 3= R3/R, где R1, R2, R3 – измеряемые в каждом азимуте перемещения.
Складывая уравнения (9) и (10), получаем уравнение

а вычитывая уравнение (9) из уравнения (10), получаем

Далее, из (8) имеем

Подстановка этого выражение в (11) приводит к уравнению

из которого следует

Подставляя это значение l в(12) и (13), получим соотношения

и

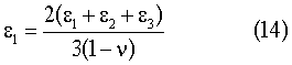
Таким образом, по измеренным значениям 1, 2 и 3 из соотношений (14-16) можно определить максимальную величину и знак горизонтальной составляющей линейной деформации l, а также sin2 и cos2 , по которым однозначно определяется азимут действия максимальной линейной деформации . Что касается коэффициента Пуассона , то он может быть определен или при лабораторных исследованиях макета МСД или по анализу регистрируемых им в ходе эксплуатации приливных деформаций.
Для определения объемной деформации  используем соотношение

из [3], где L – длина деформографа. Следует учесть, что ввиду гораздо большей продольной жесткости цилиндра по сравнению с поперечной, эта формула определяет только относительную объемную деформацию цилиндра за счет изменения площади его поперечного сечения

Отсюда, с учетом S= S/S, S= R2 и используя также соотношение (14), имеем

Для определения объемной деформации среды, в которую установлен МСД (массив горных пород, тело плотины, стена сооружения и т.п.), необходимо еще знать величину относительной линейной деформации в направлении оси цилиндра z= z/R, которая определяется измерителем осевых деформаций. Здесь z – измеряемые ЕПП осевые перемещения, R – радиус полусферы (база измерителя осевых деформаций). В нашем случае, когда поперечная жесткость боковых стенок цилиндра и продольная (вдоль оси) жесткость полусферы подобраны равными жесткости вмещающей среды, для малых объемных деформаций среды можно написать

Линейные деформации по координатным осям, очевидно, могут быть определены из соотношений x= l·cos и y= l·sin (см. фиг.4).
Соотношения (14-17) описывают реакцию МСД на горизонтальную составляющую одноосной линейной деформации вмещающей среды l, хотя действие горизонтальной составляющей сдвиговых деформаций относительно вертикальной плоскости также приводит к эллиптической форме горизонтального сечения цилиндра (вращательные деформации). Однако, как показано в [3], при измеряемых деформациях (менее 10-4) вкладом в объемные деформации, по сравнению с вкладом l, можно пренебречь и введения каких либо поправок в эти соотношения не требуется. Следовательно, согласно соотношению (17) измеряемые линейные деформации 1, 2, 3 также не зависят от . Другими словами, последние не содержат информации о сдвиговых деформациях.
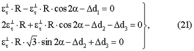
Как было сказано выше, составляющие сдвиговых деформаций в направлениях, перпендикулярных обкладкам ЕПП, могут быть измерены с помощью тех же ЕПП, работающих в режиме изменяемого зазора (ИЗ) между обкладками. Обозначим через d1, d2 и d3 измеряемые в этом режиме каждым преобразователем 1, 2, и 3 (Фиг.5) перемещения в направлении, перпендикулярном плоскостям обкладок. Как нетрудно установить из этого рисунка, аналитически они могут быть выражены соотношениями



которые после несложных преобразований приводят к уравнениям



Далее, складывая уравнения (19) и (20), а затем, вычитывая уравнение (20) из (19), приходим к системе 3-х уравнений

решая которые, находим



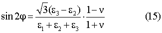
Таким образом, по измеренным значениям d1, d2 и d3 из соотношений (22-24) можно определить величину горизонтальной составляющей сдвиговых деформаций относительно вертикальной плоскости а также sin2 и cos2 , по которым однозначно определяется азимут простирания плоскости максимальной сдвиговой деформации .
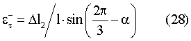
Деформации сдвига относительно горизонтальной плоскости могут быть измерены, включив в плечи ЕПП параллельно соединенные пакеты 12-12′ и 13-13′ (в режиме ИП) или 12-13 и 12′-13′ (в режиме ИЗ) (фиг.1,3). Определим вызванные относительные продольные перемещения l1, l2, l3 статорных и роторных обкладок каждого из трех ЕПП, измеряемые в режиме ИП, используя для этого фиг.6. Азимут перемещений перпендикулярен азимуту простирания плоскости максимальных сдвиговых деформаций и направлен под углом /2- к оси Х. С учетом этого, имеем



где l – расстояние между точками крепления роторной 3 и статорной 5 обкладок третьего ТИД. Поскольку азимут известен из соотношений (23, 24), то для определения достаточно одного из этих уравнений. В ситуации, изображенной на фиг.6, целесообразно выбрать уравнение (26), так как второй азимут МСД наиболее благоприятно ориентирован для измерения продольных перемещений l. Тогда

Как очевидно из фиг.7, измеряемые первым ТИД вертикальные составляющие смещений z1, z2, z3, вызванные вертикальной компонентой сдвиговых деформаций , пропорциональны разносам точек крепления роторных и статорных обкладок каждого ЕПП в направлении, перпендикулярном азимуту простирания плоскости максимальных сдвиговых деформаций. Они равны соответственно 2 1=2R·sin , 2 2=2R·sin(2 /3- ), 2 3=2R·sin(4 /3- ), и для смещений имеют место соотношения



Как и в предыдущем случае, для определения наиболее благоприятно ориентирован ЕПП во втором азимуте МСД, так что целесообразно вывести из уравнения (30):

Как нетрудно убедиться, по найденным значениям и можно определить тангенс угла падения плоскости наибольших сдвиговых деформаций. При l=2R из соотношений (28, 32) получаем

Очевидно, что tg/ можно определить и по данным других пар ЕПП, лежащих в одном азимуте: tg = z1/ l1, tg = z3/ l3.
Зная , и , очевидно, можно определить величину и направление максимальных сдвиговых деформаций  .
Итак, МСД может измерять линейные деформации в трех ортогональных координатах x, y, z, объемные деформации вмещающей среды V, величину и направление максимальных сдвиговых деформаций  , азимут простирания и угол падения плоскости максимальных сдвиговых деформаций ( отсчитывается от горизонтальной плоскости), а также деформацию кручения относительно оси МСД.
Следует иметь в виду, что МСД, как и аналоги, регистрирует только приращения этих величин, т.е. деформации, накопившиеся до его установки в объект, остаются неизвестными. Однако при использовании его для регистрации деформационных предвестников землетрясений, если направленность изменения регистрируемых параметров остается неизменным достаточно длительное время, появляется возможность прогнозировать по ним характер ожидаемых сейсмогенных подвижек (сдвиг, надвиг, поддвиг, сброс, взброс и т.п.).
Отсутствие гидравлической системы увеличивает частоты собственных колебаний узлов МСД, что существенно расширяет частотный диапазон регистрации деформаций от квазистатических до звуковых, т.е. МСД может быть использован также для регистрации сейсмических и акустических колебаний.
Примерные параметры МСД: диаметр 12 см, длина 60 см, масса 20 кг (без наземной измерительной системы). При ширине полосок в 1 мм, максимально измеряемых перемещениях в 0,1 мм и относительной погрешности измерения емкости ±10-7 ожидаемая погрешность измерений деформаций составит ±10-9 в диапазоне ±10-3. Это соответствует динамическому диапазону в 120 дБ.
Таким образом, по расчетным характеристикам МСД превосходит известный скважинный деформограф Сакса-Эвертсона: по информативности – в 10 раз, по диапазону измерений – в 100 раз, по экономичности и компактности – в 7 раз. Отсутствие влияния температуры, обусловленное отказом от гидравлического усиления измеряемых деформаций, позволит использовать МСД также для деформационного контроля крупных наземных инженерных сооружений (ГЭС, АЭС, ускорительных и антенных комплексов, зданий и т.п.).
По сравнению со штанговыми деформографами (кварцевыми или инварными) МСД, как и аналог, имеет недостатки, заключающиеся в локальном характере измеряемых деформаций и в зависимости чувствительности от жесткости окружающих пород. Однако эти недостатки с лихвой компенсируются его практически полной защищенностью от метеофакторов (температура, атмосферное давление, осадки, влажность и т.п.), техногенных помех (эффект полости) и влияния рельефа дневной поверхности, а также большей информативностью и возможностью площадных наблюдений, обусловленной малой ресурсоемкостью МСД.
ЛИТЕРАТУРА
2. А.с. СССР №1640544. Двухкоординатный деформограф Таймазова. БИ, 1991, №13.
3. Таймазов Д.Г. Двухкоординатный скважинный деформограф и перспективы его применения для сейсмопрогностических наблюдений. Вестник ДНЦ РАН. 2002, №12.
Формула изобретения
Многокомпонентный скважинный деформограф, содержащий цилиндрический герметизированный упругий корпус и установленный в нем трехазимутальный измеритель деформаций корпуса с емкостными преобразователями перемещений (ЕПП), расположенными под углом 120° друг к другу, отличающийся тем, что он содержит расположенные на первом, втором и третьем уровнях, считая от крышки корпуса, три трехазимутальных измерителя деформаций и установленный у дна корпуса, выполненного в виде выпуклой полусферы, измеритель ее осевых деформаций с ЕПП, при этом в каждом ЕПП роторная обкладка выполнена в виде множества электрически соединенных между собой и с корпусом узких полосок с промежутками, равными ширине полоски, и расположена параллельно оси цилиндра; по обе стороны от роторной обкладки, параллельно ей размещены две статорные обкладки, каждая из которых выполнена в виде двух изолированных пакетов электрически соединенных между собой узких полосок с теми же ширинами и промежутками, что и в роторной обкладке, и один из которых сдвинут в плоскости обкладки относительно другого в поперечном полоскам направлении на ширину полоски, а оба вместе сдвинуты относительно полосок роторной обкладки на половину ширины полоски; каждая пара статорных обкладок вместе с общей роторной обкладкой подсоединены к двум дифференциальным измерителям емкостей, к каждому плечу первого из которых подключены вместе одинаково сдвинутые пары пакетов разных статорных обкладок, а к каждому плечу второго – оба пакета одной из обкладок, причем в первом и втором трехазимутальных измерителях деформаций роторные и статорные обкладки ЕПП в каждом азимуте прикреплены к диаметрально противоположным точкам внутренней поверхности цилиндра, а полоски ЕПП в первом направлены радиально, во втором – вдоль оси цилиндра; в третьем трехазимутальном измерителе роторные и статорные обкладки ЕПП в каждом азимуте закреплены с разносом вдоль оси на одной образующей цилиндра, а полоски в них направлены также вдоль оси цилиндра; в измерителе осевых деформаций роторная обкладка прикреплена к середине полусферы, статорная – к боковой поверхности цилиндра, а плоскости в них направлены радиально.
РИСУНКИ
MM4A – Досрочное прекращение действия патента СССР или патента Российской Федерации на изобретение из-за неуплаты в установленный срок пошлины за поддержание патента в силе
Дата прекращения действия патента: 10.11.2007
Извещение опубликовано: 10.07.2009 БИ: 19/2009
|
|