Патент на изобретение №2156254
|
||||||||||||||||||||||||||
(54) СПОСОБ ПОЛУЧЕНИЯ 13-(1-ОКСИЛ-2,2,6,6-ТЕТРАМЕТИЛПИПЕРИЛИДЕНИЛ-4)ГИДРАЗОНА РУБОМИЦИНА ГИДРОХЛОРИДА
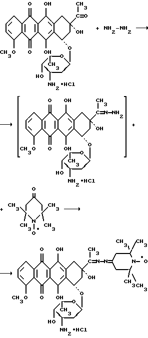
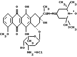
(57) Реферат: Способ заключается в том, что гидрохлорид рубомицина обрабатывают гидразин-гидратом в среде метанол-хлороформ с последующим взаимодействием полученного гидразона рубомицина гидрохлорида с 2,2,6,6-тeтpaмeтил-4-оксопиперидин-1-оксилом в присутствии 0,2-1,0% уксусной кислоты. Перед стадией вакуумной отгонки растворителей добавляют нейтрализующий агент до получения значения рН реакционной смеси 6,8-7,2. Это позволяет избежать кислотного гидролиза целевого продукта в процессе отгонки растворителей и получать стабильную при хранении крупнодисперсную субстанцию. 1 з.п.ф-лы, 1 табл. Данное изобретение относится к усовершенствованному способу получения соединения, обладающего противоопухолевой активностью, производного рубомицина – 13-(1-оксил-2,2,6,6-тетраметилпиперилиденил-4) гидразона рубомицина гидрохлорида. Известен способ получения 13-(1-оксил-2,2,6,6-тетраметилпиперилиденил-4) гидразона рубомицина гидрохлорида, заключающийся в том, что гидрохлорид рубомицина обрабатывают щелочным агентом, затем осуществляют взаимодействие полученного основания рубомицина с гидразоном 2,2,6,6-тетраметил-4-оксопиперидин-1-оксила при молярном соотношении 1: (1,5 – 2) соответственно, в среде хлороформ-метанол, взятых в объемных соотношениях 3:1 соответственно, в присутствии уксусной кислоты, взятой в 4-кратном молярном избытке по отношению к основанию рубомицина при 20-25oC с последующей обработкой отделенного от осадка раствора спиртовым раствором HCl, взятым в 2- кратном молярном избытке по отношению к основанию рубомицина и выделением целевого продукта осаждением диэтиловым эфиром. Выход целевого продукта около 40% [1] . Данный способ имеет следующие недостатки: 1. Сравнительно невысокий выход (41,5%). 2. Сложность получения, связанная с необходимостью перевода гидрохлорида рубомицина в основание, а также стадия обратного перевода основания в гидрохлорид, требующая использования абсолютных растворителей и строгого аналитического контроля среды (незначительная передозировка HCl приводит к деструкции целевого продукта и гибели нитроксильного радикала). 3. Использование гидразона 2,2,6,6-тетраметил-4-оксопиперидин-1-оксила имеет недостатки, так как парамагнитный гидразон нестоек при хранении и требует очень сложной методики синтеза. Известен также значительно более совершенный и технологичный способ получения 13-(1-оксил-2,2,6,6-тетраметилпиперилиденил-4) гидразона рубомицина гидрохлорида (препарата “Рубоксил” или “Эмоксил”), заключающийся в том, что гидрохлорид рубомицина обрабатывают гидразингидратом или безводным гидразином при молярном соотношении 1:(1,1-1,2) соответственно в среде метанол-хлороформ, взятых в объемном соотношении 2:1 соответственно при температуре 20-40oC в присутствии 10-25% от веса рубомицина уксусной кислоты с последующим взаимодействием промежуточно образующегося гидразона рубомицина гидрохлорида с 2,2,6,6-тетраметил-4-оксопипепидин-1-оксилом, взятых при молярном соотношении 1:(2,5-4) соответственно и выделением продукта путем вакуумной отгонки растворителей до 1/2 первоначального объема с последующим переосаждением эфиром [2]. Схема синтеза препарата “Эмоксил” по способу [2] и новому способу приведена ниже: ![]() Указанный способ имеет следующие недостатки: 1. Получаемая по этому способу субстанция “Эмоксил” нестабильна при хранении. Примеси рубомицина в субстанции “Эмоксила” через 6 месяцев хранения превышают допустимый нормативно-технической документацией (НТД) предел 5% в 2/3 исследованных партиях, а через 12 месяцев во всех испытуемых партиях. 2. При увеличении загрузок рубомицина свыше 15 г выход “Эмоксила” падает вследствие увеличения продуктов содержания кислотного гидролиза “Эмоксила”, а качество его не соответствует требованию НТД по содержанию примеси рубомицина. 3. Получаемая по этому способу субстанция является мелкодисперсной (размер частиц не более 5-10 мк), в процессе фильтрации происходит забивание высокоплотных промышленных фильтров Шотта, что приводит к увлажнению гидроскопичного “Эмоксила” и его гидролизу в процессе промышленной фильтрации. 4. Использование больших количеств эфира (до 350 л на 1 кг “Эмоксила”) относят помещения данного производства к классу А по взрывопожарной опасности, что требует больших дополнительных затрат (легкосъемные ограждающие конструкции, взрывопожаробезопасное исполнение электрооборудования, аварийная вентиляция, автоматические системы пожаротушения и пр.). Необходимы также дополнительные меры по герметизации оборудования и увеличению мощности общеобменной вентиляции для предотвращения создания концентрации паров эфира в воздухе рабочей зоны выше ПДК. Все это существенно увеличивает затраты на создание производства “Эмоксила”. 5. Получение “Эмоксила” по этому способу требует использование большого избытка дорогостоящего и дефицитного 2,2,6,6-тетраметил-4-оксопиперидин-1-оксила (2,5-4 моля). Перед нами стояла задача создать усовершенствованный по сравнению с [2] способ получения препарата “Эмоксил”, позволяющий: 1) получать стабильную при хранении и использовании субстанцию “Эмоксила”. 2) приблизить технологию получения “Эмоксила” к промышленной, увеличив в десятки раз загрузки “Рубомицина” при сохранении выхода продукта и одновременном улучшении его качества по показателю содержания специфических примесей (“Рубомицина”) с 3-5,5% до 1-3%. 3) получать крупнодисперсную субстанцию (размер частиц 100-150 мк), что бы без использования дорогостоящего специального оборудования осуществлять высокопроизводительное фильтрование. 4) уменьшить затраты сырья и материалов: 2,2,6,6-тетраметил-4-оксопиперидин-1-оксила, метанола, хлороформа, диэтилового эфира, тем самым понизив дороговизну, токсичность и взрывопожароопасность процесса. Сущность изобретения заключается в том, что рубомицин гидрохлорид обрабатывают гидразин-гидратом при молярном соотношении 1:(1,1-1,2) соответственно в среде метанол-хлороформ с последующим взаимодействием промежуточно образующегося гидразона рубомицина гидрохлорида с 2,2,6,6-тетраметил-4-оксопиперидин-1-оксидом при их молярном соотношении 1:(1,9-2,0). Синтез ведется в присутствии уксусной кислоты, взятой в количестве 0,2-1% от веса рубомицина, с последующей нейтрализацией кислого pH реакционной среды перед упариванием растворителей посредством добавления метанольного или этанольного растворов гидроксида натрия или натриевых солей органических кислот (янтарной) или аминокислот (глицина) до pH 6,8-7,2. Указанный диапазон обусловлен тем, что при более низких величинах pH кислотный гидролиз не будет предотвращен в достаточной степени; при более щелочных условиях возникает вероятность перехода “Эмоксила” из гидрохлоридной формы в основание, фармакологические свойства которого не изучены. Нейтрализация, сводя до минимума гидролиз продукта, дает возможность упаривания реакционной смеси до 1/5 первоначального объема. Повышение концентрации продукта в упаринной смеси в 2,5 раза по сравнению с прототипом обеспечивает образование крупнодисперсного осадка “Эмоксила” при кристаллизации его в эфире. Полученная таким образом субстанция изначально содержит в среднем на 2-2,5% меньше примеси высокотоксичного рубомицина по сравнению с прототипом. При хранении в течение 12 месяцев содержание рубомицина остается в пределах допустимой НТД величины. Существенным отличием способа является проведение синтеза в присутствии минимального количества уксусной кислоты с последующей нейтрализацией кислого pH реакционной среды и вследствие этого получение большей степени концентрирования последней. Концентрирование раствора в способе-прототипе невозможно из-за кислотного гидролиза “Эмоксила”. Пример 1 50 г рубомицина гидрохлорида растворяют в 1750 мл метанола, добавляют 875 мл хлороформа, 5 мл гидразин-гидрата и 0,5 мл ледяной уксусной кислоты. Перемешивают смесь в течение 24 ч при температуре 20oC. Затем добавляют 30 г 2,2,6,6-тетраметил-4-оксопиперидин-1-оксила, выдерживают смесь при перемешивании в течение суток. Нейтрализуют смесь 1,5% метанольным раствором гидроксида натрия до pH 7,2. Упаривают полученную нейтрализованную смесь при остаточном давлении 0,8 кгс/см и температуре не более 40oC до 1/5 первоначального объема. Упаренный раствор вливают при перемешивании в 4 л диэтилового эфира. Полученный осадок отфильтровывают, промывают эфиром и высушивают при комнатной температуре под вакуумом. Получают 57,5 г (88,8%) препарата “Эмоксил” с компонентным составом по ВЭЖХ: содержание “Эмоксила” 96,8%, содержание рубомицина 2,1%. Пример 2 В условиях примера 1 первую стадию проводят при 40o С в течение 18 ч. Получают 57,7 г (89,1%) препарата “Эмоксил” с компонентным составом по ВЭЖХ: содержание “Эмоксила” 96,9%, содержание рубомицина 2,0%. Пример 3 В условиях примера 1 добавляют 0,1 мл уксусной кислоты. 1 стадию процесса проводят при 40oC в течение 30 ч. Получают 57,3 г (88,5%) препарата “Эмоксил” с компонентным составом по ВЭЖХ: содержание “Эмоксила” 96,7%, содержание рубомицина 1,9%. Пример 4 В условиях примера 1 перед вакуумной отгонкой растворителей используют для нейтрализации 3% метанольный раствор сукцината натрия (калия). Выход 58 г (89,6%) с компонентным составом по ВЭЖХ: содержание “Эмоксила” 98,1, содержание рубомицина 1,0%. Пример 5 В условиях примера 1 перед вакуумной отгонкой растворителей используют для нейтрализации 1,5% метанольный раствор натриевой соли глицина. Выход 56 г (86,5%) с компонентным составом по ВЭЖХ: содержание “Эмоксила” 96,7%, содержание рубомицина 2,9%. Динамику содержания специфических примесей в субстанции эмоксила (рубоксила) при хранении можно проследить по данным, представленным в табл. 1. Данное изобретение имеет следующие преимущества: 1. Полученная по новому способу субстанция стабильна при хранении в течение года. 2. Улучшено качество препарата “Эмоксил” (снижено в среднем на 2-2,5% высокотоксичного рубомицина). 3. Новый способ позволяет увеличивать в десятки раз загрузки рубомицина при сохранении выхода препарата “Эмоксил” и его качества. 4. Новым способ позволяет получать крупнодисперсную субстанцию (размер частиц 100-150 мк.), что дает возможность без использованию дорогостоящего специального оборудования осуществлять высокопроизводительное фильтрование (скорость фильтрования возрастает в 4-5 раз, удельное время фильтрования на 1 г продукта снижается в 10 – 20 раз, за счет чего “Эмоксил” в меньшей степени подвергается гидролизу в процессе фильтрации). 5. Уменьшены затраты сырья и материалов: 2,2,6,6-тетраметил-4-оксопиперидин-1-оксила на 50%, метанола на 50%, диэтилового эфира на 60%, что значительно снижает дороговизну, токсичность и взрывопожароопасность процесса. Список литературы 1. Патент РФ N 977462 Приоритет изобретения 24 марта 1980 г. Зарегистрировано в Государственном реестре изобретений 23 сентября 1993 г. 2. Патент РФ N 1028039 Приоритет изобретения 25 июня 1981 г. Зарегистрировано в Государственной реестре изобретений 18 апреля 1995 г. Формула изобретения
![]() из гидрохлорида рубомицина, включающий обработку гидрохлорида рубомицина гидразин-гидратом или безводным гидразином при их молярном соотношении 1 : (1,1 – 1,2) соответственно в среде метанол-хлороформ или этанол-хлороформ, взятых в объемных соотношениях 2 : 1 соответственно, в присутствии уксусной кислоты при температуре 20 – 40oC с последующим взаимодействием полученного гидразона рубомицина гидрохлорида с 2,2,6,6-тетраметил-4-оксопиперидин-1-оксилом и выделением продукта путем неполной вакуумной отгонки растворителей с последующим переосаждением эфиром, отличающийся тем, что синтез проводится с использованием уксусной кислоты в количестве 0,2 – 1% от массы гидрохлорида рубомицина при молярном соотношении гидразона рубомицина гидрохлорида и 2,2,6,6-тетраметил-4-оксопиперидин-1-оксила 1 : (1,9 – 2,0) с последующей нейтрализацией посредством добавления нейтрализующего агента до получения значения рН реакционной смеси 6,8 – 7,2 перед вакуумной отгонкой растворителей и доведением объема реакционной смеси до 1/5 от первоначального. 2. Способ по п.1, отличающийся тем, что в качестве нейтрализующих агентов перед вакуумной отгонкой растворителей используют этанольный (метанольный) раствор гидроксида натрия (калия), или метанольный (этанольный) раствор натриевой (калиевой) соли органической кислоты, или метанольный (этанольный) раствор натриевой (калиевой) соли аминокислоты. РИСУНКИ
|
||||||||||||||||||||||||||


